автордың кітабын онлайн тегін оқу Матрица физики, законов природы
Матрица физики, законов природы
В. Б. Уральцев
© В. Б. Уральцев, 2016
ISBN 978-5-4483-2358-4
Создано в интеллектуальной издательской системе Ridero
Уважаемый читатель!
Предлагаю Вам книгу «Матрица физики, законов Природы». Название книги указывает на то, что разговор в ней пойдет об основах мироздания.
Основным источником познания основ мироздания для человека служит Солнечная система. Определение и расчет параметров процессов преобразования, происходящих в этой системе, будем производить с помощью системы LT (метр, секунда), пользуясь идеями Р.О. ди Бартини и П. Г. Кузнецова, в частности, «Системой пространственно-временных величин».
Параметры движения планет Солнечной системы являются системой естественных физических величин. Единицы и величины этих параметров определяются таблицей – матрицей физики, законов Природы. Эти величины являются инвариантами – законами сохранения.
Построить матрицу можно только с применением системы LT. В данном случае система СИ не работает, как и другие системы измерения. Интересно, что матрица работает в микромире. Применяя матрицу, можно узнать много нового о процессах преобразования, которые совершаются постоянно в мире, в котором мы живем.
Классическая наука системы LT не принимает. Провести качественный анализ и дать оценку полученным результатам поэтому не может.
Удивительно, что Р.О. ди Бартини и П. Г. Кузнецов, проделав огромную работу по созданию системы LT, к матрице не подошли. Р.О. ди Бартини предложил около двадцати констант, но их нельзя собрать в систему (матрицу), а назвать их естественными также нельзя. Оцените сами статьи, собранные в книгу.
Желаю успехов!
Физическая величина, инвариант, закон сохранения
Прежде чем начать наши исследования, выберем систему измерения, которой будем пользоваться. Только в этом случае мы подойдем к истине. Для этого обратимся к интересному документу: Брянск. 1974г. Академия наук СССР, научный совет по комплексной проблеме «кибернетика», проводят семинар-моделирование динамических систем. Труды семинара «Кибернетика электроэнергетических систем».
Статья Р. О. ди Бартини и П.Г.Кузнецова «Множественность геометрий и множественность физик» посвящена Системе пространственно-временных величин, системе LT. Фундаментальные понятия одной из физик:
ГРУППА
ПРЕОБРАЗОВАНИЯ
ИНВАРИАНТ
ФИЗИЧЕСКАЯ ВЕЛИЧИНА
Группа преобразований, имеющая определенную величину инвариантом, есть одна из физик. Инвариантом физической величины принято называть закон сохранения.
Статья заканчивается: «Рассмотренные нами примеры преследуют цель показать возможность формирования нового научного направления, значение которого как для решения прикладных задач, так и для развития теории трудно переоценить.
Авторы выражают свою признательность академикам Н. Н. Боголюбову и Б. М. Понтекорво за полезные советы и интерес к их работе».
Большой цикл исследований Н.Н.Боголюбова, выполненных совместно с Н. М. Крыловым, относится к одному из важнейших пограничных разделов между современной теорией дифференциальных уравнений и функциональным анализом: ученые создали так называемую теорию инвариантной меры в динамических системах.
В статье нет ни слова о генераторах, линиях электропередачи и трансформаторах, но она имеет прямое отношение к теме. В каждом районе электрических сетей диспетчерская служба и автоматика строго следят, чтобы получаемая энергия равнялась потребляемой и передаваемой в другие районы с учетом К. П. Д. Это закон сохранения энергии, и, соответственно, закон сохранения мощности.
Система LT является оптимальной системой при анализе и вычислениях преобразований в динамических системах мега и микромира.
Парадокс времени!
Мы живем в мире, который постоянно меняется. Эти перемены мы ощущаем постоянно вокруг себя, меняемся и мы сами – эти перемены, события, различные преобразования мы называем течением времени.
Скорость течения времени этих процессов мы связываем с естественными периодическими процессами, сменой дня и ночи – сутками, или сменой состояния в природе – месяцами, или годами. Эти процессы обусловлены вращением Земли вокруг своей оси и вокруг Солнца.
Кроме естественных систем отсчета преобразований, мы создали искусственные – часы. Но ведь они не меряют время! Точные периодические колебания, переведенные в цифру, служат нам отсчетом периодов процессов, в которых мы участвуем. Мы считаем – время идет.
Классическая наука утверждает, что масса замедляет ход времени! Но, в таком случае, эффекта близнецов не может быть: замедляются все процессы, как в летящей ракете, так и на Земле.
Природа предлагает нам замечательную формулу.
Согласно этой формулы на планете с большей массой процессы преобразования будут идти быстрее, т.е. время.
Откроем Библию: у Господа один день, как тысяча лет, и тысяча лет как один день. Почему древние мыслители считали, что с уходом координаты отсчета от Земли в космос время замедляет свой ход? Семь дней сотворения мира Творцом не являются семью днями в нашем понимании. Это тысячи лет у нас и один день у Творца.
Законы Кеплера – часть более общего
закона движения планет
Чтобы найти истину, каждый должен хоть раз в жизни освободиться от усвоенных им представлений и совершенно заново построить систему своих взглядов.
Рене Декарт, фр. философ, математик и физик, XVII век.
Предлагаемый вниманию читателей материал и математические выкладки, непосредственно касаются законов немецкого астронома и математика XVI – XVII веков Иоганна Кеплера. Он был, прежде всего, теоретиком, увлеченным, а точнее, вооруженным мощью математики, преклоняющимся перед числами и с немецкой педантичностью ищущим во всем мироздании не только математические соотношения, а еще красоту и гармонию.
Три закона Кеплера поражают своей четкостью и информативностью.
Первый законгласит, что орбиты всех планет являются эллипсами с общим фокусом, в котором находится Солнце.
Второй законговорит о том, что каждая планета по своей орбите движется так, что ее радиус-вектор за одинаковые промежутки времени проходит равные площади.
Третий законИ. Кеплер вывел, изучая работы знаменитого астронома Т. Браге за предшествующие полвека.
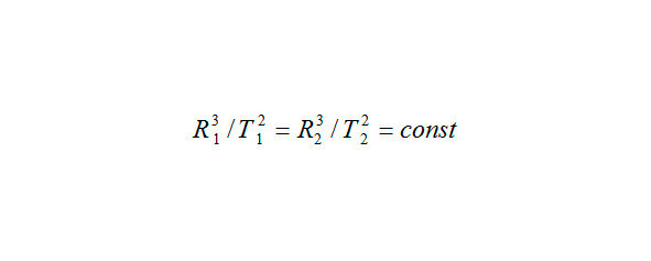
Первые два закона увидели свет в 1609 году. Спустя 10 лет был опубликован третий закон движения планет – в книге «Гармония мира». Эту зависимость великий астроном сформулировал так: отношение кубов больших полуосей орбит двух любых планет Солнечной системы равно отношению квадратов периодов их обращения вокруг Солнца.
Значение этих законов в познании мироздания неоспоримо. Вот слова американского физика, лауреата Нобелевской премии Л. Купера: «Эти законы представляли собой выдающееся достижение. Результаты двадцатилетних наблюдений и тысяч измерений оказались сконцентрированными в простой системе кривых и правил. Всякий, кто захотел бы в будущем создать свою систему мира, должен был позаботиться, чтобы она содержала в себе эти три закона, описывающие движения планет. После Кеплера (признанного законодателем небес) возникал только один вопрос: какая из теорий дает правила Кеплера?» [3]
Увы, до настоящего времени такой теории нет. А ведь мыслители прошлого указывали на интересные факты. Великий Ньютон объяснил, что означает третий закон И. Кеплера: формула доказывала существование некой величины, которую он называл массой и которая сохраняется постоянной в планетных движениях. Что это за масса?
Дж. Максвелл пошел еще дальше, когда в 1873 году в своем трактате «Электричество и магнетизм» установил, что размерность массы – м3/с2, и что для создания системы измерения достаточно двух основных единиц измерения: L – длина, Т – время (метр, секунда). Все измерения в дальнейшем производим, пользуясь этой системой.
Запишем третий закон И. Кеплера:
Какая величина скрывается под выражением const?
Эти выражения встречаются в различной специальной литературе. Например, в книге уже упомянутого американского физика Л. Купера «Физика для всех» величина R3/T2 различна для всех планет, хотя и близка по значению. В книге американского физика Кл. Э. Суорца «Необыкновенная физика обыкновенных явлений» отношение T2/R3 дано одинаковой цифрой для всех планет. Почему?
Обратимся к выражению R3/T2. Умножим это соотношение на постоянный коэффициент, равный 4π2. Получаем: 4π2R3/T2.
Эта формула приводится в учебниках физики для расчетов массы Солнца, но в ней отсутствует еще один множитель – постоянная Кавендиша. Этот множитель необходим только для перевода размерности L, T (метр, секунда) в килограммы (тонны).
Третий закон Кеплера в нашей трактовке принимает вид:
4π2R3/T2=m Солнца (размерность здесь и далее L, T).
Но в этом случае, подчеркнем, если величину 4π2R3/T2, где R -расстояние от Земли до Солнца (м), а Т – время одного оборота Земли вокруг Солнца (с), разделить на квадрат скорости движения Земли по орбите вокруг Солнца, получим R – расстояние от Земли до Солнца. В свою очередь, если разделить значение этого расстояния еще раз на величину скорости, то получим время одного оборота Земли вокруг Солнца, деленное на 2π.
Естественно, что эти расчеты можно провести, подставив величины R и Т, соответствующие движению любой другой планеты по своей орбите. Пытливому читателю предоставлена возможность провести эти расчеты самостоятельно.
На основании изложенного можно сделать вывод, что массу Солнца формирует динамика вращательного движения. Ведь в формуле не участвует значение массы планет!
Перейдем ко второму закону движения планет И. Кеплера и попытаемся определить его сущность. Для этого обратимся к вихрю. Да, к тому самому вихрю, который мы часто наблюдаем на улицах и площадях своих городов, в парках или в поле. Его разновидности – тайфуны и торнадо – нам показывают по телевидению. Вихрю посвящены сотни статей в научно-популярной и специальной литературе.
В специальной литературе по аэро- и гидродинамике приводится формула движения частицы в плоском вихре: RV=соnst. Это выражение можно сформулировать так: при вращении вихря радиус-вектор движущейся точки заметает равные площади в единицу времени:
R2πR/T=соnst, м2/с
Таким образом, мы математической формулой выразили второй закон И. К
...