автордың кітабын онлайн тегін оқу Загадки электричества. Лучшие советские учебники
Владимир Зибер
Загадки электричества
© Оформление. ООО «Издательство «Эксмо», 2025
⁂
Предисловие
Я с величайшей готовностью принял любезное предложение издательства написать несколько строк предисловия к этой книге; но я должен заранее просить извинения и у издательства, и у читателей за то, что, пожалуй, совсем не сумею с подобающим беспристрастием дать оценку этого нового труда В. А. Зибера. Автор, уже знакомый мне по маленькой книжке 1-го выпуска «Живых задач», этими драгоценными находками среди своих «методических исканий» давно подкупил меня в свою пользу. «Загадки электричества» еще более очаровали меня ярким воплощением многих из тех заветных педагогических мечтаний, которые увлекали меня в годы преподавательской работы.
Живые картинки «Загадок» воскресили во мне воспоминания о самых отрадных, самых плодотворных моментах общения с юными учениками. Перечитывая эти странички, я вновь чувствовал себя среди оживленных юнцов, не тех «лучших» учеников, которые без колебаний и сомнений аккуратно складывали в свои головы какие угодно школьные премудрости, а тех беспокойных зеленых голов, которые скептически критиковали самые прочные истины, которые задавали сотни наполовину нелепых вопросов и сочиняли десятки совершенно нелепых, фантастических проектов.
Автор с чуткостью истинного педагога и мастерством, можно сказать, художника очерчивает картину исканий и блужданий учеников, старающихся переварить первые порции научных знаний. Кому из учителей физики не знакомы и электрическая мухоловка, и проект наэлектризовать Землю, чтобы уничтожить тяготение, и «удачные» опыты с электролизом, оказавшимся простым кипением воды, и т. д. и т. п.? Но ведь именно из такого – и только из такого – сумбура выкристаллизовываются отчетливые контуры основ физики; помимо таких блужданий на первых шагах самостоятельной мысли нет дорог к правильным научным перспективам.
Автор тысячу раз прав, исходя от густого тумана отрывочных, поверхностных знаний, этих обычных даров школьных курсов и популярных книжек, и еще более прав, указывая путь, выводящий к свету. Каждый эпизод, каждая страница убедительно и увлекательно внушают юному читателю, что единой истинной основой ясного, плодотворного понимания физики является опыт, эксперимент, что для того, чтобы освоиться с наукой, родившейся и развивающейся в премудрых научных лабораториях у ученых специалистов, надо прежде всего взяться за эксперимент самому. Пусть этот собственный эксперимент будет как угодно примитивен и груб, пусть он повторяет давно известное, тысячи раз перепробованное, или пусть он будет нелепой, неосуществимой затеей; все равно – всякий собственный эксперимент даст нечто ценное, неприобретаемое никакими другими способами, нечто такое, без чего остается чужд самый дух опытной науки.
Два слова о внешней форме изложения. Описание удач и неудач юных экспериментаторов, разнохарактерные реплики при их горячих дебатах – все это изложено настолько жизненно и увлекательно, что напряженное внимание читателя ни на минуту не ослабевает. Встречающиеся изредка шутки, анекдоты, забавные цитаты не отвлекают, а, наоборот, сильнее привлекают внимание к сути вопроса.
Эта книга не есть, конечно, учебник; но дайте ее ученикам, прошедшим азбуку школьной физики, она заразит их живым интересом и научит очень многому, чему не научат самые обстоятельные учебники.
Эта книга не есть методический очерк; но дышащие жизнью картинки коллективных исканий юных любителей физики лучше всяких теоретических обоснований и логических доводов пропагандируют совершенно определенный метод обучения.
Этот метод есть одна из удачнейших, одна из самых жизненных разновидностей эвристического, или, как теперь чаще говорится, исследовательского метода. О принципиальной рациональности и исключительной плодотворности такого метода говорить излишне: это слишком очевидно. Можно, пожалуй, лишь подчеркнуть повышенную продуктивность коллективной, кружковой работы.
Указывать и перебирать отдельные, особенно удавшиеся автору моменты было бы слишком долго; гораздо легче указать то немногое, что вызывает сомнения и что, вероятно, войдет в педагогический обиход лишь при некоторых коррективах.
Описываемый кружок юных физиков собирается в квартире одного из сочленов, что дает повод к задаче изобретения секретного электрического замка. Но почему же кружок не собирается просто в школе? Нормально поставленная школа должна давать и приют, и средства для экспериментов такому кружку, нисколько не стесняя его инициативы и никоим образом не понижая живого интереса юных исследователей. Затем, почему в дебатах не выступает преподаватель-физик? Мне думается, что при нормальных взаимоотношениях учителя и учеников учитель должен быть, конечно, лучше не председателем, но частым гостем кружка, выступающим в качестве оппонента, а иногда и докладчика.
Говорю это потому, что уж очень бы хотелось такую живую, бодрую, дружную работу видеть в школьных стенах, а не только у заговорщиков-гугенотов, собирающихся за секретным замком.
Горячо рекомендуя эту книгу всем учащим и учащимся, я повторяю, что не могу считать себя беспристрастным критиком: может быть, многое представляется мне прекрасным только благодаря совпадениям с моими субъективными взглядами, с моими личными вкусами. Думаю, впрочем, что настоящая оценка этой книги вообще – не наше преподавательское дело. Самую верную оценку она найдет в кружках юных физиков, подобных тому, который описан В. А. Зибером.
Было бы недоразумением, если бы такой кружок стал систематически штудировать «Загадки», проделывая все то – и только то, – что в них описано; но если книга будет взята лишь за образец, если, уловив ее дух и смысл, кружок будет искать в ней руководителя и советчика при решении своих собственных задач и вопросов, для выяснения своих собственных недоумений, то книга блестяще выполнит свое назначение, и в дебатах юных физиков будут часто звучать заслуженные ею похвалы.
А. ЦингерЛихтерфельдэ.Декабрь 1925 г.
От автора
Если эта книга попадет в руки педагога или специалиста-физика, то, возможно, их неприятно удивит вольность изложения, которую иногда допускает в ней автор.
Есть много книг, написанных на всех языках, которые стремятся разъяснить читателю научные вопросы в доступной его пониманию форме. Одни пытаются всесторонне осветить вопрос, не отступить ни на шаг от «истины», но в результате, несмотря на прекрасный, образный язык, сложность картины часто оказывается не по плечу малоподготовленному читателю. Другие рискуют коснуться вопроса лишь с какой-нибудь одной определенной точки зрения. Они ставят и решают его в одной лишь плоскости, в одном разрезе. Понятно, они не могут вскрыть всей его сущности, но иногда результаты подобной обработки вопроса оказываются более ощутительными.
Автор настоящей книги избрал второй путь.
Физику-педагогу, не разделяющему основной идеи автора, быть может, все же удастся использовать кое-какой новый опытный материал, имеющийся в этой книге.
Следует подчеркнуть, что при подборе материала автор вообще не считался ни с программными, ни с методическими требованиями. Автор видел перед собой учащихся и только учащихся. Он исходил из их запросов, сомнений и интересов.
Это книга учащихся.
Однако это не учебник и не задачник по электричеству.
Это очерк разработки многих вопросов электричества любителями этого отдела физики, объединившимися в кружок для совместной работы.
Задачи-вопросы, задачи-работы, помещенные в этой книге, касаются лишь некоторых основных вопросов элементарного курса электричества.[1]
Следует крепко порекомендовать не читать этих задач вразбивку, чтобы все вопросы и их решения были вполне ясны. Если бы читатель, прежде чем заглянуть в решение, проделал сам соответствующий опыт, то, вероятно, эта книжка была бы прочтена с большей пользой.
При чтении этой книги не бесполезно иметь под рукой какой-нибудь учебник физики.
Заканчивая предисловие, я хотел бы выразить признательность тем лицам, чья помощь дала мне возможность осуществить свой замысел выпуском в свет моей книги в настоящем ее виде.
Приношу глубокую благодарность профессору А. В. Цингеру за ряд указаний и полную доброжелательности критику, которая всегда так необходима автору.
Искренне благодарю О. А. Вольберга за его совершенно особую редакционно-творческую работу над книгой и за дружескую помощь в области технической, а также Ю. Д. Скалдина, тонкое мастерство которого сообщило книге художественную ценность.
Считаю необходимым отметить с чувством большой признательности наличие необыкновенно бережного отношения к внешности книги со стороны издательства, что так трудно и так редко в условиях настоящего времени.
В. Зибер
Первые шаги
Несколько лет тому назад среди некоторых учащихся и просто любителей физики возникла мысль о самостоятельной разработке вопросов этой интереснейшей области знания.
Был организован кружок «Любителей физики».
В нашем кружке часто возникали горячие споры на самые различные темы из области физики. Не было особого порядка в этих вопросах.
Однако как-то возник у нас памятный нам диспут, который помимо нашей воли направил беседы в русло некоторой системы. Мы сами не заметили, как за 6 месяцев повторили, да еще с каким удовольствием, чуть ли не весь основной курс электричества. Наша яростная дискуссия началась с того, что кто-то из товарищей сказал:
– Это же, наконец, невыносимо… Вы твердите, как попугаи: все тела электризуются от трения, – а скажи я вам вот сейчас, наэлектризуйте мне хоть какой-нибудь предмет, находящийся в нашей комнате, вы этого не сможете сделать и сейчас же станете пространно и непонятно объяснять, почему все имеющиеся у нас предметы «вообще говоря, электризуются, но в нашей обстановке произвести такой опыт невозможно». Невозможно, так и не распинайтесь о всеобщей электризации.
После этого выпада наш председатель пододвинул к себе свечку и сказал:
– А я, милый мой, не понимаю, чего ты на нас накинулся. Ты и сам прекрасно знаешь, что каждое тело, потертое обо что-нибудь, электризуется. Но одно электризуется сильно, другое – слабее, третье – так слабо, что грубыми способами обнаружить на нем присутствие электрического заряда совершенно невозможно. Неужели тебе мало было всех наших опытов? Стекло натирали о кожу – оно электризовалось; эбонитовую палку о сукно – она также электризовалась. А газету разве мы не натирали? Наконец, даже друг друга мы электризовали – бил же ты меня по спине своей меховой шапкой, и от этого к моему пальцу притягивались маленькие кусочки бумаги?!
– Эх, – возразил наш спорщик, – это я очень хорошо сам знаю, но пойми же, что все эти опыты требуют специальных приспособлений и материалов, а я говорю, что если убеждать других в том, что все тела электризуются от трения, так надобно воспользоваться таким предметом, который имеется в домашнем обиходе и для электризации которого не нужен целый ряд ухищрений. Мы натирали стекло кожей, но кожа-то была покрыта амальгамой[2]. Натирали эбонитовую палку, но в каком же доме есть такие палки? Мы наэлектризовывали газету, но ты, вероятно, забыл, что мы для этого ждали целую неделю сухого дня и в конце концов вынуждены были затопить печку для того, чтобы высушить и нагреть газетный лист. Мало того, когда в комнату набралось к нам человек десять насладиться зрелищем электризации «нашей прессы», как ты выразился тогда, то эта самая «пресса» при самом яростном натирании ее щетками дала в первый момент кое-какой результат, а затем от дыхания присутствующих отсырела и устроила «массовую забастовку». Ну а последний опыт – опыт замечательный. И люди везде найдутся, и меховую шапку достать можно, но ведь для того, чтобы можно было тебя наэлектризовать, ты должен был встать на изолированную скамейку, иначе электричество из тебя ушло бы в пол, а из него по стенам дома в землю. Может быть, ты скажешь, что и изолирующую скамейку можно достать в каждом доме?
– Ты сегодня непримирим, – сказал наш председатель. – Но только ты все-таки не прав. Начнем по порядку: кожу вовсе не обязательно амальгамировать – амальгаму употребляют для усиления электризации. Ты говоришь, что эбонита сейчас не найдешь нигде, кроме как в физическом кабинете; это, конечно, не так; но кто же тебе мешает заменить эбонит ну хотя бы, например, сургучом или целлулоидом? Что касается опытов с газетным листом и с электризацией человека, то со своей точки зрения ты, пожалуй, и прав, но…
Спорщик перебил председателя:
– Я тебя не спрашивал, прав я или нет. Ты мне подай немедленно электризацию. Вот о чем я тебя прошу.
– Ну что ж, и дам, – сказал председатель. – Только и на этот раз по нашим правилам дам – как задачу тебе же.
Для покрывания кожи употребляется чаще всего оловянно-цинковая амальгама, т. е. сплав олова и цинка с ртутью. Амальгамой вообще называют раствор металла в ртути.
Дальнейшие работы будут изложены в следующих книгах.
Задача № 1
О свечке и кусочках газеты
– Докажи с помощью вот этой свечки, – сказал председатель, – что она может быть наэлектризована. Вот тебе еще кусочек газеты.
– Для меня ясно, – сказал наш неукротимый товарищ, – что ты предлагаешь кусок газеты только для того, чтобы использовать его в качестве тела, притягивающегося к свечке. Но скажи, пожалуйста, как же я могу наэлектризовать ее, если ты ничего не даешь мне для того, чтобы ее натереть.
– Потому не даю, – сказал председатель, – что у тебя есть то, чем можно натереть свечку. И у меня есть, и у всех наших товарищей есть, да и вообще у всех людей, за очень малым исключением. Ну, решай задачу; больше ничего не скажу.
Достаточно стеариновой свечкой два-три раза провести по волосам или потереть ее о суконную одежду для того, чтобы она наэлектризовалась. Обнаружить заряд на свечке можно самыми разнообразными приемами. Всякое наэлектризованное тело обладает свойством притягивать весьма легкие тела. Конечно, если электрический заряд очень слаб, нам, может быть, не удастся его обнаружить грубыми способами, но более совершенные приборы (например, электроскоп, см. зад. № 19) дадут возможность установить электризацию тела.
Нарвем несколько мелких кусочков газеты, поднесем к ним наэлектризованный конец свечки – они тотчас притянутся.
– Погодите-ка, – сказал один из присутствующих, – я хочу предложить еще одну задачу. Конечно, мы сейчас очень хорошо знаем, что непроводников (изоляторов) электричества, строго говоря, не существует. Все тела – и шелк, и стекло, и фарфор, и прочие так называемые изоляторы – в большей или меньшей степени проводят через себя электричество. Однако это количество электричества столь незначительно, что для практических целей вполне возможно пренебречь проводимостью изоляторов. Я хочу сказать, товарищи, что мы продолжаем делить все тела на проводники электричества – металлы, растворы солей, кислот, щелочей – и непроводники – смолы, масла и проч. Говорю же я все это для того, чтобы вы не придрались к моей
Задаче № 2
Все о той же свечке
Как, не делая никакого опыта, кроме предложенного в задаче № 1, можно доказать, что стеарин очень хороший изолятор?
Если вы проделали опыт, указанный в задаче № 1, то, вероятно, обратили внимание, как долго держит заряд стеариновая свеча. Это признак хорошего изолятора. Действительно, стеарин прекрасный изолятор. Это видно уже и из того, что вы, держа свечку за один конец, смогли вообще наэлектризовать другой. Если бы стеарин был проводником, то тогда вы не смогли бы удержать на нем заряд, так как электричество через вашу руку ушло бы в землю.
– Ну эта задача простая, – сказал кто-то из нас, – а вот на мою долю нынешним летом выпала такая, что я ее и до сих пор разрешить не могу. Стал я рассказывать одному старику в деревне, что молния – это, мол, электрический разряд – «скачок, – говорю ему, – электричества из тучи в землю». Рассказал ему все, что знал. «Чем ближе, – говорю ему, – какой-нибудь предмет к туче и чем лучший он проводник, тем вернее в него попадет молния. Поэтому-то, – говорю ему, – молния попадает так часто в колокольни». Посмотрел он на меня и говорит:
Задача № 3
Загадка старика
– Церковь наша стоит уже больше 40 лет, а ни разу в ее крест не попала молния. Однако, паренек, за эти 40 лет гроза спалила в нашем селе одну мельницу, два дома, людей побила на пожне, скот, да мне и не упомнить всего. Чего далеко-то вспоминать – у меня у самого под Ильин день стог сена сожгло в этом году. Вот тебе и колокольня!
Рис. 1. Церковь наша стоит больше 40 лет, а ни разу в ее крест не попала молния
Я сказал ему, что, может быть, церковь стоит в глубокой лощине, а стог сена на горке. Дед только рассмеялся: «Да ты что, церкви еще нашей не видел, что ли! Церковь на юру, брат, стоит. Самое высокое место в нашей деревне – камень да песок. А стог-то мой, почитай, что на болотине стоял». Что было мне отвечать, товарищи? Ведь про колокольню-то я вычитал в книжках, а тут сама жизнь. Скверно было и то, что старик явно намекал, что крест на церкви и «молонья» не тронет. Я уж не рад был, что и начал этот разговор.
– Да, да, – сказал другой из нас, – я сам был свидетелем подобного случая.
Задача № 4
О двух деревьях
Жил я на высоком берегу Оби недалеко от Бийска. Этот берег вблизи моего дома образовывал глубокую балку, на дне которой бежал родник. Прямо против моих окон росло два дерева: наверху сосна, внизу высокая осина. Во время грозы молния попала в осину и сильно расщепила и изуродовала ее, а сосна, которая своей вершиной поднималась много выше, чем осина, осталась нетронутой. Видите, товарищи, вот и еще такой же случай.
Эти две задачи сильно заинтересовали нас. Особенно потому, что мы в первый момент не знали даже, как приняться за их решение.
Удары молнии бывают весьма разнообразны и прихотливы. Часто выяснить причины попадания молнии именно в данное место совершенно не представляется возможным за неимением точных подробных сведений обо всех условиях окружающей обстановки, которые были в момент удара. Вопрос о молнии не раз обсуждался в нашем кружке, и читатель еще получит сведения об атмосферном электричестве. Однако вопрос, поставленный в данной задаче, может быть разрешен довольно простыми соображениями. Туча стремится передать свой заряд в землю. Так как воздух представляет собой весьма дурной проводник, то заряд тучи при сильном скоплении электричества пробивает его в виде огромной искры, которую мы и называем молнией. Очевидно, подобный разряд избирает путь, обладающий наименьшим сопротивлением прохождению электричества. Сопротивление самого воздуха далеко не везде одинаково. Оно зависит от большего или меньшего скопления паров воды, самой воды в виде мельчайших капелек, пыли и т. д. Поэтому путь молнии крайне редко бывает прямым. Если мы воткнем вертикально в землю длинный деревянный шест и он во время грозы будет смочен дождем, то получим проводник значительно лучший, чем воздух. Чем выше будет такой шест, тем вернее удар молнии будет направлен в него. Огромное значение в вопросе о месте удара молнии играет и свойство поверхности самой земли. Толстый пласт совершенно сухого песка или глины представляет собой очень хороший изолятор. Наоборот, влажная черноземная полоса – хороший проводник.
Таким образом, интересующий нас вопрос разрешается просто. Церковь стояла на горе из песка и камня. Поэтому, если даже допустить, что сама церковь от вершины креста до фундамента и представляла собой удовлетворительный или даже хороший проводник, все же она не могла дать для молнии путь в землю, лишенный большого сопротивления, так как под церковью находился пласт изолятора. Наоборот, стог сена, хотя и находился ниже церкви, стоял, по выражению крестьянина, «на болотине». Прекрасная проводимость земли и проводимость сена, смоченного грозовым дождем, могли легко создать такие условия, при которых путь молнии в землю через стог отличался меньшим сопротивлением, чем через церковь.
Вопрос последней задачи вы легко решите самостоятельно на основании тех же соображений, которыми мы руководились в предыдущей. Следует заметить, что здесь примешивается и еще одно обстоятельство: лиственные деревья при прочих равных условиях обладают лучшей проводимостью, чем хвойные.
Может быть, вы сможете указать на одну из причин подобного свойства лиственных деревьев?
На следующий день, когда задачи были решены, наш спорщик поделился с нами еще одним недоумением.
– Я потер свечку куском сукна – свечка наэлектризовалась, так как к ней притягивались кусочки бумаги. Для меня было очевидно, что если справедливо правило, что все тела электризуются при трении о какое угодно другое тело, лишь бы оно не было с ним одинакового материала, то и суконка должна наэлектризоваться. Однако мои опыты привели к следующему.
Задача № 5
О неэлектризующемся сукне
Натирая сукно о свечку, я подносил его не только к кусочкам бумаги, но даже к концу подвешенной швейной нитки и не мог обнаружить ни малейших следов электричества. Может быть, на сукне появляется от трения о свечку заряд гораздо более слабый, чем на свечке, который можно обнаружить только очень чувствительными приборами?
Эту задачу мы решили моментально.
Все тела от трения электризуются в большей или меньшей степени. Отсюда ясно, что сукно благодаря трению о свечку должно наэлектризоваться. При трении двух тел одного о другое оба электризуются разнородными электричествами. Стеарин свечки, потертой о сукно, электризуется отрицательно, следовательно, сукно должно получить положительный заряд. Наконец, опыт и теория убеждают нас в том, что количество электричества на обоих трущихся телах одинаковое. Поэтому предположение о том, что на сукне получается заряд меньший, чем на свечке, в корне неверно. Весь вопрос разрешается очень легко, если мы вспомним, что сукно хотя и очень дурной проводник, но все же проводник электричества. Держа его в руке, мы уводим электричество в землю. Если бы мы прикрепили его к какому-нибудь изолятору, например, ко второй свечке, то мы обнаружили бы на сукне положительный заряд, точно равный отрицательному на свечке.[3]
Мы поставили на вид нашему товарищу, что он, очевидно, плохо усвоил электричество, если предложил нам такую задачу.
– Хорошо, хорошо, – сказал он, – всем известно, что я хуже вас знаю электричество. А я вот вам расскажу о моем изобретении, которое я вчера сделал.
Задача № 6
Электрическая мухоловка
Представьте себе, что посреди комнаты подвешен к потолку металлический шар, который все время сильно заряжается электричеством. Вы знаете, мухи всегда вьются вокруг висящей лампы; ясно, что они будут виться и вокруг шара. Благодаря тому, что он наэлектризован, они с силой притянутся к нему, а слететь с него не смогут. Повисят, повисят и подохнут.
Дружным смехом встретили мы этот оригинальный проект.
– Ты сегодня отличаешься, – заговорили мы. – Твои мухи не только не прилипнут к шару, а если бы даже они хотели остаться на его поверхности, так их сбрасывало бы с нее. Шар притянет муху, это верно, но как только муха коснется шара, она сама зарядится его электричеством. А ты очень хорошо должен был бы знать, что одноименные заряды электричества отталкиваются. Вот если бы ты как-нибудь ухитрился зарядить муху, скажем, отрицательно, то тогда, конечно, муха притягивалась бы к шару до тех пор, пока на ней и на шаре были бы разнородные электричества. Но как бы ты это осуществил практически? Ведь муха неизбежно коснется шара, и тогда могут произойти три вещи. Если на шаре электричества мало столько же, как и на мухе, то эти два разноименные и равные количества электричества взаимно нейтрализуются: вся сила одного и другого взаимно уничтожится. Тогда твоя муха просто свалится на пол. Если на шаре заряд больший, нежели на мухе, то та его часть, которая равна заряду мухи, нейтрализует его. Остальное электричество, распространившись по всему шару и частично перейдя на муху, оттолкнет ее от шара. То же произойдет, если заряд мухи будет больше заряда шара.
Предлагаемая изобретателем мухоловка теоретически неосуществима. Однако если бы мы покрыли металлический шар слоем непроводника, например шелаком, то, очевидно, тогда заряд шара не смог бы перейти на муху и она все время находилась бы под действием силы притяжения. Практически такая мухоловка, конечно, настолько неудобна и дорога (ведь для электризации шара нужен специальный прибор, который заряжал бы его), что ни одному человеку не придет в голову использовать ее для ловли мух.
– Посмотрим, – сказал изобретатель мухоловки, – кто на этот раз выйдет победителем. Я сам знаю, что одноименные заряды электричества отталкиваются, а разноименные притягиваются. Вы мне сейчас дайте ответ вот на что: если какие-нибудь тела, скажем, ниточки, кусочки бумаги, соломинки и проч., будут притягиваться к наэлектризованному телу, то после прикосновения они должны оттолкнуться или нет?
– Понятно, должны, – сказал председатель, – погляди в любой книжке.
– В книжке я не стану смотреть, а вот вы полюбуйтесь лучше на мой опыт. Вот я натер свечку о мои волосы, натер сургуч о сукно. Теперь я нарву кусочки бумаги. Смотрите!
Задача № 7
О кусочках бумаги, подрывающих законы электричества
Если поднести наэлектризованную свечку или палочку сургуча к кусочкам бумаги, то эти кусочки притягиваются к ним, но, против ожидания, не отталкиваются после касания, а продолжают неопределенно долго держаться на их поверхности. Почему же это происходит?
Мы были ошеломлены этим опытом. Несомненно, на этот раз победил наш товарищ. Однако в чем же тут дело? Ведь наши рассуждения были, несомненно, верны, и опыт, указанный в задаче № 7, также не вызвал ни малейших подозрений.
Эту задачу мы никак не могли разрешить. Когда у нас накопилось достаточно опыта и знаний, мы, наконец, поняли загадочную причину странного поведения бумажек. Читатель в свое время также узнает о ней из этой книги.
Решено было на время отложить решение этой задачи и предварительно выяснить справедливость основных законов взаимодействия электричества. Один из нас тут же предложил на эту тему
Опыты убедили, что электричество бывает только двух родов: одно условно назвали положительным, другое – отрицательным.
Задачу № 8
Опять о свечке
– Вот, товарищи, я кладу на стол свечку и катушку ниток. Докажите, что одноименные электричества отталкиваются.
– Погодите-ка решать, – сказал второй член кружка, – я вам сразу же и вторую задачу дам.
Задача № 9
О ламповом стекле
Кроме свечки и катушки ниток возьмите еще ламповое стекло и кусочек кожи и докажите, что разноименные электричества притягиваются.
Мы пытались решить первую задачу таким образом: подвешивали рядом две швейные нитки и затем наэлектризовывали их свечкой. Очевидно, что обе нитки в этом случае должны были наэлектризоваться одноименно (отрицательно) и, следовательно, оттолкнуться друг от друга. Однако опыт разочаровал нас. Обе нитки, притянувшись к свечке, не желали отставать от нее, и мы поняли, что и в данном случае мы натолкнулись на то загадочное явление, о котором говорилось в задаче № 7. Отсюда мы могли сделать только один вывод: либо мы решали эту задачу неверным путем, либо наш товарищ, предложивший нам ее, дал невыполнимую задачу. Кто-то из нас даже сказал, что он мог бы решить эту задачу и иначе, если бы были даны две свечки.
– Одну я бы подвесил на нитке, укрепив ее за середину так, чтобы свеча была в горизонтальном положении. Затем я наэлектризовал бы один конец этой свечки и конец второй. Вторую свечку стал бы приближать к наэлектризованному концу подвешенной. Так как обе свечки были бы наэлектризованы одинаковым электричеством, то конец подвешенной свечи должен был бы оттолкнуться.
Эта мысль подсказала нам решение задачи. Кто же мешал нам из одной свечи сделать две? Мы разломили нашу свечку пополам и убедились, наконец, что одноименные заряды, – во всяком случае, отрицательные, – отталкиваются.
После решения этой задачи вторая показалась нам совсем простой. Натерев ламповое стекло о кожу, мы получили на нем заряд положительного электричества. Поднося его к подвешенной свечке (предварительно наэлектризованной), мы обнаружили притяжение ее конца к ламповому стеклу. Притяжение разноименных электричеств было доказано. Эти опыты мы очень разнообразили: подвешивали вместо свечки ламповое стекло и даже против условия этой задачи брали второе стекло и таким образом убедились, что и между положительными зарядами существует отталкивание. Вопрос о взаимодействии электричеств был выяснен.
– Товарищи, – сказал я, – сегодня и я могу порадовать вас моим открытием, хотя оно и не опытного характера. Слышали ли вы когда-нибудь о том, как во Франции в Cредние века было открыто электричество?
– Нет, – заявили мои товарищи.
– Слушайте же!
Задача № 10
Как французский ученый сошел с ума
Дело происходило в Париже. Не знаю уж, какой это был век, но тогда все носили длинные чулки и короткие штаны. Один французский ученый был спешно приглашен по какому-то делу к французскому королю. Являться ко двору надлежало в белых шелковых чулках, а на ученом были шелковые черные. Негодуя на то, что его оторвали от работы, и не желая тратить время на переодевание, ученый стал натягивать белый чулок на черный. Чулки натягивались с большим трудом. Впопыхах ученый натянул чулок пяткой вверх. Рассерженный, он стал стаскивать белый чулок с черного, но, к своему удивлению, никак не мог этого сделать: один чулок как будто прилип к другому. Окончательно рассвирепевший, он рванул его изо всех сил вниз и стянул со своей ноги оба чулка разом. Придя в бешенство, он кинул их об стену. Чулки прилипли к стене и не упали на пол. Вся досада мигом была забыта, и ученый, пораженный необыкновенным поведением чулок, забыв о королевском приказании, принялся исследовать это необыкновенное явление.
Рис. 2. Руками он проделывал совершенно непонятные манипуляции с черным и белым чулками
Когда через час прибыли посланные короля вторично с тем, чтобы передать, что король гневается, они были повергнуты в величайшее недоумение той картиной, которая предстала их глазам. Ученый сидел в кресле. Одна нога его была в черном чулке, другая босая. Руками он проделывал совершенно непонятные манипуляции с черным и белым чулками: он то тер их друг о друга, то продевал один в другой. Посланные донесли своему повелителю, что ученый сошел с ума. А счастливый ученый так и не поехал во дворец.
Вот и весь рассказ. В нем я тотчас же подметил нелепость. Мы же знаем, что электризуются от трения только два разнородных тела, а в данном рассказе электризуются два шелковых чулка. Очевидно, что это невозможно.
Можете себе представить мое изумление, когда наш председатель доказал мне, что я не прав.
– Понятно, что шелк, потертый о шелк, не должен электризоваться, – сказал председатель, – но ты ведь сам говорил, что главное условие для того, чтобы два тела при трении друг о друга не наэлектризовались, заключается не в том, чтобы оба тела были из одинакового материала, а в том, чтобы они были совершенно однородны (главное – их трущиеся поверхности). Возьми, например, стекло. Пусть у нас будут два куска одного и того же сорта, но если поверхность одного исцарапать шкуркой и затем потереть их друг о друга, то они наэлектризуются. Для того, чтобы получить электризацию двух тел из одинакового материала, достаточно одно из них нагреть или сжать. У нагретого тела поверхность будет менее плотной, чем у ненагретого; у сжатого, наоборот, более плотной. Этого достаточно для того, чтобы поверхности этих двух тел не были однородны. Белый шелк – это чистый шелк. Черный – это шелк крашеный. Этого достаточно для того, чтобы при трении их один о другой они наэлектризовались. Так что, видишь, ты не прав и никакого открытия не сделал. А вот я, выслушав твою легенду об открытии электричества, кажется, смогу предложить вам всем на разрешение[4]
Шлифовальная бумага.
Задачу № 11
О задаче десятой
Подумайте о задаче № 10. Нет ли в ней такого явления, которое действительно было бы совершенно немыслимо с точки зрения нашей, людей, изучающих электричество?
В рассказе говорится, что оба чулка, брошенные в стену, прилипли к ней, т. е. обнаружили силу притяжения электричества. Но один чулок был вложен в другой, следовательно, оба разноименных заряда на черном и белом чулках были взаимно нейтрализованы. Таким образом, никакой внешней силы такая пара чулок проявить не могла. Силы притяжения положительного и отрицательного электричества были направлены друг на друга. Один чулок притягивал другой, но вместе они не могли притянуться к стене. Если бы ученый вытащил черный чулок из белого, то тогда каждый из них отдельно обладал бы всеми свойствами наэлектризованного тела.
Когда мы наконец догадались, в чем заключалась ошибка в моем рассказе, кто-то сказал, что было бы очень интересно узнать, достаточной ли силой обладает заряд чулка для того, чтобы удержать чулок на стене.
– Вообще, интересно бы знать, с какой силой притягиваются или отталкиваются два заряда.
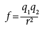
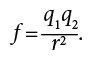
– Это нетрудно, – заявил самый знающий из нас. – Вспомните закон Кулона:[5]
Сила взаимодействия f двух электрических зарядов q1 и q2 прямо пропорциональна произведению количества электричества этих зарядов и обратно пропорциональна квадрату расстояния между ними r2.
Зная количество электричества этих зарядов и расстояние между ними, вы легко найдете величину силы их отталкивания или притяжения.
Необходимо напомнить, что формула Кулона может быть написана в указанном виде
только при условии, если мы измеряем все величины в соответствующих единицах: силу в динах, расстояние в сантиметрах и количество электричества в электростатических единицах. За электростатическую единицу количества электричества принимают такой заряд, который отталкивает равный себе одноименный заряд, находящийся на расстоянии 1[6] см, с силой, равной 1 дине.
