Finance Gold Analyzer. N8N, MACD, RSI
Қосымшада ыңғайлырақҚосымшаны жүктеуге арналған QRRuStore · Samsung Galaxy Store
Huawei AppGallery · Xiaomi GetApps

автордың кітабын онлайн тегін оқу  Finance Gold Analyzer. N8N, MACD, RSI

Виталий Фартушнов

Finance Gold Analyzer

N8N, MACD, RSI






12+

Оглавление

В мире финансовых рынков автоматизация стала ключевым фактором успеха для многих трейдеров. Торговые роботы, способные самостоятельно анализировать данные и принимать решения, открывают новые горизонты возможностей — от повышения эффективности до минимизации эмоций в процессе сделок. Однако создание своего собственного торгового робота по-прежнему кажется сложной задачей для многих.

Эта книга призвана развеять эти страхи и поэтапно провести вас через весь процесс разработки торгового робота — от понимания основных принципов технического анализа и программирования до запуска и тестирования готовой системы. Вы узнаете, как собирать и обрабатывать рыночные данные, строить торговые стратегии и автоматизировать их исполнение с помощью современных инструментов.

Читая эту книгу, вы обретёте практические знания и навыки, которые помогут вам не просто использовать готовые решения, но создать собственный, адаптированный под ваши цели торговый робот. Этот путь требует терпения и усердия, однако результат стоит затраченных усилий — возможность оперировать на финансовых рынках уверенно и эффективно, используя силу технологий.

Добро пожаловать в мир алгоритмической торговли, где ваши решения подкреплены не только опытом, но и мощью машинного интеллекта.


Перечислить алгоритмы для анализа акций золота и произвести их сравнение — написать подробно с формулами

Для анализа акций и цен на золото применяют различные алгоритмы технического анализа, каждый из которых опирается на свои математические принципы и формулы. Ниже приведён подробный перечень наиболее популярных алгоритмов и формулы их расчёта, а также сравнительная характеристика методов, применяемых на золоте.

Основные алгоритмы анализа

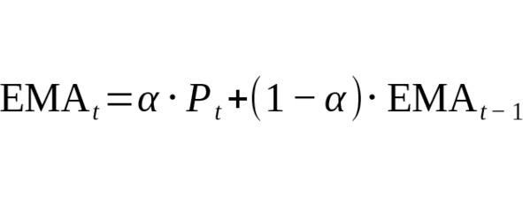
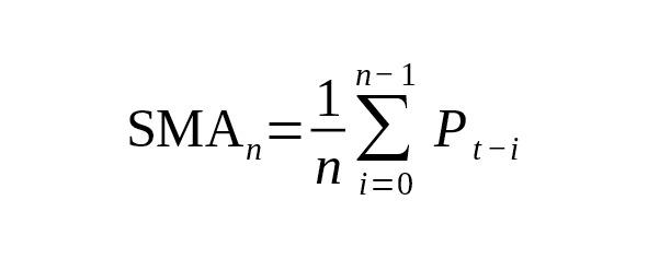
— Скользящие средние (SMA и EMA)

— Простая скользящая средняя (SMA) рассчитывается как среднее арифметическое цен за определённый период: где $ P $ — цена закрытия, $ n $ — период. [1] [2]

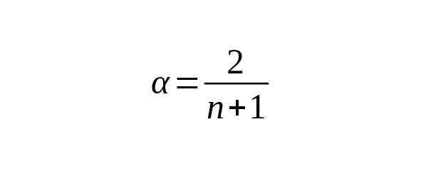
— Экспоненциальная скользящая средняя (EMA) учитывает «вес» последних цен больше: где коэффициент сглаживания. [2] [3]

— MACD (Moving Average Convergence Divergence)

— Основан на разности двух EMA:

— Сигнальная линия — EMA от MACD, часто за 9 периодов. [4] [3] [1]

— RSI (Relative Strength Index)

— Индикатор силы тренда, рассчитывается так: где $ RS = \frac {средний прирост} {среднее падение} $ за последние $ n $ дней (обычно 14). [5] [6] [1]

...

Ұқсас кітаптар