автордың кітабын онлайн тегін оқу Знакомьтесь, Америка
Владимир Бессмертный
Знакомьтесь, Америка!
(презентация без идеологической вуали)
Относительно Соединённых Штатов Америки почти все мы находимся в плену иллюзий. У каждого они свои. Своими впечатлениями и наблюдениями о США и делится автор.
«Я объездил все государства Европы и почти все штаты Северной Америки. Перед Америкой мне Европа показалась старинной усадьбой…»
(Сергей ЕСЕНИН, 1923 год)
«Америка не рай. Но если это ад, то самый лучший в мире.»
(Сергей ДОВЛАТОВ)
Об авторе
В. Бессмертный родился на Донбассе, в Белокуракинском районе, Луганской области. Гражданин Украины, украинец. Имеет два высших образования, одно из которых получил в дипломатическом ВУЗе. Специалист в области дипломатии, международных отношений, политологии и страноведения. Некоторое время работал за рубежом. В настоящее время проживает в г. Одессе. Член Национального союза журналистов Украины. Из-под пера журналиста и писателя вышли около 300 статей, печатавшихся в региональной и республиканской прессе, четыре книги, посвящённые актуальным проблемам украинского общества, его истории.
От автора
Относительно Соединённых Штатов Америки почти все мы находимся в плену иллюзий. Большинство наших соотечественников, проживших сознательную жизнь в бывшем Союзе, под воздействием привитых им прежних взглядов представляют себе США этаким бездушным монстром, попирающим человеческое достоинство, людские нужды и пожирающим всё находящееся на его пути. Этот «совковый» стереотип ярко показал в одной из своих книг писатель Ю.И. Мухин: «…Вы присмотритесь… к американским фильмам — в США держать собак в квартирах большинства домов запрещено… Мой товарищ живёт сейчас на юге США в своём доме… на…участке земли в половину акра, т. е. в 20 соток. Спрашиваю, какой породы собачку держит? Отвечает — нельзя!.. Живёт мой товарищ на берегу океана, спрашиваю, как часто он в нём купается? Отвечает — нельзя, хочешь купаться — заплати и купайся в специально построенном на берегу бассейне.
Корреспондент «Дуэли» в Вене А. Дубров собрал со страниц австрийских изданий «Kurier» и «Der Standard» такую информацию об уровне свободы в США:
«Недавно в Вашингтоне полицейский повалил на землю беременную женщину, которая, по его мнению, слишком громко разговаривала по мобильнику. После этого он надел женщине наручники.
Аналогичный случай произошёл в вашингтонском метро. Подросток откусил от плитки шоколада, а есть и пить в метро запрещено. Полицейский надел на него наручники и отвёл в участок.
В городе Окала, штат Флорида, девятилетний мальчик нарисовал в школе рисунок, который, по мнению учительницы, содержал «элемент насилия». Учительница вызвала полицию, те надели на мальчика наручники и повезли в участок.
В 1999 году соседка лживо донесла на 11-летнего мальчика, что тот сексуально преследует свою маленькую сестру. Мальчика вытащили из постели ночью, надели наручники и бросили на 6 недель в тюрьму, пока не выяснилось, что соседка наврала.
Во Флориде за плохое поведение в детском саду полиция задержала пятилетнюю девочку. Девочке надели наручники и доставили в участок».
Мне опять скажут, что в США свобода слова и свобода передвижений. Но если у них свобода передвижений, то почему же они не уедут из этой паршивой страны, а если у них свобода слова, то почему же они не используют её чтобы изменить свои собачьи порядки? Потому, ответят мне, что им такие порядки нравятся. Всё правильно: если человек по своей натуре раб, то его и такие порядки устроят…
Так… мне остаётся сказать:
— И эти задолбанные рабы учат нас, советских людей, свободе!»
В то же время, Америку в голливудских кинолентах красиво показывают страной «золотой мечты». Внешне жизнь в ней красивая, яркая, современная, но она вся какая-то искусственная, показная. Там тоже есть проблемы и, притом, немалые. Например, в стране довольно-таки высокий уровень преступности (лидируют ограбления), имеют место неодиночные случаи задержек с выплатой зарплаты, масса рабочих мест — низкооплачиваемые. Если сравнивать проблемы наши с американскими, то они идентичны, только уровни их возникновения и решения разные. А в целом, как поётся в известной песне:
«Там такое же синее небо
И такая же сложная жизнь.
Может, там веселей и богаче,
Ярче краски и лето теплей,
Только также от боли там плачут,
Также в муках рожают детей…»
Американской истории уже 250 лет, но она никогда не была застывшей. Для Штатов не свойственен застой, они находятся в перманентном развитии. Они пережили не простые времена, когда женщины, фермеры не имели права голосовать, когда существовала расовая дискриминация. Эти общественные изъяны там устранили через 150 лет своей государственности. Нам же всего 25 лет и у нас всё ещё впереди. Главное — не создавать себе проблем, а брать всё лучшее из опыта других. А у США многому можно научиться!
Мой совет, если предоставится такой случай, не раздумывая смотайтесь за океан, не пожалеете. Штаты стоят того, чтобы в них побывать!
Некоторые из Вас, перефразировав М. Исаковского, пессимистически скажут, что «нам не нужен ни берег заморский, ни Америка нам не нужна и не надо нам солнца чужого, и чужая земля не нужна!». Кто так думает, Вы не правы. Ведь не зря, с дальним прицелом и на перспективу мудрый Кобзарь нам завещал «чужому навчайтесь і свого не цурайтесь»! Всё это в творческом единении принесёт Вам лично и государству украинскому лишь пользу и процветание.
Только имейте в виду, если Вы впервые прибываете в Соединённые Штаты, то там для Вас будем всё новое: люди, обычаи, еда, деньги и многое другое. Понятно, что Вы немного растеряетесь. Вы, конечно же, будете благодарны, если кто-то окажет Вам помощь, объяснив, что к чему, не правда ли?
Так вот, цель этого издания — помочь каждому отважившемуся пересечь океан, чувствовать себя не чужеземцем, а равным среди равных в этой, овеянной ореолами разной, причём противоречивой, славы, высокоразвитой стране. Уверен, книга станет для Вас надёжным другом, интересным экскурсоводом и эксклюзивным справочником. При этом независимо кто Вы — политик, чиновник, бизнесмен или просто любознательный человек.
Но никакие заморские чудеса и соблазны никому не заменят своей, такой многоцветной, проблемной и не очень богатой Родины. Уверен, для туриста-одессита самый счастливый момент жизни — приземление самолёта в неказистом одесском аэропорту, затем — допотопный (с технической точки зрения) таможенный досмотр. И… Наконец-то, он дома! Хорошо там, где мы есть. В Америке не плохо, но у нас всё-таки лучше! Убедитесь в этом!
Америка, 1922–1923 годов (из воспоминаний о путешествии в США русского поэта С. Есенина)
Фото № 1. Сергей Есенин с Айседорой Дункан и её дочерью Ирмой. 1922 год.
Сергей Есенин и Айседора Дункан познакомились в Москве осенью 1921 года. 2 мая 1922 года они оформили брак, а 10 мая отправились самолетом в Германию. Последующие месяцы они провели в Германии, Бельгии, Италии и Франции. В конце сентября на пароходе «Париж» Есенин и Дункан покинули Европу, чтобы совершить путешествие в Соединенные Штаты.
2 октября 1922 года пароход, миновав статую Свободы, вошел в Нью-Йоркскую гавань. В американских газетах появились сообщения о возвращении знаменитой танцовщицы на родину с мужем, русским поэтом Сергеем Есениным.
На пароходе Есенин и Ветлугин (секретарь Айседоры) составили заявление, в котором говорилось, что Есенин и Дункан не вмешиваются в вопросы политики, что они работают только в области искусства, и они убеждены в том, что Россия и Америка способны понять друг друга.
И все же, несмотря на это, знакомство Есенина с Америкой началось с неприятностей. Супругам не разрешили сойти на берег, им пришлось провести ночь на пароходе: Вашингтон получил сведения о том, что те прибыли в Америку как большевистские агитаторы.
А на следующий день на Эллис-Айленде эмиграционные власти в течение почти двух часов допрашивали Айседору Дункан, так как ее и Есенина принимали за большевистских агентов.
Айседора Дункан сильно переживала, и этот эпизод оставил в ее душе горький осадок. Есенин воспринимал происходящее иронично и старался перевести в шутку.
В конечном итоге, после взятия с поэта расписки не петь «Интернационала», как он сделал это в Берлине, и не принимать участия ни в каких политических делах, супругам разрешили ступить на землю Нью-Йорка.
Поэта поразила красота небоскребов. Нью-Йорк произвел на Есенина большое впечатление, и он намеревался написать об этом. Однако, как оказалось в дальнейшем, намерения своего Есенин не выполнил. По возвращении в Москву Есенин восклицал: «Мать честная! До чего же бездарны поэмы Маяковского об Америке! Разве можно выразить эту железную и гранитную мощь словами?! Это поэмы без слов…»
Перед отъездом из России в Европу, а затем по прибытии в Германию в мае 1922 года Есенин много пил. В Висбадене врачи посоветовали ему прекратить пить хотя бы на два-три месяца. Он тогда дал зарок забыть об алкоголе вообще. С июня по октябрь 1922 года Есенин, действительно, мало пил, но последовавшие за этим четыре месяца произвели в Есенине гибельные изменения. С этого времени свадебное путешествие Есенина и Дункан превратилось в хулиганскую поездку по Европе и Америке.
Во время поездки Айседоры по Америке начал проявляться безрассудный нрав Есенина. Он решил, что Америка встретила его не так, как подобает и злился за это на Айседору, по всякому случаю оскорбляя ее и ее страну. В газетах было много скандальных сообщений, более или менее преувеличенных, но в них было достаточно правды, чтобы сделать жизнь совершенно невыносимой.
У Есенина было несколько причин обидеться на Америку. Он не знал английского языка и, будучи мнительным по натуре, постоянно воображал, что американцы над ним смеются. Языковый барьер помешал планам Есенина покорить Америку своими стихами. Ему не удалось достигнуть всемирной известности, о которой он мечтал. Это было его Ватерлоо.
Очевидно, Есенин решил привлечь к себе внимание, устраивая скандалы. В Москве люди могли возмущаться его поведением, но эти же люди слушали, понимали и ценили его стихи. В Америке скандалы приводили только к изоляции. Вот почему Есенин вернулся из-за границы раздраженным и злым.
Была и другая причина обижаться на Америку — алкоголь. Есенин приехал в Америку во время «сухого закона». Им пришлось, где придется, доставать и потреблять плохое вино, которого, как образно сказала Айседора, когда покидала неблагодарную Америку, хватило бы «убить слона». От спиртного, выпитого в Соединенных Штатах, здоровье Есенина начало окончательно разрушаться.
7 октября 1922 года Айседора дала первое из четырех намеченных представлений в Карнеги-холл. Первый после пятилетнего перерыва концерт в Нью-Йорке получил в печати благоприятные отзывы.
По несчастью, успеху ее турне помешало то, что Айседора не нашла в себе силы удержаться от выступлений после концертов. Она с нескрываемым сочувствием рассказывала о России и призывала к дружбе между американским и русским народами. Лекции Айседоры Дункан, а также её прозрачные танцевальные костюмы не могли понравиться жителям американских городов — пуританам, ненавидевшим большевиков. Газеты сообщали, что в Бостоне «Айседора танцевала в алой накидке и называла себя красной. Многие зрители, шокированные ее наготой, покинули зал».
Несмотря на большую рекламу, которой сопровождались выступления Айседоры, ее «большевистские» лекции возмущали публику. Это могло привести к запрету ее выступлений и расторжению контрактов.
В скором времени Айседоре запретили выступать в Бостоне, а в начале декабря из-за протестов прихожан отменили выступление в одной из церквей.
Айседора побывала с концертами в городах Балтимор, Бостон, Чикаго, Мемфис, Нью-Йорк, Филадельфия, Толедо, расположенных на востоке и в центре США. Есенин следовал за своей женой из города в город.
12 ноября 1922 года Есенин написал из Нью-Йорка Анатолию Мариенгофу: «Как рад я, что ты не со мной здесь в Америке, не в этом отвратительнейшем Нью-Йорке. Было бы так плохо, что хоть повеситься». Поэт разочаровался в американцах: «Никак не желаю говорить на этом проклятом английском языке». За время пребывания в США Есенин почти ничего не написал.
15 января 1923 года состоялось последнее выступление Айседоры. Она сообщила журналистам, что уезжает в Россию и никогда больше не вернется в Америку, хотя Америка — ее родина. Рассказывая о своей московской школе, Айседора сказала: «Такая школа невозможна в Америке, потому что в Америке нет демократии… До тех пор, пока есть дети богатых и дети бедных, демократии быть не может… Тех, кого мир называет гениальными людьми, — это люди, которые смотрят на мир глазами детей. Вот гений (она повернулась к мужу). Безрассудный, как старатель, сильный, полный жизни, поэтический! Вот молодая Россия».
Безрассудство Есенина проявилось еще раз в январе 1923 года на вечере русско-еврейских поэтов. Читая отрывок из поэмы «Страна негодяев», поэт сказал что-то о «жидах», после чего произошел скандал. Есенин был, видимо, изрядно пьян, ударил Айседору, и его вынуждены были удерживать силой. В жизни, в отношениях с людьми литератор не был антисемитом, но когда выпивал, он мог высказываться в антисемитском духе.
17 февраля 1923 года после буйного скандала Есенин был задержан и провел ночь в полицейском участке. О нём в полицейском журнале была сделана запись: «Страдает припадками эпилепсии. Выпил слишком много». После этого случая его за границей принимали за эпилептика.
Вскоре Есенин и Айседора навсегда уехали из Америки, их четырехмесячное пребывание в США оказалось несчастливым. Дункан считала, что поездку испортили падкие на сенсацию американские газетчики и плохого качества американские вина. Но были и другие причины: душевная неуравновешенность Есенина и открытая любовь Айседоры к России.
3 февраля 1923 года поэт и танцовщица взобрались на палубу парохода «Джордж Вашингтон», который взял курс на Шербур. На следующий день нью-йоркские газеты изложили в подробностях все, что сказала репортерам на прощание Айседора Дункан: «Не нужны мне ваши роскошные отели. Я лучше буду жить в России на черном хлебе и водке. В России у нас свобода… В вашей стране люди не нуждаются в искусстве. Они не понимают, что это такое…»
7 февраля 1923 года на борту «Джорджа Вашингтона» Есенин написал полное безнадежности и отчаяния письмо имажинисту Александру Кусикову: «Я расскажу тебе об Америке позже. Это самая ужасная дрянь… Я полон смертной, невыносимой тоски. Я чувствую себя чужим и ненужным здесь, но когда я вспоминаю Россию, вспоминаю, что ждет меня там, я не хочу возвращаться…»
Вечером 11 февраля 1923 года пароход вошел в порт Шербур. Так завершилась поездка Есенина в Америку.
В марте 1923 года оскорбленные власти США под предлогом того, что А. Дункан вышла замуж за русского, лишили Айседору американского гражданства.
Здоровье Есенина во время поездки по Америке резко ухудшилось, у него все чаще стали появляться мысли о самоубийстве.
Америка произвела на Есенина огромное впечатление, изменила, как он сам говорил «угол зрения». Поэт восхищается индустриальной мощью этой страны. Именно после поездки в Америку появляется новый мотив в его творчестве:
«Полевая Россия, довольно
Волочиться сохой по полям».
Очерк «Железный Миргород», выпущенный в свет в 1923 году, почти полностью посвящен Америке. В нём С. Есенин пишет:
«Я объездил все государства Европы и почти все штаты Северной Америки. Перед Америкой мне Европа показалась старинной усадьбой…»
В разделе «Бродвей» автор повествует:
«На наших улицах слишком темно, чтобы понять, что такое электрический свет Бродвея. Мы привыкли жить под светом луны, жечь свечи перед иконами, но отнюдь не пред человеком…
Америка внутри себя не верит в бога. Там некогда заниматься этой чепухой. Там свет для человека, и потому я начну не с самого Бродвея, а с человека на Бродвее.
…Около Нью-Йорка стоят громады броненосцев, по бокам которых висят десятками уже не шлюпки, а аэропланы, которые подымаются в воздух по особо устроенным спускным доскам; возвращаясь, садятся на воду, и броненосцы огромными рычагами, как руками великанов, подымают их и сажают на свои железные плечи…
В Нью-Йорке лошади давно сданы в музей, а в наших родных пенатах…
…По Бродвею ночью гораздо светлее и приятнее идти, чем днём.
Перед глазами — море электрических афиш. Там, на высоте 20-го этажа, кувыркаются сделанные из лампочек гимнасты. Там, с 30-го этажа, курит электрический мистер, выпуская электрическую линию дыма, которая переливается разными кольцами. Там, против театра, на вращающемся электрическом колесе танцует электрическая Терпсихора и т. д., всё в том же роде, вплоть до электрической газеты, строчки которой бегут по 20-му или 25-му этажу налево беспрерывно до конца номера… По радио музыка Чайковского из музыкальных магазинов слышится в Сан-Франциско, но любители могут его слушать и в Нью-Йорке, сидя в своей квартире.
Когда всё это видишь или слышишь, то невольно поражаешься возможностям человека, и стыдно делается, что у нас в России верят до сих пор в деда с бородой и уповают на его милость…»
В главе «Быт и глубь штатов» поэт пишет:
«Тот, кто знает Америку по Нью-Йорку и Чикаго, тот знает только праздничную или, так сказать, выставочную Америку.
Чем дальше вглубь…, города становятся похожими на европейские, с той лишь разницей, что если в Европе чисто, то в Америке всё взрыто и навалено как попало, как бывает при постройках. Страна всё строит и строит.
Чёрные люди занимаются земледелием и отхожим промыслом. Язык у них американский. Быт под американцев. Выходцы из Африки, они сохранили в себе лишь некоторые инстинктивные выражения своего народа в песнях и танцах. В этом они оказали огромнейшее влияние на мюзик-холльный мир Америки. Американский фокстрот есть не что иное, как разжиженный национальный танец негров. В остальном негры — народ довольно примитивный, с весьма необузданными нравами. Сами американцы — народ тоже весьма примитивный со стороны внутренней культуры.
Владычество доллара съело в них все стремления к каким-либо сложным вопросам. Американец всецело погружается в «Business» и остального знать не желает. Искусство Америки на самой низшей степени развития. Там до сих пор остаётся неразрешённым вопрос: нравственно или безнравственно поставить памятник Эдгару По. Всё это свидетельствует о том, что американцы — народ весьма молодой и не вполне сложившийся. Та громадная культура машин, которая создала славу Америке, есть только результат работы индустриальных творцов и ничуть не похожа на органическое выявление гения народа. Народ Америки — только честный исполнитель заданных ему чертежей и их последователь. Если говорить о культуре электричества, то всякое зрение упрётся в этой области в фигуру Эдисона. Он есть сердце этой страны. Если бы не было этого гениального человека в эти годы, то культура радио и электричества могла бы появиться гораздо позже, и Америка не была бы столь величественной, как сейчас…
Для русского уха и глаза вообще Америка, а главным образом Нью-Йорк, — немного с кровью Одессы и западных областей. Нью-Йорк на 30 процентов еврейский город. Евреев главным образом загнала туда нужда скитальчества из-за погромов. В Нью-Йорке они осели довольно прочно и имеют свою жаргонную культуру, которая ширится всё больше и больше. У них есть свои поэты, свои прозаики и свои театры. От лица их литературы мы имеем несколько имён мировой величины. В поэзии сейчас на мировой рынок выдвигается с весьма крупным талантом Мани-Лейб.
Мани-Лейб — уроженец Черниговской губернии. Россию он оставил 20 лет назад. Сейчас ему 38. Он тяжко пробивал себе дорогу в жизни сапожным ремеслом и лишь в последние годы получил возможность существовать на оплату за своё искусство.
Переводами на жаргон он ознакомил американских евреев с русской поэзией от Пушкина до наших дней и тщательно выдвигает молодых жаргонистов с довольно красивыми талантами от периода Гофштейна до Маркиша. Здесь есть стержни и есть культура.
В специфически американской среде — отсутствие всякого присутствия.
Свет иногда бывает страшен. Море огня с Бродвея освещает в Нью-Йорке толпы продажных и беспринципных журналистов. У нас таких и на порог не пускают, несмотря на то, что мы живём чуть ли не при керосиновых лампах, а зачастую и совсем без огня.
Прежде чем путешествовать в Америку
Если Вы решились осчастливить своим визитом заморское государство возьмите себе на заметку, что солнце в Нью-Йорке жарче, чем в Одессе. Поэтому головной убор в летнее время не только желателен, но и необходим.
Температура измеряется там по Фаренгейту. Деления на термометрах и градусниках в градусах по Фаренгейту: 0 градусов С = 32 градусам Фаренгейта. С повышением первого показателя на 1 (единицу) от исходного, второй увеличивается на 1,8. Точно также, с понижением первого показателя на 1 (единицу) от исходного, второй уменьшается на 1,8.
Перевод единиц измерения температуры. Градусы по шкале Фаренгейта (F) в градусы по шкале Цельсия (C) и наоборот. Калькулятор перевода температуры. Формулы.
Также полезно знать, что в США бензин продаётся галлонами (1 американский галлон = 3.78541178 литра) и цены на заправках указаны в долларах за галлон (Imp. gal). Стоимость бензина от заправки к заправке различна и часто меняется. В неё уже включены все налоги, поэтому Вам не придется что-либо доплачивать при покупке. В наличии всегда есть несколько видов топлива, как правило, это:
• 87 Regular / Стоимость 3,5–3,58$ за галлон
• 89 Medium / Стоимость 3,78$ за галлон
• 93 Premium / Стоимость 3,98$ за галлон
• Diesel / Стоимость 4,24$ за галлон.
Чтобы было проще ориентироваться, можно исходить из того, что 1 л бензина стоит в среднем 0,95-1,00$.
Имейте также в виду, что топливо, как и газ в Америке называется одним словом — gas.
Помните, что расход топлива транспортных средств указывается в милях на галлон — miles per gallon: MPG (т. е. сколько миль Вы проедете на 3.78541178 л топлива), а не в л/100 км.
Конвертер расхода топлива
http://calculator-converter.com/l_100km_mpg_convert_mpg_to_l_per_100_km.php
http://bilet.pp.ru/perevod_mpg_v_litry_na_100km.php
MPG (miles per gallon) показывает для нас обратное соотношение: чем больше миль Вы сможете проехать на одном галлоне, тем, соответственно, меньше расход в литрах на 100 км.
Чтобы была прямая зависимость, необходимо GPM (галлоны на милю) переводить в литрокилометры.
Формула для пересчёта расхода из «мили на галлон» в «литры на 100 км» такова: 100 км делим на /показатель «мили на галлон» умножаем на 1,609, делённое на 3,78 (литров в галоне)/. Проще это выглядит так: 100/(X*(1,609/3,7)= Y л/100 км. где X — расход «мили на галлон» Y — расход «литры на 100 км»
Можно считать так: 40mpg = 40*1.6(в миле 1, бкм)=64 км. В 1 галлоне 3.785 литра(3,7л). Итого 3,7/64*100=5,78л/100км
Учтите, что mpg бывают как usa (США) так и uk — Великобритания (imperial). Проще всего считать в googlе в строке запроса:15 mpg in km/litre или 15 miles per imperial gallon in km/litre
Расстояния в США измеряются милями. Британская и американская (статутная) 1 миля = 8 фурлонгов = 1760 ярдов = 5280 футов = 1609 м. Обычно, когда говорят просто «миля», подразумевают именно её. Скорость измеряется милями/час (1 миля = 1,609 км).
Габариты предметов указываются в футах (1 фут = 0,3048 м) или дюймах (1 дюйм = 2,54 см). 1 фут = 12 дюймам.
В магазинах вес указывается в Lb-Lbs (1 Lb-Lbs = 0,4536 кг) — фунтах (паундах): 1 pound (lb — lbs) и в OZ (1 oz = 28,3495231 г) — унциях, а цены — в долларах за фунт или унцию.
Современные электронные цифровые кантеры-безмены (ручные подвесные весы) позволяют производить взвешивание в килограммах, фунтах и унциях, а так же отображают температуру окружающего воздуха в градусах по Цельсию и Фаренгейту. Наличие при себе в путешествии этих компактных гаджетов значительно облегчит ориентацию туриста в температурно-весовых особенностях измерений в США.
Иногда на ценниках цена вверху указана без НДС (налог на добавленную стоимость), а внизу — с НДС. Однако обычно цена (для привлечения покупателей) проставлена без налога, что вызывает у наших соотечественников на кассе искреннее удивление, граничащее с молчаливым несогласием (возмущаться на английском языке они, как правило, не в состоянии).
Один доллар США равен 100 центам. В свободном обращении присутствуют банкноты номиналом 1, 2, 5, 10, 20, 50 и 100 долларов. Американские разменные монеты:
— 1 цент (пенни),
— 5 центов (никель),
— 10 центов (дайм — в отличие от других указанных в скобках наименований, это официальное название номинала),
– ¼ доллара (квотер),
– ½ доллара (хаф),
— 1 доллар.
Объём измеряется в американских квартах (US liquid quart — qt). 1 кварта = 0,946 литра или 2 американских пинты. 1 американская пинта (US liquid pint — pt) = 0.473 л. Но не редко количество жидкости указывается (учитывается) в весовых единицах измерения — унциях и фунтах.
Время отсчитывается от 0 часов до 12 часов — до обеда (АМ), затем — от обеда до полуночи — 12 часов (РМ).
Киевское время опережает Нью-Йорк на 7 часов.
Следует быть готовым к тому, что украинские кредитные карточки международных платёжных систем в Америке «не срабатывают». Лучше иметь наличку, хотя это и небезопасно.
То же касается и роуминга для абонентов «Киевстар». Надеяться на него, мягко говоря, не стоит, а лучше пользоваться SIM-картами местных операторов мобильной связи. Хотя компания заверяет, что все погрешности ликвидирует в течение 2016 года.
Необходимо также быть готовым к приобретению для Вашей телефонной трубки зарядного устройства местного производства, адаптированного к сети 110 Вольт постоянного тока и к подключению к электророзетке американского образца.
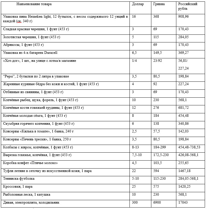
И ещё, цены в Америке в долларах намного выше украинских и российских, если пересчитать их в гривнах или в российских рублях, но «зелёных» в кармане американца или в его электронном кошельке в несколько десятков раз больше чем у «пересічного» гражданина Украины или среднестатистического россиянина. Например, при курсе доллара в 23 гривны при коэффициенте её перевода в российские рубли равном 2,47, средние цены разгара лета 2015 года в центральной части восточного побережья США (штат Нью-Йорк) составляли:
Цены на питание в США очень разнятся в зависимости от региона. На некоторые продукты они могут отличаться в разы, и это не удивительно, ведь Нью-Йорк фактически является столицей мира, а о таком городе как Дес-Мойнес (штат Айова) многие, наверняка, услышали впервые. Например, в Сан-Франциско мясо стоит в 2–3 раза дороже, чем в Бойсе, столице штата Айдахо.
Средние цены на продукты питания в магазинах Бруклина, владельцами которых являются русскоязычные граждане США
(иногда применяют единицы измерения, принятые в СНГ)
Фото №№ 2,3. В «русском» магазине
Средние цены в кафе и ресторанах США
Самые высокие цены на продовольственные товары в США, зафиксированы в Сан-Франциско (штат Калифорния). Например, литр молока там стоит в среднем 1,18 $, килограмм яблок — 4,28 $, а куриная грудка 14,29 $ за килограмм.
Самые низкие цены на продовольствие в США в городе Бойсе — столице штата Айдахо. К примеру, за литр молока там платят в среднем 1,08 $, килограмм яблок — 1,77 $, куриную грудку — 5,34 $ за килограмм.
В среднем самые дорогие рестораны находятся в Нью-Йорке. Например, самое дешевое меню в обычной забегаловке, там обойдется в среднем в 15,00 $, а если Вы захотите еще выпить бутылку пива (местного разлива) — Вам придется добавить еще 6,00 $, капучино — 4,00 $.
Авиаперелёты
Знающие одесситы, исходя из своих финансовых возможностей, из Одессы в Нью-Йорк и обратно добираются обычно самолётами польской авиакомпании LOT в два этапа: до Варшавы и с польской столицы до места назначения.
(Из истории авиакомпании:
Поняв неизбежность завоевания страны, ночью 18 сентября 1939 года польский президент и Верховное командование с одним батальоном, имевшим на вооружении французские танки Renault R-35, покинули страну и перебрались в Румынию. Туда же были перегнаны 16 из 26 самолётов польского гражданского флота, эвакуированы большинство сотрудников и подвижного имущества национальной авиакомпании LOT, где все были интернированы. Во время 2-й мировой войны на аэродромах Польши ангары, технические сооружения пришли в негодность и не подлежали послевоенному восстановлению: их строили заново. Основой для возрождения авиапарка компании стали несколько уцелевших в Румынии летательных аппаратов, а также транспортные самолёты, безвозмездно переданные ей СССР).
Ныне считается, что лучше и надёжнее доверить свою жизнь польскому персоналу, нежели украинским или российским авиаперевозчикам, хотя такое удовольствие и в два раза дороже.
Есть, правда, при этом и свои трудности. Основная из них — языковый барьер. Если не знаешь польского или английского, внимательно смотри шоу жестов проводников во время вводного инструктажа по правилам поведения пассажиров в экстремальных ситуациях. Возникают проблемы и при угощении пассажиров. Вообще-то напрашивается логический вопрос: «Почему экипажи из соседней дружественной нам страны, обслуживающие рейсы в Украину, не владеют украинским или русским языками?» Кстати в аэропорту Нью-Йорка сотрудники LOT без проблем общаются на русском. Кроме того, каждому пассажиру в самолёте предоставляется для ознакомления инструкция на случай возникновения экстрима, однако объяснений на русском или украинском языках для таких обстоятельств там нет.
Не проводится инструктаж как клиентам перенести заложенность ушей при взлёте-приземлении. Помнится, в советские времена давали на этот случай две леденюшки…
Если не обращать внимания на не всегда очищенные от мелкого мусора предыдущих клиентов сетки-корзины для размещения проспектов и инструкций на сидениях авиалайнеров, то нареканий к польским авиаперевозчикам, обслуживающим Южную Пальмиру, нет.
Следует также иметь в виду, что по правилам авиакомпании пассажир может без дополнительной платы провезти 23 кг багажа в багажном отделении воздушного судна, 8 кг ручной клади и сумку по размеру ноутбука в салоне самолёта.
Важно также помнить: для паспортного контроля документы необходимо предъявлять без обложек.
При проведении контроля служба безопасности одесского аэропорта, в случае необходимости снятия обуви, предоставляет пассажирам стульчики с ковриком возле них, чтобы те не становились на холодный пол. До этой «мелочи» аналогичные польские и американские органы при пропуске в транзитные залы не опускаются: там все процедуры осуществляются на не тёплом керамическом или цементном покрытии, а о том, чтобы присесть при переодевании приходится лишь мечтать.
Варшавский аэропорт — современное цивилизованное сооружение. Есть в нём всё для удобства летающей братии, однако, почему-то туалет найти трудно. Указатели к такому пикантному месту не редко расположены так, что заставляют нуждающегося длительно и безуспешно перемещаться во взаимно противоположных направлениях.
Перелёт из Одессы в Нью-Йорк длится 11 часов.
Рейс «Варшава-Нью-Йорк» (обратный тоже) обслуживается современными самолётами «Боинг-787». В них предусмотрено почти всё для удобства пассажиров. Есть бортовая компьютерная сеть, которая даёт возможность каждому в режиме текущего времени узнать подробности местоположения самолёта, посмотреть фильмы, послушать музыку, ознакомиться с историей авиакомпании LOT. Однако для лиц, не знающих английского или польского языков, воспринять порядок действий в аварийных случаях, объявления по бортовой громкоговорящей связи трудновато. Хотя в век компьютеризации можно было бы такие инструктажи иметь на многих языках в электронном виде. В этом случае пассажир мог бы ознакомиться с ними на родном для него наречии. Да и объявления в самолёте можно было бы пропустить через компьютер с их модуляцией понятной для пассажира речью. Правда, всё это может быть тщетным, т. к. прилагаемые к каждому монитору одноразовые наушники (собираются персоналом в конце полёта в огромные мешки для утилизации) с очень низким качеством звучания: можно ничего и не услышать. Нет в самолёте и доходчивого объяснения, как пользоваться индивидуальными освещением и вентиляцией: с болью в сердце можно увидеть, как путешествующие прилагают излишние усилия, вплоть до вывода из строя, чтобы заставить заработать оборудование индивидуального пользования, но тщетно.
Есть нарекания и к организации питания на борту: нет меню, не указано время приёма пищи. Кнопки вызова стюартов к конкретным пассажирам на случай возникновения такой необходимости не всегда срабатывают.
Во время полёта в США (накануне приземления в пункте назначения) пассажирам раздаются таможенные декларации в трёх вариантах исполнения: на русском, английском и польском языках. Прежде всего, распространяются бумаги на последних двух языках, а на русском выдают лишь индивидуально, если об этом попросят. А если пассажир не знает о наличии русскоязычного варианта? Не владеющие ни польским, ни английским, заполнить документ без посторонней помощи не в состоянии и нередко бланк выбрасывают в мусор. Поэтому они потом имеют проблемы со «штатовской» таможней (В Америке разрешается ввозить/вывозить беспошлинно до 10 тыс. американских долларов и подарков, на сумму, не превышающую 100 долларов).
И вот Вы в Америке! Приземление авиалайнера — праздник жизни для всех: в благодарность за удачную доставку к месту назначения пассажиры спонтанно хлопают экипажу в ладоши. (Аплодисменты благодарности в более мелких воздушных судах не приняты.)
Особенность Нью-Йоркского главного аэропорта — большущие очереди для прохождения паспортного и таможенного контроля, которые осуществляют преимущественно темнокожие американцы (наше слово «негр» для них считается обидным, поэтому в Америке их называют цветными американцами или более точно — афроамериканцами). В среднем на эти процедуры уходит до полутора-двух часов времени.
Туалеты в аэропорту Нью-Йорка менее комфортны и ухожены, чем Варшавские клозеты. Не редко в них отсутствует горячая вода. В то же время, недостаток аэропорта Варшавы — отсутствие фонтанчиков для питьевой воды. Американские элеваторы для сушки рук раза в три мощнее польских.
Связаться в роуминге с родными и близкими клиентам украинского мобильного оператора «Киевстар» (несмотря на обнадёживающие заверения об этом в Украине) невозможно. Не помогает и ручной поиск сети.
Иногда данное обстоятельство оператором объясняется обеспечением безопасности людей и сооружений воздушного порта. Но роуминг-то другие сети обеспечивают!
В аэропортах пути следования есть Wi-Fi. В зависимости от категории воздушного порта, он бесплатный полностью или в первые 10–15 мин. работы, а затем необходимо вводить данные для оплаты кредитной карточкой.
Вообще-то в Америке бешеные суммы тратятся на противодействие терактам. При этом успешно применяются технические средства. Например, территорию госучреждения, посольства или размещения войск можно оградить невидимой полосой. Каждый попавший в зону её действия испытывает желание немедленно её покинуть из-за судорожного сокращения мышц или сильного воздействия на кожу высокой температуры. Важные объекты охраняются скрытыми огневыми точками, вооружение которых приводит в действие по телеканалу оператором, находящимся в укрытии, например, в подвальном помещении здания. Военные городки нового поколения напоминают высокие, прочные и глухие (без окон) стены замков по всему периметру объекта. Вся жизнь в них сконцентрирована внутри бастиона, имеющего несколько арок с воротами для техники. На крышах — пулемётные огневые точки, управляемые телеоператорами.
Впервые прибывшие в Штаты из постсоветских государств, не редко представляют их в рамках наивно-глупого идеологического стереотипа созданного ещё в годы «холодной войны». Но вскоре туриста с каждым днем все сильнее щекочет одно смешное подозрение: Америка — это страна, построенная пацанами. Наверное, единственная в мире такая, больше «головотяпская», нежели рациональная. Они набежали сюда со всего мира. И хотя с тех пор «понаехавшие» сильно поумнели и заметно облагородились, но повадки, интонации и ценности у них остались те же. Пацаны эти всегда жизнерадостны и наивны. Они не любят тех, кто обманывает и интригует. Пацаны умеют быть жестокими и рациональными. Но главное — «хлопці» не любят, когда кто-то из них слишком возвышается, пусть даже заслуженно. Не для того они убегали от своей знати строить это пацанское государство.
Говорят, что бережёного Бог охраняет, а потому, каждому, очутившемуся за границей, не следует забывать основные (общие для всех стран) правила безопасности при нахождении вдали от Родины:
1. Никому не доверять своих документов, удостоверяющих личность и гражданство, кроме уполномоченных должностных лиц (пограничники, полиция и т. д.). Они не должны быть предметом залога.
2. Зарегистрироваться в украинском посольстве/консульстве в стране, если планируется пребывание в ней более 3-х месяцев.
3. Хранить в укромном месте отдельно от оригиналов копии всех важных документов (виза, загранпаспорт, национальный паспорт, страховой полис, контракт, приглашение и т. д.).
4. Поддерживать постоянный контакт с родственниками, сообщать им о смене места проживания (пребывания).
Вы за рулём автомобиля
США можно с уверенностью назвать самой автомобилизированной страной в мире. Власти штатов создали все условия для своих граждан, чтобы те имели больше одного автомобиля в семье. В Америке не очень развита сеть общественного т
...