автордың кітабын онлайн тегін оқу Пол и гендер
Е. П. Ильин
Пол и гендер
Предисловие
Основой для этого издания послужила моя предыдущая книга – «Дифференциальная психофизиология мужчины и женщины» (2003), которая в целом получила положительные отзывы. Однако отмечались в ряде случаев и имевшиеся в книге недостатки. В частности, меня упрекали в том, что в приложении я привел несколько опросников из популярных брошюр, что снижает научный уровень книги. Отчасти соглашаясь с этим, а также для уменьшения объема книги, в этом издании я заменил их несколькими методиками, разработанными или адаптированными отечественными психологами.
Гораздо серьезнее замечание одного из рецензентов (Степанов, 2003), что в «Дифференциальной психофизиологии…» я не отразил свою собственную позицию. Полагаю, что это недоразумение. Одна из моих позиций обозначена в предисловии: «При написании данной книги я старался объективно обобщать и отражать имеющиеся в литературе отечественные и зарубежные данные … не давая перевеса ни биологическому, ни социальному рассмотрению проблемы». Вторая позиция обозначена в последней главе, где доказывается, что рассмотрение только биологических половых различий без учета маскулинности – фемининности мужчин и женщин во многом искажает имеющиеся реальные различия и сходства между мужчинами и женщинами. Представленные моими аспирантами в последние годы диссертации подтвердили этот тезис. Результаты их исследований позволили значительно обогатить новыми данными проблему гендера и поставить вопрос о целесообразности введения понятия фенотипический пол, отражающего сплав генетического (биологического) пола и гендерного (психологического) пола.
Итак, новое издание подверглось существенным структурным изменениям: помимо новых глав и параграфов, в него включены многие неизвестные мне ранее результаты исследований отечественных и зарубежных ученых об особенностях мужчин и женщин. Правда, при этом я был вынужден ограничить ссылки на работы зарубежных авторов, количество которых не поддается учету. Так, только с 1970-х по 1990-е гг. о половых различиях за рубежом было опубликовано более 20 тысяч статей (Myers D., 1990), а в одной из последних книг по проблеме пола и гендера (Lips H., Sex and gender, 2008) приведено около 2000 ссылок на англоязычные публикации.
Обилие литературы делает все более трудным поиск публикаций, в которых проблема пола и гендера продвигалась бы вперед. Во многих публикациях приводятся лишь подтверждения уже известных фактов и мнений. Кроме того, западные установки по вопросам гендера не совпадают с российским менталитетом.
Чаще всего это относится к социальному и экономическому положению женщин (см., напр., одну из последних публикаций: Lectures on the Psychology of Women, Eds. J. Chrisler et al., 2008). К сожалению, отечественные социальные психологи и социологи, придерживающиеся феминистских установок Запада, во многих случаях безосновательно переносят их в нашу действительность, вольно или невольно извращая реальную картину.
Повторюсь: как при работе над изданием «Дифференциальной психофизиологии…», так и в этой книге я старался объективно обобщать и отражать имеющиеся в литературе отечественные и зарубежные данные, – не давая перевеса ни биологическому, ни социальному рассмотрению проблемы. Полагаю, что объективности моего изложения способствует и то обстоятельство, что характеристика мужчин и женщин дается в сравнительном плане, что позволяет более выпукло выявить имеющиеся между ними различия и уменьшить долю субъективизма, который наблюдается при описании отдельно взятых мужчин и женщин. Но и даже принятый мною подход, вероятно, не позволяет полностью исключить субъективизм в характеристике мужчин и особенно женщин, поскольку многие обобщаемые мною работы по гендерной психологии написаны либо женщинами-феминистками, либо мужчинами – противниками феминисток. Как отмечают В. Д. Еремеева и Т. П. Хризман (2001), «нам не дано самим побывать в мире иного пола, пожить его проблемами, поболеть его болезнями, проникнуть в мир его мыслей, понятий, отношений, негласных правил. И поэтому иногда нам кажется, что этого второго мира и нет… К сожалению, у нас нет другого образца, кроме самих себя. С этим образцом (а образцом ли?) мы и сравниваем своих детей: и мальчиков и девочек» (с. 14). Вследствие этого, пишет И. С. Кон (1988), «женщины не могут судить о женской психологии потому, что они пристрастны, а мужчины – потому, что они некомпетентны» (с. 10). То же можно сказать и относительно суждений мужчин и женщин о мужской психологии, только теперь в роли пристрастных будут выступать исследователи – мужчины, а в роли некомпетентных – исследователи-женщины.
Настоящая книга снабжена приложением, в котором приведены научный словарь терминов, относящихся к рассматриваемой проблеме, методики изучения половых различий, а также обширный список литературы для тех, кто захочет изучить проблему более углубленно.
Издание рассчитано на студентов-психологов, аспирантов и преподавателей психологии, но может оказаться полезным и для студентов биологических факультетов, изучающих физиологию человека, а также для студентов педагогических учебных заведений и педагогов.
Введение
Пол, а не религия, есть опиум для народа.
И. Гоффман, американский ученый
Сила женщины в том, что ее не объяснишь с помощью психологии. Мужчин можно анализировать, а женщин… только обожать!
Оскар Уайльд
Что женщина существо неординарное – об этом не догадывается только совершенно погрязший в самолюбовании идиот. Но при этом практически для всех мужчин (и самых обычных, и самых прозорливых) при проникновении в загадку женщины свойственно до предела упрощать проблему. Точнее сказать, упрощать проблему до уровня собственного понимания (или непонимания).
Курбатов В. И., 1993, с. 10.
Изучение и учет различий между мужчинами и женщинами – насущная задача наук, изучающих человека. Когда я был аспирантом, один умудренный опытом человек дал мне совет: если ты хочешь получить в эксперименте «чистый» результат, не включай в экспериментальную группу женщин. Я тогда в душе посмеялся: вот еще один женоненавистник. Однако чем больше я занимался научными изысканиями, тем чаще вспоминал этот совет, поскольку неоднократно получал разные данные на мужской и женской выборках. Подобные факты я находил как в психологической, так и в физиологической литературе. Например, Р. Девис и А. Бухвальд (Davis R., Buchwald A., 1957) отмечают, что один и тот же стимул может вызвать у мужчин и женщин разные физиологические сдвиги. В работе Л. А. Гановой (1998) у юношей и девушек выявлены различные по смыслу корреляции между агрессивностью, локусом контроля, тревожностью и сформированностью самоконтроля. Аналогичные факты имеются и в других исследованиях – читатель сможет убедиться в этом. Поэтому подчас создается впечатление, что женщины – какие-то другие «хомо сапиенсы», со своей физиологической и психологической спецификой, не вписывающейся в логику «нормальных» зависимостей и физиологических закономерностей. Недаром В. Д. Еремеева и Т. П. Хризман, два нейрофизиолога, назвали свою книгу «Мальчики и девочки – два разных мира». И как тут не вспомнить известного врача Парацельса, сказавшего еще в XVI в., что женщина ближе к земле, чем мужчина, или Л. Я. Якобсона (1929), писавшего, что «сущность диморфизма в области психики составляют не количественные различия, а глубокие качественныеотличия, формирующие духовный мир женщины в совершенно ином виде, чем мир мужчины» (с. 60). Это порождает представление о непознаваемости женской души, что находит отражение во многих пословицах. Например, в Корее говорят: «Глубину воды познать можно, а душу женщины – нет».
Женщины, в отличие от мужчин, являются вдохновителями поэтов, художников, композиторов (недаром музы – женского рода), но они же служат и главным объектом оттачивания мужчинами своего остроумия и злословия. Таким образом, женщины занимают в общественном сознании особое место, выделяющее их, в противоположность мужчинам, из «вообще» людей.
И. С. Кон (1981) подчеркивает значение учета половых различий при изучении формирования личности, ибо «все или почти все онтогенетические характеристики являются не просто возрастными, но половозрастными, а самая первая категория, в которой ребенок осмысливает собственное Я, – это половая принадлежность» (с. 47). Теоретическая недооценка пола, пишет И. С. Кон, «практически оборачивается тем, что традиционно мужские свойства и образцы поведения невольно принимаются и выдаются за универсальные (очень многие психологические и психиатрические опросники и схемы имеют откровенно маскулинные акценты, особенно когда речь идет о подростках), что мешает пониманию специфических проблем женской половины человечества и противоречит принципу равенства полов» (с. 47).
Психологический уклад мужчины и женщины, хотим мы этого или нет, существенно различается. Для всех здравомыслящих людей достаточно очевидным является различие между мужскими и женскими манерами, привычками, оценками, представлениями о должном, приемлемом и допустимом. Любой человек без патологических отклонений в психике не видит здесь ни ущемления, ни дискриминации. Напротив, противоестественными выглядят попытки устранить данные различия. В наше время происходило множество «кампаний» по стиранию всяких различий, например, между городом и деревней, умственным и физическим трудом и т. п. Слава Богу, что никому из власть предержащих не приходила идея стирания различий между мужчиной и женщиной.
Немецкий философ Фридрих Ницше в своем знаменитом трактате «По ту сторону добра и зла» резонно замечал, что впасть в ошибку при разрешении проблемы «мужчина и женщина», отрицая в ней антагонизм и необходимость вечно враждебного напряжения, – это типичный признак плоскоумия. Можно было бы добавить, что это не та проблема, которая разрешается только законодательным предоставлением одинаковых прав, возможностей и обязанностей.
Курбатов В. И., 1993, с. 3.
Это же отмечает и Е. П. Кораблина (1998а): «Понимание жизни человеческого общества невозможно без дифференциации половых ролей и стереотипов мужественности и женственности, отражающих различия в предназначении и психике мужчин и женщин» (с. 174). В. Д. Еремеева и Т. П. Хризман (2001) подчеркивают важность учета половых различий в воспитании детей: «Если не дано нам пожить в этом чужом (мужском или женском. – Е. И.) мире, то попробовать понять его мы обязаны, если хотим понять ребенка, помочь, а не помешать ему раскрыть те уникальные возможности, которые даны ему своим полом, если хотим воспитать мужчин и женщин, а не бесполых существ, потерявших преимущества своего пола и не сумевших приобрести не свойственные им ценности чужого пола» (с. 15). Поэтому данную проблему изучают не только психологи, но и нейрофизиологи, социологи, философы, этнографы, культурологи (Весельницкая Е., 1993; Хамитов Н., 1995; Этнические…, 1991).
Факт телесного несходства мужчин и женщин еще не говорит о том, что именно отсюда происходят и все наблюдаемые различия между ними. Ведь помимо конституциональной стороны эти различия имеют социокультурный контекст: они отражают то, что в данное время и в данном обществе считается свойственным мужчине, а что – женщине. Кроме того, существует точка зрения, что наше восприятие биологических различий между полами тоже определяется культурными факторами (Laqueur, 1992). Например, со времен античности до конца XVII в. в Европе преобладало представление о том, что женский организм является недоразвитым вариантом мужского. Именно поэтому различительными признаками мужского и женского в то время выступали не столько конституциональные, сколько социальные признаки: занимаемый в обществе статус и выполняемые социальные роли. Если бы такое видение биологических различий сохранилось до сегодняшнего дня, то с учетом новых знаний о человеческой природе мы были бы более склонны считать мужской организм модификацией женского (Келли Г., 2000). Однако в эпоху Возрождения мировоззрение европейцев изменилось; и мужчины, и женщины были признаны полярно различными по своей природе организмами. С этого момента социальные различия между мужчинами и женщинами стали связываться с различиями в их биологическом статусе.
Воронцов Д. В., 2003, с. 27–28.
Сейчас становится все более очевидно, что бесполые физиология и психология нередко существенно искажают истинную картину. Больше того, невнимание к половому составу экспериментальных групп может приводить к противоречивым результатам и выводам в экспериментах, проводимых по одной и той же методике, в зависимости от того, кто преобладал в данной выборке – мужчины или женщины (Gur R. E., Gur R. C., 1977; Herron J., 1980). В качестве примера сошлюсь на диссертацию И. Г. Викторовой (2003), которая изучала личностные и индивидные особенности студентов, осваивающих различные образовательные программы. В одной выборке у нее были студенты педагогического университета, а в другой – электротехнического института. Программы обучения в этих вузах действительно разные, закавыка только в том, что первая группа состояла исключительно из лиц женского пола, а вторая – только из лиц мужского пола. Спрашивается: что отражают выявленные автором различия между этими группами – специфику образовательных программ или половые различия?
Проблему половых различий начали изучать в конце XIX – начале XX в. Российским пионером в изучении этой проблемы был П. Е. Астафьев (1899а, б), в Голландии ей посвящал свои исследования Г. Гейманс (1911) и др. В частности, Г. Гейманс предложил трем тысячам голландских семейных врачей описать поведение своих пациентов. В результате были получены характеристики 1310 мужчин и 1209 женщин. Внес свою лепту в рассмотрение вопроса о половых различиях и З. Фрейд (1991), который в работе «Женственность» описывал мужчин как активных, стремящихся к власти и контролю над миром, а женщин как пассивных, зависимых, склонных к мазохизму и завидующих мужской анатомии. Однако интенсивное изучение проблемы половых различий началось лишь в середине XX в. – после опубликования в 1957 г. обзорной статьи Дж. Макки и А. Шериффс (McKee J., Sherriffs A.), и с этого времени она занимает большое место в зарубежной психологии. Литература, ее освещающая, поистине громадна. С середины 70-х гг. XX в. публикаций, посвященных половым различиям, ежегодно появлялось до полутора тысяч. Однако главной темой в них является изучение гендерной роли женщины в разных социумах, чему посвятили свои исследования ученые разных стран: Б. Банкарт (Bankart B., 1985) – в Японии, Т. Дамжи и К. Ли (Damji Т., Lee C., 1995) – в мусульманских странах, Р. Хаббарт с соавт. (Hubbart R. et al., 1982) – в Дании, Дж. Парри (Parry J., 1983) – в Англии, Р. Лу и П. Логан (Loo R., Logan P., 1977) – в Канаде и т. д. Но ведущее положение в изучении этой проблемы принадлежит американским исследователям, издающим в большом количестве монографии и учебники по гендерной психологии и социологии. В США издаются журналы по этой тематике: «Psychology of Women Quarterly», «Sex Roles», «Journal of Gender», «Culture and Health», «Gender and History».
Проводится большое количество кросскультурных исследований женских гендерных ролей: сравниваются женщины, живущие в США и Бразилии (Levine R., West L., 1979), в США и Испании (Hinshaw L., Forbes G., 1993), в США, Китае и на Тайване (Chia R. et al., 1997), в США, Гватемале и на Филиппинах (Gibbons J. et al., 1993).
Отечественных ученых вопрос о половых различиях в психической сфере интересовал до недавнего времени мало, несмотря на то что еще в 1960-х гг. его поставил Б. Г. Ананьев со своими учениками, а позднее в социологии – С. И. Кон. В настоящее время половые различия стали изучаться довольно интенсивно, но в основном в рамках гендерной психологии и большей частью в отношении женщин (для примера сошлюсь на недавние публикации Никольской И. М. и Петровой К. В., 2004; Проект Ю. Л. и Левенец Е. В., 2004; Скрыль В. Н., 2004; Суворовой О. В. и Васильевой Е. Н., 2004; Maltin M., 2000; Chrisler J. et al., 2008. Можно было бы привести публикации и многих других авторов).
Пол и гендер – одно и то же или это разные понятия?В последние десятилетия появилось множество публикаций, преимущественно зарубежных, касающихся половых и гендерных различий. Однако в них наблюдается явно односторонний подход, объясняющий различия в способностях и поведении мужчин и женщин только воспитанием и социализацией. Однако различия в поведении мужчин и женщин следует искать не только во влиянии психологических и социальных установок общества, но и в биологических различиях, в том числе гормональных, центрально-нервных, морфологических. Как бы ни влияло общество на формирование поведения людей разного пола, первоистоки этих различий надо искать в биологической предназначенности мужчин и женщин. Неслучайно изучением этой проблемы занимаются не только дисциплины гуманитарного профиля – психология, социология, философия, этнография и культурология (см., напр., работы Кагана В. Е., 1990; Кона С. И., 1981; Весельницкой Е., 1993; Хамитова Н., 1995; Этнические…, 1991), но и многие дисциплины биологического профиля – генетика, эндокринология, эмбриология, эволюционная биология, физиология (см., напр., работы Геодакяна В. А., 1972; Еремеевой В. Д. и Хризман Т. П., 2001). Неслучайно и то, что в 1975 г. в США начал издаваться междисциплинарный журнал «Sex Roles» («Половые роли»). Да и в психологии появилось эволюционистское направление изучения половых различий, которое рассматривает многие из них как функционально заданные природой: раз эти различия есть, значит, они нужны с точки зрения эволюции вида.
Сказанное дает основание рассматривать различия между мужчинами и женщинами в способностях, поведении, профессиональной деятельности и семейной жизни как комплексную психофизиологическую проблему, включающую в себя биологические, психологические и социальные аспекты.
Несхожесть в характеристиках мужчин и женщин, обусловленная как биологическими, так и социальными факторами, привела к использованию различных терминов, обозначающих эту дифференциацию, – «пол» и «гендер». Однако нельзя не отметить: часто эти термины отождествляются, что создает трудности в понимании того, о чем пойдет речь в той или иной ситуации, и создает почву для непродуктивных дискуссий.
Рассмотрим, например, определения этих понятий, данные разными учеными.
Слово «пол» следует использовать для описания демографических категорий. Однако когда речь идет о природе мужественности или женственности, следует применять слово «гендер» (Deaux K.).
Понятие «пол» включает в себя черты, непосредственно обусловленные биологическим полом, тогда как «гендер» подразумевает те аспекты мужского и женского, причины возникновения которых еще неизвестны (Unger R.).
В отличие от пола, гендер представляет собой психологическое явление, относящееся к усвоенным формам поведения и установкам, сопряженным с биологическим полом (Герриг Р., Зимбардо Ф.).
Пол – это совокупность анатомо-физиологических особенностей организма, заданных от рождения. В то же время гендер – это социальный пол, социальный конструкт пола, надстраиваемый обществом над физиологической реальностью. По знаменитому выражению Вирджинии Сапиро, гендер – это «осознанное значение пола». Как с юмором сказала И. В. Древаль на круглом столе «Гендерные исследования: цели и результаты»: «Пол – это раздетые мужчина и женщина, а гендер – уже одетые».
Сабунаева М. Л., Гусева Ю. Е., 2003, с. 369–370.
В одном случае понятие «гендер» означает только системы ожиданий общества в отношении маскулинных и фемининных ролей, т. е. рассматривается как социальная характеристика мужчин и женщин. В других случаях гендер понимается как различные комбинации между окружающей средой и биологией, а понятие «пол» связывается только с анатомическими различиями между мужчинами и женщинами (Lips, 2008).
Д. В. Воронцов (2003) пишет: «Нередко характеристики биологической активности смешивают с поведением в социально-психологическом смысле. И тогда возникает вопрос: о каких характеристиках, собственно, идет речь, когда поведение обозначается как “истинно” мужское или женское? Смешение половых и гендерных характеристик приводит к тому, что к характеристикам мужественности и женственности одновременно относят и психофизиологические, и социокультурные аспекты психологических различий, тогда как в ситуациях реального взаимодействия между собой люди редко связывают биологические особенности своего организма с гендерными характеристиками. На смешении половых и гендерных различий часто строится критика гендерного подхода к поведению людей. Вместе с тем далеко не все психологические различия между мужчинами и женщинами тесно связаны с биологическими, а пол и гендер – не взаимодополняющие категории, социальные конструкты человеческой сексуальности. Только один термин делает акцент на биологических основаниях психологических различий и сводит все встречающееся многообразие к тому или иному строению гениталий, тогда как другой термин подчеркивает социокультурное происхождение психологических различий. И пол, и гендер являются системами условных обозначений, которые формируют определенный порядок отношений между людьми, их отношение к различным проявлениям сексуальности, а также определяют формы представления себя другим людям в разнообразных практиках социального взаимодействия» (с. 30).
Основная мысль, высказанная в приведенной цитате Д. В. Воронцова: пол и гендер – разные феномены. Однако и этот автор, как мне представляется, не до конца ясно обозначил свою позицию, используя термины, требующие четкого определения и разъяснения различий между ними. Например, в каком смысле автор использует такие понятия, как «сексуальность», «мужественность» и «женственность»? Вызывает также удивление, что различия по биологическому полу связываются автором только со строением гениталий, что пол и гендер – не взаимодополняющие категории человеческой сексуальности. Это же можно сказать и о фразе: «В ситуациях реального взаимодействия между собой люди редко связывают биологические особенности своего организма с гендерными характеристиками». Во-первых, почему только своегоорганизма? Во-вторых, если не связывают, то в чем тогда состоит половая идентификация?
В западной литературе (а подчас и у нас) делаются попытки заменить слово «пол» словом «гендер». Неслучайно многие книги озаглавлены «Гендерная психология»,[1] что не мешает авторам рассматривать в них и вопросы, связанные с биологическим полом. Тот же упрек можно адресовать и отечественным психологам и социологам: например, Н. Б. Гафизова (2003) пишет, что «гендерная идентичность – аспект самосознания, описывающий переживания человеком себя как представителя определенного пола» (почему тогда речь идет о гендерной идентичности, а не половой?), что «гендерная социализация – процесс, в котором биологические различия между мужчинами и женщинами наделяются социальным значением» (т. е. различия уже заданы, и им лишь придается то или иное социальное значение) и что «в наиболее известных культурах основой гендера служит анатомический пол» (с. 115, выделено мной. – Е. И.). В чем же тогда специфика гендерных особенностей, если все сводится к биологическим различиям, к полу? Если основа гендера – биологический пол, то как появляется у женщин маскулинность (признаки мужского поведения), а у мужчин – фемининность (признаки женского поведения)?
Как отмечает Ш. Берн (2001), вопрос терминологии еще не разрешен учеными, поэтому у авторов принято с самого начала определять свой выбор. Однако вряд это можно считать конструктивной позицией. Более правильно, как мне представляется, четко различать термины, обозначающие биологические различия между мужчинами и женщинами, и различия, сформированные под влиянием социума. Если речь идет о биологических различиях между мужчинами и женщинами как индивидами, то целесообразно использовать термины пол, половой диморфизм,[2] в англоязычной литературе – секс.[3] Когда же говорят о психосоциальной, социокультурной роли мужчин и женщин как личностей, то лучше говорить о гендере, гендерных различиях.
В целом вопрос о половых различиях остается достаточно запутанным, и одна из задач заключается в том, чтобы выяснить, в какой мере полоролевые стереотипы целесообразны, т. е. соответствуют природе мужчины и женщины, а в какой мере они ошибочны. Важно, чтобы при рассмотрении этой проблемы не было перехлеста ни в сторону роли биологических факторов, ни в сторону роли социальных факторов. Положение о социальном равноправии мужчин и женщин не должно мешать ученым видеть имеющиеся биологические и психологические различия, и как можно отрицать целесообразность их учета при распределении ролей в общественной и профессиональной жизни общества? Можно, конечно, в стране, которая не собирается воевать, назначить на должность министра обороны женщину, но что-то не видно женщин, желающих стать грузчиками или шахтерами. И цивилизованное общество не настаивает на участии женщин в этих видах труда не потому, что женщин хотят унизить, а потому, что учитывает их физиологические особенности, щадит женщин, тем самым проявляя к ним уважение. Странно читать некоторые работы, в которых все поведенческие (полоролевые) особенности женщин приписываются исключительно социальному влиянию. До сих пор, однако, никто не доказал, что биологические факторы совершенно не влияют на поведение человека, на его способности, склонности (вкусы). Наоборот, в психофизиологии все больше накапливается фактов, подтверждающих наличие такого влияния. Но если биологические различия между мужчинами и женщинами очевидны, то почему надо отрицать наличие и психологических различий, в том числе и поведенческих, отражающих эти различия? Поэтому многие постулаты гендерной психологии и особенно социологии смахивают на игры политиков в популизм. Речь идет не об ущемлении прав того или иного пола, а об учете различий между ними в интересах общества.
Нельзя отрицать, что поведение лиц мужского и женского пола есть следствие их социализации и воспитания в соответствии с представлениями общества о роли мужчин и женщин. Однако возникает вопрос: почему у человечества сформировались такие представления? И почему, несмотря на смену исторических и экономических эпох, они все же в своей основе остаются незыблемыми? Скорее всего, потому, что они основываются не на чьей-то прихоти, а на народной мудрости, учитывающей биологические возможности мужчин и женщин.
Д. Джири (Geary D., 1989) отмечает, что природа и воспитание взаимодействуют в сложном процессе создания половых различий. Он пишет, что культура способна смягчать или усиливать ранние, биологически заложенные половые различия, а поскольку культура постоянно меняется, вполне логично ожидать, что и величина половых различий тоже будет меняться.
О том же говорит и В. Е. Каган (2000): «Анализ материалов дискуссии, последовавшей за выходом в свет монографии Е. Маккоби и К. Джеклин (1976), показывает, что дихотомия биологического и социального изжила себя: средовые влияния являются необходимым условием реализации врожденных программ в той же мере, в какой врожденные программы являются необходимой точкой приложения средовых влияний» (с. 65).
Следует отметить, что обсуждаемая проблема во многих исследованиях (Алешина Ю. Е., Лекторская Е. В., 1989; Анучин В. В. и др., 1984; Бабаева Л. В., Чирикова А. Е., 1996; Балибалова Д. И., 1995; Баскакова М. Е., 1998; Буткевич В. А., 2001; Весельницкая Е., 1993; Горчакова В. Г., 2000; Завьялова Е. К., 1998; Казанцева Г. Н., 2001; Кобзева Е., 1991; Кораблина Е. П., 1998; Либоракина М. И., 1995; Новикова Э. Е. и др., 1978; Осипова Л. В., 2004; Палуди М., 2003; Попова Л. В., 1996б; Раковская О. А., 1996; Ранник Э., 1978; Рековская И. Ф., 1993; Ржаницына Л. С., Сергеева Г. П., 1995; Роузнер Дж., 1995; Рыбцова Л. Л., 1997; Сальвагио Р., 1996; Сафонова М. В., 1999; Сергиенко Е. А., Пугачева А. Н., 1995; Суслова Т. Ф., 1999; Таслер Е., 2001; Усачева Н. А., 1994; Харчев А. Г., 1972; Ходырева Г. Л., 1997; Хорни К., 1993; Челышева Н. А., 1999; Шевченко Л., 1999; Щербич Л. И., 1997, Lectures…, 2008, и др.) освещается с учетом специфики только женского пола. Так, в одном исследовании автор опросила женщин, занимающихся бизнесом, что мешает им в создании собственного дела. Были получены такие ответы: 1) отсутствие правовых гарантий и несовершенство системы законодательства; 2) нестабильная экономическая и политическая обстановка в стране; 3) уязвимость перед вымогательством (рэкет), отсутствие безопасности; 4) отсутствие связей в сфере бизнеса (Е. Кобзева, 1991). Спрашивается: что специфического для женского бизнеса выявила автор? Разве те же проблемы не касаются бизнесменов-мужчин?
Или, например, при обсуждении «пропасти между полами» во время президентской предвыборной кампании в США, пишет Д. Майерс (2000), комментаторы удивлялись тому, что большинство женщин голосует за демократов, но при этом не пытались выяснить, почему большинство мужчин голосуют за республиканцев.
На фоне многочисленных исследований, посвященных женщинам, работ, посвященных мужчинам, намного меньше (Здравомыслова О. И., 1992; Кон И. С., 2001; Лихтенберг Ф., 1994; Синельникова А., 1998; Урланис Б. Ц., 1969; Шенкман С., 1977; Эйсенсен И., 1989).
Выявить мужскую или женскую специфику можно только при их сравнении, а не при изолированном изучении женщин или мужчин. Для науки и женщины и мужчины представляют одинаковый интерес. Однако при этом следует избегать «приукрашивания» своего пола, сглаживания имеющихся различий. Игли и Карли (Eagly, Carli, 1981) отмечают, что как ученые-мужчины, так и ученые-женщины склонны представлять субъектов своего пола в более выгодном свете, нежели противоположного. Если обнаруживаются различия в способностях в пользу женщин, то исследователи-мужчины менее склонны признавать их достоверность, если же обнаруживаются различия в пользу мужчин, то уже исследователи-женщины считают их несущественными, случайными.
Так, в книге Ш. Берн, Т. В. Бендас «Практикум по гендерной психологии» есть глава «Гендерный аспект (!) взаимосвязи биологических и психологических характеристик личности».
Вернуться
«Диморфизм» – существование двух разных форм.
Вернуться
Последнее вносит путаницу при чтении этой литературы, так как в нашем понимании секс – это сексуальное поведение, а не пол.
Вернуться
Раздел первый. Пол как биологическое явление
Глава 1. Биологические аспекты половой дифференциации
1.1. Целесообразность и биологическое предназначение наличия в природе двух полов
Биологическое предназначение мужчин и женщин можно было бы выразить очень кратко: задача мужчин – оплодотворять женщин, а задача женщин – рожать детей. Эта позиция отражает наиболее влиятельную концепцию XIX в. – дарвинизм и его развитие в виде социального дарвинизма XX в., которая делает упор на «естественный отбор», а также на основное и самое высокое назначение женщины в обществе – материнство, являющееся неотъемлемым фактором процветания нации. Как полагал И. И. Мечников, ради этой миссии природа допускает отставание женщин в развитии. Вот что он писал по этому поводу в начале XX в.: «Многими натуралистами вполне осознан тот факт, что женщина представляется как бы соответствующей мужчине в юношеском возрасте, следовательно, задерживается на известной ступени развития подобно тому, как задерживается развитие личинкоподобной самки многих насекомых, самцы которых являются в виде гораздо более развитых крылатых существ. Никто, конечно, не выведет из моих слов, чтобы я утверждал, будто женщина не способна к развитию и должна во всех случаях и вечно оставаться на личинкоподобной стадии развития. Я утверждаю только, что прогрессивное развитие женщины не должно совершаться в ущерб ее способности размножения, выкармливания и воспитания детей, совершенно подобно тому, как усиленная деятельность рабочих пчел, муравьев и термитов могла явиться не иначе как вместе с появлением бесплодия или же плодовитости в экстренных исключительных случаях, и фактическое доказательство этого мнения представляют нам Соединенные Штаты. Женщины-янки с давних пор заботятся о собственном развитии и сделали в этом отношении огромные успехи, но они совершились, видимо, за счет размножения и семейной жизни» (1913, с. 92). Конечно же, речь у И. И. Мечникова идет не о потере способности к деторождению в результате эмансипации женщин, а об изменении их социальной роли в семейной жизни и отношения к рождению большого количества детей. Не секрет, что чем более образована женщина, тем меньше у нее детей. Это плата за ее интеллектуальное развитие.
Мужчина и женщина – это две ноты, без которых струны человеческой души не дают правильного и полного аккорда.
Джузеппе Мадзини
С позиций социального дарвинизма большинство представителей науки и образования единодушно противостояли попыткам женщин добиться социального равноправия, доказывая физиологически обусловленное ограничение не только физической, но и умственной и социальной активности женщин. В 1887 г. председатель Британской медицинской ассоциации выступил с предложением о том, чтобы в интересах социального прогресса и улучшения человеческой расы образование и другие виды активности женщин были запрещены конституцией как потенциально опасные, вызывающие перегрузку женского организма и неспособность произвести здоровое потомство.
Один из ученых писал в это же время, что функции овуляции, беременности, лактации и менопаузы по очереди доминируют в женском организме, истощая его и не оставляя достаточных для иной деятельности энергетических ресурсов. Даже такой прогрессивный деятель, как Герберт Спенсер, в своем труде «Принципы биологии» (1867) доказывал, что чрезмерный умственный труд негативно влияет на физиологическое развитие и детородные функции женщин.
Наконец-то женщины, наравне с мужчинами участвующие в производственном процессе, получили возможность вместе с ними управлять жизнью внешнего мира. Но они обладают еще исключительным правом контроля над продолжением рода. В любой момент они могут отказаться рожать детей. А в ближайшем будущем благодаря искусственному осеменению они смогут решать этот вопрос самостоятельно. Обратный же процесс невозможен: для продолжения рода необходима женщина. Таким образом, казавшаяся незыблемой идея соединения двух полов как первостепенного условия деторождения ставится сегодня под сомнение. И когда биологи и генетики предсказывают, что скоро можно будет оплодотворять ядро женской клетки без сперматозоида, становится ясно, как близко мы подошли к, казалось бы, фантастической идее партеногенеза, который в данном случае будет женским.
Даже если женщины третьего тысячелетия и не воспользуются этой возможностью, вполне вероятно, что мужчины болезненно отнесутся к подобному изменению своего статуса. Повидимому, им предстоят серьезные испытания. Возможно, они еще острее ощутят утрату характерных для своего пола черт, своей уникальности и нужности. Поэтому можно предположить, что они всеми силами будут стараться вернуть себе хотя бы часть своей былой власти. Уже сейчас биологи предсказывают невероятное: меньше чем через полвека мужчины смогут «вынашивать» детей. И это уже не научная фантастика. Скоро придется коренным образом пересмотреть взаимоотношения полов, определение их специфических качеств и отношение к их равенству.
Элизабет Бадинтер (Курьер ЮНЕСКО. 1986. Апрель).
Но в высказывании И. И. Мечникова есть и биологический подтекст: природа регулирует развитие самок, воспроизводящих потомство, и в этой регуляции действительно есть загадка. Как будет показано ниже, девочки опережают в темпах развития мальчиков на протяжении многих лет, обгоняют их в абсолютных параметрах и вдруг с окончанием полового созревания начинают отставать в развитии от субъектов мужского пола. Зачем это происходит? Зачем женщина должна уступать в физическом развитии мужчине?
Хотя роль мужчин в воспроизведении потомства нельзя сбрасывать со счетов, главная роль принадлежит все-таки женщине: именно она вынашивает плод, от ее стараний зависит полноценность этого плода, а эффект этих стараний тесно связан с характером ее профессиональной и общественной деятельности, с отсутствием физических и психических перенапряжений, столь характерных для стремящейся сделать профессиональную или общественную карьеру женщины. Поэтому можно понять опасения многих ученых: не пострадает ли в результате таких устремлений семейный уклад и воспитание детей? Так, Г. Спенсер, руководствуясь подобными опасениями, считал необходимым ограничить возможности любой деятельности женщины для того, чтобы вся ее энергия принадлежала ребенку и домашнему быту, – только такой уклад является, с его точки зрения, наиболее эффективной формой человеческой организации. У немцев этот принцип получил развитие в виде «трех К», предназначенных женщине: Kinder (дети) – Kuche (кухня) – Kirche (церковь).
Как отмечают Уильямс и Бест (Williams J., Best D., 1986), свобода перемещения женщины была ограничена, поскольку ей всегда нужно было ухаживать за младенцами, и коль скоро женщина оказалась «запертой в пещере», ей имело смысл заняться ведением домашнего хозяйства. В то же время мужчины могли отлучаться от домашнего очага, следовательно, заниматься охотой и войнами. Это было выгодно еще и потому, что опасные дела с участием женщин могли грозить исчезновением производительниц потомства.
Д. Басс (Buss D., 1989), а также Д. Кенрик (Kenrick D., 1987), придерживающиеся биосоциального, или эволюционного, взгляда, полагают, что такие черты, как мужская доминантность и женская заботливость, могли появиться путем естественного отбора и эволюции. С их точки зрения, мужчин женщины выбирали за черты, связанные с доминантностью и социальным статусом, а женщин мужчины – за черты, указывающие на высокие репродуктивные возможности и умение заботиться о потомстве. Предполагается, что эти черты положительно влияют на репродуктивный процесс и, следовательно, начинают чаще встречаться в популяции. Исследования выбора партнера в паре действительно показывают, что женщин сильнее влечет к мужчинам, которые кажутся доминантными, а мужчины тянутся к внешне привлекательным и молодым женщинам, причем эти различия проявляются в различных культурах.
Кайзерлинг («Из дневника философа») характеризует [ «половую полярность»] следующим образом: «Мужским мы называем варьирующий принцип, женским – сохраняющий; мужским – делающее, женским – воспринимающее и понимающее. Мужчина создает явление, женщина придает телесность его причине. Каждый человек есть синтез мужественности и женственности».
Но следует ли из этого, что женщина ниже мужчины? Разумеется, нет. Если она в каком-нибудь отношении уступает ему, то в другом бесспорно превосходит его. «Эти два резко разнящиеся друг от друга мира – мужской и женский – скорее призваны, по Ишлондскому, дополнять друг друга, стремиться к достижению взаимной гармонии, как бы к достижению состояния равновесия, нарушенного в тот самый момент, когда в природе имело место обособление полов. Это постоянное стремление полов к взаимной гармонии, никогда не прекращающееся, но никогда и не достигающее цели, и обусловливает тот феномен, который мы называем любовью»…
Каждому полу, говорит академик В. М. Бехтерев («Недооценка социальной роли женщины» (Вестник знания. 1925)), своя роль как в биологии, так и в социальном строительстве, и роль в равной мере необходимая в культурном равновесии человечества. Если, говорит он, человечество желает остаться культурным, то оно должно оберегать женщину как носительницу драгоценнейших качеств своего пола в социальных условиях жизни. В. М. Бехтерев заходит, однако, слишком далеко, когда утверждает, что культурное общество должно оберегать в большей мере женщину как носительницу своего пола, чем мужчину, «ибо в ней или в связи с ней вся культура будущего человечества». Мне думается, что об этом не мечтают даже самые пылкие феминистки.
Якобзон Л. Я., 1929, с. 78–79.
В. А. Геодакян (1965, 1972) целесообразность наличия двух полов видит в их специализации по двум главным альтернативным направлениям эволюционного процесса – консервативному (сохранение свойств вида) и прогрессивному (приобретение видом новых свойств). Мужской пол реализует «прогрессивную» тенденцию, а женский – «консервативную», обеспечивая неизменность потомства от поколения к поколению. Женский пол филогенетически более устойчив (ригиден), но зато онтогенетически более пластичен. Мужской пол филогенетически менее устойчив (более пластичен), но онтогенетически – ригиден. Мужской пол – это передовой отряд популяции, берущий на себя функцию столкновения с новыми условиями существования. Если они достаточно сильны, то формируются новые генетические тенденции, которые могут быть переданы потомству.[4]
Эти представления соответствуют данным отечественных биологов, обнаруживших более высокую генетическую обусловленность ряда морфологических и физиологических характеристик у лиц мужского пола и большую зависимость этих признаков от средовых влияний у женщин (Никитюк Б. А., 1974, 1976, и др.).
Метафорой женского естества может быть персик с его твердой косточкой, но податливой мякотью, а метафорой мужского – мякоть ореха в твердой скорлупе. Соединение того и другого естества повышает эволюционную устойчивость вида.
Но для того, чтобы приобретать что-то новое, ценное для потомства, необходим поиск новых условий существования, освоение новых пространств. Этим и занимаются самцы, тем более что у них имеется высокая предрасположенность к поисковому поведению.
Классическая теория эволюции человека исходит из представления о том, что ведущую роль в этом процессе играл «мужчина-охотник». Предполагалось, что именно мужчины, занимаясь важной и опасной деятельностью – охотой за крупным зверем, изобрели не только орудия труда, но и социальную организацию, включая язык. Женщинам же эта теория отводила второстепенную роль, «их мир – это дом», женские виды деятельности (прежде всего собирательство), в противоположность мужским, рассматривались как биологически ориентированные и не требующие иных навыков, кроме тех, которые заложены в женщинах от природы.
Альтернативные описания эволюционного процесса появились на основе критики представлений о женщине как о пассивном сексуальном ресурсе для мужчин.
В 1970 г. антропологи А. Зилман и Н. Тэннер развили собственную теорию эволюции человека. Центральное место в ней принадлежит идее, что женщины, занимаясь собирательством, внесли существенный вклад в эволюционное развитие. Отталкиваясь от исследований приматов (чем питаются шимпанзе, какие орудия используют), Зилман отказалась от представления об охоте как о краеугольном камне эволюционного процесса. Она показала, что собирательство требует определенных умений и относительно большого объема знаний (какие растения и плоды следует собирать, когда и где их искать и пр.) и, соответственно, способствует развитию коммуникаций и изобретению новых орудий. Кроме того, опираясь на работы в области детской психологии, Зилман установила, что особая связь между матерью и ребенком также сыграла важную роль в человеческой эволюции. Теории, предложенные феминистскими антропологами, вовсе не отрицают роли «мужчины-охотника», напротив, они доказывают, что и женщины и мужчины равно внесли свой вклад в эволюционный процесс.
Виноградова Т. В., 2001, с. 115.
Однако в концепции В. А. Геодакяна есть и слабые места. Например, поисковая активность самцов объясняется тем, что в отличие от женщин, сравнительно легко адаптирующихся к изменяющейся ситуации, мужские особи приспосабливаются к изменениям среды плохо и лучшим выходом для них является поиск нового места, в котором им будет снова комфортно. Но если они находят прежнюю оптимальную для них среду, то зачем им изменяться?
Зато концепция В. А. Геодакяна хорошо согласуется с большими потерями мужской популяции. Ведь попадание в новую, неизвестную ранее среду при поисковой активности самцов непременно связано с нарушением гомеостаза и с риском гибели. Однако это не «пугает» природу. Ведь реально количество потомков зависит не от самцов, а от самок, от того, какое количество детей они способны воспроизвести. Это значит, что гибель большого числа самцов может слабо отразиться на числе потомства, тогда как гибель самок способна заметно снизить численность популяции. В. А. Геодакян ссылается на тот факт, что у гаремных животных 85 % самок оплодотворяются всего лишь 4 % самцов высокого ранга, а остальные к размножению допускаются только в экстремальных ситуациях, когда больше гибнет самцов, чем самок. Конечно, по отношению к человеку этот пример не имеет прямого отношения, однако простые расчеты показывают, что для оплодотворения женщин в первобытном обществе, когда сексуальные отношения были полигамными, большого количества мужских особей не требовалось, тем более если учесть, что способность к новому зачатию могла возникнуть у женщин только через девять месяцев.
В то же время, как отмечает В. Е. Каган (1991), распространять концепцию В. А. Геодакяна на человеческую психологию и поведение следует с максимальной осмотрительностью. Прямой перенос биологических закономерностей на психологию и социологию оборачивается утверждением мужского шовинизма.
Теория функционализма (взаимодополняемости двух полов) также подчеркивает положительную функцию дифференциации половых ролей. Придерживающиеся этой теории исследователи считают, что в современной семье супруги выполняют две различные роли: инструментальную и экспрессивную.
Американская исследовательница-антрополог Нэнси Рис (1994), анализируя представления о мужчинах и женщинах, подчеркивает сущность андроцентричной культуры, при которой мужчины соотносятся с обществом, а женщины – с природой. Такие взгляды находят свое отражение в языке, в художественном творчестве и даже в науке. Основное в этих взглядах – «символическое противопоставление мужчин как существ более “окультуренных”, общественных, женщинам – существам, более близким к природе. Это … породило ряд двойных оппозиций, таких как: жизнь женщины мотивирована биологически, а жизнь мужчины – социально; у женщин на первом плане тело, а у мужчин – мысль; женщины руководствуются страстями и инстинктами (материнскими, воспитательными), тогда как мужчин направляет их рассудок и интеллект: место женщины – в кругу семьи, в то время как сфера мужчины – это общество, политика, бизнес» (Рис Н., 1994, с. 45).
Одним из факторов, влияющих на формирование вторичности образа женщины, является, по мнению гендерных исследователей (Воронина О. А., 2001; Клименкова Т. А., 2002), тот тип разделения труда, который строго определенным образом закрепил в культуре ряд характеристик, имеющих отношение к полу. На мужчину здесь возложена активность, связанная с производительным трудом, а на женщин – с обеспечением воспроизводства рабочей силы, т. е. условий по поддержанию жизни. Такое разделение труда привело к тому, что женщина «отодвигается» за пределы общественной сферы. Она выполняет то, что скрыто, что «никто не видит», что предназначено для внутреннего употребления, что необходимо, но вторично. Этот вид труда не учитывается обществом как реально значимый, и женщина как его носительница приобретает более низкий статус, чем мужчина.
Клецина И. С., 2004, с. 229.
Инструментальная роль, выполняемая мужчиной, состоит в поддержании связи между семьей и внешним миром; это работа и обеспечение семьи деньгами. Экспрессивная роль, выполняемая женщиной, проявляется в установлении гармонии и внутреннего эмоционального климата семьи; она связана в первую очередь с заботой о детях и выполнением домашних дел.
Подробнее об этой теории см.: Гордон А. Диалоги-2. М.: Предлог, 2005. С. 221–258.
Вернуться
1.2. Биологические механизмы половой дифференциации
Вопрос о том, почему получаются мальчики и девочки, интересовал человечество давно. При этом выдвигались разные причины. Например, Аристотель считал, что главное – как ласкают друг друга мужчина и женщина, кто более страстен во время полового акта; если более страстен мужчина, то получится мальчик, если женщина – то девочка.
Несмотря на бурное развитие биологии в XIX – первой половине XX в., тайна появления ребенка определенного пола была раскрыта лишь во второй половине XX в. с помощью генетиков.
Как известно, носителем наследственных свойств является хромосомный аппарат. В каждой клетке человека находится 23 пары хромосом – 22 пары так называемых аутосом, одинаковых у мужчин и женщин, и одна пара половых хромосом, которая у них различается. У женщин это две X-хромосомы (паттерн XX), у мужчин одна X и одна Y-хромосома (паттерн XY), т. е. мужской генетический пол является гетерогаметным, а женский – гомогаметным.
В процессе созревания каждая половая клетка утрачивает половину своего хромосомного набора (остается лишь по одной хромосоме из каждой пары). Зрелая мужская половая клетка – сперматозоид – содержит 22 аутосомы и одну половую хромосому – X или Y (поэтому есть сперматозоиды двух видов – более крупные, с круглой головкой, содержащие Y-хромосому, и менее крупные, с овальной головкой, содержащие X-хромосому). Женская половая клетка – яйцеклетка – содержит 22 аутосомы и одну половую хромосому, всегда Х. При слиянии яйцеклетки со сперматозоидом восстанавливается полный набор хромосом – по 22 пары аутосом и пара половых хромосом. Однако пары половых хромосом могут быть разными. Если яйцеклетка оплодотворяется X-сперматозоидом, то в зародышевой клетке – зиготе – образуется пара из двух X-хромосом, т. е. женская, и тогда в дальнейшем развитие плода идет по женскому типу. Если же яйцеклетка оплодотворяется Y-сперматозоидом, то в зиготе образуется мужская пара половых хромосом и развитие плода идет по мужскому типу.
Вообще-то зародыш изначально запрограммирован на то, чтобы развиваться в особь женского пола, о чем говорил французский биолог Альфред Жост еще до открытий генетикой Xи Y-хромосом. Однако присутствие Y-хромосомы останавливает развитие еще не дифференцированных половых органов плода (которые иначе превратились бы в яичники) и направляет их развитие по мужскому типу, превращая в яички.
Процесс половой дифференциации начинается с момента оплодотворения яйцеклетки и проходит ряд стадий, каждая из которых имеет свои специфические задачи, причем результаты развития, достигнутые на каждой стадии, становятся необратимыми (Вундер П. А., 1980; Донован Б. Т. и ван дер Верф Тен Бош Дж., 1974, и др.). Основные этапы и компоненты половой дифференциации отражены Д. Мани (Money D., 1980) в следующей схеме (рис. 1.1).
Генетический пол определяет истинный, или гонадный, пол (от греч. gone – семя), т. е. пол, обусловленный строением половой железы (яичка или яичника). Так, паттерн XY, характерный только для мужских клеток и делающий их несовместимыми с иммунологической системой женского организма, программирует за счет наличия в Y-хромосоме гена SRY превращение (на 4–8-й неделе) зачаточных гонад мужского плода в семенники, способные порождать сперматозоиды. В хромосоме X паттерна XX имеется ген DSS, направляющий развитие индифферентной половой железы в яичники, которые способны порождать яйцеклетки. Возникновение яичек или яичников обусловливает гаметный пол (от греч. gametes – супруг, gamete – супруга). Таким образом, ген DSS играет у паттерна XX такую же роль, как ген SRY у паттерна XY. В конце 3-го месяца яички начинают продуцировать мужской половой гормон тестостерон(андрогены) и ингибирующую субстанцию, которая подавляет развитие женских половых органов. Тестостерон стимулирует развитие внутренней репродуктивной системы по мужскому типу и, кроме того, как предполагают ученые, влияет на развитие мозга и нервной системы: в мозг поступает команда прекратить цикличное выделение гормонов, вследствие чего у лиц мужского пола отсутствуют менструальные циклы после наступления пубертата. Возникает гормональный пол, который у зародыша определяет дифференциацию внутренних репродуктивных органов (внутренний морфологический пол) и наружных гениталий (внешний морфологический пол), а также особых нервных механизмов – так называемых половых центров, которые в дальнейшем регулируют маскулинное или фемининное поведение человека. С наступлением полового созревания количество андрогенов у мальчиков увеличивается, так как они вырабатываются не только в коре надпочечников, как у женщин, но и в мужских половых железах. А чем больше в организме андрогенов, тем больше проявляется маскулинное поведение.
Гипоталамус, где расположены половые центры, не только дифференцируется под влиянием зародышевых гормонов, но и сам является психоэндокринным органом; его пренатальная программа, ориентированная на мужское и женское поведение, определяет характер его реакции на половые гормоны пубертатного периода, а эта реакция, в свою очередь, вызывает соответствующее полодиморфическое поведение.
В период полового созревания выделяется большое количество гормонов, окончательно определяющих биологические различия по полу. За этот период у мальчиков уровень тестостерона увеличивается в 18 раз, а у девочек уровень эстрадиола – в 8 раз (Biro F. et al., 1995).
При отсутствии или недостатке в соответствующий критический период зародышевых андрогенов половая дифференциация автоматически, независимо от хромосомного пола, происходит по женскому типу (Либерман Л. Л., 1966; Розен В. Б. с соавт., 1991). Примером может служить развитие ребенка в тех случаях, когда в силу патологического влияния экологии (интоксикация, радиация) не формируются половые железы (состояние агонадизма). С другой стороны, если мать в период беременности принимает препараты, стимулирующие появление мужского гормона (тестостерона), то женский эмбрион может «дефеминизироваться», что впоследствии проявится в маскулинизации женского поведения (Collaer M., Hines M., 1995). Такие девочки предпочитают общество мальчиков и игры, свойственные мальчикам, самоуверенны и независимы. Все это доказывает значительно большую роль для внутриутробной дифференцировки полов андрогенов, чем эстрогенов.
Установлено, что вероятность рождения мальчика тем выше, чем моложе родители (Stern C., 1960). Так, у матерей 18–20 лет отношение родившихся мальчиков к девочкам было 120:100, а у матерей 38–40 лет – 90:100. Имеет значение и то, какая по счету беременность: у первородящих мальчики рождаются чаще; чем выше порядковый номер родов, тем ниже вероятность рождения сына. Кроме того, если к моменту овуляции сперматозоид уже находится в половых путях женщины, больше вероятность рождения девочки, если же он попадает туда после овуляции, возрастает вероятность рождения мальчика (Бауст Э., 1872). Уже в XIX в. было замечено, что беременность мальчиком продолжается на неделю дольше, чем беременность девочкой.
Можно ли этому верить?
Французские медики разработали диету для будущих родителей. Врачи утверждают, что соблюдение ее перед зачатием позволяет с достоверностью до 80 % планировать пол будущего ребенка. Вот эти диеты.
Рекомендуемые продукты питания, чтобы родилась девочка: шоколад, какао, кальциевые минеральные воды; мясо в ограниченном количестве; яйца, молоко, сливочные сырки, творог; хлеб и печенье без соли, выпечка без соли и дрожжей; рис, манка; картофель в ограниченном количестве; баклажаны, свекла, морковь, огурцы, зеленые бобы, горошек, перец стручковый, лук; яблоки, груши, клубника, малина, лимоны, грейпфруты; сухофрукты, несоленый миндаль, фундук, арахис; сахар, варенье, желе, сметана, перец, пряности.
Рекомендуемые продукты питания, чтобы родился мальчик: сок фруктовый, минеральная вода с содой; колбасы, копчености; яичный белок; печенье, бисквиты; картофель, грибы, чечевица, сушеный горох; бананы, финики, абрикосы, апельсины, черешня; чернослив, шоколад.
В общем, для зачатия девочки надо больше кальция, а для зачатия мальчика – больше калия.
Различия в быстроте развития мужского и женского организма видны уже на стадии эмбриона. У девочек развитие скелета идет быстрее. После рождения они на 1–2 недели опережают мальчиков в формировании костей. В то же время по длине и весу мальчики при рождении больше девочек на 2–3 % (Tanner J., 1978).
Нарушение развития пола. В ряде случаев в период внутриутробного развития происходит отклонение от описанной выше программы полового развития вследствие недостатка или избытка мужского полового гормона, из-за чего возникает мужской или женский псевдогермафродитизм.
Женский псевдогермафродитизм выражается в омужествлении наружных половых органов (увеличение клитора). Повышенное содержание в организме девочки андрогенов приводит к формированию мужского соматотипа, который характеризуется увеличением роста (за счет нижних конечностей) и увеличением ширины плеч при уменьшении ширины таза, а также уменьшением жировой массы тела и увеличением мышечной массы. Задерживается половое созревание (в 14 лет отсутствуют грудные железы и менструации).
1.3. Кого рождается больше – мальчиков или девочек?
Еще в 1661 г. стало известно, что в мире мальчиков рождается на 6 % больше, чем девочек (очевидно, в связи с тем, что в составе спермы преобладают Y-сперматозоиды, обеспечивающие при оплодотворении яйцеклетки развитие зародыша по мужскому типу развития; в среднем Y-сперматозоидов 150–170: 100 X-сперматозоидов). Однако этот громадный перевес мужских гонад не приводит к такому же перевесу рождающихся мальчиков над девочками, так как большая гибель мужских особей начинается уже в период беременности. Известно, что общее число ранних выкидышей составляет до 25–30 % всех зачатий. При этом оказывается, что на 100 выкидышей плодов женского пола, случающихся в 3 первых месяца беременности, приходится 160–170 выкидышей плодов мужского пола (Новосельский С. А., 1958). Часто гибель будущего мальчика происходит раньше, чем женщина узнает, что она беременна. В результате мальчиков рождается лишь немногим больше, чем девочек. В среднем для всех рас это соотношение равно 105,5: 100, а в СССР в 1970 г. оно было 104: 100. Правда, следует иметь в виду, что в странах Востока искусственно (путем абортов) снижается число родившихся девочек, что вызвано как религиозными предрассудками (девочки во многих семьях считаются нежелательными), так и демографическими условиями (перенаселенностью). Поэтому, например, в Южной Корее мальчиков рождается на 14 % больше, чем девочек, а в Китае – даже на 18 % в результате умерщвления 76 млн плодов и новорожденных женского пола (Kristof, 1993; Klasen, 1993).
В связи с этим различают три вида соотношения полов: первичное (соотношение мужских и женских зигот, или половых клеток), вторичное (соотношение пола новорожденных) и третичное (соотношение представителей мужского и женского пола в зрелой популяции среди способного к воспроизведению населения).
Небольшой остров Дзинодзи в Японии называют «островом мальчиков». Здесь уже многие годы мальчиков рождается в 3,5 раза больше, чем девочек. Японские ученые видят причину этого в питьевой воде – она имеет много щелочных веществ.
Б. Ц. Урланис (1969) привел данные, согласно которым в СССР в 1967 г. появилось на свет 2 098 000 мальчиков и 1 995 000 девочек. Из них до одного года не дожили: 29 на 1000 мальчиков и 23 на 1000 девочек. Эта тенденция сохранилась и в последующие годы (табл. 1.1).
Таблица 1.1.Младенческая смертность, 1980–1998 гг. (Зуйкова, Ерусланова, 2001)
Интересен факт, что во время войн и после них резко возрастает число рождающихся мальчиков (рис. 1.2), так что вторичное соотношение между лицами мужского пола в эти годы увеличивается и вследствие этого нормальное соотношение, утерянное в годы войны, вновь восстанавливается.
Рис. 1.2.Динамика вторичного соотношения полов (Германия 1908–1928 гг.)
Например, в Москве в 1911–1916 гг. соотношение было равно 104,7:100, в 1917 г. – 106,9:100, а в 1922–1924 гг., когда закончились Первая мировая и Гражданская войны, соотношение выросло до 107,4:100 (Новосельский С. А., 1958).
Механизмы этой природной саморегуляции соотношения полов не ясны. В. А. Геодакян (1965) выдвинул в качестве регулирующего фактора интенсивность половой деятельности, которая возрастает тем больше, чем меньше остается после различных катаклизмов (например, войн) мужчин (при относительном росте числа молодых и слабых здоровьем, которых на войну не берут). Свою точку зрения он подкрепляет тем, что у животных половое истощение или физическая слабость производителя (самца) ведет к преобладанию в потомстве самцов. Таким образом, в экстремальных условиях самцов гибнет больше, но и больше рождается. С таким объяснением не согласны Д. В. Колесов и Н. В. Сельверова (1978), которые считают, что половая активность представителей мужского пола далеко не определяется их относительной численностью. Активность действительно может быть и ни при чем, но состояние здоровья как не воевавших, так и воевавших, скорее всего, играет свою роль.
Глава 2. Морфофункциональные половые различия
2.1. Морфологические различия между лицами мужского и женского пола
В первые 3 года жизни существенных различий по длине и массе тела, а также по окружности грудной клетки нет. Мальчики немного превосходят девочек в длине тела – до 10 лет, а в массе – примерно до 8,5 лет. Однако в связи с более ранним (на 1–1,5 года) началом полового созревания девочки начинают превосходить мальчиков в длине тела (с 10 до 13 лет) и в массе (с 9 до 14 лет). После 12 лет у девочек снижаются темпы увеличения роста, а с 14 лет – и темпы увеличения массы тела. У мальчиков же в этот период физическое развитие протекает весьма интенсивно. В результате, в 17 лет масса тела юношей превышает таковую девушек на 12 %, а рост и окружность грудной клетки – на 9 %. Мужчины в среднем выше женщин на 10 см. Формируются мужские пропорции тела: широкие плечи и спина, таз существенно уже, чем плечи, сравнительно длинные конечности, центр тяжести находится выше пояса, тогда как у женщин – ниже.
Дж. Таннер (1968) отмечает, что девочки уже с рождения опережают мальчиков по оссификации(замещение в скелете хрящевой ткани костной) приблизительно на 20 %. Оссификация скелета у девочек в возрасте 10–12 лет на 2–3 года опережает таковую у мальчиков. Однако женщины обладают более хрупким скелетом.
М. В. Антропова (1983) приводит данные темпов изменения антропометрических показателей у детей по отношению к данным взрослых (дефинитивным показателям), из которых следует, что в каждый возрастной период детства девочки морфологически развиваются большими темпами, чем мальчики (табл. 2.1).
Таблица 2.1.Суммарные приросты основных соматометрических показателей ребенка в отдельные возрастные периоды его развития (средние величины, процент)*
* Примечание: за 100 % приняты абсолютные величины соматометрических показателей взрослого условного человека, приведенные в книге: «Человек. Медико-биологические данные». М., 1977.
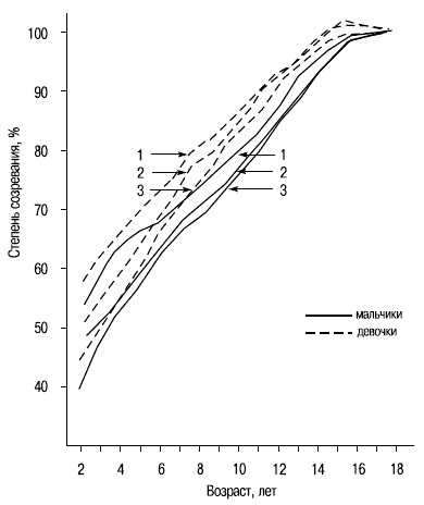
Согласно данным Дж. Таннер (1968), темпы развития конечностей выше у девочек. Уже с рождения по пропорциям тела девочки ближе к дефинитивному(окончательному) состоянию по сравнению с мальчиками. Это видно на рис. 2.1, где представлены градиенты созревания (степень приближения в данный момент к дефинитивным размерам, принятым за 100 %) верхних конечностей у девочек и мальчиков.
Рис. 2.1.Градиенты созревания верхних конечностей: 1 – кисти рук, 2 – предплечье, 3 – плечо
Большие темпы роста и созревания девочек по сравнению с мальчиками можно объяснить тем, что в крови первых имеется большая концентрация гормона роста – соматотропина, чем в крови вторых (рис. 2.2).
Рис. 2.2.Содержание соматотропина в плазме крови у детей на разных стадиях полового созревания
Однако надо отметить, что все приведенные данные не учитывают тип телосложения детей, который может внести в темпы развития мальчиков и девочек существенные коррективы. Так, по данным А. Б. Хазановой, средний возраст прорезывания зубов меньше у девочек только дигестивного типа телосложения, при наличии же других типов (торакального, мышечного и неопределенного) зубы быстрее прорезываются у мальчиков (табл. 2.2).
Таблица 2.2. Средний возраст (месяцы) прорезывания зубов среди детей грудного возраста Москвы
У шестилетних детей девочки дигестивного типа превосходят мальчиков астеноидного, мышечного и торакального типа по весу и обхвату груди и почти не уступают мальчикам астеноидного типа по длине тела (табл. 2.3).
Таблица 2.3. Антропометрические показатели шестилетних детей в зависимости от типа конституции (по данным Т. В. Панасюк)
Мужчины взрослеют к шестидесяти годам, а женщины – примерно к пятнадцати.
Дж. Стивенс, английский писатель
Несмотря на то что у взрослых женщин соматотропина в крови больше, чем у мужчин, они уступают мужчинам по физическому развитию. Связано это с тем, что на физическое развитие влияют и мужские половые гормоны (андрогены), которых у мужчин после полового созревания становится значительно больше, чем у женщин, и которые, по мнению некоторых ученых, не только сами влияют на развитие организма, но и усиливают продуцирование соматотропина. Во всяком случае, андрогены даже в качестве синергистов усиливают действие соматотропина у мужчин в гораздо большей степени, чем у женщин.
Женщины обладают меньшей длиной (в Европе – в среднем на 12 см) и массой тела (в среднем на 10–15 кг), менее сильным связочным аппаратом, более узкими плечами, короткой и широкой грудной клеткой, широким и ниже расположенным тазом (что обусловливает более низкое расположение центра тяжести), более длинным туловищем со сравнительно более короткими конечностями (на 10 %). Соотношение объема талии и бедер в среднем у женщин равно 0,7, а у мужчин – 0,9. У женщин сильнее выражен поясничный лордоз. У мужчин рост тела заканчивается в 25–32 года, у женщин – в 17–18 лет.
У лиц мужского пола мышечная (активная) масса тела больше, чем у лиц женского пола. Эти различия начинают проявляться уже у маленьких детей, когда после первого увеличения жировых отложений в возрасте от 0 до 6 месяцев они начинают уменьшаться явно заметнее у мальчиков, чем у девочек. В подростковом возрасте у мальчиков эта тенденция сохраняется, а у девочек опять начинается рост подкожного жирового слоя.
У взрослых мужчин мышечная масса составляет около 40 % веса тела (в среднем около 30 кг), а у женщин – около 30 % (в среднем 18 кг). При этом скелетные мышцы состоят в основном из медленных мышечных волокон (т. е. сокращаются медленнее, чем быстрые мышечные волокна), что биологически целесообразно в связи с затяжными родами и необходимостью длительного натуживания. Жировая ткань, наоборот, больше развита у женщин (вследствие врожденной способности более эффективно вырабатывать жировые вещества). В среднем у женщин она составляет 25 % от веса тела, а у мужчин – 15 %. Абсолютное количество жира у женщин больше, чем у мужчин, на 4–8 кг. Поскольку жировая ткань почти не содержит воды, общее содержание воды в теле у женщин меньше, чем у мужчин.
Эти особенности телосложения имеют биологический смысл. Широкий таз – это защитное костное кольцо для внутренних половых органов и для ребенка в период его внутриутробного развития; женский таз более глубокий и больше по емкости, он обеспечивает широкий родовой путь. У женщин больше относительная длина позвоночного столба, более широкие, чем у мужчин, межсуставные щели и лучше растяжимость заполняющей их хрящевой прослойки, что создает условия для большей гибкости. Меньшая длина ног и низкое расположение центра тяжести тела обеспечивают устойчивость тела при беременности. У женщин имеется характерная постановка головки и шейки бедра: они располагаются под прямым углом к бедренной кости. Это обеспечивает большую амплитуду движений в тазобедренном суставе. Большая жировая прокладка служит защитой внутренних органов от ударов и придает телу женщин округлые формы. Кроме того, жировая ткань является активным гормональным органом, в котором происходит синтез эстрогенов, определяющих все фемининные качества. Так, для нормальной менструальной функции женщине необходимо иметь не менее 22 % жировой массы.
В то же время преобладание мышечной массы у мужчин тоже имеет значение в их маскулинизации, так как в мышцах происходит метаболизм андрогенов.
Таким образом, половой диморфизм размеров тела и его строения у взрослых может объясняться: 1) наличием постнатальных градиентов созревания; 2) различной длительностью препубертатной стадии влияния соматотропина; 3) различиями в механизме воздействия андрогенов и эстрогенов на костную систему. В целом девочки от рождения ближе к своим дефинитивным пропорциям, в препубертате несколько обгоняют мальчиков в росте, пубертатный скачок у них наблюдается раньше и менее интенсивен. Отношение длины тела к длине конечностей у девушек достоверно выше, чем у юношей, что связано с относительным укорочением фазы действия соматотропина и ранним закрытием эпифизарных щелей.
В период полового созревания у мальчиков происходит увеличение и изменение формы гортани. Особенно существенно изменяется щитовидный хрящ, образующий характерный гортанный выступ – кадык («адамово яблоко»). Его пластинки сходятся не под тупым углом, как у девочек, а под острым. Эта морфологическая особенность имеет следствием и появление у мужчин функциональной особенности: из-за увеличения объема гортани и удлинения голосовых связок происходит понижение голоса примерно на одну октаву в сравнении с предшествующим периодом. При этом изменяется тембр голоса и другие его качества, причем изменения бывают как в лучшую, так и в худшую сторону. Поэтому по качеству пения мальчика в детстве нельзя предсказывать, каким певцом он станет после ломки (мутации) голоса. Печальный тому пример – Робертино Лоретти.
Период полового созревания высвечивает еще одно различие в развитии мужского и женского организма. Как у девочек, так и у мальчиков под влиянием гормона гипофиза фоллитропина начинает развиваться молочная железа: увеличение ткани железы непосредственно под ореолой – пигментированным кружком кожи вокруг соска. Однако для окончательного развития молочных желез необходимо содружественное влияние фоллитропина и женских половых гормонов. Поэтому у девочек такое развитие происходит, а у мальчиков, у которых женских половых гормонов мало, а тестостерона, который тормозит развитие этих желез, много, наблюдается обратное развитие молочных желез.
2.2. Физиологические половые различия
И по морфологическим параметрам, и по физиологическим функциям девочки быстрее мальчиков продвигаются к своему взрослому статусу (Schneifeld A., 1943), примером чего является их более раннее половое созревание. Сохраняется в отношении развития физиологических функций и другая закономерность онтогенетического развития: с каждым годом различия между мальчиками и девочками увеличиваются в пользу первых.
Сердечно-сосудистая система. Данные физиологов показывают, что в дошкольном и младшем школьном возрасте темпы развития девочек выше, чем мальчиков. Если у мальчиков наиболее координированная деятельность сердца и гемодинамики наблюдается в 11–12 лет, то у девочек такие взаимоотношения имеют место в 7–8 и 10 лет (Калюжная Р. А., 1983). И. А. Корниенко выявлено, что перестройка физической терморегуляции (брадикардическая реакция на охлаждение) начинается у девочек в 5,5–6 лет, а у мальчиков – в 7 лет. Это согласуется, отмечает автор, с данными (Вульфсон И. Н., Солдащенский А. Д., 1967), показывающими, что у девочек 5–6 лет скорость проведения пульсовой волны по мышечным сосудам и тонус мышечных сосудов выше, чем у мальчиков этого возраста.
И все же у женщин меньше основные параметры гемодинамики: объем сердца – на 100–200 мл, его вес – на 50 г, систолический объем – на 30–40 %, минутный объем – на 10–15 % (несмотря на большую, чем у мужчин, частоту сердцебиений в покое – на 6–8 уд./мин), масса циркулирующей крови – на 1,2 л, содержание гемоглобина в крови – на 1,5 г% (Nowacki P., 1983). У женщин меньше продолжительность диастолы при более продолжительной фазе изгнания крови. У них сердечные сокращения слабее, что является одной из причин более низкого уровня артериального давления. По данным ряда авторов, приведенных в сводной таблице Р. А. Калюжной (1983), объемная скорость кровотока у мальчиков 6–11 лет выше, чем у девочек того же возраста.
В то же время лица женского пола от рождения обладают рядом врожденных преимуществ, в частности большей эластичностью кровеносных сосудов. Женщины могут терять большее количество крови, чем мужчины. Например, потеря одного литра крови для мужчины нередко является смертельной, в то время как женщина перенесет это без переливания крови.
Энергообмен. И. А. Корниенко (1979) показано, что у девочек во всех возрастах (с 5 до 11 лет) энергообмен покоя ниже, чем у мальчиков (рис. 2.3).
Рис. 2.3.Изменение интенсивности обмена покоя у мальчиков и девочек 5–11 лет
Эта же тенденция выявлена и в зарубежных исследованиях. Г. Моно (1973) отмечает, что в состоянии покоя уровень основного обмена у мужчин примерно на 5 % выше, чем у женщин, и ссылается на данные Флейша (Fleisch, 1951), который обобщил результаты разных авторов, относящиеся к нескольким тысячам человек, и показал, что более интенсивный основной обмен у мужчин касается не только детей, но и взрослых (рис. 2.4)
Рис. 2.4.Изменение основного обмена с возрастом у лиц мужского и женского пола (Fleisch, 1951)
Емкость анаэробных энергетических систем (АТФ, КФ, гликоген) у женщин ниже, чем у мужчин, что связано не с меньшей концентрацией этих энергоисточников в мышцах (она у мужчин и женщин примерно одинаковая), а прежде всего с меньшей мышечной массой у женщин. Отсюда и более низкая работоспособность женщин в кратковременной интенсивной работе.
Дыхательная система. До периода полового созревания, когда различия в размерах тела между мальчиками и девочками минимальны, максимальное потребление кислорода (МПК) тоже почти одинаково. У молодых мужчин МПК в среднем на 20–30 % больше, чем у женщин. По мере старения различия в МПК между мужчинами и женщинами становятся меньше (рис. 2.5).
Рис. 2.5.Изменения МПК с возрастом у женщин и мужчин
Даже рассчитанное на килограмм веса тела МПК у женщин меньше, чем у мужчин. Однако среди мужчин и женщин одного возраста наблюдаются значительные индивидуальные вариации в величинах МПК. У физически более подготовленных женщин МПК такое же, как у физически плохо развитых мужчин.
Более низкое МПК у женщин обусловлено тем, что максимальное количество кислорода, которое может переноситься из легких в ткани, у женщин меньше, чем у мужчин. Это различие связано с меньшим у женщин количеством эритроцитов, а следовательно, и гемоглобина, меньшим объемом циркулирующей крови (600 мл против 800 мл у мужчин), меньшим объемом сердца и полостей желудочков, меньшим систолическим объемом (рис. 2.6).
Рис. 2.6.Гематологические показатели мужчин и женщин в разном возрасте
В то же время до периода полового созревания концентрация гемоглобина в крови у мальчиков и девочек почти одинаковая.
По данным Т. Д. Кузнецовой (1983), до 12 лет половые различия по величине легочных объемов выражены слабо. Это объясняется тем, что прирост объема дыхания у девочек с 6 до 14 лет выше, чем у мальчиков того же возраста, и в результате величина объема дыхания девочек практически становится равной таковой мальчиков.
У взрослых женщин частота дыхания большая, чем у мужчин, а глубина меньше; вследствие этого жизненная емкость легких (ЖЕЛ) у женщин в среднем меньше на 1 л (по данным других авторов – еще меньше: на 1, 7 л), чем у мужчин, а максимальная легочная вентиляция – на 30 % (рис. 2.7). Таким образом, с возрастом половые различия по жизненному объему легких увеличиваются. Так, в раннем детстве у мальчиков он в среднем выше на 7 %, чем у девочек, а в зрелом возрасте разница между мужчинами и женщинами достигает уже 35 %. Кроме того, у женщин заметно ниже диффузная способность легких для кислорода.
2.3. Половые различия в темпах моторного развития
По данным П. С. Бабкина (1975), половые различия в психомоторике начинают проявляться у детей уже на безусловно-рефлекторном уровне. Так, у девочек по таким рефлексам, как глоточный, хоботковый, Майера, Кернига, контрлатеральный Брудзинского, брюшные гипои арефлексия чаще наблюдаются у девочек, чем у мальчиков. И только по рефлексу Тромнера гипои арефлексия чаще наблюдаются у мальчиков, чем у девочек.
Мальчики на 2–3 месяца позже, чем девочки, начинают ходить, речь у мальчиков тоже появляется позже на 4–6 месяцев. Однако сроки моторного развития мальчиков и девочек грудного возраста во многом зависят от типа телосложения (табл. 2.4).
Таблица 2.4. Средний возраст (месяцы) по этапам моторного развития детей грудного возраста разного типа телосложения (по данным Хазановой А. Б., 1975)
Как видно из таблицы, по способности держать голову девочки торакального типа опережают мальчиков всех типов, а девочки мышечного типа уступают мальчикам всех типов. По способности переворачиваться девочки мышечного типа опережают мальчиков мышечного и дигестивного типа, а девочки торакального типа отстают в сроках от мальчиков всех типов и т. д.
Во многом благодаря морфологическим и физиологическим различиям, проявляющимся после периода полового созревания, по мышечной силе и быстроте, а также аэробной выносливости лица мужского пола превосходят лиц женского пола.
2.4. Половые различия в проявлении свойств нервной системы и темперамента
Сила нервной системы. По данным А. М. Сухаревой (1972), увеличение с возрастом количества лиц, имеющих большую и среднюю силу нервной системы, выражено у лиц как мужского, так и женского пола, но у последних более ярко – за счет того, что девочек 7–8 лет со слабой нервной системой больше, чем мальчиков того же возраста, а в возрасте 18–25 лет различий между лицами мужского и женского пола в количестве лиц с сильной и слабой нервной системой нет (рис. 2.8).
Рис. 2.8.Изменение с возрастом количества лиц с различной силой нервной системы: а – сильная нервная система; б – слабая нервная система
Подвижность нервных процессов. По данным Н. Е. Высотской (1972) и А. Г. Пинчукова (1974), среди мальчиков 7–16 лет количество лиц с подвижностью как возбуждения, так и торможения больше, чем среди девочек (рис. 2.9). Затем с подвижностью возбуждения больше становится женщин.
Рис. 2.9.Подвижность возбуждения у лиц мужского и женского пола (Высотская Н. Е., 1972)
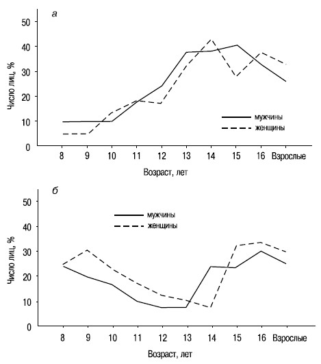
Баланс нервных процессов. Существенных различий между школьниками мужского и женского пола по внешнему балансу нет. До периода полового созревания лиц с преобладанием торможения несколько больше среди девочек, так же как и после него. В пубертатном возрасте с преобладанием торможения больше мальчиков. Возможно, это связано с тем, что этот период наступает раньше у девочек и, следовательно, раньше уменьшается (в связи со сдвигом баланса в сторону возбуждения) число лиц с преобладанием торможения. По количеству лиц с преобладанием возбуждения различий между лицами мужского и женского пола практически не было во всех возрастных группах (рис. 2.10).
Рис. 2.10.Внешний баланс между возбуждением и торможением у лиц мужского и женского пола: а – преобладание возбуждения; б – преобладание торможения (Семенов М. И., 1972)
Лабильность. По данным Е. В. Воронина (1984), между мужчинами и женщинами различия по лабильности есть, хотя и несущественные: лабильность на свет была в среднем равна соответственно 39,2 и 38,9 единиц, а на звук – 75,9 и 74,5 единицы. Н. М. Пейсахов и А. О. Прохоров (1975) нашли статистически достоверные различия по КЧМ в пользу мужчин.
Свойства темперамента. И. М. Владимирова (2001), используя опросник Д. Кейрси для выявления типов темперамента, установила, что в выборке мужчин оказалось вдвое больше лиц сенсорного планирующего (SJ) и вчетверо – интуитивного рационального (NT) типа, в группе женщин – вдвое больше лиц интуитивного эмоционального (NF) типа. Девушки оказались более экстравертированными, эмоциональными, с лучше развитой интуицией, более естественными и спонтанными, чем юноши. Юноши же отличались рациональностью и планомерностью.
По данным Н. Герасимовой (1998), общительность женщин 20–25 лет значительно выше таковой у мужчин того же возраста.
Распространенность типов с акцентуацией характера по А. Е. Личко.М. К. Омаровой (2002) выявлено на большом контингенте обследованных, что у юношей достоверно чаще, чем у девушек, встречается эпилептоидный и гипертимный типы, а у девушек – лабильный и психастенический типы. Остальные типы представлены у тех и других практически одинаково (табл. 2.5).
Таблица 2.5.Частота разных типов акцентуации у юношей и девушек (процент случаев)
2.5. Половой диморфизм мозга и функциональная асимметрия
О различиях в функциональной асимметрии двух полушарий у мужчин и женщин писали давно. В настоящее время большинство авторов считают, что латерализация полушарий[5] четче выражена у мужчин. Леви (Levy, 1978) пишет, что женский мозг подобен мозгу мужчин-левшей, т. е. характеризуется пониженной по сравнению с мужчиной-правшой асимметрией полушарий. Макклон (McClone, 1980) на основании обзора литературы приходит к такому же выводу.
У мальчиков левое полушарие развивается медленнее, чем правое, а у девочек – наоборот. При этом левосторонняя функциональная асимметрия полушарий у девочек появляется после 2 лет, а у мальчиков лишь к 5–6 годам (Коновалов В. Ф., 1987).
Хотя некоторые ученые называют правое полушарие «женским», другие авторы считают, что различия между мужским и женским мозгом касаются лишь отдельных функций (Спрингер, Дейч, 1982).
Н. Гешвинд (Geschwind, 1978), Горски (Gorski, 1991) и другие исследователи считают, что мужской и женский мозг различаются по размеру, числу нейронов и наличию дендритных разветвлений. Предполагают, что эти различия обусловлены влиянием половых гормонов, однако не исключается и влияние факторов окружающей среды. Проявления полового диморфизма у людей обнаружены в гипоталамусе (он больше развит у мужчин) и ряде других структур головного мозга (Swaab, Fliers, 1985). У мальчиков в отличие от девочек правое полушарие (отвечающее за способность решения пространственных задач) больше, чем левое (La Coste et al., Kimura, 1992). У женщин же отмечается более крупная задняя часть мозолистого тела, соединяющая своими волокнами правое и левое полушарие (Allen et all, 1991). Этим объясняют большую беглость речи и меньшую речевую латерализацию женщин (Hines et al.,1992). Также больше у женщин передняя спайка мозга (anterior commissure) (Allen, Gorski, 1991).
Для объяснения половых различий в асимметрии мозга было выдвинуто несколько гипотез. Д. Уэбер (Waber, 1976) предположила, что асимметрия связана не с полом как таковым, а с разными темпами развития мужчин и женщин. Однако это не объясняет наличия различий в асимметрии у взрослых мужчин и женщин. Леви (Levy, 1978) полагает, что в основе половых различий в латерализации функций лежат эволюционно-социальные факторы: мужчины занимались охотой и руководили переселением, что и привело к лучшему у них развитию пространственных способностей, а вербальное превосходство женщин обусловлено воспитанием детей, что требует словесного общения. Однако имеются данные, что и у животных в отношении мозга наблюдается та же тенденция: асимметрия мозга у самцов крыс, кошек и китов выражена в большей степени, чем у самок (Бианки В. Л., 1985; Walker, 1980).
Имеются данные, что у мальчиков в момент рождения более зрелым является правое полушарие, а у девочек – левое (поэтому они начинают раньше говорить, чем мальчики). Худшее развитие левого полушария у мальчиков связано с тем, что, как утверждает Гешвинд, тестостерон в период внутриутробного развития человека замедляет развитие левого полушария головного мозга. Следствием этого является увеличение у представителей мужского пола правого полушария. Таким образом, именно им на роду написано стать выдающимися музыкантами, художниками, математиками. Этот вывод вроде бы подтверждается данными В. Д. Еремеевой и Т. П. Хризман (2001): в массовой школе более успешны в начальных классах мальчики правополушарного типа («художники») и девочки левополушарного («мыслители»). Однако в гимназии, где в первом классе введен иностранный язык и предметы преподаются разными учителями, у мальчиков картина обратная: более успешно учатся левополушарные, а не правополушарные.
По данным Д. Джианнитропани (Giannitropani D., 1981), у мужчин функциональная асимметричность мозга выражена сильнее, чем у женщин. Амплитудные характеристики альфа-ритма ЭЭГ у женщин в левом полушарии выражены слабее, чем в правом; у мужчин наблюдается обратная картина (Haynes W., Moore W., 1981). В. Ф. Коновалов и Н. А. Отмахова (1984) нашли, что межполушарная функциональная асимметрия (по ЭЭГ) у женщин при запечатлении различной информации выражена меньше, чем у мужчин. К сходным выводам при изучении функциональной асимметрии с помощью регистрации ЭЭГ пришли и другие исследователи (Ray W. et al., 1976; Trotman S., Hummond G., 1979; Warrenberg S., Pagano R., 1981).
Еще в древних мифологиях и обрядах правая сторона тела ассоциировалась с мужским, а левая – с женским началом (Иванов В. В., 1978). Конечно, эти представления были наивными, и все же половые различия в проявлении функциональной асимметрии выявляются.
Важной психофизиологической характеристикой является функциональная асимметрия больших полушарий головного мозга. Большинство авторов подчеркивают, что асимметрия мозговых структур больше выражена у мужчин по сравнению с женщинами, у которых речевые и пространственные способности представлены билатерально (Вольф, Разумникова, 2004, Доброхотова, Брагина, 2004). Различная выраженность межполушарной асимметрии обнаружена и в организации эмоций: у мужчин эмоциональная активность в основном проявляется в одном полушарии, а у женщин в обоих полушариях (Wanger et. al., 2003). Женщины демонстрируют более сильные психофизиологические ответы на эмоциональные стимулы. Такие различия могут быть обусловлены как биологическими факторами, так и социально-психологическими, допускающими более активное проявление эмоциональных реакций у женщин. Особенности межполушарного взаимодействия генетически запрограммированы, однако возможны их перестройки под влиянием различных социальных факторов.
Реброва Н. П., 2008, с. 327.
По данным Брайдена (Bryden M., 1977), мужчины более склонны считать себя левшами, чем женщины. Однако встречаются и несовпадения самооценки с объективными данными. Показано, что леворукость у женщин связана с хорошими пространственными навыками, а у мужчин – c плохими.
Мужчины и женщины различаются по билатеральной электрокожной активности (Ketterer M., Smith B., 1977), по взаимосвязи разных форм асимметрии больших полушарий (Gur R. E., Gur R. C., 1977), латерализации эмоций (Alford R., Alford K., 1981; Borod J., Caron H., 1980; Graves R. et al., 1981; Ladavas E. et al., 1980). Показано, что при осмыслении слов мужчины пользуются преимущественно левым полушарием, а женщины – обоими. По теории Г. Ленсделла (Lansdell H., 1962), подтвержденной его собственными наблюдениями над больными эпилепсией и данными более поздних исследований, отделы мозга, отвечающие за пространственные и вербальные способности, у мужчин располагаются в противоположных полушариях, а у женщин приблизительно поровну в обоих полушариях. В связи с этим у мужчин поражение левого полушария ухудшает выполнение вербальных тестов, а поражение правого полушария – невербальных, у женщин успешность выполнения вербальных и невербальных тестов не зависит от того, какое полушарие повреждено. И если в результате несчастного случая повреждается левое полушарие, у женщин восстановление основных функций (за счет правого полушария) происходит быстрее, чем у мужчин.
При повреждениях левого полушария в результате кровоизлияния, опухоли или при оперативном удалении части височной доли по поводу эпилепсии дефицит вербальных функций у мужчин бывает гораздо больше, чем у женщин. Аналогичные повреждения правого полушария также приводят к большему дефициту функций невербального характера у мужчин по сравнению с женщинами (McGlone J., 1978). Афазия вследствие повреждения левого полушария возникает у мужчин в 3 раза чаще, чем у женщин, и имеет тяжелый характер. На этом основании был сделан вывод, что у женщин языковые и пространственные способности представлены более билатерально, чем у мужчин (MсGlone, 1980).
…Существуют предположения, что «центр» мужского полового поведения расположен в правой части, а женского – в левой части гипоталамуса (Филиппов Б. Е., 1992).
Известно, что существуют половые различия в организации центров, регулирующих секрецию гонадотропинов. «Женский» центр локализован в преоптической (в медиальном преоптическом ядре) и переднегипоталамической (в переднем гипоталамическом ядре) области мозга, а «мужской» – в области аркуатного ядра. Выявлены половые различия в размерах ядер преоптической области мозга, некоторых ядер гипоталамуса и миндалевидного комплекса.
Ткаченко А. А. и др., 2001, с. 24.
Девочки распознают на ощупь предметы одинаково хорошо правой и левой рукой, между тем как мальчики значительно лучше распознают предметы, когда ощупывают их левой рукой.
В последние годы в мире ведется интенсивный поиск маркеров андрогенизации и дефеминизации ЦНС в пренатальный период, что часто рассматривается как важный механизм, лежащий в основе гендерных различий, носящих «эссенциальную» природу.
Ряд публикаций указывает на то, что отношение длины пальцев может рассматриваться как отражение процессов половой дифференцировки в период внутриутробного развития. Половой диморфизм касается второго и четвертого пальцев: у женщин указательный палец (2D) практически равен длине безымянного пальца (4D), тогда как у мужчин 2D в среднем короче, чем 4D, и эти соотношения устанавливаются в возрасте 2 лет (Manning J. et al., 1998). Меньшие 2D:4D отношения предполагают наличие воздействия больших уровней пренатальных андрогенов. Специальное исследование Вильямса и коллег (T. J. Williams, 2000) показало, что различия между полами были больше на правой руке.
Если представленная гипотеза справедлива, то можно предполагать, что маскулинизация мужчин эмбриональными андрогенами должна находить отражение в ряде полоспецифических особенностей.
Объектом изучения стали здоровые юноши 16–18 лет, которым предъявлялся универсальный трехфакторный семантический дифференциал Ч. Осгуда, полоролевой дифференциал, опросник «Уровень развития субъектности личности», методика Басса—Перри (BPAQ-24), а также было произведено измерение длины второго и четвертого пальцев обеих рук для составления пропорции длины пальцев (2D:4D).
Особый интерес представляли корреляционные связи между антропометрическими показателями (2D:4D) и результатами психологического тестирования. Оказалось, что достоверные связи есть лишь по методикам семантического и полоролевого дифференциалов.
Признаки снижения пренатального маскулинизирующего эффекта на правой руке сопровождались показателями ощущения недостаточной маскулинности и стремлением к ее преодолению. Такие молодые люди демонстрировали тенденцию к приверженности патриархатной модели гендерной схемы с признаками усиления поляризации на основе андроцентризма. Они стремились компенсировать субъективное ощущение недостаточной маскулинности через утверждение своего превосходства в интеллектуальной сфере. Признаки снижения пренатального маскулинизирующего эффекта на левой руке сопровождались иными изменениями. Такие юноши показывали усиление негативного отношения к лицам мужского пола и осознание своей фемининности – андрогинности, не приобретавшее характера внутриличностного конфликта. Обнаруживалось повышение значимости сексуально-эротической сферы и партнерских отношений с направленностью на более доминантного и поведенчески активного партнера.
Разделение выборки на четыре подгруппы в зависимости от соотношений 2D:4D на обеих руках позволило рассматривать среднегрупповые профили лиц с высокими и низкими андрогенезирующими влияниями.
В случаях недостаточной маскулинизации по показателям правой руки снижались показатели физической агрессии, выше оказывались показатели обдумывания и прогнозирования поведения, повышалась значимость идентификационного образа отца, выявлялась склонность к выбору более фемининных лиц противоположного пола (как вероятный способ самоутверждения), а гомосексуальность рассматривалась крайне негативно.
Латерализация полушарий характеризуется размещением тех или иных функций либо в левом, либо в правом полушарии.
Вернуться
Степень выраженности асимметрии рук показывает, насколько процентов правая рука сильнее левой.
Вернуться
2.6. Менструальные фазы как специфика женского организма
Спецификой зрелого женского организма является наличие овариально-менструального цикла, в течение которого в яичниках созревают яйцеклетки, после чего происходит овуляция, т. е. выход их из фолликула. Выделяют пять фаз овариально-менструального цикла: менструальную – исчезновение желтого тела (1–5-й день), постменструальную (фолликулиновую) – стадию развития фолликулов (6–12-й день), овуляторную – стадию овуляции (13–24-й день, иногда из нее выделят постовуляторную фазу – 16–24-й день) и предменструальную (лютеиновую, прогестероновую) – стадию развития желтого тела (25–27-й день).
В разные фазы овариально-менструального цикла меняется соотношение между эстрогенами и прогестероном.
Вегетативные изменения. Дефицит прогестерона и избыток эстрогенов, участвующих в водно-солевом балансе организма, усиливают реабсорбцию (обратное всасывание) натрия в почках, при этом повышается осмотическое давление. Для поддержания гомеостаза в организме компенсаторно задерживается вода, вследствие чего в менструальной и предменструальной фазах увеличивается вес тела женщин.
В середине менструального цикла начинает уменьшаться концентрация эритроцитов, гемоглобина, лейкоцитов, тромбоцитов, а также белков в крови, что связано с некоторой гемодилюцией – увеличением объема плазмы крови, вызванной задержкой солей и воды в теле. Непосредственно перед началом менструации содержание эритроцитов и гемоглобина в крови нарастает. В дни менструации происходит потеря эритроцитов и гемоглобина, что приводит к снижению кислородной емкости крови. Понижается и свертываемость крови как результат уменьшения числа тромбоцитов и активности фибринолитической системы. Однако кровопотери, как считают, имеют и положительное значение, поскольку могут быть физиологическим раздражителем для последующего усиления эритропоэза – выработки новых эритроцитов. Насколько это мнение оправданно, сказать трудно, так как исследования показали, что потери женщиной крови в период менструации невелики – около 25 мл. Примерно к середине менструального цикла кислородная емкость крови достигает максимума.
В предменструальную и менструальную фазы снижается также основной обмен.
Первая менструация, которую девочки переживают в возрасте 11–13 лет, происходит на фоне общей перестройки организма, начавшейся года за два до этого (о чем можно судить по активному росту и появлению вторичных половых признаков). Но именно появление менструаций является переломным моментом в жизни девочки, заставляющим ее остро почувствовать принадлежность к женскому полу. Изменяется психика девочки: если для предменструального этапа характерными для девочек бывают смятение в мыслях и неуверенность, связанная с половой самоидентификацией и образом тела, то с наступлением менструаций происходит принятие своей женственности и перестройка образа своего физического Я. Происходит четкое осознание различий между мужским и женским телом. Мышление девочки становится лучше организованным, она меньше испытывает коммуникативные трудности (Kestenberg J., 1961). Девочки начинают задумываться над своей будущей ролью жены и матери.
В исследовании В. А. Наумовой (1976) показано различное влияние фаз овариально-менструального цикла на психомоторные качества и свойства нервной системы. Автор на протяжении 3 месяцев измеряла эти показатели во время предменструальной фазы (за 1–3 дня до появления мензис), менструальной фазы (1–2 дня) и послеменструальной фазы (1–2 дня). Полученные данные сравнивались между собой и с фоном (с начала менструации на 10–12-й день).
Влияние на свойства нервной системы. В предменструальной фазе наблюдается увеличение подвижности нервных процессов, случаев с преобладанием возбуждения над торможением по внешнему балансу (рис. 2.11, а) и особенно по внутреннему балансу (рис. 2.11, б). Эти изменения свидетельствуют о повышении эмоциональной и двигательной реактивности перед менструальной фазой, что соответствует имеющимся в литературе данным о повышении раздражительности женщин перед менструацией. Объясняется это, очевидно, тем, что в предменструальной фазе ОМЦ наблюдается набухание щитовидной железы и появляются преходящие симптомы тиреотоксикоза, т. е. повышенное продуцирование тиреоидных гормонов.
Важно отметить, что в предменструальной фазе зарегистрировано довольно большое число случаев (16 %) извращения реакции при определении внешнего баланса, что свидетельствует о появлении парабиотического состояния в нервных центрах, связанных с эмоционально-мотивационной сферой. Можно полагать, что эти извращения возвещают о наступлении вслед за этим в фазе менструации сдвига в сторону торможения по внешнему балансу (рис. 2.11, а). Возбуждение по внутреннему балансу в менструальной фазе продолжает нарастать (рис. 2.11, б). Увеличение торможения по внешнему балансу и возбуждения по внутреннему балансу в этой фазе напоминает подобные же изменения того и другого баланса при развитии состояния монотонии. Возможно, что это и объясняет отмечаемую в этот период депрессию женщин.
Рис. 2.11.Изменение баланса между возбуждением и торможением у женщин в различные фазы ОМЦ: I – фон; II – предменструальная, III – менструальная, IV – послеменструальная; а – внешний баланс; б – внутренний баланс
Интересен в связи с этим выявленный факт (Penton-Voak, Perrett, 2000): периодические гормональные изменения в организме женщин меняют оценку привлекательности изображений мужчин.
В послеменструальной фазе наблюдается возвращение показателей нейродинамики к фоновому уровню. Увеличивается возбуждение по внешнему балансу, уменьшается возбуждение по внутреннему, несколько снижается подвижность нервных процессов. Практически исчезают извращенные реакции.
Сила нервной системы в различные фазы ОМЦ существенных и закономерных изменений не претерпевает.
Итак, как видно из представленных данных, в разные фазы ОМЦ психомоторные функции изменяются не одинаково и разнонаправленно, так что ухудшение работоспособности по одному показателю может сопровождаться улучшением по другому. Столь же сложны и изменения нейродинамических показателей. Так, показатели внешнего и внутреннего баланса в определенные фазы ОМЦ изменяются разнонаправленно. Очевидно, влияние фаз ОМЦ на функциональные показатели, самочувствие и настроение следует учитывать при женских исследованиях.
Влияние на психомоторные качества.Предменструальная фаза характеризуется ухудшением психомоторных показателей. По сравнению с фоном (периодом между месячными) мышечная сила и максимальная частота движений снижаются гораздо чаще, чем увеличивается (табл. 2.6). Выносливость к статическому усилию изменяется в этот период весьма незначительно, причем в сторону увеличения.
Таблица 2.6.Изменение психомоторных показателей у женщин во время овариально-менструального цикла (процент случаев по сравнению с предыдущим периодом)
Менструальная фаза характеризуется повышением у большинства мышечной силы (но только до уровня фона) и максимальной частоты движений (сверх фонового уровня). Однако выносливость несколько снижается. При этом обращает на себя внимание тот факт, что увеличивается второй компонент выносливости (поддержание усилия на фоне наступившей усталости).
Послеменструальная фаза сопровождается разнонаправленными изменениями изученных показателей. Максимальная частота движений увеличивается еще больше, мышечная сила и выносливость значительно снижаются.
Изменение психических функций. В ряде зарубежных исследований (Hampson et al., 2004; Kimura, Hampson, 1994) показано, что психическая активность женщин зависит от менструального цикла и наличия в организме эстрогена. Женщины лучше выполняли вербальное артикуляционное задание (например, говоря: «Коробка бисквитов в бисквитном миксере» пять раз подряд так быстро, насколько это возможно) и задания на двигательную активность, когда уровень эстрогена был выше, и лучше выполняли задания на ощущение пространства в период, когда уровень эстрогена был ниже (Hampson, 1990а, б).
Глава 3. Здоровье и его нарушения у мужчин и женщин
3.1. Здоровье и пол
Отношение к своему здоровью у мужчин и женщин разное. Считается, что женщины более внимательны. Так, по данным Национального центра статистики здоровья США, женщины чаще, по сравнению с мужчинами, проходят медицинские и стоматологические осмотры и стараются избегать рискованных для здоровья ситуаций (Beier, Ackerman, 2003). Женщины больше интересуются своим здоровьем и больше знают о нем, чем мужчины. Следование диетам в большей степени характерно также для женщин, – по некоторым данным, женщин, сидящих на диете, в 2 раза больше, чем мужчин (Kiefer et al., 2005). Исследование показало, что у замужних женщин чаще возникают проблемы с психическим здоровьем, и они чаще в сравнении с женатыми мужчинами обращаются за квалифицированной помощью (Russo, Green, 1993).
В исследовании Р. А. Березовской (2001), изучавшей менеджеров, было выявлено, что терминальная ценность здоровья у женщин значимо выше, занимая среди прочих ценностей первое место (у мужчин – лишь четвертое). Это видно и из того, что подчеркивали важную роль здоровья для обеспечения полной и активной жизни 24 % женщин и 15 % мужчин, а считали, что хорошее здоровье является важным средством достижения успеха в профессиональной деятельности, 27 % женщин и 12 % мужчин. Начинают задумываться о своем здоровье на более ранних этапах возникновения заболевания 30 % женщин и 16 % мужчин; для последних характерно откладывать обращение к врачу до последнего момента.
Однако это относится, вероятно, не ко всем периодам жизни мужчин и женщин. Так, несмотря на то что семидесятилетние женщины чаще, чем мужчины того же возраста, субъективно оценивают свое состояние здоровья как «плохое» (соответственно 74 % и 53 %), на учете в поликлинике или диспансере чаще состоят мужчины, чем женщины, – соответственно 54,7 и 42,7 % (Потанина Ю. А., 1999).
И. В. Корхова (2000) отмечает, что, по статистике, уровень здоровья у мужчин ниже, чем у женщин. Но если изучать здоровье, используя метод анкетирования, то по всем параметрам субъективных оценок, объективным данным и показателям медицинских осмотров уровень здоровья женщин оказывается ниже, чем у мужчин. По оценкам психологических аспектов самочувствия женщины также уступают мужчинам. Восемнадцать процентов женщин в качестве основной причины плохого здоровья назвали тяжелые переживания и стрессы.
Мужчины, по данным Р. А. Березовской, среди факторов, влияющих на здоровье, подчеркивают прежде всего роль субъективных факторов (образ жизни, забота о здоровье), а женщины – роль объективных факторов (экологическая обстановка, качество медицинского обслуживания). Женщины значимо выше, чем мужчины, оценили влияние информации, полученной от друзей и знакомых, на уровень осведомленности в области здоровья, что, вероятно, объясняется их большей внушаемостью и склонностью к внешнеорганизованной мотивации.
С. Крайлер и Х. Крайлер (Kreiler S., Kreiler H., 1991) изучали психологические особенности мужчин и женщин с выраженной направленностью на здоровье. У таких мужчин обнаружены более высокие по сравнению с остальными мужчинами показатели привязанности, жизнерадостности, удовлетворенности, враждебности и завистливости. Женщины с аналогичной направленностью обладали эмоциональной реактивностью, склонностью к позитивным фантазиям, невротизмом, низкими показателями депрессии, тревожности, страха, зависти; они реже сообщают о соматических жалобах и симптомах.
О. П. Марголина (2000) выявила существенные различия в представлениях медиков обоего пола о критериях здоровья. Наибольшее число выборов психического и социального здоровья принадлежит женщинам-врачам. Мужчины среди критериев психического здоровья называли интеллектуальную активность, а женщины – желание работать.
3.2. Почему женщины живут дольше, чем мужчины
Несмотря на то что мальчиков рождается больше, чем девочек, примерно к 20–24 годам численность мужчин и женщин выравнивается, а в более зрелом возрасте наступает «женский перевес», все более усиливающийся с годами. У 25–29-летних мужчин коэффициент смертности уже в 2,5 раза выше, чем у женщин. Но пик смертности мужского населения приходится на возраст 40–50 лет. В среднем женщины в нашей стране живут дольше мужчин на 10 лет.
Только в шести из семидесяти пяти стран, по которым в 1960-х гг. имелись сведения, средняя продолжительность жизни мужчин была выше, чем у женщин. Это пять азиатских стран – Индия, Пакистан, Камбоджа, Цейлон, Китай и одна африканская – Верхняя Вольта (ныне Буркина Фасо). Так, в Китае мужчин было больше, чем женщин, на 21 млн, в Индии – на 18 млн, в Пакистане – почти на 5 млн. В остальных странах продолжительность жизни женщин превышает таковую мужчин (табл. 3.1).
Таблица 3.1. Разница в продолжительность жизни мужчин и женщин в разных странах
Эта разница наиболее заметна в развитых странах, где в 1975 г. в возрастной категории от 60 до 70 лет на каждые 100 женщин приходилось 74 мужчины.
Еще большим был разрыв в группе старше 80 лет, где на 100 женщин приходилось лишь 48 мужчин. До столетнего возраста доживает в 5 раз больше женщин, чем мужчин (McLoughlin et al., 1988).
– Почему женщины живут дольше, чем мужчины?
– Потому что у них нет жен.
Старый анекдот
По поводу причин этого мнения расходятся. Большинство зарубежных ученых считают, что имеют значение главным образом генетические факторы. Другие (в основном отечественные ученые) полагают, что причиной меньшего долголетия мужчин является уже не биология, а социальные факторы, например войны. Это видно на примере демографических данных за 1959 г. в СССР (табл. 3.2).
Таблица 3.2.Число женщин, приходящихся на 1000 мужчин в СССР в 1959 г. (Урланис Б. Ц., 1964)
Обращает на себя внимание то, что среди родившихся перед самой Великой Отечественной войной и после нее больше лиц мужского пола, поскольку они не успели повоевать. Значительный перевес женщин образовался в тех возрастах, которые были призывными для мужчин. Большие потери отцов и сыновей во время войны и привел к такому колоссальному разрыву.
В отличие от Европы в ряде стран Азии и Африки продолжительность жизни женщин не намного отличается от продолжительности жизни мужчин. Это в первую очередь связано с высокой смертностью женщин от осложнений беременности и во время родов, плохо сделанных абортов и обрезаний половых органов. Социально-культурные и экономические условия также могут быть причинами высокой смертности женщин (Година, 2000).
Психология здоровья / Под ред. Г. С. Никифорова, 2003, с. 233.
Причин того, почему женщины живут дольше мужчин, несколько. Причину большей смертности лиц мужского пола Урланис видит в большей биологической жизнестойкости женского организма, выработанной на протяжении сотен тысячелетий. Действительно, продолжительность жизни самцов самых различных видов, классов и даже типов животных (млекопитающие, птицы, земноводные, рыбы, насекомые) меньше, чем у самок. Считается, что гетерогаметные особи (XY) имеют несколько сниженную жизнеспособность в сравнении с гомогаметными (XX).
В. М. Аллахвердов (1993) объясняет разную продолжительность жизни мужчин и женщин их предпочтительной ориентацией на разные критерии эффективности (мужчин – на прагматический, а женщин – на когерентный, связанный с согласованностью).
Следует учитывать, что охране здоровья мужчин по сравнению с женщинами общество оказывает меньше внимания. Да и сами мужчины меньше его берегут: среди них больше курящих, пьющих. Имеют значение и нервные перегрузки, сопутствующие руководящей работе (а большинство руководителей – мужчины), и то, что травматизм выше у лиц мужского пола по сравнению с женским в любом возрасте. Уже при родах во многом из-за больших по сравнению с девочками размеров тела мальчики получают больше повреждений (Zaslow M., Hayes C., 1986). Поведение мальчиков вследствие их большей склонности к риску, состязательности, тяге к технике, к взрывоопасным предметам, к проявлению физической агрессии (драке) является более травмоопасным. Среди детей 7–15 лет травмы у мальчиков случаются почти в 2 раза чаще, чем у девочек. Да и в последующие годы служба мужчин в армии, их работа, связанная с техникой и в травмоопасных условиях, занятия спортивными единоборствами и играми приводят к большему травматизму. В среднем от несчастных случаев ежегодно погибает в 2 раза больше мужчин, чем женщин.
Интересно, что С. Краске (Craske S., 1968) обнаружил у мужчин связь несчастных случаев с экстраверсией; объяснение этому можно видеть в том, что экстраверты придают меньшее значение выполнению предписанных обществом правил, в частности, при управлении транспортом (у женщин такой связи не выявилось).
В возрасте 15–19 лет у юношей коэффициент смертности в 2 раза выше, чем у девушек. Кроме болезней и травм большой вес занимают самоубийства: среди девушек, по данным международной статистики, их значительно меньше, чем среди юношей (рис. 3.1).
Рис. 3.1.Количество самоубийств среди 15–19-летних в зависимости от пола (Крейг Г., 2000)
По данным американских исследователей (Manton K. et al., 1987; Riley M., Waring J., 1976), процент самоубийств среди мужчин равномерно растет с возрастом, достигая максимума после 80 лет. Среди одиноких стариков больше самоубийств, чем среди женщин такого же возраста (Виткин Дж.). В целом же женщины совершают самоубийства в 3–4 раза реже, чем мужчины. Наибольшее число самоубийц среди мужчин и более жестокие средства самоубийства объясняются традиционной агрессивностью мужчин. Женщины предпочитают менее жестокие средства самоубийства (яд, газ, снотворные). Попытка самоубийства кончается у женщин неудачей, согласно разным источникам, в 4–12 раз чаще, чем у мужчин. Это связано с тем, что женщины используют попытку самоубийства как крайнее средство воздействия на окружающих. Правда, в последние годы распространенность женских завершенных суицидов растет быстрее, чем мужских. Точные причины этого неизвестны, но вероятно, что они связаны с социокультурными переменами в ролевом поведении женщин (Карсон Р. и др., 2004).
3.3. Аномалии развития и пол
Имеются половые различия в возникновении тех или иных аномалий развития.
Синдром сверхмужчины, встречающийся в одном случае на тысячу, связан с наличием хромосомного набора XYY. Мужчины с таким генотипом имеют, как правило, рост выше среднего, а интеллект несколько ниже среднего, они сильнее подвержены воспалению сальных желез и отличаются незначительными дефектами скелета. Высказывается также мнение, что эти мужчины обладают повышенной импульсивностью и агрессивностью по отношению к своим женам и сексуальным партнершам, однако это мнение оспаривается. Остается, однако, фактом, что мужчин с таким набором хромосом среди сидящих в тюрьмах в 4 раза больше.
Синдром Тернера проявляется у женщин, у которых одна X-хромосома либо отсутствует, либо не проявляет активности, что приводит к генотипу XO. У женщин с этим синдромом не происходит полного развития вторичных половых признаков, а их репродуктивная функция полностью отсутствует. Они могут иметь ненормально маленький для своего возраста рост и иногда страдают умственной отсталостью.
Синдром ослабленной X-хромосомы. Эта наследственная болезнь, вызванная разрывом X-хромосомы, встречается в 2 раза чаще у мальчиков, чем у девочек (у первых один случай на 1200 живорожденных, у вторых – один случай на 2500 живорожденных). При этом синдроме наблюдаются аномалии роста. Ребенок может появиться на свет с огромной головой, большими оттопыренными ушами, удлиненным лицом, иметь ненормально большой вес. Отмечается необычность поведения, задержка умственного развития, нарушение процесса научения.
Врожденная патология также имеет половые различия. Так, одни врожденные пороки сердца достоверно чаще встречаются у женщин, а другие – у мужчин. Дальтонизмом страдают 8 % мужчин и только 0,1 % женщин. Также генетически обусловленной является гемофилия (нарушение свертываемости крови), присущая только мужчинам.
3.4. Заболеваемость мужчин и женщин
У женщин во всех возрастных группах заболеваемость ниже, чем у мужчин. Наибольшие различия наблюдаются в пожилом и преклонном возрасте, наименьшие – в среднем. Это может быть связано с тем, что гомеостатические механизмы, поддерживающие нормальное состояние организма, у мужчин работают в более узких пределах. В возрасте 30–39 лет заболеваемость мужчин и женщин примерно одинаковая за счет резкого увеличения в это время специфически женских (гинекологических) заболеваний. До 65 лет риск умереть от сердечного приступа для мужчин втрое выше, чем для женщин; после 65 лет риск для мужчин возрастает в 2 раза. Риск возникновения сердечно-сосудистых заболеваний становится реальным для мужчин уже к 50 годам, для женщин – только к 70. Симптомы тромбофлебитов появляются у мужчин на 10 лет раньше, чем у женщин, а первый сердечный приступ – на 20 лет раньше. Эти различия объясняют различным гормональным фоном у мужчин и женщин. Мужские половые гормоны способствуют увеличению содержания холестерина в сыворотке крови, в то время как женские половые гормоны этот уровень понижают. Только в постклимактерический период, когда количество эстрогенов в организме женщины понижается, риск сердечно-сосудистых заболеваний увеличивается и у нее.
Заболевания щитовидной железы (в первую очередь диффузный токсический зоб) и желчнокаменная болезнь у женщин встречаются в 6–7 раз, волчанка – в 4 раза, ревматизм – в 3 раза, аппендицит – примерно в 2 раза чаще, чем у мужчин (имеется и другая статистика, показывающая еще большие различия, однако суть не в цифрах, а в закономерностях, которые при любой статистике одинаковые: например, при кастрации мыши-самца у него начинает развиваться волчанка, а при введении мыши-самке, больной волчанкой, мужского гормона эта болезнь идет на убыль). Зато у мужчин в 3–6 раз чаще бывают заболевания желудка и двенадцатиперстной кишки (это объясняется, в частности, тем, что женские половые гормоны (эстрогены) оказывают заживляющее воздействие на слизистую желудка и двенадцатиперстной кишки, а мужские половые гормоны (андрогены), напротив, способствуют воспалению и усугубляют возникшие изменения), в 2 раза чаще – бронхиальная астма, эмфизема и туберкулез, у них же чаще наблюдаются психические расстройства (Геодакян В. А., Шерман А. Л., 1971).
От заболеваний печени мужчин умирает в 2 раза больше, чем женщин, а от СПИДА – в 10 раз больше.
У лиц мужского пола подавляющее число всех грыж – паховые и лишь около 1 % грыж – пупочные. У лиц женского пола паховые грыжи составляют только половину общего их количества, а пупочные – до 15 %. Паховые грыжи у женщин бывают в 8–9 раз реже, чем у мужчин, потому что у женщин паховый канал уже.
В связи с большим распространением курения среди мужчин, чем среди женщин, раком легких чаще болеют мужчины. Так, в США, по данным Американской медицинской ассоциации, от рака легких погибает в 3,6 раза больше мужчин, чем женщин, от других болезней легких (хронической пневмонии, бронхиальной астмы, легочного туберкулеза) – в 3,2 раза, от болезней сердца – в 1,3 раза.
Ухудшение в старческом возрасте слуха чаще наблюдается у мужчин, чем у женщин (Fozard J., 1990).
Энурез бывает у мальчиков гораздо чаще, чем у девочек. Зато нарушения пищевого поведения – нервная анорексия (отсутствие аппетита) и булимия(неконтролируемая потребность много есть, особенно сладкого), чаще наблюдаются у девушек, и причиной их является депрессия, вызываемая часто недовольством девушек своей фигурой. Анорексия возникает и из-за боязни девочек стать женщинами. Они перестают есть, задерживая таким образом развитие организма и появление сексуального желания. После того, как количество жировых отложений начинает составлять менее 17 % от общего веса тела, у девочек прекращаются и менструации. В США больных анорексией более 100 тысяч. Анорексией заболевают в период отрочества, а булимией – в период юности. Такие больные поглощают огромные количества углеводов за очень короткое время, обычно за час или два. (Muuss R., 1986). Женщины чаще, чем мужчины, подвержены таким заболеваниям, как диабет, артриты и гипертония (Hayflick, 1994).
Частота нервно-психических расстройств у женщин выше, чем у мужчин, что объясняют реакцией первых на ролевую перегрузку. Среди женщин распространенность пограничных психических расстройств в 2–2,5 раза выше, чем среди мужчин. Эта закономерность особенно выражена в возрасте 30–50 лет и проявляется среди населения всех социально-профессиональных групп. У женщин развитых стран в 2 раза чаще, чем у мужчин, отмечаются невротические, депрессивные (Beck A. T., Yong J. E., 1978) и инволюционные расстройства, а у мужчин – психопатические расстройства и алкогольные психозы.
А. Анголд (Angold A., 1991) показано, что девушки в 2 раза чаще юношей обнаруживают депрессивные расстройства. Коннели с соавторами (1993; цит. по: Крейг Г., 2000) тоже выявили, что переживание школьниками депрессии средней и тяжелой степени чаще наблюдается у девочек, чем у мальчиков (табл. 3.3).
Таблица 3.3.Переживание депрессии школьниками в зависимости от пола (процент случаев)
У мальчиков-подростков и юношей депрессия нередко сопровождается срывами, а у девочек и девушек – нарушениями пищевого поведения (анорексией и булимией).
Ю. М. Миланич (1997) разделяет детей с эмоциональными нарушениями на три группы. В первую входят дети с выраженными внутриличностными конфликтами. Родителями и педагогами у этих детей отмечаются тревожность, необоснованные страхи, частые колебания настроения. Вторую группу составляют дети с межличностными конфликтами. Они отличаются повышенной эмоциональной возбудимостью, раздражительностью, агрессивностью. Третью группу составляют дети как с внутриличностными, так и с межличностными конфликтами. Для них характерны эмоциональная неустойчивость, раздражительность, агрессивность, с одной стороны, и обидчивость, тревожность, мнительность и страхи – с другой. В первой группе преобладают девочки, во второй и третьей – мальчики.
По данным Всемирной организации здравоохранения, в настоящее время депрессия имеется у 20 % женщин и у 10–12 % мужчин.
Статистические данные о более редком наличии у мужчин депрессивных расстройств К. Вреденберг с соавт. (Vredenberg К. et al., 1986) объясняют тем, что для мужчин жалобы на эти состояния неприемлемы с гендерных позиций. Поэтому они не обращаются за профессиональной помощью, а пытаются бороться с проблемой сами, с помощью наркотиков и алкоголя или попросту игнорируя ее. Страдающие фобиями женщины встречаются в 2 раза чаще, нежели страдающие фобиями мужчины. Число женщин, страдающих болезнью Альцгеймера, в 2–3 раза превышает число мужчин с этим заболеванием.
Специфические фобии широко распространены, особенно среди женщин. Данные Национального обзора коморбидности говорят о том, что в течение жизни специфические фобии поражают свыше 16 % женщин и почти 7 % мужчин (Kessler et al., 1994; Magee et al., 1996). Сравнительная частота их развития для различных полов значительно варьирует в зависимости от типа специфической фобии. Например, около 90–95 % людей с зоофобиями – женщины, но для фобии, связанной с видом крови и ранениями, соотношение по полу оказывается ниже двух к одному.
Карсон Р., Батчер Дж., Минека С., 2004, с. 286.
Мужчины чаще страдают заиканием и серьезными нарушениями способности к чтению (Halpern D., 1992). У мальчиков аутизм встречается чаще, чем у девочек.
Делаются попытки связать заболеваемость с типами телосложения. В связи с этим Л. А. Николаева (1975) обнаружила, что у девочек не наблюдается выраженной зависимости числа заболеваний за 10 лет жизни от того, какой тип телосложения у них имеется. У мальчиков же средняя заболеваемость снижается от астеноидного типа телосложения к дигестивному. В результате заболеваемость среди детей астеноидного и торакального типа выше у мальчиков, чем у девочек, а у девочек выше заболеваемость, чем у мальчиков, если те и другие принадлежат к мышечному и дигестивному типам.
В литературе имеются данные о большей подверженности мальчиков резидуально-органическим поражениям центральной нервной системы, при этом преобладание мальчиков более выражено при относительно легких повреждениях головного мозга и отсутствует у детей с обширными поражениями (Корнев А. Н., 1986; Kucera O., 1961; Turner G., Turner V., 1974). Эти данные являются подтверждением гипотезы, согласно которой мозг мальчиков более чувствителен к патогенным факторам, вместе с тем при грубых повреждающих воздействиях разница в толерантности мужского и женского мозга нивелируется (Mateicek Z., 1972) … При очаговых поражениях левого полушария головного мозга афазия развивается у женщин в три раза реже, чем у мужчин (Lansdell N. A., 1962; McGlone J., 1978).
Лассан Л. П., 2007, с. 46.
По данным ряда авторов (Мухаметжанов Х., Ивакина Н. И., 1995; Лассан Л. П., 2007), больных с кистами головного мозга в 2–5 раз больше среди мальчиков, чем среди девочек.
Изменения личности при инвалидности. Т. Н. Кондюхова и Е. И. Петанова (2001) показали, что наибольшая деформация личности у мужчин – инвалидов по зрению происходит на второй группе инвалидности, а у женщин – на первой группе. Ранняя стадия заболевания дезадаптирует мужчин больше, чем поздняя, в то время как у женщин дезадаптация увеличивается с ростом степени инвалидности.
У мужчин и женщин на разных стадиях соматического заболевания диагностируются различные типы внутренней картины болезни, а при сходных типологиях этих картин у них проявляются качественно различные ее формы. Преобладающим эмоциональным фоном у мужчин-инвалидов является гипоманиакальный, а у женщин – депрессивный. Представление о своей социальной репутации у мужчин-инвалидов по зрению обратно пропорционально тяжести заболевания, а у женщин – прямо пропорционально.
Основные причины смерти. Данные, представленные в табл. 3.4 (заимствовано из: Крайг Г., 2000), дают приблизительное представление о половых различиях в основных причинах смерти мужчин и женщин 25–44 лет, касающихся высокоразвитых стран Запада.
Таблица 3.4.Основные причины смерти мужчин и женщин среднего возраста в США в 1992 г. (показатель смертности на каждые 100 тысяч населения с учетом пола)
