автордың кітабын онлайн тегін оқу Психология интеллекта и одаренности
Д. В. Ушаков
Психология интеллекта и одаренности
© Учреждение Российской академии наук Институт психологии РАН, 2011
Введение
Книга представляет очередной этап развития структурно-динамической теории интеллекта, впервые опубликованной в работах начала 2000-х годов (Ушаков, 2002, 2003). В первоначальном варианте структурно-динамическая теория возникла из потребности объяснить структуру интеллекта, понять причины корреляционных связей между интеллектуальными функциями. Важный побудительный мотив к разработке нового подхода состоял в том, чтобы перекинуть мосты от структуры интеллекта к его развитию и психогенетическим характеристиками, которые порой представлялись парадоксальными. Наконец, нужно было также найти оптимальную позицию в вопросе о практическом применении инструментов, предназначенных для выявления одаренности.
Структурно-динамический подход ввел несколько принципов, которые позволили перейти к решению названных проблем. Была предложена система понятий, направленная на то, чтобы синтезировать изучение индивидуальных различий, развития и функционирования интеллекта. Эта система позволила объяснить ряд известных психологии интеллекта фактов и предсказать новые.
Постепенно стало выясняться, что необходимо расширить контекст рассмотрения. Интеллект – свойство, важное не только на индивидуальном уровне, но и для экономических и социальных достижений больших групп людей. Именно интеллект, составляющий наиболее фундаментальное отличие человека от всего остального животного мира, лежит в основе возможности существования человеческого общества, его истории, политики, экономики. Интуитивно все это ясно, однако требуется создать систему понятий, которая позволит описывать механизмы участия человеческого интеллекта в общественных достижениях.
В связи с этим развито представление об экономике как решении задач различной сложности. Выращивать пшеницу, проектировать инженерные устройства и управлять людьми – все это сложные задачи, которые требуют высокой интеллектуальной компетентности и приводят в случае их успешного решения к повышению экономического благосостояния людей. Таким образом удается проследить путь от интеллектуальных способностей к экономическим достижениям.
Далее возникает задача понять интеллект в контексте жизненного пути человека. В начале жизненного пути интеллект присутствует как способность, на основе которой происходит постепенное становление интеллектуальных возможностей ученого или руководителя, писателя или инженера. Другими словами, в современном обществе из интеллектуальной способности молодого человека должен вырасти интеллект профессионала. Именно последний является условием развития человечества, из чего вытекает особый интерес к процессам преобразования способностей в компетентности.
В то же время в проблеме преобразования интеллектуальной способности в интеллект профессионала остается много непонятного. В книге предлагается подход, называемый мультипликативным. Он основан на том, что интеллектуальные возможности профессионала базируются на складывающемся в процессе жизни индивидуальном стиле, в котором отдельные сильные стороны образуют синергию, усиливая друг друга. Это означает на более техническом языке взаимодействие факторов, умножение их эффектов. А значит, линейные, аддитивные подходы в этой сфере перестают работать. При всей сложности анализа представляется, что основные позиции в этой области уже формируются, и они содержатся в книге.
Книга содержит три части, посвященные взаимосвязанным, но различающимся темам – интеллекту, творчеству (креативности) и одаренности. Первая часть посвящена интеллекту, анализируемому как в индивидуальной, так и в «макропсихологической» плоскости. Приводятся полученные путем эмпирических исследований факты, свидетельствующие о роли интеллекта в индивидуальных достижениях человека, а также модель, которая описывает роль интеллекта в экономической жизни государств. Рассматривается проблема структуры и механизмов индивидуального интеллекта.
Проблемы психологии творчества рассматриваются во второй части книги. Центральное место в отечественной психологии творчества занимает школа, основанная Я. А. Пономаревым и исходящая из представления о взаимодействии логики и интуиции как двух полюсов творческого процесса. В книге проводятся параллели между подходом Пономарева и работами зарубежных авторов (в первую очередь Дж. Мендельсона, К. Мартиндейла и А. Ребера), которые, используя совершенно иную терминологию (дефокусированное внимание, активация семантической сети, имплицитное научение и т. д.) и понятийные системы, фактически приходят к близким выводам. Соотносятся теоретические основания школы Пономарева и зарубежных подходов, а также приводятся данные экспериментальных исследований, направленных на анализ механизмов, стоящих за работой интуитивного полюса мышления.
Наконец, третья часть посвящена практическим и теоретико-экспериментальным проблемам психологии одаренности. Проблематика одаренности является важным дополнением к исследованиям интеллекта, поскольку позволяет перейти от анализа структур и механизмов решения задач к изучению жизненного пути личности, на котором и происходит формирование профессионального таланта на базе способностей.
Часть 1. Интеллект как ресурс индивида и общества
Глава 1. Интеллект как ресурс индивида
В современном обществе из всех известных науке психических свойств интеллект оказывается наиболее важным для успеха, как личного, так и общественного. Так, по-видимому, было не во все времена. Исторически элита формировалась из военного сословия, поэтому продвижение по ступеням социальной лестнице строилось в значительной мере на воинской доблести.
На экзистенциальном уровне механизм формирования воинской элиты выражен в известном гегелевском рассуждении о господине и рабе. В схватке за господство на кон ставится жизнь. Господином оказывается тот, кто риском жизни способен подтвердить свою свободу[1]. Сознание же того, кто становится рабом, испытало страх «не по тому или иному поводу, не в тот или иной момент, а за все свое существо, ибо оно ощущало страх смерти, абсолютного господина. Оно внутренне растворилось в этом страхе, оно все затрепетало внутри себя самого, и все незыблемое в нем содрогнулось» (Гегель, 2000, с. 103).
Таким образом, по Гегелю, критерий первичного формирования аристократии – способность поставить на кон свою жизнь.
Интеллект, однако, не вреден и воину. По ретроспективным оценкам, валидность которых, впрочем, несколько проблематична, выдающиеся полководцы, такие как Наполеон, Дж. Вашингтон или шотландский король Роберт Брюс, входили в число 1–2 % наиболее интеллектуальных людей[2]. Но все же, вероятно, интеллект как фактор отбора в первичную военную элиту растворялся в таких боевых доблестях, как отвага, сила и ловкость, преданность сюзерену.
С возникновением крупных государств и формированием класса бюрократии для ведения дел роль интеллекта в продвижении по социальной лестнице меняется, поскольку образование и грамотность, необходимые бюрократу, приобретаются с участием интеллектуальных способностей.
В современном обществе интеллект требуется прежде всего для решения сложных задач, из чего состоит высококвалифицированная профессиональная деятельность, а также для обучения, которое занимает большое место в жизни. В связи с этим интеллект стал качеством, от которого сильнее всего зависят профессиональные достижения, уровень образования и доходы. Об этом красноречиво свидетельствуют факты, получаемые психологами.
«Господин относится к рабу через посредство самостоятельного бытия, ибо оно-то и держит раба; это – его цепь, от которой он не мог абстрагироваться в борьбе… Между тем господин властвует над этим бытием, ибо он доказал в борьбе, что оно имеет для него значение только в качестве некоторого негативного; так как он властвует над этим бытием, а это бытие властвует над другим, [над рабом,] то вследствие этого он подчиняет себе этого другого» (Гегель, 2000, с. 101).
Вернуться
Такие выводы делаются на основе экспертного анализа достижений этих людей в детском и юношеском возрасте и даже посмертного томографического исследования черепов.
Вернуться
Интеллект и обучение
Роль психометрического интеллекта в обучении велика и бесспорна. Успеваемость в школе коррелирует с тестами интеллекта на уровне порядка r = 0,5. Так, на Западе корреляция теста Равена со школьными баллами колеблется от 0,3 до 0,72 (Дружинин, 2001). В России результаты оказываются сходными. Э. А. Голубева, С. А. Изюмова и М. К. Кабардов (см.: Дружинин, 2001) сообщают о корреляции между усредненной школьной оценкой и вербальной шкалой теста Векслера в размере r = 0,5. Для невербальной шкалы эта корреляция составила r = 0,4, для общего балла – r = 0,49.
За этими сухими цифрами, однако, стоит драматическая реальность. Различия в обучаемости людей очень велики. Исследования в Американских вооруженных силах показали, что обучение людей, находящихся между 10-м и 30-м процентилем по тестам умственного развития, займет от одного года до двух там, где обучение людей выше 30-го процентиля займет лишь три месяца (Vineberg, Taylor, 1972). Разница в скорости составляет от 4 до 8 раз! И это еще не для крайних, а для соседних по оси умственного развития групп.
Люди, которым учиться легко, демонстрируют тенденцию получать более существенное образование и лучше проходить через сито академического отбора. Поэтому неудивительно, что обнаруживается корреляция интеллекта (около r = 0,55) с продолжительностью обучения в странах Запада. Аналогичная тенденция существует, по-видимому, и у нас в стране. Коэффициент интеллекта студентов, которые составляют основной контингент испытуемых в психологических экспериментах, достигает обычно в среднем около 110 баллов.
Интеллект и профессиональный успех
В американской психологии существуют даже не сотни, а тысячи исследований связи уровня интеллекта с успешностью в работе. Эти исследования проводились как в гражданской, так и в военной сферах. Результат всегда один и тот же: интеллект – мощный предиктор успешности в работе. Перечислять отдельные исследования при таком их изобилии не имеет смысла. Мы остановимся на работах обобщающего характера, суммирующих многочисленные данные. Для этой цели наиболее адекватным является использование данных мета-анализа. Мета-анализ – это направление математической статистики, которое помогает науке ориентироваться в данных, когда по одной и той же или сходной теме проведено большое количество исследований. В последнее десятилетие мета-анализ стал одной из наиболее быстро развивающихся в западной психологии техник, поскольку там образовались такие области, где на сходную тему выполнены десятки и даже сотни исследований. Одной из таких областей является изучение прогностической валидности психологических тестов в отношении профессиональной успешности. Когда получено несколько сотен результатов исследований, можно выбрать из них те, где корреляции выше или ниже[3]. Можно найти исследования, где корреляция показателей интеллекта и профессиональной успешности составляет r = 0,3, но можно указать и те, где такая корреляция r = 0,8 (по поводу последних см., например: Gottfredson, 1986). Кстати, относительно корреляций уровня r = 0,8 вполне можно сказать, что именно они самые точные, поскольку отражают взаимосвязь интеллекта с теми аспектами профессиональной деятельности, которые можно измерить объективно, а не на основе экспертных оценок.
По теме валидности психологических тестов в отношении профессиональной успешности известно несколько выполненных мета-анализов. Это работы Дж. Хантера (Hunter, 1986), Э. Ханта (Hunt, 1995) и Л. Готтфридсон (Gottfredson, 1997).
Хантер провел мета-анализ 515 исследований, посвященных предсказательной валидности Тестовой батареи общих способностей (GATB) Службы трудоустройства США. Эти исследования охватили в общей сложности более 38 тысяч человек, занятых в 515 видах профессиональной деятельности (Hunter, 1986). Все профессии были разделены на пять видов. Три из них относятся к профессиям общего типа и различаются уровнем сложности работы с данными. Кроме того, выделены две группы рабочих профессий. Результаты представлены в таблице 1.1.
Таблица 1.1.Предсказательная валидность интеллекта в профессиях разного уровня сложности. Цифры означают корреляцию между показателями тестов интеллекта и успешностью человека в работе и обучении
В этих данных примечательны несколько моментов. Во-первых, очевидна высокая предсказательная валидность теста интеллекта для всех без исключения групп профессий. Во-вторых, тест интеллекта оказывается валиден для предсказания успешности не только умственного труда, но и труда, традиционно понимаемого как ручной. В-третьих, предсказательная сила тестов тем выше, чем более сложной является профессия. В-четвертых, обучение различным профессиям оказывается практически в равной мере зависимым от интеллекта.
Еще один показательный результат, который получен в других исследованиях, – корреляция тестов интеллекта всегда выше с объективными показателями успешности труда, чем с оценками коллег или начальников (Gottfredson, 2003).
Характеристику полученных результатов в целом дает один из наиболее крупных современных специалистов по проблеме интеллекта Э. Хант, который пишет: «Исследования психометрических тестов в индустрии и военных отраслях вновь и вновь показывают надежную и социально значимую предсказательную силу в отношении успешности на рабочем месте <…> Психометрические тесты часто являются лучшими предикторами успеха как в школе, так и в профессиональной деятельности <…> Аргумент, что поведение, стоящее за психометрическими тестами, не имеет ничего общего с человеческой компетентностью, неприемлем. Бушар (имеется в виду: Bouchard, 1997. – Д. У.) совершенно прав, утверждая, что исследования, приводившие к подобным результатам, были проведены некорректно. Эта ремарка безусловно относится ко всем известным мне исследованиям…» (Hunt, 1997, p. 539).
Следует учесть также, что корреляции имеют определенный доверительный интервал, который в психологических исследованиях оценивают очень редко. Обычно сообщается, что некоторая корреляция достоверна на уровне 1 % или 5 %, что означает лишь достоверность ее отличия от 0. Вероятность того, что эта корреляция меньше, например, чем 0,5, или больше, чем 0,7, обычно не сообщается.
Вернуться
Достижения и интеллектуальный диапазон
Хотя корреляционные связи психометрического интеллекта с реальными достижениями в жизни многократно подтверждались, они далеки от значения r = 1,0. Существуют неудачники с высоким интеллектом. Соотношение между психометрическим интеллектом и реальными достижениями можно оценить более точно, нежели с помощью одной только цифры корреляционной зависимости.
Согласно довольно популярной теории «интеллектуального порога», для овладения некоторой профессией человек должен обладать определенным минимальным уровнем интеллекта (Дружинин, 2001). Этот минимум для различных профессий разный. Если человек не дотягивает до этого интеллектуального минимума, то успеха в профессии ему добиться не удастся. Если же он превосходит этот минимум, то успехи определяются уже не интеллектом, а другими факторами, например, мотивацией.
В. Н. Дружинин (2001) дополнил эту идею, предложив модель «интеллектуального диапазона», согласно которой индивидуальная продуктивность ограничена интеллектом субъекта. У людей с равным интеллектом продуктивность определяется мотивацией и «приобщенностью к задаче». Дружинин говорит о «пиле» достижений одаренных детей в разных сферах деятельности. «У одаренных индивидов диапазон возможных достижений шире, чем у прочих. Поэтому, при независимости достижений в разных областях, в среднем, для группы одаренных разница показателей по отдельным тестам, задачам и т. д. будет больше, чем по генеральной совокупности» (Дружинин, 2001, с. 56).
Интеллект как наиболее важный предиктор успешности, известный в психологии
В психологии накоплена информация, касающаяся не только интеллекта, но и других психических свойств, которые могут служить предикторами успешности профессиональной деятельности. Ни одно из этих качеств не может соперничать с интеллектом на всем множестве профессий, хотя в отдельных случаях их роль существенна. Так, для малоквалифицированного ручного труда психомоторные способности в некоторых случаях оказываются более важными, чем интеллект, однако роль этих способностей нисходит до нуля в сложной профессиональной деятельности (Gottfredson, 1997; Hunter, Hunter, 1984).
Д. Мак-Клелланд серьезно исследовал проблему связи мотивации достижения с успехом деятельности. Так, на материале организации малых предприятий в Индии он показал, что успешность предпринимателя зависит от мотивации достижения, измеренной годом раньше. Из работ Мак-Клелланда следует, что мотивация (наряду с интеллектом) в значительной мере определяет успех в бизнесе (McClelland, 1961), однако не влияет на творческую работу в науках (McClelland, 1964в).
Е. П. Торренс пытался обосновать прогностическую валидность своего теста креативности для предсказания реальных творческих достижений. Он основывался на двух основных лонгитюдных исследованиях. В одном из них в 1958 г. были протестированы ученики младших классов, а затем – через 22 года – были оценены их достижения. В другом – старшеклассники, прошедшие тест в 1959 г., были затем оценены через 7 и 12 лет. Корреляция творческих достижений в жизни с тестовой оригинальностью оказалась на уровне примерно r = 0,4 и была соизмерима с корреляцией этих же достижений с тестовым интеллектом (Torrence, 1988). Последующие исследования, однако, привели к более прохладному отношению к тестам креативности как на основании эмпирических данных, так и по теоретическим мотивам (Sternberg, 1997).
Достаточно существенным предиктором успеха профессиональной деятельности в некоторых случаях является опыт, однако с повышением сложности профессии его роль падает. Опыт важнее всего в не очень сложных видах деятельности, которые в типичном случае осваиваются не путем обучения, а в самом процессе труда. Кроме того, роль опыта сходит на нет при сравнении достаточно опытных групп работников.
О роли личностных свойств и интересов достаточно красноречиво свидетельствует еще одно огромное исследование – так называемый Армейский проект А, выполненный в США (McHenry, Hough, Toquam, Hanson, Ashworth, 1990). Результаты представлены в таблице 1.2.
Из таблицы видно, что обращение с техникой и общая служебная успешность предсказываются почти исключительно психометрическим интеллектом. В то же время лидерство, дисциплина и успешность в физических занятиях связаны также с темпераментом. Получается, что интеллект влияет на все исследованные стороны службы американского военного, в то время как личностные особенности добавляют свой вклад только в некоторые аспекты.
Интеллект представителей разных профессий
Все приведенные до сих пор данные говорили о роли интеллекта у представителей одной профессии. Однако внутри профессии люди уже оказываются в определенной степени подобранными по интеллекту. Если бы внутри одной какой-либо сложной профессии мы наблюдали представителей всего спектра интеллектуальных возможностей, то перед нами предстала бы еще более впечатляющая картина. К счастью, этого не происходит, и люди с недостаточным когнитивным развитием не выбирают сложных профессий или отсеиваются на подступах к ним.
Наиболее полную картину в этом плане мы находим в Руководстве к Тесту для отбора персонала Вандерлика[4]. За несколько десятилетий применения теста собраны данные об интеллекте претендентов на замещение самых различных должностей. Эти данные показывают, что существует значительная разница в интеллекте между претендентами на разные профессии. Средний коэффициент интеллекта лиц, претендующих в США на должность нотариуса, исследователя-аналитика или менеджера по рекламе, составляет около 120 баллов. Средний интеллект кандидатов на должность сторожа или упаковщика – не более 90 баллов (Wonderlic Personnel Test, 1992). Вообще средний интеллект американцев, занятых квалифицированным трудом (адвокатов, ученых, врачей и т. д.), оценивается в 114 баллов (Storfer, 1990, с. 206).
Представители одной профессии составляют относительно гомогенную в плане интеллекта выборку. Стандартное отклонение коэффициента интеллекта для представителей одной профессии составляет около 8 баллов, что практически вдвое ниже, чем в среднем по популяции (Hunter, Schmidt, Judiesch, 1990).
Таблица 1.2.Предикторы успешности различных аспектов службы в рамках Армейского проекта А в США. Цифровые данные соответствуют множественному коэффициенту детерминации линейной регрессии (R2)
Тест интеллекта из 50 задач, который часто применяется работодателями США при наборе кадров.
Вернуться
Интеллект и творческие достижения
Исследования ныне живущих выдающихся людей – ученых, политиков, деятелей искусства – осуществить достаточно трудно, поскольку такие люди весьма дорожат своим временем и доступ к ним непрост. Тем не менее известно по крайней мере одно систематическое исследование психологических особенностей крупных ученых, проведенное в начале 1950-х годов Э. Ро (Roe, 1952, 1953). Ро провела исчерпывающее интервьюирование и тестирование 64 виднейших американских ученых в области физики, биологии, психологии и антропологии. Характерной особенностью ученых оказался чрезвычайно высокий психометрический интеллект. Ро использовала три шкалы интеллекта – вербальную, пространственную и математическую. Медианное значение показателей выдающихся ученых по первой из них составило 137 баллов, по последней – 166, результаты по пространственному интеллекту были промежуточными. Индивидуальные значения варьировались от 121 до 194 баллов. Учитывая, что IQ более 136 баллов демонстрирует 1 % населения, а значений в 166 баллов достигают сотые доли процента, показатели ученых следует расценить как сверхвысокие.
Также очень высокие показатели, превышающие 140 баллов, зафиксировал по терменовскому тесту понятийного интеллекта (Termen Concept Mastery Test) Ф. Бэрон в своем исследовании творческих писателей (Baron, 1963).
Таким образом, исследования приводят к заключению, что выдающиеся в творческом отношении люди показывают очень высокие результаты по тестам интеллекта.
Интеллект и случай
Зададимся вопросом: насколько большую роль в успехе человека в профессиональной деятельности и жизни вообще играют его личные достоинства, психологические качества, а какую роль – обстоятельства, случай? Очевидно, что роль случая велика. Молодой корсиканец Бонапарт не превратился бы в императора Наполеона, если бы ему не представились два счастливых случая – Тулон и 13-е вандемьера в Париже (Тарле, 1957). Более того, родись он на 100 лет раньше или позже и не застань времен Революции, вряд ли сегодня кто-то знал бы его имя. Но также справедливо и то, что другой человек, не обладающий интеллектом, волей, работоспособностью и жаждой власти Бонапарта, не смог бы воспользоваться подвернувшимися возможностями. Таким образом, феноменальный взлет Бонапарта не был бы возможен как без его необычайных личных качеств, так и без воли случая (или, если угодно, судьбы – не в этом дело).
Пример Наполеона Бонапарта – это яркий, демонстративный случай. Жизнь большинства людей менее ярка, но закономерности остаются теми же. Психология во многих случаях сумела зафиксировать влияние обстоятельств на профессиональный успех, как это было, например, сделано Д. К. Саймонтоном в отношении ученых (Simonton, 1988).
Большую роль в научном успехе, например, играет такое случайное обстоятельство, как место рождения. К. Берри (Berry, 1981, 1990) изучил культурное происхождение более чем 390 лауреатов Нобелевской премии в области науки. Он установил, что большая их часть происходит из больших городов. Так, 60 % американских лауреатов происходило из Нью-Йорка или одного из городов Среднего Запада. В Германии люди, рожденные в Гамбурге, Мюнхене или Штуттгарте, в 10 раз чаще становятся лауреатами, чем выходцы из сельских районов.
Подобно этому более половины выдающихся американских шахматистов происходит из районов Нью-Йорка, Сан-Франциско или Лос-Анджелеса (Gardner, 1982).
Большую роль играет религиозная принадлежность. Протестанты опережают католиков по вкладу в бизнес, науку и искусство таких стран, как США и Германия, где обе эти конфессии представлены (Knapp, Goodrich, 1952).
Большую роль играет также история ребенка в семье. Первенцы имеют существенно больше шансов добиться успеха в жизни (Cattell, Brimhall, 1921, Roe, 1952).
Все эти факты говорят о большой роли внешних обстоятельств в жизненном успехе. Общество равных возможностей остается по-прежнему недостижимой утопией. А раз так, то объяснять успех в жизни только психологическими особенностями личности в принципе невозможно.
Отсюда следует простой и ясный вывод: успех в жизни и профессии не может быть выведен из одних только индивидуальных качеств, там всегда присутствует и доля обстоятельств. Как распределяются между собой доли этих двух факторов? Конечно, оценка здесь может быть лишь очень приблизительной, поскольку, с одной стороны, мы сегодня имеем еще слишком мало данных, с другой – соотношение этих долей – величина переменная, зависящая от общества, профессиональной ситуации и т. д. И все же можно сделать прикидки на основании размера эффекта описанных выше средовых факторов (таких как порядковый номер рождения в семье или места рождения) на достижение профессионального успеха. Эти прикидки показывают, что роль средовых факторов колеблется вокруг примерно 50 %, оставляя другие 50 % на долю индивидуальных особенностей людей.
Каково же место интеллекта среди других психологических свойств, влияющих на профессиональные достижения человека? Однозначного ответа на этот вопрос не может быть – все зависит от конкретных особенностей профессии. Однако можно выявить закономерности этого влияния. Роль интеллекта тем больше, чем:
а) сложнее профессия;
б) больше вес отношений «человек – объект» и меньше – «человек – человек».
Сказанное можно проиллюстрировать результатами Армейского проекта А, осуществленного в США, которые более подробно излагались ранее. Обращение военнослужащих с современной техникой – это достаточно сложная деятельность, в которой наибольшую роль играют отношения «человек-объект». Дисперсия ее успешности, как легко вычислить на основании приведенной выше таблицы на 40 % определяется интеллектом, на 2 % – другими когнитивными особенностями и на 1 % – личностными особенностями и мотивацией в совокупности (Ушаков, 2004). 57 % дисперсии при этом приходится на фактор внешних обстоятельств, непсихологические индивидуальные особенности и те психологические особенности, которые ускользнули от примененных тестов. В целом эта доля дисперсии соответствует тому, что было сказано о роли обстоятельств в успехе человека.
Если же мы возьмем такую сторону военной службы, как дисциплина, которая в меньшей степени основана на сложной когнитивной деятельности и в большей – на социальных отношениях, то результат окажется совершенно иным. Роль интеллекта там весьма мала и объясняет 2,5 % дисперсии. Еще меньше вклад других когнитивных факторов. В то же время темпераментальные и личностные особенности могут объяснить чуть больше 10 % вариации. Характерно, что необъясненная дисперсия оказывается выше в этом случае по сравнению с предыдущим, т. е. тогда, когда основную роль играют личностные факторы, а не когнитивные. Это является косвенным свидетельством того, что тесты интеллекта отрабатывают свою роль много лучше, чем личностные тесты.
Подведем итоги анализа. Представляется, что доля дисперсии профессионального и жизненного успеха, объясняемая психометрическим интеллектом, вполне соответствует разумным ожиданиям от роли, которую играет в жизни ум человека. Ум не решает всех проблем, иногда случается горе от ума, однако в целом он обеспечивает значительную долю успеха в современной жизни. Приводящие к успеху характеристики ума достаточно хорошо отражаются в интеллекте, оцениваемом с помощью тестов. Конечно, любая операционализация латентной переменной не является идеальной, однако прогностическая валидность тестов интеллекта может быть оценена как очень высокая в контексте тех ожиданий, которые мы можем связывать с ролью ума в жизни современных людей.
Интеллект в быту
Большой скандал в США вызвала книга Хернстайна и Мюррея (Herrnstein, Murray, 1994). Между тем в ней содержится много интересных фактов. В таблице 1.3 суммированы некоторые из приводимых в книге исследований, учитывающих жизненные обстоятельства людей различного интеллектуального уровня в США.
Таблица 1.3.Интеллект и особенности поведения в быту. Цифры означают процент людей определенного уровня интеллекта, для которых наблюдается соответствующее явление
Объективные данные, таким образом, показывают, что даже в быту интеллект, измеренный при помощи психологических тестов, оказывается фактором огромной практической важности.
Когда излишний интеллект вреден
Факты типа тех, что приведены выше, составляют львиную долю в результатах исследований внешней валидности тестов интеллекта. Однако для полноты картины необходимо отметить другую сторону. Есть данные, которые говорят, что в некоторых случаях возможно «горе от ума». Так, по данным исследования успешных лидеров в США получается, что для них существует оптимальный уровень интеллекта, несколько превышающий средний уровень группы, к которой лидер обращается, но не очень далеко его превосходящий[5]. При слишком высоком интеллекте лидер становится непонятен для «масс». Об этом говорят и результаты Д. Саймонтона, полученные им из ретроспективных оценок интеллекта Л. Терменом и К. Кокс выдающихся людей прошлого. У Саймонтона получилась невысокая, но значимая отрицательная корреляция (r = –0,29) между оценкой интеллекта и известностью для военных, политических и религиозных деятелей прошлых веков (Simonton, 1976).
Означают ли эти данные, что тесты интеллекта не всегда валидны? Конечно же нет. Они говорят о том, что связь умственных способностей с успехом в жизни непроста и нелинейна. Показательно, что к результатам, говорящим об отрицательной связи очень высокого интеллекта с социальным лидерством приводит не только применение тестов, но и экспертные, «экологические» оценки, как в исследовании Саймонтона.
Интеллект и социальный статус
В современном обществе социальный статус в наибольшей степени определяется образованием, получением престижной профессии, а в дальнейшем – профессиональными достижениями. Поэтому логично ожидать, что тесты интеллекта способны предсказывать социальный статус человека.
Первое исследование, касающееся соответствия психометрического интеллекта реальным достижениям было начато еще в 1921 г. В лонгитюде, проведенном с американским размахом, создатель теста Стэнфорд-Бине Термен и его сотрудники отобрали из более чем 150 тысяч школьников около полутора тысяч детей, показавших наиболее высокие результаты по тестам интеллекта (IQ более 136). Затем через 6–7, 11–19, 30–31 и 60 лет были проведены контрольные исследования жизненных успехов, которых добились высокоинтеллектуальные дети.
Выяснилось, что практически все члены выборки Термена добились высокого социального статуса. Все они закончили школу, а две трети – университет. По числу докторских степеней, опубликованных книг и патентов группа Термена в 30 раз превысила уровень контрольной выборки. Кстати, доход членов группы был в 4 раза выше среднего по США.
Любопытное обстоятельство, однако, заключается в следующем. Ни один из обследуемых не проявил исключительного таланта в области науки или искусства, который выразился бы в существенном вкладе в мировую культуру. В то же время был обнаружен один ребенок, который немного не дотянул до требовавшихся в исследовании Термена 136 баллов КИ, однако в последующей жизни достиг того, чего не удалось достичь никому из избранных – стал лауреатом Нобелевской премии. Это примечательное обстоятельство еще раз напоминает, что нет строгой черты, отделяющей сверхвысокий интеллект от просто высокого; с ростом интеллекта повышается вероятность выдающихся достижений.
Более поздние исследования повторяют результаты Термена. Корреляции между коэффициентом интеллекта ребенка и его статусом во взрослом возрасте могут составлять до r = 0,8, хотя более типичный показатель – r = 0,5 (Rutter, 1989). При этом социальная мобильность (переход из одного класса в другой) в западных странах также зависит от интеллекта. Так, в США и Шотландии переход в вышестоящий класс на 40 % определяется психометрическим интеллектом, причем в Шотландии этот процесс происходит быстрее, чем в США (Равен и др., 1996). В США прирост одного балла коэффициента интеллекта приводит в среднем к повышению годового дохода на 1000 долларов (Storfer, 1990).
Для уточнения результатов Термена и других западных авторов необходимо подчеркнуть, что характер связи способностей с успехом в обществе обусловлен устройством самого общества. Мудрый Конфуций в свое время сказал, что в хорошо устроенном обществе стыдно быть бедным, а в плохо устроенном – стыдно быть богатым. Перефразируя, можно получить весьма актуальное для современной психологии изречение: «В хорошо устроенном обществе умным быть полезно, а в плохо устроенном – вредно».
Известный социолог В. Парето развил теорию «кругооборота элит», согласно которой устойчивым может быть только то общество, которое позволяет своим наиболее способным членам проникать из низших слоев в высшие. В обществе же с кастовыми перегородками в низших слоях создается чрезмерное давление, создаваемое деятельностью наиболее талантливых людей, после чего следует социальный взрыв.
Конечно, и при отсутствии кастовых перегородок движение наверх далеко не всегда определяется интеллектом. По-видимому, принципы кадрового движения в советской номенклатуре еще только ждут своих исследователей. Однако то отсутствие дееспособности советских руководителей, которое стало предметом анекдотов в конце 1970-х годов, говорит, скорее всего, о том, что выдвижение определялось качествами, слабо связанными с интеллектом. Талант не означает непременного успеха. Связь таланта и успеха определены устройством общества.
Приведенные выше исследования выполнены в США и Западной Европе, т. е. странах с устоявшейся и достаточно эффективной системой выдвижения и поощрения наиболее успешных членов общества. В России в плане связи интеллекта с успеваемостью и возможностью поступления в вузы наблюдаются те же закономерности. Нет оснований ожидать и существенных различий в отношении успешности в работе.
Бывший Президент США Дж. Буш-младший при поступлении в колледж набрал по тесту SAT 566 баллов при среднем значении в 500 баллов и стандартном отклонении в 100 баллов, что в пересчете на коэффициент интеллекта составляет приблизительно 110 баллов – результат, хотя и выше среднего, но далеко не блестящий (Sternberg, 2003). Этот результат означает, что каждый пятый взрослый американец превосходит своего президента по коэффициенту интеллекта.
Вернуться
Глава 2. Интеллект как ресурс общества
Если интеллект играет столь важную роль на индивидуальном уровне, то напрашивается предположение, что и на групповом уровне, уровне предприятий, регионов и стран, он будет играть весьма существенную роль.
За несколько последних десятилетий в психологии наблюдался большой прогресс в направлении точности методов и моделей. Созданы мощные статистические подходы, разработаны надежные экспериментальные установки и способы регистрации данных, произошло развитие формализованных теорий. Но все же этот прогресс в наибольшей степени затронул исследовательскую сферу, и психологам еще далеко до коллег-экономистов в отношении построения точных моделей общественных процессов и оценки различных сценариев при организации психологических воздействий. Между тем для принятия ответственных государственных решений точная, желательно количественная оценка последствий принимаемых мер имеет первостепенное значение. Не потому ли психологам не всегда удается убедить в необходимости очевидных, по их мнению, мер чиновников, что обоснование этих мер и предвидение их следствий порой оказывается чересчур «гуманитарным», не обладает достаточной степенью точности?
Представляется, что сегодня, благодаря ряду достижений психологии, созданы предпосылки для развития точных, математизированных моделей, связывающих способности людей и экономические успехи государства.
Экономика как решение задач
Формально задача оценки влияния способностей на экономические показатели относится «к ведомству» экономической психологии. Сегодня в экономической психологии, особенно зарубежной, преобладает развитая в экономической науке парадигма, рассматривающая экономические отношения как отношения обмена. Экономическая жизнь – это обмен всего на все: труда на зарплату, товара на деньги, денег на образовательные услуги и т. д. В рамках этой идеализации создается образ «человека экономического» (homo economicus), подсчитывающего выигрыши и проигрыши от различных обменов и тем самым устанавливающего правила игры в экономической сфере. В контексте такой парадигмы центральной категорией экономической психологии оказывается принятие решений, при которых один исход предпочитается другому, одна возможность обменивается на другую. Психологам удалось показать много интересных и нетривиальных феноменов в сфере принятия решений: установить ограниченную рациональность людей, описать применяемые ими эвристики, которые в определенной степени заменяют рациональные подсчеты и позволяют тем самым снизить когнитивную нагрузку, и т. д. Эти достижения были отмечены Нобелевскими премиями Г. Саймона и Д. Канемана, присужденными им в области экономики.
В рамках такого подхода существуют определенные возможности оценить роль состояний (например, эмоциональных) и индивидуальных особенностей людей (например, интеллекта) в принятии решений и тем самым – в экономических процессах. В частности, показано, что люди с более высокими интеллектуальными способностями несколько иначе ведут себя в ситуации выбора, например, в широко используемой в экспериментальных исследованиях экономических психологов ситуации так называемой «дилеммы узника». Хотя из этих данных вроде бы и следует, что более интеллектуальным людям проще договариваться друг с другом и, следовательно, их взаимодействие ближе к оптимальному, чем взаимодействие менее интеллектуальных людей, однако установить количественный эффект этой оптимизации взаимодействия в терминах экономических достижений представляется затруднительным. Самое же главное состоит в том, что роль одаренности и интеллекта в развитии экономики заключается, скорее всего, не в оптимизации взаимодействия между людьми, а в способности к созданию нового продукта, составляющего экономическую ценность. Талантливые люди разрабатывают новые технические устройства, делают научные открытия, создают более совершенные общественные институты и этим вносят свой вклад в экономический прогресс. Эту интуитивно очевидную сторону экономической роли одаренности парадигма экономики как отношений обмена, к сожалению, вряд ли может включить в свои концептуальные схемы.
Предлагаемый ниже подход состоит в том, чтобы оценить роль человеческой одаренности в экономике, приняв иную исходную идеализацию: представив экономику не как обмен, а как решение задач различной степени сложности. Посеять хлеб, выточить деталь на станке, объяснить особенности товара клиенту, спроектировать техническое устройство, управлять коллективом или вести переговоры с партнерами – все это задачи, которые приходится решать людям, занятым экономической деятельностью. Без этой стороны жизни никакой обмен невозможен, поскольку без нее не будут созданы объекты, подлежащие обмену. Да и сам обмен под этим углом зрения может быть понят как решение определенного рода социальных задач.
На основании представления об экономике как решении задач мы предлагаем модель, позволяющую оценивать экономический эффект, связанный с различными процессами, в которые включен человеческий интеллект. В частности, становится возможным установить экономическую отдачу от программ, нацеленных на образование одаренных людей.
Контуры модели
Смысл предлагаемой модели – использовать уровень способностей людей в качестве фактора, определяющего экономическую эффективность предприятия, региона или государства. Именно здесь решение задач выступает в качестве ключевого объяснительного принципа. В то же время связь способностей людей с эффективностью решения экономических задач не является ни простой, ни непосредственной. Центральным опосредующим звеном, связывающим способности с эффективностью решения задач, является компетентность. Современная экономика требует профессионализма, и даже высокоодаренный человек, не имеющий соответствующей подготовки, не может быть эффективным профессионалом.
Модель, связывающая способности людей с экономическими достижениями предприятия или государства, с нашей точки зрения, должна описывать следующие феномены:
• распределение различных уровней способностей у групп людей;
• процесс превращения способностей в компетентности, позволяющие решать профессиональные задачи;
• процесс превращения компетентностей людей в экономические результаты.
Процесс превращения способностей в компетентности характеризует образование в широком смысле слова, поскольку показывает, в какой степени обществу удается использовать потенциал способностей населения для экономических целей. Именно в совершенствовании этого процесса и заключен основной потенциал влияния программ по образованию одаренных детей на экономические достижения.
Процесс превращения компетентностей людей в экономические результаты характеризует, в какой степени в рамках данной экономической системы способность людей к решению задач разной сложности важна для общих экономических показателей. Очевидно, что экономика, основанная на инновациях, связанная с созданием передовых технологий, в большей степени востребует высокие компетентности, чем экономика, идущая традиционным путем и эксплуатирующая чужие достижения и природные ресурсы.
Оба указанные процесса весьма сложны, и их протекание определяется взаимодействием многих переменных. Представляется, однако, что на сегодняшнем уровне развития науки мы уже способны охарактеризовать их с достаточной точностью, чтобы делать продуктивные выводы.
Ниже будут суммированы полученные в различных областях психологии, а частично и смежных с ней наук, сведения, проливающие свет на закономерности превращения способностей в компетентности, а компетентностей – в экономические результаты. Эти сведения разрозненны, получены в разных областях и в большинстве случаев – вне экономического контекста. Однако ниже они нанизываются на единый концептуальный каркас, что позволяет придти к целостной картине роли способностей людей в экономическом процессе.
Человеческий капитал
Прежде чем переходить к дальнейшему, полезно соотнести предлагаемый подход с исследованиями человеческого капитала, пионером которых стал Нобелевский лауреат Т. Шульц.
Шульц различал врожденные и приобретенные способности, или ценные качества человека. Понятие человеческого капитала отождествлялось им с приобретенными человеком качествами. При этом изучение этой области экономистами Чикагской школы, к которой относился Шульц, было завязано на проблему вложений времени, труда и финансов, приводящих к развитию человеческого капитала. Главный путь этих вложений – образование. Образование рассматривается как вложение денег и времени, которое впоследствии дает отдачу в эффективности труда и заработке.
Можно констатировать, что человеческий капитал проанализирован в Чикагской школе в рамках парадигмы экономической жизни как обмена. Образование – обмен времени и финансов на возможности эффективной работы в будущем. При этом оценивается, за какое время вложения окупятся, какие установки людей способствуют готовности обменивать сегодняшние затраты на выгоды в будущем и т. д.
В рамках парадигмы экономики как обмена можно анализировать и то, что Шульц называл «врожденными способностями», поскольку последние также подлежат обмену. Например, распределение доходов в экономике может объясняться соотношением способностей заработка (earning capacity) работника с предложениями работодателя, перспективами карьеры и т. д. При этом способность заработка включает, конечно, как приобретенные, так и врожденные способности.
В целом, безусловно, подход к человеческому капиталу в рамках парадигмы экономики как обмена весьма продуктивен и позволил разработать ряд интересных математизированных моделей. Однако он не приблизил нас к пониманию роли высоких способностей и работы по их развитию в экономической жизни.
В качестве отправной точки для дальнейшего анализа возьмем проведенное Шульцем разграничение врожденных и приобретенных способностей. Психология, когда-то пользовавшаяся противопоставлением врожденного и приобретенного, сегодня практически полностью отказалась от него ввиду его недостаточной фундаментальности[6]. Представляется, что и в контексте проблемы человеческого капитала это различение не столько проясняет, сколько запутывает суть дела. Дихотомия врожденных и приобретенных способностей, подразумевая рядоположность тех и других, фактически маскирует реальную проблему: формирование компетентностей на основе способностей. Между тем преобразование способностей в компетентности составляет первое звено той детерминационной цепочки, в рамках которой, по нашему мнению, только и можно понять влияние способностей на экономические результаты. Способности сами по себе не имеют экономической ценности, они ее обретают только за счет возможности преобразования в компетентности, которые в свою очередь ценны при условии их использования для решения задач, стоящих перед экономикой. В этом смысле продуктивным представляется использование не дихотомии врожденных/приобретенных способностей, а пары понятий способности – компетентности. В этом контексте не важно, являются ли способности врожденными или приобретенными, определяемыми генетикой или средой (хотя для общей психологии это, конечно, весьма существенная проблема). Важно, что это относительно стабильные в течение трудовой жизни человека свойства, определяющие возможность и степень овладения компетентностями.
Понятно, что компетентность может быть в общем виде представлена как функция двух переменных – способностей человека и предоставленных ему возможностей получить образование в широком смысле этого слова. Исследования человеческого капитала представителями экономической науки сосредоточены на втором аспекте. В контексте проводимого здесь анализа, напротив, важен первый аспект.
Какое же соотношение удельных весов этих компонентов? По-видимому, их соотношение в историческом времени изменяется. Так, наличие профессиональных секретов, цеховых ограничений и других препон на пути циркуляции знаний увеличивают роль образования и снижают роль способностей.
Напротив, убыстрение темпов изменения знаний приводит к тому, что полученное образование быстрее обесценивается и во главу угла становятся способности приобретать новые знания, умения и навыки.
Функция, связывающая способности и компетентности, характеризует определенный исторический период, региональные условия и экономические особенности. Поэтому долю наиболее одаренной части общества в общем экономическом развитии можно обсуждать только применительно к тем или иным конкретным историческим и региональным условиям. Поскольку в современном мире знания производятся и обновляются во все нарастающем темпе, а преграды на пути его распространения, если и не становятся меньше, то вряд ли и увеличиваются, то логично предположить, что роль способностей людей в формировании компетентностей возрастает. Впрочем, сегодня такого рода предположение может быть проверено эмпирически.
Компетентность, способности и успешность решения задач
Следует точно определиться с тем, что мы понимаем здесь под компетентностью, поскольку это понятие используется по-разному. В нашем контексте компетентность необходимо определить максимально широко – как профессиональное мастерство, совокупность всех качеств, знаний и умений, позволяющих человеку эффективно решать задачи в определенной сфере. В компетентность в этом смысле включаются не только те свойства, которые позволяют выполнять нормированную профессиональную деятельность, но и те, что служат высшим творческим достижениям. При таком понимании талант – это высшая степень компетентности. Например, если достижения ученых порой осуществляются при помощи творческого озарения, инсайта, то возможность делать открытия через инсайт входит в компетентность ученого в используемом здесь широком понимании этого термина. Чем выше уровень компетентности, тем больше творческого начала входит в нее.
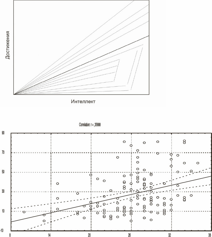
Ценность исследований психологов проявляется в том, что они позволяют установить связь между способностями людей и возможностью приобретения ими компетенций. Это стало возможным за счет диагностических методов оценки способностей, развитых в психологической науке. Каков же характер связей, выявляемых психологическим исследованием между способностями и компетентностями? Исследования дают очень схожие результаты. В верхней части рисунка 1.1 изображена схема типичного соотношения способностей и учебных достижений (Дружинин, 2002, с. 46). В нижней части того же рисунка приведен конкретный пример, взятый из одного из эмпирических исследований (Ушаков, 2003).
На рисунке видно характерное треугольное распределение: низкому уровню способностей соответствуют низкие учебные достижения, в то время как высокому могут соответствовать как высокие, так и низкие достижения. Треугольное распределение фактически означает соотношение необходимого, но недостаточного условия между способностями и компетентностями. Описанная закономерность не только важна для общей оценки связи между способностями и экономическими достижениями, но и указывает на большой потенциал нереализованности, содержащийся в правой части распределения, т. е. в наиболее одаренной части общества.
Означает ли регулярная повторяемость треугольного распределения в самых разных исследованиях его непреложность как закона, независимого от среды, культуры и условий развития? Отнюдь нет. Исследования, в которых это распределение получается, выполнены на испытуемых, имевших сходные возможности для развития компетентности. Например, школьники, посещающие один и тот же класс, имеют если не идентичные, то близкие возможности развития компетентности в математике, истории или географии. Именно тогда складывается треугольное распределение.
Фактически различия врожденного и приобретенного – это различия пренатального и постнатального, которые весьма условны. В то же время врожденное легко навевает ассоциации с генетически заданным, что приводит к ошибочным заключениям, ибо пренатальное развитие в значительной мере детерминировано средой, а генетические факторы нередко увеличивают свое влияние на более поздних стадиях онтогенеза.
Вернуться
Компетентность и экономическая эффективность
Рассмотрим теперь превращение компетентностей в экономический результат. Проводя дальше линию анализа экономики как решения задач по аналогии с открытыми и закрытыми задачами, введем различение профессиональных деятельностей с открытым и закрытым типом успешности. Задачи закрытого типа предполагают только один вариант решения, который является оптимальным и не может быть дальше усовершенствован. Задачи открытого типа имеют множество решений, степень совершенства которых сверху не ограничена.
Если обратиться к миру профессий, то очевидно, что, например, деятельность рабочего у конвейера, контролера в общественном транспорте или кассира имеет закрытый тип успешности. При низком уровне компетентности эта деятельность не достигает оптимума успешности и характеризуется большим количеством брака. Однако по достижении определенного уровня компетентности успешность достигает потолка и далее не возрастает.
Профессии закрытого типа успешности могут быть весьма разными по когнитивной сложности и требовать разных уровней компетентности и необходимой для ее приобретения способности. Если работа у конвейера обычно не рассматривается как требующая интеллекта выше среднего, то деятельность, например, нотариуса, согласно американским правилам профессионального отбора, предполагает интеллект, превышающий средние значения более чем на одно стандартное отклонение (Gottfredson, 1997). Тем не менее нотариус или же бухгалтер – тоже профессии с закрытым типом успешности: после достижения определенного уровня профессиональной компетентности прирост успешности прекращается. Суть этих профессий – проведение действий в соответствии с установленными нормами. Если нормы выполняются, деятельность должна быть признана успешной, и далее ее успешность не повышается ввиду того, что превышать нормы не требуется или даже противопоказано.
В то же время вроде бы близкая деятельность адвоката не имеет четкого потолка успешности. Возможность влиять на суд в пользу своих подзащитных выдвигает из среды адвокатов таких выдающихся личностей, как Плевако или Кони. Аналогично, например, в сфере науки продуктивность ученого не ограничена сверху, и вклад талантливых личностей в ее развитие многократно превосходит среднестатистический уровень. Только что обсужденный аспект модели имеет любопытные следствия. Если способности нормально распределены в соответствии с гауссовым законом, то треугольный характер зависимости, представленной на рисунке 1.1, будет приводить к возникновению левосторонней асимметрии распределения компетентностей, как это показано на рисунке 1.2 (см.: Дружинин, 2002).
Рис. 1.2.Левосторонняя асимметрия распределения компетентностей
Если сопоставить асимметрию распределения компетентностей, изображенную на этом рисунке, и соотношение компетентностей и достижений в профессиональной деятельности открытого типа успешности, можно придти к выводу, что в наиболее творческих профессиях следует ожидать резкую асимметрию распределения достижений. Это означает, что в таких профессиях значительную часть продукта производит относительно небольшая часть занятых в них людей. Собственно, это совпадает с эмпирически установленными закономерностями.
Еще в конце XIX в. социолог Парето установил, что 80 % доходов в Англии того времени получали 20 % населения и нашел схожее распределение для других стран и времен. Хотя из асимметрии распределения трудовых вкладов и должна следовать асимметрия доходов, обратное неверно. Кроме того, распределение Парето оказалось применимым к очень широкому кругу феноменов – от функционирования компьютерных процессоров до систем контроля качества на производстве. В этом смысле его трактовка как следствия асимметрии трудовых вкладов представляется необоснованной, хотя применение принципа Парето к распределению трудовых вкладов на предприятиях может рассматриваться как достаточно правдоподобное.
Существуют, однако, другого рода оценки – связанные с закономерностями, которые были обнаружены в творческих профессиях. Так, согласно закону Прайса (Price, 1963), половина всех произведений в данной области создается группой, численность которой равна корню квадратному из общего числа членов данного сообщества. Например, если классический музыкальный репертуар образован произведениями примерно 250 композиторов, то половина этого репертуара принадлежит корню квадратному из 250, т. е. примерно 16 композиторам, что и обнаруживает эмпирическое исследование (Moles, 1968). Функция распределения продуктивности в любой сфере творчества оказывается резко асимметричной, причем асимметричность увеличивается с ростом выборки. Для разумных объемах выборки асимметрия оказывается существенно выше, чем в случае распределения Парето.
На основании изложенных положений модели можно выдвинуть следующее дополнительное предсказание: увеличение значимости наиболее сложных и творческих компонентов в деятельности будет приводить к нарастанию асимметрии. Это предсказание до сих пор не проверялось, однако допускает эмпирическую проверку. Например, можно предположить, что периоды «научных революций» в смысле Т. Куна требуют более неординарных подходов, чем периоды «нормального развития науки», и, следовательно, будут приводить к более выраженной левой асимметрии распределения научного продукта, в том числе измеряемого – публикаций.
Оценка связи способностей, компетентности и экономических показателей в современном мире
Теперь следует перейти на более высокий уровень – от успешности деятельности отдельного профессионала к предприятию и экономике в целом. Прежде всего очевидно, что перед разными странами (и предприятиями) стоят разные задачи и для достижения одинаковых результатов от них требуются разные усилия и уровни компетентности. Следовательно, уровень компетентностей – лишь один из факторов, определяющих экономический успех, но, как будет видно из дальнейшего, весьма существенный фактор, объясняющий значительную часть дисперсии экономических показателей.
Показатели экономики представляют собой нелинейную комбинацию результатов профессиональной деятельности отдельных индивидов. Другими словами, общий результат экономики можно представить как входящие в него с разными весами результаты различных профессиональных деятельностей с закрытыми и открытыми типами успешности. В этом случае инновационная экономика характеризуется тем, что с наибольшим весом в нее входят профессиональные деятельности с открытым типом успешности.
Таким образом, связь между компетентностями людей и экономическими результатами оказывается опосредованной экономическим устройством общества. Эти процессы и структуры сами по себе представляют существенный интерес и заслуживают отдельного моделирования. Мы же здесь же воспользуемся существующими данными, которые позволяют установить отношение, характеризующее современную мировую экономику.
Для оценки связи способностей, компетентности и экономических показателей в современном мире сегодня есть возможность воспользоваться данными, собранными известным английским психологом Р. Линном.
Линн начинал с данных, касающихся связи экономического развития регионов различных стран с интеллектом их населения (см., например: Davenport, Remmers, 1950). Затем он получил аналогичные данные для различных регионов западноевропейских стран. Корреляции составили r = 0,73 для 13 областей Великобритании, r = 0,61 для 90 департаментов Франции и r = 0,65 для 48 районов Испании (Lynn, 1979, 1980, 1981).
В 2002 г. Линн и финский политолог Т. Ванханен выпустили книгу «Коэффициент интеллекта и благосостояние наций», в которой утверждалось, что интеллект населения стран является существенным фактором, оказывающим влияние на состояние их экономик (Lynn, Vanhanen, 2002). Авторы составили список среднего интеллекта для 81 страны мира на основании опубликованных данных исследований интеллекта (рисунок 1.3). Они обнаружили высокую корреляцию посчитанного ими национального интеллекта как с доходом на душу населения в этих странах (корреляция составила примерно 0,7), так и с экономическим ростом в периоды 1950–1990 и 1976–1998 гг. (корреляция 0,6–0,65). Эти корреляции лишь незначительно уменьшались, если из списка, например, выводились африканские страны.
Рис. 1.3.Связь национального интеллекта и среднедушевого дохода в различных странах мира
В более поздней работе на материале тех же данных Р. Дикерсон уточнил, что связь интеллекта с доходами страны аппроксимируется экспоненциальной зависимостью лучше, чем линейной (Dickerson, 2006). При повышении коэффициента интеллекта на 10 баллов национальный доход на душу населения примерно удваивается.
В соответствии с изложенной моделью связь между интеллектом и экономическими показателями опосредована компетентностями людей. Следовательно, если адекватно измерить в межгосударственном масштабе компетентности, можно ожидать, что их корреляции как с национальным интеллектом, так и с экономическими показателями окажутся выше, чем у этих двух конструктов между собой. Меры, позволяющие оценить компетентности, логично искать в сфере оценок образовательных систем. На первый взгляд данные, полученные в этой сфере, могут показаться довольно противоречивыми.
В работах экономистов с применением метода Байесовского усреднения классических оценок (BACE – Bayesian Averaging of Classical Estimates) было показано, что интеллект проявляет себя более мощным предиктором экономического развития, чем различные параметры системы образования (средняя продолжительность образования, его охват и т. д.), как, кстати, и рыночная свобода, демократия, инвестиции (Weede, Kampf, 2002; Jones, Schneider, 2006).
Иную картину, однако, дает анализ показателей образования не по формальным признакам, а по результатам испытаний учащихся.
С одной стороны, Линн показал высокую связь показателей среднего интеллекта по странам и результатов международных исследований качества образования (PISA и TIMSS), r = 0.9 с учетом коррекции на ненадежность измерений (Lynn, 2008).
С другой стороны, в проведенном Э. Хантом и В. Виттманом иерархическом регрессионном анализе показатели по PISA оказываются наиболее мощным предиктором ВВП, по отношению к которому интеллект не добавляет значимо объясняемой дисперсии (Hunt, Wittman, 2008).
Таким образом, правдоподобно заключить, что компетентности действительно выступают опосредующим звеном между интеллектом и экономическими показателями. К этому, однако, нужно добавить, что формальные показатели системы образования, такие как средняя продолжительность обучения, охват населения различными уровнями образования и т. д., не являются сами по себе хорошими показателями приобретенных компетентностей.
Еще один вопрос, который заслуживает здесь рассмотрения, заключается в том, связаны ли экономические показатели со средним уровнем интеллекта населения или же с особенностями его распределения, например, размером интеллектуальной элиты или, напротив, уменьшением числа людей с чрезмерно низкими когнитивными способностями, не позволяющими заниматься сколько-нибудь квалифицированной работой. В рамках развиваемой модели это означает относительную важность для экономики решения задач разного уровня сложности. Конечно, средний интеллект населения и размер интеллектуальной элиты – связанные показатели, однако их корреляция не достигает единицы. Такие страны, как США или ЮАР, имеют больший разброс интеллектуальных показателей, чем, например, западноевропейские государства, следовательно, при одинаковых средних значениях интеллекта там окажется больше лиц, как входящих в интеллектуальную элиту, так и не способных к ведению квалифицированной работы.
В недавнем исследовании было показано, что национальная продуктивность, оцениваемая по числу патентов, в большей степени связана с численностью интеллектуальной элиты, чем со средним интеллектом населения (Gelade, 2008). Необходимо добавить, что число патентов – это показатель не столько работы всех индивидов в целом, сколько наиболее дееспособных и активных из них, поэтому сильная связь с размером интеллектуальной элиты не может вызвать большого удивления. В терминах предложенной модели можно выразить сказанное следующим образом: структура сложности задач в изобретательской деятельности, отражаемой в количестве патентов, не типична для таковой в экономике в целом.
Наконец, следует отметить, что исследования Линна показали экономическое значение не просто интеллекта, но генерального фактора интеллекта, т. е. фактически одномерной когнитивной способности. Это позволяет существенно упростить модель, отказавшись от многомерного представления способностей. Конечно, сводя способности к одному измерению, мы теряем некоторый объем информации. Весьма вероятно, что существует экономическое значение креативности в ее психометрическом понимании. Порой обсуждается специальная роль вербального интеллекта (Storfer, 1990). Однако уже одни только данные по экономическому значению генерального фактора интеллекта настолько существенны, что составленная на их основе модель позволяет делать весомые выводы. Формирование некоторых компетентностей требует определенных специальных способностей, но на глобальном уровне, изучавшемся Линном, речь идет о результирующей, которая отражается в генеральном факторе интеллекта.
