автордың кітабын онлайн тегін оқу Статьи научные и разные
Статьи научные и разные
Сборник
Алексей Сергеевич Патрашов
© Алексей Сергеевич Патрашов, 2016
ISBN 978-5-4483-3273-9
Создано в интеллектуальной издательской системе Ridero
Статьи научные
Гравитационная теория удачи
Гравитационная теория удачи была написана после катастрофической потери файлов за весь год работы а аварии компьютера 2012 года. Тем самым было экспериментально доказано, что существует вещественная связь между масштабом и вероятностью в последовательности удач и неудач.
Введение
В этом докладе пойдёт речь об удаче не столько в бытовом смысле слова, сколько в объективном понимании этого явления с точки зрения теории вероятностей и теории математического моделирования. Сугубо для удобства и лучшего понимания в качестве физической модели взята гравитационная модель, которая своим поведением лучше всего повторяет действительное поведение событий и проще всего выглядит для разного рода её представления.
Гравитационная модель удачи
Альберт Эйнштейн сказал, что безумие это проделывать то же самое снова и снова, но каждый раз ожидать иного результата. Некоторые могут понять это высказывание слишком буквально, что если что-то не получилось с первого раза, то не получится никогда. Но Эйнштейн имел в виду гораздо более широкое понятие. Так вероятность какого-либо события в каком-либо опыте не изменяется, хотя само событие может происходить или не происходить от опыта к опыту.
Сегодня мы попробуем подвести научную основу под хорошо известные понятия удачи, везения, успешности, невезения и прочих случайных явлений в нашей жизни. Многим хорошо известно, что есть такие люди, которым всегда везёт: у них никогда ничего не ломается, в магазинах им не продают брак, им всегда попадается хороший преподаватель, они всегда попадают в хороший коллектив, им всегда попадается лёгкий билет и с ними всегда случается только хорошее. И наоборот, есть такие люди, которым не везёт всегда: они всегда выбирают бракованный товар, преподаватели у них всегда худшие, они всегда оказываются не в том месте не в то время, их всегда ловят единственными из всех и так далее.
Разумеется, что для всего есть много закономерных причин: несобранность, лень, невнимательность, рассеянность и прочие, но эти случаи мы рассматривать не будем. Понятно, что у несобранного человека вероятность опоздания на поезд больше, но не каждому не везёт настолько, что именно в тот день, когда ему надо было ехать на поезд, происходит единственный за десять лет снегопад. Именно самолёт неудачника останется без топлива и будет задержан очень надолго, а если он переоформит билеты на другой, то и другой самолёт вернут по причине внезапной технической неисправности.
На первый взгляд может показаться, что все беды и удачи происходят по теории вероятностей и в соответствии с этой теорией всегда найдётся такой неудачник, которому не повезёт ни разу и который соберёт все мыслимые и немыслимые несчастья. Точно так же найдётся такой счастливчик, который получит всю возможные случаи удачи. Это в значительной степени правильно, только не до конца и проявляется это несоответствие в числах.
Если бы все случайности подчинялись хорошо известной схеме Бернулли, то мы бы наблюдали очень мало счастливчиков и неудачников потому, что математическое ожидание числа таких представителей убывало бы практически по экспоненте. То есть на миллиард человек был бы один патологический неудачник и один невероятный счастливчик. А мы наблюдаем таких представителей в тысячи, если не миллионы раз чаще. В чём же причина?
А причина в том, что мы наблюдаем не просто чистую статистику, а статистику с погрешностью на закономерность, которая становится заметной только в краевых областях с очень малым теоретическим заполнением. Одной из причин такой погрешности является то, что теоретическая кривая распределения получается только в случае анализа бесконечного количества данных, чего в реальности не бывает, поэтому возникают закономерные отклонения в соответствии с хорошо известными законами. А вот другим видом погрешности является системная погрешность, которую легко не заметить или принять за первый вид погрешности. То есть погрешность в один миллион слабо заметна в области ста миллионов, зато эта погрешность очевидна в области тысяч и вообще перекрывает всю статистику напрочь. Нас интересует именно это отклонение и выяснение его причин, чтобы иметь возможность повлиять на него в нужную сторону.
Здесь мы заранее определимся, что не будем пытаться выяснить причины происходящего, а будем просто выяснять, как всё происходит. Такой подход широко используется, например, в квантовой механике, где просто принято, что электроны не падают на ядра атомов без объяснения причин, почему этого не происходит. Также в бросании монеты принято, что монета падает на обе стороны приблизительно поровну без объяснения причин такого явления, а просто принято, что так происходит по результатам статистики опытов.
В глубокой теории мы могли бы представить себе причины происходящего и мы сделаем это очень кратко. Мысленно возьмём кирпич, положим на стол и отмерим до угла расстояние линейкой. Второй кирпич на то же место можно положить при добавлении второй координаты. Если мы захотим совместить у кирпичей две координаты, то придётся добавить третью. После добавления третьей координаты положим второй кирпич на место первого, а первый уберём. Понятно, что два кирпича не могут иметь одну координату и каждый кирпич может иметь одну единственную координату в каждый момент времени. Естественный вывод это добавить четвёртую координату и устранить получившийся парадокс. Теперь мы рассмотрим полученную модель.
Каждый предмет имеет всего три координаты положения в пространстве и одну во времени, а также имеет протяжённость в пространстве и во времени, иначе все предметы могли бы находиться в одном и том же месте одновременно. К тому же протяжённость по всем трём координатам у тел нулевой не бывает, следовательно должна быть протяжённость и во времени, которая должна быть очень мала, иначе мы бы видели предметы растянутыми во времени по траектории движения на их протяжённость во времени.
Вопрос протяжённости во времени мы решить пока не можем, как и зависимость плотности материи в прошлом и будущем от расстояния во времени. Вполне возможно, что эта протяжённость бесконечная, а плотность тоже бесконечно убывающая и все события происходят одновременно в прошлом, настоящем и будущем, а из настоящего мы можем только иногда наблюдать их при наличии хорошего восприятия, как у некоторых экстрасенсов. Так свет звёзд приносит мало пользы с точки зрения освещения, но зато имеет огромное значение для навигации. Точно так же многие люди могут бессознательно предвидеть будущее и в зависимости от него выбирать нужные действия с пользой или ущербом для себя.
Вот здесь и появляется объяснение полученной статистической погрешности, но мы не будем пользоваться этой моделью из-за её высокой сложности. Гораздо удобнее схожая с кулоновской гравитационная модель взаимодействия событий. Здесь мы будем говорить об именно модели, а не её физическом смысле. Конечно, события притягивать друг друга в физическом смысле не могут, а теперь изложим основные положения этой теории.
1. Удачные и неудачные события не подчиняются схеме Бернулли. Если в схеме Бернулли вероятность события каждый раз не зависит от предыдущих исходов, то вероятности удачи и неудачи зависят от исхода предыдущих событий.
2. Плотность вероятности удачных и неудачных событий является монотонной функцией и разность её краевых значений имеет знак суммы всех произошедших ранее событий с учётом времени их наступления. Таким образом в вероятности наступлении события с определённым знаком имеется положительная обратная связь.
3. События подчиняются не кулоновскому принципу, а гравитационному но с сохранением знака. То есть положительное событие притягивает к себе положительные события и отталкивает отрицательные, а отрицательное событие притягивает к себе отрицательные события и отталкивает положительные. В случае накопления очень большого количества событий одного знака в коротком интервале времени возможен эффект схожий с эффектом чёрной дыры, которая имеет положительную обратную связь скорости роста.
4. Влияние предыдущего события убывает с расстоянием и временем. Здесь мы можем установить только качественную связь потому, что можем только сказать, что влияние монотонно убывает и не более. Ни о квадратичной зависимости, ни о какой-либо другой мы ничего сказать заранее не можем потому, что более точная физическая модель отсутствует и для каждого конкретного случая зависимость подбирается индивидуально.
Использовать аналоговые модели очень удобно для понимания происходящих событий и дальнейшего их прогнозирования. Хорошо известно, что дифференциальные уравнения малых колебаний маятника, груза на пружине, электрического тока в RLC цепи, жидкости в U-образной трубке и многих других явлений выглядят одинаково. Соответственно и решения этих уравнений тоже выглядят одинаково, поэтому решив одну задачу мы можем считать решёнными и другие с аналогичными условиями, но с иной физической природой.
Здесь мы подходим к ещё одному важному понятию, которое нам понадобится для того, чтобы правильно суметь определить знак события, а именно к понятию удачного или неудачного события. Лучше всего знак и величину события получится определять через разность его величины и её математического ожидания. Так мы сможем гораздо лучше определить степень везения или невезения при рассмотрении нескольких однородных событий через их сумму или среднее значение.
Ещё одним очень важным понятием является то, что удача не является не неудачей. То есть играть в лотерею и не выиграть не является неудачей, а скорее закономерностью, поскольку выиграть в лотерею можно чрезвычайно редко. Точно так же не споткнуться на ровном месте не является удачей, а больше является закономерностью потому, что спотыкаются на ровном месте редко.
Также мы должны разобраться в последовательностях событий. Рассмотрим два простых примера. В одном случае пассажир споткнулся, упал, пока поднимался потерял время и опоздал на свой автобус, а в итоге опоздал на самолёт, который в полёте сломался и разбился вместе со всеми пассажирами. В другом случае пассажир так же опоздал на самолёт, который подорвали террористы, которые собирались подорвать именно этот самолёт.
В обоих случаях наблюдается везение после невезения, но в первом случае события не связанные потому, что самолёт мог и не сломаться, а во втором случае связанные потому, что террористы обязательно подорвали бы именно этот самолёт. Так что в первом случае у нас никакого везения нет, а наоборот есть невезение. Падение самолёта было совершенно случайным и окажись опоздавший пассажир на борту, самолёт мог бы и не упасть. А во втором случае катастрофа была бы неизбежна, но пассажир опоздал и ему повезло.
С точки зрения теории вероятностей в первом случае вероятность неудачи была очень мала, а во втором очень велика, поэтому первый случай как предсказанный мы рассматривать не можем, в вот второй как раз почти полностью предсказан. Так что рассматривать два последовательных события как одну цепочку мы можем только в том случае, когда вероятность наступления второго события высока и не зависит от вероятности первого события.
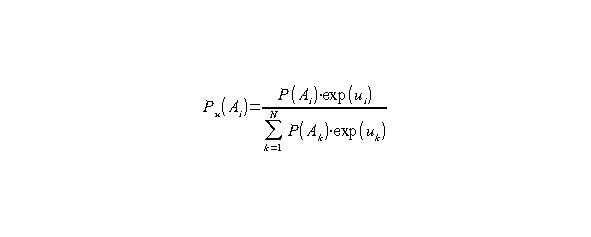
Для лучшего понимания количественных явлений мы напишем несколько схожую с формулой Байеса формулу влияния собственной удачи B участника опыта на вероятность A его исхода.
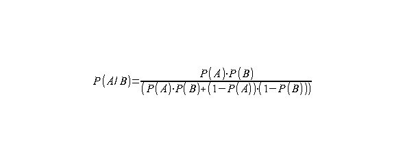
Для примера несколько рассчитанных случаев покажем в виде таблицы.
Таблица 1. Успех исхода события P (A/B) в % в зависимости от успешности участника.
Из таблицы видно, что безнадёжное дело неудачник сильно не испортит, а успешное дело счастливчик сильно не улучшит. Само собой надо понимать, что всё сказанное касается в первую очередь крупных событий, то есть приняв за удачное событие выпадение одной стороны монеты, а за неудачное другой, получить перераспределение частоты выпадений в зависимости от удачливости бросающего не получится. Действительно, ведь в падении монеты экспериментатор никак не участвует, а только пытается предсказать результат. Зато вполне возможен вариант выигрыша или проигрыша крупной суммы денег при той же игре в угадывание стороны монеты.
Определение влияния удачи легко получить через расширение классического определение вероятности. Если событие A из N повторов ожидается n раз из расчёта равновозможных исходов, а под влиянием удачи происходит не n, а m раз, то вероятность события A исходя из влияния удачи можно пересчитать как произведение. При этом предполагается, что N, n и m стремятся к бесконечности, поэтому вероятность определяется как предел.
Здесь мы воспользовались условиями, что 0 <m, n и m, n <N и на невозможные или достоверные события удача не влияет. На этом же основании мы смогли перейти к удобному выражению влияния удачи через экспоненту. При нулевой удаче, показатель экспоненты оказывается нулевым и определение вероятности снова становится классическим.
Если вместо множества событий имеется только набор уже известных вероятностей каждого события, то применить классическое определение вероятности напрямую не получится. Вместо него можно по аналогии применить пересчёт каждой вероятности по очень похожей на формулу Байеса формуле, которая получается при переходе к определению вероятности через её классическое определение, но только через математическое ожидание числа каждого из всех возможных событий из их общего числа N и обратно.
Возникает закономерный вопрос, а что же делать и как бороться за удачу с неудачей? На этот вопрос лучше начинать с ответа, чего делать не надо. В первую очередь не надо повторять одно и то же сразу после каждого провала. Каждая следующая неудача увеличивает массу накопившихся неудач и прит
...