Все науки. №6, 2022. Международный научный журнал
Қосымшада ыңғайлырақҚосымшаны жүктеуге арналған QRRuStore · Samsung Galaxy Store
Huawei AppGallery · Xiaomi GetApps

автордың кітабын онлайн тегін оқу  Все науки. №6, 2022. Международный научный журнал

Все науки. №6, 2022

Международный научный журнал

Шрифты предоставлены компанией «ПараТайп»


Авторы: Алиев Ибратжон Хатамович, Мухаммадиев Музаффар Аулияхонович, Абдурахмонов Султонали Мукарамович, Додобаев Юсубжон Таджибаевич, Юлдашев Муминжон Шокиржонович, Каримов Шерзод Боходирович, Жалолов Ботирали Рустамович, Каримов Боходир Хошимович, Эргашев Сирожиддин Фаязович, Абдурахмонов Султонали Мукарамович, Юсупова Дилфуза Аминовна, Хамрокулов Аъзамжон Ракупжанович, Маткаримов Хожиакбар Нематжанович, Таджибаев Аброр Каххарович, Эргашев Дилшод Махмудович, Жумабоев Абдуманоб Абдурасулович, Тошов Жавохир Буриевич, Мараимова Мукаддас Гофуровна, Исмоилова Эзозхон Мусажоновна, угли Фаррухбек Пулатжон, угли Миржалол Гуломжон, Одамов Умарбой Оманович, Саломов Уктам Рахимович, Юсупов Сардорбек Маърипович, Ременной Владимир, Обидов Фозилжон Орипович, Каримова Дилором Шавкатовна, Усмонов Щукурулло Юлбарсович, Таиров Мухаммад Султоналиевич, Халиков Абдумалик Абдувахобович, Саитов Шавкат Самиддинович, Маматов Олмосжон Махаммаддовидович, угли Бобиржон Эльдор, Юлдошалиев Дилшод Кулдошалиевич, Отажонов Салим Мадрахимович, Усмонов Якуб Усманович, Ахмедов Турсун Ахмедович, угли Рузиматжон Анваржон, Кучкорова Дилноза Топтиевна, Юсупова Анора Каримовна, Кукиева Сайёра Саидакбаровна, Шарофутдинов Фаррух Муроджонович, Абдурахмонов Фархад Мамирович, Хамидов Эркин Ибрагимович, Додобоев Юсупжон Таджибаевич, Юсупалиев Жахонгир Валишерович, Хасанова Зульфия Туланжоновна, Ядгаров Бахтиёр Султанбаевич, Ахмаджанов Алимардон Эркинович, Боротов Алишер Хамидович, Вавилова Екатерина Александровна, Ғофуров Оқилжон Ахмедович, кизи Мохигул Рахимжон, Кучкаров Акмалжон Ахмадалиевич, угли Зафаржон Одилжон


Главный редактор, ответственный за выпуск журнала, генеральный директор OOO "Electron Laboratory" и Президент Научной школы "Электрон" Ибратжон Хатамович Алиев

Редактор, Кандидат физико-математических наук, доцент кафедры «Технологического образования» физико-технического факультета Ферганского государственного университета, Научный руководитель OOO “Electron Laboratory”, Академик Научной школы «Электрон» Боходир Хошимович Каримов

Редактор, соискатель в области экономических наук, директор малазийской компании-инвестора Clipper Energy Comp. и Clipper Associates Corp., Экономический консультант OOO “Electron Laboratory”, Экономический профессор Научной школы «Электрон» Ботирали Рустамович Жалолов

Редактор, соискатель в области экономических наук, Экономический руководитель OOO “Electron Laboratory”, Главный учёный секретарь Научной школы «Электрон» Фаррух Муроджонович Шарофутдинов

Редактор, доктор технических наук, профессор Научно-исследовательского института «Физики полупроводников и микроэлектроники» при Национальном университете Республики Узбекистан Оббозжон Хокимович Кулдашов

Редактор, старший научный сотрудник, заведующий ускорительным центром при Научно-исследовательском институте «Физики полупроводников и микроэлектроники» при Национальном университете Республики Узбекистан Ринад Фуадович Руми

Редактор, доктор физико-математических наук, профессор и главный научный сотрудник «Института ядерной физики» Республики Узбекистан Сергей Викторович Артёмов

Редактор, доктор технических наук, профессор и ректор Ферганского политехнического института Уктам Рахимович Саломов

Редактор, доктор технических наук, профессор кафедры «Электроники и приборостроения» факультета систем компьютерного проектирования Ферганского политехнического института Сирожиддин Фаязович Эргашев

Редактор, доктор физико-математических наук, профессор и заведующий кафедры «Технологического образования» физико-технического факультета Ферганского государственного университета Салим Мадрахимович Отажонов

Редактор, доктор технических наук, старший научный сотрудник лаборатории «Материаловедения электронной техники и микроэлектроники» при Научно-исследовательском институте «Физики полупроводников и микроэлектроники» при Национальном Университете Узбекистана Сайфулло Саидович Насриддинов

Редактор, доктор философии по техническим наукам (PhD), доцент и декан физико-технического факультета Ферганского государственного университета Шароф Шухратович Шухратов

Редактор, кандидат физико-математических наук, доцент кафедры «Электроники и приборостроения» факультета систем компьютерного проектирования Ферганского политехнического института Султонали Мукарамович Абдурахмонов

Редактор, кандидат экономических наук, исполняющий обязанности доцента Ферганского политехнического института Фозил Орипович Обидов

Редактор, доктор философии по техническим наукам (PhD), доцент кафедры «Информационной безопасности» факультета компьютерного инжиниринга Ферганского филиала Ташкентского университета информационных технологий имени Мухаммада Ал-Хоразмий Фаррух Мухаммадович Мухтаров

Редактор, кандидат технических наук, доцент кафедры «Технологического образования» физико-технического факультета Ферганского государственного университета Якуб Усмонович Усмонов

Редактор, кандидат биологических наук, доцент кафедры «Зоологии и общей биологии» факультета естественных наук Ферганского государственного университета Музаффар Авлияхонович Мухаммадиев

Редактор, кандидат педагогических наук, доцент кафедры «информационно-образовательных технологий» Ферганского филиала Ташкентского университета информационных технологий имени Мухаммада Ал-Хоразмий Иномжон Уктамович Билолов

Редактор, кандидат физико-математических наук, доцент научно-исследовательского института «Физики полупроводников и микроэлектроники» при Национальном университете Республики Узбекистан Якуббай Атабаевич Сайдимов

Редактор, кандидат физико-математических наук, доцент кафедры «Технологического образования» физико-технического факультета Ферганского государственного университета Турсун Ахмедович Ахмедов

Редактор, кандидат технических наук, доцент кафедры «Электротехники, электромеханики и электро-технологий» факультета энергетики Ферганского политехнического института Щукурулло Юлбарсович Усмонов

Редактор, доктор философии по физико-математическим наукам (PhD), доцент и заместитель декана физико-технического факультета Ферганского государственного университета Сапурахон Маликовна Зайнолобидинова

Редактор, кандидат физико-математических наук, доцент кафедры «Физики» физико-технического факультета Ферганского государственного университета Дилфуза Аминовна Юсупова

Редактор, преподаватель по физико-техническим наукам кафедры «Технологического образования» физико-технического факультета Ферганского государственного университета Дилшод Кулдошалиевич Юлдошалиев

Редактор, соискатель по физико-техническим наукам кафедры «Технологического образования» физико-технического факультета Ферганского государственного университета Шерзод Боходирович Каримов

Редактор, соискатель в области медицинских наук, Член медицинского, биологического и философского отделения Научной школы «Электрон» Раънохон Мукарамовна Алиева

Редактор, преподаватель по математическим и информационным наукам кафедры «Математики» факультета математики-информатики Ферганского государственного университета Сайёра Саидакбаровна Кукиева

Редактор, преподаватель по физико-техническим наукам кафедры «Физики» физико-технического факультета Ферганского государственного университета Ахлиддин Мирзохид ўғгли Кучкоров

Редактор, соискатель в области философских наук, Модератор, член философского отделения Научной школы «Электрон» Холидахон Тулкиновна Алиева

Редактор, соискатель в области филологических наук, Модератор, член филологического отделения Научной школы «Электрон» Гульноза Масхариддиновна Умарова

Редактор, соискатель в области филологических наук, Член филологического отделения Научной школы «Электрон» Оқилжон Аҳмедович Ғофуров

Иллюстратор Ибратжон Хатамович Алиев

Иллюстратор Боходир Хошимович Каримов

Иллюстратор Султонали Мукарамович Абдурахмонов

Иллюстратор Щукурулло Юлбарсович Усмонов

Дизайнер обложки Ибратжон Хатамович Алиев

Дизайнер обложки Боходир Хошимович Каримов

Дизайнер обложки Холидахон Тулкиновна Алиева

Корректор Ибратжон Хатамович Алиев

Корректор Боходир Хошимович Каримов

Корректор Екатерина Александровна Вавилова

Корректор Оқилжон Аҳмедович Ғофуров

Корректор Ботирали Рустамович Жалолов

Корректор Султонали Мукарамович Абдурахмонов

Переводчик Ибратжон Хатамович Алиев

Переводчик Боходир Хошимович Каримов

Переводчик Гульноза Масхариддиновна Умарова

Переводчик Дилором Шавкатовна Каримова

Фотограф Ибратжон Хатамович Алиев

Фотограф Боходир Хошимович Каримов





12+

Оглавление

ВЕЛИКИЙ УЧЁНЫЙ МУХАМЕДИЕВ АУЛИЯХОН МУХАМЕДОВИЧ

Мухамедиев Аулияхон Мухамедович (16.08.1906—22.10.1988)

Известный ученый-гидробиолог, один из основателей отрасли рыбного хозяйства в Узбекистане и в республиках Центральной Азии, академик Академии Наук Узбекистана Аулияхон Мухамедович Мухамедиев, родился 16 августа 1906 года, в г. Маргилане. Его отец Мухамедходжа Дадаходжаев, преподававший в Ферганской Русско-туземной школе, умер в 1913 году и семилетний Авлиёхон очень рано познал тяжесть труда в поиске средств к существованию. К 1917 году он приобретает специальность ткача хан-атласа и работает по найму под руководством старшего брата Мухамедиева Валихона самостоятельно освоив курс средней школы и получив аттестат зрелости, в 1920—1927 годы работает в секретариате уездного исполкома, затем в отделе народного образования г. Маргилана.

В 1928—1929 годы он обучается на подготовительном отделении Узбекского государственного университета в г. Самарканде, а с 1 января 1930 года становится одним из первых студентов вновь открывшегося в г. Фергане Среднеазиатского государственного педагогического института, в котором обучались юноши и девушки из Узбекистана, Казахстана, Киргизии, Туркмении и Таджикистана — это был первый ВУЗ, готовивший кадры учителей для школ всего региона. До 1940 гг. почти весь состав преподавателей Ферганского педагогического института (нынешнего Ферганского государственного университета) состоял из профессоров и доцентов, прибывших из Москвы.

На их лекциях А. Мухамедиев с большим интересом вникал в основы физики, математики, химии и биологии; среди них особенно интересными были лекции профессора Сергея Васильевича Аверинцева — ученого-гидробиолога с мировым именем; несмотря на то, что занятия проводились на русском языке и несмотря на строгие требования профессора к студентам, его лекции по зоологии были весьма увлекательными, и поэтому Аулияхон Мухамедиев решил, что непременно станет учёным зоологом.

С 1936 года по приглашению профессора, он становится ассистентом кафедры зоологии Ферганского пединститута и знакомится с методами гидробиологических исследований, выезжает в первые экспедиции на водоёмы, занимается сбором зоопланктона — микроскопически мелких ракообразных — главных представителей животного мира рек, озёр, прудов и рисовых полей Ферганской долины. Другим, весьма значимым наставником А. Мухамедиева был его научный консультант Арвид Либорьевич Бенинг, профессор Санкт-Петербургского Зоологического Института (ЗИН) Российской Академии Наук, с которым он постоянно общался, так же, как и с другими учеными — основоположниками гидробиологической науки, а также с профессорами Среднеазиатского (ныне Национального) университета Республики Узбекистан А. Л. Бродским, Т. З. Захидовым, А. Т. Тулагановым и многими другими специалистами. К началу Второй мировой войны и эвакуации в Среднюю Азию большого числа людей из Европейской части страны, А. Мухамедиев трудится над внедрением результатов своих исследований в создание отрасли рисоводства в Узбекистане.

Несколько ранее, ещё в 1930-е годы, результаты его опытов и наблюдений на водоёмах Зарафшанского оазиса и Ферганской долины были положены в основу разработки методов борьбы с малярией и акклиматизации гамбузии — рыбы, завезенной из южных штатов США. В 1942 году, на основе материала первых исследований комплекса ракообразных рисовых полей Ферганской долины он защищает кандидатскую диссертацию, и становится заведующим кафедрой зоологии и общей биологии Ферганского педагогического института, которой руководил более 40 лет.

В 1950-е годы, находясь в докторантуре ЗИН АН РФ, он продолжает расширенное исследование водоёмов Ферганской долины, тесно сотрудничает с коллегами из Института ботаники, Института зоологии Академии Наук Узбекистана, а также с учеными из ЗИН и других академических институтов. В 1958 году он успешно защищает в ЗИНе докторскую диссертацию, посвященную гидробиологии водоёмов Ферганской долины. Разработанная им типология рисовых полей стала основой развития рисоводства в странах Юго-Восточной Азии, где дополнительно к рису получают также товарную рыбу на основе разработанного им метода.

В 1960 году он получает ученое звание профессора и организует открытие аспирантуры по специальности «гидробиология» при кафедре зоологии и общей биологии Ферганского педагогического института. В период действия этой научной школы под его непосредственным руководством были защищены 26 кандидатских диссертаций по гидробиологии и ихтиологии водоёмов Узбекистана, Азербайджана, Казахстана, Киргизии, Таджикистана, Туркмении и Каракалпакии, а также 4 докторские диссертации, посвящённые фауне рыб. В то же время он курирует деятельность Отдела гидробиологии и ихтиологии Института зоологии Узбекской Академии Наук.

В 1968 году А. Мухамедиев избирается академиком Академии Наук Республики. С этого момента он приступает к масштабной деятельности в рамках всего региона Казахстана и Центральноазиатских республик: его избирают председателем регионального отделения Ихтиологической Комиссии Министерства рыбного хозяйства России, председателем Узбекского отделения Гидробиологического общества, а также членом других научных подразделений всесоюзной Академии Наук; вместе с тем он являлся региональным координатором международной программы ЮНЕСКО «MaB» по странам Центральной Азии.

В 1968—1988 годы академик Аулияхон Мухамедиев был главным инициатором традиционных конференций «Биологические основы рыбного хозяйства Казахстана и республик Средней Азии», которые в немалой степени способствовали расширению научных связей кафедры зоологии и общей биологии пединститута с биологическим факультетом Московского государственного университета, с ЗИН, Институтом эволюционной морфологии и экологии животных и с Байкальской лимнологической станцией РАН, с Казанским и Томским государственными университетами, с Институтом гидробиологии Академии Наук Украины, академическими Институтами Узбекистана, Азербайджана, Таджикистана, Туркмении, с Казахским научно-исследовательским институтом рыбоводства, Казахским государственным университетом, с Иссыккульской биологической станцией Академии Наук Кыргызстана, Ошским педагогическим институтом (ныне Киргизско-узбекским университетом), а также со многими научными учреждениями и вузами.

На основе результатов научных изысканий он разработал основы теории переноса зоопланктона воздушными массами, а также положения типологии водоёмов Центральной Азии. Им опубликовано более 125 научных работ, среди которых такие монографии, как «Гидробиология водоёмов Ферганской долины», «Ракообразные водоёмов Ферганской долины», а также учебники «Краткий курс зоологии беспозвоночных» и «Зоология беспозвоночных» (изданные на государственном языке) и сегодня не утратили своей значимости.

Его научные идеи и разработки несомненно послужат делу организации кластера рыбоводства, создания цифровой экономики Узбекистана и будут способствовать повышению научного престижа нашей страны на мировом уровне. Так, гениальный учёный и исследователь завершил свой жизненный путь 22 октября 1988 года, оставив огромный вклад в удивительной зоологической науке, служа настоящим примером для всех будущий поколений.

Мухаммадиев Музаффар Аулияхонович,

Кандидат биологических наук, доцент кафедры «Зоологии и общей биологии» факультета естественных наук Ферганского государственного университета.

ФИЗИЧЕСКИЕ НАУКИ

ИСПОЛЬЗОВАНИЕ СВОЙСТВА ИДЕАЛЬНОЙ ЖИДКОСТИ В МАЛОЙ ГИДРОЭНЕРГЕТИКЕ

Абдурахмонов Султонали Мукарамович

Кандидат физико-математических наук, доцент факультета систем компьютерного проектирования Ферганского политехнического института

Ферганский политехнический институт, Фергана, Узбекистан

Аннотация. Большие гидроэнергетические установки чаще всего используют изначальную конструкцию создания платины для увеличения напора входящей жидкости, что приводит к увеличению общего выхода энергии. В статье рассмотрено теоретическое предположение об использовании подобного метода увеличения скорости самого потока при помощи свойства идеальной жидкости из закона Бернулли и формулы Торричелли.

Ключевые слова: водный поток, напор, ускорение, скорость свободного падения.

Annotation. Large hydropower plants most often use the original design of creating platinum to increase the pressure of the incoming liquid, which leads to an increase in the total energy output. The article considers a theoretical assumption about the use of such a method of increasing the velocity of the flow itself using the properties of an ideal fluid from Bernoulli’s law and Torricelli’s formula.

Keywords: water flow, pressure, acceleration, free fall velocity.

Для больших гидроэнергетических установок часто преобладающими являются технологии создания плотин, где вода приводиться в близкое к статичному по отношению к общему объёму состоянию, после чего вода пропускается в канал, расположенный максимально низко под уровнем воды. Наличие такого ввода жидкости позволяет придавать массе дополнительную скорость благодаря потенциальной энергии, которая превращается в кинетическую.

Доказательством этого утверждения следует соотношение (1), из которого можно вывести как потенциальную энергию (2), так и кинетическую (3), далее при их равенстве (4), можно сделать вывод для скорости (5).

Но, чтобы указать на отношение этого вывода не только к обычным телам с высокой плотностью, то есть к твёрдым, но и к жидкостям, достаточно привести формулу Бернулли (6), вполне справедливую для жидкостей и вывод из неё этой же формулы (7—8).

Из этого видна возможность получения вторичного дополнительного вектора, который чаще всего преобладает и заставляет двигаться именно под давлением самой воды, а вектор скорости притока в само водохранилище чаще всего гасится. Но когда же дело обстоит с обычными малыми гидроэнергетическими установками, здесь ситуация обстоит по-другому, поскольку тормозная способность имеющегося малого объёма в «плотине» не так высока и определяется по коэффициенту трения воды о воду, если так можно выразиться. То есть каждый отрезок, уменьшение происходит именно на указанный коэффициент энергии (9).

Данный вектор скорости суммируется с образующимся вектором скорости из-за давления (8) под прямым углом образуя результирующий вектор (10).

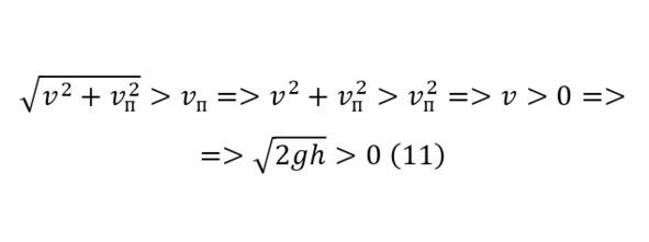
Выводимый результирующий вектор логично будет больше изначального вектора скорости (11), благодаря чему можно сделать вывод того, что использование плотин в конструировании малых гидроэнергетических установок вполне целесообразная технология.

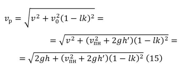
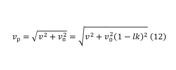
То есть какой бы ни была малой высота плотины и её разность между отверстием вывода потока и уровнем воды, действие, хоть и незначительное будет оказываться. Интересно здесь также и определение зависимости самой изначальной скорости и результирующего вектора (12).

Эта зависимость была выведена, поскольку даже сама начальная скорость не совсем проста и за счёт того, что нижняя полость оврага для «водохранилища» должна быть выполнена в форме склона. Наряду с уменьшением по коэффициенту в зависимости от длины этого пути по (9), начальная скорость будет увеличиваться, поскольку к первоначальной скорости до входа в «водохранилище», при котором поток имел потенциальную энергию, кинетическая энергия, в которую превращается эта потенциальная, то есть действует тот же принцип (1—5), но при этом действует угловой коэффициент.

И если поскольку опять же этот потенциальный вектор направляющий вниз также находится под углом 90 градусов к основному первоначальному вектору, их суммированных вектор будет определяться по (13), создавая зависимость для начальной скорости от первоначальной в следующем расположении.

Откуда справедливо (14).

И важно учесть, что (13) вместе с (14) действует только при плоском склоне самого оврага, не считая коэффициент трения, в случае его расчёта в (14) включается дополнительный коэффициент, ровно, как и в иных случаях, для реализации, но этот коэффициент определяется эмпирически.

При действии же (13) и (14), ранее описанная (12) изменяется как (15).

Таким образом (15) можно считать полноценной формулой при действии прямого склона на дне оврага. При наличии же нескольких векторов, целесообразно использование (16), по той простой причине, что несколько векторов не будут приходить из одного направления, ибо тогда их можно будет объединить в один. А разными вектора могут быть из-за наличия дополнительных поворотов, больших неровностей и подобных не существенных причин.

Заключительным штрихом служит лишь введение коэффициентов, о которых говорилось ранее, а именно о коэффициентах своего рода вязкости (18), зависящий от коэффициента сопротивления движения в потоке (17).

Такой вид (17) формулы (8) был доказан и описан итальянским учёным Эванджелиста Торричелли в 1643 году, а позже уже было показано, что эта формула, как уже упоминалось следствие закона Бернулли.

В заключении можно отметить, что развитие гидроэнергетики несёт в себе весьма прогрессирующий характер, что радует. И данное развитие требует всё новых и новых технологий, среди которых одним из лучших может стать технология использования «малого водохранилища» или искусственного рва с наклонным дном для увеличения эффективности всей гидроэнергетической установки.

Использованная литература

1. Evangelista Torricelli. De motu aquarium // Opera Geometrica. — 1644. C. 191. «Aquas violenter erumpentes in ipso eruptionis puncto eundem impetum habere, quem haberet grave aliquod, sive opsius aquae gutta una, si ex suprema eiusdem aquae superficie usque ad orificium eruptions naturaliter cecidisset».

2. Зиновьев В. А. Краткий технический справочник. Том 1. — М., Госиздат, 1949. — с. 362.

3. Савельев И. В. Курс общей физики. Том 1. Механика, молекулярная физика. — М., Наука, 1987. — с. 251.

ЭКОНОМИЯ ВЫРАБОТКИ ЭЛЕКТРОЭНЕРГИИ НА ГИДРОЭЛЕКТРОСТАНЦИЯХ

Додобаев Юсубжон Таджибаевич

Доктор экономических наук, профессор
Мўминжон Шокиржонович Йўлдашев
Почетный профессор Ферганского университета, доктор экономических наук

Ферганский политехнический институт, Фергана, Узбекистан

Аннотация. Мақолада гидроэлектростанцияларнинг самарадорлигини ортириш бўйича фикрлар юритилинган. Сув ресурсларидан комплекс фойдаланиш хақидаги мулоҳазалар кирилиган бўлиб, шу билан биргаликда гидротармоқларда транспорт муаммосини ҳал қилишга катта ҳисса қўшилинган.

Калит сўзлар: ГЭС, самарадорлик, сув ресурслари, электр энергияси, ирригация, дарё транспорти, рекреация.

Аннотация. В статье рассматривается эффективность гидроэлектростанций. Была введена обратная связь по комплексному использованию водных ресурсов, и в то же время был внесен значительный вклад в решение транспортной проблемы в гидравлических контурах.

Ключевые слова: ГЭС, эффективность, водные ресурсы, электроэнергия, орошение, речной транспорт, рекреация.

Annotation. The article discusses the effectiveness of hydroelectric power plants. Feedback on the integrated use of Water Resources has been entered, and at the same time a significant contribution has been made to the solution of the transport problem in hydraulic circuits.

Keywords: GES, efficiency, water resources, electricity, irrigation, river transport, recreation.

Высокая эффективность производства электроэнергии на ГЭС определяется рядом факторов, в том числе:

* Постоянное восстановление природных ресурсов;

* Высокая производительность труда при использовании;

* Низкая стоимость электроэнергии, производимой на ГЭС;

* Комплексное использование водных ресурсов для энергетики, ирригации, речного транспорта, борьбы с наводнениями, водоснабжения, отдыха и других целей;

· Наличие низкой этиологии по отношению к сложному технологическому оборудованию.

Крайне важно, что частота производственного ущерба, возникающего при использовании ГЭС, включая случаи гибели людей, значительно меньше по сравнению с ТЭС в расчете на количество произведенной электроэнергии в 1 кВт*ч (с учетом предприятий по добыче топлива и снабжению).

Экономия трудовых ресурсов при использовании ГЭС обусловлена следующим, в том числе:

Невероятно высокая производительность труда по сравнению с TEs;

высокий уровень автоматизации производства;

отсутствие трудовых затрат на добычу, поставку, переработку и утилизацию топливных отходов и, как следствие, количество рабочего персонала, используемого при использовании ГЭС, будет примерно в 12—15 раз меньше, чем количество рабочего персонала на альтернативных объектах. Высокая экономическая эффективность гидроэнергетики обусловлена отсутствием топливной составляющей электроэнергии, медленным износом основных фондов, относительно низкой стоимостью заработной платы, совершенством технологического процесса.

Комплексное использование водных ресурсов. В гидроэнергетической отрасли Республики Узбекистан реконструкция транспортных путей в речных сетях, ирригация, промышленное и муниципальное водоснабжение и развитие рыболовства имеют большое значение в связи со снижением риска крупных наводнений.

Комплексные гидроузлы вносят большой вклад в решение транспортной проблемы.

Водохранилища, которые появляются при строительстве гидроэлектростанций, приводят к тому, что большие площади суши покрываются водой. На гидроэлектростанции приходится в общей сложности 1,2 миллиона тонн разрушительных паводков в республике. близкие к гектарам, с опережающим развитием, многомиллионные жители помогают надежно защищать жилые районы, а также решать сложные социальные и экологические проблемы.

1. Экологические проблемы

Сокращение загрязнения воздуха, особенно оксидами углерода, и предотвращение «парникового эффекта» на планете стали одной из проблем вселенского масштаба. Республика Узбекистан также вносит свой вклад в их разрешение. Одним из способов сокращения выбросов в энергетике является развитие направлений без углеродного топлива. Гидроэнергетика — абсолютно чистое направление в этом отношении. В 2020 году электроэнергия, вырабатываемая на гидроэлектростанциях, позволила сократить на четверть выбросы электроэнергии.

Технологический процесс производства гидроэнергии является экологически хулиганским. При нормальном состоянии оборудования ГЭС практически не выделяют вредных выбросов в окружающую среду. В то же время строительство гидроэнергетических объектов, в свою очередь, не покажет своего воздействия на окружающую среду.

При строительстве гидроэнергетических объектов происходит комплексное воздействие на окружающую среду. Наиболее серьезный эффект проявляют водохранилища, — их внешний вид влияет на экологический баланс почв и биоценозов. Показанные эффекты могут быть как положительными, так и отрицательными.

Воздействие водохранилищ на окружающую среду зависит от их географического положения и категорий (горные, предгорные, равнинные), геологического строения и гидрогеологического определения их берегов с руслом, площадью, формой внешнего вида, размером, глубиной сброса воды, системой использования и другими условиями.

В результате положительного влияния водохранилищ как координаторов стока становится важным предотвращать нехватку воды для сельскохозяйственных культур в летнее время.

С активизацией природных процессов на отдельных участках прилегающих к ним территорий после создания водоемов в ландшафтах происходят рекреационные изменения, формируются рекреационные зоны, экотуризм.

Можно перечислить следующие другие аспекты воздействия водохранилищ на окружающую среду.

Наводнения в верхней части. В затопленных районах наблюдается увеличение уровня грунтовых вод, и в результате земля становится заболоченной и непригодной для сельскохозяйственного использования.

Изменения береговых форм процесс координации течения и повышения и понижения уровней воды в водохранилище, которые происходят с этим отношением, вызывают изменения формы дна с береговым рельефом, что, в свою очередь, уменьшает размеры водохранилища, приводя к накоплению в нем различных пород, появлению подводных отмели и появление

Гидрологическая система. Процесс строительства водохранилищ и координации самого потока воды в верхней и нижней частях бассейнов вызывает изменения в гидрологической системе gm. Из-за расширения площади окна водной поверхности резко увеличивается объем испарения воды, в результате чего происходит потребление невозвратной воды из реки. Гидрологическая система реки меняется.

Климатические условия. Изменение расхода воды и воздуха, появление переувлажненных почв, мелководных участков, хорошо прогреваемых солнцем на глубине 1—1,5 м водоемов, создают специфические климатические условия.

Влияние водоемов на фауну (животный мир). Все животные в зоне затопления мигрируют на территорию, отмеченную высоким уровнем. При этом их видовой состав и численность сокращаются в соответствии с правилом. В ряде случаев водоемы являются причиной обогащения фауны новыми видами птиц, плавающих в воде, рыбой и флорой (флора), адаптированной к влажным условиям.

Воздействие на рыбную ферму. Необходимо отметить следующее, а именно:

Строительство плотины ГЭС препятствует перемещению рыбы в естественные места спаривания, в некоторых случаях рыбоводные устройства не всегда работают удовлетворительно;

требования, которые рыболовство предъявляет к системе водотока, оказываются полностью противоположными задачам координации потоков, то есть цели создания водохранилища — во время весеннего половодья мелководные участки бассейна осушаются при более раннем сбросе воды, что негативно сказывается на спаривании рыб в верхней части водохранилища ежедневно

С целью создания оптимальных условий для спаривания рыб переброска воды в нижнюю часть бассейна осуществляется при условии строгого соблюдения требований рыболовства. В тех случаях, когда есть возможности предотвратить ущерб, предполагается строительство компенсационных (прикрывающих) объектов рыбоводного хозяйства (рыбоводные заводы, фермы по выращиванию нерестилищ).

Было бы неправильно считать, что все воздействия водохранилищ на окружающую среду (на самом деле, в гораздо большем количестве, чем те, которые рассматриваются в Buer) будут только негативными. Обычно каждый из них будет обладать комплексом положительных свойств, как отрицательных, так и не очень.

Таким образом, также неверно думать, что все формы обнажения водохранилищ являются неизбежными и естественными пороками гидротехнического строительства. Многие из этих эффектов проявляются в практике создания и использования резервуаров и оказываются последствиями неправильного проектирования объектов или нарушения правил использования гироскопов в целом. Например, вредное воздействие водохранилищ на рыболовство может быть устранено на значительном уровне путем правильного проектирования водохранилищ и соблюдения соответствующего уровня их использования.

Меры по охране природы. При проектировании гидроэнергетических объектов необходимо обеспечить, чтобы ущерб природе был на минимально возможном уровне. В целях контроля и своевременного предотвращения загрязнения окружающей среды на ГЭС были установлены следующие наблюдения, а именно:

· за счет слива и отвода технологических масел;

· с качеством воды, подлежащей утилизации после использования;

· с выступами элегаза лужи в сложных распределительных устройствах.

Кроме того, принимая во внимание характеристики крупных резервуаров со сложной и энергетической целью, в них проводятся следующие наблюдения:

* Метеорологические;

* гидрохимический;

· гидробиологические, включая ихтиологические наблюдения.

По результатам наблюдений, смотрители получают информацию о необходимых природоохранных мерах.

При создании водохранилищ предполагается их водоохранная зона, на той же территории планируются защитные лесные насаждения и лесовосстановительные мероприятия. Загрязнение водоохранной зоны потоками воды в водохранилище предотвращает попадание веществ.

Основываясь на специально проведенных научных исследованиях, проекты GES включали следующий обширный комплекс мер по защите флоры и фауны, включая:

· восстановление лесов вместо затопленных лесных массивов, перемещение редких, реликтовых и занесенных в Красную книгу растений из затопленных районов;

* выращивание ценных сортов в севообороте; внедрение системы специальных разрешений, которые не позволяют бассейну застраивать свою нижнюю часть;

* перемещение для отлова ценных видов животных из затопленных районов;

* создание животноводческих ферм и животноводческих ферм по разведению животных; Организация защитных и резервных зон; строительство рыбопромысловых, рыбоводных и компенсационных сооружений.

ЛИТЕРАТУРА

1. Орго В. М. Основы конструирования и расчета на прочность гидротурбин. Л.: Машиностроение, 1978. 224 с.

2. Барлит В. В. Гидравлические турбины. Киев: Вища школа, 1977. 360 с.

3. Завьялов Ю. С., Квасов Б. И., Мирошниченко В. А. Методы сплайн-функций. М.: Наука, 1980. 352 с.

4. Завьялов Ю. С., Леус В. А., Скороспелов В. А. Сплайны в инженерной геометрии. М.: Машиностроение, 1985. 221 с.

5. Залгаллер В. А. Теория огибающих. М.: Наука, 1975. 104 с. References.

6. Salomov U., Yusupov S., Odilov O., Moydinov D. Theoretical Substantiation of the Advisability of Using Adhesives When Sealing the Core of Car Radiators and Diagnosing Radiators with a Thermal Load. nternational Journal of Engineering Trends and Technology. Volume 70 Issue 1, 81—92, January, 2022 ISSN: 2231 — 5381 /doi:10.14445/22315381/IJETT-V70I1P210.

7. Абрамов А. И., Иванов-Смоленский А. В. Проект тирование гидрогенераторов и синхронных компенсаторов. М.: Высшая школа, 1978.

8. Авакян А. Б., Шарапов В. А. Водохранилища гидроэлектростанций РФ. М.: Энергия, 1977.

9. Аршеневский Η. Н. Обратимые гидромашины гидроаккумулирующих электростанций. М: Энергия, 1977.

10. Аршеневский Η. Н., Поспелов Б. Б. Переходные процессы крупных насосных станций. М.: Энергия, 1980.

11. Асарин А. Е., Бестужева К. Н. Водноэнергетические расчеты. М.: Энергоатомиздат, 1986.

12. Бабурин Б. Л., Файн И. И. Экономическое обоснование гидроэнергостроительства.. М.: Энергия, 1975.

ПРОСТРАНСТВЕННО ОСЦИЛЛИРУЮЩИЙ ФОТОВОЛЬТАИЧЕСКИЙ ТОК В ОПТИЧЕСКИ АКТИВНОМ СЕГНЕТОЭЛЕКТРИКЕ SbSI

Каримов Шерзод Боходирович

Соискатель физико-технического факультета Ферганского государственного университета
Алиев Ибратжон Хатамович
Студент 2 курса факультета математики-информатики Ферганского государственного университета
Каримов Боходир Хошимович
Кандидат физико-математических наук, физико-технического факультета Ферганского государственного университета

Ферганский государственный университет, Фергана, Узбекистан

Аннотация. В настоящей работе обнаружен и исследованы пространственно-осциллирующей фотовольтаический ток (ПОФТ) в направлении [100] в сегнетоэлектрике SbSJ при освещении поляризованным светом в направлении [010] и образованию от оптической зависимости в [001] направлении структуры пространственного осциллирующего фотовольтаического тока Jx. Обсуждены некоторые экспериментальные и физические основы пространственно осциллирующего фотовольтаического тока.

Ключевые слова: сегнетоэлектрик, поляризация, оптически-активный кристалл, пространственно-осциллирующий фотовольтаический ток, тензор 3-ранга.

Annotation. In this paper, the spatially oscillating photovoltaic current (POFT) in the direction [100] in the SbSJ ferroelectric is detected and investigated when illuminated with polarized light in the direction [010] and the formation of the structure of the spatial oscillating photovoltaic current Jx from the optical dependence in the direction [001]. Some experimental and physical bases of spatially oscillating photovoltaic current are discussed.

Keywords: ferroelectric, polarization, optically active crystal, spatially oscillating photovoltaic current, rank 3 tensor.

В последние годы стало ясно, что в термодинамических неравновесных условиях возможны токи иной природы, обусловленные отсутствием среды центра симметрии. Важнейшим этого класса эффекта является аномальный фотовольтаический эффект (АФ эффект).

АФ эффект заключается в том, что при равномерном освещении короткозамкнутого сегнетоэлектрика через него протекает стационарный ток, который в [1,2] был назван фотовольтаическим. Было показано, что именно фотовольтаический ток приводит к аномальному фотовольтаическому эффекту (АФ эффект) в сегнетоэлектрике.

Аномальный фотовольтаический эффект, обнаруженный для сегнетоэлектриков впервые в [1,2] является частным случаем более общего АФ эффекта, описываемого для кристаллов без центра симметрии тензором третьего ранга αijk [3].

Согласно (1), при равномерном освещении линейно поляризованным светом однородного кристаллов без центра симметрии (сегнето или пъезо-электрического кристалла) в нем возникает фотовольтаический ток Ji, знак и величина которого зависят от ориентации вектора поляризации света с проекциями Ej, Ek*.

Компоненты тензора αijk отличны от нуля для 20 ацентричных групп симметрии. Если электроды кристалла разомкнуть, то фотовольтаический ток Ji генерирует фотонапряжения

где σt и σсоответственно темновая и фотопроводимость, lрасстояние между электродами. Генерируемое фотонапряжения порядка 103—10В, превышающее, таким образом, величину ширины запрещенной зоны Eg на два — четыре порядка.

В соответствии с (1) и симметрией точечной группы кристалла можно написать выражения для фотовольтаического тока Ji. Сравнение экспериментальной угловой зависимости Ji (β) с (1) позволяет определить фотовольтаический тензор aijk или фотовольтаический коэффициент

a* — коэффициент поглощения света.

Как показал Белиничер [4], в зависимости от формы оптической индикатрисы и направления распространения плоско поляризованного света в кристалле могут существовать направления, для которых фотовольтаический ток (1) является пространственно осциллирующим. В этом случае:

где ne, n— показатели преломления обыкновенного и необыкновенного лучей, Ee и E0* — проекции вектора поляризации света на оптические оси кристалла,

В этом случае фотовольтаический ток (2) осциллирует в кристалле с периодом

Как указывалось в [4] и как видно из (2) пространственно осциллирующий фотовольтаический ток (ПОФТ) может экспериментально наблюдаться в условиях сильного поглощения света.

где α* — коэффициент поглощения.

1. ПРОСТРАНСТВЕННО ОСЦИЛИРУЮЩИЙ ФОТОВОЛЬТАИЧЕСКИЙ ТОК В СЕГНЕТОЭЛЕКТРИКЕ SbSi

В настоящей работе обнаружен и исследован пространственно-осциллирующей фотовольтаический ток (ПОФТ) в направлении [100] в сегнетоэлектрике SbSI при освещении поляризованным светом в направлении [010].

Сульфоиодид сурьмы (SbSI) принадлежит к классу халькогенидов металлов пятой группы AVBVICII, где A-Sb; Bi; B-S, Se, Te; C-CL, Br, I. Кристаллы SbSI и SbSIxBr1-x — двуосные, обладают большим двойным преломлением, ниже температуры. Кюри Тс=220С кристаллы SbSI принадлежат к классу mm2 и обладают ромбической симметрией. При фазовом превращении происходит исчезновение центра симметрии, следовательно, ниже точки перехода кристаллы SbSI становятся сегнетоэлектриками.

Фазовый переход при 220С был зарегистрирован впервые Фатуццо [5] при изменении температурной зависимости диэлектрической проницаемости. Кристаллы обладают ярко выраженными полупроводниковыми свойствами, их фотоэлектрические свойства хорошо изучены [1].

Измерения проводились для монокристаллов SbSI в сегнетоэлектрической фазе при температуре Т=133 К. Кристалл освещался плоско поляризованным светом с помощью ксеноновой лампы и монохроматора ЗМР. Измерялся стационарный фотовольтаический ток J по ранее описанному [1] методу. В соответствии с симметрией SbSI (точечная группа mm2) при измерении J(— направление спонтанной поляризации) и освещении кристалла в x и направлениях ПОФТ не возникает. Выражение для фотовольтаического тока Jпри освещении в x и y направлениях, соответственно, имеет вид:

...