All sciences. №5, 2023. International Scientific Journal
Қосымшада ыңғайлырақҚосымшаны жүктеуге арналған QRRuStore · Samsung Galaxy Store
Huawei AppGallery · Xiaomi GetApps

автордың кітабын онлайн тегін оқу  All sciences. №5, 2023. International Scientific Journal

All sciences. №5, 2023

International Scientific Journal

Fonts by «ParaType»


Authors: Aliyev Ibratjon Xatamovich, Karimov Boxodir Xoshimovich, Qo'ldashov Obbozjon Xokimovich, Komilov Abdullajon Odiljonovich, Jumayev Javohir Abdurasulovich, Qo'chqorov Ahliddin Mirzohidovich, Xayitov Saidjon Baxtiyorjonovich, Xayitova Maftuna Rahmatillayevna, Obidov Foziljon Oripovich, Usmonova Shaxlo Norqoziyevna


Editor-in-Chief Ibtajon Xatamovich Aliyev

Illustrator Obbozjon Xokimovich Qo'ldashov

Illustrator Sultonali Mukaramovich Abduraxmonov

Cover Designer Ibratjon Xatamovich Aliyev

Cover Designer Ra'noxon Mukaramovna Aliyeva

Acting Scientific Supervisor Sultonali Mukaramovich Abduraxmonov

Economic Manager Farruh Murodjonovich Sharofutdinov

Economic Consultant Botirali Rustamovich Jalolov

Proofreader Gulnoza Muxtorovna Sobirova

Proofreader Abdurasul Abdusoliyevich Ergashev





Contents

PHYSICAL AND MATHEMATICAL SCIENCES

DESIGN AND FEATURES OF THE PROCESS OF CREATING A HELIUM LASER

UDC 621.373.8

Aliyev Ibratjon Xatamovich

3rd year student of the Faculty of Mathematics and Computer Science of Fergana State University

Ferghana State University, Ferghana, Uzbekistan

Annotation. The manufacture of a large number of devices of a very different nature is reduced to the possibility of interaction of modern technology with a variety of types of materials, including refractory ones. For this reason, in order to create a three-dimensional printer device capable of acting on tungsten, quartz and some other materials, by regulating the strength of the melting element, the design of a helium ultraviolet laser was developed.

Keywords: laser, helium, ultraviolet, tungsten, three-dimensional printer, design, device.

Аннотация. Изготовление большого количества устройств самого различного характера сводиться к возможности взаимодействия современной техники с самыми различными типами материалов, в том числе и тугоплавкими. По этой причине, с целью создания устройства трёхмерного принтера способного воздействовать на вольфрам, кварц и некоторые другие материалы, путём регулирования силы плавящего элемента и была разработана конструкция гелиевого ультрафиолетового лазера.

Ключевые слова: лазер, гелий, ультрафиолет, вольфрам, трёхмерных принтер, конструкция, устройство.

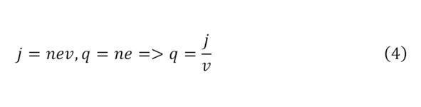
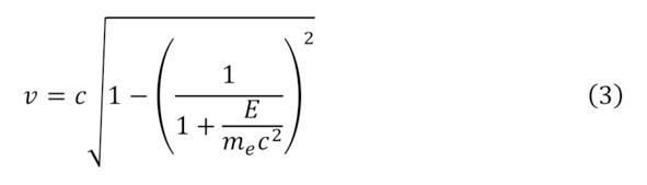
The laser device is a cylindrical glass flask with a fixed diameter and an internal division similar to the radius. The thickness of such a bulb is chosen specifically to solve the problem of depressurization of the structure. In such a flask, helium is introduced in the outer part, and coils are installed on both sides, one of which is a direct — filament cathode, and the second is an anode. Due to the fact that the cathode begins to heat up, a current density begins to arise between it and the anode, determined by (1) and from which the kinetic energy of the cathode molecules (2) can be calculated from the temperature value, and after that the velocity of the molecules (3), from which, in turn, the charge is calculated from the value of a certain current density (4).

Further, from the calculations given, it is possible to determine the voltage, that is, the kinetic energy of the charges reaching the anode, from where their voltage (5) manifests itself, and since the value of the current density in the cathode itself (6) is known, depending on the ratio of this current density and the density of the outgoing charge, the percentage of charge output from the cathode can be found (7) or a kind of cathodic efficiency.

After the charges with the set energy, at a given voltage, fly out of the cathode, they begin to affect the helium located between the electrodes, which begins to be excited and move to the next energy level and after descending from it, which takes microseconds, begins to emit photons of ultraviolet light. There is a reflective foil around the outer part of the bulb, which reflects all these multidirectional rays and reduces them to a single point. In addition, mirrors or the same foil are located at the ends of the sides of this tube, which further increases the effect.

Then the reflected ultraviolet rays begin to move towards the central part, but this central part must be made of quartz glass, which unlike conventional conducts ultraviolet. And in the central flask there is also helium with the same excitation energy, which leads to the fact that helium absorbs the photons that hit it and releases twice as much.

On one side of the central part of the structure there is also a reflecting mirror, and on the other — quartz glass, which releases a stream of concentrated ultraviolet photons with high energy. Thus generating a stream with an energy of at least 28—30 watts, which can be concentrated in sufficiently small areas using powerful lenses and acting on the desired object. For comparison, when using a lens with the possibility of increasing by 5.5—6 thousand times and reducing the beam area to 1 micron, the temperature of tungsten reaches 4.5 thousand degrees, which is several times higher than its melting point. Thanks to this, it is possible to create a design of this kind of three-dimensional printer that will affect the material with great accuracy, causing it to melt at a certain point with an accuracy of up to a micrometer and layer by layer causing the formation of the necessary detail of any scale with sufficiently high strength!

Used literature

1. Bagramov, R. Lasers in dentistry, maxillofacial and reconstructive plastic surgery / R. Bagramov, M. Alexandrov, Yu. Sergeev. — M.: Technosphere, 2010. — 608 p.

2. Bertolotti, M. The history of the laser. Scientific publication / M. Bertolotti. — M.: Intellect, 2015. — 336 p.

3. Bogdanov, A.D. Gyroscopes on lasers / A.D. Bogdanov. — M.: Voenizdat, 1975. — 731 p.

4. Vasiliev, G. M. Kinetic and transport processes in molecular gas lasers / G. M. Vasiliev, S. A. Zhdanok. — M.: Belorusskaya Navuka, 2010. — 206 p.

5. Gamaleya, N. F. Lasers in experiment and clinic / N. F. Gamaleya. — L.: Medicine, 2013. — 232 p.

6. Zastrogin, Yu. F. Control of motion parameters using lasers. Methods and means: monogr. / Yu. F. Zastrogin. — L.: Mashinostroenie, 1981. — 176 p.

7. Zuev, V. E. Laser meteorologist / V. E. Zuev. — M.: Hydrometeoizdat, 2001. — 180 p.

8. Laser—induced chemical processes. — M.: Mir, 1984. - 312 p.

9. Laser and light therapy. Volume 1. Vascular disorders. Hyperpigmentation. Scars. Skin diseases. Epilation (+ DVD-ROM). — Moscow: Reed Elsiver, 2010. — 188 p.

10. Laser and light therapy. Volume 2. Skin rejuvenation. Laser grinding. Laser therapy in patients with dark skin. Cellulite treatment (+ DVD-ROM). — M.: Reed Elsiver, 2010. — 152 p.

11. Lasers in aviation. — M.: Voenizdat, 1982. — 160 p.

12. Lasers in endoscopy / N. E. Chernekhovskaya et al. — M.: MEDpress-inform, 2011. — 144 p.

13. Lasers. — M.: Publishing House of Foreign Literature, 1996. — 472 p.

14. Maitland, A. Introduction to laser physics / A. Maitland, M. Dunn. — Moscow: Mir, 1978. — 598 p.

15. Nasretdinov, Alexey Voyeurism and combat lasers / Alexey Nasretdinov. — M.: Boslen, 2007. — 128 p.

16. Ochkin, V. N. Waveguide gas lasers / V. N. Ochkin. — M.: Znanie, 1988. — 282 p.

THE TECHNOLOGY OF CREATING A DOSIMETER USING ARDUINO

UDC 551.521

Karimov Boxodir Xoshimovich

Candidate of Physical and Mathematical Sciences, Associate Professor of the Department of "Technological Education" of the Faculty of Physics and Technology of Fergana State University

Ferghana State University, Ferghana, Uzbekistan

Annotation. Radiation in all its manifestations is an integral part of the entire nuclear industry, along with its other actions on charged particle accelerators, as well as in everyday life, when taking into account the general background radiation, or when searching for radioactive fossils, of which there are quite a lot. And at the same time, it is important to scale this process using more equipment, however, in order to achieve these goals, it is necessary to organize a favorable ground in the face of more affordable dosimeters, as an example of one of the types of equipment based on Arduino boards.

Keywords: radiation, dosimeter, Arduino, determination, radioactive background, determination and statement of measuring instrument data, measuring instruments.

Аннотация. Радиация во всех её проявлениях является неотъемлемой частью всей ядерной промышленности, наряду с прочими её действиями на ускорителях заряженных частиц, а также в повседневной жизни, при учёте общей фоновой радиации, либо при поиске радиоактивных ископаемых, коих достаточно много. И при этом важно масштабирование этого процесса с использованием большего количества оборудований, однако, для достижения поставленных целей,

...