автордың кітабын онлайн тегін оқу Системная психотерапия супружеских пар
Системная психотерапия супружеских пар
Научный редактор и составитель А. Я. Варга
Введение
А. Я. Варга
Брак кажется универсальной формой совместности взрослых людей. Со временем он значительно постарел. Теперь странным кажется брак подростков: «Мой Ваня / Моложе был меня, мой свет, / А было мне тринадцать лет», и нормальным представляется брак людей, которым осталась лишь пара лет на то, чтобы создать ребенка или двух. За всю историю человечества брак видоизменялся, но никогда не прекращал своего существования. Мы знаем полигамные и полиандрические браки, знаем гомосексуальные союзы и считаем одинокую жизнь чем-то «неправильным», особенно если речь идет о молодом существе, да, честно говоря, и о немолодом тоже.
Большинство людей страдает от одиночества и понятие счастья связывает с союзом с другим человеком, где есть совместные радости, взаимопомощь, поддержка и любовь. За последние лет десять брак стал очень хрупким и уязвимым – можно сказать, что он болен.
Супружеская психотерапия это то, что лечит брак или помогает ему относительно безболезненно для детей завершить свое существование.
В данном сборнике описаны различные варианты системной психотерапии пар. Первая статья посвящена эволюции брака в современном мире. Она объясняет, почему брак стал сегодня таким непрочным и незащищенным. В ней также анализируются возможные перспективы развития брака и связанные с этим социокультурным процессом изменения психотерапевтических парадигм.
В разделе «Методы и техники супружеской психотерапии» представлены статьи, описывающие как классические подходы к супружеской психотерапии (структурная психотерапия, подход Вирджинии Сатир, психотерапия коммуникаций в супружеской паре), так и постклассические (нарративная психотерапия супружеских пар и ориентированная на решение краткосрочная психотерапия). Кроме того, в этот раздел включены: интегративный подход – эмоционально-сфокусированная психотерапия супружеских пар, работа с парами в подходе Мюррея Боуэна, а также описан случай командной работы с супружеской парой.
В разделе «Стрессоры супружеской жизни» описаны наиболее частые «вредности» брака – рождение детей и алкоголизм. Последняя статья этого сборника посвящена смерти брака – разводу и психотерапии семьи в том случае, если один или оба члена супружеской пары считают, что дальнейшая совместная жизнь невозможна.
Все статьи, за исключением статьи об алкоголизме Давида Беренсона, написаны сотрудниками кафедры системной семейной психотерапии Института практической психологии и психоанализа. Преподаватели кафедры являются прежде всего практикующими психотерапевтами, поэтому в статьях описывается реальная сегодняшняя психотерапевтическая практика в огромном мегаполисе.
Сборник будет полезен специалистам помогающего профиля, студентам-психологам и всем, интересующимся загадками современного брака.
Современный брак: новые тенденции
А. Я. Варга, Г. Л. Будинайте
Брак как общественно сконструированное устройство совместности двух людей переживает кризис. Никто не счастлив одинаково, и все страдают по-разному. Нет больше общепринятых правил, как жить друг с другом правильно и хорошо. Количество браков уменьшается и в Западном мире, и в России. При этом везде растет количество разводов (однако в России разводов официально регистрируется больше – возможно, в силу все еще более частой регистрации браков). Так, по данным Росстата, у нас распадается каждый второй брак.
Ситуация изменилась качественным образом. Понимание содержания этих изменений дает возможность увидеть трудности и ресурсы, возникающие при выстраивании супружеских отношений сегодня. Кроме того, такое понимание необходимо помогающему специалисту для эффективной работы.
* * *
Качественные изменения брачных отношений совпали с наступлением новой эпохи – эпохи постмодернизма, которая началась приблизительно в середине XX в. (строго датировать такие явления, проявляющиеся «неравномерно» в разных областях жизни, сложно). Постмодернизм расшатал все основные представления, нормы, ценности и стандарты предыдущей культурной эпохи. В значительной степени это касается и области супружеских отношений. До этого долгое время люди жили в условиях традиционного, патриархального брака, достигшего кульминации своего развития в эпоху Нового времени. Для этой эпохи были характерны вера человека в прогресс и торжество разума. Люди ценили порядок, в том числе и в семейной жизни.
Традиционный брак был основан на четкой иерархии, где мужчина главный, и на разделении функций в семье – мужчина содержал семью, но его основная деятельность протекала вне ее, а женщина занималась домом, хозяйством и детьми. Брак считался удачным, если люди добросовестно выполняли свои роли и функции: муж приносил заработок в семью, женщина старательно вела дом, экономила деньги, была внимательной, заботливой матерью. Жена должна была подчиняться мужу, слушаться его, жить той жизнью, которую он ей предлагал и – на те деньги, которые муж зарабатывал, быть там, где он находился. Общественно одобряемый муж не позволял себе насилия и жестокости по отношению к жене и детям. Одновременно с этим общество было терпимо к рукоприкладству в семье со стороны мужчины (его – по отношению к жене и обоих – по отношению к детям). Осуждались лишь увечья.
Брак был моральной обязанностью. Женщины в подавляющем большинстве находились на содержании либо отца, либо мужа. Поэтому считалось, что холостяк поступал антиобщественно: не оставлял потомства и обрекал какую-то женщину на печальное одинокое существование. При этом брак мыслился как союз на всю жизнь. Фактически он редко длился дольше двадцати лет. Продолжительность жизни была небольшой, и до смерти одного или обоих супругов люди еле-еле успевали «поднять» детей.
Декларировалось, что половая жизнь вне брака недопустима для обоих полов, хотя негласно добрачные отношения мужчин допускались и даже поощрялись, в то время как добрачные отношения женщины строго осуждались. Это было связано с тем, что появление детей полагалось возможным у женщины только в браке, поскольку только это гарантировало нормальное, полноценное их воспитание – одинокая незамужняя женщина обеспечить ребенку такого воспитания не могла, автоматически обрекая его на жизненные тяготы. Нормальный брак, кроме того, обязательно предполагал рождение нескольких детей. Очевидно, что роль так называемой расширенной семьи была очень весомой. Жили большими семьями из нескольких поколений.
Многие браки заключались по сговору родителей, по расчету. Любовь как основа брачного союза стала культурной нормой – наряду с до сих пор существующей идеей брака по расчету, не только финансовому, но и психологическому – лишь в начале XX в. Сексуальная совместимость не считалась, а в обществах, сохраняющих традиционалистский уклад, до сих пор не считается обязательной для брака, по крайней мере, для женщин. Таким образом, брак должен был быть основан на «духовной близости и родстве душ» (что на деле означало готовность обоих разделять общепринятые правила жизни), а плотская связь была необходима лишь для создания потомства.
Такому укладу соответствовало мироощущение людей, в котором эти законы понимались как общечеловеческие, объективные, «богом данные и природой обусловленные», а все отклонения от них рассматривались либо как злонамеренность, либо как аномалия (социальная, психическая и прочая). При всех ограничениях, ими накладываемых, «в обмен» они предлагали ясность поведенческого сценария брачной жизни и правил поведения.
* * *
Традиционная семья в Европе уже с расцветом индустриальной эпохи в XIX в. начала претерпевать определенные изменения, которые к началу XX в. нарастали все быстрее. Эпоха, приведшая в своей кульминации к модернистской идее последовательного научного изучения и изменения на этой рациональной основе не только природы, но и социальной жизни (К. Маркс), психики (З. Фрейд) и т. п., не могла не повлиять и на патриархальный уклад семьи. При этом те страны, в которых индустриализация и другие модернистские преобразования прошли позже и в ускоренном темпе (например, Россия, Турция, Япония), претерпевали эти изменения, очевидно, иным («кентаврическим») способом, нежели Европа, – в существенной степени сохраняя традиционную семью и в то же время приобретая черты некоторых, иногда очень явных (как в России в 1920-е годы) ее революционных изменений[1].
* * *
Время от начала и до середины XX в. было отмечено рядом социальных процессов, которые активно расшатывали традиционный брак. Часть этих тенденций и порожденных ими явлений нашло свое дальнейшее развитие в интересующую нас эпоху постмодернизма.
Такими «точками перелома» выступили:
• Эмансипация женщин. Женщины постепенно, но неуклонно добивались возможности получения образования, а затем и профессии; повысился личностный статус женщины – за ними было закреплено избирательное право (хотя здесь имеется большой разброс исторических дат в разных странах). Начался процесс смены соотношения «сил и функций» в традиционном браке, его привычный уклад оказался под угрозой.
• Все большее осознание роли сексуальных отношений и возрастающий интерес к ним. Эмансипация женщин, развитие и популяризация психоаналитической теории З. Фрейда, другие упоминаемые ниже факторы, с одной стороны, отражали, а с другой – способствовали нарастающим изменениям. Эти изменения пугали и на уровне общественной идеологии часто принимались в штыки. Например, повесть «Крейцерова соната» (1889), выступая, казалось бы, воплощением христианских исканий Л. Н. Толстого, выражающая ужас перед необузданностью «животных» проявлений человека и развивающая идею о необходимости ограждать женщин от секса потому, что у них есть нормальный нравственный протест против «животного», была запрещена в России. Переводы ее также запрещались и в Америке, поскольку рассматривались как открытое обсуждение запретной для «приличного общества» темы. Общество реагировало именно на этот аспект повести. Лежащая на поверхности идея Толстого о том, что хороший брак не должен основываться на сексуальных отношениях, впечатления не произвела, потому что в обществе она была принята давно.
В 1928 г. в Англии выходит также очень «влиятельное» произведение «Любовник леди Чаттерлей» Дэвида Лоуренса. В нем высказывается прямо противоположная идея – хорошая сексуальная жизнь исключительно важна для женщины, из такого опыта может вырасти не только любовь, но и брак – на основе гармонии телесного и духовного, несмотря на очевидный мезальянс главных героев – аристократки и простолюдина.
• Противозачаточные средства более или менее современного типа появились с середины XIX в., их промышленное производство – с начала XX в., но до известного времени речь шла только о презервативах (заметим, что их появление вызвало разную реакции церквей – протестантская церковь признала возможность их употребления, католическая и православная – нет). Тоталитарные режимы, как правило, противозачаточные средства запрещали. Первые оральные контрацептивы, т. е. средства, которые могла использовать уже сама женщина по своему усмотрению, были изобретены к середине 1960-х годов. Это совпадает со временем так называемой «сексуальной революции», которая многими рассматривается уже как яркое проявление эпохи постмодернизма[2]. Распространение противозачаточных средств привело к тому, что секс стал практически свободным от риска появления детей, и, соответственно, от брака. Страх беременности не мешал более сексуальному наслаждению. Кроме того, противозачаточные средства дали возможность супругам произвольно регулировать и планировать появление детей без отказа от секса. Наступала эпоха осознания значения и качества сексуальных отношений, широкого исследования сексуальности.
• Легитимизация развода. Практически все страны еще с начала XX в. прошли этот процесс, хотя он шел очень неравномерно (в католических странах – например, в Италии и Испании развод был узаконен только в 1970-е годы, в то время как Англия узаконила его еще в Новое время (1670!). При этом надо учитывать, что официальное признание возможности развода не равноценно его «легитимности» в общественном сознании. Но, так или иначе, все более последовательно закреплялась идея, что брак необязательно должен быть один, что можно и не состоять в браке, особенно если человек уже состоял в нем; соответственно, браков-союзов может быть за жизнь несколько, есть возможность прекращать отношения, если они не устраивают, стремиться улучшить их и т. п.
• Урбанизация — постепенная нарастающая миграция людей в крупные города, особенно выраженная с начала XX в., – создала необходимость соответствовать требованиям жизни в крупном городе[3]. Для жизни в городе ядерная семья (т. е. только пара родителей и их дети) подходит больше, чем многопоколенная. Снизилась роль патриархальных традиций в поддержании жизни семьи. Ослабло влияние расширенной семьи на ядерную, уменьшились возможности использовать старшее поколение для помощи по хозяйству и уходу за детьми. Постепенно стал формироваться общественный институт «платной помощи» супругам – по воспитанию детей, ведению домашнего хозяйства и пр. Изменилась роль женщины в семье – она стала работать, развиваться профессионально.
Есть показатели высокой статистической связи урбанизации с уменьшением рождаемости, что противоречит широко распространенному мнению о влиянии на падение рождаемости в первую очередь контрацептивов. Здесь при более подробном анализе обнаруживаются неоднозначные тенденции, прежде всего, так называемые «культурные различия» урбанизации[4].
• Постоянный, начиная с конца XIX – начала XX в., прогресс медицины привел к постепенному увеличению продолжительности жизни и к увеличению сроков фертильности. Увеличение сроков жизни привело также к тому, что люди, вырастив детей, остаются один на один друг с другом и снова должны развивать свои супружеские отношения. Поэтому вопросы обретения нового содержания, «смыслового наполнения» супружеских отношений стали очень актуальными. Кроме того, супруги все чаще, после того как дети покидали дом, оставались еще достаточно бодрыми и энергичными и постепенно получили возможность вести активный образ жизни, путешествовать, осваивать новые профессии и умения даже после выхода на пенсию, в том числе расширять и изменять круг своего социального общения. Зрелые годы перестали также быть помехой для развода и создания нового брака.
Итак, семья эпохи модернизма уже к середине XX в. перестала быть «расширенной», а все чаще становилась «нуклеарной» (ядерной), с уменьшившимся, по сравнению с традиционной патриархальной семьей, количеством детей. Разные поколения все реже жили вместе. Ядерная семья была более мобильной, меньше связанной с «родовым гнездом» и утратила ряд «сакральных» черт традиционной семьи, например, прерогативу сексуальной жизни, а также единственного союза «на всю жизнь».
Все описанные выше изменения сопровождались характерными общественными настроениями: люди верили в прогресс, радовались революционным преобразованиям во всех сферах жизни, не одобряли косности, осуждали ретроградов. С другой стороны, все это сопровождалось ностальгией по доброму старому времени и патриархальному укладу. Классическая системная семейная терапия возникла как раз в это время.
* * *
Расцвет постмодернизма пришелся на 60–70-е годы XX в. В это время стали меняться жизненные правила и представления о них. Мы видим, что, например, супружеские функции в семье не просто не разделены столь жестко как раньше, а принципиально не фиксируемы, подвижны; женщины не просто равноправны с мужчинами – гендеры буквально могут обмениваться своими функциями и обязанностями; половая жизнь до брака – на фоне неуклонно возрастающего числа незарегистрированных союзов – стала «само собой разумеющейся», и даже не развод, а именно «нерегистрируемый свободный союз» становится главным ответом на современные проблемы отношений.
Ключевой для постмодернизма выступает идея «относительности» всякого описания объективного мира, понимание любого утверждения о мире (в том числе и научного его описания) не как приближающегося ко все более «истинному воспроизведению объективного» (структуралистская логика), а как являющегося лишь «социально сконструированным» (постструктуралистская, или нон-структуралистская логика) и, соответственно, идея «полицентризма», принципиального эклектизма. Философским основанием постмодернизма выступают труды Ж.-Ф. Лиотара, Ж. Деррида, Ж. Бодрийара, М. Фуко и многих других (см. об этом, например: Ильин, 1996, 1998; Костикова, 1996). Постмодернизм критически настроен к идее каких бы то ни было «нормативных» ценностей. Ведь произошедшее в эпоху модернизма «накопление» концепций, теорий открыло факт их «относительности», множественности. Однако в конечном счете можно утверждать, что постмодернизм принес тем самым и новые ценности. Так, во главу угла оказались поставлены уникальность, специфичность, неуниверсальность, множественность, гибкость… Постмодернизм – это еще и предельное воплощение ценности индивидуального, уникального, превосходящего общественное, «абстрактный» общественный интерес со всеми вытекающими отсюда последствиями.
Возникновение эпохи постмодернизма связывается с «реакцией» на модернизм:
• в первую очередь с восприятием закончившихся крахом и сопровождавшихся большим количеством жертв социальных преобразовательных проектов (Октябрьский переворот в России 1917 г., фашистская Германия 1933–1945 гг., Муссолини в Италии, Франко в Испании, Мао Цзедун в Китае);
• с развитием уже не «неклассической», а так называемой, «постнеклассической» науки, т. е. признанием зависимости измерения не только от средств, но и от целей измерения[5];
• с «переизбытком» накопленных способов описания, понимания мира в разных областях человеческой культуры – в философии, науке, архитектуре, живописи, социальных науках, в том числе и психотерапии; с преодолением излишнего «интеллектуализма» и оторванности концепций, описывающих мир, от мировоззрения и миропонимания «широких слоев» населения, с демократизацией;
• с концом индустриального общества и возникновением информационного общества массовой культуры, с массовым распространением творческого интеллектуального труда; постоянным возрастанием объема сферы услуг в экономике;
• с символическим концом западного господства в мире и процессом освобождения колоний, активно проходившим в 1940–1950-е гг., с выходом других этносов, культур на мировую сцену, где раньше «господствовал белый европеец»;
• с новым витком феминизма, отказом от жесткого увязывания норм и правил поведения с полом, а также с легитимизацией гомосексуальности и других нетрадиционных сексуальных ориентаций;
Эпохе постмодернизма соответствует и определенное мироощущение современного человека, сказывающееся, в том числе и в «брачных отношениях»:
1. Принципиальная неопределенность, множественность в отличие от четкости и однозначности. Постмодернизм в известном смысле поставил под сомнение стандарты, которые полагались в европейской культуре «само собой разумеющимися», указав на их культурную, социальную обусловленность и тем самым относительность, а не «абсолютность». Он «признал» этническое и половое равенство людей, «множественность» возможных культурных моделей социальных институтов, в том числе и брака. В этом смысле идея особой ценности «долгого верного брака», отношений «на всю жизнь» идеологически оказалась под сомнением так же, как и всякая другая «предписываемая» норма. Каким образом человек, живущий в культуре постмодернизма, может понять, хорош его брак или плох? Само по себе пребывание в браке более не видится как однозначно хорошее и правильное. Человек стал ориентироваться на чувства и ощущения: «если мне хорошо в этом союзе, значит мой союз правильный». А что делать, если стало плохо? Искать того, с кем будет хорошо? Жить одному? Терпеть плохое самочувствие? Возможно отсюда – рост количества гражданских браков, избегание «окончательности» брачных связей. Люди оставляют за собой возможность расстаться. Многие женятся, чтобы выращивать детей, и таким образом уходят от субъективности и неопределенности брачного союза.
Вместе с тем это нельзя рассматривать как явное «утверждение» каких-то других, «негативных» стандартов взамен привычных, что также противоречило бы идее неопределенности, столь характерной для постмодернизма. Это скорее ситуация осознания того, что «история», которая создается в браке, выбирается каждой парой не по единому образцу – их много. Люди выбирают собственные сценарии или истории жизни со всеми вытекающими отсюда проблемами и возможностями.
2. Ирония и игра вместо пафоса. Ирония, юмор и игра стали ассоциироваться исключительно с человеческими свойствами. Смех – видотипическое свойство человека, и появилось даже выражение – «звериная серьезность»… Стала осознаваться невозможность для современного человека наивной серьезности в проявлении любовных отношений (об этом писал, например, Умберто Эко в «Заметках на полях „Имени розы“»). Ирония, направленная на брачные отношения, снизила их пафосность, придала некую профанность и супружескому сексу. Так, секс более не выступает ни исключительно вредным и убийственным, ни полезным и одухотворяющим, как это представлялось в эпоху модерна. Он во многом становится игрой, развлечением и приключением. Он может связывать, но может и не связывать людей никакими специальными узами, когда он – просто удовольствие, «ничего личного». Это, возможно, не отменяет сакрального, глубоко эмоционального отношения к сексу, но часто предполагает сочетание его с шуткой. Прекрасные описания такого секса можно прочесть у Генри Миллера, Чарльза Буковски.
3. «Текучесть», изменяемость. Взаимозаменяемость. Известный социолог Зигмунт Бауман ввел понятие «текучая, или жидкая современность»[6], описывая последствия, которые привнесли в нашу жизнь компьютеризация, «гаджетизация». Люди стали подбирать себе партнеров на разовый секс, для коротких путешествий, для похода в театр, для брака по Интернету. Они стали друг для друга, казалось бы, легко заменимыми. Не обязательно со всеми знакомыми «строить отношения», в большом количестве случаев достаточно просто удалить контакт, если он стал чем-то неудобен или неприятен. Можно быстро найти себе другого партнера по общению. Общение становится фрагментарным, мы как бы общаемся не с человеком, а с его «функцией». Поэтому легче возникают повторные браки, «визитные» браки, бинуклеарные семьи. Интернет создал возможность обезличенного общения. Можно глубоко и искренно общаться в Интернете и не знать ни настоящего имени, ни возраста и пола партнера по общению. Люди могут годами играть в сложную онлайн-игру и не видеть друг друга, хотя эмоциональный опыт совместного переживания у них может быть очень интенсивным. Виртуальный секс устроен примерно так же. Не нужно ничего объяснять. Задача выстраивать отношения, трудиться над ними, стараться приспосабливаться к близкому человеку в быту кажется далеко не такой очевидной. Отчасти поэтому люди легко расстаются друг с другом, по крайней мере – в виртуальном пространстве, хотя это мироощущение может перетекать и в отношения «в реале». Не подошел один носитель нужных функций – найдется другой. В этом контексте формула любви С. Л. Рубинштейна как утверждения неповторимого своеобразия другого человека, кажется, утрачивает свой смысл…
С другой стороны, у людей, в особенности в юношеский период их жизни, появилась возможность игрового «опробования» отношений там, где может быть много трудностей, неловкости, неумения. В этом смысле Интернет стал мощным источником новых средств для преодоления одиночества, ограниченных физических возможностей, временных периодов изоляции и пр., что может быть актуально для всех возрастов.
4. Универсальный гуманизм. «Чем больше я узнаю людей, тем больше люблю собак», – сказал Шопенгауэр, и сегодня многие с ним согласны. Люди перестали утилитарно относиться к животным, пытаются спасти исчезающие виды, зоопарки заменяются сафари-парками, возникли домашние питомцы, т. е. животныекомпаньоны. Рост целой индустрии для них – корма, аксессуары, парикмахерские и ветеринары – впечатляет. Например, по данным American Pet Products Association, в 2001 г. на визиты американцев к ветеринарному врачу с кошками и собаками было потрачено 18,2 миллиона долларов. За последние 10 лет количество домашних питомцев в США удвоилось. Эта тенденция совпала с появлением так называемого универсального гуманизма как одного из признаков постмодернизма. Раньше моральным считалось благополучие человека на земле даже ценой жизни других ее обитателей. Животный и растительный мир никто не берег, множество видов было истреблено, и это никого не расстраивало. Гуманизм был антропоцентричным. В нашу эпоху моральным стало оберегать природу, сохранять виды растений и животных и иметь домашних питомцев. Это привело и к обретению животными новой роли, функции в сфере эмоциональных, ранее сугубо «человеческих», отношений со всеми плюсами и минусами, отсюда вытекающими. Домашние питомцы становятся такими же членами семьи, как и люди. Они могут выполнять те же эмоциональные функции. Стали возникать семьи, состоящие из одного человека и одного животного.
Итак, в области семейных отношений постмодернизм проявляется прежде всего в том, что жизнь семьи все меньше регулируется «готовыми» общественными нормами – традиционными или когда-то революционными – модернистскими. Все перечисленное повлияло на современный брак и превратило его в весьма специфическое для традиционного взгляда на него образование – с новыми сложностями и, возможно, преимуществами:
1. Мы видим удлиненный период добрачных отношений, который далеко не всегда заканчивается «законным браком». Виртуальное общение, возможность смены партнеров, добрачные сексуальные отношения нарушают традиционный сценарий ухаживания, «неминуемо ведущего к браку», и позволяют людям лучше сформировать свои сексуальные, бытовые, смысловые вкусы и предпочтения. Брак более не заключается и для того, чтобы «отрегулировать половой вопрос» (Ильф, Петров, 1961). Удачный секс – еще не повод для знакомства и уж тем более для брака. Они необходимы, но недостаточны. Еще нужно особое качество человеческих отношений – их эмоциональная, интеллектуальная и – нередко – духовная составляющие.
2. Наблюдается отказ от традиционного распределения половых ролей в супружестве, возник бикарьерный брак (движение к которому в действительности началось с процесса женской эмансипации в начале XX в.). Сегодня женщины часто зарабатывают не меньше мужчин; возрастает число браков, где и муж, и жена работают и оба ориентированы на достижение собственной самостоятельной и независимой друг от друга карьеры. Хорошо, когда идею партнерских отношений сознательно разделяют оба. Однако, при сохранении ориентации и на традиционные стандарты в этой новой ситуации, дело выглядит так, будто мужчины все больше теряют власть и контроль в отношениях. Иерархия в браке тогда становится неустойчивой – то муж «на вершине», то жена. Положение на вершине иерархии всегда казалось предпочтительным, поэтому в современном браке часто идет борьба за власть и контроль. Женщине при этом приходится совмещать материнство и карьеру, отчего у нее возникает внутренний конфликт, так как и то и другое она часто ценит одинаково высоко. Тогда в бикарьерной семье у женщин возникает много обид на мужа, который менее загружен дома, имеет возможность отдыхать, в то время как женщина занимается детьми и хозяйством.
С другой стороны, бикарьерный брак означает равные финансовые возможности обоих, а с этим связана финансовая независимость друг от друга, выводящая на первый план эмоциональную, психологическую зависимости, бывшие как бы «закамуфлированными» в прежнем, традиционном браке.
3. Вынесенность «вовне» традиционных хозяйственных функций, выполнявшихся в семье. Этот процесс идет с начала XX в., с нарастанием технического прогресса вообще, но сегодня для крупных мегаполисов можно констатировать практически полный «аутсорсинг» традиционных семейных функций – широкое и повсеместное использование мест общественного питания (сколько раз в неделю жители крупных мегаполисов с достаточно высоким достатком ужинают дома?), пунктов чистки одежды и прачечных, привлечение технических работников к помощи по уборке дома, по сути – возможность перераспределения и передачи «вовне» всей технической составляющей жизни семьи. Растет техническая оснащенность домов, квартир – компьютер, разнообразные сложные бытовые приборы, «умные дома» и пр.
Кроме того, если женщина активно работает, то в дом приходит няня. Из-за этого размываются границы семьи. Няня – одновременно и член семьи, и не член семьи, поскольку является им для детей и не является – для родителей.
Свободное время часто протекает не на семейной территории – кинотеатры, театры, бары, рестораны, встречи с друзьями вне дома, возрастающие количество и частота путешествий.
Все это, с одной стороны, размывает границы семьи, делает их очень проницаемыми и невыраженными, а с другой – освобождает брачные отношения от хозяйственных забот, часто подменявших, затемнявших собой другие отношения.
Но заметим, что все это предполагает согласованное управление и совместный «менеджеринг» домашней среды, что можно рассматривать и как укрепление – на новой почве – супружеской совместности. Но как бы то ни было, брак лишился главного прагматичного смысла – хозяйственных функций, по крайней мере в их привычном виде, что вносит свой вклад в необходимость сегодня для каждой супружеской пары создавать свои смыслы брачных отношений.
4. Возрастание роли эмоционально-личностных и смысловых, ценностных факторов в супружеских отношениях. Все указанное выше ведет к возрастанию роли эмоционально-личностного фактора, фактора совместной смысловой общности в супружеских отношениях, поскольку утрачивается влияние «общественно одобряемых» стандартов брака, все меньше влияние «жизненных необходимостей», связывающих людей вместе. Практически единственной функцией супружеских отношений становится эмоциональный, смысловой обмен в паре. Поэтому брак становится все более хрупким и трудным. Сексуальные отношения в паре могут получать особый статус в ситуации отсутствия многих привычных «уз». Выше мы показали, что секс как явление «вообще» как бы «освобождается от отношений», становится во многом игровым, в браке же он неминуемо включен в отношения. Поэтому он также может оказываться очень хрупким. Супруги ожидают, что секса будет много, что он будет приятно разнообразным, лучше непрерывным. В идеале в такой паре партнеры должны все время «хотеть друг друга». Если ситуация не такова, то растет тревога. Зачастую супруги начинают считать, что ослабление влечения друг к другу – это признак снижения качества отношений, «болезнь брака». Тогда выдерживать естественные колебания сексуального влечения, связанные с беременностью, кормлением грудью, стрессом на работе, болезнями, становится трудно. Секс сегодня – при условии переноса главного акцента в паре на него – одна из самых тревожных и незащищенных зон супружеской жизни.
С другой стороны, освобождение от «классических» стандартов и норм оставляет место для поиска новых, подходящих конкретной паре форм эмоциональной, смысловой близости, ценностных совпадений, в том числе и «интимных». Удлинение срока жизни, возможность образования новых отношений в зрелые годы также ставят вопросы нахождения новых эмоциональных и смысловых оснований брака в этих условиях.
5. Брак движется к многообразию вариантов союзов. Все больше стран легализуют гомосексуальный брак, возникают также бисексуальные союзы. Например, брак Гарольда Никольсона и Виты Сэквил стал сюжетом книги «Vita and Harold: The Letters of Vita Sackville-West and Harold Nicolson, 1910–62». Письма супругов подготовил к изданию их сын. Таким образом, факт публикации есть своего рода нормализация отношения общества к такому супружеству[7].
Дальнейшее развитие медицины – ЭКО, суррогатное материнство, донорство спермы, продление фертильного возраста женщины – привело к появлению новых форм родительства – одиночного (женского, например), совместного, но изначально не предполагающего супружеских отношений между партнерами, а также супружества и родительства однополых партнеров. Например, в американском фильме 2010 г. «Дети в порядке» («The Kids are all right») показана ситуация воспитания двумя женщинами двух детей, биологической матерью которых является одна из них. При этом дети родились благодаря донорству мужчины, который в какой-то момент решает начать общение со своими биологическими детьми. Фильм наглядно демонстрирует, с какими новыми задачами и проблемами может столкнуться такая нетрадиционная семья.
Распространенным явлением становятся также бинуклеарные (двуядерные) семьи. Супруги воспитывают детей от своих предыдущих браков и могут не иметь общих детей. Супружество и родительство оказываются все дальше друг от друга. Они могут осуществляться на разных территориях, если дети и кто-то из родителей живут отдельно. В одном месте человек – супруг, а в другом он – родитель.
6. Наконец, в связи упомянутым выше явлением «универсального гуманизма» домашние питомцы становятся полноценными членами семьи. Они выполняют в семейной системе те же функции, что и люди: участвуют в гомеостатической регуляции и в развитии динамики семейной жизни (Варга, Федорович, 2010). Стали возникать семьи, где животные являются функциональными «детьми» супругов, а человеческие «детеныши» в ней не появляются. Есть семьи, которые состоят из человека и животного, и обычный брак в ней также не возникает.
* * *
Что же дальше? Ситуация сегодня выглядит так, будто брак – по крайней мере в традиционном своем понимании – перестает быть однозначно наиболее предпочитаемым образом жизни людей. Возможно, мы в скором времени столкнемся с множеством вариантов союзов, границы которых будут размытыми и проницаемыми. Кроме того, возможно возрастание количества так называемых «визитных» браков, когда люди соединяются лишь на время, например, на выходные дни, а также количества людей, которые решат не вступать в брак и не создавать семьи вообще. Люди не могут не сталкиваться с задачей создания устраивающих их отношений. Уже сегодня, например, терапевтическая работа с ситуацией развода показывает, что все чаще поводом к разводу становится не просто измена, появление нового партнера или бытовые несогласия, а поиск более устраивающего личностного, эмоционального взаимодействия. Это один из существенных мотивов развода сегодня, когда партнер перестал быть интересен, когда контакт не устраивает, недостаточно насыщен, недостаточно «теплый» и пр. Таким образом, супружество все больше становится «линией» постоянного напряжения и смыслового поиска. Однако решать эту задачу, как мы показали выше, приходится в условиях, когда привычные стандарты и нормы совсем не так очевидны, как раньше, и не выступают больше «само собой разумеющимися». Если они и становятся опорами и ориентирами, то в силу… собственного сознательного выбора людей. А это психологически – уже иная ситуация. В этом случае, когда выбирается брак (в форме зарегистрированного или свободного союза), возможно, мы все чаще будем сталкиваться с «сознательным отправлением» семейных функций, раньше выступавших необходимыми условиями выживания людей в семье. Например, традиционные семейные, хозяйственные занятия возрождаются сегодня уже в «новом качестве» – не в виде тяжелых или рутинных бытовых обязанностей, а в виде сознательно и тщательно культивируемых. Так, увлечение натуральными продуктами, их поиском и выращиванием (например, компьютерно-управляемая жителем мегаполиса грядка с овощами и травами), готовка по любовно собираемым рецептам, увлечение рукоделием, ведением дачного хозяйства без прежней необходимости, диктовавшейся простым недостатком продуктов – во всем этом можно увидеть признаки «сознательного» возврата на новом уровне к традиционным ценностям.
Наподобие того, как фитнес выступает произвольно выбираемой физической нагрузкой в ситуации «объективной освобожденности от нее», сознательное поддержание семейных ритуалов – совместных ужинов, приемов гостей дома, приготовления пищи (возрастание популярности кулинарных школ является самым ярким подтверждением того, что готовка больше не является жизненно необходимым процессом – фактически городская семья вполне может выжить бы и без нее) – становится «искусственным», т. е. сознательным ответом людей на отсутствие «витальной» необходимости брачных отношений. Растет во многих странах и «произвольно регулируемая» рождаемость.
Таким образом, перспективой семейных отношений является, видимо, не столько их буквальное исчезновение, сколько ситуация большой вариативности их сценариев и, возможно, в большей степени их сознательное регулирование и выстраивание каждой парой для себя.
Что все это означает для семейной терапии сегодня? Очевидно, семейные терапевты оказались перед необходимостью быть прежде всего более толерантными к возможному многообразию вариантов жизни супружеской пары. Терапевт в этой логике в меньшей степени может позволить себе выступать «экспертом», настаивающим на своем представлении о «правильном устройстве» супружеской жизни, хотя иногда растерянность людей перед ощущаемой ими новой ситуацией и толкает его к этому. В этом смысле представления о функциональности становятся лишь одним из вариантов возможных ориентиров для клиентов.
Жесткая нормативность взглядов терапевта не может больше быть эффективной сегодня. Даже если терапевт имеет некоторые экспертные представления о том, как должна быть организована супружеская жизнь, он уже не может проводить их в жизнь с помощью жестких авторитарных предписаний. Классические способы прямых предписаний меняются. Так, например, в качестве средства эмоционального сближения супругов хорошо «работают» предписания игр (карточных, настольных), вместо парадоксального предписания конфликтов эффективнее предписывать игру в угадывание, сколько конфликтов создаст партнер. Прекрасно работает предписание завести домашнего питомца в качестве эмоционального посредника.
Перед терапевтами стоит также задача рефлексировать степень влияния на его профессиональную позицию разнообразных социальных установок, норм, а не только собственной жизненной ситуации (что было достаточным условием профессиональной готовности ранее). Эта тенденция наблюдается, например, в появлении в последние десятилетия «чувствительной к культурным отличиям» терапии (cм., например: Ariel, 1999), поставившей под сомнение универсальность представлений о «функциональности» классической системной терапии.
Отрефлексированная нейтральная позиция предполагает сегодня создание условий для свободного исследования клиентами связи их действий, представлений, способов поведения в супружестве с тем или иным культурным дискурсом, нормами; возможности их «встречи» с разными, многообразными дискурсами, часто «репрессированными», существующими в культуре и в пространстве их личного текста; «децентрации» оппозиций в их представлениях и смысловых ориентирах, признания «многоцентричности» последних; для самостоятельного нахождения клиентами ресурсов и конструирования подходящих им «решений» и собственной, уникальной истории супружеской жизни, взаимоотношений. Все это закономерным образом нашло отражение в методологии появившихся в конце XX в. так называемых постмодернистских психотерапевтических направлений.
P. S. Пока мы писали этот текст, мы задумывались о том, что множество культурных и политических процессов, происходящих вокруг нас сегодня, выглядят как возможное начало уже какой-то иной, пост– или антипостмодернистской эпохи (например, национальная антилиберализация в Европе, которую при стремлении увидеть позитивное можно трактовать и как разворот в сторону сохранения и поддержания национальной самобытности, в противовес безоглядной «политкорректности» и глобализации; явно ощущаемая усталость от стилистики постмодернизма в искусстве – в архитектуре это давно «не модно», возвращается интерес к «большим мастерам» эпохи модернизма; кино, похоже, устало от флагмана постмодернизма Квентина Тарантино и его последователей, несмотря на всю их блистательность, и выдвинуло на первый план «новых титанов» типа Терренса Малика; в литературе молодые авторы все чаще заявляют о начале новой «героической эпохи»). Культурные тенденции, как правило, опережают всякие другие процессы и, наверное, они не так скоро, даже если они и сформировались, скажутся на такой области жизни, как психотерапия…
С другой стороны, постмодернизм – это определенное следствие решения сложных методологических проблем, пока не нашедших другого решения, и найти его, перешагнув через «состояние постмодернизма», совсем не просто. Кроме того, как мы старались показать, такая смена, произойди она, поставит под сомнения многие завоевания «терпимости», «плюрализма», столь органичные для сферы психологической помощи. Но, как бы то ни было, вопрос очевиден – что дальше?
Советское общество характеризовалось в этом отношении известным своеобразием – с одной стороны, в нем присутствовала чувствительность ко всем переменам, произошедшим в начале XX в., с другой – ханжество и консерватизм, возобладавшие уже в 1930-е годы. Перемены – эмансипация женщин (сначала так вообще свободная любовь – «совершить сексуальный акт просто, как выпить стакан воды»), возобладание идеи, что женщина должна работать, легитимизация разводов, «аутсорсинг» многих семейных функций, который был поставлен на поток: ясли, детские сады, пионерлагеря, общественные кухни, «комбинаты готового питания» – были очевидны… Однако очень скоро многое изменилось: надо было состоять в браке, чтобы выехать за границу; на неверного мужа можно было донести в партком; развод мог разрушить карьеру. Женщина, как правило, работала, при этом все домашние обязанности лежали на ней и были очень трудоемкими в условиях тотального дефицита.
Вернуться
См., например: А. Арутюнян. Стеклянный занавес Америки. Новый мир. 2003. № 6.
Вернуться
В России и в этом аспекте также наблюдалось «кентаврическое» совмещение урбанизации с сохранением признаков патриархального способа жизни. См., например: Особенности урбанизации в России. URL: http://www.vselektsii.ru/index.php/Osobennosti-urbanizacii-v-Rossii. html.
Вернуться
См., например: В. Фурфлет. Влияние урбанизации на естественное воспроизводство населения. URL: http://furlet.ru/includes/blog/mobilnosti-dalnost-migratsionnykh-poezdok/vliyanie-urbanizatsii-na-estestvennoevosproizvodstvo-naseleniya.
Вернуться
См., например: В. С. Степин. Саморазвивающиеся системы и постнеклассическая рациональность. URL: http://filosof.historic.ru/books/ item/f00/s00/z0 000 249/index.shtml.
Вернуться
З. Бауман. Текучая модерность: взгляд из 2011 года. URL: http://www. polit.ru/article/2011/05/06/bauman.
Вернуться
«Представьте себе, что вы сидите перед камином со своим мужем и отцом ваших двух сыновей и жалуетесь ему на свои любовные отношения с другими женщинами. Представьте себе, что вы утешаете своего мужа после того, как его не выбрали в парламент, и это происходит через пару дней после того, как вы дали ему несколько прекрасных советов как наладить отношения с любовником. Представьте себе мужа, который дал полную свободу жене жить так, как ей заблагорассудится. Представьте себе этих двух людей, которые прожили вместе всю жизнь в любви и согласии и создали один из самых прекрасных и знаменитых садов в мире…» (Vita and Harold: The Letters of Vita Sackville-West and Harold Nicolson, 1910–62. London: Weidenfeld & Nicolson, 1992).
Вернуться
Литература
Ariel Sh. Culturally Competent Family Therapy: A General Model. Westport, Ct: Greenwood/Praeger, 1999.
Vita and Harold: The Letters of Vita Sackville-West and Harold Nicolson, 1910–62. London: Weidenfeld & Nicolson, 1992.
Варга А. Я., Федорович Е. Ю. Домашний питомец в семейной системе. Вопросы психологии. 2010, № 1. С. 56–66.
Ильин И.П. Постструктурализм. Деконструктивизм. Постмодернизм. М.: Интрада, 1996.
Ильин И. П. Постмодернизм от истоков до конца столетия: эволюция научного мифа. М.: Интрада, 1998.
Ильф И., Петров Е. Под куполом цирка. Собр. соч. В 5 т. М.: Художественная литература, 1961.
Костикова А.А. «Новая философия» во Франции: постмодернистская перспектива развития новейшей философии. М.: Изд-во Моск. ун-та, 1996.
Применение структурной терапии в работе с супружеской парой
И. Ю. Хамитова
Основанная аргентинским психотерапевтом Сальвадором Минухиным структурная семейная терапия, по сути, является нормативной моделью функциональной семьи, в которой постулируются следующие положения: в семьях должны соблюдаться четкие границы между поколениями, сферы компетенции должны быть распределены иерархически, внутренняя структура должна гибко приспосабливаться к собственному циклу развития и к внешнему окружению. Если семья отклоняется от этой нормы, то ее функционирование разлаживается вследствие каких-либо перемен внешних условий, что выражается в нарушениях, принимающих форму симптомов. Перед терапевтом стоит задача распознать эти нарушения и устранить их путем коррективных вмешательств в семейную структуру.
Основные понятия
Рассмотрим поподробнее понятия, используемые для описания структурных особенностей систем. Все эти параметры используются для объяснения особенностей функционирования семьи, и все они в той или иной степени используются при разработке стратегии и тактики психотерапевтической работы с семьями, а также определяют способы анализа полученной информации.
Структурные семейные терапевты, наблюдая взаимодействие членов семьи, делают вывод о гипотетической структуре семьи. Целью терапии является скорее помощь в переструктурировании дисфункциональной семейной организации, чем устранение симптомов. Предполагается, что изменение семейной структуры повлечет за собой редукцию проблем.
Анализируя структуру конкретной семьи, необходимо исследовать состав семьи; остановиться поочередно на разных уровнях системы (вся семья в целом, подсистема родителей, детская подсистема, индивидуальные подсистемы); описать структуру семьи с точки зрения ее основных параметров (сплоченность, иерархия, гибкость, внешние и внутренние границы, ролевая структура семьи); оценить характер структурных проблем (межпоколенные коалиции, реверсия иерархии, тип несбалансированности семейной структуры).
Границы системы
Системы имеют границы. Границы физических систем обычно определяются как края, то есть топологически. Границы психических и социальных систем, в отличие от границ физических, недоступны прямому наблюдению. Однако любая система может быть распознана только благодаря ее границе – тому, что ее граница разделяет, но также и связывает систему с окружающей средой. Поэтому границу следует рассматривать как преимущественно функциональный феномен, обладающий двойственной функцией: с одной стороны, она прерывает некие связи между компонентами системы и внешней средой, с другой – порождает определенные отношения между этими областями. Граница закрывает и открывает систему по отношению к ее среде. Система закрыта, когда нет обменов с внешней средой, система открыта, когда ее компоненты могут взаимодействовать с состояниями и процессами окружающего мира. Таким образом, граница регулирует структурные связи между системой и средой. Итак, граница системы обнаруживает себя как функция, состоящая одновременно в отделении системы от окружающего мира и в ее связывании с этим миром.
Границы определяют структуру семьи и, соответственно, содержание ее жизни. Проще говоря, границы системы или подсистемы представляют собой «правила, определяющие, кто и как участвует во взаимодействии» (Minuchin, 1974). Каждая семья вырабатывает свои собственные правила, а границы имеют неодинаковую гибкость и проницаемость. В целом все семьи можно было бы расположить на шкале, на одном полюсе которой были бы семьи с чересчур ригидными, негибкими границами, а на другом – семьи с чересчур проницаемыми границами. В промежутке расположились бы различные вариации оптимальных границ (рисунок 1).
Внешние границы – это границы между семьей и расширенной системой. Они проявляются в разнице правил, по которым члены семьи ведут себя друг с другом и с внешним окружением.
Например, насколько различается манера супругов общаться друг с другом и со своими друзьями. Если общение с друзьями для супругов более важно, нежели друг с другом, если в любое время дня и ночи в квартире живут друзья, и между ними и членами семьи не делается различий, то это свидетельствует о проницаемых, диффузных внешних границах семьи. Если же для членов семьи более всего на свете важна лояльность семейным правилам, если с друзьями отношения поддерживаются только в «плановом порядке», а хорошим тоном считается, если друзья заблаговременно предупредят о своем визите, то мы имеем дело с закрытыми внешними границами.
Дисфункциональными будут крайние варианты: когда границы или слишком жесткие, ригидные, или слишком размытые, проницаемые (Minuchin, 1974). Если внешние границы слишком ригидные, жесткие, то между семьей и окружением происходит мало обменов, наступает застой в системе и у семьи могут быть проблемы адаптации к новой ситуации. Если границы слишком слабые, то у членов семьи много связей с внешней средой и мало между собой. Члены семьи мало контактируют друг с другом. В этом случае семья становится похожа на постояльцев гостиницы, живущих вместе под одной крышей.
Внутренние границы – границы между различными подсистемами – определяются тем, насколько отличаются правила взаимодействия в этих подсистемах.
Например, супруги могут немедленно прекратить свой спор, когда в него вмешивается ребенок, и начать заниматься ребенком. Или они могут предложить ребенку не вмешиваться в их разговор. В первом случае мы имеем дело с проницаемыми границами супружеской подсистемы. Если внутренние границы между родительской и детской подсистемами слишком жесткие, то родители производят впечатление сконцентрированных только на себе или своих супружеских отношениях. Если границы слишком слабые, то родителям может не хватать интимности, они могут функционировать только в родительских ролях, теряя супружеские отношения (там же).
Рис. 1. Варианты семей с точки зрения системных границ
Рис. 2. Диффузные внешние и ригидные внутренние границы системы
Рис. 3. Ригидные внешние и проницаемые внутренние границы системы
Из теории систем следует, что если внешние границы системы диффузны и проницаемы, то внутренние границы жесткие и ригидные (рисунок 2). Для подобной семьи будет характерно: сосредоточение интересов членов семьи за ее пределами, отсутствие лояльности (или невысокая ее степень) семейным правилам, небольшое количество контактов членов семьи друг с другом и отсутствие близости между членами семьи. Семья представляет из себя группу автономных индивидов. Их автономия сочетается с отсутствием взаимной поддержки (там же).
Если внешние границы системы жесткие и ригидные, то внутренние границы диффузны и проницаемы (рисунок 3). В такой системе будет мало обменов с внешней средой. Сверхпроницаемость же внутренних границ будет выражаться в том, что члены семьи слишком «слиты», утратили собственную автономию и не отвечают за свои поступки (там же).
Итак, границы адекватно функционирующей семьи хорошо определены и достаточно гибки, чтобы семья могла успешно выполнять функции, соответствующие стадии жизненного цикла.
Подсистема
Семейную систему можно рассматривать как единое образование, совокупность взаимосвязанных элементов, составляющих единое целое, обладающее определенной структурой. Подсистема – составная часть системы, выполняющая в ее рамках относительно независимые функции (Браун, Кристенсен, 2001). В структурном отношении всякая нуклеарная семья включает в себя четыре основные группы подсистем:
1. Члены семьи как отдельные люди. Это индивидуальный холон (Минухин, Фишман, 1998). С. Минухин и Ч. Фишман предложили использовать термин «холон» (от гр. holos – целый и «one» в значении частичности) для обозначения пересекающихся, но разных функций в семье. В данной работе мы используем термин «холон» и «подсистема» как взаимозаменяемые.
2. Супружеская подсистема – подмножество семейной системы, правила поведения в котором определяются транзакциями типа супруг – супруг. Взаимодействие между двумя людьми, связанное с выполнением супружеских ролей, с проявлением чувств друг к другу, удовлетворением потребностей друг друга, есть содержание взаимодействия в этой подсистеме.
3. Сиблинговая подсистема – подмножество семейной системы, правила поведения в котором определяются транзакциями типа брат – сестра (брат – брат, сестра – сестра). Подсистема включает детей и описывает возможные паттерны взаимодействия между ними.
4. Родительская подсистема – подмножество семейной системы, правила поведения в котором определяются транзакциями типа родитель – ребенок. Родительская подсистема описывает взаимодействия людей, выполняющих родительские функции, т. е. воспитывающих детей. Эта подсистема может включать отца и мать, а также других значимых людей, вовлеченных в воспитание детей. (Браун, Кристенсен, 2001).
Интересно, что, несмотря на то, что состав супружеской и родительской подсистем одинаков, эти подсистемы кардинально отличаются друг от друга, ибо различаются их функции. Супружеская подсистема характеризуется тем, как диада муж и жена чувствуют себя как супруги, как удовлетворяют совместные потребности и ожидания. Родительская же подсистема характеризуется тем, как они же – отец и мать – функционируют как родители. Минухин описал некоторые черты семейных подсистем в своей книге «Семьи и семейная терапия» (Мinuchin, 1974). Семьи рождаются, когда двое людей объединяются, чтобы образовать супружескую подсистему. Двое любящих людей договариваются объединить свои жизни, будущее и ожидания; но требуется период сложного приспособления, чтобы они смогли закончить процесс ухаживания и создать функциональную супружескую подсистему. Они должны научиться аккомодироваться к потребностям друг друга и предпочтительным стилям интеракций. В нормальной паре каждый партнер что-то дает и что-то получает взамен. Он приучается выполнять ее желание получать поцелуй при встрече и прощании. Она приучается оставлять его в одиночестве за чтением газеты или утренним кофе. Выполнение этих маленьких соглашений, повторяющееся тысячи раз, может быть либо легким и безболезненным, либо же – результатом напряженной борьбы. В любом случае этот процесс аккомодации скрепляет пару в отдельную единицу.
Супружеская пара должна также развить комплементарные модели взаимной поддержки. Некоторые из них временные и позже могут быть полностью изменены – например, один работает, а другой заканчивает учебу.
Например, достичь комплементарности в паре вполне могут помочь традиционные стереотипы половых ролей. В этом случае женщине не придется самой открывать двери, зарабатывать деньги и выполнять всю тяжелую домашнюю работу; с другой стороны, возможно, ей придется ущемить собственный интеллект, пожертвовать своей независимостью и жить в тени мужа. Муж может взять на себя принятие всех решений, он не будет менять пеленки, и все его распоряжения будут выполняться. Однако такие «мужские» прерогативы могут привести к тому, что он не позволит себе плакать, никогда не испытает удовольствия от приготовления особенного блюда и не разделит с женой радость заботы о детях.
Развитие индивидуальности может уменьшить преувеличенно комплементарные роли; умеренная комплементарность позволяет парам разделять функции, поддерживать и обогащать друг друга. Когда один супруг плохо себя чувствует, ведение дел принимает на себя другой. Вседозволенность в отношении с детьми одного родителя может быть уравновешена строгостью другого. Страстное отношение одного супруга может помочь растопить ледяную сдержанность другого. Комплементарными мы также назовем следующие паттерны: преследующий – дистанцирующийся, активный – пассивный, доминирующий – подчиненный. Подобные паттерны можно наблюдать время от времени у большинства пар. Когда они преувеличены, то создают дисфункциональную супружескую или родительскую подсистему. Терапевты должны научиться поддерживать действенные структурные паттерны и отвергать неэффективные.
Подсистема супругов также должна иметь границу, которая отделяет ее от родителей, от детей и от внешнего мира. Слишком часто, когда рождаются дети, муж и жена отказываются от того пространства, которое им нужно для поддержки друг друга. Жесткая граница, существующая вокруг пары, лишает детей необходимой им поддержки. Однако в нашей сосредоточенной вокруг детей культуре граница, разделяющая родителей и детей, часто в лучшем случае является неопределенной. И тогда супругам не хватает интимности, им трудно выразить любовь и поддержку друг другу.
Рождение ребенка немедленно преобразует семейную структуру, поэтому необходимо разработать модель взаимоотношений между подсистемами родителей и ребенка, а затем видоизменять ее в соответствии с изменяющимися обстоятельствами. Четкая граница позволяет детям взаимодействовать с родителями, но не включает их в подсистему супругов. Родители и дети едят вместе, играют вместе, и большая часть их жизни проходит вместе. Но существуют некоторые супружеские функции, которые нет необходимости делить с детьми. Муж и жена остаются любящей парой и развиваются как родители, только если у них достаточно времени, чтобы быть вместе – разговаривать, иногда обедать в ресторане, получать совместные удовольствия, разделять интересы друг друга, ссориться и заниматься любовью. К несчастью, настоятельные требования маленьких детей часто приводят к тому, что родители упускают из виду потребность в сохранении границы вокруг своих взаимоотношений.
Наличие четкой границы не только обеспечивает супружеской паре определенную частную жизнь, но и образует иерархическую структуру, в которой родители проявляют свое положение лидеров. Слишком часто эта иерархия нарушается сосредоточением на ребенке, и это оказывает влияние как на психотерапевта, так и на самих родителей. В семье с перевернутой иерархией родители как бы меняются местами с ребенком, они склонны спорить с ним о том, кто в семье главный, и необоснованно передают ему часть ответственности за принятие родительских решений или же совсем уклоняются от нее. Предоставлять ребенку выбор одежды или друзей – знак уважения и гибкости; спрашивать же ребенка, хочет ли он идти в школу, или пытаться убедить годовалого малыша, что играть на улице опасно, – это просто стирание линии авторитарности.
Хорошо сбалансированная семейная система способна удовлетворить потребности всех входящих в нее подсистем.
Альянсы, коалиции
В любой семейной системе существуют альянсы между членами семьи для выполнения какой-либо функции или для достижения определенной цели. В принципе, функционирование каждой из подсистем (индивидуальная, супружеская, родительская, детская) подразумевает заключение альянса между членами подсистемы. Отношения между супругами будут отличаться от их отношений с детьми, а отношения между сиблингами будут носить совершенно иной характер, нежели отношения между детьми и родителями. Альянсы позволяют членам семьи почувствовать особую близость. В нормально функционирующих семьях эти альянсы непостоянны и зависят от конкретной ситуации.
Однако существуют ситуации, когда альянсы носят дезадаптивный характер. Это касается ситуаций, когда двое объединяются против третьего. Тогда альянсы принимают форму коалиций. Коалиции предполагают сплочение одних членов семьи, направленное против других, и помогает тем, кто чувствует себя слабым, справиться с тем, кто кажется им сильнее. «Они позволяют членам семьи совладать с низким самоуважением, уменьшить тревогу и контролировать третью сторону» (Черников, 2001). Как правило, коалиции складываются между представителями разных поколений.
Например:
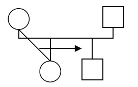
1. Один родитель создает коалицию с ребенком против другого родителя. Так, коалиция матери с дочерью против отца ослабляет его родительскую власть над дочерью (рисунок 4).
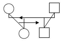
2. Один родитель создает коалицию с ребенком против коалиции другого родителя с ребенком. В этом случае между детьми вероятны конфликты, в которые неизменно будут вмешиваться родители – каждый на стороне «своего» ребенка. Между супругами тоже, скорее всего, будут происходить конфликты по поводу поведения детей. Причем каждый из супругов будет оправдывать поведение одного ребенка и осуждать другого (рисунок 5).
3. Один родитель создает коалицию с ребенком против других детей. В этом случае именно избранному ребенку будет позволяться больше, чем другим детям (рисунок 6).
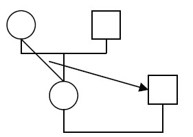
4. Один из супругов объединяется со своим родителем против другого супруга. Пресловутый конфликт между тещей и зятем, про который создано столько анекдотов – из их числа (рисунок 7).
5. Старшее поколение (бабушка и дедушка) объединяются с младшим поколением (детьми) против среднего (родителей). В этом случае старшее поколение может скрывать от родителей школьные неуспехи детей или их поздние приходы домой (рисунок 8).
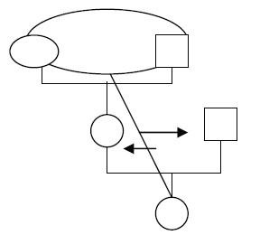
6. Кто-либо из старшего поколения (бабушка или дедушка) объединяется с ребенком против одного из родителей. Такой вариант часто встречается в разведенных семьях, когда мать с ребенком живет в доме своих родителей (рисунок 9).
Хейли (Haley, 1976) пишет о том, что «если существует фундаментальное правило социальной организации, то оно гласит: организация попадает в беду, когда коалиции складываются поперек уровней иерархии, особенно когда эти коалиции секретные». В этом случае коалиция будет возникать на основе совместного секрета, связанного с попыткой определенных членов семьи скрыть некоторую информацию от других.
Рис. 4. Коалиция: родитель и ребенок против другого родителя
Рис. 5. Коалиция: один ребенок и родитель против коалиции: другой ребенок и родитель
Рис. 6. Коалиция: родитель и ребенок против других детей
Рис. 7. Коалиция: один из супругов объединяется со своим родителем против другого супруга
Рис. 8. Коалиция: старшее и младшее поколение против среднего
Рис. 9. Коалиция: кто-либо из старшего поколения объединяется с ребенком против одного из родителей
Вертикальные коалиции дисфункциональны, горизонтальные альянсы – функциональны.
Пример. Вместе живут муж, жена и мать жены. Отношения между супругами дистантные, но ссор не наблюдается. Однако практически каждый день – бурные конфликты между зятем и тещей. Муж недоволен, что теща живет вместе с ними, хотя у нее есть собственная квартира. Жена говорит, что не оставит маму одну, так как та ее вырастила. Понятно, что муж недоволен скорее тем, что жена допускает подобную ситуацию, однако выяснение этого вопроса с ней вывело бы систему из равновесия. Поэтому, безопасней и надежней конфликтовать с тещей, фактически вызывающей огонь на себя. В свою очередь, у жены тоже существуют претензии к мужу. Однако, пока ее мама живет с ними, прояснять недовольства просто «не доходят руки». В результате система стабильна, а конфликты между зятем и тещей обслуживают семейный гомеостаз.
На приеме у семейного психотерапевта коалиции обычно можно вычленить по вариантам рассаживания при условии, что в кабинете достаточное количество посадочных мест. Очень важно дать семье возможность выбрать расположение в пространстве. Поэтому в кабинете семейного психотерапевта всегда должно быть больше стульев и кресел, чем членов семьи. Взаимное расположение – быстрый и надежный способ диагностики семейной структуры (Минухин, Фишман, 1998).
Иерархия
Термин иерархия охватывает несколько фундаментальных теоретических предположений. Как правило, ее определяют как авторитет, доминирование, власть, право принимать решения или степень влияния одного члена семьи на других, контроля над ними. Контроль означает не только контроль над другими, например, над детьми, но также над принятием решений в семье. Понятие иерархии также может использоваться в изучении изменений в структуре ролей и правил внутри семьи. Тем не менее иерархия является необходимым атрибутом существования системы, ибо все живые существа, способные к обучению, организовываются и выстраивают иерархию. Иерархия заложена в природе организации и поддерживается всеми ее участниками. Иерархии могут быть слабыми и неэффективными, с одной стороны, и жесткими и деспотичными – с другой. В первом случае молодые члены семьи могут оказаться незащищенными из-за отсутствия руководства; во втором их рост как автономных независимых индивидов может быть нарушен, или может начаться борьба за власть. Если функциональная иерархия необходима для сохранения стабильности здоровой семьи, то для ее приспособляемости к изменениям необходима гибкость. Наиболее общим выражением боязни изменений является избегание конфликтов, когда члены семьи уклоняются от обсуждения своих несогласий, чтобы защитить себя от причиняющей боль суровой правды. В этом случае скрытые проблемы могут носить хронический характер. В большинстве семей родители несут ответственность за детей, а следовательно обладают всей полнотой власти в нуклеарной семье. В нормально функционирующей семье члены придерживаются общепринятых норм разделения власти. Однако, если в семье существуют недостаточно четкие границы между родительскими и детскими подсистемами, то возможен вариант, когда родители делают детей партнерами. Этот вариант называется перевернутой иерархией. Отличительной чертой таких семей является то, что статус ребенка в них выше статуса родителя. Это семьи, где родитель может даже гордиться тем, что ребенок ему «лучший друг». Например, мама может обсуждать с дочерью свои измены мужу, делая дочь соучастницей. В данном случае уже не совсем понятно, кто является матерью, а кто дочерью.
Другой пример: когда кто-то из родителей заболевает, и ребенок начинает выступать в роли «родителя» по отношению к нему. Подобными примерами изобилуют «алкогольные» семьи, когда сын (или дочь) может заменять для матери пьющего супруга. Такое явление называется парентификацией (от англ. parents – родители). Обычно в подобных семьях мы видим инфантильных родителей и детей, исполняющих родительские функции.
Еще один вариант перевернутой иерархии складывается, если в семье нарушены границы поколений. Этот термин используется, чтобы показать различия в межпоколенных правилах, близости и иерархии. В целом решающий голос в принятии жизненно важных для семьи решений – у членов нуклеарной семьи, а у членов расширенной семьи – совещательный. Бывают же случаи, когда ни одно решение супруги не могут принять, не посоветовавшись со своими родителями по причине наличия у них опыта, ответственности и материальных ресурсов. Часто в таких семьях будут присутствовать коалиции через поколение, где сплоченность или преданность друг другу между родителем и ребенком больше, чем между самими родителями (Haley, 1973). Во всех вышеперечисленных случаях нарушенной иерархии нарушенными оказываются и отношения в супружеской диаде.
Еще один вариант нарушенной иерархии может быть связан с несбалансированностью иерархии в детской подсистеме. Здесь возможны два варианта: либо чрезмерная иерархизированность, когда один ребенок несет непосильное бремя родительских функций, отвечая за всех остальных детей, либо отсутствие иерархии – в этом случае существует некто, часто мать, которая регулирует все взаимодействия между детьми и в ответе за все, что с ними происходит.
Сплоченность
Сплоченность – степень эмоциональной близости между членами семьи. В отношении семейных систем это понятие используется для описания степени, до которой члены семьи видят себя как связанное целое. Для диагностики семейной сплоченности используются следующие показатели: эмоциональная связь между членами семьи, организация семейных границ, лояльность семейным правилам, зависимость членов семьи друг от друга, стиль принятия решений по семейным вопросам, совместно проводимое членами семьи время, отношения с друзьями, общие интересы и отдых. Можно выделить четыре уровня сплоченности (от экстремально высокого до экстремально низкого) и, соответственно, четыре типа семей.
Запутанная система (enmeshed) характеризуется слишком высоким уровнем сплоченности. В семье чрезмерно много центростремительных сил. Отдельные члены семьи не могут действовать независимо друг от друга, ибо существуют крайности в требовании эмоциональной близости и лояльности. В семье слишком много согласия, различия в точках зрения не поощряются. Личного пространства в таких семьях почти нет. Подобные семьи М. Боуэн (Bowen, 1960, 1978) определял как слабо дифференцированные (см. ст. автора «Работа с парой в рамках теории семейных систем Мюррея Боуэна» в настоящем сборнике). Семья как система имеет жесткие внешние границы с окружением и диффузные внутренние границы между подсистемами и членами семьи. Энергия людей сфокусирована в основном внутри семьи или отдельной ее подсистемы, и у каждого ее члена существует мало не разделенных с другими интересов.
Разобщенная система (disengaged) – другая крайность – характеризуется низким уровнем сплоченности и лояльности семье. В такой семье существует слишком много центробежных сил. Члены семьи эмоционально крайне разделены, мало привязаны друг к другу и ведут себя несогласованно. Они часто проводят время раздельно, имеют каждый свои, не связанные между собой интересы. Друзья у таких супругов тоже у каждого свои. Им бывает трудно оказывать поддержку друг другу и совместно решать жизненные проблемы. Однако нельзя сказать, что члены такой семьи являются хорошо дифференцированными личностями в понимании Боуэна (Bowen, 1960, 1978). Изолируясь друг от друга, подчеркивая свою независимость, они часто скрывают свою неспособность устанавливать близкие взаимоотношения. Описывая этот процесс, Боуэн отмечал, что при сближении с другими у таких людей отмечается возрастание тревоги (см.: «Работа с парой в рамках теории семейных систем Мюррея Боуэна»). «Полюса данной шкалы (близость – раздельность) отражают два фундаментальных человеческих страха – страх одиночества и страх быть поглощенным другими» (Черников, 2001).
Раздельная система (separated) характеризуется умеренной сплоченностью. В эмоциональных отношениях в семье присутствует некоторая раздельность, однако она не является такой крайней, как в разобщенной системе. Несмотря на то, что время, проводимое отдельно, для членов семьи более важно, семья способна собираться вместе, обсуждать проблемы, оказывать поддержку друг другу и принимать совместные решения. Интересы и друзья являются обычно разными, но существует и область, разделяемая с другими членами семьи.
Связанная система (connected) характеризуется высокой степенью эмоциональной близости, лояльностью во взаимоотношениях и определенной зависимостью членов семьи друг от друга. Члены семьи часто проводят время вместе. Это время для членов семьи более важно, чем время, посвященное индивидуальным друзьям и интересам. Однако сплоченность в таких семьях не достигает степени запутанности, когда пресекаются всякие различия.
Как видно из вышесказанного, члены связанных и раздельных систем способны сочетать собственную независимость с эмоциональными связями со своими семьями. Эти два типа систем являются сбалансированными. Разобщенные и запутанные системы являются несбалансированными, они обычно рассматриваются как проблематичные, ведущие к нарушениям функционирования семейной системы.
Чтобы определить уровень сплоченности семьи, на приеме у психотерапевта бывает полезно обсудить следующие темы:
1. Эмоциональная связь:
• Обращаются ли члены семьи за помощью друг к другу?
• Чувствуют ли себя члены семьи близкими друг другу?
• Важно ли для членов семьи чувство единства?
2. Семейные границы:
• Предпочитают ли члены семьи общество друзей обществу друг друга?
• Близки ли члены семьи с посторонними в большей степени, нежели друг с другом?
• Приветствуют ли члены семьи нежданные визиты к ним домой?
3. Принятие решений:
• Советуются ли члены семьи друг с другом по поводу принятия решений?
• Существует ли способ повлиять на уже принятые решения?
4. Время:
• Любят ли члены семьи проводить время вместе?
• Трудно ли им долгое время находиться вместе?
5. Друзья:
• Существуют ли у членов семьи близкие друзья (отдельные от других членов семьи)?
• Как принимаются друзья других членов семьи?
6. Интересы и отдых:
• Часто ли семья собирается вместе?
• Устраивают ли члены семьи совместные мероприятия, приносящие удовольствие всем участникам?
Гибкость
Семейная гибкость – характеристика того, насколько гибко или, наоборот, ригидно семейная система может приспосабливаться, изменяться при воздействии на нее стрессоров. Для диагностики гибкости используются следующие параметры: лидерство, контроль, дисциплина, правила и роли в семье. Здесь также выделяются четыре уровня гибкости. Ригидная (rigid) система обладает очень низкой гибкостью и адаптивностью. Такая система не способна решать жизненные задачи, возникающие перед семьей в ее продвижении по стадиям жизненного цикла. Семья отказывается меняться и приспосабливаться к изменившейся ситуации (рождение, смерть членов семьи, взросление детей и отделение их от семьи, изменения в карьере, месте жительства и т. д.). Система часто становится ригидной, когда она чрезмерно иерархизирована, т. е. существует член семьи, который всем заведует и все контролирует. Переговоры по важным вопросам в такой семье ограниченны, а большинство решений принимается лидером. В ригидной системе роли, как правило, строго распределены и правила взаимодействия остаются неизменными. Слишком малое количество изменений в системе ведет к высокой предсказуемости и ригидности поведения ее членов. Хаотическая (chaotic) система характеризуется очень высокой степенью непредсказуемости. Такое состояние система часто приобретает в момент кризиса, например, при рождении ребенка, разводе, потере источников дохода и т. д. Проблемным оно становится, если система застревает в нем надолго. Такой тип системы имеет неустойчивое или ограниченное руководство и испытывает недостаток лидерства. Решения являются импульсивными и непродуманными. Роли неясны и часто смещаются от одного члена семьи к другому. Большое количество изменений приводит к непредсказуемости происходящего в системе. Структурированная система характеризуется умеренной гибкостью. Здесь будет присутствовать некоторая степень демократичного руководства, предполагающая переговоры по проблемам между членами семьи с учетом мнения детей. Роли и внутрисемейные правила стабильны, с некоторой возможностью их обсуждения. Существуют определенные дисциплинарные правила.
Гибкая система характеризуется умеренной гибкостью; демократическим стилем руководства. Переговоры ведутся открыто и активно, включают детей. Роли разделяются с другими членами семьи и меняются, когда это необходимо. Правила могут быть изменены и соотнесены с возрастом членов семьи. Иногда, правда, семье может не хватать лидерства и члены семьи завязают в спорах друг с другом.
Ригидные и хаотичные системы считаются несбалансированными, а гибкие и структурированные – сбалансированными. Чтобы определить уровень гибкости семьи на приеме бывает полезно обсудить следующие темы:
1. Лидерство:
• Может ли каждый член семьи быть лидером?
• Кто лидер в семье?
• Как принимают решения по важным для семьи вопросам?
2. Контроль:
• Учитывается ли мнение детей при принятии семейных решений?
• Принимаются ли семейные решения только родителями?
3. Дисциплина:
• Выбирают ли дети самостоятельно форму поведения?
• Обсуждают ли родители вместе с детьми форму наказания?
4. Роли:
• Как устроен в семье способ выполнения повседневных дел?
• Могут ли домашние обязанности переходить от одного члена семьи к другому?
• Существует ли в семье четкая система прав и обязанностей?
5. Правила:
• Какие правила существуют в этой семье?
• Подвержены ли эти правила изменениям под воздействием обстоятельств?
Циркулярная модель Олсона
Одной из наиболее известных и широко применяемых структурных моделей является циркулярная модель Дэвида Олсона (circumplex model).
Эта модель включает в себя две основные оси (сплоченность и гибкость), которые задают тип семейной структуры, и один дополнительный параметр – коммуникацию, графически не включенную в модель. Циркулярная модель Олсона изображена на рисунке 10. Из рисунка видно, что всего имеется 16 типов супружеских или семейных систем. Из них 4 являются сбалансированными типами структур, 8 – среднесбалансированными (сбалансированными по одной шкале и находящимися на краю – по другой) и 4 – крайними типами, несбалансированными по обоим параметрам.
Семьи нуждаются не только в балансе близости – раздельности, но также в оптимальном сочетании изменений внутри семьи со способностью сохранять свои характеристики стабильными. Несбалансированные по шкале гибкости системы склонны быть или ригидными, или хаотичными.
Рис. 10. Циркулярная модель Олсона
Олсон считает, что, вступая в брак, супруги часто воспроизводят тот структурный тип семейной системы, который был в их родительских семьях, или иногда пытаются создать противоположный. Если супруги происходят из двух совершенно разных семейных систем или предпочитают разные типы семейных динамик, им будет труднее создать совместный стиль взаимоотношений.
Нормальное развитие семьи
Обычно считается, что нормальная семейная жизнь протекает счастливо и гармонично. Это миф. Нормальные семьи постоянно борются с жизненными проблемами. Нормальную семью отличает не отсутствие проблем, а наличие функциональной структуры для их успешного решения. Муж и жена должны научиться приспосабливаться друг к другу, воспитывать своих детей, общаться с родителями друг друга, справляться со своей работой и быть адаптированными в своем обществе. Природа этой борьбы изменяется в зависимости от стадии развития семьи и ситуационных кризисов.
Когда два человека начинают жить вместе, структурными требованиями для нового союза становятся аккомодация и установление границ. На первое место выходит взаимное приспособление к множеству деталей повседневной жизни. Каждый партнер старается организовать взаимоотношения привычным для него образом и заставить своего партнера подстроиться под него. Каждый должен приспособиться к ожиданиям и потребностям другого, при этом оставаясь собой и отстаивая свои ценности и потребности. Супруги должны достичь согласия по основным вопросам, таким как, где жить и когда заводить детей. Менее очевидным, но не менее важным является координирование каждодневных действий, например, что смотреть по телевизору, что есть на ужин, когда ложиться в постель и чем там заниматься. Часто именно мелочи вызывают наибольшее раздражение. Супруги могут яростно спорить о том, кому выносить мусор или стирать белье, в котором часу отходить ко сну или подниматься утром…
Адаптируясь друг к другу, супруги должны также обсудить характер границы между ними, а также границы, отделяющей их от внешнего мира. Диффузная граница имеет место, когда они часто звонят друг другу на работу, когда ни у одного нет собственных друзей и занятий, когда они рассматривают себя только как пару, а не как двух отдельных личностей. С другой стороны, если супруги мало времени проводят вместе, спят в разных комнатах, имеют разные банковские счета и каждый больше занят своей карьерой и общением с друзьями, чем собственным браком, это означает, что между ними установлена жесткая граница.
Обычно супруги приходят из семей, где существовали различные формы близости. Каждый супруг обычно стремится установить ту степень близости в отношениях, которая существовала в его родительской семье. Если эти модели были у супругов разными, возникает борьба, которая также может стать наиболее трудным аспектом нового брака.
Например, если жена выросла в семье, для которой был характерен запутанный уровень сплоченности, а муж – из разобщенной семьи, то ее постоянные звонки и стремление проводить с ним абсолютно все свое время, разделять все его интересы будут для него абсолютно невыносимыми. В свою очередь, его стремление посидеть в одиночестве, предаться каким-либо занятиям без супруги, встретиться с друзьями будут казаться его жене обидными и несправедливыми. А поведение мужа будет восприниматься как холодное отстранение.
Надо сказать, что не существует «правильной» или «неправильной» близости. Одна из важных задач для супругов на этом этапе – найти оптимальную для них, а следовательно «правильную» для этой системы эмоциональную дистанцию.
Супруги также должны определить границу, отделяющую их от родительских семей. Семья, в которой каждый из супругов вырос, должна сразу же отойти на второе место. Это также является сложным, а временами и болезненным вопросом и для молодоженов, и для их родителей.
Появление детей преобразует структуру новой семьи в подсистему родителей и подсистему детей. Обычно супруги имеют разные родительские модели участия в воспитании малышей. Уже сама беременность вносит свои коррективы в семейную реальность. Даже в функциональных семьях дети являются потенциальной причиной стрессов и конфликтов. С рождением ребенка жизнь радикально меняется. Женщина вынуждена жертвовать своей социальной жизнью и обычно нуждается в большей поддержке со стороны мужа. Тем временем муж продолжает заниматься своей работой и ребенок гораздо меньше нарушает его социальную жизнь. Хотя, безусловно, он получает гораздо меньше внимания со стороны жены. Муж хотя и старается поддержать жену, но, скорее всего, некоторые из ее требований кажутся ему чрезмерными и необоснованными. С другой стороны, жена хоть и уделяет внимание мужу, но в изменившейся реальности она все равно не сможет быть с ним столь же близкой, как до появления малыша.
В разном возрасте детям нужны разные стили родительской заботы и опеки. В младенчестве им требуется руководство и контроль; в подростковом периоде – независимость и ответственность. Родительская забота, которая хороша для двухгодовалого ребенка, абсолютно не подходит пятилетнему и уж совсем чрезмерна для четырнадцатилетнего. Адекватные родители легко приспосабливаются к этим проблемам развития. Семья видоизменяет свою структуру, чтобы соответствовать новым условиям, росту и развитию своих детей, а также изменениям внешнего окружения.
Семейные структуры должны быть достаточно стабильными, чтобы обеспечивать постоянство, и достаточно гибкими, чтобы приспособиться к изменению обстоятельств. Семейные дисфункции возникают, когда негибкие семейные структуры не могут должным образом реагировать на различные ситуации и проблемы, связанные с развитием.
Адаптивные изменения в структуре нужны, когда семья или один из ее членов сталкивается с внешним стрессом или когда семья сталкивается с переходом на следующую стадию жизненного цикла.
Семейная дисфункция возникает из наличия стресса и неспособности перестроиться, чтобы справиться с ним. Стрессоры могут быть внешними (родитель уволен, семья переезжает) или связанными с развитием (ребенок вступает в подростковый возраст, родители уходят на пенсию). Неспособность семьи справиться с неблагоприятными факторами может быть обусловлена изъянами, существующими в ее структуре, или просто неумением членов семьи приспособиться к изменившимся обстоятельствам.
Практика помощи супружеской паре
Позиция терапевта и состав участников терапии
Прослеживая характер взаимодействия в семье и внося изменения с целью улучшить функционирование, терапевт использует чередование трех позиций: тесной, промежуточной и отстраненной (Минухин, Фишман, 1998). В тесной позиции внимание терапевта и фокус его воздействия сосредоточены на содержательной стороне взаимодействий. В промежуточной и отстраненной позиции – на процессах коммуникации членов семьи внутри подсистем и подсистем между собой. В целом «позиция терапевта содержит в себе парадокс: он может войти в систему только на основе изоморфизма, т. е. схожести с семьей, но помочь может, только используя анизоморфные стратегии. Поэтому важной задачей терапевта является способность переключаться с позиции „внутри“ на позицию „вне“» (Черников, 2001).
Если в двух словах, то роль терапевта – быть внутри системы, блокировать существующие стереотипные паттерны интеракций и стимулировать развитие более гибких паттернов.
Есть и еще один важный аспект работы структурного терапевта, в котором находит отражение его позиция – это состав участников сессий. «Наиболее продуктивный вариант, когда состав участников определяется терапевтом. Тогда удается осуществить наиболее кардинальные структурные изменения в системе» (Минухин, Фишман, 1998). На заре своей работы структурные терапевты ставили условием своей работы непременное присутствие на сессии всех членов семьи, включая больных, престарелых и детей. Однако в реальности состав пришедшей не прием семьи не всегда соответствует предложенному терапевтом. Тогда работа осуществляется с теми, кто непосредственно присутствует на приеме. С остальными членами семьи общение происходит посредством домашних заданий. Со временем требование терапевтов к обязательному присутствию на приеме всех членов семьи стало менее категоричным. Терапевты стали больше прислушиваться к пожеланиям членов семьи, касающимся того, в каком составе они хотят проходить терапию. «Теперь они часто говорят так: не столь важно, сколько человек находится в комнате, важнее то, о скольких людях человек думает, размышляя об их вкладе в проблему» (Черников, 2001).
Именно поэтому в практике некоторых терапевтов имеет место системная супружеская и даже системная индивидуальная терапия. Цель подобной терапии – изменение семьи через супружескую пару или одного ее члена. При этом идеология терапевтического процесса соответствует структурному семейному подходу.
Встречи с супружеской парой или одним членом семьи, когда сам терапевт продолжает мыслить системно, могут последовательно охватить следующие этапы, для разработки которых требуется использование определенных терапевтических приемов и техник:
1. Выявление характера и последовательности взаимодействий присутствующей на приеме супружеской пары друг с другом и с остальными членами семьи.
2. Переосмысление супругами собственных ролей в парном взаимодействии и во взаимодействии в семье.
3. Изменение дисфункционального взаимодействия.
Условия изменения и техники структурной терапии
Структурные семейные терапевты считают, что проблемы обусловлены дисфункциональными семейными структурами. Поэтому терапия направлена на изменение структуры семьи таким образом, чтобы она смогла решить свои проблемы. Целью терапии являются структурные изменения, и решение проблемы – это побочный продукт этих изменений.
Структурный семейный терапевт присоединяется к самой системе, чтобы помочь ее членам изменить ее структуру. Меняя границы и перестраивая подсистемы, терапевт изменяет поведение и переживания каждого члена семьи. Он не решает проблемы – это задача семьи, он лишь помогает ей в этом, видоизменяя ее функционирование. В этом отношении структурная семейная терапия похожа на динамическую психотерапию – решение симптома является не самоцелью, а результатом длительных структурных изменений. Аналитик модифицирует структуру сознания пациента; структурный семейный терапевт модифицирует структуру его семьи.
Симптоматические изменения и улучшение функционирования семьи считаются связанными между собой целями. Наиболее эффективным способом изменить симптомы является изменение тех паттернов семьи, которые поддерживают эти симптомы. Эффективно действующая семья является системой, которая поддерживает всех своих членов. Цель структурной семейной терапии – способствовать развитию этой системы, чтобы устранить симптомы и вызвать развитие отдельных индивидов, сохраняя при этом взаимную поддержку всей семьи.
Ближайшими целями могут стать снятие симптомов, особенно угрожающих жизни, например, анорексии (Мinuchin et al., 1978). Иногда для временного облегчения применяются поведенческие техники, внушение или манипуляция. Однако, если не достичь структурных изменений системы, исчезновение симптома будет носить лишь кратковременный характер.
Структурная семейная терапия изменяет поведение, открывая альтернативные модели семейного взаимодействия, которые могут изменить семейную структуру. Задача состоит не в том, чтобы создать новые структуры, а в том, чтобы активизировать бездействующие. Если после активации пассивные модели становятся функциональными, они будут укрепляться, и семейная структура сможет трансформироваться. Когда новые модели взаимодействия будут регулярно повторяться и станут действительно эффективными, они смогут стабилизировать новую и более функциональную структуру.
Семейные психотерапевты структурного направления полагают, что оценивание семейного отношения неотделимо от вмешательства. Вместо того чтобы использовать диагностический инструментарий и проводить предварительные интервью, процесс оценивания интегрируют с психотерапией. Оценка паттернов взаимодействия в семье происходит по мере того, как психотерапевт формирует терапевтическую систему.
При исследовании семейной структуры Минухин рекомендует:
1. Обращать внимание на семейную структуру, излюбленные паттерны семейного взаимодействия и искать их возможные альтернативы.
2. Оценивать гибкость системы и ее способность к совершенствованию, о чем позволяет судить перестройка существующих альянсов, коалиций и подсистем в ответ на изменение обстоятельств.
3. Исследовать резонанс семейной системы, ее чувствительность к действиям отдельных членов. Семьи располагаются где-то между двумя полюсами, на одном из которых, условно, находятся чрезвычайно слитные семьи с чрезмерной чувствительностью к действиям отдельных членов и заниженным порогом активации механизмов поддержания гомеостаза. На другом полюсе находятся разобщенные семьи с чрезмерно низкой чувствительностью к действиям отдельных членов и завышенным порогом активации механизмов поддержания гомеостаза.
4. Анализировать условия жизни семьи, определить источники поддержки и стресса.
5. Оценивать успешность прохождения семьей текущего этапа жизненного цикла и выполнение соответствующих этапу задач развития.
6. Исследовать способы использования симптомов идентифицированного пациента для поддержания желательных семье паттернов взаимодействия (Minuchin, 1974).
Психотерапевт оценивает семейное взаимодействие путем наблюдения за различными видами поведения. Ценную информацию можно получить, анализируя интонацию, выражение лица, зрительный контакт с остальными членами семьи. Психотерапевту следует быть бдительным к тому, что кто-то из членов семьи мешает говорить другому и в каких ситуациях это происходит. Кроме того, психотерапевт может поинтересоваться мнением остальных членов семьи относительно проблемы. На основании всей полученной информации выдвигается гипотеза о сути семейной проблемы и лежащей в ее основе структуре системы (Minuchin, 1978).
Терапевт вызывает изменения, присоединяясь к семье, исследуя пластичность различных ее областей, а затем активирует бездействующие структурные альтернативы. Техники присоединения позволяют терапевту проникнуть в семью и преобразовать структуру семьи.
Чтобы произошло изменение, семья должна вначале принять терапевта, а затем отреагировать на его вмешательство как на новую ситуацию. Это увеличивает стресс, что в свою очередь нарушает равновесие семьи и таким образом открывает путь для структурной трансформации. Для того чтобы присоединиться к семье, терапевт должен выразить свое принятие членов семьи и уважение к ним и их действиям. Минухин (1974) сравнивал семейного терапевта с антропологом, который должен сначала войти в культуру, а затем уже приступить к ее изучению.
Стратегия терапии должна быть тщательно спланирована и в целом следует данным стадиям:
1. Присоединение и аккомодация.
2. Фокусирование на сфере дисфункционального взаимодействия и постановка диагноза.
3. Выявление и видоизменение интеракций и помощью разыгрывания паттернов взаимодействия.
4. Создание границ.
5. Изменение равновесия.
6. Борьба с непродуктивными предположениями и перестройка реальности.
Первый шаг, составляющий первую фазу лечения, – присоединение к системе. Без тщательного планирования и умелого выполнения этих важных действий терапия обычно не срабатывает. Последующие шаги представляют собой стратегии выведения системы из равновесия, техники разбалансировки, призванные придать системе новый опыт.
Техники присоединения к системе и аккомодации
Первая задача терапевта – войти в систему, нуждающуюся в изменении, и установить рабочие отношения. Это требует некоторой степени приспособления к правилам системы, но не в такой степени, при которой теряется эффективность терапевта в вопросах содействия изменению. Слишком большая доля сомнений в правилах системы привела бы к отстранению терапевта. Слишком большая степень приспособления к системе лишила бы терапевта эффективности, абсорбировав его внедрение. Поскольку в семьях действует закон гомеостаза, эффективная семейная терапия требует сильного вызова и противостояния. Но нападки на привычный стиль жизни семьи будут бесполезными, если они не будут предприняты с позиции принятия и понимания.
В семье несколько членов, и установленный способ действий. Семейный терапевт является здесь непрошеным посторонним. Сначала он должен «обезоружить» членов семьи и ослабить их тревогу. Это достигается проявлением понимания и принятия каждого члена семьи. Неспособность терапевта к присоединению и аккомодации вызывает напряженное сопротивление.
Особенное внимание следует уделить статусным и немотивированным членам семьи – таким, например, которые находятся в визитерской позиции, считают терапию ерундой, несерьезным занятием, или таким, которых привели на прием почти насильно и которые могут ощутить себя преследуемым преступником.
Аккомодация – это техника присоединения к семье путем подражания стилю и особенностям поведения членов семьи. Она предполагает наличие широкого поведенческого репертуара. Психотерапевт должен следить за использованием членами семьи метафор и семантических оборотов, не упуская из виду содержания сказанного. Крайне важно, чтобы психотерапевт был готов лично испытать эмоциональное воздействие семейных транзакций. Завоевать внимание семьи удается благодаря модификации собственного поведения, но последующие переживания необходимо концептуально организовать. Об успешной аккомодации свидетельствует готовность каждого члена семьи поделиться с психотерапевтом своими переживаниями. Вторым компонентом техники аккомодации является признание и уважение существующей семейной структуры.
Существуют три техники аккомодации, т. е. присоединения к системе: прослеживание, имитирование, поддержка.
Прослеживание напоминает техники отношений, заимствованные из клиент-центрированной психотерапии. Нерегламентированные вопросы, отражение содержания разговора и эмоций вместе с предупредительным поведением помогают психотерапевту наладить контакт с семьей. Более сложные техники прослеживания подразумевают умение пребывать в эмпатической позиции. При этом психотерапевт реагирует на такие мысли и чувства, на которые не удается ответить самим членам семьи. Иногда описание паттернов коммуникации облегчается при использовании метафор. Преобразование семейной реальности с помощью метафор происходит за счет отслеживания коммуникации в семье как на уровне ее содержания, так и самого процесса. Прослеживание как одна из форм аккомодации эффективно лишь в том случае, когда психотерапевт настраивается на язык семьи, вместо того чтобы навязывать свой собственный (Minuchin,1974).
Семейная структура проявляется в интеракциях членов семьи. Семейная динамика – это то, что случается, когда члены семьи взаимодействуют друг с другом, а не то, что происходит по их словам или то, что должно произойти по мнению терапевта. Они должны поговорить между собой, чтобы проявилась динамика. Когда это достигается, терапевт наблюдает, кто с кем разговаривает, в какие моменты, каким образом. Более того, Минухин полагал, что расспрашивание может дать менее точную картину, чем то, что отражается непроизвольно.
Имитирование. Минухин использовал этот термин для обозначения аспектов техники присоединения, связанных для психотерапевта с необходимостью перенять стиль, настроение и манеру поведения членов семьи. Кроме того, психотерапевт может поделиться с членами семьи личными переживаниями по поводу аналогичной собственной проблемы. Вместе с тем психотерапевт может использовать имитирование при взаимодействии лишь с одним из членов семьи (например, принимая ту же позу), чтобы к нему подстроиться. Как правило, в этом случае его цель состоит в создании временной коалиции с этим членом семьи для изменения расстановки сил. Имитирование значительно облегчает эту задачу, поскольку на невербальном уровне соответствует сообщению: «Мы очень похожи» (там же).
Поддержка — одна из методик, используемых при присоединении. Терапевт позволяет, чтобы на него распространялись основные правила, регулирующие семейные интеракции. Затем он суммирует и отражает мысли и чувства, важные для членов семьи в данный момент времени, выражая таким образом поддержку. Очень важно быть внимательным к значимым для семьи темам и уделить им немного времени.
Например, неверно будет игнорировать тот факт, что на приеме супруг много и с воодушевлением рассказывает о своей работе. В этом случае важно суммировать и отразить его мысли и чувства, подчеркнув важность работы в его жизни.
Техники выведения системы из равновесия
Фокусирование на сфере дисфункционального взаимодействия и постановка диагноза. Семьи часто видят лишь те проблемы, которые имеются у идентифицированного пациента и определяются прошлыми событиями. Они надеются, что терапевт изменит этого индивида, при этом как можно меньше нарушив гомеостаз семьи. Семейные терапевты рассматривают симптомы идентифицированного пациента как выражение дисфункциональных моделей интеракций, затрагивающих всю семью. Структурный диагноз расширяет проблему, распространяя ее от отдельных членов на семейные системы, перемещая фокус с отвлеченных событий прошлого на те взаимоотношения, которые происходят в настоящем. Семейный диагноз нужен для преобразования семьи таким образом, чтобы все члены семьи получили выгоду. Структурные семейные терапевты ставят диагноз, чтобы описать взаимоотношения всех членов семьи. С использованием концепции границ и подсистем описывается структура всей системы так, что указываются желаемые изменения.
Диагнозы основываются на наблюдении взаимоотношений во время первого сеанса. В дальнейшем эти формулировки уточняются и совершенствуются. Хотя если к этому подойти рано, существует некоторая опасность подгонки семей под определенные категории, но еще большая опасность заключается в слишком долгом ожидании. Во время первого контакта мы видим людей наиболее четко и ясно. Позже, когда мы начинаем узнавать их лучше, мы привыкаем к их особенностям и больше их не замечаем.
Структурный диагноз принимает во внимание и ту проблему, которую имеет семья, и ту структурную динамику, которую демонстрируют все ее члены.
Без формулировки диагноза и плана терапевт занимает защитную позицию и является пассивным. Вместо того чтобы знать, куда двигаться, и делать это намеренно, терапевт расслабляется и пытается совладать с семьей, погасить мелкие конфликты и помочь им успешно преодолеть ряд инцидентов. Постоянное осознание структуры семьи и сосредоточенность на одном или двух структурных изменениях помогают терапевту увидеть за различным содержанием те проблемы, которые члены семьи выносят на обсуждение. Фокусировка часто проводится в рамках комплементарности. Это значит, что терапевт показывает членам семьи, как все они взаимосвязаны между собой, как действия одного дополняются действиями другого.
Примеры:
1. Муж не рассказывает жене о своих чувствах потому, что она его постоянно ругает и критикует, а она это делает потому, что он не рассказывает ей о своих чувствах.
2. Муж, будучи гиперфункционалом, испытывает постоянную потребность заботиться и опекать свою жену. Она же, в свою очередь, будучи гипофункционалом, испытывает постоянную потребность в его опеке и заботе.
Минухин делает упор на комплементарности, прося членов семьи помочь друг другу измениться. При достижении положительных результатов, он обязательно поздравляет их, подчеркивая взаимосвязанность (Браун, Кристенсен, 2001).
Выявление и видоизменение интеракций с помощью разыгрывания паттернов взаимодействия. Следующим шагом терапевта становится инсценировка, в ходе которой терапевт предлагает членам семьи альтернативные способы взаимодействия. Это чрезвычайно важный момент в работе, так как, подняв тревогу в системе и разбалансировав ее, терапевт посредством инсценировки дает семье новый опыт взаимодействия.
Когда члены семьи начинают общаться, возникают проблематичные взаимоотношения. Чтобы заметить их, нужно сосредоточиться на процессе, а не на содержании. Нельзя ничего выяснить о структуре, если слушать, кто в семье является сторонником наказания или кто говорит о других приятное. Структура семьи выявляется по тому, кто говорит, кому и каким образом.
Для обеспечения вмешательства структурные терапевты используют усиление (или повышение) интенсивности. Они добиваются усиления путем регулирования аффекта, повторов и продолжительности. Тон, громкость, скорость и выбор слов могут использоваться для повышения эмоционального напряжения утверждений.
Иногда усиление требует повторения одной и той же темы в различных контекстах.
Например, супругу, проявляющему гиперфункциональность по отношению к своей гипофункциональной супруге, возможно, придется приказать не вешать пальто за нее, не отвечать за нее и не делать множество других действий, которые она в состоянии сделать сама.
Формирование компетентности является еще одним методом видоизменения интеракций, а также критерием всей структурной семейной терапии. Усиление обычно используется, чтобы блокировать поток интеракций, формирование компетентности скорее изменяет направление этого потока. Путем выделения и формирования позитивных изменений структурные терапевты помогают членам семьи использовать функциональные альтернативы, которые всегда имеются в их репертуаре.
Даже когда люди почти все делают неэффективно, всегда можно найти то, что они делают успешно. Там, где это возможно, структурные терапевты избегают выполнять за членов семьи то, что они могут сделать сами. Здесь сообщением является: «Вы компетентны, вы можете это сделать».
Создание границ. Дисфункциональная динамика семьи объясняется и поддерживается наличием чрезмерно жестких или чрезмерно диффузных границ. Структурные терапевты вмешиваются, чтобы перестроить границы, увеличив либо близость, либо расстояние между семейными подсистемами.
В крайне спутанных семьях вмешательства терапевта призваны укрепить границы между подсистемами и повысить независимость отдельных личностей. Членов семьи призывают говорить за себя, прерывания блокируются, а парам помогают закончить разговор без вмешательства других. Терапевт, который хочет поддержать систему супругов и защитить ее от ненужного вмешательства детей, может сказать: «Вы заметили, что как только разговор заходит о ваших отношениях, вы все время переводите тему на ваших детей? Поговорите не отвлекаясь. Скажите ей (ему), не меняя темы, что вы думаете по этому поводу».
Хотя структурная семейная терапия изначально, исторически предполагала работу со всей семейной группой, последующие сеансы могут проводиться с отдельными личностями или подгруппами с целью укрепления границы супружеской или индивидуальной подсистем. Родители, которые настолько связаны со своими детьми, что никогда не разговаривают друг с другом наедине, как супруги, могут научиться это делать, если они встретятся с терапевтом отдельно как супружеская пара.
Супруги, имеющие проблемы с близостью, обычно избегают или обходят конфликты, сводя общение к минимуму. Структурный терапевт может помочь, противостоять избеганию конфликта и улучшить контакт друг с другом. Он создает во время сеанса границы, позволяющие членам семьи беспрепятственно обсудить свои конфликты. К тому же терапевт препятствует уходу от решения споров и разногласий.
Не выступая в качестве судьи, структурный терапевт создает условия, в которых члены семьи могут открыто смотреть друг другу в лицо и разрешать имеющиеся трудности.
Структурные терапевты переводят семейные дискуссии с линейной перспективы на циркулярную, подчеркивая комплементарность отношений.
Примеры:
1. Жену, которая жалуется на непонимание со стороны мужа, приучают задумываться о том, что она сама делает, чтобы стимулировать или поддерживать такое его поведение. Тот, кто требует изменений, должен научиться изменить те способы, которыми он пытается добиться их.
2. Жена, которая ругает мужа за то, что он не проводит с ней достаточно времени, должна научиться делать это времяпрепровождение более приятным для него.
3. Мужу, который жалуется на то, что его жена никогда не слушает его, возможно, следует больше слушать ее, прежде чем она захочет ответить взаимностью.
Минухин делает упор на комплементарности, прося членов семьи помочь друг другу измениться. Когда достигаются положительные результаты, он обязательно поздравляет их, подчеркивая тем самым взаимосвязанность семьи.
Изменение равновесия. Создавая границы, терапевт стремится перестроить отношения между подсистемами. При нарушении равновесия целью является изменить отношения между членами одной подсистемы. Часто семьи заходят в тупик из-за того, что конфликтующие стороны сдерживают и уравновешивают друг друга и в результате застывают в бездействии. Нарушая равновесие, терапевт присоединяется к одному члену семьи или подсистеме и поддерживает их за счет других.
Это не что иное, как принятие чьей-то стороны, и создается впечатление, что нейтралитет – святая святых терапии – нарушается.
Однако терапевт прибегает к этому, чтобы расшатать и перестроить систему, а не потому, что желает вынести суждение, кто прав, кто виноват. В конечном счете равновесие и справедливость достигаются, потому что терапевт по очереди встает на сторону разных членов семьи.
Нарушение равновесия является частью борьбы за изменения, которая иногда принимает вид поединка. Когда терапевт говорит мужу, что он недостаточно принимает участия в жизни семьи, а жене, что она непреднамеренно отстраняется от своего мужа, может показаться, что это терапевт вступает в поединок с семьей, что это он нападает на ее членов. Но реальный поединок происходит между терапией и страхом – страхом изменений.
Борьба с непродуктивными предположениями и перестройка реальности. Системный терапевт борется с непродуктивными предположениями, бросая вызов симптому, семейной реальности, семейной структуре.
Вызов семейной реальности. Хотя структурная семейная терапия не ограничивается только лишь когнитивным лечением, те, кто ею занимается, иногда оспаривают восприятие реальности членами семьи. Изменение их отношения друг к другу вызывает альтернативные взгляды на реальность. Обратное положение тоже верно: изменение взглядов членов семьи на реальность позволяет им изменить свое отношение друг к другу.
Люди имеют привычку становиться теми, кем они себя описывают в своих повествованиях. Воспоминания содержат «нарративную» истину, и она оказывается более важной, чем «историческая истина». «Факты», представленные терапевту, частично представляют собой историческую истину, а частично искусственное создание. Конструкции, которые являются общей реальностью всех членов семьи, олицетворяют взаимопонимание и общие предрассудки, некоторые из которых перспективны и полезны, а некоторые нет. Минухин и Фишман разъясняют, каким образом представления семьи о собственных недостатках мешают поиску новых альтернатив: «Фактически представления семьи о мире крайне узки и концентрируются лишь на патологии. Расширение этих представлений, фокусирование на сильных сторонах семьи может привести к трансформации ее отношения к реальности».
Вызов симптому. Сторонник структурной терапии, воспринимая семью как организм, видит в симптоматическом поведении ответ «организма» на стресс. Поэтому задача терапевта – поставить под сомнение существующее в семье определение проблемы и характер реакции на нее. Такой вызов может быть прямым или косвенным, явным или скрытым, незамысловатым или парадоксальным. Бросая вызов симптому, Минухин транслирует веру в то, что семья способна вести себя по-иному. Например, он мог предложить супругам обращаться друг к другу всякий раз на повышенных тонах и ни в коем случая не соглашаться друг с другом. Или предложить сверхфункциональному мужу не позволять своей жене проявлять какую-либо инициативу, а его гипофункциональной супруге обращаться за помощью к супругу по малейшему поводу. Конечно, здесь мы имеем типичное использование парадокса.
Парадоксы – это когнитивные конструкции, которые фрустрируют или смущают членов семьи и заставляют их искать альтернативы. Минухин довольно часто использует этот прием, когда бывает полезно выразить скептицизм в отношении изменений людей.
Вызов семейной структуре. Семейная структура предписывает членам семьи, что, как, когда и в какой последовательности они должны делать, вступая в отношения друг с другом. Мировосприятие членов семьи в значительной мере зависит от их положения в различных подсистемах. Дисфункция в семье нередко связана либо с чрезмерной слитностью, либо с чрезмерной раздельностью членов семьи. Поэтому терапию можно считать процессом управления степенью близости и отчужденности. Терапевт может бросать вызов тому разграничению ролей и функций, которое установили сами члены семьи.
Иногда структурный семейный терапевт выступает как учитель, предлагая информацию и совет, основанные на обучении и опыте. Информацией можно поделиться, чтобы подбодрить обеспокоенных членов семьи, помочь им повести себя более компетентно или преобразовать их взаимоотношения.
Структурный терапевт также использует прагматический вымысел, чтобы предоставить членам семьи другие рамки для восприятия. Цель состоит не в том, чтобы обучить или обмануть, а в том, чтобы предложить мнение, которое поможет членам семьи измениться.
Критерий завершения
Достижение структурных изменений в семье и разрешение предъявленной проблемы достигается путем:
• упорядочения иерархии;
• создания эффективной родительской коалиции;
• обособления супругов от их родителей;
• простраивания оптимальных внешних и внутренних границ.
Клинический случай
Они зашли в кабинет психотерапевта, злобно переругиваясь, причем 34-летняя маленькая, хрупкая Светлана что-то громко и бурно доказывала мужу, а 30-летний Игорь, высокий худощавый мужчина, с трудом сдерживаясь, тихо огрызался. Рухнув в кресла, стоящие в разных концах комнаты, пара затихла на несколько секунд, а затем препирательства возобновились, но уже на тему, кто будет говорить первым. Любая фраза, произнесенная Светланой, тут же оспаривалась Игорем, в свою очередь все, что пытался донести до терапевта Игорь, неизменно вызывало взрыв негодования со стороны Светланы.
Итак, супружеская пара Светлана и Игорь живут вместе 6 лет. У них двое общих детей: 5-летний сын и 3-летняя дочка. У Светланы есть еще 12-летний сын от первого брака, который живет вместе с ними. Первый брак Светланы продлился всего 2 года и распался из-за алкоголизма ее первого мужа.
Оба супруга – наркоманы. Однако 2 года назад Игорь бросил принимать активные вещества и пошел в программу «12 шагов». До этого были попытки «слезть» с героина, которые не приводили к желаемому результату. Светлана принимала легкие наркотики и выпивала; на данный момент 15 месяцев не пьет и не употребляет наркотики. Сейчас занимается рисованием и воспитанием детей.
Причиной обращения к психотерапевту послужили ссоры и скандалы, которые периодически перерастали в драки. Семь месяцев назад произошла очередная размолвка, в ходе которой Игорь ударил супругу, после чего, бросив мужа и детей, Светлана на месяц ушла из дома. После ее возвращения, обидевшись на ее поведение, ушел сам Игорь и полгода не жил с семьей. За месяц до начала терапии Игорь вернулся, и супруги договорились о новой попытке совместного проживания.
Жалобы супругов, озвученные в ходе первых сеансов, были переформулированы в запрос: «научится жить друг с другом без постоянных претензий и ссор, мирно договариваться, без скандалов по спорным вопросам; научиться жить вместе и разговаривать без наркотиков».
Фокусирование на сфере дисфункционального взаимодействия и постановка диагноза: основной причиной трудностей данной семейной пары выступает нерешенная задача по прохождению одного из этапов жизненного цикла семьи. Если формально семья уже перешла на стадию «семья с детьми» и все права и обязанности по уходу и организации совместного проживания должны быть урегулированы, то фактически они еще находятся на этапе, называемом «время диады», и никак не могут договориться о разделении функциональных обязанностей, границ и иерархии.
Раньше супруги были объединены в треугольник, где третьей стороной выступали наркотики, а теперь – во времена трезвости – им приходится привыкать к новой реальности и заново учиться жить вместе. Также стоит отметить постоянное конкурирование супругов друг с другом за главенствующую роль, когда каждый стремится заставить другого делать все так, как кажется правильным ему.
Анализ случая
1. Смотрим на семейную структуру и излюбленные паттерны семейного взаимодействия.
Наблюдение за данной семьей показали, что:
Внешние границы диффузные. Примером может служить тот факт, что недовольная мужем Света уходит на месяц, оставляя детей. Игорь советуется и доверяет скорее наставнику по «12 шагам», нежели Светлане.
Внутренние границы достаточно ригидны, ибо при некоторых ожиданиях друг от друга супругам трудно про эти ожидания поговорить. Они постоянно осуществляют экспансию на территорию друг друга, каждый пытается интуитивно угадывать мысли другого, исходя из собственных представлений о том, как «правильно» или «неправильно» поведет себя партнер, и при этом возникает очень много обид друг на друга, если вторая сторона ведет себя «неверно». Например, Света хочет, чтобы Игорь отводил детей в сад, когда она устала, но при этом не говорит ему, что устала, а хочет, чтобы он догадался об этом сам, и когда этого не происходит, очень обижается.
Индивидуальные подсистемы развиты слабо, оба плохо осознают себя как личности, пытаются понять, кто они и чего хотят.
Супружеская подсистема развита достаточно слабо, об этом свидетельствует то, что супруги скорее делятся своими мыслями и переживаниями с наставниками и психологами, чем друг с другом. У них нет четко сформулированных правил, что кто из них делает для другого. История их супружества слишком перемешалась с историей их родительства – и как муж и жена они не могут до конца определиться с содержанием и функционалом данных ролей.
Родительская подсистема развита чуть лучше, но в ней существует борьба, кто будет диктовать, как вести себя с детьми, как их воспитывать.
Иерархия. Супруги, описывая свою семью, пытались декларировать, что у них патриархат. Тем не менее, исходя из реальной ситуации, можно увидеть, что иерархия в данной семье фактически отсутствует. Каждый из супругов борется за то, чтобы оказаться на вершине семейной пирамиды власти. Светлана предприняла попытку взять на себя большинство задач по обеспечению функционирования семейной системы («Я буду идеальной женой»), и с ее стороны это был посыл, что она – главная и именно она будет решать все вопросы. Через гиперфункционирование и контроль Светлана пытается добиться власти, взяв на себя все возможные функции и обязательства. Однако ровно через месяц она не справляется со взятыми на себя обязательствами и чувствует свое бессилие, ибо Игорь не поступает по ее указке и она оказывается у подножия семейной иерархической пирамиды. Игорь своим бездействием и гипофункционированием в свою очередь доказывает, что очень многое зависит от него, что главный – он и ничто и никто не сможет заставить его делать то, чего он не хочет. И эта борьба, становясь то острее, то утихая, продолжается постоянно.
Сплоченность. Данную семейную систему можно отнести к категории запутанных – в их взаимодействии много хаоса, нет четкой простроенной структуры, каждый требует от другого соответствовать его представлениям, быть лояльным к его желаниям и мировосприятию. У каждого есть свои идеи и модели, как им кажется, правильного построения жизни, и каждый пытается провести ее в жизнь. Супруг при любой угрозе дистанцируется, замыкается или «улетает» в виртуальный мир. При этом, как у зависимого человека, эта картина мира неустойчивая, нечеткая и зачастую фантазийная (Игорь: «Я не чувствую своей ответственности… У меня ощущение, что если даже сейчас не будет денег, я не пойду копать яму и грузить вагоны, чтобы хоть как-то заработать, у меня ощущение, что все может решиться само собой, без моего участия… что я вообще могу как-то выпрыгнуть из этой реальности»).
2. Оцениваем гибкость системы и ее способность к совершенствованию.
Семья Игоря и Светланы, безусловно, ригидна. Они никак не могут перейти на следующую стадию жизненного цикла семьи. Проживая столько лет вместе, они все еще не могут договориться о четких правилах, решая, по сути, задачи, которые скорее характерны для семьи молодоженов. Кроме того, любые изменения для этой семьи являются стрессовыми, и они с трудом приспосабливаются к изменившимся обстоятельствам.
Фокусы работы
Исходя из приведенных выше параметров, основными направлениями работы в рамках данного терапевтического случая являются следующие:
• Решение задач стадии жизненного цикла семьи, т. е. налаживание диадных взаимоотношений.
• Оптимизация границ – сделать внешние границы чуть менее диффузными, а внутренние – чуть более открытыми. Для этого необходимо наладить отношения между супругами, поощряя адекватные коммуникации между ними.
• Укрепление всех подсистем. Способствовать осознанию себя и как супругов, и как родителей, и как отдельных личностей.
• Оптимизация иерархии, т. е. способствование выстраиванию любой иерархической структуры. Главное, чтобы это структура была обоюдно принята. Возможность договориться по ряду важных вопросов сведет на нет борьбу за власть в данной системе.
• Помощь семье стать более сплоченной.
• С точки зрения ослабления ригидности, помощь семейной системе стать более гибкой.
Анализ воздействий
1. Присоединение к системе.
На первом этапе терапевт занимает ведущее положение в терапии. Присоединяясь к системе, он входит в нее, создавая рабочий альянс, который поможет в дальнейшем изменить ситуацию в семье, вызывающую стресс и дискомфорт. Здесь очень важно воздержаться от критики, внимательно выслушивать, не осуждать, сохранять спокойствие, несмотря на повышенное внутрисемейное напряжение. Не менее важно, подхватывая интонации, слова, метафоры, присоединиться к семейному стилю взаимодействия и демонстрировать осведомленность в важных для семьи темах. Позитивно переформулировав конфликты супругов (терапевт: «Так или иначе, но столь остро реагировать друг на друга могут только очень близкие люди»), терапевт помогает взглянуть на взаимодействия без неприятия друг друга.
2. Фокусирование на сфере дисфункционального взаимодействия и постановка диагноза.
Присоединившись к системе, терапевт приступает к переформулированию проблемы.
Терапевт: «Вы столкнулись с обычной ситуацией, характерной для людей, желающих бросить наркотики. Раньше, по сути, вы жили не вдвоем, а «втроем» – вы оба и наркотики. Все конфликты в семье сглаживались, откладывались решения возникающих проблем. Сейчас вы оказались в новой семье, и, как молодожены (несмотря на то, что у вас есть дети), учитесь жить вместе, договариваться, отстаивать свои позиции и ладить друг с другом. Вам приходится заново создавать свои отношения».
3. Выявление и видоизменение интеракций и помощью разыгрывания паттернов взаимодействия.
Каждому из супругов предлагается задание: на какие компромиссы он согласен, а каких компромиссов ждет от партнера. Терапевт уточняет, что задание касается и распределения прав и обязанностей по ведению быта, и их отношений, и взаимодействия с родственниками. Желательно, чтобы супруги затронули все стороны своей жизни.
Здесь происходит определение канвы для совершенно конкретных правил внутрисемейного взаимодействия. Помня о том, что именно абстрактность и завышенные ожидания не позволяют супругам договориться друг с другом, терапевт дает им задание с целью подробно распределить обязанности, и каждому из них предоставляется шанс самостоятельно, а не вынужденно взять на себя ответственность.
В процессе обсуждения становится понятно, что данная инсценировка не удалась, так как по любому поводу между супругами возникают ожесточенные споры.
Светлана: «Что бы я ни говорила или ни делала – все бесполезно! Ты совершенно меня не слушаешь!»
Игорь: «Опять ты перетягиваешь одеяло на себя, ты хочешь, чтобы все было по-твоему!»
Это наблюдение позволяет сделать следующую фокусировку:
Терапевт: «Между вами идет постоянная борьба. Похоже, что каждый из вас видит картину семейного счастья по-своему. И вам важнее быть правыми, а не счастливыми».
Дальше терапевт предлагает инсценировку, своеобразную игру-соревнование: «Всю следующую неделю предполагается выполнять такой ритуал: для Игоря – тщательно наблюдать за Светланой и считать все ее поступки, свидетельствующие о ее компромиссах с Игорем. В свою очередь Светлана наблюдает за Игорем и считает все его поступки, в которых он пошел на компромисс. Насчитавший больше «компромиссов» в партнере считается победившим».
Инсценировка, безусловно, носит парадоксальный характер и призвана бросить вызов семейной реальности. Оба супруга описывают друг друга как неуживчивых, не склонных к компромиссу, вечно борющихся. При этом своя собственная позиция не отслеживается и сами себя они воспринимают скорее как жертву. Подобная инсценировка призвана изменить взгляды членов семьи на реальность и позволить им изменить свое отношение друг к другу. Для того чтобы победить, каждый из них будет вынужден увидеть другого сотрудничающим и склонным к компромиссу, заметить в партнере как можно больше позитива.
4. Создание границ.
На следующую встречу супруги принесли длинные списки и с азартом зачитывали, что им нравится в поведении друг друга и какие конкретно моменты наиболее важны и ценны для каждого из них. До сих пор каждый прикладывал немало усилий для сохранения отношений, но, будучи сосредоточенным только на своем вкладе, напрочь не замечал усилий другого. Теперь же каждый из них открыл много важного для себя. Оказалось, что Игорь ценит, когда Светлана проявляет опеку и заботу о нем («приготовила еду, налила чай, когда ее попросили, погуляла с детьми, дала поспать лишний час»). Светлана же в свою очередь готова на многое, когда слышит от Игоря комплементы и видит в нем готовность разговаривать с ней. Выполнение задания позволило паре взглянуть друг на друга по-новому. Кроме того, задание позволило паре увидеть, что супруги проецируют друг на друга свои внутренние переживания и не стремятся верифицировать их путем обсуждения. Каждый из них домысливает за другого и на основе своих выводов строит подчас оскорбительные выпады в сторону партнера. Например: Светлана, увидев молчащего и погруженного в себя мужа, думает, что он не хочет общаться именно с ней, так как не ценит ее, не любит и вообще тяготится ею. Подобные мысли вызывают в ней обиду и злость, которую она отнюдь не держит при себе. Крики жены интерпретируются Игорем не как обида, а как агрессия, направленная на него, что вызывает ответную агрессию. Когда Игорь кричит на жену, она еще больше убеждается в том, что она для мужа – не женщина, которую он ценит. Все это поддерживает круг взаимных обид и злости.
Такая ситуация весьма характерна для подобных, крайне спутанных семей. Следовательно, дальнейшие вмешательства терапевта призваны структурировать семью, укрепить границы между подсистемами и повысить независимость отдельных личностей. С этой целью делается следующая фокусировка:
Терапевт: «Смотрите, как получается: даже, когда вы не вместе, вы настолько погружены друг в друга, что продолжаете вести мысленные диалоги с партнером, что-то додумываете, как-то интерпретируете действия и слова партнера. Причем, заметьте, партнер про эту интенсивную жизнь в воображении каждого из вас даже не знает. Так на кого же вы тогда обижаетесь? На партнера? Или на свои мысли о нем?»
Исходя из вышесказанного, далее следует инсценировка:
Терапевт: «Попробуйте поговорить друг с другом таким тоном, чтобы каждый из вас понял, что так важно для другого».
Далее терапевт инсценирует диалог между Игорем и Светланой, поощряя дружественные и любезные высказывания и блокируя враждебные. Данная инсценировка удалась, супруги смогли поговорить друг с другом к совместной радости.
В разговоре выясняется, что у Светланы и Игоря огромная потребность в совместности, постоянном контакте друг с другом. Однако все их попытки разделить общество друг с другом заканчиваются скандалами и взаимными обвинениями, что в свою очередь приводит их к отстранению друг от друга, ощущению пустоты и одиночества.
С целью прекращения хаотичного стиля общения и налаживания оптимальной коммуникации терапевт призывает членов семьи говорить за себя по очереди. Прерывания и вмешательства партнера блокируются, и паре необходимо помочь закончить разговор продуктивно. Для этого продуктивные коммуникации поощряются, а споры, взаимные обвинения и повышение тона блокируются. Кроме того, терапевт периодически прибегал к искусственному приему, игре, во время которой право говорить получал лишь один супруг – тот, кто в этот момент держал в руках ключ. Второй супруг в то время, когда ключ находилась не у него, обязан был слушать внимательно, не перебивая.
Используя подобную стратегию, супруги смогли успешно обсудить ряд вопросов и претворить в жизнь ряд соглашений. Вот некоторые из них:
• функциональные разделения обязанностей в семье;
• совместность и раздельность, т. е. что они хотят делать вместе, а что порознь;
• как для каждого из них выглядит забота, и в какой поддержке нуждается каждый из них;
• как в необидной форме выражать свое несогласие с позицией партнера;
• права и обязанности каждого супруга;
• семейный бюджет.
Важны не только темы и достигнутые результаты, но и то, что супруги получили опыт успешного построения коммуникаций. Они попробовали – и у них получилось:
• слушать и слышать друг друга;
• не критиковать;
• не нападать;
• не обороняться;
• быть открытыми;
• отстаивать свои интересы, не оскорбляя партнера;
• идти на компромисс.
5. Изменение равновесия.
Нарушая равновесие, терапевт периодически присоединялся то к одному члену семьи, то к другому. Подобное нарушение равновесия является частью борьбы за изменения, которая иногда принимает вид поединка.
Например, Светлана рассказала, что когда она недовольна мужем, ей бывает трудно удержаться от негодования и оскорблений мужа. Комментарий терапевта: «Вам очень хочется близости, помощи и поддержки, но вы пытаетесь добиться ее максимально неподходящим способом, делаете все, чтобы Игорь отстранился…».
В ответ на рассказ Игоря о том, что он чрезвычайно злится на жену, но всячески подавляет свой гнев, и именно это заставляет его задерживаться на работе или у друзей, терапевт говорит: «Вы так бережете жену от своего гнева, что фактически лишили себя семьи. Кроме того, как Светлана может узнать, как ей обращаться с вами, если вы никак не комментируете ее поведение, не сообщая, что вам приятно, а что – нет?».
6. Борьба с непродуктивными предположениями и перестройка реальности.
Вмешательства вне рамок сессии, так же как и приемы, применяемые во время встреч, способны повлиять на конструирование семьей ее текущей реальности. Семья обрела определенный взгляд на свою реальность, но существуют и альтернативы ей. Схема семейной реальности может быть подвергнута сомнению и модифицирована. Чтобы наладить оптимальную коммуникацию между супругами, им было дано предписание: всю неделю строить свои взаимоотношения с партнером так, чтобы доставлять ему удовольствие, не говоря, однако, в чем состоит план. На следующей сессии каждому из супругов предлагалось описать позитивные изменения, произошедшие в другом.
На следующей встрече супруги сидели рядом и по очереди описывали, на какие взаимные компромиссы они идут, как они стали прислушиваться к словам друг друга, как из их отношений исчезли критика, оскорбления и крики и как стало больше взаимопонимания, спокойствия, взаимной поддержки и нежности.
Терапия продолжалась на протяжении восьми сессий в режиме один раз в неделю.
Результаты работы
Супруги стали в значительно меньшей степени проецировать друг на друга свои чувства.
• Они не впадают в состояние аффекта при общении друг с другом.
• Укрепились внутренние границы семейной системы.
• Укрепилась супружеская подсистема.
• В процессе взаимодействия менее ярко проявляются их потребности занять главенствующее место в семейной иерархии (борьба за власть стала менее выраженной).
• Слитность, с которой они пришли в терапию, имеет тенденцию трансформироваться в сплоченность.
• Хаос в отношениях стал менее выраженным, есть потенциал к упорядочиванию.
• Наладились межличностные коммуникации.
• Видны проявления склонности к достижению компромиссов.
Литература
Браун Дж., Кристенсен Д. Теория и практика семейной терапии. СПб.: Питер, 2001.
Бейтсон Г. К теории шизофрении // Г. Бейтсон. Экология разума. М.: Смысл, 2000.
Будинайте Г. Л., Варга А. Я. Теоретические основы системной семейной психотерапии // Системная семейная психотерапия: классика и современность. М.: Класс, 2005.
Варга А. Я. Введение в системную семейную психотерапию. М.: Когито-Центр, 2009.
Вацлавик П., Бивин Дж., Джексон Д. Психология межличностных коммуникаций. СПб.: Речь, 2000.
Минухин С., Фишман Ч. Техники семейной терапии. М.: Класс, 1998.
Николс М., Шварц Р. Семейная терапия. Концепции и методы. М.:
Эксмо, 2004. Фримен Д. Техники семейной терапии. СПб.: Питер, 2001.
Хамитова И. Ю. Диагностика семьи // Системная семейная психотерапия: классика и современность. М.: Класс, 2005.
Черников А. В. Системная семейная терапия: интегративная модель диагностики. М.: Класс, 2001.
Шерман Р., Фредман Н. Техники семейной терапии. М.: Класс, 1997.
Шлиппе А., Швайтцер Й. Учебник по системной семейной терапии и консультированию. М.: Институт консультирования и системных решений, 2007.
Haley J. Leaving Home. N. Y.: McGrow Hill, 1980. Haley J. Problem-solving therapy. San Francisco: Jossey-Bass, 1976.
Minuchin S. Families and Family Therapy. Cambridge, MA: Harvard University Press, 1974.
Психотерапия пар по методу Вирджинии Сатир
Е. Н. Фарих
Системный подход включает множество ярких психотерапевтических школ, имен, среди которых имя Вирджинии Сатир остается по-прежнему привлекающим внимание.
Начало системной терапии ассоциируется с исследованиями в Пало-Альто, с изучением коммуникаций в семьях шизофреников в проекте Грегори Бейтсона. В. Сатир – одна из тех, кто присоединился к нему в том проекте.
Теория коммуникации, разработанная в Пало-Альто, стала опорной для семейных терапевтов, сформулировав в своих рамках важные представления об избыточных паттернах семейных взаимодействий, уровнях коммуникации, информационном обмене. Сатир, как и другие участники группы, интересовалась коммуникативными процессами семьи, работала с ошибками и сложностями коммуникации.
Но в отличие от других первых системных терапевтов, Сатир была еще и последовательницей гуманистических представлений в психологии, идей Абрахама Маслоу и Карла Роджерса. От гуманистической традиции – во взглядах Сатир сосредоточенность на настоящем опыте взаимодействия – теперешнем, получаемом прямо в кабинете терапевта, особое внимание к самооценке и ее влиянию на коммуникацию, представление о важности терапевтического контакта, его составляющих.
Чтобы практикующий семейный терапевт сегодня смог воспользоваться уникальными инструментами такого мастера, исследователи, историки метода пытаются «алгеброй» анализа «разъять» гармонию искусства Сатир, выделить основные принципы и воздействия ее терапевтического репертуара и попытаться взглянуть на них с точки зрения возможности их воспроизведения и применения.
На что, анализируя написанные Сатир книги и посвященные ей исследования ее коллег, особенно важно обратить внимание для работы с супружескими парами?
Прежде всего, это взгляд на семью как систему, воспроизводящую определенный цикл коммуникации. Об этом Сатир писала в знаменитой «Психотерапии семьи», эти идеи разрабатывала позже в соавторстве с Р. Бэндлером и Д. Гриндером. Для системных представлений особым значением обладает конгруэнтность сообщений, передаваемых друг другу членами семьи. Человеческое общение происходит на вербальном и невербальном уровне одновременно; при несовпадении содержания этих уровней образуется неконгруэнтность. По мнению Сатир, неконгруэнтность сообщений даже одного из участников взаимодействия способна образовать заданный цикл общения, в котором конфликтующие послания затрудняют и передачу, и восприятие информации и разрушительно влияют на отношения, внося холод и боль.
Особую роль в формировании подобной коммуникации играют шаблоны общения, аккумулирующие особенности картины мира говорящего и – шире – принятые им из его родительской семьи. В супружеском конфликте обмен шаблонами общения усиливается и затрудняет поиск конструктивных решений. По словам Сатир, «дисфункциональная личность не способна осуществлять самую важную функцию коммуникации, а именно „проверку“ собственного восприятия с целью сличения его с реально существующей ситуацией и с мнением на сей счет партнера по общению» (Сатир, 2001, с. 157). Приписывая партнеру в новой ситуации свойственные ему в прежних случаях мысли и чувства как единственно возможные, люди лишают отношения развивающей энергии, способности к изменениям.
В школе Сатир задача терапевта в подобном случае – создать модель открытого конгруэнтного общения, сфокусироваться на опасных для взаимодействия штампах и с помощью проясняющих вопросов «разоружить» их, таким образом дав клиентам в ходе терапевтической встречи новый опыт общения – более открытый и внимательный, расширяющий границы их представлений друг о друге. То есть, чтобы помочь клиентам приблизиться к их способностям к самоактуализации для нахождения нужных в проблемной ситуации решений, терапевту нужна его собственная конгруэнтность, знание собственных лингвистических шаблонов и готовность им противостоять. Отказ от априорного знания и интерес к реальности взаимодействия клиентов помогает формулировать более ясную и точную терапевтическую обратную связь.
С позиций системности терапию Сатир характеризует и ее фокусировка на действии, на использовании новых форм поведения. Исследователи пишут о Сатир как о «любящем, но твердом учителе» – она помогала перейти к новому опыту взаимодействия, освоить его в ходе терапевтической встречи и таким образом закрепить. Семейная скульптура как техника, позволяющая многое сказать без слов, символически изобразить сложности отношений и обойти защитные механизмы – наследие Сатир. С помощью скульптуры при самых сложных и запутанных коммуникациях можно увидеть суть происходящего, особенности семейного устройства. Применение техники позволяет обсудить многое, к чему, возможно, другим способом сложно подойти.
Можно сказать, что и в чуткости к человеческому слову, и вложенным в него смыслам Сатир предвосхитила все последующее развитие системной терапии, постулируемые постмодернизмом могущество и многогранность «империи языка», создающей наши реальности. Внимание к вербальным особенностям, формирующим и выражающим картину мира клиента, и к заложенным в них возможностям ее изменения и развития выражено в известной работе с «Я-позицией», в особой поддержке клиентов на выбранном пути прямой и ответственной коммуникации.
Гуманистическая традиция в позиции терапевта в рамках школы Сатир проявляется в создании атмосферы доверия и безопасности, помогающей – вместе с другими приемами – раскрыть ресурсы человека, стимулирующие к личностному росту, в бережном обучении общению более полезным и удовлетворяющим способом. Приемы Сатир основаны на уважении к людям, представлении об их врожденной способности к самореализации и потребности в самоуважении: это – и допущение позитивного намерения в случае самых разных форм поведения, разделение намерения и поведения, отсутствие обвинений (деструктивное поведение возникает, если нет возможности научиться конструктивному), позиция равенства в отношениях с людьми и многое другое. В самом подходе к семье как к системе, переживающей трудные моменты в ходе жизненного цикла, но сохраняющей ресурсы и способности к изменению, – проявление уважения и признания ценности человека.
Синтез системного и гуманистического, стремление к объединению этих идей, живущее и в собственных книгах Сатир, и в литературе по системной терапии, где ее коллеги и современники еще и еще раз возвращаются к ее методу, может быть ключом к пониманию особого дара знаменитого мастера и инструкцией к практическому применению для впечатленных учеников.
Принимая невозможность повторения, допустимо эти общие моменты принять за «инструкцию» для следования в практических ситуациях.
Вернемся к заявленному как тема – к работе с супружеской парой.
Краткое описание случая
За психологической помощью обратилась супружеская пара: жене Л. 33 года, мужу С. 36 лет. Повод обращения – сексуальная дисфункция жены, от которой зависит продолжение брака. С. говорил о том, что в течение последнего времени не чувствует удовлетворения от сексуальной жизни, что просил жену прислушаться к его потребностям, но ничего не меняется. Медицинских проблем нет; доктор посоветовал обратиться к психологу. Л. подтверждала: да, после рождения общего ребенка сексуальное желание значительно снизилось; она переживает, но не знает, что можно сделать, хотя готова следовать рекомендациям специалиста.
Как семейный психолог терапевт предупредила, что для понимания происходящего необходимо в некоторой мере собрать представления и обо всем другом. Супруги согласились. Первая встреча была посвящена сбору информации, наблюдениям за паттернами взаимодействия, проверке первичной гипотезы. Главным оратором пытался быть С., Л. отвечала чаще односложно, и муж тут же старался объяснить, что именно хотела сказать его жена. Попытка терапевта разъяснить конструктивность общения из «Я-позиции» удавалась с трудом. В этом взаимодействии муж был своеобразным рупором, и было важно принять и его тревожную многословность, ограничивая ее в необходимых случаях, и не потерять контакт с женой, проясняя и поддерживая ее вступления в беседу. Договорились о сексуальной терапии, первое домашнее задание было направлено на тренировку чувственного фокусирования.
Было очевидно, что супруги приготовились к обсуждению непростой темы, но разговор развивался нелегко. Тревога появлялась в ответ на проясняющие вопросы, возникали защитные формулировки «да я уже все сказал», «ну, это же всем понятно». В эти моменты помогало обращение к рефреймингу, фокусировка и усиление позитивных моментов коммуникации, отражение ресурсных эпизодов.
Вторая встреча была гораздо эмоциональней. С. говорил о том, что упражнение в принципе неправильное, поскольку в подобной ситуации нельзя от человека ждать способности расслабиться и говорить о своих ощущениях. Нет таких слов! Это надувательство! Л. сказала, что опыт был странный, со словами действительно сложно и все сложнее, чем они себе представляли. Но ей упражнение показалось любопытным, и не было так неприятно. Жаль, что для С. это пытка, она бы продолжила. Он сердился, она оживилась. Как поддержка было встречено позитивное переформулирование терапевта о том, что они так отважно говорят о сексуальных сложностях (отважнее многих!), что это дает надежду на последующие удачи в экспериментировании; было подчеркнуто их творческое начало. В ходе этой встречи было больше возможности для работы с шаблонами общения, возникло большее равновесие – участвовали в обсуждении поровну. Но к завершению беседы оказалось, что продолжать выбранный способ работы они пока не готовы. Было предложено встретиться по отдельности.
Позиция терапевта здесь была принимающая и поддерживающая – говорить о сексуальных проблемах многим людям непросто, важно было эту тревогу нормализовать.
Из отдельных встреч стало понятно, что представления о близости, о допустимости давно стали трудной темой, и не было способов обсудить это между собой без угрозы для самооценки. О сексе оказалось говорить проще – отвлеченнее и механистичнее; супруги представляли, что сама тема обращения фокусирует их на одной части отношений, позволяя избежать других, более болезненных. Но необходимость обсуждения чувственных ощущений сделала видимой неконгруэнтность коммуникации, накопившиеся предубеждения и недоверие.
Эти встречи, наряду с другими техниками системного подхода, включали и работу с коммуникативной заданностью, и рефрейминг, и обсуждение позитивных намерений друг друга.
На пятой – общей – встрече, после сложностей, возникших с вербальным формулированием, терапевтом была предложена работа с коммуникационными позами: фокусирование на рассогласованности сообщений, обращенных друг к другу, на том, как сложно донести до другого свое желание, если не стремишься ясно и полно выразить его; как ресурс использовались присутствовавшие на прежних встречах моменты искренности и самораскрытия. Тема сексуальной дисфункции перешла в тему эмоциональной дистанции, невысказанных ожиданий. Работа этой сессии была сосредоточена на обсуждении возникших впечатлений, создании нового опыта общения. Итогом стал контракт на супружескую терапию.
И в работе с парой, переживающей горе, и в работе с ситуацией супружеской измены принципы и техники Вирджинии Сатир также были полезны и эффективны.
Литература
Андреас С. Эффективная психотерапия. Паттерны магии В. Сатир. СПб.: Прайм-Еврознак, 2007.
Николс М., Шварц Р. Семейная терапия. Концепции и методы. М.: Эксмо, 2004.
Сатир В. Психотерапия семьи. СПб.: Речь, 2001.
Сатир В. Вы и ваша семья: Руководство по личностному росту. М.: Апрель-Пресс, Ин-т общегуманитарных исследований, 2007.
Сатир В., Бэндлер Р., Гриндер Г. Семейная терапия. Практическое руководство. М.: Ин-т общегуманитарных исследований, 2008.
Шлиппе фон А., Швайтцер Й. Учебник по системной терапии и консультированию. М.: Ин-т консультирования и системных решений, 2007.
Психотерапия коммуникаций в супружеской паре
А. Я. Варга
Системная семейная психотерапия появилась примерно в середине ХХ в. Первые работы (Сельвини Палаццоли и др. 2002; Haley, 1997) были посвящены семьям, где ребенок страдал тем или иным психическим заболеванием – шизофренией, анорексией. Идентифицированным пациентом долгое время был ребенок. Работы пионеров системного подхода показали, что не существует отдельных детских проблем. Все проблемы ребенка являются индикаторами проблем всей семьи, иначе говоря, супружеских отношений – недостающей части целого. Все сложности в развитии и поведении ребенка – это способы, с помощью которых стабилизируются отношения в супружеской паре. В результате терапии меняются способы функционирования семейной системы, и ребенку уже не нужно вести себя дисфункционально для того, чтобы родители занимались его проблемами, вместо того чтобы решать свои. Тем не менее сама по себе супружеская дисфункция лишь недавно стала предметом психотерапии. Пегги Пэпп в 1983 г. писала: «Невозможно проводить семейную терапию с двумя людьми, которые не желают исследовать свои взаимоотношения, даже если психотерапевт вполне уверен, что проблемы ребенка неразрывно связаны с разладом в супружеских отношениях. <…> До тех пор, пока супруги не смогут увидеть, каким образом их супружеская проблема связана с симптоматичным поведением (ребенка – А. В.), у них не будет никакого стимула заниматься исследованиями своих отношений» (Пэпп, 1998, с. 162). Супружеские отношения не были приоритетом ни для пары, ни для психотерапевта. Приоритетом был ребенок. С тех пор изменилась социокультурная ситуация (см. ст.: А. Я. Варга, Г. Л. Будинайте. «Современный брак: новые тенденции» в настоящем сборнике). Теперь брачные отношения стали важными сами по себе.
Заключение брака и начало совместной жизни пары – обычно трудное время для супругов. Роман и жизнь под одной крышей – совершенно разные вещи. Пока не было общей территории и не было таких важнейших признаков близости, как одновременный сон и прием пищи, не возникала стабильная новая семейная система. Общая территория – главная организующая составляющая новой семьи. Во время романа люди свободны от рутины быта, они находятся на большей дистанции, которая позволяет им и отдыхать друг от друга, и мечтать о встречах. Когда люди начинают жить вместе, они должны договориться об очень многих вещах. Распределение функций в семье: как отдыхать и кто этот отдых организует, кто первый занимает ванную, когда заводить ребенка и что является сексуально привлекательным поведением – вот лишь часть списка. О том, что не вызывает сильных переживаний, можно договориться легко. В первое время брака почти все вызывает сильные эмоции, потому что все является знаком отношения. «Я уже легла, а он сказал, что хочет досмотреть футбол. Это – про футбол или он уже охладевает ко мне?» «Себе чай первой налила – это что, теперь так и будет: себе все, а мне ничего?» При высоком уровне доверия можно озвучить внутренние беспокойства и избавить себя от многих проблем в дальнейшем. Есть вещи, практически неосознаваемые. Например, пересечение границ общей территории: по какому сценарию это должно происходить? Обычные биосоциальные правила пересечения границы общей территории: тот, кто внутри, радостно и ласково встречает того, кто приходит. Обычные ожидания того, кто встречает: вот сейчас начнется общение. Кто-то хочет, придя домой после трудного дня, побыть один, ему нужен тамбур, чтобы перейти из рабочего состояния в домашнее.
Это, однако, не значит, что он не хочет, чтобы его встречали. Он хочет, чтобы его радостно встречали и не обижались на то, что он еще не готов к общению. Получается, что восторг одного человека встречается с игнорированием со стороны другого. Один человек полагает, что такое игнорирование не обижает и не должно ни на что влиять; другой человек полагает, что создав брак, человек меняет привычки холостой жизни – например, будет обходиться без тамбура. Понять эти механизмы очень сложно, тем более сложно их обсудить.
Еще один системный механизм касается правил иерархии. Люди не жили вместе, и вопрос о том, где чьи вещи не вставал. Когда они съезжаются, надо понять: чашка у каждого своя или нет? место за столом фиксированное или нет? кухонное полотенце имеет свое место или может валяться где придется? И главное: кто это решает? Потому что кто устанавливает правила совместной жизни, тот и главный. Семейная система организуется по иерархическому принципу. В каждой момент ее существования в ней есть иерархия. В функциональной семье иерархия понятна и ее легко можно менять в зависимости от требований среды. Люди способны распределить зоны жизни и решить, кто в какой зоне главный. В дисфункциональной семье иерархия либо очень ригидная, либо является целью схватки. Например, жена считает, что она главная в устройстве быта, и муж как бы с этим не спорит, но всегда проходит в уличной обуви от входной двери на кухню, если приносит покупки. Это повод для ссоры, потому что жена убедительно просит уличную обувь оставлять в прихожей. Она считает, что неподчинение ее правилам означает, что муж ее не уважает. А муж много работает, содержит жену и ожидает, что она будет это ценить: например, просить у него денег, транжирить их, устраивать искрометный секс после таких милых безумств. А она не любит быть в зависимом положении, бережет деньги мужа, старается на себя не тратить и компенсирует свою зависимость тем, что создает сложные правила организации быта. Понятно, что муж также считает, что жена его не уважает, раз придирается к мелочам. Люди чувствуют дискомфорт в общении друг с другом, и это их расстраивает дополнительно, потому что они соединялись для счастья и радости, а не для огорчений.
Для функционального развития вновь созданной семейной системы необходимо, чтобы были реализованы три составляющие.
1. Оптимальное количество разделенной информации. Для переживания близости, доверия и комфорта в совместной жизни у людей, живущих вместе, должно быть ощущение, что они знают друг о друге определенное количество и базовой (про прошлое человека, значимые события в его жизни, его родственников, друзей, коллег), и текущей информации (про то, как прошел день, как человек себя чувствует, как он относится к своему партнеру). Опытным путем люди приходят к определению этого количества информации и к пониманию приоритетов в этой зоне – того, о чем следует сообщать в первую очередь. Например, Ф.М. Достоевский в письмах жене много писал о состоянии своего здоровья и деталях работы кишечника; М. И. Кутузов, который редко бывал дома, давал распоряжения по хозяйству; Алан Милн написал автобиографичный роман «Двое», в котором действие начинается с того, что герой сообщает жене, что написал роман.
«Реджинальд Уэллард набивал трубку, а сам ждал, что скажет жена. И дождался.
– Подумать только! – произнесла она.
Реджинальду, непонятно почему, вдруг захотелось оправдаться.
– В конце концов, – сказал он, – человеку нужно чем-то заниматься.
– Дорогой, – улыбнулась Сильвия, – я же не упрекаю тебя».
Здесь вообще не понятно, что эти двое делают вместе. А между тем это в каком-то смысле описание счастливого брака, только максимальная степень близости для этой пары покажется дистанцией для многих.
Теперь коммуникативные технологии изменились, контакт очень упростился – Интернет и мобильные телефоны дают возможность быть в постоянном контакте. На мой взгляд, это не способствует развитию близости. Создается некий эрзац: люди в разлуке могут не отключать скайп и создавать иллюзию полной совместности – есть, наблюдая партнера на экране, и спать с повернутым экраном. Это не помогает им глубже узнавать друг друга. Прелесть разлуки заключается в том, что люди, свободные от необходимости немедленно реагировать на получаемые сообщения, могут создавать продуманные послания и перечитывать полученные, спокойно понимать их, не позволяя эмоциям затуманивать сознание.
Кроме того, пара «договаривается» о том, кто более открыт. В одном браке распределение было таким: жена старается все рассказывать мужу, и когда муж внимательно ее слушает, оба довольны. Не требуется, чтобы муж так же подробно рассказывал о том, как прошел его день. Проблемы возникают, когда муж не слушает жену. В другой семье считается правильным, когда оба супруга делятся значимой информацией. Важно договориться о том, кто отвечает за понимание: кто дает сообщение или кто его получает. В одной супружеской паре муж – большой ученый – априори считается выключенным из обыденной жизни. Жена не в состоянии понять, чем он занят, и ей это в целом неинтересно. Жена организует домашнюю жизнь, например, просит мужа совершать некие покупки. Тогда муж получает подробный список с инструкциями и жена еще звонит по ходу дела. В их совместной жизни жена отвечает за понимание.
1. Определенное количество совместно пережитого опыта. Если люди только общаются, но ничего не делают вместе – это виртуальный роман. Если люди только что-то делают вместе – занимаются любовью, едят и развлекаются, но мало знают друг о друге, – это компаньоны. Для некоторых пар достаточно опыта, который они вместе переживают дома и в магазине, для других необходимо и отдыхать вместе, и развлекаться, для третьих значимо вместе общаться с друзьями и/или родственниками. Главное, чтобы совпадали приоритеты.
2. Общая картинка благоприятного будущего. Супруги должны понимать, зачем они вместе, причем понимать более или менее одинаково. Чтобы родить и вырастить детей – вот самая частая причина брака. Дети придают много смысла этому предприятию, структурируют жизнь супругов, наполняют ее заботами и радостями. Они же часто становятся «гробовщиками» супружества – переводят супругов в состояние родителей безвозвратно. В последнее время дети перестали быть универсальным оправданием для брака, стало возникать много специфических причин, да и сам брак стал хрупким. Именно поэтому общая картинка благоприятного будущего – это крайне необходимое ребро жесткости. Пара примерно одинаково представляет себе, как хорошо они буду жить летом, через год и в старости. В это понимание «хорошего» входят и появление, и будущее детей, и как заботиться о родственниках, как отдыхать, приумножать ли состояние, как обеспечивать свою старость и т. п.
Помимо этих трех составляющих, в функциональном браке должна быть определенным образом устроена коммуникация между супругами.
Любая социальная система пронизана коммуникациями, буквально затоплена ими. Дело в том, что в человеческой группе коммуникации тождественны поведению. Поведение есть всегда, «неповедения» не бывает. Согласно системной теории, любое поведение несет в себе информацию (Вацлавик и др., 2000). Фактически, супруги погружены во взаимодействие и общение, хотят они этого или нет. Избежать коммуникации невозможно. Таким образом, будучи в группе, пусть даже состоящей из двух человек, человек находится в информационном поле. Он постоянно дает сообщения и получает их. Отказ от общения также является сообщением. Чем теснее связаны между собой в группе люди, тем большим количеством информации они обмениваются. Информативными являются не только слова, тон голоса, жесты и выражение лица, но и всякое изменение. Например: «Раньше звонил пару раз в течение дня с работы, чтобы узнать, как дела, а теперь не звонит вообще». «Раньше целовала, провожая на работу, а теперь просто говорит „пока“».
В функциональной семье изменения обсуждаются, в дисфункциональной часто не обсуждаются. Возникают зоны молчания, люди предпочитают не проверять свои версии происходящего, а принимать их за истину. Например, муж звонит жене с работы, просит взять из ящика письменного стола какие-то документы и прочесть их ему по телефону. Когда жена убирала документы обратно, она обнаружила фотографии мужа с некоей женщиной. Эротический характер их отношений не оставлял сомнений. Отношения в этой супружеской паре конфликтные. Жена материально полностью зависит от мужа. В семье четверо детей. Жена очень расстраивается, рыдает тихо, чтобы никто не заметил, встречает мужа как обычно, но с этого момента перестает заниматься с мужем любовью. Муж, сделав пару попыток, отступает и не расспрашивает жену о причине такого ее поведения. Супруги начинают отдаляться друг от друга, разъезжаются по разным комнатам и живут таким образом несколько лет. В какой-то момент супруги попадают к семейному психотерапевту в связи с навязчивой мастурбацией сына. В ходе терапии вышеописанная ситуация всплывает. Жена объясняет, что она не стала ни о чем спрашивать мужа, потому что была уверена, что он ничего не скажет и вдобавок будет злиться и уйдет как раз к той самой женщине. А муж не обсуждал сексуальную жизнь с женой, потому что полагал, что ему «отказано от тела», потому что он плохой любовник. Понятно, что любому поведенческому проявлению люди приписывают смыслы. Адекватно понять их можно только в контексте определенной коммуникативной ситуации. Например, симптомы болезней несут определенные сообщения и имеют смысл в коммуникативном контексте. Всем хорошо известны истории о том, как у жены «болит голова» для того, чтобы не заниматься сексом. Голова действительно болит, возможно, и из-за напряжения, и тревоги связанной с тем, что по некоторым признакам жена «поняла», что муж вознамерился заняться сегодня любовью, жена этого не хочет, а сказать об этом боится, потому что муж может обидеться, а конфликта не хочется, а секса тоже не хочется, а что делать, непонятно, тут-то голова и заболи. Можно принять таблетку от головной боли и завести трудный разговор с мужем про то, как этот самый секс реорганизовать, чтобы жене хотелось его чаще. А можно таблетку не принимать, пожаловаться на головную боль, получить порцию сочувствия от мужа и, заметьте, никакого секса. И, кстати, никаких трудных разговоров про это. И муж доволен, потому что не очень-то и хотелось. Так головная боль становится осмысленным сообщением в определенной коммуникативной системе. В системной теории считается, что психические заболевания также являются сообщениями. Симптоматическое поведение соответствует той коммуникативной системе, в которой оно осуществляется. Стоит изменить правила коммуникации, как меняется симптоматическое поведение вплоть до его полного исчезновения (Варга, 2009). Человеческая коммуникация обладает рядом особенностей и свойств.
1. Люди используют как цифровой, так и аналоговый способ коммуникации. Слова, их написание, называние вещей, явлений и пр. – это цифровая коммуникация. Она не имеет сходства с обозначаемым. Почему «к-о-р-о-в-а» обозначает корову? Никакого сходства с реальным животным. В цифровом коде даже петухи разных стран кричат по-разному, хотя понятно, что звук они издают один и тот же, а язык «оцифровывает» этот звук по-своему. Невербальная коммуникация – это аналоговая коммуникация, это язык мимики и жестов, тона голоса. В тех случаях, когда общение имеет прямое отношение к эмоциональному взаимодействию, оно становится «более аналоговым». В общении обе коммуникации сочетаются и дополняют друг друга.
В аналоговых «высказываниях» нет точности, многие сигналы нуждаются в пояснениях: слезы горя или радости? сжатые кулаки от сдерживаемой агрессии или от смущения? Прояснить ситуацию может цифровой текст. Словесные высказывания отражают эмоциональные состояния очень приблизительно. Они тонко передают смысл, но довольно грубо – оттенки взаимоотношений. В прекрасном фильме «Развод по-итальянски» влюбленная жена постоянно спрашивает мужа: «Ты меня любишь?», а он устало отвечает: «Да, дорогая». Понятно, ей этого недостаточно, потому что высказывание не подкреплено аналоговым текстом. Тогда жена спрашивает: «А как ты меня любишь?». Трудности «перевода» с одной коммуникации на другую возникают постоянно. У людей серьезный роман, и они хотели бы провести жизнь вместе. Жениться или нет? Ухаживание, любовные отношения – аналоговое поле. Оформление брака, брачный контракт – цифровое поле. Трудность этой ситуации определил Джей Хэйли: люди не могут понять: они вместе, потому что так они хотят или потому что они должны. Аналоговое высказывание отражает внутреннее состояние говорящего и может противоречить цифровому тексту. В такой противоречивой ситуации мы бываем очень часто.
Пример патогенного противоречивого сообщения описала группа Грегори Бейтсона (2000).
Группа наблюдала семьи детей, которые страдали шизофренией, и обнаружили некий стереотип взаимодействия, который они назвали double bind («двойная связь», у нас принят термин «двойная ловушка»). Это постоянно поступающее к ребенку неконгруэнтное (на цифровом уровне одна информация, на аналоговом – прямо противоположная) сообщение в ситуации, когда он не может выйти из общения. Работа проводилась в 1969 г., когда всех – и терапевтов и клиентов – интересовали семьи с детьми. Тогда считалось, что постоянная «двойная ловушка» может породить шизофреническое поведение у ребенка.
Бейтсон приводит пример: в больнице находится мальчик, страдающий шизофрени ей, к нему приходит мама. Она сидит в холле. Он выходит к ней и садится рядом, близко. Она отодвигается. Он замыкается и молчит. Она говорит: «Ты что же, не рад меня видеть?». И добавляет: «Ты не должен стесняться своих чувств, дорогой». Вот что происходит: на одном коммуникативном уровне она показывает ему, что хотела бы увеличить дистанцию, при этом на другом – вербальном – она ничего подобного не делает. А когда он реагирует на невербальный уровень, то получает осуждение, негативную реакцию. И выйти из общения, т. е. покинуть родителей, ни один ребенок не может. Чем меньше ребенок, тем труднее ему вообще помыслить о выходе из этого поля, потому что он жизненно зависит от родителей. Кроме того, он всегда к ним просто привязан. Что бы ни делали родители, ребенок до определенного возраста с ними полностью связан эмоционально. Поскольку никакая реакция ребенка не является правильной, то он аутизируется, потому что не может быть адекватным. Он просто выходит из общения.
Ситуаций противоречия цифрового и аналогового способов коммуникаций в супружеской паре очень много. Говорит, что соскучился, но домой не спешит. Говорит, что любит, но к сексу не стремится. В глаза не смотрит и не разговаривает, но говорит, что все в порядке. Неконгруэнтная коммуникация порождает тревогу и недоумение. Обсуждать такую ситуацию очень трудно, потому что у человека возникает ощущение, что, может быть, он просто сам параноик, о чем супруга (супруг) сто раз ему (ей) и говорила (говорил), когда он (она) пытался (пыталась) указывать на противоречия: «Я тебя всегда люблю, а сексом заниматься не хочется сегодня». «Я люблю с тобой разговаривать, просто сегодня очень спать хочется».
2. Все коммуникационные обмены могут быть или симметричными, или комплементарными. Эту особенность общения впервые отметил Бейтсон в 1935 г. Он описал два варианта взаимодействия разных культурных сообществ. Один вариант – отношения взаимодополнительности. Они возникают в тех случаях, когда стремление и поведение двух групп различаются. Допустим, одна группа ведет себя агрессивно, а вторая покорна. Если эти поведенческие паттерны устойчиво сохраняются, то можно говорить о комплементарном схизмогенезе. Различия нарастают: с одной стороны, увеличивается агрессия, а с другой – покорность. Они подкрепляют друг друга, и происходят захват, аншлюс, аннексия, экспроприация. Второй вариант – те случаи, когда поведение двух групп одинаково и их интересы одинаковы. Тогда, при симметричном схизмогенезе, мы видим взаимное нарастание, допустим, агрессии и в пределе – войну. Или стороны ведут себя мирно и хотят сотрудничать, тогда мы видим в идеале объединенную Европу, всеобщее разоружение, безъядерный мир.
Такие же особенности общения свойственны парному взаимодействию людей. При комплементарном паттерне взаимодействия мы видим пары: палач – жертва, самоутверждение – покорность, хвастовство – восхищение и т. п. При нарастании различий один член пары все время приспосабливается к другому и теряет себя в отношениях. Он перестает понимать свои желания, мотивы, стремления, не осознает своего внутреннего содержания. Так же как при нарастании комплементарного схизмогенеза групп две равноправные страны заменяются метрополией и колонией, так и в паре вместо двух разных людей возникает то, что Мюррей Боуэн называл «нерасчлененная эго-масса». При симметричном схизмогенезе в паре люди общаются по принципу «око за око, зуб за зуб». При таком взаимодействии различий становится все меньше и меньше. Выстраиваются другие пары: гнев – гнев, агрессия – агрессия, равнодушие – равнодушие. Поведение и устремления у людей одинаковые, они представляют собой два зеркала, стоящие друг напротив друга. Понятно, что взаимная агрессия приводит к насилию в семье, а при взаимной невключенности или покорности люди не могут принимать решений, и динамика семейной жизни практически замирает.
Люди – пленники коммуникативных паттернов. Их поведение подчиняется коммуникативной логике. В дисфункциональной семье многие процессы очень ригидны. Коммуникативные паттерны – не исключение. Возникают стереотипы взаимодействия, и люди им следуют. В функциональной супружеской паре мало стереотипов взаимодействия, паттерны симметричности и комплементарности меняются быстро.
3. Каждая коммуникация имеет содержательный аспект и аспект отношений. Коммуникация не только передает информацию, но и влияет на поведение. Иногда коммуникацию подразделяют на описательную и побудительную. Представьте себе прибор. Есть его описание – содержательный аспект. Есть инструкция – что надо делать, чтобы им пользоваться – это побудительный аспект, или информация об информации. В человеческом общении все устроено так же, но выглядит более драматично. Побудительный аспект коммуникации, или информация об информации, формирует взаимоотношения людей.
Муж целеустремленно напивается в гостях. Жена угрожает, что уедет домой одна. Это содержание сообщения, собственно информация. Муж в ответ умиляется и тянется целоваться, т. е. дает информацию, что не воспринял угрозу всерьез. «Я не шучу» – это информация об информации.
Чаще информация об информации скрыта в общении. Интересные примеры приводит И. Утехин: «Где ты опять оставляешь свои носки, ты никогда не выключаешь свет на кухне, почему за тобой всегда надо убирать, крошки на скатерти, мусор не вынесен…» (Утехин, 2004, с. 1).
Информацией об информации являются слова «всегда», «никогда», «опять». Утехин обобщает их в одном слове «доколе?». Один воспитывает, а другой является жертвой воспитания, если принимает упреки. Метакоммуникация определяет статусную расстановку в паре. Один «выше», он воспитывает, другой – объект или жертва воспитания, он ниже по положению. Если выделить «голую» метакоммуникацию, то она выглядит так: «Я вижу себя главным в контакте с тобой в данный момент».
Жертва находится в комплементарной позиции. Неважно, извиняется она или ворчит в ответ. Если нет ответной агрессии, то побудительный ответ такой: «Я вижу себя подчиненным в контакте с тобой в данный момент».
Ответ может быть и другим. «Еще слово скажешь – уйду, побью, ничего не буду делать». В этом случае позиция партнера симметричная и побудительный аспект коммуникации такой: «Нет, это я вижу себя главным в контакте с тобой в данный момент».
Очень важно то, что побудительные аспекты коммуникационных обменов очень динамичны. Они действительно «играют» только в данный момент. Если отношения тяжелые и конфликтные, то определяющим и самым главным являются именно побудительные аспекты, а содержательные неважны.
В системной теории выделяют три варианта побудительного аспекта коммуникации.
1. Подтверждение самоопределения.
Я вижу себя таким-то в контакте с тобой в данный момент – И я вижу тебя именно таким в контакте со мной в данный момент.
В обыденной жизни это выглядит, например, так: «Правда мне очень идет эта стрижка?» – «Да, дорогая, ты – красавица».
2. Отрицание самоопределения.
Я вижу себя таким-то в контакте с тобой в данный момент – А я не вижу тебя таким в контакте со мной в данный момент.
«Правда мне очень идет эта стрижка?» – «Тебе вообще ничего не идет» или помягче: «Стрижка хорошая, но все-таки надо сбросить вес».
3. Игнорирование самоопределения.
Я вижу себя таким-то в контакте с тобой в данный момент – Я тебя не вижу.
«Правда мне очень идет эта стрижка?» – «Отойди, пожалуйста, ты мне телевизор загораживаешь».
Отрицание и игнорирование самоопределения обижают, особенно если они поступают от значимых людей.
4. Коммуникативный процесс воспринимается по-разному участвующими в нем сторонами; у каждого человека формируется своя реальность. У разных людей всегда создаются разные картины последовательности событий. В системной теории это явление называется разная пунктуация последовательности событий. Двое подрались на улице. Их привели в милицию и допрашивают. Один сообщает: «Драка началась с того, что он дал мне сдачи». Для него событием было не то, что он ударил человека, а то, что получил удар в ответ. В жизни мы встречаемся с этим постоянно. Муж жалуется на то, что жена все время ворчит. Жена жалуется на то, что муж ничего не делает дома. Жена приходит домой и видит мужа спящим на диване, а носки лежащими на полу. Она будит мужа, упрекает его за то, что он разбрасывает носки, уносит носки в стирку. Муж недоволен тем, что ему не дали поспать, что его грубо разбудили, и сообщает, что с дивана сегодня вообще не встанет. Жена ворчит, но ужин ему на диван приносит, грязные тарелки уносит и продолжает ворчать. Для жены последовательность событий такая: лежит – лежит – лежит. Для мужа другая: ворчит – ворчит – ворчит.
Понятно, что разные пунктуационные паттерны есть паттерны обмена подкреплениями. Так формируется союз гипо– и гиперфункционала. Они не могут друг без друга и поощряют друг друга, даже если это им не нравится. Если бы жена не будила, не ворчала и ничего для мужа не делала, то, глядишь, он с дивана и встал бы. А если бы жена упорствовала в своем милом безделье, то муж стал бы активнее, и уже жена могла бы всюду разбрасывать свои колготки.
Обычно люди спорят о пунктуации последовательности событий. В кабинете системного семейного психотерапевта это происходит постоянно. Очень трудно убедить людей не искать общую пунктуацию, а с интересом отнестись к картинке каждого. Иной раз это трудно и психотерапевту. Он может потерять нейтральность и принять версию какой-то одной стороны. Спасением от этого является уход от линейной пунктуации одного человека и переход к циркулярному видению. В этом случае психотерапевт учитывает взаимное подкрепление, которое происходит каждый раз, когда возникает взаимодействие. Не было бы сдачи, если бы не было первого удара. Кроме того, психотерапевт учитывает все коммуникативные контексты. Гипофункционалу приятно, когда его обслуживают, в этом он видит знак заботы и любви. А гиперфункционалу нравится осознавать свою нужность и всесильность.
5. В общении могут возникать парадоксальные способы взаимодействия. Парадоксы очень интересовали людей. До сих пор не забыты знаменитые парадоксы античного мира, например: Ахиллес и черепаха или остров Крит, где все лжецы. Парадоксальные коммуникации выделяют в отдельный класс и называют прагматическими (Вацлавик и др., 2000).
Прагматические парадоксы – это сфера ежедневного человеческого общения. Бывают парадоксальные предписания. Например, родитель говорит ребенку: «Не будь таким послушным». Если ребенок начнет безобразничать, то это означает, что он послушный. Если он будет продолжать вести себя хорошо, значит, он не выполнил предписание. Ребенок в тупике. Или девушка говорит своему возлюбленному: «Будь властным со мной». Все понятно. Если он станет выполнять ее просьбу, то власть в руках у возлюбленной, а если нет, то просьбу он не выполнит. Или: «Ты должен быть спонтанным». Парадоксальные предписания разрушают деятельность.
Парадокс заключается в том, что требуется симметричный ответ в рамках комплементарного взаимодействия.
Двойная ловушка также относится к сфере прагматических парадоксов. На одном коммуникативном уровне дается одно предписание, на другом – противоположное, и, кроме того, существует запрет на выход из контакта, на неподчинение. Стой там, иди сюда, это приказ.
Коммуникативные парадоксы не ограничиваются отдельными сообщениями. Чаще всего это целый развернутый сценарий поведения. Например, человек, который страстно хочет быть любимым, скорее всего, не достигнет этой цели. Сама потребность «быть сильно любимым», особенно если это приоритетная потребность, заключает в себе парадокс.
Допустим, этот человек находится в браке или в других серьезных отношениях. Он хочет быть любимым, значит внимательно отслеживает и подсчитывает знаки любви в общении со своим партнером. Причем человек, который страстно хочет быть любимым, определил для себя те поведенческие знаки, которые свидетельствуют о силе любви партнера.
1. Знаки заботы: подарки, оказание разнообразной помощи (кто поскромнее, тому достаточно получить помощь после высказанной просьбы, кто с большей фантазией – тот ждет, что ему будут помогать и без просьбы), обслуживание – кому чего надо: кофе в постель, обувь почистить, спинку потереть…
2. Знаки страсти – обычно это сексуальное взаимодействие. Считается, что если партнер сильно любит, значит постоянно хочет секса и неутомимо и разнообразно им занимается и – главное – испытывает удовольствие не от своих ощущений, а от положительных эмоций партнера. Здесь иногда бывает усложнение. Секс из разряда профанного переводится в разряд сакрального – это некое специальное действо и специальное ощущение, суть которого примерно формулируется так: мое тело – храм; познав его, ты приобщился святых тайн. За отступничество (измену) – смерть. Когда сексуальный обряд исполняется, «по всей земле зацветают сады» и все живое плодится и размножается.
Сложные знаки большой любви – обычно из сферы мистического. Ну, во-первых, это особенное понимание, без слов и лучше с опережением. Ты еще только подумать собрался, а она уже… Так же и взгляды на жизнь и людей должны совпадать до самых мелочей.
Во-вторых, любовь партнера выдерживает все испытания. Понятно, что испытания надо устраивать, иначе невозможно проверить силу любви. Испытанием может быть что угодно; пьянство, дурной характер, вредные привычки. Главное не то, как человек себя ведет, а то, как он стратегически мыслит. Испытание получается тогда, когда человек, проверяющий любовь другого «на прочность», принципиально отказывается соответствовать ожиданиям этого другого, сильно любящего, и часто старается делать «назло». Полюбите меня черненького – беленького меня всякий полюбит.
Тот человек, который сосредоточен на том, сильно ли его любят, на самом деле сосредоточен на себе, на процессе получения психологического блага, т. е. находится в эгоцентрической потребительской позиции. Реальность другого человека, того, от кого он хочет получить это благо, игнорируется – иногда грубо, иногда тонко. Не получается полноценного общения, диалога, нет партнерства. Человек хочет любви и, огрубляя, ведет себя отталкивающим образом. Другому-то, который назначен на роль любящего, невдомек, что он участвует в проверке любви. И узнать он этого не может – тогда весь смысл проверки теряется. Это и есть парадокс.
В психотерапевтическом процессе так же много парадоксальных взаимодействий. Парадокс может содержаться и в самом обращении за помощью. Клиенты и хотят перемен, и опасаются их. Поэтому частый подтекст обращения: «Давайте все изменим, но так, чтобы ничего не менялось».
В функциональном браке подтекст не преобладает над текстом, гибко меняются симметричные и комплементарные обмены. В коммуникации преобладают подтверждения самовосприятия, если оно позитивное, и неподтверждение, если оно негативное. Практически не бывает игнорирования. Не бывает двойных ловушек, коммуникация конгруэнтная. Парадоксы используются, в основном чтобы пошутить, а если – нет, то люди могут эту ситуацию обсудить. Кроме того, супруги понимают, что у каждого своя реальность, даже если они говорят об одном и том же событии. Познать ее трудно, людям вообще понимать друг друга трудно. В функциональном браке бывают непреодолимые различия взглядов, ценностей и предпочтений.
В психотерапевтическом процессе невозможно обойтись без анализа коммуникаций. Такой анализ сам по себе является метакоммуникацией. В ходе этого анализа супруги начинают видеть и разную пунктуацию событий, и неконгруэнтные сообщения, и разные побудительные аспекты коммуникаций. Становится понятно, как действуют парадоксы и как трудно принять различия и допустить, что различия не мешают хорошо жить вместе.
Хороший брак это такой брак, когда оба человека понимают, что вместе они расширяют возможности каждого, создают такую жизнь, которую один был бы не в состоянии себе создать. Это касается не столько материальной составляющей, сколько эмоционально-психологической и биологической. Можно вместе завести и вырастить детей, создавать радость и заботу друг о друге, приятные переживания, которые люди не могут получить с посторонними. Понимание, синтонность, сочувствие и утешение, эмоциональная поддержка – это то, что люди могут получать друг от друга в браке. В обычной жизни, в ее разные моменты брак бывает и функциональным, и дисфункциональным, особенно когда на людей действуют сильные и/или длительные стрессоры.
Стресс для семьи возникает всякий раз при переходе с одной стадии жизненного цикла на другую, потому что меняется человеческая среда, структура семьи, возникают новые задачи, которые не очень понятно как решать. Кроме того, стрессом для семьи являются болезни, переезды, изменение экономического положения в любую сторону. Понятно, что на семью действуют и все социальные стрессоры, которые действуют на все общество. Стресс повышает тревогу и дискомфорт каждого человека в семье. В каждой семье есть свой психотерапевтический потенциал, который определяет степень эффективности копинга. Если в трудные времена супруги объединяются, помогают друг другу, то стресс преодолевается быстро, психотерапевтический потенциал семьи высокий. Если стресс приводит к взаимным обвинениям, конфликтам и дистанцированию, то можно говорить о низком психотерапевтическом потенциале. Дисфункциональная семья, как правило, неустойчива к стрессу. Кроме того, у дисфункциональной семьи есть внутренние стрессоры – это отношения супругов, которыми они недовольны. Их психологические потребности фрустрированы. Они пытаются снизить личный стресс, уменьшить тревогу – чаще всего через попытки занять более высокое положение в семейной иерархии. Если рассматривать супружеские отношения, то в семье, которая находится в стрессе, как правило, происходит борьба за власть и контроль. Человек с фрустрированными потребностями надеется на то, что, заняв главное положение в семье, он сможет свои потребности провести в жизнь. Его партнер хочет того же для себя. Борьба за власть принимает самые причудливые формы и часто поражает три главные сферы семейной жизни – воспитание детей, сексуальную жизнь и финансовые стратегии. Как можно понять, что ты главный? Тебя слушаются, тебе подчиняются. Кому-то бывает достаточно подчинения в некоторых зонах жизни, кому-то необходимо тотальное подчинение. Чем более фрустрированы потребности супругов, тем жестче их борьба за то, по чьим правилам жить. При нарастании симметричного схизмогенеза само высказывание потребности в любой форме порождает неповиновение, отказ. Формула отношений при борьбе за власть: если ты этого хочешь, ты этого не получишь. Борьба за власть по своему эмоциональному устройству вполне может заменять любовь – эмоции интенсивны, одновременны, и есть интрига: кто-то победит в схватке? Согласно закону гомеостаза (Берталанфи, 1973) борьба за власть становится системообразующим фактором. Она начинает в каком-то смысле определять семейную идентичность: мы в клинче, не путайте с объятиями.
В любой длительно дисфункциональной семье обязательно есть борьба за власть и контроль. Если бы ее не было, супруги смогли бы пойти навстречу друг другу. Иногда такие пары доходят до психотерапевта. Они сами измучены своей жизнью – расстаться невозможно, потому что тот, кто покидает поле битвы, считается проигравшим. Необходимы «голубые каски ООН», иначе от брака могут остаться одни руины, а выигравшего не будет. Супруги прибегают к психотерапии и даже говорят, что хотели бы улучшить свои отношения, но это не главное. Важнее всего изменить отношения таким образом, чтобы не оказаться капитулировавшим. Работать с такими парами трудно, потому что они, как правило, не выполняют предписаний. Каждый боится, что другой подумает: ты готов послушать психотерапевта, может, и меня будешь слушаться? И уж тогда я добьюсь…
Для психотерапевта основная опасность в этой ситуации – начать участвовать в борьбе. Одно предписание не выполнили, я вам другое сочиню. А объясните, почему не выполнили? Признаком того, что психотерапевт вовлекся в борьбу за власть, является его собственная досада, раздражение и стремление принудить клиентов получить помощь, наконец. Если клиенты не выполняют предписания, конечно, стоит расспросить их, что помешало и какое предписание им могло бы пойти на пользу. Однако обольщаться не нужно – если люди бьются за власть и контроль друг с другом, они почти наверняка захотят побиться и с психотерапевтом. Лучше всего в этой ситуации помогает полная капитуляция психотерапевта.
Супруги К. жаловались на сильные конфликты друг с другом, которые возникали обычно по выходным. В рабочие дни жизнь была стереотипна и дистантна. Дистанция позволяла общаться ритуально, предсказуемо, и для конфликтов не было повода. В выходные они больше времени проводили друг с другом, сталкиваясь с взаимным недовольством и разочарованием. Конфликт помогал не сближаться. Поссоришься в пятницу, можно надеяться, что в выходные не будешь общаться. На сеансе обсуждали вопрос о том, как не поссориться в пятницу и хорошо провести выходные.
Я задавала каждому один вопрос: что он мог бы сделать сам, чтобы конфликта не возникло. Важно не концентрироваться на том, что мог бы делать другой супруг, потому что в ситуации борьбы за власть это спровоцирует только дополнительное сопротивление. Муж сказал, что в пятницу приготовит ужин. Жена пообещала, что позаботится о каком-то интересном фильме. Они поссорились в четверг и в пятницу ничего не сделали. Так было дважды. На очередной встрече я сказала, что не могу помочь им избавиться от конфликтов. Очевидно, что у конфликтов есть какой-то скрытый смысл, что они очень важны для их жизни. Я предложила закончить сеансы ввиду того, что не смогла быть им полезной. Это классический прием миланской школы, который позволяет передать ответственность клиентам и продемонстрировать неучастие терапевта в борьбе за власть через демонстрацию некомпетентности. Решили встретиться еще раз, скорее всего, последний. После этого стало возможно сотрудничество со мной, а затем и друг с другом.
Рассмотрим наиболее типичные варианты дисфункционального взаимодействия в браке и варианты терапевтических предписаний.
Конфликты.
Люди ссорятся и не мирятся. В лучшем случае обходят конфликт стороной и делают вид, что ничего не было, а потом снова ругаются по тому же поводу. Конфликты ничего не решают. В ситуации конфликта начинает преобладать один вид коммуникации и он не меняется – либо симметричный, либо комплементарный. В этих случаях мы говорим о комплементарном или симметричном схизмогенезе (Бейтсон, 2000). Комплементарное нарастание различий бывает, например, когда один член пары все время нападает, обвиняет и упрекает, а другой все время оправдывается и извиняется. Один всегда прав, а другой всегда во всем виноват. В одной паре муж все время терял свои вещи, не только дома, но и на работе, а жена всегда была в этом виновата. Если дома, то «ты куда-то сама засунула», а если на работе: «ты мне не вовремя позвонила, отвлекла, вот я и потерял». При симметричном расколе агрессия встречается с агрессией и конфликты становятся опасными для здоровья. Начинается с крика и заканчивается дракой. Откуда берутся конфликты? Они происходят из столкновения интересов при невозможности найти компромисс. Люди вступают в брак с определенными потребностями. Оба надеются, что брак улучшит их жизнь. Никто не заключает брак для того, чтобы страдать. Радость, комфорт, покой, восторг, доверие и тому подобные эмоциональные переживания и есть функция брака. Люди надеются и желают испытывать в ходе совместной жизни именно эти состояния и, по-возможности, ничего кроме этих состояний. У каждого человека требуемые состояния возникают по-разному и от разного.
Один универсальный путь – заражаться всем этим прекрасным от партнера. Он восхищается тобой, умиляется, испытывает сексуальное возбуждение от тебя, восторг и т. п., и ты в ответ тоже. Это неплохо, если только роли не закреплены жестко, если супруги продуцируют духоподъемные состояния по очереди. А если это всегда делает только один супруг, то довольно скоро он начинает чувствовать себя неоцененным и используемым и уже не может вдыхать в отношения любовь.
Трудным моментом является еще то, что люди далеко не всегда знают, что надо сделать им самим или что может сделать их супруг для того, чтобы возникли желательные состояния. Есть вредная мифология любви: люди полагают, что если есть любовь, то все получается само собой. Эта легкость, непринужденность и нерукотворность счастья и есть признак «настоящей» любви, если же отношения приходится строить, если понимание не возникает по щелчку пальцев, то это все не то, и отношения не стоит беречь и развивать.
В реальности, в зависимости от опыта той любви, который человек получил в детстве от родителей, у него формируются любовные предпочтения, воспринимаемые им знаки любви и его собственное любовное поведение в широком смысле слова. У пары эти знаки частично совпадают. Если бы этого не было, они не смогли бы составить пару. Но многие знаки и проявления не совпадают. Полные добрых намерений и хороших чувств, люди выражают любовь, но эти послания не доходят до своих адресатов. Если люди не получают достаточного для хорошего самочувствия знаков любви от партнера, они огорчаются, сердятся и тревожатся. Люди выражают свои плохие состояния, упрекают и обвиняют – все это усугубляет ситуацию. Если плохое самочувствие возникает чаще, чем хорошее, и держится дольше, чем хорошее, то у супругов возникают сомнения относительно самого жизненного выбора – что делать с таким разочаровывающим опытом?
Конфликты возникают из-за любого несогласия, напряжения, стресса, плохого самочувствия. Обычный круг взаимодействия такой: одному супругу кажется, что другой его критикует.
Например:
Матвей возвращается из командировки и по телефону спрашивает у жены: «Какие ко мне пожелания?».
Женя: Я хочу, чтобы ты был милым, добрым, внимательным, нежным.
Матвей: Дура!
Женя – нецензурная брань, слезы.
Что произошло? Матвей высказывал свое расположение и добрую волю. Думал, что его попросят что-нибудь привезти из командировки. Женя же сообщила о том, что она хочет, чтобы муж обращался с ней определенным образом. В этот момент для Матвея и начинается событие – ссора возникает именно теперь. Он слышит в тексте жены, во-первых, что его доброе намерение проигнорировано и, во-вторых, что он не такой как надо, и Женя им недовольна. Его это возмущает, и он обзывает Женю. Женя считает, что она просто высказала игривое замечание с эротическим подтекстом. Для нее событие началось с того, что Матвей ни с того ни с сего ее обозвал. Она возмущена и обижена, что и показывает. У конфликтующих пар всегда подтекст важнее текста. Поэтому они, как правило, не помнят, из-за чего ссорились. Дело не в реальных поводах, а в том отношении, совершенно неприемлемом, который каждый супруг, как ему кажется, получает от другого супруга. Эта ситуация хорошо описывается анекдотом: два алкаша идут опохмелиться к пивному ларьку. Ларек закрыт, и на нем висит бумажка: «Пива нет». Один алкаш говорит другому: «Валька сука. Не могла написать просто: „Пива нет“. Обязательно надо написать: „Пива нет“ (произносится с крайне издевательской интонацией)». Такого рода недопонимания бывают у всех супружеских пар, но у дисфункциональных – развитие таких ссор «злокачественное». Они не выясняют отношения, не выходят на метакоммуникативный уровень, т. е. у них не бывает коммуникации о коммуникации. Матвей и Женя не могут успокоиться и мирно обсудить, что это было между ними. Они не умеют мириться. Они не чувствуют себя в безопасности друг с другом. Каждому кажется, что стоит только высказать потребность в общении, в примирении, как это сделает человека уязвимым и партнер обязательно этим воспользуется. Поэтому после конфликтов они сначала дистанцируются, друг с другом не разговаривают, потом внешние обстоятельства приводят их к необходимости обсудить что-то конкретное («я не могу завтра утром погулять с собакой») и дальше они начинают общаться так, как будто конфликта не было.
Причины, к нему приведшие, и выводы не обсуждаются. Вскоре все повторяется вновь.
Надо сказать, что у хронически конфликтующих супругов самые сильные эмоции возникают именно во время ссор. Они, конечно, отрицательные, но они хотя бы есть, и есть эмоциональный обмен. Когда такие супруги проходят терапию, обязательно возникает момент, когда они начинают бояться того, что когда уйдут конфликты, им вообще придется расстаться. Они не понимают, на какой почве они будут общаться. Если эмоции совсем уйдут из общения, то как вместе жить?
Терапия. Стратегическая цель терапии конфликтующих пар – не прекратить конфликты, а создать возможности для метакоммуникации, которая позволит супругам прояснять причины конфликтов и договариваться о более комфортном взаимодействии. Возможность такого диалога для начала обеспечивается переходом в другое эмоциональное состояние. Бессмысленно строить открытый диалог, если оба супруга измучены своим страданием, больны взаимным недоверием и несправедливы друг к другу. Сначала необходимо вполне искусственно создать безопасные зоны взаимодействия и накопить прецеденты положительного общения. Тревога и подозрительность снизятся, тогда можно будет говорить и о превратностях любви. Эти безопасные зоны создаются с помощью прямого предписания. Терапевт расспрашивает клиентов, что они любят или любили раньше делать вместе. Секс исключается на этом этапе терапии как очень эмоциональное взаимодействие. Мы ищем вместе с клиентами такое занятие, которое нравится каждому само по себе, не требует ничего специального (как, скажем, путешествие), т. е. то, что можно устроить легко, без больших денежных и временных затрат, неэнергоемкое: прогулки, совместный просмотр фильмов дома или в кинотеатре, посещения ресторанов, игра в карты, кости, любые настольные или электронные игры для двоих и пр. Предписание звучит как «столько-то раз в неделю, независимо от того, в ссоре вы или нет, вы делаете то-то и то-то» (то, что они вместе выбрали на терапевтическом сеансе). Обычно это смягчает атмосферу, и тогда на сеансах можно анализировать конфликтное взаимодействие, вскрывая подтексты, потребности, читаемые и посылаемые знаки любви. Тогда на сеансах становится понятным, как мириться, как прекращать острый конфликт. Здесь есть также полезное прямое предписание – во время страстного конфликта резко менять «картинку», например, начинать раздеваться, где бы конфликт ни был: в магазине, в общественном транспорте.
По моему опыту, парадоксальное предписание конфликтов («составьте расписание, кто когда будет отвечать за то, чтобы конфликт произошел; «дежурный по конфликту» должен инициировать конфликт в определенный день и время, а второй человек – отмечать на большом листе бумаги, «достаточно ли хорошо» действовал дежурный; «старания» оцениваются в баллах; дежурить нужно по очереди) снижает их эмоциональную интенсивность, иногда даже убирает конфликты из общения, но нередко никакое другое эмоциональное взаимодействие на их место не приходит. Пара может из разряда конфликтной просто перейти в разряд дистантной.
Для реанимирования эмоциональной связи бывают полезны так называемые «сюрпризные свидания». Каждого супруга просят пригласить другого на свидание. Содержание этого свидания придумывает приглашающий, но держит это в секрете от другого супруга. Отказаться от такого свидания нельзя. Идея этого предписания в том, что каждый приглашает другого в свое «хорошее и приятное». Если одному члену пары удается заразить своим хорошим состоянием другого, то это и есть ожидаемый результат.
Эффективны предписания «как если бы». Например, каждого супруга просят выбрать тайный день, в течение которого он будет общаться с другим супругом так, как если бы он был уверен в добром к себе отношении, в любви и принятии. Другой супруг должен догадаться, когда был этот день. Успешность угадывания и вообще анализ такого взаимодействия обсуждаются с терапевтом на приеме.
Предписания коммуникаций бывают эффективными либо когда в семье отчетливо выражен комплементарный схизмогенез, т. е. один супруг большую часть времени находится в рациональной зоне, другой в эмоциональной, либо когда общение очень дистантное.
В первом случае инициатором общения, как правило, выступает «эмоциональный». Он выражает некую сильную эмоцию, обычно отрицательную. Отрицательной эмоцией легче привлечь внимание. «Разумный» реагирует объяснениями или советами.
«Эмо»: Я сегодня простояла в пробке полдня, измучилась, в три места опоздала, рыдала…
«Разум»: Я тебе говорил, поезжай на метро.
«Разум» не сочувствует «Эмо», а «Эмо» не слушает советов «Разума», так что контакта между ними не возникает. Чем больше разумный холоден и мудр, тем сильнее эмоциональный чувствует и страдает. В предписании им предлагается поменяться местами: каждый день они должны разговаривать. Каждый говорит пять минут, но «Разум» сообщает о своих самых сильных переживаниях за день, а «Эмо» – о своих мыслях и соображениях. Начинать фразу в одном случае надо со слов: «Я чувствую…», в другом случае: – «Я думаю…». Сначала лучше потренироваться прямо на сеансе. Разумный очень любит сообщать что-то вроде: «Я чувствую, что я думаю то-то и то-то». Обычно ему труднее перейти в эмоциональную зону, чем эмоциональному – в рациональную.
Как правило, конфликты касаются трех зон семейной жизни – секса, воспитания детей и траты денег. Вопросы воспитания детей не будут обсуждаться в этой статье, а секс и деньги обсудить вполне уместно. Конфликты из-за денег – это вариант борьбы за власть. Чтобы борьба не прекращалась, такие пары не обсуждают бюджет. Они часто вообще не знают ни своих совокупных доходов, ни трат. Даже если договоренности о бюджете как бы есть, они обычно не соблюдаются. В дисфункциональной семье деньги обладают символическим смыслом. Они, как и секс, – хорошие темы для сведения счетов, удобные поля битвы. Деньги имеют множество символических функций, включены в разнообразные мифы. Это прекрасно описано в книге «Тайное значение денег» (Маданес, Маданес, 2006). Помимо хорошо известных функций – власть, контроль, компенсация ущерба или способ снять с себя вину (погулял человек на стороне, купил супруге (супругу) подарок – и чувство вины умолкает; и обманутая половина довольна – она же не знает причину такого хорошего к себе отношения), это и способ проявления любви, так же как и способ унижать или принуждать. Деньги часто используются для снятия тревоги и напряжения в браке, правда, только в тех случаях, когда отношение к деньгам у супругов совпадает. Для примирений после конфликта в качестве терапии годится и шоппинг, и перебирание накупленного.
Отношение к деньгам и субъективное значение денег воспитываются и моделируются в детстве, в родительской семье. Часто люди обращаются с деньгами тем или иным образом, копируя финансовые привычки и приоритеты своих родителей. Если супруги ссорятся из-за денег, первое и самое простое, что можно сделать, это сравнить денежные стратегии родительских семей. Денежную генограмму предложили Дэвид Мамфорд и Джеральд Уикс (Mumford, Weeks, 2003; опросник см. в Приложении). Часто в конфликтную пару соединяются транжира и скупой или человек, который презирает деньги, и человек, который их уважает. Например, один молодой человек считал, что не нужно искать работу по параметру зарплаты. Он говорил, что если дело правильное, такое, которое ему подходит, то и деньги будут. С этим трудно спорить, только его жена, которая как раз родила ребенка, – а квартиру они снимали, и у обоих родители жили небогато и далеко, – не готова была ждать до тех пор, пока занятие либо станет приносить деньги, либо будет объявлено неправильным. Муж очень обижался и называл жену помешанной на материальном, а она его – безответственным. И оба были правы. Когда удается выяснить, в чем разница отношения к деньгам и каково символическое значение денег для каждого супруга, а также какое отношение к деньгам супруги получили в наследство от своих родителей, то конфликт, касающийся денег, обычно удается снять. Люди начинают договариваться.
Дистантная пара.
При дистанцировании общение супругов формальное и ритуальное. И положительные, и отрицательные эмоции уходят из взаимодействия. Секса, как правило, в этой паре нет, или он безличностный, физиологичный. Эмоции у каждого возникают в других ситуациях: с детьми, с друзьями, в связях на стороне, с родственниками. Есть определенные обязательства, которые супруги выполняют по отношению друг к другу. Обычно есть эмоциональные посредники, которые объединяют дистантную пару, – чаще всего дети, иногда домашние питомцы. Такая пара обращается за помощью, только если что-то случается с их эмоциональным посредником. Классика жанра – это симптоматическое поведение ребенка, которое объединяет супружескую пару, занимает ее и не дает возможности разбираться с собственными проблемами. Схема простая: супружеские отношения никого не устраивают, но развод не видится как решение этой ситуации. Эмоциональный вакуум заполняется ребенком (в последнее время – ребенок может заменяться домашним животным). Дети и животные обслуживают психологические потребности супругов с помощью нарушений своего поведения. Когда симптоматическое поведение идентифицированного пациента доставляет больше неприятностей, чем пользы, семья приводит его к психотерапевту. Терапия должна снять тяжкие обязанности по поддержанию семейного гомеостаза с идентифицированного пациента и переложить их на супружескую пару.
В последнее время ту же роль выполняет домашний питомец. Общая собака связывает бывших супругов после развода не хуже ребенка – «родители» так же договариваются, кто едет в отпуск, кто передерживает собаку. У меня проходила терапию семья, которая делила общую собаку в течение 11 лет после развода – две недели в одной семье, две недели в другой. Собака была очень старая, когда ее возили в лечебницу, бывшие супруги там встречались. У каждого уже была другая семья.
Собственно говоря, именно такие пары были основными клиентами системного семейного терапевта. Все разработанные и описанные в 1970–1980-х годах техники психотерапевтической работы с супружеской парой были направлены на внесение большей эмоциональности и большей спонтанности в общение супругов (Шерман, Фредман, 1997; Минухин, Фишман, 1998). Основная идея заключалась в том, чтобы родительская подсистема не распространялась на супружескую жизнь пары. Популярностью пользовались предписания, похожие на тренинг активного слушания, – один человек говорит полчаса, другой слушает и не перебивает, затем слушающий рассказывает, как он понял говорившего. Затем они меняются местами. Спустя 40 лет представить себе человека, который говорит полчаса непросто. Многие дистантные пары говорят, что самое сердечное общение бывает у них по электронной почте или в скайпе: «Мы очень любим читать блоги друг друга».
Цель терапии дистантной пары – эмоциональное сближение. Ребенок для этой цели использовался столетиями, но психического здоровья ему это не прибавляло. В последнее время для этой цели прекрасно подходят домашние питомцы. Как сказал мне один супруг из дистантной пары, которая завела щенка: «Теперь мы вместе сидим на полу и гладим собаку, и я звоню днем с работы узнать, как покушали, как погуляли». Домашний питомец становится третьим членом семьи, это поглощает избыток тревоги, который скапливается в диаде, и дальше возможен анализ коммуникаций (которые хотя бы возникают), ожиданий, чувств. Для той же цели неплохо подходят предписания игр. Игры (настольные, карточные, электронные, городские) создают альтернативную реальность, в которой также может происходить безопасное эмоциональное сближение. Игра позволяет испытывать азарт, интерес, веселье, и все это не связано с течением обычной жизни, где все замерзло.
Супружеские измены.
Измена это травмирующее событие, здесь очень много страдания. В некоторых случаях брак восстанавливается после этого удара и даже может стать более функциональным, а в некоторых случаях измена разрушает отношения.
Общекультурный брачный контракт предполагает, что отношения в браке уникальны, что люди создают некую невоспроизводимость на стороне своих отношений и опыта. Как правило, сюда относится супружеская верность. Имеется в виду не только сексуальное общение, но и любовное взаимодействие, интимность в широком смысле слова. Часто интимность расценивается как нечто более важное. Есть пары, которые не считают изменой секс на стороне, но не мирятся с влюбленностью. Главное – быть самым ценным и дорогим для супруга. Если это утрачивается, возникает травма. Обманутый супруг чувствует себя преданным, покинутым, страдает от ревности, его самооценка обычно сильно снижается: «Если мне кого-то предпочли, значит этот человек лучше, чем я». Измена – тот случай, когда у людей нет общего опыта в крайне значимой сфере жизни. Травма еще выражает себя в том, что нарушается привычное течение жизни и у обманутого супруга разрушается понятная картина мира. Возникает очень большая разница в пунктуации событий. Тот, кто изменяет, имеет внутренне непротиворечивую картинку: вот у меня семья и в ней идет какая-то жизнь, вот у меня возникают некие события на стороне: встреча, секс, отношения, потом опять жизнь в семье, потом – встреча с другим человеком; у моей жены (мужа) жизнь идет так-то и так-то, я в курсе. А у обманутого человека другая картинка: вот идет моя семейная жизнь вместе с моим мужем (женой), я представляю его (ее) жизнь так-то и так-то, а тут выясняется, что на самом деле все у моего мужа (жены) идет не так, как мне казалось. Обманутый супруг пытается узнать, что было на самом деле. Обман оскорбителен сам по себе. Начинаются подробные и навязчивые выяснения всех подробностей, вплоть до самых интимных деталей. Ответы, как правило, не удовлетворяют. Навязчиво и бесконтрольно возникают тягостные представления о том, как муж (жена) занимается любовью с другим человеком, как они смеются надо мной, как они ходят по тем местам, где мы бывали вместе, как покупаются и дарятся одни и те же подарки, «далее везде». Как дальше будут развиваться события, зависит от многого. Если обманутый супруг потрясен самим фактом измены, не желает ничего знать и понимать, категорически разрывает отношения, расстается в физическом смысле, перестает жить вместе, то, как правило, брак разрушается.
Если обманутый супруг хочет восстановить отношения, пытается понять, как случилось то, что случилось, готов взаимодействовать, несмотря на свое страдание, то брак может выжить. Многое зависит от того, как поведет себя изменник.
Анна и Петр были в браке 9 лет. Сыну 7 лет. Между супругами было хорошее интеллектуальное общение, социальный аспект брака был для них также ценным – они были довольны тем, как они выглядели на людях, как общались с общими друзьями. Эмоциональная связь осуществлялась в основном через сына. Анна не работала, Петр работал много и хорошо зарабатывал. Самое прекрасное время в браке было тогда, когда Анна была беременной и когда сын был грудным. Был полный эмоциональный контакт, поддержка и взаимное восхищение. Естественным образом стала развиваться коалиция мамы и сына. Петр мало бывал дома, Анна оказалась очень увлеченной матерью. Петр сначала обижался на недостаток внимания, затем вышел на рациональную и закрытую позицию. Анна сначала не заметила изменения позиции мужа, но по мере взросления сына стала отмечать его невключенность и формальность в общении с собой. Стал нарастать комплементарный схизмогенез: Петр становился все более рациональным, закрытым и холодным, Анна становилась все более эмоциональной и страдающей. В какой-то момент Петр встретил женщину и влюбился в нее. Он не скрыл своего романа от жены. Роман был «нервным», Петр стал очень эмоциональным, и это помогло Анне создать с ним контакт. Он откровенно рассказывал о своих отношениях с другой женщиной, жена стала матерью и наперсницей. Она и страдала, и радовалась – страдала от измены и радовалась сближению с мужем. Она требовала только одного, чтобы «эта женщина» не лезла в семью, не знакомилась с сыном и не пыталась общаться с ней самой. Муж обеспечить этого не смог. Любовница каким-то образом раздобыла телефон жены, стала звонить с неприятными разговорами, познакомилась с сыном. Анна потребовала, чтобы Петр покинул дом. Петр стал снимать квартиру в соседнем доме, любовницу к себе жить не взял и через некоторое время захотел вернуться. Анна сначала была рада этому, надеялась, что Петр вернется не только как физическое тело, но и «сердцем», что у них укрепится эмоциональная связь. Петр же этого не хотел. Он боялся упреков, не хотел чувствовать вину. Так что когда он решил возвратиться, то поставил жене условие: «никаких вопросов и никаких разговоров – как будто ничего не было». Фактически, он пытался воспроизвести негласное условие их брачного контракта – «в общении с тобой я ничего не хочу чувствовать». Анна на это пошла, и вскоре горько пожалела. Она уже видела своего мужа очень эмоциональным, поняла, что муж способен чувствовать, и хотела, чтобы теперь его чувство было обращено к ней. Она думала, что после всей этой истории, понимая, какое страдание он ей принес, муж включит ее свою эмоциональную орбиту, удвоит нежность, заботу, и она, наконец, поймет, что дорога ему и что она лучшая. Ничего этого не произошло. Муж вернулся, как будто измены не было. Анна не смогла этого вынести, игнорирование ее чувств было более травматично, чем измена. Супруги расстались.
В другой семье сценарий измены развивался иначе. Муж влюбился и ушел от жены к другой женщине. Через короткое время он понял, что скучает по жене и ребенку, стал пытаться вернуться. Жена довольно долго сопротивлялась, мужу пришлось ее завоевывать, уговаривать. В процессе такого общения у них восстановилась эмоциональная связь, сейчас оба говорят, что общение стало более близким и доверительным, чем до измены.
Самое главное в терапии случаев измены – это восстановление эмоционального контакта между супругами, восполнение того ущерба, который «изменник» нанес другому супругу. Вторая задача – заключить новый психологический брачный контракт. Дело в том, что измена, о которой становится известно, это послание от изменника своему партнеру – не всегда, но часто. В случае Петра и Анны Петр раскрыл свою связь, чтобы наказать Анну – ты мной пренебрегала, а нашлась женщина, которая меня оценила.
Пример перезаключения психологического брачного контракта – это случай Натальи и Егора. Наталья обнаружила в телефоне мужа странное SMS, потребовала объяснений – выяснилось, что у Егора есть связь на стороне. Брак к этому моменту длился три года. Егор всегда был инициатором отношений, добивался Натальи, а она как бы снисходила до него. Когда они поженились, жизнь потекла по правилам Натальи. Егор во всем уступал, не роптал, не заявлял о своих потребностях. Наталья считала, что он всем доволен и что у них прекрасный брак. На самом деле Егор страдал от диктата Натальи, но изменить стиль общения не мог, не умел. Дома он постоянно «наступал себе на горло», зато в отношениях с любовницей он был главным. Развода никто из супругов не хотел. Они хотели бы остаться вместе и изменить свои отношения таким образом, чтобы в дальнейшем измена не возникала.
Изменение супружеских отношений возможно только в том случае, если роман на стороне закончится. Егор расстался с любовницей. Для него это было несложно, потому что между ними была легкая интрижка.
На сеансах супруги много обсуждали, как по-разному они чувствовали себя в браке и как по-разному понимали происходящее. Наталья делилась тем, что она чувствовала, когда столкнулась с изменой. Здесь очень важно не давать клиентам возможности упрекать и обвинять друг друга. Терапевт может переформулировать обвиняющие высказывания, прерывать агрессию, просить говорить только о своих переживаниях. Стилистика этого разговора – описание чувств. Так же строился текст Егора, когда он описывал свои переживания в браке. Эти признания начинались на сеансах, но после трех встреч супруги смогли продолжить такой разговор дома. Важный этап терапии – прощение. Не все люди верят в возможность прощения, но Наталья и Егор полагали, что прощение возможно.
Наталья сожалела о том, что была авторитарна и невнимательна, Егор – о том, что завел интрижку на стороне. Очень важный момент – знаки искренности. Как именно люди просят прощения, как покаяться так, чтобы другой человек захотел простить? Известный пример покаяния в случае измены описан в романе А.Н. Толстого «Хромой барин»: муж полз на коленях несколько километров из своего имения в поместье жены, и был прощен. Логика здесь понятна: я причинил ущерб тебе и, чтобы ты меня простила, я причиняю ущерб себе. Нельзя утверждать, что это универсальный способ просить прощения. Лучше всего спросить у каждого, как бы он хотел, чтобы у него просили прощения, что могло бы стать компенсацией за перенесенное страдание. Обычно сразу ответ не находится. Люди должны послушать себя, пофантазировать о том, что можно сделать для их утешения. Часто говорят, что не надо просить прощения – просто не надо впредь совершать плохих поступков. На самом деле это завуалированное предложение испытания: «Ты веди себя иначе, а я посмотрю, как это у тебя получается». Здесь необходимо уточнить, как долго человек должен вести себя правильно, чтобы супруг убедился, что произошли изменения. Невозможно каяться бесконечно. Измена – это эпизод, имевший начало и конец, и если изменнику предлагают так больше не делать, и никак иначе прощения попросить невозможно, то значит фактически его не прощают. Это тонкий момент: предполагается, что человек меняет свое поведение навсегда, срок же нужен для того, чтобы по его истечении эпизод считался законченным, чтобы супруги не возвращались к нему при каждой мелкой ссоре, чтобы был положен конец недоверию. В нашем случае Егор попросил Наталью изменить поведение, что понятно. Испытание было назначено на три месяца. Договорились, что Егор будет сразу выражать любое свое несогласие и свои потребности и желания. Наталья будет его расспрашивать и внимательно наблюдать за его состоянием, а в разговорах – уточнять свое понимание. Егор в качестве покаяния повез Наталью в романтическое путешествие на далекие острова. Через год у них родилась девочка.
Сексуальная дисгармония.
Нередко супружеская дисфункция обнаруживает себя в сексуальных дисгармониях. Прежде всего исчезает влечение. Это может быть на фоне прекрасных отношений. Эстер Перель, бельгийский семейный терапевт, особенно известная своими работами по терапии сексуальных дисгармоний, отмечала, что устройство современного брака разрушает эротизм отношений (Perel, 2007). Предполагается, что хороший брак это очень близкие отношения, когда люди являются друг для друга «всем»: возлюбленными, друзьями, родственниками, родителями и детьми. Для влечения же нужна дистанция, эротика требует неопределенности, тайны, игры, легкой опасности. Одна супружеская пара была в очень добрых, доверительных отношениях, они вместе работали, отдыхали, болели. Секс был компромиссным: она очень любила секс вообще, была в нем искушенной, но влечения к мужу не испытывала. Муж, наоборот, в сексе был неопытным, неумелым и робким. Кроме того, его природный темперамент явно уступал темпераменту жены. Однажды они сильно поссорились, и муж уехал. Вещи мужа остались в доме жены. Жена вспоминала, как ее пронзило желание. Утром муж в новом кашемировом пальто, которое она еще не видела, ворвался в квартиру, потому что ему срочно надо было забрать какие-то бумаги перед деловой встречей. Жена еще лежала в постели. Он небрежно бросил ей: «Привет», энергично прошел за нужными бумагами и, взяв их, вышел, хлопнув дверью. Она практически испытала оргазм.
Часто люди говорят о том, что влечение возвращалось, когда они видели своего супруга в непривычной обстановке, как бы внове, со стороны. Секс может сочетаться с близкими отношениями, если он происходит в особенной обстановке. Мара Сельвини Палаццоли предлагала всем парам, независимо от того, испытывают они трудности в своей супружеской жизни или нет, постоянное предписание. Оно звучит так: «Раз в неделю на сутки – вон из дома без детей». Это предписание помогает очерчивать границы супружеской подсистемы и позволяет заниматься любовью не дома, где быт и заботы мешали эротическим настроениям, а в другом месте, никак с домашней рутиной не связанным. Хорошему сексу нужны новизна и приключение.
Секс – братская могила для всевозможных напряжений и шероховатостей супружеской жизни. Он очень чувствителен ко всем нюансам отношений. В культуре существуют несимметричные ожидания по отношению к мужчинам и женщинам. Предполагается, что мужчина это «железный дровосек», который хочет и может всегда, что с ним ни делай. Женщина – вроде как более «тонкое существо», которое иной раз и уступает «грязной страсти». Супружеский секс – как правило, часть в борьбе за власть.
Очень важный вопрос, кто решает когда будет секс? Кто контролирует сексуальную жизнь пары? Кто решает, какие ласки допустимы, какие нет? Часто мужчина контролирует деньги, женщина контролирует секс. В одной супружеской паре секс прекратился по настоянию жены тогда, когда муж разорился. В этой борьбе выигрывает тот, кому ничего не надо. Высокодуховное существо – жена – хотела бы использовать секс как поощрение и наказание, а тут выясняется, что мужчина не железный дровосек, он может и без секса. Если не нужен приз, то нет управы и нет власти.
Нередко отказ от секса является сообщением, что человеку плохо в браке. Сексуальная дисфункция уходит, если налажен прямой, открытый диалог. Фаина и Иван прожили в браке шесть лет. Секс всегда контролировала Фаина, просто потому, что никогда в нем не нуждалась. Иван, тем не менее, не чувствовал себя отвергаемым, потому что он несколько лет «спасал» Фаину. Он помогал ей ухаживать за ее больной матерью, и Фаина была ему очень благодарна. Вообще Фаина заботливая и внимательная жена. Мать Фаины умерла, и скоро Иван перестал инициировать секс. Фаина всполошилась, решила, что у Ивана «кто-то есть». Она стала следить за ним, проверять телефон, электронную почту, буквально обнюхивать. Фаина стала активно демонстрировать сильное влечение к Ивану, расширила арсенал возможных сексуальных сценариев, хотя раньше была предельно стереотипной. Иван хоть и не отталкивал Фаину, но подчеркивал, что секс не доставляет ему никого удовольствия, что оргазм у него механический, физиологический. На этом фоне они обратились за психологической помощью. В ходе терапии выяснилось, что Иван очень обижен на Фаину, так как совершенно истощился за годы активной помощи Фаине, много работал, а Фаина не работала никогда. В последнее время бизнес Ивана пошел вниз, Фаина же пойти работать не хотела, хотя Иван просил ее об этом неоднократно. Фаина считала, что не заработает сколько-нибудь заметных денег, так как у нее нет профессии. Иван думал о том, что помогал Фаине с мамой, не будучи медиком, а теперь, когда ему нужна помощь, Фаина ему в ней отказывает. Ему было не важно, сколько Фаина заработает, а было важно, чтобы она откликнулась на его просьбу. Когда Фаина это поняла, то пошла учиться на бухгалтера, и жизнь пары наладилась.
Хороший секс не измеряется ни количеством оргазмов, ни длиной полового члена, ни уровнем полового возбуждения. Хороший секс в супружеской паре измеряется нежностью, доверием и юмором, а также отсутствием жесткого сценария полового поведения. Если люди могут делиться своими фантазиями без смущения, если они могут обсуждать свои ощущения «онлайн», то секс будет развиваться и будет радовать обоих.
Нередко бывают случаи, когда у жены не бывает оргазма от полового общения с мужем. Оргазм бывает лишь при мастурбации. Это как раз случай предельно жесткого сценария. Муж обычно мучается, считая, что, раз жена не испытывает оргазма, то он плохой любовник. Жена объясняет, что она ни с кем никогда не испытывала оргазма, но муж не верит, по крайней мере сомневается. Все это портит отношения вообще, не только секс. Пара В. обратилась к психотерапевту по поводу конфликтов. Конфликты возникали по разным поводам, по сексуальным в том числе. Выяснилось, что жена испытывает оргазм, только если она стимулирует себя водой, причем струя должна быть определенной температуры и напора. Это началось в подростковом возрасте. Никак и ни с кем не бывало оргазма иначе как с водой. При этом оба супруга хотели и надеялись «залучить» женский оргазм в супружескую постель. Оба очень расстраивались, когда этого не происходило. Погоня за оргазмом испортила им секс окончательно. В сексологии такие случаи описаны, и техника преодоления этих сексуальных стереотипов достаточно простая. Идея заключается в том, чтобы присоединить сценарий получения оргазма женой к сексуальному взаимодействию супругов. Оба супруга высказали большие сомнения, когда я предложила перенести занятия любовью в ванну. Муж сказал: «А я тогда зачем?», жена сказала: «При нем я не смогу». Дело оказалось не в сексе, а в амбициях и недоверии. Когда отношения в целом стали теплее, оба стали больше доверять друг другу, тогда и сексуальное взаимодействие наладилось. Муж перестал «высекать» оргазм из жены, жена перестала стесняться мужа, и иногда они занимались любовью в ванне, хотя жена считала, что оргазм при муже не сравним по силе с тем оргазмом, к которому она привыкла. Тем не менее, это стало скорее поводом для шуток, чем для гнева и страдания.
Заключение.
Брак – это разговор. Все можно обсудить и обо всем можно договориться, если этим заниматься. Суть супружеской терапии это фасилитация контакта между супругами, а также передача им ответственности за собственное благополучие. Разные психотерапевтические подходы определяют лишь то, каким и о чем будет разговор психотерапевта с супружеской парой.
Литература
Бейтсон Г. Экология разума. М.: Смысл, 2000.
Берталанфи фон Л. История и статус общей теории систем // Системные исследования. М.: Наука, 1973. С. 20–36.
Варга А. Я. Введение в системную семейную психотерапию. М.: Когито-Центр, 2009.
Вацлавик П., Бивин Д., Джексон Д. Психология межличностных коммуникаций. СПб.: Речь, 2000.
Маданес К., Маданес К. Тайное значение денег. М.: Независимая фирма «Класс», 2006.
Минухин С., Фишман Ч. Техники семейной терапии. М.: Независимая фирма «Класс», 1998.
Пэпп П. Семейная терапия и ее парадоксы. М.: Независимая фирма «Класс», 1998.
Сельвини Палаццоли М., Босколо Л., Чеккин Дж., Пратта Дж. Парадокс и контрпарадокс. М.: Когито-Центр, 2002.
Утехин И. Язык русских тараканов // Семейные узы: Модели для сборки. Кн. 1 / Сост. и ред. С. Ушакин. М.: Новое литературное обозрение, 2004.
Шерман Р., Фредман Н. Структурированные техники семейной и супружеской терапии: Руководство. М.: Независимая фирма «Класс», 1997.
Haley J. Leaving Home: the Therapy of Disturbed Young People. 2nd ed. N. Y.: Brunner/Routledge, 1997.
Mumford D. J., Weeks G. R. The money genogram // Journal Of Family Psychotherapy. 2003. V. 14. № 3. P. 33–44.
Perel E. Mating in Captivity. N.Y.: Harper, 2007. URL: htpp://www.estherperel.com (дата обращения: 04.05.2012).
Приложение
Смысл и значение денег
1. Какую поговорку о деньгах вы слышали от родителей («жадность приводит к бедности», «копейка рубль бережет» и т. п.)?
2. Что деньги значат для вас?
3. Что значит финансовая самодисциплина, самоограничение? Что в этом положительного, что отрицательного?
4. Что значит тратить слишком много денег, транжирить?
5. Что значит скупердяйничать?
6. На что вам обычно жалко тратить деньги?
7. В каких случаях вы не экономите? На чем никогда не экономите?
8. Каковы ваши финансовые приоритеты?
9. Кто контролирует траты в вашей семье?
10. Что бы вы хотели изменить в «денежной сфере?
Денежная генограмма
1. Финансовая стратегия мамы: как она тратила деньги?
2. Финансовая стратегия папы: как он тратил деньги?
3. К кому из них ближе ваше обращение с деньгами?
4. Каким вы считали себя в детстве – бедным, богатым, средним?
5. Какими были денежные трудности в семье ваших родителей?
6. Какой урок относительно денег вы вынесли из родительской семьи? Что из этого влияет на вас сейчас?
7. Был ли денежный успех у родителей? В чем он заключался? Чему это вас научило?
8. Каков был главный страх относительно денег у ваших родителей? Что вы о нем думаете сейчас?
9. Когда вы думаете о том, что ваши родители могли бы сделать с деньгами, что вас больше всего огорчает? Что больше всего радует?
10. Были ли у ваших родителей одинаковые ценности, касающиеся денег? Каковы были различия?
11. У ваших родителей деньги были общими или раздельными?
12. Говорили ли родители о деньгах? Как это происходило?
13. Как распределялись финансовые обязанности в вашей родительской семье? Кто за что платил?
14. Как ваши родители разрешали свои финансовые конфликты?
Эмоционально-фокусированная супружеская терапия[8]. Теория и практика
Л. Л. Микаэлян
Краткое описание подхода
Эмоционально-фокусированная терапия (ЭФТ) – структурированный краткосрочный подход к супружеской терапии, созданный в 80-е годы XX в. канадскими психологами Сьюзан Джонсон и Лесли Гринбергом (Greenberg, Johnson, 1988). Терапию назвали фокусированной на эмоциях, чтобы подчеркнуть исключительную важность эмоциональных процессов в организации паттернов взаимодействия в паре и в ключевых аспектах внутреннего опыта партнеров по близким отношениям. За последние 20 лет подход сильно развился, усовершенствовался и стал признанной практикой в области супружеской терапии.
Исследования доказывают эффективность ЭФТ: 70–73 % пар после 10–12 сессий были полностью удовлетворены супружескими отношениями, значительные улучшения в супружеских отношениях были зафиксированы в 90 % случаев (Johnson Whiffen, 1999).
ЭФТ – интегративный подход, синтез гуманистической, основанной на переживании терапии[9] и структурного направления системной семейной психотерапии. Теоретической базой ЭФТ служит теория привязанности Джона Боулби и его последователей. Джонсон предлагает следующий образ: «Представьте, что вместе собрались Карл Рождерс[10], Сальвадор Минухин[11], Джон Боулби и обсуждают, как помочь пациенту, неудовлетворенному близкими отношениями. В результате такой беседы могла бы появиться ЭФТ» (Johnson, 2004).
ЭФТ дает четкие ответы на следующие вопросы:
• Какова природа взрослых любовных отношений?
• В чем причины супружеского дистресса, побуждающего людей обращаться за профессиональной помощью?
• Благодаря чему происходят изменения в терапии?
• На какие вербальные и невербальные аспекты поведения супругов нужно обращать внимание?
• Что делать с экстремальными эмоциями, переживаемыми супругами в кабинете психолога?
• Какие стратегии и интервенции использовать для того, чтобы помочь парам восстановить отношения?
ЭФТ – это клинический метод, опирающийся на хорошо разработанную объяснительную теорию, подтвержденную многочисленными исследованиями из различных областей психологии (психология развития, социальная психология, психология личности, нейробиология). Терапевт, практикующий ЭФТ, понимает, что ему делать, как делать и зачем делать.
Emotionally Focused Couple Therapy.
Вернуться
Humanistic experiential approaches. Существуют разные виды психотерапии, в которых эмпатическое принятие терапевтом клиентского опыта, работа «здесь и сейчас» с фокусировкой на разворачивающихся эмоциональных процессах считается ключевым моментом для достижения изменений. Далее для простоты изложения при ссылках на эти подходы будет использоваться термин «гуманистическая терапия».
Вернуться
Один из создателей и лидеров гуманистической психологии.
Вернуться
Основатель структурного подхода в системной семейной психотерапии.
Вернуться
Основные идеи
От Джона Боулби (автора теории привязанности) и его последователей в ЭФТ пришли следующие допущения (Боулби, 2003; Мельникова, 2005; Johnson, 2004):
1. Привязанность – поиск и поддержание контакта со значимыми другими – это базовая человеческая потребность «от колыбели и до могилы». В этом смысле зависимость присуща человеку как социальному существу на протяжении всей жизни. Согласно теории привязанности нет ни полной независимости от других, ни чрезмерной зависимости. Скорее, следует думать об эффективной или неэффективной зависимости.
2. Эффективная зависимость поддерживает автономию и уверенность в себе. Эффективная зависимость и отдельность – две стороны одной медали, а не противоположности. Чем надежнее наши связи, тем более отдельными и отличающимися от других мы можем быть. Быть здоровым – это ощущать взаимозависимость, а не самодостаточность и отдельность от других.
3. Привязанность как безопасная гавань. Контакт с фигурой привязанности – внутренний механизм выживания. Это наследство от наших предшественников по эволюционной лестнице. Если кто-то из наших предков встречал опасность в одиночку, шансы погибнуть были высокими. Если удавалось позвать на помощь, привлечь внимание соплеменников, можно было получить защиту и выжить. Мы – потомки тех, выживших, позвавших на помощь. Эволюция приспособила наш мозг и тело к тому, чтобы стремиться к фигурам привязанности в моменты опасности и стресса. Присутствие такой фигуры – обычно это родители, дети, супруги, возлюбленные – приносит ощущение спокойствия и безопасности, а когда эти фигуры недоступны (или воспринимаются как недоступные), наступает дистресс. Нейроисследования доказывают, что близость с любимыми людьми успокаивает нервную систему (Cozolino, 2002). Контакт с фигурой привязанности – естественная защита от тревоги и уязвимости. Привязанности в любом возрасте создают безопасную гавань, которая защищает от повседневных стрессов и от неопределенности и является оптимальной средой развития для каждого из нас на протяжении всей жизни.
4. Привязанность как надежная база. Привязанность является надежной базой, или отправной точкой, с которой индивидуум исследует окружающий мир. Ребенок отбегает от матери поиграть и возвращается к ней. Присутствие отзывчивой мамы дает ребенку уверенность, необходимую для того, чтобы учиться чему-то новому, адаптироваться к новым жизненным обстоятельствам и изменять образ себя с учетом приобретенного опыта. И это верно не только в детстве, но в течение всей жизни. Есть исследования, показывающие, что наличие отношений, обеспечивающих надежную базу, способствует когнитивной открытости новому опыту. По результатам других исследований надежная привязанность усиливает способности к рефлексии. Когда отношения воспринимаются как безопасные, людям проще оказывать друг другу поддержку, разрешать конфликты и справляться со стрессом. Отношения тогда приносят больше удовлетворения. Потребность в безопасных эмоциональных связях с партнером, обеспечивающих безопасную гавань и надежную базу, лежит в основе близких и длительных отношений. Если потребность не удовлетворена, наступает супружеский дистресс. Удовлетворение этой потребности приводит к налаживанию супружеских отношений.
5. Взаимная доступность и отзывчивость – строительные блоки безопасных эмоциональных связей. Фигура привязанности может присутствовать физически, но отсутствовать эмоционально. Если фигура привязанности воспринимается как недоступная, наступает сепарационная тревога и дистресс. Важно не только физическое присутствие, но и эмоциональная вовлеченность в отношения. Привязанность – это жизненная потребность человека. Если эта потребность остается неудовлетворенной, человек испытывает экстремальные эмоции и может вести себя экстремальным образом. По выражению Джонсон, «эмоции – это музыка любовных отношений» (Johnson, 2004, p. 67), а отношения – парный танец. Изменится музыка – изменится танец. Теория привязанности помогает нам лучше понять переживания каждого супруга и нормализовать их.
Страх и неопределенность активирует потребности в привязанности. В опасных ситуациях поведение, связанное с поиском близости, активируется. Если фигура привязанности в такие моменты воспринимается как недоступная, это серьезный удар по отношениям.
«Я была одна с малышом. Ребенок заболел. Я ужасно волновалась, попросила мужа прийти с работы пораньше. Он не пришел, сказал, что много работы. А потом оказалось, что они там праздновали что-то, он в этот момент танцевал с молоденькой сотрудницей».
«Я заметила в груди какое-то уплотнение, испугалась. Сказала мужу, а он отмахнулся, сказал, что я мнительная. Все же пошла к врачу, сдала анализы, а муж даже не позвонил узнать, какие результаты».
Подобные события могут переживаться как катастрофа. Понять, почему это так, помогает положение теории привязанности о том, что в моменты, когда мы особенно уязвимы, нам жизненно важно ощущать, что мы не одиноки.
6. Дистресс при сепарации – предсказуемый процесс. Если поведение привязанности, направленное на поиск и поддержание контакта с фигурой привязанности, не достигает цели, возникают такие чувства, как гневный протест, цепляние, депрессия и отчаяние, кульминацией этого процесса становится отчуждение.
Боулби рассматривал гнев в близких отношениях как попытку войти в контакт с недоступным объектом привязанности и различал гнев надежды и гнев отчаяния: последний возникает от безысходности и может принимать экстремальные формы принуждения, насилия, самоповреждающего поведения. В надежных отношениях протест, вызванный недоступностью значимого человека, признается и принимается партнером. Другими словами, в отношениях, характеризующихся взаимной доступностью и отзывчивостью, есть возможность починить то, что сломалось.
1. Стили привязанности – это поведенческие паттерны в близких отношениях и стратегии эмоциональной регуляции. Впервые были выявлены Мэри Эйнсворт, психологом Балтиморского Университета (США) в эксперименте, получившем название «Незнакомая ситуация» (Крейн, 2002). В исследовании приняли участие матери и их годовалые дети. Психологи наблюдали за реакцией младенцев на кратковременное разлучение с матерью и на последующее воссоединение с ней. Исследование опиралось на идеи Боулби, предположившего, что путь, ведущий к пониманию уз, связывающих ребенка с матерью, пролегает через понимание реакции ребенка на разлуку с матерью. В результате эксперимента были выявлены три поведенческих паттерна, или три стиля привязанности – надежный стиль и два ненадежных: избегающий и тревожно-амбивалентный. Последующие исследования показали, что стиль привязанности, формирующийся на первом году жизни, является культурно универсальной и устойчивой характеристикой. Дети разной этнической принадлежности и из разных стран демонстрируют те же паттерны; различия в поведении детей с разными стилями привязанности сохраняются вплоть до 15 лет (т. е. на протяжении всего детского возраста).
Во взрослых близких отношениях проблему надежной или ненадежной привязанности можно сформулировать как вопрос, обращенный к значимому другому: «Могу ли я положиться на тебя, зависеть от тебя? Если мне будет действительно нужно, могу ли я быть уверен(а), что ты будешь со мной?». Ответов на этот вопрос конечное число. «Да, могу» соответствует надежной привязанности. Если ответ: «Нет, я не уверен(а)» или «Нет, я не могу зависеть от тебя», привязанность ненадежная. Когда фигура привязанности воспринимается как недоступная, система привязанности может реагировать гиперактивацией. В поведении появляется тревожное цепляние, преследование, попытки силой получить отклик от любимого. Такой поведенческий и эмоциональный паттерн соотносится с тревожно-амбивалентным стилем привязанности. Другая стратегия связана с деактивацией системы привязанности, с подавлением потребностей в привязанности, с фокусировкой на практических задачах и ограничением или избеганием эмоционального контакта с объектом привязанности. Такой поведенческий и эмоциональный паттерн соотносится с отстраненным или избегающим стилем привязанности. Эти две стратегии – тревожное цепляние и отстраненное избегание – формируются в отношениях со значимыми другими, могут воспроизводиться в последующих отношениях, но могут и изменяться в эмоционально безопасных и доверительных отношениях.
2. Привязанность включает в себя рабочую модель себя и другого. Мы узнаем о том, кто мы, какие мы, чего достойны, на какое отношение к себе можем рассчитывать и как получить то, что нам нужно, в близких отношениях со значимыми другими. Рабочая модель – понятие, введенное Боулби – это внутренняя репрезентация привязанности. Рабочая модель включает в себя когнитивные аспекты восприятия себя и других людей. При надежной привязанности человек воспринимает себя как достойного любви и заботы, как уверенного и компетентного человека, и исследования показали, что у людей с надежным стилем привязанности самооценка выше (Mikulincer et al., 1993). Люди с надежным стилем привязанности верят в то, что другие люди в случае необходимости откликнутся на их призыв, и воспринимают других людей как заслуживающих доверия (Collins, Read, 1990; Simpson, 1990). Рабочие модели – это больше, чем когнитивные схемы, это представления о себе и об окружающих, надежды и ожидания, сильно нагруженные эмоциями. Рабочие модели формируются, проявляются, поддерживаются и, что самое главное, меняются в эмоциональной коммуникации. Исследованиями внутренней репрезентации привязанности у взрослых занималась Мэри Мэйн, разработавшая Интервью привязанности для взрослых (AAI) (Main et al., 1985). В результате были выявлены типы внутренней репрезентации привязанности (автономный, дистанцированный и спутанный), которые можно соотнести с надежным, отстраненноизбегающим и тревожно-амбивалентным стилями привязанности из эксперимента Эйнсворт (см. выше пункт 8).
3. Изоляция и утрата связей – травмирующие факторы. Мы социальные существа и не приспособлены к выживанию в одиночку. Поэтому когда мы чувствуем, что связи со значимыми другими под угрозой или что связи обрываются, мы переживаем сильнейший стресс – это потенциально травмирующие ситуации. В этом смысле теория привязанности – это теория травмы. Боулби изучал феномен разлучения ребенка с матерью и последствия подобных разлучений. Он утверждал, что маленькие дети, оставленные в больнице без родителей, как и дети, воспитанные в детских домах, эмоционально обделены и травмированы. Он говорил, что эмоциональное отвержение и утрата эмоциональных связей со значимыми другими оказывает негативное влияние на индивидуальное развитие и на способность справляться с жизненными трудностями. И, напротив, надежные эмоциональные связи целительны. Одного ленинградского писателя, пережившего блокаду, журналисты расспрашивали об ужасах военного времени. Он ответил примерно следующее: «Мне было тогда четыре года, со мной была моя мама. Она меня любила, я был счастлив». И во взрослом возрасте, если мы уверены, что в трудную минуту не останемся в одиночестве, жизненные стрессы переносятся легче.
Из системного подхода в ЭФТ пришли следующие допущения (Николс, Шварц, 2004):
1. Семья – это живая система, состоящая из элементов и связей между ними. Следовательно, все законы живых систем распространяются и на семью. Основных закона два: закон гомеостаза и закон развития. В соответствии с законом гомеостаза любой системе нужна стабильность для нормального функционирования. Нужны также внутренние механизмы, обеспечивающие стабильность. Гомеостаз в системе поддерживается тем, как элементы системы взаимодействуют друг с другом. Закон развития предписывает системе адаптироваться к изменяющимся условиям. Для этого нужны внутренние способности к реорганизации, определенная гибкость, не разрушающая целостность системы.
2. Применительно к семье это означает, что взаимодействия между членами семьи организованы циклически и образуют устойчивые паттерны. Системный терапевт обращает внимание на проблемные циклы, выявляет и изменяет их. Проблемные паттерны обслуживают системный гомеостаз, сохраняют семью как единое целое, но могут препятствовать необходимым изменениям, например, переходу семьи от одной фазы жизненного цикла к другой. Пол Вацлавик, говоря о системной терапии, выделял изменения первого и второго порядка. Изменения первого порядка затрагивают элементы системы (например, супруг становится менее враждебным). Когда происходят изменения второго порядка, меняется способ взаимодействия между членами семьи, или интерактивные паттерны (например, люди начинают слушать друг друга). Для достижения устойчивых изменений должны поменяться и элементы, и интеракции. Иначе миролюбиво настроенный супруг столкнется с привычным недоверием со стороны партнера (часть проблемного цикла) и вернется к прежней критикующей роли.
3. Самые распространенные проблемные паттерны супружеских отношений это преследование – избегание, критика – уход в себя, жалобы – отстранение. Такие паттерны называются комплементарными, поскольку супруги занимают взаимно дополняющие позиции в отношениях. Симметричные паттерны, нападение – нападение, или отстранение – отстранение, считаются производными комплементарных паттернов. Если партнеру, обычно занимающему отстраненную позицию, «некуда отступать», он может перейти в атаку. Или же партнер, обычно выступающий в преследующей роли, отчаялся приблизиться к супругу и дистанцируется.
4. Позиции в отношениях описываются двумя параметрами: близость – дистанция, автономия – контроль. Позиции не являются внутренними характеристиками людей, скорее, это вынужденные роли, порождаемые самоподдерживающимися и самовоспроизводящимися паттернами отношений. В этом смысле супруги – и невольные жертвы, и невольные создатели проблем.
5. В области системной терапии существуют различные направления. Терапевты разных направлений фокусируются на разных параметрах семейной системы и используют разные интервенции для достижения изменений в функционировании системы. Сальвадор Минухин – основатель структурного подхода. Из названия ясно, что данное направление фокусируется на структурных параметрах семейной системы. Семейная система имеет определенную структуру. Она состоит из подсистем: супружеской, родительской, сиблинговой, подсистемы нуклеарной семьи; между подсистемами есть границы, есть также внешняя граница между семьей и социальным окружением. В семье со здоровой структурой границы проницаемы, но не размыты; есть иерархия, проявляющаяся в том, что у взрослых членов семьи власти больше, чем у детей; горизонтальные связи между элементами одной подсистемы сильнее, чем вертикальные (нет межпоколенческих коалиций); внутри супружеской подсистемы распределение власти примерно равное.
6. Цель структурной терапии – стимулировать более гибкие позиции в отношениях и способствовать новым способам взаимодействия. Техники структурного подхода – это присоединение к системе (или создание терапевтического альянса с семьей), переформулирование позиций, делающее явным влияние каждого члена семьи на других и инсценировки, дающие новый опыт семейного взаимодействия. Например, родителей просят обсудить вопросы воспитания детей друг с другом напрямую, что усиливает родительскую подсистему и укрепляет границы между взрослыми и детьми. Подростка, который контролирует своим проблемным поведением всю семью, стимулируют к проявлению адекватной инициативы, а с родителями обсуждают, что они готовы ему доверить.
Из гуманистического подхода в ЭФТ пришли следующие допущения:
1. Внимание к эмоциям. Эмоции – это не досадная помеха для терапии, а высокоорганизованный процесс, интегрирующий физиологический отклик, смысл происходящего, тенденции к действиям, осознание себя в контексте происходящего.
2. Ученые выделяют небольшое число базовых универсальных эмоций: гнев, страх, удивление, радость, стыд/отвращение, обида/ боль, печаль/отчаяние. Каждой базовой эмоции соответствует уникальное выражение лица, врожденный неврологический базис, раннее проявление и социальная функция, помогающая выживать и оказывать воздействие на других, а также быстрое автоматическое проявление (Экман, 2010).
3. Эмоции разделяют на первичные и вторичные. Первичные – это моментальный отклик на то, что происходит сейчас. Вторичные эмоции являются способом совладания с первичными эмоциями (Изард, 2002). Вторичные эмоции являются «топливом» для проблемных интерактивных циклов. Например, жена возмущена поведением мужа – он не пришел с работы вовремя, несмотря на их договоренность. В результате жене пришлось одной укладывать спать ребенка или одной собирать вещи в совместную поездку. Она злится: для нее отсутствие мужа означает, что ему не важны их общие дела: «ему все равно», «я для него не значима», «его никогда не оказывается рядом». Фигура привязанности воспринимается как недоступная. Переживание одиночества и собственной незначимости в близких отношениях вызывает обиду или страх (первичные эмоции). Гнев (вторичная эмоция) является протестной реакцией на недоступность фигуры привязанности. Итак, жена обвиняет мужа в безответственности и необязательности. Муж пытается защититься («ты же знаешь, на работе много дел»), а потом замыкается. Для него упреки жены означают, что ей безразличны его дела, что она думает только о себе: «я нужен ей только как рабочая сила», «ей до меня нет дела». Происходящее воспринимается как отвержение, и это больно (первичная эмоция). Уход в себя и дистанцирование – способ мужа справиться с болезненными переживаниями. В результате взаимодействие образует цикл: преследование – избегание, критика – уход в себя. Каждый в очередной раз убеждается в том, что не ценен, не нужен, не принимается другим.
4. Работать с эмоциями, находясь в отстраненной позиции, неэффективно. Эмпатическая включенность – основной инструмент работы гуманистического терапевта. Эмпатия – это способность представить себя на месте другого человека, понять, каково ему, испытать сочувствие и выразить его в контакте с клиентом. Эмпатия, безоценочное и безусловное принятие и конгруэнтность терапевта помогают построить безопасные и доверительные терапевтические отношения (Роджерс, 2008). В результате человек, обратившийся к психологу, чувствует себя понятым и принятым. Подобные отношения являются оптимальной поддерживающей и развивающей средой, способствующей самопознанию и личностному росту наших клиентов. Тут возможны аналогии с надежной привязанностью, являющейся безопасной гаванью, защищающей от жизненных стрессов, и надежной базой, с которой безопасно исследовать окружающий и внутренний мир.
5. Терапевт, работая с эмоциями, фокусируется на происходящем «здесь и сейчас». Он обращает внимание на то, что говорит клиент, и на то, как он это говорит. Внимание к невербальным аспектам коммуникации – важная составляющая в работе с эмоциями: порой наши тела говорят больше, чем могут выразить слова (Бадхен и др., 2007).
6. Изменения в процессе терапии происходят благодаря корректирующему эмоциональному опыту: человек начинает чувствовать по-новому, его поведенческий репертуар расширяется, перед ним открываются новые возможности и новые перспективы.
ЭФТ как интегративный подход
ЭФТ является интеграцией гуманистического и системного подхода. Терапевт способствует тому, чтобы изменения происходили и на интрапсихическом, и на интерперсональном уровне.
Системную теорию нередко критикуют за безличность, за недостаточное внимание к внутренним переживаниям членов семьи. Основанный на опыте, гуманистический подход добавляет системной теории недостающую интрапсихическую часть, очеловечивает систему. Кроме того, системная теория с подозрением относится к зависимости и совместности, склонна воспринимать их как спутанность, слияние и недифференцированность. В ЭФТ говорится о безопасной взаимозависимости. С точки зрения ЭФТ надежная привязанность способствует дифференциации.
В ЭФТ терапевт, выявляя циклы семейного взаимодействия, видит в них не только способ самосохранения системы. Проблемные поведенческие последовательности (нападение – избегание, жалобы– отстранение) проистекают из страхов и небезопасности привязанности. Эмпатическое присоединение к каждому супругу, переживающему фрустрацию базовой человеческой потребности, приводит к тому, что оба партнера чувствуют себя понятыми и принятыми. Возможно, именно поэтому обрывы в данном виде супружеской терапии случаются редко. Людвиг фон Берталанфи, основатель теории систем, говорил, что в системе есть ведущие элементы, маленькое изменение в которых приводит к большим изменениям во всей системе. Эмоции привязанности можно рассматривать как ведущие элементы семейной системы (Johnson, 2004).
В качестве обобщения можно сформулировать следующие допущения ЭФТ:
1. Супружеские отношения – это отношения привязанности. Привязанность – базовая и витальная потребность. Когда эта потребность не удовлетворяется, наступает супружеский дистресс. Именно с этим дистрессом пары приходят к психологу.
2. Надежная привязанность обеспечивается взаимной доступностью и отзывчивостью партнеров, их эмоциональной вовлеченностью в отношения. Эти связи реализуют присущую всем нам потребность в безопасности, защите и эмоциональном контакте с другими людьми.
3. Эмоции – ключ к организации поведения привязанности, к ощущению себя и другого в близких отношениях. Эмоции придают смысл происходящему, мотивируют к действию и являются средством коммуникации. Эмоции – это музыка любовных отношений. Это то, что меняется в ЭФТ. Новый эмоциональный опыт считается самым важным фактором интрапсихических и интерперсональных изменений.
4. Проблемы в отношениях поддерживаются тем, как организовано взаимодействие в паре и доминирующим эмоциональным опытом в отношениях. Эти элементы определяют друг друга. На них фокусируется терапия.
5. Потребности привязанности рассматриваются как здоровые и адаптивные. Проблемой является способ, которым люди пытаются удовлетворить эти потребности. Выявление и нормализация потребностей привязанности – ключевой момент ЭФТ.
6. Изменения в процессе терапии происходят главным образом ни через инсайт, ни через катарсис, ни через переговоры. Они происходят через новый эмоциональный опыт, который люди получают в общении с психологом и друг с другом. По словам Альберта Эйнштейна, знание – это опыт, все остальное – информация.
7. Цель терапии – построение надежной привязанности в паре. Надежная привязанность выражается в том, что оба супруга эмоционально включены в отношения, взаимно доступны и отзывчивы, явным образом выражают свои потребности привязанности, адресованные партнеру, и откликаются на призывы другого (Johnson, 2004; Johnson, Whiffen, 2003).
Оценка эффективности ЭФТ
Исследования показали, что эффективность ЭФТ напрямую связана с качеством терапевтического альянса с парой. Под терапевтическим альянсом понимается эмоциональный контакт между терапевтом и супругами, постановка общих целей, ощущение релевантности поставленных терапевтом задач. Качество терапевтического альянса имеет большее влияние на исход терапии, чем изначальный уровень супружеского дистресса. Поэтому терапевту необходимо сосредоточиться на создании и укреплении альянса – это первоочередная задача.
Требуется ли от участников ЭФТ особая способность к выражению и осознанию эмоций? Исследования этого не подтверждают. ЭФТ эффективна с мужчинами, которые характеризуется их женами как бесчувственные. Возможно, дело в поддерживающей обстановке ЭФТ: безопасные условия способствуют самораскрытию и самовыражению мужчин, что оказывает огромное влияние и на них самих, и на супружеские отношения. Исследования показали, что мужчины старше 35 лет особенно восприимчивы к ЭФТ. Возможно, так происходит потому, что потребности в близости актуализируются у мужчин в более зрелом возрасте.
Для женщин, участвующих в ЭФТ, успех терапии зависит от степени доверия мужу. Если женщина убеждена, что она безразлична своему мужчине, она не пойдет на риск самораскрытия, не будет стараться приблизиться к нему. Внешне это может выражаться в независимом поведении, но на эмоциональном уровне подобная независимость может сигнализировать о расторжении эмоциональной связи с супругом.
Уровень гибкости – ригидности партнеров: если рабочая модель одного (или обоих) партнеров ригидна, это означает, что она малочувствительна к новому опыту. В ЭФТ ригидность проявляется в том, что позиции супругов в отношениях не меняются: критикующий партнер не может или не хочет смягчиться и/или отстраненный партнер не может или не хочет вовлечься (Johnson, Whiffen, 1999).
Области применения ЭФТ
ЭФТ применяется не только при супружеском дистрессе. Этот подход эффективен при депрессии (легкой или средней степени) у одного или обоих партнеров. Что согласуется со взглядом ЭФТ на депрессию как на закономерную реакцию утраты эмоциональной связи со значимыми другими.
Для пар с высоким риском развода из-за хронического семейного стресса, например, в случае тяжелой хронической болезни ребенка, ЭФТ – эффективный вид терапии.
При посттравматическом стрессовом расстройстве у супруга (например, в случае физического или сексуального насилия в прошлых отношениях) ЭФТ тоже применяется, однако терапия занимает больше времени, поскольку работа с травмой требует медленного и постепенного продвижения.
Надежная привязанность – это путь к исцелению всех видов травм и к повышению способности справляться с жизненными стрессами:
• Травматический опыт погружает в беспомощность, а надежная привязанность успокаивает и дает уверенность.
• Травма заставляет воспринимать окружающий мир как опасный и непредсказуемый, а надежная привязанность – это безопасная гавань.
• Травма создает эмоциональный хаос и нарушает связное восприятие себя. Близкие и надежные отношения облегчают регуляцию аффекта, способствуют интеграции образа себя, а также увеличивают доверие к себе и окружающим.
Противопоказания для ЭФТ
ЭФТ противопоказана:
• Когда партнеры явно расстаются. В таких случаях подойдет индивидуальная терапия для проживания утраты и/или медиация развода.
• В случаях физического или эмоционального насилия, когда самораскрытие сопряжено с реальным риском насилия. Терапевт должен решить, этично ли и уместно ли переходить к шагам терапии, направленным на обнаружение чувств уязвимости партнера, находящегося в роли жертвы. Хорошим вариантом в подобных ситуациях может быть индивидуальная терапия для каждого супруга (Johnson, 2004).
Результаты терапии
Изменения затрагивают эмоциональную, когнитивную, поведенческую и интерперсональную сферу: люди чувствуют, думают и ведут себя по-другому и по-другому общаются друг с другом.
Негативные интеракции случаются реже, реакции партнеров не так жестко определяют друг друга, проживаются по-другому, имеют меньшее влияние на определение отношений. Позитивные интеракции случаются чаще, замечаются и признаются партнерами.
Каждый видит свой вклад и вклад другого в позитивное взаимодействие. Контакт между супругами меняется в направлении большей безопасности, близости и доверия. Меняется то, как они разговаривают друг с другом: мягче, с большим сочувствием. Теперь каждый занят не исключительно защитой и регуляцией своих аффектов, но тем, чтобы лучше понять другого. Из психологии развития мы знаем, что исследование окружающего мира возможно при условии, что есть ощущение надежности и безопасности. У взрослых людей подобным же образом ощущение безопасности пробуждает любопытство и открытость, необходимые атрибуты взрослой близости.
Однако не всегда результатом супружеской терапии становится создание более близких и доверительных отношений. Бывает, что выявление негативного цикла взаимодействия и эмоций, его питающих, приводит к тому, что супруги решают расстаться или жить параллельными жизнями. Тогда картина в конце терапии выглядит несколько по-другому. Негативный цикл меняется: супруги больше не обвиняют друг друга, они не попадают в тупики, когда один пытается угодить другому, а другой дистанцируется. Однако позитивные циклы более ограниченны, они выражаются в спокойном обсуждении, а не в тесном эмоциональном контакте. Например, пара может прийти к соглашению, что они не подходят друг другу как супруги, но они много дали друг другу, и имеет смысл еще некоторое время пожить вместе, потому что так проще выполнять родительские обязанности. При этом каждый признает свое право (и право партнера) устраивать личную жизнь по собственному усмотрению.
Если окончание терапии вызывает у супругов тревогу, терапевт помогает им исследовать эти страхи в диалоге друг с другом. Важно, чтобы они убедились, что способны помогать друг другу и что вместе они могут справиться.
ЭФТ – краткосрочный подход. Краткосрочность достигается за счет сфокусированности на потребностях привязанности в паре. Длительность терапии обычно составляет 12–18 сессий (Johnson, 2004).
Терапевтические задачи и способы их реализации[12]
Итак, целью ЭФТ является построение надежной привязанности в паре, выражающейся во взаимной доступности и отзывчивости партнеров, их эмоциональной вовлеченности в отношения.
Что делает психолог для достижения этой цели? На протяжении всего процесса психотерапии работа психолога заключается в выполнении следующих задач:
1. Психолог прикладывает усилия к поддержанию терапевтического альянса с каждым супругом и с парой как единым целым. Терапевтический альянс важен для успеха любой терапии. В случае ЭФТ – а это подход, фокусирующийся на базовой потребности в привязанности – надежный альянс создает безопасный контекст для работы с эмоциями. Основной инструмент присоединения к каждому супругу – эмпатическое вчувствование в его переживания. Это работа на близкой дистанции, с вниманием к невербальным реакциям клиентов. Психолог пропускает эмоциональный опыт клиента через себя и отражает его (а отчасти и свое собственное) состояние. Эволюция снабдила нас зеркальными нейронами[13], позволяющими, при условии нашей эмоциональной вовлеченности в отношения, узнать, что чувствует другой.
В супружеской терапии важно присоединиться не только к индивидуальным переживаниям каждого, но и к системе супружеских отношений. Помня о цикличном характере взаимодействий в дисфункциональной семье, поддерживающем целостность системы вместе с проблемой (обусловленной небезопасностью привязанности), психолог в эмпатической манере отражает повторяющиеся интерактивные последовательности. Например, он может сказать жене и мужу: «Вам так важно получить хоть какой-то отклик от него, что вы стучите все сильнее. А вы не можете не выключиться под напором ее требований, ее гнев вынуждает вас отстраняться. Получается, чем громче вы стучите, тем крепче вы закрываете двери. И это оставляет вас обоих с ощущением одиночества и разочарования, так?» (первая задача: создание и поддержание терапевтического альянса).
2. Психолог обращает внимание на эмоции привязанности и помогает супругам в безопасном их выражении. Привязанность – витальная потребность, поэтому при ее фрустрации люди испытывают экстремальные эмоции – гнев, страх, боль, отчаяние – и зачастую ведут себя экстремальным образом. Психолог разворачивает эмоциональный процесс от вторичных эмоций, выполняющих защитную функцию, к первичным, говорящим о потребностях в близости и страхах не получить желаемое. Как это происходит на практике?
Терапевт[14]: Что с вами сейчас происходит, Коля, когда Лена только что сказала о своей обиде? Вы смотрите в сторону и как будто сдерживаете себя?
Коля: Мне надоели ее постоянные претензии и придирки.
Терапевт: Как будто она не замечает ваших усилий принести мир в семью и это злит (гнев – вторичная эмоция)?
Коля: Если я такой плохой, зачем она вообще со мной живет?
Терапевт: То есть тут не только злость, тут еще и другое ощущение: «я плохой», «я не соответствую ее стандартам»? Помогите мне лучше понять вас… (переход к первичным эмоциям) (вторая задача: работа с эмоциями).
3. Психолог выступает в роли «хореографа парного танца» (метафора С. Джонсон), управляя интерактивными поведенческими последовательностями, или паттернами взаимодействия. Когда связь с любимым человеком переживается как небезопасная, отношения в паре образуют негативные циклы, наиболее распространенными из которых является преследование – избегание, критика – уход в себя, жалобы – отстранение. Психолог рассматривает потребности в безопасном соединении друг с другом как здоровые и адаптивные, а проблему видит в тех способах, какими люди пытаются достичь близости и признания. Эмоциональные процессы, поведенческие реакции и паттерны взаимодействия в паре взаимно обусловлены: то, что (и как) люди чувствуют, думают и делают, создает реальность их отношений. Для достижения изменений психолог выбирает подходящий момент[15] для интервенции.
Терапевт: Что сейчас произошло? Вы сказали, Маша, что вам обидно. А вы, Володя, сказали, нет, это не обидно. И так у вас часто происходит. Вы говорите, я чувствую то-то, а вы отвечаете, да нет, ты не чувствуешь этого, я ни в чем не виноват. Можем сейчас вернуться назад, и вы скажете ему, Маша, о своей обиде? (третья задача: управление взаимодействием в паре).
Иллюстрация
Терапевт: Когда он пытается приблизиться к вам, вот прямо сейчас, когда он наклонился к вам и сказал, что вы ему нужны, что с вами происходит? (она сжимает руки и смотрит в пол). Это трудно принять, вы сдерживаете себя, и руки сжаты? (задача 2).
Жена: Да, я сдерживаюсь. Я ему не верю. Я поведусь на эти его… и… (она роняет руки).
Терапевт: И тогда, если вы позволите себе довериться ему, если вы рискнете, а он снова не окажется рядом с вами, это будет невыносимо? (задача 2).
Жена: Да, да. Если бы вас здесь не было, я бы давно убежала.
Терапевт: То есть со мной немого безопаснее (задача 1). Вы можете сказать ему, как вам страшно надеяться и довериться ему? Можете? (задача 3).
Муж: Она не рискнет.
Терапевт: Потому что ей трудно (задача 1). Вы можете ей помочь? Наклониться к ней, посмотреть в глаза? Можете помочь ей меньше бояться? Помните, вы это уже делали на прошлой встрече (задача 3 и задача 1).
Описание структуры терапевтического процесса в ЭФТ дается по книге: Johnson, 2004.
Вернуться
Зеркальные нейроны были открыты в середине 1990-х годов итальянским нейробиологом Риццоллати. Он обнаружил в премоторной коре головного мозга макак особую группу нейронов, активирующихся не только в процессе выполняемых движений (например, обезьяна чистит банан), но и в процессе наблюдения за этими движениями (детеныш наблюдает за тем, как его мама чистит банан). Последующие исследования доказали наличие и у человека систем зеркальных нейронов, которые могут активироваться посредством вовлеченного наблюдения за целенаправленными действиями или эмоциональными состояниями других людей. Зеркальные нейроны являются неврологическим субстратом эмпатии (Cozolino, 2002, p. 184–186).
Вернуться
Здесь и далее в тексте слова «психолог» и «терапевт» используются в сходных значениях.
Вернуться
Наиболее активно терапевт использует технику инсценировок на втором этапе терапии, однако С. Джонсон рекомендует обращаться к данной задаче ЭФТ с самых первых сессий.
Вернуться
