автордың кітабын онлайн тегін оқу Лекарственные источники Тихоокеанских морей и земли Камчатки. Том 3
Алексей Алексеевич Левенчук
Василий Алексеевич Левенчук
Лекарственные источники Тихоокеанских морей и земли Камчатки
Том 3
Шрифты предоставлены компанией «ПараТайп»
БАД не является лекарственным средством. Перед применением рекомендаций требуется консультация врача
© Алексей Алексеевич Левенчук, 2024
© Василий Алексеевич Левенчук, 2024
Авторы вновь представляют на суд читателя третий том их четырехтомного труда «Современные тайны и неизвестные ранее секреты лекарственных источников Тихоокеанских морей и земли Камчатской». Древние секреты чукчей — оленных людей и береговых коряков — олюторов. Это их длительный 37-летний труд по изучению лекарственных ресурсов Тихоокеанской акватории и земли Камчатки. Книга будет интересна интересующимся современной фитотерапией.
ISBN 978-5-0065-2021-9 (т. 3)
ISBN 978-5-0065-1950-3
Создано в интеллектуальной издательской системе Ridero
Оглавление
Дискмейлер
В настоящем академическом и поистине научном исследовательском труде авторы изучают и описывают лекарственные ресурсы Тихоокеанской акватории и земли Камчатской.
Приводимые в объемных 4-х книгах методы и способы лечения и исторические упоминания об их лечебных эффектах лекарственных источников не служат основанием для использования их самостоятельно лично читателями для лечения и профилактики — всегда и обязательно необходима предварительная консультация с Вашим лечащим врачом и его назначение тех или иных компонентов с учетом предварительно полученных результатов обследования Вас на уровне современных требований современной доказательной научной медицинской практики!
Приводимая авторами точная научно выверенная информация о токсических или наркотических эффектах отдельных компонентов или составных частей гидробионтов из всех морей Тихого океана и растений, произрастающих на Камчатском полуострове, а также все исторические отсылы и упоминания о таких эффектах у них и возникающих после их употребления намеренно или случайно состояниях у людей не служат основанием и поводом для самостоятельно их сбора, их накопления в быту или самостоятельного выделения таких веществ из гидробионтов, из растений и их последующего использования как для личных нужд так и даже при противоправных действиях граждан без соответствующих лицензий и разрешительных документов соответствующих, уполномоченных на то законом органов Российской Федерации.
8.8.0. Введение и краткое предисловие авторов к этому третьему тому
Вот и открыл наш внимательный читатель третий том этого большого поистине академического и научного труда «Лекарственные источники Тихоокеанских морей, земли Камчатской. Древние секреты чукчей — оленных людей и береговых коряков» а ранее ыло другое её наименование «Новые тайны и секреты лекарственных источников Тихоокеанских морей, земли Камчатской. Древние секреты чукчей — оленных людей и береговых коряков», но из-за треований издателя пришлось его чуть чуть сократить и видоизменить и авторы еще как рады этому.
Естественно, что третья и четвертая часть (третий и четвертый том) этой большой и уникальной академичской и поистине научной по материалу книги полностью посвящена флоре земли Камчатской, а мы сегодня знаем, что площадь суши Камчатского полуострова более 547,8 тысяч квадратных километров и понятно, что на такой площади разместилось бы не одно Европейское государство, а то и несколько из них.
Понятно, что данная объемная и невероятно, да и можно сказать, по академически, насыщенная научной информацией книга может быть, по изначальному их авторскому замыслу и предназначена прежде всего для невероятно дотошно и может быть вдумчивого читателя, а еще и для знающего читателя, а может даже, что лучше, для самого врача специалиста, так как сегодня та из глубины веков идущая древняя народная традиция, она сегодня как никогда дополнена и подкреплена всеми теми современными достижениями научной и укрепившейся в нашем сознании доказательной медицинской практики, которые и делают нас более разумными и более устойчивыми ко всем даже всем тем глобальным и еще всё новым ранее неведомым человечеству и всем современным цивилизационным вызовам.
Авторы, написав последнюю строчку и поставив прощальную точку в этом тексте нисколько в этом и не сомневаются, что эти данные четыре таких увесистых тома окажутся полезными любому читателю и с любым уровнем изначальной подготовки — хоть с десятью классами первоначального образования, хоть убеленному сединами ученому, кого заинтересует эта ранее такая для кого-то «далекая» земля Камчатка, открытая для нас многими и многими вошедшими в истории России сподвижниками Великого и неповторимого в миру по кровушке нашенского и поистине Русского Петра Первого.
А сегодня мы хорошо знаем, что сама Камчатка сегодня является стандартом особой экологической чистоты на Земле и она взрастила не только на земле, но и в её морях Беринговом, Чукотском, Охотском и Японском такие значительные и при том, а это значимо для человечества, ежегодно восполнимые природные чудеса и несметные богатства, что всё мировое человечество еще сотни, да нет же тысячи и тысячи лет может ими успешно пользоваться и естественно более эффективно, более рачительно может использовать их уже и даже сегодня, в том числе, и для улучшения своего здоровья и заложенного в него самой историей становления человека внутреннего его природного творческого потенциала, не говоря уж о всём качестве нашей здешней жизни в том числе и её материальной составляющей, что для большинства значимо и существенно.
Внимательный и вдумчивый читатель уже ясно увидел из представленного его вниманию первого тома о морской флоре и фауне каков на самом деле поистине громадный и настолько неисчерпаемый ресурс лекарственных источников всех морей, омывающих берега Камчатского полуострова такой плодовитой Тихоокеанской акватории, а также неисчислимой фауны земли Камчатки.
А из предлагаемого его вниманию второго, третьего и четверго томов не менее насыщенных не раз проверенной информацией, где рассказано только разве о некоторой камчатской флоре, произрастающей на этой чистой нашей русской землицы он поймет, что не менее безграничен этот же ресурс лекарственных источников в виде разнообразной флоры, произрастающей на Камчатском полуострове.
И еще из этих четырех книг наш вдумчивый читатель увидит, настолько велика и настолько глубока по своим историческим корням та древняя четырех тысячелетняя народная традиция береговых коряков, оленных чукчей, нымылан, лауроветлан, олюторов (алюторов) в их использовании и даже в ежедневном применении в бытовой практике.
И хоть авторы, да это и понятно, как бы и не являются теми первопроходцами, которые первыми дают их читателю глубокое и достоверное научное описание Камчатки, которое давным-давно начал наш русский знаменитый соотечественник Степан Петрович Крашенинников почти триста лет назад, когда он в 1737 году ступил на эти богатые разнообразными ресурсами берега и на серый прибрежный песок в устьях реки Быстрой западного побережья полуострова, когда их бот «Фортуна» был буквально на щепки разбросан на берегу осенним сентябрьским охотоморским штормом, но все то богатство которое им удалось собрать за долгие годы при том в одном труде, который является по сути своей не только уникальным по объему, но и первым на достаточном научном уровне собранием в, котором та древняя народная традиция всех народов Камчатки опирается на все наши современные более глубокие познания о лекарственном ресурсе Камчатского полуострова, которые еще так мало освоены и так мало используются в нашей стране.
Да и другие не менее знаменитые и не менее цитируемые исследователи Камчатского полуострова много писали об Камчатке и до сегодняшнего дня его невероятно богатом и часто не полностью востребованном нами лекарственном ресурсном потенциале. Но, как и в любой науке в т.ч. и в фармации, и в фармакологии, часто собранный материал требует нового нашего осмысления и даже свежего взгляда из нынешнего времени, а еще и дополнительного углубленного осмысления, дополнительного анализа, и, что естественно, да и быстрейшего освоения, именно с учетом того большого объема знаний, которые за эти триста лет уже у нас накопились, как о самом Камчатском полуострове, так и о наших знаниях о самом величайшем творении Природы — самом человеке, о его биологии и о нашей современной доказательной медицине, в том числе, и народной медицинской традиции и всей медицинской науки, как довольно таки интегральной науки, впитывающей и впитавшей довольно быстро буквально все современные знания и практики даже физики, и уж наверняка химии, биологии, морской биологии, и лаже переосмысливая по новому все вековые народные умения, испытанные веками традиции, в том числе, и всех жителей Камчатского полуострова, будь-то береговых коряков, всех оленных чукчей, оседлых хаилинских нымылан, лауроветлан, олюторов (алюторов) и даже камчадалов.
И, что удивительно, что само Охотское или даже наше безграничное Берингово море, слившееся соими холодными водами, как бы воедино с Тихим океаном они за эти триста лет не стали для нас более гостепреимными или даже более безопасными.
Вот даже и сегодня 21 октября 2015 года плашкоут с 5 членами экипажа легко на волнах Охотского моря при очередном шторме опрокинулся недалеко от Тиличики в проливе рядом Оссорой и удалось спастись только одному члену экипажа, а в том же 2015 года только уже ранней весной плавбаза «Владивосток» была легко в марте от оледенения поглощена его ледяными водами, а годом ранее в 2014 сухогруз судно «Амурское» во время очередного внезапного шторма, перевозившее более 700 тонн золоторудной руды также по неизвестной причине пошло ко дну и таких примеров за историю 37-летнего нашего пребывания на Камчатском полуострове можно привести десятки.
И всё это, к сожалению не такие уж и единичные случаи.
Всё это свидетельствует нам и сегодня, что при всей силе самого современного человека и даже мощи им построенной современной техники и им созданной, противостоять той же морской стихии еще и сегодня ох как трудно, а иногда даже и практически невозможно.
Именно так и в народной медицине, в народной медицинской практике и, особенно в научной медицине.
При всей нашей познанности самого человека, еще много, и даже, вооружившись электронными микроскопами, ультрасовре-менными цитофлуорометрами, компьютерными томографами, а то и аппаратами УЗИ диагностики до сих пор мы ведь многое не знаем и еще многими иологическими процессами мы не можем однозначно и как бы нам хотелось управлять, особенно на уровне одной единственной клетки или её невероятно сложного генетического аппарата спратанного в её ядре, не говоря уж о слаженном их ансамбле, каким и есть весь наш организм.
Даже из нескольких тысяч известных нам сегодня инфекционных болезней, мы это знаем, что описаны и хорошо изучены нами может быть около сотни, если не меньше из двух тысяч известных науке на сегодня.
А вот взять те же современные вакцины для эффективной защиты человека от них созданы разве к десятку или двум десяткам из них и не более.
И это в просвещенном ХХ1 веке, когда как бы и генетический код человека нам как бы теперь и ясен, да и в космосе мы каждый день живем, не говоря уж об достижениях информационных и телекоммуникационных современных технологий.
Взять тот же иммунодефицит человека — ВИЧ-инфекцию. Всё человечество напрягло свои усилия с начала 80-х лет прошлого ХХ столетия, были выделены громадные средства из бюджетов многих стран, в том числе, и таких передовых в науке о человеке, как Германия, Франция, Англия или США, а вакцину против вируса иммунодефицита человека (ВИЧ) до сих пор не удалось ученым создать, не говоря уж о лихорадке Эбола, пытающейся, образно говоря, «пробиться» из Африки через все наши санитарные кордоны, а еще никуда не ушедшая угроза SARS из Юго-Восточной Азии, не говоря уж таких знакомых всем и знакомым по средним векам, выкосившим не один миллион человеческих жизней, как чума или оспа, не дающая и сегодня покоя современным эпидемиологам и бактериологам.
Мы уж не говорим о неустанном росте сердечно-сосудистых или онкологических заболеваний различной локализации, росте автомобильного травматизма и суицидальных наклонностей среди молодежи, и даже не акцентируя внимания о постоянно возрастающей потребности человека в эффективных не вызывающих привыкания адаптогенах и комплексных корректорах обмена веществ, так как значительная часть нашей популяции сегодня страдает от нарушения обмена веществ и подвержена каждодневному стрессу как в мегаполисах, которые ежедневно растут своим населением и даже ожирению, наряду с миллионами на другом африканском континенте буквально голодающих от засух и того же вездесущего голода.
И это ли не доказательство важности, и даже потребности поиска всё новых и новых, с разными факторами влияния на человека лекарственных ресурсов и новых лекарственных естественных и природных источников, которыми так богата вся Камчатская землица и, это естественно, никем до сих пор не мерянная тихоокеанская акватория с её невероятными буквально космическими одиннадцатикило-метровыми глубинами, где и сегодня идут такие ранее науке неизвестные биосинтетические процессы. На их примере, при довольно таки высоких давлениях и создавались современные бетулины, абсолютно новые лекарственные препараты из как бы давно всем известной березы и активно, используемой еще нашими предками и дедами как эффективное природное лечебное средство. И, создав сегодня из той же березы новые вещества и с ранее невиданными новыми свойствами, мы с Вами видим настолько велик, потенциал и изучения, и внедрения, и применения многих лекарственных ресурсов из такого экологически предпочтительного региона каким является Камчатский полуостров и акватория его Тихоокеанских морей и прежде всего Берингова, Охотского моря.
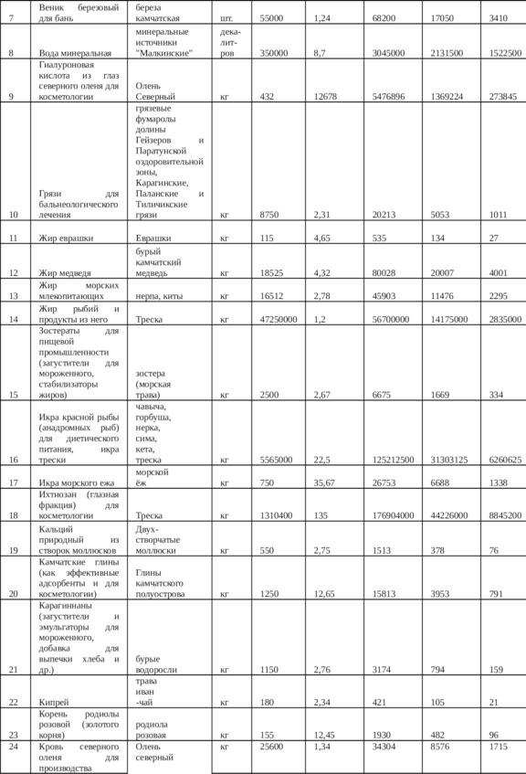
Взять тот же камчатский краб, дающий сегодня нам хитозан, а это и ультратонкая, полупроницаемая эффективная мембрана для аппаратов искусственная почка, без которой, и без плазмафереза не могут жить сегодня тысячи больных почечной недостаточностью, а еще он и эффективный адсорбент новых радионуклидов и всех токсинов, которыми так богата сегодняшняя наша окружающая среда, особенно в крупных миллионных мегаполисах, где сегодня проживает, наверное половина всего семимиллиардного человечества. А мы видим, что рост его неизбежен, как и безграничная его потребность в новых или часто и давно забытых лекарствах из Природы окружающей сегодня всех нас.
Или те же панты северного оленя. Именно сегодня их потенциал на Камчатском полуострове и недооценен, и ему не так много внимания уделяют, не говоря о такой только зарождающейся отрасли как пчеловодство, которое сегодня в какой-то мере развито только на юге Камчатского полуострова.
Естественно важен и, мы сегодня должны как никогда ранее учитывать это, экономический эффект, особенно для малочисленных народов Крайнего Севера и береговых коряков, занятых сезонно, как правило, прибрежным рыбным промыслом, и даже оленных чукчей, нымылан, лауроветланов, олюторов (алюторов), а также всех камчадалов, а последние в свою кровь вероятно впитали все ветви этих народностей всего Камчатского полуострова. Это и традиционные панты оленя, ресурсный потенциал которых на Камчатском полуострове и в соседней Магаданской области, и в Чукотском автономном округе экономистами оценивается как минимум в 10 млн. долларов ежегодно, способны существенным образом пополнить казну всех оленеводческих хозяйств Камчатки, а почти, не используемый в России хитин крабов, способный значительно повысить рентабельность давно созданных рыбопромышленных предприятий и ресурс, которых уже значительно выше и достигает почти 80 миллионов долларов, и более широкая пропаганда, и использование, как для граждан Камчатского региона, так и для близлежащих регионов, а также выход на новый уровень с учетом развития камчатского транспортного узла — камчатского хаба, после завершения в 2016 году реконструкции аэропорта в Елизово и завершения строительства морвокзала в 2018 году, и автовокзала в 2018 году в самом Петропавловске-Камчатском, и понятно более активное вовлечение в оборот и широкое использование современных рекреационных возможностей всего Камчатского полуострова с его удивительной первозданной, не тронутой крупным промышленным и сельскохозяйственным производством природой, не говоря уж о всех минеральных водах Камчатского полуострова, имеющих неисчерпаемый и восполнимые по сути своей ресурс, что позволит не только удовлетворить всё возрастающие потребности людей в чистой воде, но и естественно пополнить бюджет Камчатского края новыми налоговыми поступления от их развития и вовлечения в оборот, чего не было ранее, а также вовлечь всех граждан и, прежде всего, самих камчадалов в производственный процесс по их сбору и переработке, упаковке и транспортировке.
Все это становится значимым и по новому актуальным, во время, наложенных на Россию экономических санкций со стороны стран Европы, во время неустойчивых трендов и большой валатильности на мировых рынках в долларовой оценке барреля нефти и стоимости унции добытой здесь на Левтырынинваяме платины, когда мы все должны обратить внимание на собственные и внутренние имеющиеся у нас и еще не задействованные ресурсы и на весь внутренний не менее полезный потенциал лекарственных растений и новых источников лекарственного сырья добываемого и морских гидробионтов, которых мы уже сегодня добываем тысячи тонн, но в полезный оборот вовлекаем разве только половину, если не меньше. А сегодня идет в отходы кровь оленя, их головы, не используется эндокринное сырье от северного камчатского оленя, не полно используются панты северного оленя, не рекламируется культура их потребления и полезных свойств, практически в хозяйственном комплексе полуострова не используются внутренности рыбы и кровь рыбы на береговых рыбоперерабатывающих предприятиях.
Только недавно Тымлатский рыбокомбинат начал выпуск рыбъего жира «Омега-3», который широко использутся гражданами для профиликатики Д авитаминоза и бобы с гиперхолестеренемией.
У берегов Камчатского полуострова еще так мало добывается морских водорослей, слабо представлены на внутреннем рынке моллюски и продукты из них в т.ч. и продукты глубокой переработки, иглокожие.
Еще нет на Камчатском полуострове предприятий по переработки панциря краба в хитин и хитозан.
На сегодня практически на используется официально жир медведя и морских млекопитающих, мало вырабатывается жира морских рыб, ресурсный потенциал камчатских ягод сильно недооценен из-за развала сети Госпромхозов и тороговопроводящей сети потребкооперации, которые были нацелены на их сбор и доставку в крупные мегаполисы и др.
Взять ту же крапиву, экстракт корня из неё используется для лечения и профилактики заболеваний простаты у лиц пожилого возраста, а старение человеческой популяции сегодня неизбежно и научно доказано, вместе с ростом продолжительности жизни граждан. Так разве у нас нет возможности или нет научных сил, чтобы получать его методами углекислого экстрагирования, притом, что наше камчатское сырье крапивы буквально на порядок чище и полезнее от грязного сырья со всей Европы, которое поставляется к нам в Россию сегодня из Германии.
А вот ресурс той же крапивы жгучей и её корней у нас настолько велик, что мы можем, как и при Петре Первом еще и продавать её за рубеж. Требуется только на этом сосредоточить своё внимание, а нашему бизнесу сделать поворот в сторону своего россйиского производителя.
Как-то нами в начале девяностых лет было создано научно-производственное предприятие ЗАО «Лекарственные ресурсы Камчатки» (ЗАО «ЛеРеК»), но из-за возникших налоговых препон, того периода финансовых сложностей и еще транспортной удаленности от фармацевтических фабрик Хабаровска, Иркутска, Нижнего Новгорода и Новосибирска оно до настоящего времени не получило своего должного динамичного развития и не вышло из зачаточной стадии. Но сама первоначальная идея его создания, нужности для полуострова и привлечения науки к оценке и развитию ресурсного потенциала лекарственных источников всего Камчатского полуострова и до настоящего времени не утратила своей актуальности.
И вот, сегодня при должной поддержке, как здесь на месте региональных, так и всех федеральных властей, а также учёного сообщества, проявляющего должный патриотизм можно его и поддержать и развить с учетом новых знаний и всех новых условий, и разворота всех в т.ч. и на федеральному уровне к малому и среднему бизнесу.
И сегодня, большие надежды мы пытаем от создания здесь на Дальнем Востоке Дальневосточного Федерального Университета на острове Русском во Владивостоке по оценке, вовлечению в практический оборот и дополнительного развития ресурсного потенциала лекарственных ресурсов всего Камчатского полуострова и Тихоокеанской акватории морей его омывающих Берингова и Охотского, имеющих большой потенциальный ресурсный потенциал.
* оценка ресурсной базы проведена по ценам, сложившимся на Камчатском и Дальневосточном рынке на 01.01.2015 года, опубликованным в открытой печати Камчатского полуострова по курсу доллара, установленному Центробанком России на эту дату.
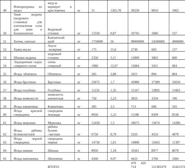
Из представленной только выборочной оценки никем ранее не оцененного ресурсного потенциала Камчатского полуострова и примыкающей к полуострову Тихоокеанской акватории, омывающей его берега мы видим, что при эффективном и своевременном вовлечении в товарный оборот и улучшении технологии получения, и, естественно, использования на все сто процентов даже уже сегодня, получаемого и добываемого на Камчатском полуострове сырья и из морей у края появляются дополнительные реальные притом, что важно, восполнимые по времени источники доходов по оценкам независимых экономистов в размере от 400 до 500 миллионов долларов США, что будет весомым подспорьем в улучшении, как материального состояния жителей края ежегодно, повышая его экономическую привлекательность, так и существенного роста уровня доходов всех граждан полуострова, особенно в удаленных селах Камчатского края, которых только Корякском округе более сорока.
И задача авторов, как они это сами понимают, как они это сами оценивают, только разве акцентировать на этом внимание менеджеров Камчатского края всех уровней, а не только медицинской общественности, фармацевтов всех уровней для, которых данный труд, само собой разумеется, будет значимым и необходим в повседневной их деятельности по охране здоровья граждан всего Камчатского полуострова и всех, близлежащих регионов Сахалина, Магаданской области и Чукотского автономного округа, да и всего Дальневосточного региона.
Благодарности
Завершая своё изложения о проведенном длительном многолетнем исследовании флоры и фауны Камчатского полуострова, морей Тихоокеанской акватории Берингова и Охотского и, завершая такой объемный труд, охватывающий значительный фактологический материал авторы хотели бы еще раз и в завершение дополнительно поблагодарить за то великое внушенное им вдохновение, которое они получали эти такие длинные годы от профессора биологии Харьковского государственного медицинского института Михайловой Татьяны Ивановны, ректора Задорожного Бориса, своего однокурсника по мединституту Жукова Виктора Ивановича профессора, зав. кафедрой биохимии этого института, а также начальника управления здравоохранения администрации Камчатского края Лемешко Татьяны Владимировны и её заместителя Волковой Марины Владимировны, Шарафутдинова Руслана Фаритовича начальника организационного и кадрового отдела и Грушевской Татьяны Ивановны гл. специалиста этого же отдела, а также Федоренко Нины Андреевны преподавателя Камчатского медицинского колледжа, бывшей заведующей лабораторией ГБУЗ КК центр по борьбе со СПИД, Гужа Раисы Ивановны заведующей аптекой №8 с. Тиличики, Билявцева Александра Николаевича главного врача Корякского окружного центра Госсанэпиднадзора и его супруги врача педиатра Билявцевой Елены Николаевны, однокурсника, друга и санитарного врача Козюра Владимира Григорьевича, а также его супруги районного врача педиатра ГБУЗ КК Олюторская РБ Козюра Татьяну Николаевну, оказывавших повседневную помощь и посильную поддержку в этом многотрудном труде, супружескую чету Жорняк Александра Николаевича врача Олюторского ЦГиЭ и Жорняк Галину Ивановну врача лаборанта ГБУЗ «Олюторский ПТД», а также однокурсника и друга Шенгура Александра Павловича и его верную и его преданную супругу Шенгур Валентину Павловну лаборанта Украинской фармацевтической академии г. Харьков неоднократно, дававшей полезные советы и так быстро, вычитавшей этот объемный многосложный манускрипт, а еще врача педиатра Батрака Алексея Юрьевича зав. детским отделением ГБУЗ КК Олюторская РБ, врачей педиатров Кашапову Елену Николаевну зав. ОВОП с. Апука и Укипа Анну Куконовну зав. ОВОП с. Хаилино, и понятно Лилькива Людмилу Алексеевну — фельдшера по оленеводству село Хаилино, награжденную орденом Дружбы народов, Абашеву Галину Максимовну — фельдшера Хаилинской участковой больницы, и всегда заботливую Билык Галину Анатольевну фельдшера скорой помощи село Усть Пахачи, её дочь Билык Надежду Викторовну врача терапевта ОВОП с. Усть Пахачи и её брата врача хирурга Камчатского краевого онкологического диспансера Билык Виктора Васильевича, и естественно их отца Билык Василия Васильевича, а еще наших друзей Войцеховского Андрея Николаевича врача СРТ «Камлайн», его супругу Войцеховскую Оксану Константинову врача педиатра ГБУЗ «Олюторский ПТД», семью наших друзей Гусарову Татьяну Иосифовну и Владимира Михайловича, а также их гостеприимных родителей Анну Акимовну и Михаила Максимовича, Соколову Наталью и её мужа Льва, и их дочерей и сына, и понятно доцента кафедры патологической анатомии Дальневосточного государственного медицинского университета Евсеева Алексея Николаевича, Степчука Михаила Андреевича — зам. главного врача Корякской окружной больницы, врача хирурга Косыгина Игоря Владимировича и врача педиатра Шелапугина Владимира Иннокентьевича МУЗ Олюторская ЦРБ.
Ваши, Василий Левенчук, Алексей Левенчук.
Село Тиличики, г. П-Камчатский, г. Москва, г. Липецк.
25 октября 2015 года.
8.8.1. Современные методики пра-вильного выбора источников достоверной и проверенной информации и, как пра-вильно читать, и понимать современные научные статьи, отражающие данные до-казательной медицины в отношении про-веренных временем и всех современных лекарственных источников.
В начале 90-х годов прошлого столетия медицинским сообществом была предложена и принята новая концепция доказательной медицины, которая подразумевает добросовестное, точное и осмысленное использование лучших результатов клинических исследований для выбора метода и способа лечения конкретного больного или группы больных или сходных по этиологии заболеваний
Внедренная новая данная концепция доказательной медицины позволяет существенно снизить уровень врачебных ошибок, облегчить процесс принятия решения для практикующего врача, а также администрации лечебных учреждений, администрации страховых компаний и даже юристов, а также снизить и довести до оптимального уровня расходы системы здравоохранения на лечение и на профилактику в регионе определенного или другого заболевания.
Выбор источников достоверной информации о конкретном заболевании имеет решающее значение, как для Вашего лечащего врача, так и лично для Вас, если Вам не безразлично Ваше здоровье и осознанный выбор способов борьбы за свое здоровье.
Надо отметить, что первые руководства 90-х годов по клинической практике стоились по принципу консенсуса группы врачей, вместе с тем за 20 прошедших лет, мы поняли, что этого подхода именно теперь не достаточно. Современный врач нуждается в строго взвешенных рекомендациях, основанных на данных наиболее качественно, выполненных клинических исследований. Тем самым, применение методов доказательной медицины со временем должно становиться тем обязательным стандартом, который будет использоваться для написания новых клинических руководств. Ранее изданные стандарты и протоколы по клинической практике, которые мы видим в книжных магазинах предназначены главным образом для врачей широкого профиля (участковые врачи терапевты и педиатры поликлиник, и стационаров, врачей скорой медицинской помощи и т.п.) и освещают сами наиболее общие вопросы диагностики и лечения в рамках новой и современной концепции доказательной медицины. Из-за этого они ограничены по тому объему теоретических сведений и знаний, которые уже есть на сегодняшнее время. В них зачастую отсутствует описание редких форм заболеваний и даже современных новых эффективных методов лечения и профилактики. Благодаря своей универсальности они в принципе выполняют свою функцию — оперативно представлять врачам необходимую и точную, сжатую (хотим это подчеркнуть!) информацию для оптимизации самого лечебного процесса с целью достижения высокого качества такой помощи в любом, даже в удаленном от мегаполисов селе или самом малом поселении.
Но если смотреть на эти, даже национальные руководства с позиции самого больного, то его всегда будет интересовать наиболее полная и по научному проверенная и достоверная информация обо всех аспектах именно его заболевания и всех возможных вариантах его лечения и его полное право по праву его рождения делать им личный выбор (мы это тоже подчеркиваем отдельно!), и только это его право по праву рождения на Земле самому решать, и он не согласен его отдать ни работникам какой-то пусть и крупной страховой медицинской компании, или даже управленцам нашего здравоохранения, которые, как мы видим на примере Камчатского полуострова, в угоду так называемой «оптимизации», в 90-е годы так и таким образом «оптимизировали», а вернее сократили во многих селах полуострова и участковые больницы, и даже самих участковых врачей, что такая квалифицированная и прежде всего врачебная медицинская помощь для многих стала практически недоступной или достаточно таки удаленной. И, авторы исходят из такого положения, что и наши все знания, и медицинская помощь на самом высоком научном уровне должны быть доступна вне зависимости от зоны нашего проживания и удаленности от миллионных мегаполисов или всех наших столиц.
Что же сегодня подразумевают под уровнями доказательности?
Для этого предложена рейтинговая система оценки клинических исследований. А для непосредственной их оценки используется такое понятие как «уровень доказательности». Сегодня выделяют от 3 до 7 таких уровней [1], которые обозначают римскими цифрами (I, II, III, IV, V, VI, VII). При этом при росте уровня доказательности его качество снижается, и результаты представляются менее достоверными, они имеют для нас и лечащих врачей только ориентировочное значение.
К I уровню доказательности медицинских исследований относятся хорошо разработанные, крупные рандомизированные двойные слепые плацебоконтролируемые исследования. К данному уровню относятся данные полученные в результате метаанализа нескольких рандомизированных контролируемых исследований [2]. Небольшие рандомизированные контролируемые исследования (в том числе, когда получить статистически корректные результаты не удалось из-за малого числа больных, включенных в исследование) относятся ко II-му уровню доказательности, а исследования «случай-контроль» или когортные исследования к II-го или III-го уровням. И наконец, данные отчетов экспертных групп или консенсусов специалистов принято относить к III или IV уровню [2].
С учетом рейтинга рекомендаций по диагностике и лечению степень убедительности рекомендаций обозначается латинскими буквами A, B, C, D, E. Под рейтингом или уровнем рекомендаций в англоязычной литературе это трактуется как сила рекомендаций (Strength of recomendathion). Тем самым уровень рекомендаций, полученный в исследованиях I-го уровня, обозначается как А, II-го уровня — В и т. д. К рекомендациям уровня В относятся и экстраполяции исследований I уровня доказательности, а рекомендации уровня С строятся, как на основании исследований III-го уровня, так и на экстраполяциях исследования полученных на I-го или II-го уровнях.
Понятно, что рекомендации уровня А представляются нам вполне убедительными, так как они опираются на веские доказательства, а у рекомендаций уровня В — убедительность их относительная, а уж для уровня С имеющихся доказательств явно не достаточно, но и эти рекомендации могут использоваться с учетом определенных обстоятельств (индивидуального опыта врача, индивидуальной чувствительности и переносимости лечения конкретным больным, финансовыми возможностями, как самого пациента, так лечебно-профилактического учреждения куда он обратился и даже таким может быть не существенным в крупных городах, но важным и актуальным в удаленных населенных пунктах России, как наличие прописанного и рекомендованного препарата в конкретной аптечной сети или на складе ЛПУ для проведения лечения на уровне требований А или В, что естественно не всегда сочетается с российской транспортной разобщенности, с учетом еще и срока годности их и т. п. Положения же, отнесенные к уровням D и E представляются не достаточно доказанными [2, 3] и их выполнение будет не целесообразным или сомнительным по своей эффективности.
К примеру, ученые рекомендуют для установления и подтверждения диагноза БА использовать бронхопровокационный тест с метахолином по уровню доказательности будет уровень С [4]. Вместе с тем, мы бы не рекомендовали этого делать, так как возможны негативные для самого пациента и психологические, и другие компоненты, да и проводится такие исследования могут в оснащенных и лицензированных учреждения имеющих и анестизиологов-реаниматологов, и другой высоко квалифицированный медицинский персонал. Тем самым, что будет приемлемо и оправдано в Санкт-Петербурге или том же Челябинске, будет иметь сомнительную эффективность на уровне райцентра в Камчатском крае которых более 40, не говоря об удаленных селах насчитывающих более 100 сел и разноудалённых поселений. Да и испытывать в очередной раз самим больным нехватку воздуха и повторное чувство страха смерти недопустимо и по нашему мнению не совсем приемлемо, тем более делать это повсеместно. Данная рекомендация имеющая место в медицинской литературе и медицинских журналах в практической жизни и даже давно практикующими врачами понятно не будет использоваться, хотя она и описана в национальном руководства как нужная и даже как допустимая, а врач при этом не получит согласия на её проведение от больного и тем самым она останется только на бумаге и только рекомендацией.
И другой пример: в случае если иГКС (ингаляционные глюкортикостероиды) дают положительный эффект в лечении бронхиальной астмы и их дозу необходимо снижать до минимально-оптимальной, обеспечивающей контроль над проявлениями БА — уровень доказательности (С) [5]. Мы нисколько не спорим с данным утверждением.
А вот, что снижение доз иГКС следует осуществлять постепенно, уменьшая дозу только на 25—50% от исходной после того, как состояние больного остается устойчивым в течение 3-х месяцев уровень доказательности данной рекомендации (С) [6], мы бы не согласились с этой рекомендацией и не стали бы ждать так долго 3 месяца, так как и сам временной промежуток взят довольно большой (!) это ведь целый сезон года, и уровень снижения дозы, вероятно мало обоснован по времени, так как наряду с иГКС, мы в частности рекомендуем лечить иГКС типа по новой методологии и нашей технологии «пульс терапии», как и при болезнях почек, системных коллагенозах, что предотвращает риск осложнений и в разы снижает используемые пациентом дозы иГКС и к тому же мы рекомендуем наряду с иГКС использовать и другие препараты: β2-агонисты длительного действия, современные антигистаминные препараты с периодом полувыведения до 20 дней и другие эффективные меры поддержания здоровья (сбалансированная гипокалорийная диета, регулярная физиотерапия и её разные виды с учетом исходного состояния больного, эффективная ЛФК с развитием силы дыхательных мышц, постуральный дренаж, а также санация всей экологии окружающей среды, как в личном жилье, так и непосредственно на работе вплоть до смены места жительства или места работы), которые в своем едином комплексе позволяют снижать дозу иГКС не после трех месяцев, а значительно ранее и даже в более существенных объемах, а это уже материально для самого больного более приемлемо, что вместе с тем, не снижает уровня и степени контроля над самой болезнью — БА. К тому же, использование современных β2-агонистов пролонгированного и длительного действия является доказанной альтернативой увеличению доз иГКС при недостаточном контроле за течением БА [7, 8], так как они могут использоваться в качестве дополнительной терапии при умеренном и тяжелом течении БА уровень доказательности данного утверждения (А) [5, 4].
Сегодня с повсеместным внедрением такого информационного ресурса как «Интернета» многие всецело доверились этому виду и доступному источнику массовой информации, нисколько не задумываясь о критической проверке утверждений, которые там печатаются или даже на всеобщее обозрение представляются. Необходимо всем не забывать, что многими сам «Интернет» ресурс используется, как способ, как ресурс и средство для заработка или для продвижения своего продукта (лекарства), услуги, новой методики, способа, а может и сделать рекламу своей методики, способа, ноу-хау и всё это может умело и легко маскироваться, а там внутри будет скрываться реальный материальный интерес, даже под прикрытием каких-либо институтов, которых и в помине ведь нет, в том числе, и высоких званий самих авторов в виде кандидата медицинских или фармацевтических наук, а то и доктора наук, профессора, без проверки этого факта самим читателем по данным реестра ВАК (высшей аттестационной комиссии России). Тем самым, в такой сложной науке, как медицина естественно сам «Интернет» является оперативным, эффективным повсеместно распространенным инструментом получения информации, а вот выводы и сам больной, и лечащий врач должны делать, только объединившись и не раз, и даже не два посоветовавшись, прежде чем испытывать на себе сомнительные рекомендации или чьи-то советы.
Тоже самое, относится и к современной такой навязчивой рекламе, которая буквально хлынула в наши дома. Нам всем надо понять и осознать, что изначально ни одна газета или другое издание бесплатно, из альтруистических и благих намерений ничего делать не будет, а если есть чей-то и какой-то интерес, то есть и, то лицо на кого этот интерес будет распространяться и кому он будет по праву принадлежать. Мы не должны забывать, что психология больного заключается, в том числе и больного БА, что он к врачу приходит с установкой ожидания полного и быстрого выздоровления, также и при поиске информации, он часто буквально мечется не зная и не понимая что ему делать, и наша задача состоит в том, чтобы предостеречь его, что при решении сложных проблем нет простых путей и надеяться на мгновенное исцеление, это полный абсурд и поэтому к любой самой навязчивой рекламе и самой невероятной нужно и необходимо, и врачу, и самому больному БА абсолютно относиться довольно критически и понятно осознано, и как бы взвешенно.
Литература к разделу:
1. Бронхиальная астма, глобальная стратегия. // Пульмонология. 1996. Прил.1.с.1.
2. Доказательная медицина. // Клиническая фармакология.1999. т.6. с.3.
3. Eccles M. //BMJ. 1996. v.312. p.760.
4. Canadian asthma consensus report. 1999. // Can. мed. Association J. 1999. v.161.Suppl.11.
5. Основные положение отчета группы экспертов EPR-2: ведущие направления в диагностике и лечении бронхиальной астмы. /Пер. под ред. Цой А. Н. М. 1998.
6. Beveridge R.C. // Can. Med. Association J. 1996.v.155.p.25.
7. Greening A.P. et al. // Lancet. 1994. V.344. p.219.
8. Shrewsbury S., at al. // BMJ. 2000. v.320. p.1368.
