автордың кітабын онлайн тегін оқу Капитал. Том второй
Карл Маркс
Капитал
Критика политической экономии
Том II
ОТ РЕДАКЦИИ
Настоящее издание второго тома «Капитала» представляет собой перевод со второго немецкого издания, вышедшего в 1893 г. под редакцией Энгельса. Как и в русском издании 1939 г., за основу был взят перевод под редакцией И. И. Скворцова-Степанова{1}. При подготовке этого издания в указанный перевод внесено значительное количество поправок, некоторые из них имеют существенный характер. Сверка текста первого и второго немецких изданий с рукописями Маркса и с окончательной рукописью, отредактированной и подготовленной Энгельсом к набору, во многих случаях позволила выявить и устранить ряд описок и типографских опечаток, вкравшихся во второе немецкое издание. Вместе с тем заново были сверены с первоисточниками все цитаты и ссылки, проверены фактические данные и подсчеты, причем исправлены случайные неточности. В данном издании учтены все сделанные В. И. Лениным переводы выдержек из немецких изданий второго тома «Капитала», которые он цитирует в своих произведениях, а также использован ленинский перевод отдельных выражений и терминов. Новое издание второго тома «Капитала» снабжено редакционными примечаниями и указателями: именным, цитируемой и упоминаемой литературы, имеющихся русских переводов цитируемых и упоминаемых книг, предметным. Подстрочные примечания Маркса и Энгельса, как и в немецком издании 1893 г., обозначены номером с круглой скобкой. Лишь некоторые примечания Энгельс подписал своими инициалами. В отличие от авторских примечаний, редакционные примечания, помещенные под строкой, обозначаются звездочкой с пометкой «Ред.», а редакционные примечания, помещенные в конце тома, – номерами без скобки. Отдельные места в авторском тексте и в приводимых цитатах, заключенные в круглые скобки, принадлежат Марксу. В фигурных скобках содержится текст Энгельса, вставленный им при подготовке рукописей Маркса к печати. Немногие труднопереводимые немецкие слова или специальные термины даются рядом с их переводом на языке оригинала (в квадратных скобках).
ПРЕДИСЛОВИЕ
Подготовить к печати вторую книгу «Капитала» и притом так, чтобы она представляла собой, с одной стороны, связное и по возможности законченное произведение, а с другой стороны, произведение исключительно автора, а не редактора, – это было нелёгкой работой. Многочисленность подвергавшихся переработке рукописей» носивших в большинстве случаев отрывочный характер, затрудняла задачу. Лишь одна-единственная рукопись (рукопись IV) – в той части, которая включена в книгу – была вполне подготовлена для печати, однако бо́льшая часть и этой рукописи оказалась устаревшей в результате позднейших переработок. Главная масса материала, хотя и была большей частью обработана по существу, но не отделана стилистически, материал изложен таким языком, каким Маркс обыкновенно составлял свои выписки: небрежный стиль, фамильярные, часто грубо-юмористические выражения и обороты, английские и французские технические названия, часто целые фразы и даже страницы по-английски, это – запись мыслей в той форме, в какой они в том или ином случае развивались в голове автора. Наряду с отдельными, обстоятельно изложенными частями, другие, не менее важные, только намечены, фактический материал для иллюстраций собран, но едва сгруппирован, не говоря уже об обработке. В конце главы, стремясь быстрее перейти к следующей, Маркс часто ставил лишь несколько отрывочных фраз, намечающих развитие мысли, оставленное здесь незаконченным, наконец, известный почерк, разобрать который иной раз не мог сам автор.
Я ограничился, по возможности, буквальным воспроизведением рукописей, изменяя в стиле лишь то, что изменил бы сам Маркс, и вставляя лишь кое-какие пояснительные предложения и переходы там, где это было абсолютно необходимо и где кроме того смысл не вызывал никаких сомнений. Положения, толкование которых вызывало хотя бы только самые небольшие сомнения, я предпочитал печатать дословно. Сделанные мной переработки и вставки не составляют в общем и десяти печатных страниц, притом все они лишь формального свойства.
Простое перечисление оставленного Марксом рукописного материала для книги II показывает, с какой несравненной добросовестностью, с какой строгой самокритикой он стремился разработать до полного совершенства свои великие экономические открытия, прежде чем опубликовать их, эта самокритика лишь редко оставляла ему возможность приспосабливать изложение по содержанию и по форме к его кругозору, постоянно расширявшемуся вследствие новых исследований. Этот материал состоит из следующего.
Прежде всего имеется рукопись «К критике политической экономии» в 23 тетрадях, составляющих 1472 страницы в четверть листа, написанных с августа 1861 г. по июнь 1863 года. Она представляет собой продолжение первого выпуска, опубликованного под таким же названием в Берлине в 1859 году{2}. На страницах 1–220 (тетради I–V), а затем опять на страницах 1159–1472 (тетради XIX–XXIII) трактуются темы, исследованные в книге I «Капитала», начиная с превращения денег в капитал и до конца, рукопись представляет собой первую из имеющихся редакций этой книги. На страницах 973–1158 (тетради XVI–XVIII) трактуется о капитале и прибыли, о норме прибыли, о купеческом капитале и денежном капитале, следовательно, о таких темах, которые впоследствии были развиты в рукописи, отнесённой к книге III. Напротив, темы, вошедшие в книгу II, а также очень многие темы, рассмотренные позже в книге III, ещё не были здесь специально разработаны. Они затрагиваются попутно, особенно в отделе, составляющем главную часть рукописи: страницы 220–972 (тетради VI–XV) – это «Теории прибавочной стоимости». Этот отдел содержит подробную критическую историю центрального пункта политической экономии, теории прибавочной стоимости, и, кроме того, в форме полемики с предшественниками, здесь излагается бо́льшая часть тех пунктов, которые впоследствии исследованы специально и в логической связи в рукописи, относящейся к книгам II и III. Я оставляю за собой право опубликовать критическую часть этой рукописи в виде книги IV «Капитала»{3}, причём из неё будут устранены многочисленные места, уже исчерпанные в книгах II и III. Как ни драгоценна эта рукопись, тем не менее для настоящего издания книги II её не пришлось использовать.
Следующей по времени окончания является рукопись книги III. Она написана, по крайней мере в большей своей части, в 1864 и 1865 годах. Лишь после того, как она в основном была готова, Маркс приступил к обработке книги I, напечатанного в 1867 г. первого тома. Эту рукопись книги III я теперь обрабатываю для печати.
Из периода, последовавшего за появлением книги I, для книги II имеются четыре рукописи in folio {4}, пронумерованные самим Марксом с I по IV. Из них рукопись I (150 страниц), относящаяся, как можно предполагать, к 1865 г. или 1867 г., представляет собой первую самостоятельную, но более или менее отрывочную обработку книги II в её настоящем построении. Из этой рукописи также ничем не пришлось воспользоваться. Рукопись III отчасти состоит из собрания цитат и ссылок на тетради Маркса с выписками, – всё это относится по большей части к первому отделу книги II, – отчасти она представляет собой обработку отдельных пунктов, особенно критику положений А. Смита об основном и оборотном капитале и об источнике прибыли, далее идёт изложение отношения нормы прибавочной стоимости к норме прибыли, относящееся к книге III. Ссылки дали мало нового, разработки отдельных пунктов как для книги II, так и для книги III оказались излишними вследствие позднейших редакций, следовательно, в большинстве случаев их также пришлось отложить в сторону. – Рукопись IV представляет собой подготовленную к печати обработку первого отдела и первых глав второго отдела книги II, и там, где это требовалось, она была использована. Хотя оказалось, что она написана раньше, чем рукопись II, однако вследствие того, что она более закончена по форме, ею с успехом можно было воспользоваться для соответствующей части книги, при этом оказалось достаточным сделать лишь несколько добавлений из рукописи II. – Эта последняя рукопись представляет собой единственную до некоторой степени законченную обработку книги II, она помечена 1870 годом. В заметках для окончательной редакции, о которых будет упомянуто ниже, прямо сказано: «В основу должна быть положена вторая редакция».
После 1870 г. снова наступила пауза, обусловленная главным образом болезненным состоянием Маркса. По обыкновению, он заполнял это время изучением агрономии, американские и в особенности русские поземельные отношения, денежный рынок и банки, наконец естественные науки: геология и физиология, и в особенности самостоятельные математические работы составляют содержание многочисленных тетрадей Маркса с выписками, относящихся к этому времени{5}. В начале 1877 г. он почувствовал себя настолько оправившимся, что снова мог приступить к своей основной работе. Концом марта 1877 г. помечены ссылки и заметки из вышеупомянутых четырёх рукописей, послужившие основой для той новой обработки книги II, начало которой находится в рукописи V (56 страниц in folio). Она содержит первые четыре главы и ещё мало обработана, существенные пункты рассматриваются в примечаниях под текстом; материал скорее собран, чем просеян, но эта рукопись V является последним полным изложением этой важнейшей части первого отдела. – Первую попытку сделать из неё рукопись, готовую к печати, представляет рукопись VI (написана в период после октября 1877 г. и до июля 1878 г.), в ней только 17 страниц в четверть листа, содержащих большую часть первой главы, вторую – и последнюю – попытку представляет рукопись VII, составляющая только 7 страниц in folio и помеченная «2 июля 1878 года».
В это время для Маркса, по-видимому, стало ясно, что, если в состоянии его здоровья не произойдёт коренного изменения, ему никогда не удастся окончить обработку книг II и III до такой степени, чтобы она удовлетворяла его самого. Действительно, рукописи V–VIII слишком часто носят следы напряжённой борьбы с угнетающим болезненным состоянием. Труднейшая часть первого отдела была заново переработана в рукописи V, остальная часть первого и весь второй отдел (за исключением главы семнадцатой) не представляли сколько-нибудь значительных теоретических затруднений, напротив, третий отдел, воспроизводство и обращение общественного капитала, как ему казалось, настоятельно требовал переработки. А именно, в рукописи II воспроизводство трактовалось сначала без учёта опосредствующего его денежного обращения, а затем ещё раз с учётом денежного обращения. Это следовало устранить и вообще весь отдел следовало переработать таким образом, чтобы он соответствовал расширившемуся кругозору автора. Так возникла рукопись VIII, тетрадь всего в 70 страниц в четверть листа; но как много сумел Маркс вместить в эти страницы, это показывает сравнение с отделом III в печатном виде, после исключения из него мест, взятых мною из рукописи II.
И эта рукопись содержит только предварительное рассмотрение предмета, причём цель состояла прежде всего в том, чтобы установить и развить приобретённые новые, по сравнению с рукописью II, взгляды, между тем как пункты, о которых нельзя было сказать ничего нового, были оставлены в стороне. Значительная часть главы XVII второго отдела, которая, впрочем, в известной, мере относится к третьему отделу, была снова подвергнута переработке и расширена. В рукописи VIII нередко прерывается логическая последовательность, местами в изложении имеются пробелы, и особенно в конце оно имеет совершенно отрывочный характер. Но то, что хотел сказать Маркс, так или иначе здесь сказано.
Таков материал для книги II, из которого я, как сказал Маркс своей дочери Элеоноре незадолго до своей смерти, должен был «что-нибудь сделать». Я принял это поручение в самых узких его рамках, где только было возможно, я ограничил свою работу простым выбором между различными редакциями, притом так, что в основу всегда клал последнюю из имеющихся редакций, сличая её с более ранними. Действительные затруднения, т. е. не только технические, представляли при этом лишь первый и третий отделы, но зато это были немалые затруднения. Я старался их разрешать исключительно в духе автора.
Цитаты в тексте я в большинстве случаев переводил там, где они приводятся в подтверждение фактов, или там, где оригинал доступен всякому желающему основательно разобраться в деле, например, при цитировании А. Смита. Это было невозможно только в главе X, потому что здесь прямо критикуется английский текст. – При цитировании из книги I «Капитала» ссылки сделаны на страницы второго издания, последнего издания, появившегося ещё при жизни Маркса.
Кроме первой разработки отдельных вопросов в рукописи «К критике политической экономии», кроме упомянутых частей рукописи III и нескольких кратких заметок, сделанных кое-где в тетрадях с выписками, для книги III имеются лишь: упомянутая рукопись in folio 1864–1865 гг., разработанная почти с такой же полнотой, как рукопись II книги II, и, наконец, тетрадь 1875 года: отношение нормы прибавочной стоимости к норме прибыли, изложенное математически (в уравнениях). Подготовка этой книги к печати быстро подвигается вперёд.
Насколько я могу пока судить, она представит главным образом только технические затруднения, – конечно, за исключением некоторых очень важных отделов.
* * *
Здесь уместно опровергнуть обвинение против Маркса, которое сначала распространялось лишь исподтишка и только отдельными личностями, а теперь, после его смерти, провозглашается в качестве бесспорного факта немецкими катедер-социалистами, государственными социалистами, а также их приверженцами: обвинение, будто бы Маркс совершил плагиат у Родбертуса. В другом месте[1] я уже высказал самое необходимое по этому поводу, но только здесь я могу привести решающие доказательства.
Насколько я знаю, это обвинение впервые встречается в книге Р. Мейера «Emancipationskampf des vierten Standes», на странице 43:
«Из этих опубликованных работ» (работ Родбертуса, относящихся ко второй половине тридцатых годов) «Маркс, как это можно доказать, почерпнул бо́льшую часть своей критики».
До представления дальнейших доказательств я, конечно, могу предполагать, что вся «доказательность» этого утверждения сводится к тому, что Родбертус уверил в этом г-на Мейера. – В 1879 г. на сцену выступает сам Родбертус{6} и пишет И. Целлеру (Тюбингенский журнал «Zeitschrift für die gesammte Staatswissenschaft», 1879, S. 219), ссылаясь на свою работу «Zur Erkenntniß unsrer staatswirtschaftlichen Zustände» (1842), следующее:
«Вы увидите, что это» {развитые в этой работе мысли} «уже очень недурно использовано… Марксом, который меня, конечно, не цитирует».
Вслед за ним, это без всяких обиняков повторяет и его посмертный издатель Т. Козак («Das Kapital» von Rodbertus. Berlin, 1884, Einleitung, S. XV). – Наконец, в изданных в 1881 г. Р. Мейером «Briefe und socialpolitische Aufsätze von Dr. Rodbertus-Jagetzow» Родбертус прямо говорит:
«Ныне я вижу, как меня ограбили Шеффле и Маркс, причём они не называют меня» (письмо № 60, стр. 134).
А в другом месте притязание Родбертуса принимает более определённый вид:
«Откуда происходит прибавочная стоимость капиталиста, это я показал в моём третьем социальном письме по существу совершенно так же, как Маркс, только короче и яснее» (письмо № 48, стр. 111).
О всех этих обвинениях в плагиате Маркс никогда ничего не знал. В его экземпляре «Emancipationskampf» оказалась разрезанной только часть, касающаяся Интернационала, остальную часть книги разрезал уже я сам лишь после его смерти. Тюбингенский журнал он никогда не видел. «Briefe etc.» к Р. Мейеру тоже остались ему неизвестными, и на это место, касающееся «ограбления», моё внимание любезно обратил только в 1884 г. сам господин доктор Мейер. Напротив, письмо № 48 Маркс знал, г-н Мейер был так любезен, что подарил оригинал младшей дочери Маркса. Маркс, до слуха которого, конечно, дошёл таинственный шёпот о тайных источниках его критики, которые следует искать у Родбертуса, показывал мне это письмо, причём заметил, что в нём он имеет, наконец, аутентичное свидетельство о том, на что собственно претендует сам Родбертус, если он не утверждает ничего более, то для него, Маркса, эти утверждения совсем безразличны, а если Родбертус считает своё собственное изложение более кратким и ясным, то он может оставить его при этом удовольствии. Он действительно полагал, что этим письмом Родбертуса всё дело исчерпано.
Маркс тем более мог так думать, что, как я точно знаю, вся литературная деятельность Родбертуса оставалась неизвестной Марксу до 1859 г., когда его собственная критика политической экономии была готова не только в основных чертах, но и в важнейших подробностях. Свои экономические занятия Маркс начал в 1843 г. в Париже изучением великих англичан и французов, из немцев он знал только Рау и Листа, и этого ему было достаточно. Ни Маркс, ни я ничего не знали о существовании Родбертуса, пока в 1848 г. нам не пришлось критиковать в «Neue Rheinische Zeitung»{7} его речи как берлинского депутата и его действия как министра. Мы были так несведущи, что запрашивали рейнских депутатов, кто же такой этот Родбертус, вдруг сделавшийся министром. Но и они ничего не могли сообщить нам об экономических работах Родбертуса. Напротив, Маркс и без помощи Родбертуса уже тогда очень хорошо знал не только откуда, но и как «происходит прибавочная стоимость капиталиста», что доказывают «Нищета философии»{8} 1847 г. и лекции о наёмном труде и капитале {9}, прочитанные в 1847 г. в Брюсселе и напечатанные в 1849 г. в «Neue Rheinische Zeitung» в №№ 264–269. Только около 1859 г. Маркс узнал от Лассаля, что существует также и экономист Родбертус, а затем нашёл его «третье социальное письмо» в Британском музее.
Таковы фактические обстоятельства. Как же обстоит дело с тем содержанием, которое Маркс будто бы «украл» у Родбертуса?
«Откуда происходит прибавочная стоимость капиталиста», – говорит Родбертус, – «это я показал в моём третьем социальном письме совершенно так же, как Маркс, только короче и яснее».
Вот где, следовательно, центральный пункт: теория прибавочной стоимости, и в самом деле, нельзя указать, что́ ещё из Маркса мог бы Родбертус рекламировать в качестве своей собственности. Следовательно, Родбертус объявляет себя здесь действительным автором теории прибавочной стоимости, которую Маркс у него похитил.
Что же говорит нам третье социальное письмо о возникновении прибавочной стоимости? Оно просто говорит, что «рента», под которой Родбертус разумеет и земельную ренту и прибыль вместе, образуется не от «накидки стоимости» к стоимости товара, а
«вследствие того вычета стоимости, который претерпевает заработная плата, другими словами – вследствие того, что заработная плата составляет только часть стоимости продукта», а при достаточной производительности труда «заработная плата не должна быть равна естественной меновой стоимости продукта труда для того, чтобы от этой последней оставалась ещё часть для возмещения капитала» (!) «и для ренты». {10}
Притом нам не сообщается, что такое эта «естественная меновая стоимость» продукта, при которой ничего не остаётся для «возмещения капитала», то есть, точнее, для возмещения сырого материала и износа орудий.
К счастью, на нашу долю выпало констатировать, какое впечатление произвело на Маркса это эпохальное открытие Родбертуса. В рукописи «К критике и т. д.», тетрадь X, стр. 445 и сл., мы находим: «Отступление. Господин Родбертус. Новая теория земельной ренты». Третье социальное письмо рассматривается здесь только с этой точки зрения. С теорией прибавочной стоимости Родбертуса в её общем виде покончено ироническим замечанием: «Господин Родбертус в первую очередь исследует, как обстоит дело в стране, где владение землёй и владение капиталом не отделены друг от друга, и приходит здесь к важному результату, что рента (под которой он понимает всю прибавочную стоимость) просто равна неоплаченному труду или тому количеству продуктов, в котором этот неоплаченный труд выражается» {11}.
Капиталистическое человечество производило прибавочную стоимость уже в продолжение нескольких столетий и мало-помалу пришло к тому, что стало размышлять о её возникновении. Первое понимание её было пониманием, вытекавшим из непосредственной купеческой практики: прибавочная стоимость возникает из надбавки к стоимости продукта. Этот взгляд был господствующим у меркантилистов, но уже Джемс Стюарт увидел, что при этом то, что выигрывает один, необходимо должен терять другой. Несмотря на это, такой взгляд продолжал бытовать ещё долгое время, особенно среди социалистов, но из классической науки он был вытеснен А. Смитом.
В «Wealth of Nations» (book I, ch. VI) у него говорится:
«Как только капитал (stock) накопился в руках отдельных лиц, некоторые из них, естественно, будут использовать его для того, чтобы дать работу трудолюбивым людям, снабжая их сырыми материалами и средствами существования, с целью извлечь прибыль посредством продажи продуктов их труда или посредством того, что прибавлено их трудом к стоимости обрабатываемых материалов… Та стоимость, которую рабочие прибавляют к стоимости сырых материалов, распадается в этом случае на две части, из которых одна оплачивает их заработную плату, а другая оплачивает прибыль предпринимателя на весь капитал, который он авансировал в виде сырых материалов и заработной платы»{12}.
И несколько далее:
«С тех пор, как вся земля в той или иной стране превратилась в частную собственность, землевладельцы, подобно всем другим людям, любят пожинать там, где они не сеяли, и требуют ренту даже за естественные плоды земли…». Рабочий «… должен уступать землевладельцу определённую часть того, что собрано или произведено его трудом. Эта часть, или, что то же самое, цена этой части, составляет земельную ренту»{13}.
Маркс замечает по поводу этого места в вышеупомянутой рукописи «К критике и т. д.», стр. 253: «Итак, прибавочную стоимость, то есть прибавочный труд, – избыток затраченного и овеществлённого в товаре труда над оплаченным трудом, следовательно, над трудом, получившим свой эквивалент в заработной плате, – А. Смит понимает как всеобщую категорию, по отношению к которой прибыль в собственном смысле слова и земельная рента составляют только её ответвления»{14}.
Далее, кн. I, гл. VIII, А. Смит говорит:
«Как только земля стала частной собственностью, землевладелец требует долю почти со всякого продукта, который рабочий может для содержания себя до уборки урожая. Его содержание обычно авансируется ему из капитала (stock) его хозяина, фермера, у которого не было бы никакого интереса нанимать его, если бы он, фермер, не получал доли продукта труда рабочего или если бы его капитал не возмещался ему вместе с некоторой прибылью. Эта прибыль составляет второй вычет из продукта труда, затрачиваемого на обработку земли. Такой же вычет для оплаты прибыли делается из продукта почти всякого другого труда. Во всех отраслях промышленности большинство рабочих нуждается в хозяине, который авансировал бы им сырые материалы для их работы, а также заработную плату и жизненные средства до завершения работы. Этот хозяин делит с рабочими продукт их труда, или ту стоимость, которую их труд прибавляет к обрабатываемым сырым материалам, эта доля и составляет прибыль хозяина» {15}.
Маркс делает к этому следующее замечание (рукопись, стр. 256): «Итак, А. Смит прямо, без обиняков, называет здесь земельную ренту и прибыль на капитал простыми вычетами из продукта рабочего, или из стоимости его продукта, равной количеству труда, присоединённому им к сырому материалу. Но этот вычет, как раньше доказывал сам А. Смит, может состоять только из той части труда, которую рабочий присоединяет к сырым материалам сверх того количества труда, которое оплачивает только его заработную плату, или доставляет только эквивалент его заработной платы, следовательно, этот вычет состоит из прибавочного труда, из неоплаченной части труда рабочего» {16}.
«Откуда происходит прибавочная стоимость капиталиста» и, кроме того, прибавочная стоимость земельного собственника, это знал, следовательно, ещё А. Смит. Маркс прямо признаёт это уже в 1861 г., тогда как это, по-видимому, совершенно забыли Родбертус и толпа его почитателей, растущих как грибы под тёплым летним дождём государственного социализма.
«Однако, – продолжает Маркс, – прибавочную стоимость как таковую Смит не отделил, в виде особой категории, от тех особенных форм, которые она принимает в прибыли и земельной ренте. Отсюда у него – а ещё больше у Рикардо – много ошибок и недостатков в исследовании» {17}. – Это положение буквально относится к Родбертусу. Его «рента» есть просто сумма земельной ренты и прибыли, о земельной ренте он составил себе совершенно ложную теорию, прибыль он принимает без всякого пересмотра в той форме, в какой нашёл её у своих предшественников. – Напротив, у Маркса прибавочная стоимость есть всеобщая форма той суммы стоимости, которую без всякого эквивалента присваивают собственники средств производства и которая по совершенно особым законам, впервые открытым Марксом, распадается на особые, превращённые формы прибыли и земельной ренты. Эти законы излагаются в книге III, в которой впервые будет показано, сколько промежуточных звеньев требуется для того, чтобы от понимания вообще прибавочной стоимости дойти до понимания её превращения в прибыль и земельную ренту, следовательно, – до понимания законов распределения прибавочной стоимости внутри класса капиталистов.
Рикардо идёт уже значительно дальше А. Смита. Он основывает своё понимание прибавочной стоимости на той новой теории стоимости, которая в зародыше имеется уже у А. Смита, но почти всегда забывается им, когда дело идёт о её применении, и которая стала исходным пунктом всей последующей экономической науки. Из положения о том, что стоимость товаров определяется количеством реализованного в товарах труда, он выводит распределение между рабочими и капиталистами того количества стоимости, которое присоединено трудом к сырым материалам, её распадение на заработную плату и прибыль (т. е. в данном случае прибавочную стоимость). Он показывает, что стоимость товаров остаётся той же самой, как бы ни изменялось отношение между этими двумя частями, – закон, для которого он допускает лишь отдельные исключения. Он даже устанавливает, хотя и в слишком общем понимании, некоторые основные законы, касающиеся взаимного отношения между заработной платой и прибавочной стоимостью (взятой в форме прибыли) (Маркс. «Капитал», книга I, гл. XV, А {18}), и показывает, что земельная рента есть избыток над прибылью, отделяющийся при определённых условиях. – Ни в одном из этих пунктов Родбертус не пошёл дальше Рикардо. Внутренние противоречия теории Рикардо, из-за которых погибла его школа, остались или совершенно неизвестными Родбертусу, или привели его только к утопическим требованиям («Zur Erkenntniß etc.», S. 130) вместо экономических решений.
Учению Рикардо о стоимости и прибавочной стоимости не понадобилось ждать «Zur Erkenntniß etc.» Родбертуса для того, чтобы найти социалистическое использование. На стр. 609 первого тома «Капитала» (2-е нем. изд.) {19} цитируются слова: «The possessors of surplus produce or capital» {20} из сочинения: «The Source and Remedy of the National Difficulties. A Letter to Lord John Russel. London, 1821». Это сочинение, на значение которого следовало бы обратить внимание уже из-за одного выражения: «surplus produce or capital», представляет собой памфлет в 40 страниц, извлечённый Марксом из забвения, в нём говорится:
«Сколько бы ни приходилось на долю капиталиста» {с точки зрения капиталиста}, «он может присваивать только прибавочный труд (surplus labour) рабочего, так как рабочий должен существовать» (стр. 23).
Но как живёт рабочий и, следовательно, как велик может быть прибавочный труд, присваиваемый капиталистом, это величина весьма относительная.
«Если стоимость капитала уменьшается не в такой пропорции, в какой возрастает его масса, то капиталист будет выжимать из рабочего продукт каждого рабочего часа сверх того минимума, на который рабочий может существовать… капиталист может, в конце концов, сказать рабочему: ты не должен есть хлеба, потому что можно жить, питаясь свёклой и картофелем, и мы уже дошли до этого» (стр. 24). «Если рабочего можно довести до того, что он будет питаться картофелем вместо хлеба, то неоспоримо верно, что при этом из его труда можно выколотить больше, т. е. если при питании хлебом он был вынужден для содержания себя и своей семьи затрачивать труд понедельника и вторника, то при питании картофелем он будет получать для себя только половину понедельника, а другая половина понедельника и весь вторник высвободятся или в пользу государства, или для капиталиста» (стр. 26). «Неоспоримо (it is admitted), что уплачиваемые капиталистам проценты, в форме ли ренты, ссудного процента или предпринимательской прибыли, уплачиваются из труда других» (стр. 23).
Итак, здесь перед нами целиком «рента» Родбертуса, только вместо «рента» сказано «проценты».
Маркс делает к этому следующее замечание (рукопись «К критике», стр. 852): «Этот малоизвестный памфлет, появившийся в то время, когда начал привлекать к себе внимание „невероятный кропатель“ Мак-Куллох{21}, представляет собой существенный шаг вперёд по сравнению с Рикардо. Прибавочную стоимость или «прибыль», как её называет Рикардо (часто называющий её также и прибавочным продуктом, surplus produce), или interest{22}, как называет её автор памфлета, этот автор прямо характеризует как surplus labour, прибавочный труд, труд, выполняемый рабочим бесплатно, выполняемый сверх того количества труда, которым возмещается стоимость его рабочей силы, то есть производится эквивалент его заработной платы. Как важно было свести стоимость к труду, совершенно так же важно было прибавочную стоимость (surplus value), которая представлена в прибавочном продукте (surplus produce), свести к прибавочному труду (surplus labour). По сути дела это было сказано уже А. Смитом и составляет один из главных моментов того, что дал Рикардо. Но у них это нигде не высказано и не зафиксировано в абсолютной форме» {23}. Затем, на стр. 859 рукописи, говорится: «Впрочем, автор остаётся в плену тех экономических категорий, которые он нашёл у своих предшественников. Как у Рикардо смешение прибавочной стоимости и прибыли приводит к неприятным противоречиям, так и у него к таким же противоречиям приводит то, что прибавочную стоимость он окрестил процентом на капитал. Правда, он стоит выше Рикардо в том отношении, что он, во-первых, сводит всякую прибавочную стоимость к прибавочному труду, а во-вторых, хотя и называет прибавочную стоимость процентом на капитал, вместе с тем подчёркивает, что под interest of capital {24} он понимает общую форму прибавочного труда в отличие от его особенных форм – ренты, ссудного процента и предпринимательской прибыли. Но название одной из этих особенных форм, interest, он опять-таки принимает как название общей формы. А этого достаточно, чтобы снова впасть в экономическую тарабарщину (в рукописи употреблено слово «slang»)» {25}.
Это последнее замечание целиком и полностью относится к нашему Родбертусу. И он остаётся в плену тех экономических категорий, которые он нашёл у своих предшественников. И он окрестил прибавочную стоимость именем одной из её превращённых подчинённых форм: ренты, которую он к тому же сделал совершенно неопределённой. Результатом этих двух промахов было то, что он снова впадает в экономическую тарабарщину, что, сделав шаг вперёд по сравнению с Рикардо, он критически не идёт дальше, а вместо этого поддаётся искушению сделать свою недоработанную теорию, ещё не освободившуюся от скорлупы, основой утопии, с которой он выступил, как и всегда, слишком поздно. Памфлет, появившийся в 1821 г., уже полностью предвосхитил «ренту» Родбертуса 1842 года.
Наш памфлет – только самый передовой аванпост обширной литературы, которая в двадцатых годах использовала теорию стоимости и прибавочной стоимости Рикардо в интересах пролетариата против капиталистического производства и побивала буржуазию её собственным оружием. Весь оуэновский коммунизм, поскольку он вступает в экономическую полемику, опирается на Рикардо. Но наряду с ним был ещё целый ряд писателей, из которых Маркс уже в 1847 г. в полемике против
Прудона («Нищета философии», стр. 49 {26}) приводит лишь некоторых: Эдмондса, Томпсона, Годскина и т. д., и т. д., «и ещё четыре страницы и т. д.». Из этого огромного количества сочинений я беру наудачу только одно: «An Inquiry into the Principles of the Distribution of Wealth, most conducive to Human Happiness, by William Thompson, a new edition, London, 1850». Это сочинение, написанное в 1822 г., впервые увидело свет в 1824 году. Богатство, присваиваемое непроизводительными классами, и в этом сочинении везде характеризуется тоже как вычет из продукта рабочего, и притом в довольно сильных выражениях.
«Постоянное стремление того, что мы называем обществом, состояло в том, чтобы при помощи обмана или убеждения, страха или принуждения заставить производительного работника исполнять труд за возможно меньшую долю продукта его собственного труда» (стр. 28). «Почему же рабочий не должен получать абсолютно весь продукт своего труда?» (стр. 32). «Это вознаграждение, которое капиталисты взыскивают с производительного рабочего под именем земельной ренты или прибыли, они требуют за пользование землёй или другими предметами… Так как все физические вещества, на которых или посредством которых неимущий производительный рабочий, не обладающий ничем, кроме своей способности производить, только и может проявлять эту свою производительную способность, – так как эти вещества находятся в обладании других лиц, интересы которых противоположны интересам рабочего и согласие которых является предпосылкой его деятельности, – то не зависит ли и не должно ли зависеть от милости этих капиталистов, какую долю плодов его собственного труда они пожелают дать ему в вознаграждение за этот труд?» (стр. 125) «… долю по отношению к величине удержанного продукта, называются ли эти присвоенные части продукта налогами, прибылью или кражей» (стр. 126) и т. д.
Признаюсь, я написал эти строки не без некоторого стыда. Я ещё могу допустить, что антикапиталистическая английская литература двадцатых и тридцатых годов совершенно неизвестна в Германии, несмотря на то, что Маркс ещё в «Нищете философии» прямо указывал на неё, а кое-что из неё – памфлет 1821 г., Рейвнстона, Годскина и т. д. – неоднократно цитировал в первом томе «Капитала». Но то обстоятельство, что не только literatus vulgaris {27}, «действительно ничему не научившийся» и в отчаянии цепляющийся за полы сюртука Родбертуса, но и профессор по должности {28}, «кичащийся своей учёностью», до такой степени забыл свою классическую политическую экономию, что серьёзно упрекает Маркса в краже у Родбертуса таких вещей, которые можно найти уже у А. Смита и Рикардо, – это обстоятельство доказывает, как низко пала в настоящее время официальная политическая экономия.
Но в таком случае что же нового сказал Маркс о прибавочной стоимости? Как это случилось, что теория прибавочной стоимости Маркса произвела такое впечатление, как удар грома с ясного неба, и притом во всех цивилизованных странах, тогда как теории всех его социалистических предшественников, в том числе и Родбертуса, не оказали никакого действия?
История химии может пояснить нам это примером. Как известно, ещё в конце XVIII века господствовала флогистонная теория, согласно которой сущность всякого горения состоит в том, что от горящего тела отделяется другое, гипотетическое тело и абсолютное горючее вещество, получившее название флогистона. Эта теория была достаточна для объяснения большей части известных тогда химических явления, хотя в некоторых случаях она объясняла их не без большой натяжки. Но вот в 1774 г. Пристли описал разновидность воздуха, «которую он нашёл настолько чистой или настолько свободной от флогистона, что сравнительно с ней обыкновенный воздух представлялся уже испорченным». Он назвал её дефлогистированный воздух. Вскоре затем такую же разновидность воздуха описал Шееле в Швеции и доказал её наличие в атмосфере. Шееле нашёл также, что она исчезает, если в ней или в обыкновенном воздухе сжигать какое-нибудь тело, в назвал её поэтому огневым воздухом [Feuerluft].
«Из этих данных он вывел такое заключение, что соединение, образующееся при сочетании флогистона с одной из составных частей воздуха» {следовательно, при горении}, «есть не что иное, как огонь или теплота, которая улетучивается через стекло».[2]
Пристли и Шееле описали кислород, но они не знали, что́ оказалось у них в руках. Они «оставались в плену» флогистонных «категорий, которые они нашли у своих предшественников». Элемент, которому суждено было ниспровергнуть все флогистонные воззрения и революционизировать химию, пропадал в их руках совершенно бесплодно. Но вскоре после этого Пристли, будучи в Париже, сообщил о своём открытии Лавуазье, и Лавуазье, руководствуясь этим новым фактом, вновь подверг исследованию всю флогистонную химию и впервые открыл, что новая разновидность воздуха была новым химическим элементом, что при горении не таинственный флогистон выделяется из горящего тела, а этот новый элемент соединяется с телом, и таким образом, он впервые поставил на ноги всю химию, которая в своей флогистонной форме стояла на голове. И если даже Лавуазье и не дал описания кислорода, как он утверждал впоследствии, одновременно с другими и независимо от них, то всё же по существу дела открыл кислород он, а не те двое, которые только описали его, даже не догадываясь о том, что́ именно они описывали.
В теории прибавочной стоимости Маркс по отношению к своим предшественникам является тем же, чем Лавуазье по отношению к Пристли и Шееле. Существование той части стоимости продукта, которую мы называем теперь прибавочной стоимостью, было установлено задолго до Маркса, точно так же с большей или меньшей ясностью было высказано, из чего она состоит, именно: из продукта того труда, за который присвоивший его не заплатил никакого эквивалента. Но дальше этого не шли. Одни – классические буржуазные экономисты – самое большее исследовали количественное отношение, в котором продукт труда распределяется между рабочим и владельцем средств производства. Другие – социалисты – находили это распределение несправедливым и выискивали утопические средства для устранения несправедливости. И те и другие оставались в плену экономических категорий, которые они нашли у своих предшественников.
Но вот выступил Маркс. И притом в прямую противоположность всем своим предшественникам. Там, где они видели решение, он видел только проблему. Он видел, что здесь перед ним был не дефлогистированный воздух и не огневой воздух, а кислород, что здесь речь шла не о простом констатировании экономического факта, не о противоречии этого факта с вечной справедливостью и истинной моралью, но о таком факте, которому суждено было произвести переворот во всей политической экономии и который давал ключ к пониманию всего капиталистического производства, – давал тому, кто сумел бы им воспользоваться. Руководствуясь этим фактом, он исследовал все установленные до него категории, как Лавуазье, руководствуясь открытием кислорода, исследовал прежние категории флогистонной химии. Для того чтобы знать, что́ такое прибавочная стоимость, он должен был знать, что́ такое стоимость. Прежде всего необходимо было подвергнуть критике саму теорию стоимости Рикардо. Итак, Маркс исследовал труд со стороны его свойства создавать стоимость и в первый раз установил, какой труд, почему и как образует стоимость, установил, что стоимость вообще есть не что иное, как кристаллизованный труд этого рода, – пункт, которого до конца дней своих не понимал Родбертус. Маркс исследовал затем отношение товара и денег и показал, как и почему – в силу присущего ему свойства стоимости – товар и товарный обмен должны порождать противоположность товара и денег, его основанная на этом теория денег есть первая исчерпывающая теория их, получившая теперь всеобщее молчаливое признание. Он исследовал превращение денег в капитал и доказал, что оно основывается на купле и продаже рабочей силы. Поставив на место труда рабочую силу, свойство создавать стоимость, он разом разрешил одно из затруднений, которое привело к гибели школу Рикардо: невозможность согласовать взаимный обмен капитала и труда с рикардовским законом определения стоимости трудом. Лишь установив разделение капитала на постоянный и переменный, Маркс смог до деталей изобразить действительный ход процесса образования прибавочной стоимости и таким образом объяснить его, чего не сделал ни один из его предшественников, следовательно, он установил различие в самом капитале, различие, с которым решительно не в состоянии были справиться ни Родбертус, ни буржуазные экономисты, но которое даёт ключ для решения самых запутанных экономических проблем, убедительнейшим доказательством чего здесь опять служит книга II и ещё более – как это будет видно позже – книга III. Далее, он исследовал саму прибавочную стоимость, открыл две её формы: абсолютную и относительную прибавочную стоимость, и показал, какую различную, но в обоих случаях решающую роль играли они в историческом развитии капиталистического производства. Основываясь на теории прибавочной стоимости, он развил первую рациональную теорию заработной платы, какую мы теперь только и имеем, и впервые дал основные черты истории капиталистического накопления и изложил его исторические тенденции.
А Родбертус? Прочитав всё это, он – как всякий тенденциозный экономист! – нашёл здесь «нападение на общество»{29}, нашёл, что он уже сам сказал много короче и яснее, откуда происходит прибавочная стоимость, и, наконец, нашёл, что хотя всё это справедливо для «современной формы капитала», т. е. для того капитала, который существует исторически, но не годится для «понятия капитал», т. е. не годится для утопического представления господина Родбертуса о капитале. Совершенно так же, как старик Пристли, который до конца дней своих клялся флогистоном и ничего не хотел знать о кислороде. Только Пристли действительно первый описал кислород, тогда как Родбертус в своей прибавочной стоимости или, точнее говоря, в своей «ренте» вновь открыл только общее место, а Маркс, в противоположность поведению Лавуазье, был выше того, чтобы утверждать, что он первый открыл факт существования прибавочной стоимости.
Всё остальное, что внёс Родбертус в политическую экономию, стоит на таком же уровне. Его переработка теории прибавочной стоимости в утопию уже была непреднамеренно подвергнута Марксом критике в «Нищете философии»: всё, что можно было ещё сказать об этом, сказано мной в предисловии {30} к немецкому переводу этой работы. Его объяснение торговых кризисов недостаточным потреблением рабочего класса имеется уже у Сисмонди в «Nouveaux Principes d'Économie Politique», liv. IV. ch. IV.[3] Только Сисмонди при этом постоянно имел в виду мировой рынок, между тем как горизонт Родбертуса не простирается дальше прусской границы. Его умозрительные рассуждения о том, берётся ли заработная плата из капитала или из дохода, относятся к области схоластики и совершенно упраздняются содержанием третьего отдела этой второй книги «Капитала». Его теория ренты осталась его исключительным достоянием и может безмятежно почивать, пока не появится в печати рукопись {31} Маркса, содержащая её критику. Наконец, его проекты освобождения старопрусского землевладения от гнёта капитала опять-таки совершенно утопичны; а именно, они обходят единственный практический вопрос, о котором здесь идёт речь, – вопрос о том, каким образом старопрусский юнкер, получая из года в год, скажем, 20 000 марок дохода и проживая, скажем, 30 000 марок, может всё-таки не делать никаких долгов?
Школа Рикардо около 1830 г. потерпела крах на прибавочной стоимости. То, что она не могла разрешить, оставалось тем более неразрешимым для её преемницы, вульгарной политической экономии. Два пункта, о которые она разбилась, следующие:
Во-первых. Труд есть мера стоимости. Но живой труд при обмене на капитал имеет меньшую стоимость, чем овеществлённый труд, на который он обменивается. Заработная плата, стоимость определённого количества живого труда, всегда меньше, чем стоимость продукта, который произведён этим самым количеством живого труда или в котором этот труд выражается. В таком понимании вопрос действительно неразрешим. Марксом он правильно поставлен, и тем самым на него дан ответ. Труд не имеет стоимости. Как деятельность, создающая стоимость, он так же не может иметь особой стоимости, как тяжесть не может иметь особого веса, теплота – особой температуры, электричество – особой силы тока. Покупается и продаётся как товар не труд, а рабочая сила. Как только она становится товаром, её стоимость измеряется трудом, воплощённым в ней как в общественном продукте; эта стоимость равна труду, общественно необходимому для её производства и воспроизводства. Следовательно, купля и продажа рабочей силы на основе такой её стоимости отнюдь не противоречит экономическому закону стоимости.
Во-вторых. По закону стоимости Рикардо два капитала, применяющие одинаковое количество одинаково оплачиваемого живого труда, предполагая все прочие условия равными, производят в течение равного времени продукты равной стоимости, а также прибавочную стоимость или прибыль равных размеров. Если же они применяют неодинаковые количества живого труда, то они не могут произвести прибавочную стоимость или, как говорят рикардианцы, прибыль равных размеров. Но в действительности имеет место противоположное этому. Фактически равные капиталы в равное время производят в среднем равную прибыль независимо от того, много или мало живого труда они применяют. Следовательно, тут явное противоречие закону стоимости, которое заметил ещё Рикардо и разрешить которое его школа тоже была неспособна. Родбертус также не мог не заметить этого противоречия; но вместо того чтобы разрешить его, он сделал его одним из исходных пунктов своей утопии («Zur Erkenntniß», S. 131). Это противоречие Маркс разрешил уже в рукописи «К критике» {32}; по плану «Капитала» решение будет дано в книге III {33}. До её опубликования пройдут ещё месяцы. Следовательно, для экономистов, желающих открыть в Родбертусе тайный источник теории Маркса и его несравненного предшественника, представляется случай показать, что́ в состоянии дать политическая экономия Родбертуса. Если они покажут, каким образом может и должна образоваться одинаковая средняя норма прибыли не только без нарушения закона стоимости, но как раз на его основе, тогда мы будем разговаривать с ними дальше. Однако пусть они соблаговолят поторопиться. Блестящие исследования этой книги II и совершенно новые результаты их в почти нетронутых до сих пор областях представляют собой только вводные положения к содержанию книги III, в которой изложены заключительные выводы из исследования Марксом процесса общественного воспроизводства на капиталистической основе. Когда появится эта книга III, меньше будут говорить о каком-то экономисте Родбертусе.
Вторую и третью книги «Капитала», как об этом часто говорил мне Маркс, он хотел посвятить своей жене.
Лондон, в день рождения Маркса, 5 мая 1885 г.
Фридрих Энгельс
Roscoe und Schorlemmer: «Ausführliches Lehrbuch der Chemie». Braunschweig 1877, I, s. 13, 18.
Вернуться
В предисловии{181} к работе Карла Маркса «Нищета философии. Ответ на „Философию нищеты“ г-на Прудона», перевод на немецкий язык Э. Бернштейна и К. Каутского. Штутгарт, 1885.
Вернуться
«Итак, вследствие концентрации имуществ у небольшого числа собственников, внутренний рынок всё более и более сокращается, и промышленности все более и более приходится искать сбыта на внешних рынках, где ей угрожают великие потрясения» (а именно кризис 1817 г., который описывается тут же вслед за этим). «Nouv. princ.». éd. 1819, t. 1 p.336.
Вернуться
ПРЕДИСЛОВИЕ КО ВТОРОМУ ИЗДАНИЮ {34}
Предлагаемое второе издание в основном представляет собой дословную перепечатку первого. Исправлены опечатки, устранены некоторые стилистические погрешности, опущено несколько коротких абзацев, содержавших только повторения.
Третья книга, которая представила совершенно неожиданные затруднения, теперь также почти готова в рукописи. Если здоровье мне позволит, её печатание может начаться уже этой осенью.
Лондон, 15 июля 1893 г.
Ф. Энгельс
* * *
Для более удобного обзора здесь приводится краткая сводка мест, взятых из отдельных рукописей II–VIII.
ОТДЕЛ ПЕРВЫЙ
Стр. 31–32 из рукописи II. – Стр. 32–43 из рукописи VII. – Стр. 43–47 из рукописи VI. – Стр. 47–133 из рукописи V. – Стр. 134–137 – заметка, найденная среди выписок из книг. – Со стр. 138 и до конца отдела из рукописи IV; однако на стр. 147–149 вставлено место из рукописи VIII. – Стр. 152 и 159–160, примечания из рукописи II.
ОТДЕЛ ВТОРОЙ
Начало, стр. 172–183, представляет собой конец рукописи IV. – Отсюда и до конца отдела, стр. 188–393, всё из рукописи II.
ОТДЕЛ ТРЕТИЙ
Гл. 18 (стр. 394–403) из рукописи II.
Гл. 19: I и II (стр. 404–438), из рукописи VIII. – III (стр. 438–440) из рукописи II.
Гл. 20: I (стр. 441–444) из рукописи II, только заключительный абзац из рукописи VIII.
II (стр. 445–448) в основном из рукописи II.
III, IV, V (стр. 448–477) из рукописи VIII.
VI, VII, VIII, IX (стр. 478–495) из рукописи II.
X, XI, XII (стр. 495–545) из рукописи VIII.
XIII (стр. 546–555) из рукописи II.
Гл. 21 (стр. 556–596) вся из рукописи VIII.
КНИГА ВТОРАЯ
ПРОЦЕСС ОБРАЩЕНИЯ КАПИТАЛА
ОТДЕЛ ПЕРВЫЙ
МЕТАМОРФОЗЫ КАПИТАЛА И ИХ КРУГООБОРОТ
ГЛАВА ПЕРВАЯ
КРУГООБОРОТ ДЕНЕЖНОГО КАПИТАЛА
Процесс кругооборота[4] капитала проходит три стадии, которые, как изложено в первом томе, образуют следующий ряд:
Первая стадия: Капиталист появляется на товарном рынке и на рынке труда как покупатель; его деньги превращаются в товар, или проделывают акт обращения Д – Т.
Вторая стадия: Производительное потребление купленных товаров капиталистом. Он действует как капиталистический товаропроизводитель; его капитал совершает процесс производства. Результатом является товар большей стоимости, чем стоимость элементов его производства.
Третья стадия: Капиталист возвращается на рынок как продавец; его товар превращается в деньги, или проделывает акт обращения Т – Д.
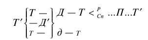
Следовательно, формула для кругооборота денежного капитала такова: Д – Т…П…Т' – Д', где точки обозначают, что процесс обращения прерван, а Т', равно как и Д', означает Т и Д, увеличенные на прибавочную стоимость.
В первом томе первая и третья стадии исследовались лишь в той мере, в какой это было необходимо для понимания второй стадии – процесса производства капитала. Поэтому там остались нерассмотренными те различные формы, в которые на различных своих стадиях облачается капитал и которые он то принимает, то сбрасывает при повторении кругооборота. Теперь они составляют предмет более подробного исследования.
Чтобы понять эти формы в их чистом виде, необходимо прежде всего отвлечься от всех моментов, которые не имеют ничего общего со сменой форм и образованием форм как таковыми. Поэтому здесь предполагается не только то, что товары продаются по их стоимостям, но также и то, что это совершается при неизменных обстоятельствах. Следовательно, оставляются в стороне те изменения стоимости, которые могут произойти в течение процесса кругооборота.
I. ПЕРВАЯ СТАДИЯ. Д – Т[5]
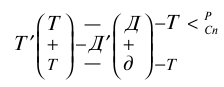
Д – Т представляет собой превращение известной суммы денег в известную сумму товаров: для покупателя – превращение его денег в товар, для продавцов – превращение их товаров в деньги. Этот акт общего товарного обращения становится в то же самое время функционально определённым отделом в самостоятельном кругообороте индивидуального капитала прежде всего не вследствие его формы, а вследствие его вещественного содержания, вследствие особого характера потребления тех товаров, которые меняются местом с деньгами. Это, с одной стороны, – средства производства, с другой стороны – рабочая сила: вещные и личные факторы товарного производства, особый характер которых, конечно, должен соответствовать тому виду изделий, который предполагается производить. Если мы назовём рабочую силу Р, средства производства Сп, то покупаемая капиталистом сумма товаров Т = Р+ Сп, или, короче:
Следовательно, рассматриваемый со стороны своего содержания акт Д – Т представляет собой
, т. е. Д – Т распадается на Д – Р и Д – Сп; денежная сумма Д разделяется на две части, одна из которых идёт на покупку рабочей силы, а другая – на покупку средств производства. Эти два ряда покупок имеют место на совершенно различных рынках: один – на собственно товарном рынке, другой – на рынке труда. Но кроме этого качественного разделения той суммы товаров, в которую превращается Д, акт
представляет собой также и весьма характерное количественное отношение.
Мы знаем, что стоимость, соответственно цена рабочей силы, уплачивается владельцу последней, продающему её как товар, в форме заработной платы, т. е. как цена известной суммы труда, заключающей в себе и прибавочный труд; таким образом, если, например, дневная стоимость рабочей силы = 3 маркам, продукту пятичасового труда, то в контракте между покупателем и продавцом эта сумма фигурирует как цена или плата, скажем, за десятичасовой труд. Если подобный контракт заключён, например, с 50 рабочими, то они должны доставить покупателю в течение одного дня в общем 500 часов труда, из которых половина, 250 рабочих часов, = 25 десятичасовым рабочим дням, составляет просто прибавочный труд. Количество, равно как и размеры тех средств производства, которые необходимо купить, должны быть достаточны для применения этой массы труда.
Следовательно,
выражает не только качественное отношение, не только то, что определённая сумма денег, например 422 ф. ст., превращается в соответствующие друг другу средства производства и рабочую силу: оно выражает и количественное отношение между частью денег, затраченной на рабочую силу Р, и частью, затраченной на средства производства Сп, – отношение, заранее определённое суммой того избыточного, прибавочного труда, который будет затрачен определённым числом рабочих.
Следовательно, если, например, в какой-либо прядильне заработная плата 50 рабочих составляет 50 ф. ст. в неделю, то на средства производства должно быть затрачено 372 ф. ст., при том предположении, что это – стоимость средств производства, превращаемых в пряжу недельным трудом в 3 000 часов, из которых 1 500 часов – прибавочный труд.
Здесь совершенно безразлично, в какой мере в различных отраслях промышленности применение добавочного труда обусловливает добавочную затрату стоимости в форме средств производства. Речь идёт лишь о том, что при всех обстоятельствах затрачиваемая на средства производства часть денег, т. е. купленные в акте Д – Сп средства производства должны быть достаточны, следовательно, должны быть заранее на это рассчитаны, доставлены в соответствующей пропорции. Иначе говоря, количество средств производства должно быть достаточным для того, чтобы поглотить соответствующее количество труда, чтобы при посредстве последнего превратиться в продукт. Если бы налицо не было достаточно средств производства, то избыточный труд, который получает в своё распоряжение покупатель, не нашёл бы себе применения; его право распоряжения этим трудом не привело бы ни к чему. Если бы налицо было больше средств производства, чем труда, имеющегося в распоряжении его покупателя, то они остались бы ненасыщенными трудом, не превратились бы в продукт.
Когда акт
совершился, покупатель располагает не только средствами производства и рабочей силой, необходимыми для производства какого-либо полезного предмета. Он располагает бо́льшим количеством приводимой в действие рабочей силы, или бо́льшим количеством труда, чем необходимо для возмещения стоимости рабочей силы, и в то же время располагает средствами производства, требующимися для реализации или овеществления этой суммы труда; следовательно, он располагает факторами производства изделий бо́льшей стоимости, чем стоимость элементов их производства, – или располагает факторами производства товарной массы, содержащей прибавочную стоимость. Следовательно, стоимость, авансированная им в денежной форме, находится теперь в такой натуральной форме, в которой она может реализоваться как стоимость, порождающая прибавочную стоимость (в виде товаров). Другими словами: она находится в состоянии или в форме производительного капитала, который обладает способностью функционировать как созидающий стоимость и прибавочную стоимость. Обозначим капитал в этой форме через П.
Но стоимость П = стоимости Р + Сп = Д, превращённому в Р и Сп. Д есть та же самая капитальная стоимость, как и П, только форма её существования другая; а именно, это – капитальная стоимость в денежном состоянии, или в денежной форме: это – денежный капитал.
Поэтому акт Д – Т<РСпили, в его общей форме Д – Т, т. е. сумма всех актов купли товаров, будучи актом общего товарного обращения, в то же время, как стадия в самостоятельном процессе кругооборота капитала, есть превращение капитальной стоимости из её денежной формы в её производительную форму, или, короче, превращение денежного капитала в производительный капитал. Следовательно, в той фигуре кругооборота, которая здесь рассматривается в первую очередь, деньги являются первым носителем капитальной стоимости, а потому денежный капитал является той формой, в которой авансируется капитал.
Как денежный капитал, он находится в состоянии, в котором он может выполнять функции денег, например в данном случае – функции всеобщего покупательного средства и всеобщего средства платежа. (Последнее постольку, поскольку рабочая сила, хотя она и покупается раньше, но оплачивается лишь после того, как она действовала. Поскольку на рынке не имеется готовых средств производства и приходится их заказывать, постольку в акте Д – Сп деньги также действуют как средство платежа.) Эта способность вытекает не из того, что денежный капитал есть капитал, а из того, что он – деньги.
С другой стороны, капитальная стоимость в денежном состоянии может выполнять лишь функции денег и никаких иных. Что превращает эти последние функции в функции капитала, так это их определённая роль в движении капитала, а потому и связь стадии, в которой они выступают, с другими стадиями его кругооборота. Например, в случае, который прежде всего занимает нас, деньги превращаются в товары, соединение которых составляет натуральную форму производительного капитала, а потому в скрытом состоянии, в возможности, уже заключает в себе результат капиталистического процесса производства.
Часть денег, выполняющих в
функцию денежного капитала, совершая само это обращение, переходит к выполнению функции, в которой исчезает их характер капитала и остаётся лишь их характер денег. Обращение денежного капитала Д распадается на Д – Сп и Д – Р, на куплю средств производства и куплю рабочей силы. Рассмотрим последний акт сам по себе. Со стороны капиталиста Д – Р есть купля рабочей силы; со стороны рабочего, владельца рабочей силы, это есть продажа рабочей силы, мы можем сказать здесь, – продажа труда, ибо форма заработной платы уже предполагается. То, что для покупателя представляет собой Д – Т (= Д – Р), здесь, как и при всякой купле, для продавца (рабочего) есть Р – Д (= Т – Д), продажа его рабочей силы. Это – первая стадия обращения или первый метаморфоз товара («Капитал», книга I, гл. III, 2a); со стороны продавца труда это есть превращение его товара в денежную форму. Полученные таким образом деньги рабочий постепенно расходует на известную сумму товаров, которые удовлетворяют его потребности, на предметы потребления. Следовательно, обращение его товара в целом представляется в виде Р – Д – Т, т. е., во-первых, Р – Д (= Т – Д) и, во-вторых, Д – Т; следовательно, в виде общей формы простого товарного обращения Т – Д – Т, где деньги фигурируют как простое средство обращения, играющее мимолётную роль, как простой посредник в обмене товара на товар.
Д – Р является характерным моментом превращения денежного капитала в производительный капитал, потому что это – существенное условие для действительного превращения стоимости, авансированной в денежной форме, в капитал, в стоимость, которая производит прибавочную стоимость. Д – Сп необходимо лишь для того, чтобы реализовать ту массу труда, которая куплена в акте Д – Р. Поэтому акт Д – Р был рассмотрен с этой точки зрения в книге I, отдел II, «Превращение денег в капитал». Здесь же необходимо рассмотреть дело ещё и с другой точки зрения, а именно по отношению специально к денежному капиталу как форме проявления капитала.
Акт Д – Р вообще признаётся характерным для капиталистического способа производства. Но отнюдь не по той указанной выше причине, что купля рабочей силы есть такая сделка, в которой обусловлено доставление большего количества труда, чем необходимо для возмещения цены рабочей силы, заработной платы, в которой, следовательно, обусловлено доставление прибавочного труда, основного условия для капитализации авансированной стоимости, или, что то же самое, для производства прибавочной стоимости. Нет, – напротив, он признаётся характерным из-за своей формы, потому что в форме заработной платы труд покупается на деньги, а это считается признаком денежного хозяйства.
Здесь опять-таки характерным считается не иррациональность формы. Напротив, этой иррациональности не замечают. Иррациональность же заключается в том, что сам труд, как элемент, образующий стоимость, не может иметь стоимости, а потому и определённое количество труда также не может иметь стоимости, которая выражалась бы в его цене, в его эквивалентности с определённым количеством денег. Но мы знаем, что заработная плата есть просто замаскированная форма; форма, в которой, например, дневная цена рабочей силы представляется ценой труда, приведённого в течение одного дня этой рабочей силой в текучее состояние, так что, следовательно, стоимость, произведённая этой рабочей силой в течение, скажем, 6 часов труда, становится выражением стоимости её двенадцатичасового функционирования, или двенадцатичасового труда.
Д – Р считается характерной чертой, признаком так называемого денежного хозяйства, так как труд является здесь товаром его владельца, а потому деньги являются покупателем; следовательно, Д – Р считается характерной чертой денежного хозяйства вследствие денежного характера этого отношения (т. е. купли и продажи человеческой деятельности). Но деньги уже очень рано выступили в качестве покупателя так называемых услуг, – и, несмотря на это, ни Д не превращалось в денежный капитал, ни общий характер хозяйства не претерпевал переворота.
Для денег совершенно безразлично, в какой вид товаров они превращаются. Это – форма всеобщего эквивалента всех товаров, которые уже своими ценами показывают, что они идеально представляют определённую сумму денег, ожидают своего превращения в деньги и, только меняясь своим местом с деньгами, получают форму, в которой они могут быть превращены в потребительные стоимости для своих владельцев. Следовательно, раз на рынке существует рабочая сила как товар своего владельца, – причём продажа этого товара совершается в форме платы за труд, в виде заработной платы, то купля и продажа её не представляют собой ничего особо примечательного по сравнению с куплей и продажей всякого другого товара. Характерное заключается не в том, что товар-рабочая сила может быть куплен, а в том, что рабочая сила является товаром.
Посредством
посредством превращения денежного капитала в производительный капитал, капиталист достигает соединения предметных и личных факторов производства, поскольку эти факторы состоят из товаров. Если деньги впервые превращаются в производительный капитал или впервые функционируют как денежный капитал для их владельца, то он, прежде чем покупать рабочую силу, должен сначала купить средства производства: производственные здания, машины и т. д., ибо прежде чем рабочая сила перейдёт в его распоряжение, у него должны быть налицо средства производства для того, чтобы её можно было применить как рабочую силу.
Так представляется дело со стороны капиталиста.
Со стороны рабочего: производительное проявление его рабочей силы возможно лишь с того момента, когда последняя вследствие её продажи приводится в соединение со средствами производства. Следовательно, до продажи она существует отдельно от средств производства, от предметных условий её проявления. В этом состоянии отделения она не может быть непосредственно применена ни в целях производства потребительных стоимостей для её владельца, ни в целях производства товаров, продажей которых он мог бы существовать. Но как только вследствие её продажи она соединяется со средствами производства, она точно так же как и средства производства становится составной частью производительного капитала её покупателя.
Поэтому, хотя в акте Д – Р владелец денег и владелец рабочей силы относятся друг к другу лишь как покупатель и продавец, противостоят друг другу как владелец денег и товаровладелец, следовательно, в этом смысле находятся в простом денежном отношении друг к другу, – тем не менее покупатель с самого начала выступает одновременно как владелец средств производства, которые образуют предметные условия производительной затраты рабочей силы владельцем последней. Другими словами, эти средства производства противостоят владельцу рабочей силы как чужая собственность. С другой стороны, продавец труда противостоит покупателю как чужая рабочая сила, которая должна перейти в распоряжение последнего, должна быть включена в его капитал, чтобы он действительно мог проявить себя как производительный капитал. Следовательно, в тот момент, когда капиталист и наёмный рабочий противостоят друг другу в акте Д – Р (Р – Д со стороны рабочего), классовое отношение между капиталистом и наёмным рабочим уже имеется налицо, уже предположено. Рассматриваемый акт – это купля и продажа, денежное отношение, но такая купля и продажа, где покупателем предполагается капиталист, а продавцом – наёмный рабочий; это отношение возникло в силу того, что условия для реализации рабочей силы – жизненные средства и средства производства – отделены от владельца рабочей силы как чужая собственность.
Здесь нас не интересует, как возникает это отделение. Оно существует, раз совершается Д – Р. Что интересует нас здесь, так это следующее: если Д – Р является функцией денежного капитала или если деньги являются здесь формой существования капитала, то отнюдь не только потому, что деньги выступают здесь в качестве средства платежа за человеческую деятельность, имеющую полезный эффект, за услугу; следовательно, отнюдь не вследствие функции денег как средства платежа. Деньги могут быть израсходованы в такой форме лишь потому, что рабочая сила находится в состоянии отделения от средств производства (включая сюда и жизненные средства как средства производства самой рабочей силы); потому что это отделение устраняется лишь таким способом, что рабочая сила продаётся собственнику средств производства, что, следовательно, покупателю принадлежит также и функционирование рабочей силы, границы которого отнюдь не совпадают с границами количества труда, необходимого для воспроизводства её собственной цены. Капиталистическое отношение проявляется в процессе производства лишь потому, что оно уже существует само по себе в акте обращения, в тех различных основных экономических условиях, при которых противостоят друг другу продавец и покупатель, в их классовом отношении. Это отношение вытекает не из природы денег; напротив, лишь существование этого отношения может превратить простую функцию денег в функцию капитала.
В понимании денежного капитала (пока что мы имеем с ним дело только в пределах той определённой функции, в которой он выступает здесь перед нами) обыкновенно встречаются или переплетаются два заблуждения. Во-первых, функции, которые выполняет капитальная стоимость в качестве денежного капитала и которые она может выполнять именно потому, что она находится в денежной форме, ошибочно выводятся из её характера как капитала, между тем как они обязаны этим лишь денежному состоянию капитальной стоимости, её форме проявления в качестве денег. И, во-вторых; наоборот: то специфическое содержание функции денег, которое одновременно превращает эту функцию в функцию капитала, выводится из природы денег (поэтому деньги смешиваются с капиталом), между тем как функция денежного капитала предполагает, как здесь при совершении акта Д – Р, общественные условия, которые вовсе не существуют при простом товарном и соответствующем ему денежном обращении.
Купля и продажа рабов по своей форме тоже является куплей и продажей товаров. Но без существования рабства деньги не могут совершать эту функцию. Если рабство существует, то и деньги могут быть затрачены на закупку рабов. Напротив, наличия денег в руках покупателя ещё отнюдь недостаточно для того, чтобы сделать рабство возможным.
То обстоятельство, что продажа собственной рабочей силы (в форме продажи собственного труда, или в форме заработной платы) представляет собой не изолированное явление, а решающую предпосылку производства товаров в общественном масштабе, что, следовательно, денежный капитал выполняет рассматриваемую здесь функцию
в общественном масштабе, – это обстоятельство предполагает такие исторические процессы, которые разложили первоначальное соединение средств производства и рабочей силы: процессы, вследствие которых масса народа, рабочие, как не собственники средств производства, противостоят не рабочим, как собственникам этих средств производства. При этом дело нисколько не меняется, имело ли соединение рабочей силы со средствами производства до своего разложения такую форму, что рабочий сам в качестве средства производства принадлежал к числу других средств производства, или же был их собственником. Итак, сущность дела, лежащая здесь в основе акта Д – Т<РСп, есть распределение; не распределение в обычном смысле как распределение предметов потребления, а распределение элементов самого производства, причём предметные факторы сконцентрированы на одной стороне, рабочая же сила, изолированная от них, – на другой.
Следовательно, средства производства, предметная часть производительного капитала, уже должны противостоять рабочему как таковые, как капитал, прежде чем акт Д – Р может стать всеобщим общественным актом.
Раньше мы видели {35}, что капиталистическое производство, однажды появившись, в своём развитии не только воспроизводит это отделение, но и расширяет его в постоянно растущих размерах, пока оно не сделается вообще господствующим общественным состоянием. Но в этом деле есть и ещё одна сторона. Предпосылкой образования капитала и подчинения ему производства является известная степень развития торговли, а потому и развития товарного обращения и, следовательно, товарного производства, ибо изделия не могут вступить в обращение как товары, если они производятся не для продажи, следовательно не как товары. Но лишь на основе капиталистического производства товарное производство является нормальным, господствующим типом производства.
Русские земельные собственники, которые вследствие так называемого освобождения крестьян ведут теперь своё хозяйство силами наёмных рабочих вместо крепостных подневольных работников, жалуются на две вещи: во-первых, на недостаток денежного капитала. Так, например, они говорят: прежде чем продашь урожай, приходится производить платежи наёмным рабочим в сравнительно крупных размерах, и здесь-то сказывается недостаток в первом условии, в наличных деньгах. Чтобы вести производство по-капиталистически, требуется постоянное наличие капитала в форме денег, именно для выплаты заработной платы. Однако землевладельцы могут утешиться на сей счёт. Всё приходит в своё время, промышленный же капиталист уже располагает не только своими собственными деньгами, но и l'argent des autres {36}.
Однако характернее вторая жалоба, а именно: если бы даже и имелись деньги, то нельзя найти достаточного количества свободных рабочих сил, которые можно было бы купить во всякое время, так как вследствие общей собственности деревенской общины на землю русский сельскохозяйственный рабочий ещё не вполне отделён от своих средств производства, поэтому он ещё не является «свободным наёмным рабочим» в полном смысле этого понятия. Но наличие такового в общественном масштабе является непременным условием для того, чтобы Д – Т, превращение денег в товар, могло представлять превращение денежного капитала в производительный капитал.
Поэтому совершенно ясно, что формула для кругооборота денежного капитала: Д – Т…П…Т' – Д', является само собой разумеющейся формой кругооборота капитала лишь на основе уже развитого капиталистического производства, так как она предполагает наличие класса наёмных рабочих в общественном масштабе. Капиталистическое производство, как мы видели, производит не только товар и прибавочную стоимость; оно воспроизводит, притом в постоянно расширяющемся масштабе, класс наёмных рабочих и превращает в наёмных рабочих подавляющее большинство непосредственных производителей. Поэтому кругооборот Д – Т…П…Т' – Д', поскольку первой предпосылкой его осуществления является постоянное наличие класса наёмных рабочих, уже предполагает капитал в форме производительного капитала, а потому предполагает и форму кругооборота производительного капитала.
Из рукописи II.
Вернуться
Ниже следует текст из рукописи VII, начатой Марксом 2 июля 1878 года.
Вернуться
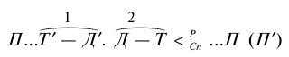
II. ВТОРАЯ СТАДИЯ. ФУНКЦИЯ ПРОИЗВОДИТЕЛЬНОГО КАПИТАЛА
Рассматриваемый здесь кругооборот капитала начинается актом обращения Д – Т, превращением денег в товар, куплей. Следовательно, обращение должно быть дополнено противоположным метаморфозом Т – Д, превращением товара в деньги, продажей. Но непосредственным результатом акта Д – Т<РСпявляется перерыв обращения капитальной стоимости, авансированной в денежной форме. Вследствие превращения денежного капитала в производительный капитал капитальная стоимость приобрела такую натуральную форму, в которой она не может продолжать обращение и должна войти в потребление, а именно в производительное потребление. Потребление рабочей силы, т. е. труд, может быть реализовано лишь в процессе труда. Капиталист не может вновь продать рабочего как товар, потому что рабочий не раб его и потому что он купил лишь пользование его рабочей силой в течение определённого времени. С другой стороны, он может использовать рабочую силу, лишь заставляя её использовать средства производства в качестве факторов создания товаров. Следовательно, результат первой стадии – это вступление во вторую, в производительную стадию капитала. Движение представляется в виде
где точки означают, что обращение капитала прервано, но процесс его кругооборота продолжается, так как из сферы товарного обращения он вступает в сферу производства. Следовательно, первая стадия, превращение денежного капитала в производительный капитал, является лишь предшествующей и вводной фазой ко второй стадии, к функционированию производительного капитала.
Акт
предполагает, что индивидуум, совершающий этот акт, не только располагает стоимостями в той или иной потребительной форме, но что он владеет этими стоимостями в денежной форме, что он – владелец денег. Но этот акт заключается именно в отдаче денег, и владелец денег может остаться таковым лишь постольку, поскольку деньги implicite{37} возвращаются к нему благодаря самому акту расходования. Между тем деньги могут возвратиться к нему лишь посредством продажи товаров. Следовательно, этот акт предполагает владельца денег в качестве товаропроизводителя.
Д – Р. Наёмный рабочий существует только продажей своей рабочей силы. Её сохранение – его самосохранение – требует ежедневного потребления. Следовательно, оплата рабочего должна постоянно повторяться через сравнительно короткие сроки, чтобы он мог повторять необходимые для его самосохранения закупки, т. е. повторять акт Р – Д – Т или Т – Д – Т. Поэтому капиталист постоянно должен противостоять ему как денежный капиталист, а его капитал – как денежный капитал. Но, с другой стороны, – чтобы масса непосредственных производителей, наёмных рабочих, могла совершать акт Р – Д – Т, необходимые жизненные средства постоянно должны противостоять им в такой форме, в которой они могут быть куплены, т. е. в товарной форме. Следовательно, это положение требует уже высокого развития обращения продуктов как товаров, а потому и широких размеров товарного производства. Когда производство посредством наёмного труда приобретает всеобщий характер, товарное производство должно стать всеобщей формой производства. Товарное производство, предполагая, что оно имеет всеобщий характер, обусловливает, со своей стороны, постоянно возрастающее разделение общественного труда, т. е. постоянно увеличивающееся обособление продукта, производимого определённым капиталистом как товар, всё большее разделение взаимно дополняющих друг друга процессов производства на самостоятельные процессы. Поэтому в той самой степени, в какой развивается Д – Р, развивается и Д – Сп, т. е. в той же мере производство средств производства отделяется от производства товаров, по отношению к которым они являются средствами производства, а последние сами противостоят каждому товаропроизводителю как товары, которых он не производит, но которые он покупает для своего определённого процесса производства. Они выходят из отраслей производства, которые совершенно отделены от его собственной, которые ведутся самостоятельно, – они входят в его отрасль производства как товары; следовательно, их приходится покупать. Вещные условия товарного производства всё в большей мере противостоят товаропроизводителю как продукты других товаропроизводителей, как товары. И в той же мере капиталист должен выступать как денежный капиталист; иначе говоря – расширяется тот масштаб, в котором его капитал должен функционировать как денежный капитал.
С другой стороны, те самые обстоятельства, которые создают основное условие капиталистического производства – существование класса наёмных рабочих, – содействуют переходу всего товарного производства в капиталистическое товарное производство. В той мере, в какой последнее развивается, оно действует разрушающим и разлагающим образом на всякую более старую форму производства, которая, будучи направлена преимущественно на удовлетворение непосредственных собственных потребностей, превращает в товар только избыток продукта. Продажу продукта оно делает главным интересом, причём сначала оно как будто не затрагивает самого способа производства, – таково было, например, первое действие капиталистической мировой торговли на такие народы, как китайский, индийский, арабский и т. д. Но там, где капиталистическое товарное производство пустило корни, оно разрушает все формы товарного производства, основой которых служили или собственный труд производителя, или же просто продажа в виде товара только излишков продукта. Сначала оно делает товарное производство всеобщей формой производства, а потом постепенно превращает всё товарное производство в капиталистическое производство.[6]
Каковы бы ни были общественные формы производства, рабочие и средства производства всегда остаются его факторами. Но находясь в состоянии отделения друг от друга, и те и другие являются его факторами лишь в возможности. Для того чтобы вообще производить, они должны соединиться. Тот особый характер и способ, каким осуществляется это соединение, – отличает различные экономические эпохи общественного строя. В исследуемом случае отделение свободного рабочего от его средств производства есть заранее данный исходный пункт, и мы уже видели, – как и при каких условиях рабочий и средства производства соединяются в руках капиталиста, а именно, соединяются как производительная форма существования его капитала. Поэтому тот реальный процесс, в который вступают соединённые таким способом личные и вещные факторы создания товара, самый процесс производства становится функцией капитала, – капиталистическим процессом производства, природа которого подробно исследована в первой книге этого сочинения. Всякое предприятие, занимающееся производством товаров, становится вместе с тем предприятием по эксплуатации рабочей силы; но лишь капиталистическое товарное производство становится таким, составляющим новую эпоху способом эксплуатации, который в своём дальнейшем историческом развитии, организуя процесс труда и колоссально развивая технику, совершает переворот во всей экономической структуре общества и оставляет далеко позади все предшествовавшие эпохи.
Вследствие различия тех ролей, которые средства производства и рабочая сила во время процесса производства играют в образовании стоимости, а следовательно, также и в создании прибавочной стоимости, они различаются как постоянный и переменный капитал, поскольку они являются формами существования авансированной капитальной стоимости. Как различные составные части производительного капитала, они различаются, далее, тем, что первые, поскольку ими владеет капиталист, остаются его капиталом и вне процесса производства, между тем как рабочая сила лишь в процессе производства становится формой существования индивидуального капитала. Если рабочая сила есть товар только в руках её продавца, наёмного рабочего, то, напротив, капиталом она становится только в руках её покупателя, капиталиста, которому достаётся её временное потребление. Сами средства производства становятся предметным воплощением производительного капитала, или производительным капиталом, только с того момента, когда рабочая сила, как личная форма существования того же капитала, получает возможность соединяться с ними. Следовательно, как рабочая сила человека не является капиталом от природы, точно так же не являются капиталом от природы и средства производства. Они приобретают этот специфический общественный характер лишь при определённых, исторически развившихся условиях, подобно тому как лишь при таких же условиях благородные металлы получают характер денег или деньги – характер денежного капитала.
Функционируя, производительный капитал потребляет свои собственные составные части, чтобы превратить их в массу продуктов, имеющую более высокую стоимость. Так как рабочая сила действует лишь в качестве одного из его органов, то и созданный её прибавочным трудом избыток стоимости продукта над стоимостью образующих его элементов является плодом капитала. Прибавочный труд рабочей силы есть даровой труд для капитала и потому образует для капиталиста прибавочную стоимость, стоимость, за которую он не уплачивает эквивалента. Поэтому продукт есть не просто товар, а товар, оплодотворённый прибавочной стоимостью. Его стоимость = П + М, равна стоимости потреблённого на его изготовление производительного капитала П плюс произведённая им прибавочная стоимость М. Предположим, что этот товар состоит из 10 000 фунтов пряжи, на изготовление которой потреблены средства производства стоимостью в 372 ф. ст. и рабочая сила стоимостью в 50 ф. ст. В процессе прядения прядильщики перенесли на пряжу стоимость средств производства, потреблённых их трудом, величиной в 372 ф. ст., и в то же время соответственно затрате их труда, они доставили новую стоимость, скажем, в 128 ф. ст. Поэтому 10 000 фунтов пряжи являются носителем стоимости в 500 ф. ст.
Здесь заканчивается текст из рукописи VII. Далее следует текст из рукописи IV.
Вернуться
III. ТРЕТЬЯ СТАДИЯ. Т' – Д'
Товар становится товарным капиталом как вышедшая непосредственно из самого процесса производства функциональная форма существования уже возросшей капитальной стоимости. Если бы товарное производство во всём его общественном размере велось капиталистически, то всякий товар с самого начала был бы элементом товарного капитала, состоит ли этот товар из чугуна или брюссельских кружев, серной кислоты или сигар. Проблема, какие виды товаров своим свойством предопределены к возведению в ранг капитала и какие к рядовой товарной службе, является одним из тех невинных затруднений, которые создала для себя сама схоластическая политическая экономия.
Капитал, находясь в товарной форме, должен выполнять функцию товара. Предметы, из которых он состоит, произведённые с самого начала для рынка, должны быть проданы, превращены в деньги, следовательно, должны совершить движение Т – Д.
Положим, что товар капиталиста состоит из 10 000 фунтов хлопчатобумажной пряжи. Если в процессе прядения потреблено средств производства стоимостью в 372 ф. ст. и создана новая стоимость в 128 ф. ст., то стоимость пряжи равна 500 ф. ст., что и выражается в её цене такого же наименования. Эта цена реализуется посредством продажи Т – Д. Что делает этот простой акт всякого товарного обращения одновременно и функцией капитала? Отнюдь не какое бы то ни было изменение, совершающееся в пределах этого акта: не изменение потребительного характера товара, – потому что именно как предмет потребления товар переходит к покупателю; и не изменение его стоимости, – потому что последняя не претерпевает никаких изменений величины, а только изменение формы. Сначала стоимость существовала в пряже, теперь она существует в деньгах. Так выступает существенное различие между первой стадией Д – Т и последней стадией Т – Д. Там авансированные деньги функционируют как денежный капитал, потому что при посредстве обращения они превращаются в товары специфической потребительной стоимости. Здесь, в последней стадии Т – Д, товар может функционировать как капитал лишь постольку, поскольку он приносит этот характер капитала уже готовым из процесса производства, прежде чем начинается его обращение. Во время процесса прядения прядильщики создают стоимость пряжи в 128 ф. ст. Из них, скажем, 50 ф. ст. составляют для капиталиста просто эквивалент его затраты на рабочую силу, а 78 ф. ст. – при степени эксплуатации рабочей силы в 156 % – образуют прибавочную стоимость. Следовательно, стоимость 10 000 фунтов пряжи заключает в себе, во-первых, стоимость потреблённого производительного капитала П, постоянная часть которого = 372 ф. ст., переменная = 50 ф. ст., их сумма = 422 ф. ст. = 8 440 фунтам пряжи. Стоимость же производительного капитала П = Т, равна стоимости образующих его элементов, которые на стадии Д – Т противостояли капиталисту как товары в руках их продавцов. – Но, во-вторых, стоимость пряжи заключает в себе и прибавочную стоимость в 78 ф. ст. = 1 560 фунтам пряжи. Следовательно, Т, как выражение стоимости 10 000 фунтов пряжи, равно Т+ΔТ, Т плюс приращение Т (= 78 ф. ст.), которое мы назовём Т, потому что в данное время оно существует в той же товарной форме, как и первоначальная стоимость Т. Стоимость 10 000 фунтов пряжи = 500 ф. ст., следовательно = Т + Т = Т'. Не абсолютная величина стоимости (500 ф. ст.) превращает Т, как выражение стоимости 10 000 фунтов пряжи, в Т'. Ведь абсолютная величина стоимости для Т', так же как и для всех других Т, поскольку они являются выражением стоимости какой-либо суммы товаров, определяется величиной овеществлённого в нём труда. Т превращается в T' вследствие относительной величины его стоимости – вследствие величины его стоимости по сравнению со стоимостью капитала П, потреблённого при его производстве. В Т' заключается эта последняя стоимость плюс доставленная производительным капиталом прибавочная стоимость. Стоимость Т' больше, превышает эту капитальную стоимость на прибавочную стоимость 10 000 фунтов пряжи – это носитель возросшей, обогащённой прибавочной стоимостью капитальной стоимости, и они играют роль такого носителя, как продукт капиталистического процесса производства. T' выражает стоимостное отношение – отношение стоимости товарного продукта к стоимости капитала, затраченного на его производство; следовательно, Т' выражает, что его стоимость составлена из капитальной стоимости и прибавочной стоимости. 10 000 фунтов пряжи являются товарным капиталом, Т', только в качестве превращённой формы производительного капитала П, следовательно, – лишь в связи, которая существует прежде всего только в кругообороте этого индивидуального капитала или существует только для того капиталиста, который своим капиталом произвёл пряжу. Только, так сказать, внутреннее, но отнюдь не какое-либо внешнее отношение делает эти 10 000 фунтов пряжи, как носителя стоимости, товарным капиталом; капиталистическое родимое пятно этих 10 000 фунтов пряжи заключается не в абсолютной величине их стоимости, а в относительной величине, в величине их стоимости по сравнению с той, которой обладал содержащийся в них производительный капитал, прежде чем он превратился в товар. Поэтому, если 10 000 фунтов пряжи будут проданы по их стоимости, за 500 ф. ст., то этот акт обращения, рассматриваемый сам по себе, = Т – Д, представляет собой простое превращение стоимости, остающейся неизменной, из товарной формы в денежную форму. Но, как особая стадия в кругообороте индивидуального капитала, тот же самый акт представляет собой реализацию капитальной стоимости в 422 ф. ст., заключающейся в товаре, + прибавочная стоимость в 78 ф. ст., заключающаяся в том же товаре, следовательно, представляет собой Т' – Д', превращение товарного капитала из его товарной формы в денежную форму.[7]
Функция Т' такая же, как и всякого товарного продукта: превратиться в деньги, быть проданным, проделать фазу обращения Т – Д. Пока теперь уже возросший по стоимости капитал остаётся в форме товарного капитала, пока он неподвижно лежит на рынке, процесс производства останавливается. Капитал не действует ни как созидатель продукта, ни как созидатель стоимости. В зависимости от различной степени скорости, с какой капитал сбрасывает с себя товарную форму и принимает денежную форму, или в зависимости от быстроты продажи, одна и та же капитальная стоимость будет в очень неравной степени служить и в качестве созидателя продукта и в качестве созидателя стоимости, и масштаб воспроизводства в зависимости от этого будет расширяться или сокращаться. В первой книге было показано, что степень действия данного капитала обусловлена такими потенциями процесса производства, которые в известной мере независимы от величины стоимости капитала{38}. Теперь оказывается, что процесс обращения приводит в движение новые потенции, обусловливающие степень действия капитала, его расширения и сокращения, независимые от величины его стоимости.
Товарная масса Т', как носитель капитала, возросшего по стоимости, должна, далее, во всём своём объёме проделать метаморфоз Т' – Д'. Количество проданного товара становится здесь существенным обстоятельством. Отдельный товар фигурирует только как интегральная часть всей товарной массы. 500 ф. ст. стоимости существует в 10 000 фунтах пряжи. Если капиталисту удастся продать только 7 440 фунтов пряжи по их стоимости в 372 ф. ст., то он возместит таким образом лишь стоимость своего постоянного капитала, стоимость затраченных средств производства; если 8 440 фунтов, – то лишь величину стоимости всего авансированного капитала. Чтобы реализовать прибавочную стоимость, он должен продать больше, а чтобы реализовать всю прибавочную стоимость в 78 ф. ст. (= 1 560 фунтам пряжи), он должен продать все 10 000 фунтов пряжи. Следовательно, в 500 ф. ст. деньгами он получает лишь равную стоимость за проданный товар; его сделка в пределах обращения есть простое Т – Д. Если бы он выдал своим рабочим 64 ф. ст. вместо заработной платы в 50 ф. ст., то его прибавочная стоимость была бы равна лишь 64 ф. ст. вместо 78 ф. ст., а степень эксплуатации составляла бы только 100 % вместо 156 %; но стоимость его пряжи осталась бы такой же, какой была раньше; изменилось бы только соотношение её различных частей; акт обращения Т – Д теперь, как и раньше, был бы продажей 10 000 фунтов пряжи за 500 ф. ст., по их стоимости.
Т' = Т + т (= 422 ф. ст.+ 78 ф. ст.). – Т равно стоимости П, или стоимости производительного капитала, а последняя равна стоимости Д, которое авансировано в акте Д – Т, в купле элементов производства; в нашем примере = 422 ф. ст. Если вся товарная масса продаётся по её стоимости, то Т = 422 ф. ст. и Т =78 ф. ст., равно стоимости прибавочного продукта в виде 1 560 фунтов пряжи. Если Т, выраженное в деньгах, мы обозначим посредством Д, то Т' – Д' = (Т+ Т) – (Д + Д), а кругооборот Д – Т…П…Т' – Д' в его распространённой форме будет, следовательно, обозначаться через
…П (Т + т) – (Д + д).
В первой стадии капиталист извлекает предметы потребления с собственно товарного рынка и с рынка труда; в третьей стадии он бросает товар обратно, но только на один рынок, на собственно товарный рынок. Но если потом посредством своего товара он извлекает с рынка больше стоимости, чем бросил на него первоначально, то лишь потому, что бросает на него бо́льшую товарную стоимость, чем извлёк первоначально. Он бросил на рынок стоимость Д и извлёк равную стоимость Т; он бросает на рынок Т + Т и извлекает равную стоимость Д + д. – В нашем примере Д было равно стоимости 8 440 фунтов пряжи; но он бросает на рынок 10 000 фунтов, следовательно, отдаёт на рынок бо́льшую стоимость, чем сам взял с рынка. С другой стороны, он бросил на рынок эту возросшую стоимость только потому, что посредством эксплуатации рабочей силы в процессе производства произвёл прибавочную стоимость (выраженную в прибавочном продукте в качестве известной доли продукта). Только в качестве продукта процесса производства товарная масса есть товарный капитал, носитель возросшей капитальной стоимости. Посредством совершения акта Т' – Д' реализуется как авансированная капитальная стоимость, так и прибавочная стоимость. Реализация той и другой совершается одновременно в ряде продаж или же в продаже разом всей товарной массы, что и выражает Т' – Д'. Но один и тот же акт обращения Т' – Д' различен для капитальной стоимости и прибавочной стоимости постольку, поскольку для каждой из них он выражает различную стадию их обращения, различный отдел того ряда метаморфозов, который они должны пройти в сфере обращения. Прибавочная стоимость, Т, только в процессе производства и появилась на свет. Следовательно, она впервые выступает на товарный рынок и выступает притом именно в товарной форме; это – первая форма её обращения, а потому акт т – д, первый акт её обращения, или её первый метаморфоз, который, следовательно, ещё остаётся дополнить посредством противоположного акта обращения, или посредством обратного метаморфоза д – т.[8]
Иначе обстоит дело с обращением, которое совершает капитальная стоимость Т в том же самом акте обращения Т' – Д', являющемся для неё актом обращения Т – Д, где Т = П, равно первоначально авансированному Д. Капитальная стоимость открыла первый акт своего обращения как Д, как денежный капитал, и посредством акта Т – Д возвращается к той же самой форме; следовательно, она прошла обе противоположные фазы обращения 1) Д – Т и 2) Т – Д и опять оказалась в такой форме, в которой она снова может начать тот же процесс кругооборота. То, что для прибавочной стоимости является первым превращением товарной формы в денежную форму, для капитальной стоимости является возвратом, или обратным превращением в её первоначальную денежную форму.
Посредством Д – Т<РСпденежный капитал был превращён в сумму товаров Р и Сп, имеющую такую же стоимость. Эти товары не функционируют более как товары, как предметы продажи. Их стоимость существует отныне в руках их покупателя, капиталиста, как стоимость его производительного капитала П. А в функции П, в производительном потреблении, они превращаются в новый сорт товара, по натуральной форме отличный от средств производства – в пряжу, в которой их стоимость не только сохраняется, но и увеличивается, с 422 ф. ст. до 500 ф. ст. Путём этого реального метаморфоза товары, извлечённые с рынка в первой стадии Д – Т, замещаются товаром, который отличается от них и по натуральной форме и по стоимости и который должен теперь функционировать как товар, должен быть превращён в деньги и продан. Поэтому процесс производства представляется лишь перерывом в процессе обращения капитальной стоимости, в котором до сих пор была пройдена только первая фаза Д – Т. Капитальная стоимость проходит вторую и заключительную фазу Т – Д уже после того, как Т претерпит изменение по натуральной форме и по стоимости. Но если рассматривается капитальная стоимость, взятая сама по себе, то оказывается, что в процессе производства она претерпела изменение лишь своей потребительной формы. Она существовала как 422 ф. ст. стоимости в Р и Сп, теперь она существует как 422 ф. ст. стоимости в 8 440 фунтах пряжи. Следовательно, если мы рассмотрим лишь обе фазы процесса обращения капитальной стоимости, взятой обособленно от её прибавочной стоимости, то окажется, что она проходит 1) Д – Т и 2) Т – Д, причём второе Т имеет изменившуюся потребительную форму, но ту же стоимость, как и первое Т; таким образом, капитальная стоимость проходит Д – Т – Д, – форму обращения, которая путём двукратного перемещения товара в противоположном направлении, путём превращения из денег в товар и из товара в деньги, необходимо обусловливает возвращение стоимости, авансированной в форме денег, к её денежной форме; её обратное превращение в деньги.
Тот самый акт обращения Т' – Д', который для капитальной стоимости, авансированной в деньгах, является вторым, заключительным метаморфозом, возвращением к денежной форме, для прибавочной стоимости, содержащейся в том же товарном капитале и реализуемой посредством его превращения в денежную форму, служит первым метаморфозом, превращением из товарной формы в денежную форму, Т – Д, первой фазой обращения.
Итак, здесь необходимо отметить обстоятельства двоякого рода. Во-первых, заключительное обратное превращение капитальной стоимости в её первоначальную денежную форму есть функция товарного капитала. Во-вторых, эта функция включает в себя первое превращение прибавочной стоимости из её первоначальной товарной формы в денежную форму. Таким образом, денежная форма играет здесь двоякую роль: с одной стороны, она представляет ту форму, к которой возвращается стоимость, первоначально авансированная в деньгах, – следовательно, возврат к той форме стоимости, которой открылся процесс; с другой стороны, она – первая превращённая форма той стоимости, которая первоначально вступает в обращение в товарной форме. Если товары, из которых состоит товарный капитал, продаются по их стоимости, как и предполагается здесь, то Т + т превращается в равное по стоимости Д + д. В этой форме Д + д (422 ф. ст. + 78 ф. ст. = 500 ф. ст.) реализованный товарный капитал находится теперь в руках капиталиста. Капитальная стоимость и прибавочная стоимость имеются теперь в наличии как деньги, следовательно, – во всеобщей эквивалентной форме.
Итак, в конце процесса капитальная стоимость находится опять в той же форме, в которой она вступила в него, и, следовательно, снова в качестве денежного капитала может открыть и совершить этот процесс. Именно потому, что исходная и заключительная формы процесса являются формой денежного капитала (Д), процесс кругооборота в этой форме назван нами кругооборотом денежного капитала. В конце процесса оказывается изменившейся не форма, а только величина авансированной стоимости.
Д + д есть не что иное, как денежная сумма определённой, величины, в нашем случае 500 ф. ст. Но как результат кругооборота капитала, как реализованный товарный капитал, эта сумма денег содержит капитальную стоимость и прибавочную стоимость, и притом они уже не срослись вместе, как в пряже; теперь они лежат друг возле друга. Их реализация дала каждой из них самостоятельную денежную форму, 211/250 этой суммы суть капитальная стоимость, в 422 ф. ст., и 39/250 – прибавочная стоимость в 78 ф. ст. Это разделение, вызванное реализацией товарного капитала, по своему содержанию является не только формальным, о чём мы сейчас поговорим; оно приобретает важное значение в процессе воспроизводства капитала, смотря по тому, присоединяется ли д к Д целиком, частично или совсем не присоединяется, следовательно, смотря по тому, продолжает ли оно функционировать как составная часть авансированной капитальной стоимости или нет. Обращение д и Д также может быть совершенно различным.
В Д' капитал снова возвратился к своей первоначальной форме Д, к своей денежной форме, но возвратился в такой форме, в которой он реализован как капитал.
Здесь имеется, во-первых, – количественное различие. Было Д, 422 ф. ст.; теперь имеется Д', 500 ф. ст., и это различие выражено в Д…Д' в количественно различных крайних членах кругооборота, самый ход которого обозначен лишь тремя точками. Д' больше Д, Д' – Д = М, прибавочной стоимости. – Но, как результат этого кругооборота Д…Д', теперь существует только Д'; это – такой продукт кругооборота, в котором угас процесс его образования. Д' существует теперь самостоятельно само по себе, независимо от движения, которое принесло его. Движение миновало, на его месте стоит Д'.
Но Д', как Д + д, 500 ф. ст., как 422 ф. ст. авансированного капитала плюс его приращение в 78 ф. ст., представляет собой в то же время качественное отношение, хотя само это качественное отношение существует лишь как отношение частей одной и той же суммы, следовательно, – как количественное отношение. Д, авансированный капитал, который теперь снова находится в своей первоначальной форме (422 ф. ст.), существует теперь как реализованный капитал. Он не только сохранился, – он также и реализовался как капитал, потому что он, именно как капитал, отличается от д (78 ф. ст.), к которому он относится как к своему приращению, к своему плоду, к порождённому им самим приросту. Он реализован как капитал потому что реализован как стоимость, породившая стоимость. Д' существует как капиталистическое отношение; Д является уже не просто деньгами, – оно прямо выступает как денежный капитал, получает выражение как самовозросшая стоимость, следовательно как стоимость, которая обладает свойством самовозрастать, порождать больше стоимости, чем имеет сама. Д стало капиталом вследствие своего отношения к другой части Д', как к части, обусловленной Д, порождённой им как причиной, как к части, к следствию, основой которого оно является. Таким образом Д' является суммой стоимости, дифференцированной в самой себе, заключающей в себе функционально (в понятии) различные части, является суммой стоимости, выражающей капиталистическое отношение.
Но это отношение выражено только как результат, без посредства того процесса, результатом которого оно является.
Части стоимости, как таковые, качественно не отличаются одна от другой, за исключением того, что они выступают как стоимости различных предметов, конкретных вещей, следовательно, в различных потребительных формах, а потому выступают как стоимости различных товарных тел, – различие, которое вытекает не из них самих как простых частей стоимости. В деньгах угасает всякое различие товаров, потому что они суть именно общая всем товарам эквивалентная форма. Денежная сумма в 500 ф. ст. состоит из совершенно однородных элементов по 1 ф. ст. Так как в простом бытии этой суммы денег изглажено посредствующее звено её происхождения и исчез всякий след специфического различия, которым обладают различные составные части капитала в процессе производства, то различие существует лишь между понятием основной суммы (по-английски principal), равной авансированному капиталу в 422 ф. ст., и понятием избыточной суммы стоимости, равной 78 ф. ст. Пусть, например, Д' = 110 ф. ст., из которых 100 = Д, главной сумме, и 10 = М, прибавочной стоимости. Обе составные части суммы в 110 ф. ст. абсолютно однородны, следовательно, неразличимы в понятии. Какие угодно 10 ф. ст. всегда составляют 1/11 общей суммы в 110 ф. ст., являются ли они 1/10 авансированной основной суммы в 100 ф. ст. или избытком над ней в 10 ф. ст. Поэтому основная сумма и сумма прироста, капитал и прибавочная сумма, могут быть выражены как дроби всей суммы; в нашем примере 10/11 составляют главную сумму, или капитал, 1/11 – прибавочную сумму. Поэтому то денежное выражение, которое реализованный капитал получает здесь в конце своего, процесса, есть иррациональное выражение капиталистического отношения.
Впрочем, это относится также и к Т' (= Т + т). Но с той разницей, что Т', в котором Т и Т представляют собой тоже лишь пропорциональные части стоимости одной и той же однородной товарной массы, указывает на своё происхождение из П, непосредственным продуктом которого оно является, между тем как в Д', в форме, вышедшей непосредственно из обращения, исчезло прямое отношение к П.
Иррациональное различие между основной суммой и суммой прироста, заключающееся в Д', поскольку последнее выражает результат движения Д…Д', тотчас же исчезает, как только Д' опять начинает активно функционировать в качестве денежного капитала, следовательно, если оно, напротив, не фиксируется как денежное выражение промышленного капитала, возросшего по своей стоимости. Кругооборот денежного капитала никогда не может начаться с Д' (хотя Д' и функционирует теперь в качестве Д), он может начаться только с Д, т. е. лишь формой, выражающей авансирование капитальной стоимости, но отнюдь не выражением капиталистического отношения. Как только 500 ф. ст. снова авансируются как капитал для нового самовозрастания, они являются начальным пунктом, между тем как раньше были конечным пунктом. Вместо капитала в 422 ф. ст. теперь авансирован капитал в 500 ф. ст. – больше денег, чем раньше, больше капитальной стоимости, – но отношение между двумя составными частями отпало; совершенно так же и первоначально в качестве капитала могла бы функционировать сумма в 500 ф. ст. вместо суммы в 422 ф. ст.
Представлять капитал в виде Д' не есть активная функция денежного капитала; его собственное появление в форме Д' является, напротив, функцией Т'. Уже при простом товарном обращении: 1) T1 – Д; 2) Д – Т2, Д активно функционирует лишь во втором акте Д – Т2; появление его в виде Д является лишь результатом первого акта, в силу которого оно выступает как превращённая форма Т1. Капиталистическое отношение, заключающееся в Д', отношение одной из его частей как капитальной стоимости к другой его части как к приращению этой стоимости, приобретает, правда, и функциональное значение, поскольку, при постоянном повторении кругооборота Д…Д', Д' разделяется между двоякого рода обращением, – обращением капитала и обращением прибавочной стоимости, следовательно, поскольку обе части исполняют не только количественно, но и качественно различные функции, – Д иные, чем д. Но, рассматриваемая сама по себе, форма Д…Д' не заключает в себе потребления капиталиста, она заключает только самовозрастание стоимости и накопление, поскольку последнее выражается прежде всего в периодическом увеличении снова и снова авансируемого денежного капитала.
Д' = Д + д, хотя и является иррациональной формой капитала, в то же время представляет денежный капитал лишь в его реализованной форме, в виде денег, которые породили деньги. Однако здесь следует видеть отличие от функции денежного капитала в первой стадии Д – Т<РСп. В этой первой стадии Д обращается как деньги. Д функционирует как денежный капитал лишь потому, что только в денежном состоянии оно может выполнить функцию денег, превратиться в элементы П, в Р и Сп, противостоящие ему как товары. В этом акте обращения Д функционирует только как деньги; но так как этот акт есть первая стадия в процессе движения капитальной стоимости, то он, в силу специфической потребительной формы покупаемых товаров Р и Сп, является одновременно функцией денежного капитала. Напротив, Д', состоящее из Д, капитальной стоимости, и из д, произведённой ею прибавочной стоимости, выражает возросшую капитальную стоимость, – цель и результат, функцию всего процесса кругооборота капитала. То, что оно выражает этот результат в денежной форме, как реализованный денежный капитал, это вытекает не из того, что оно есть денежная форма капитала, денежный капитал, но, наоборот, из того, что оно есть денежный капитал, капитал в денежной форме, из того, что капитал в этой форме открыл процесс, был авансирован в денежной форме. Как мы видели, обратное превращение в денежную форму есть функция товарного капитала Т', а не денежного капитала. Что же касается разности между Д' и Д, то она (д) представляет собой лишь денежную форму Т, приращения Т; Д' только потому = Д + д, что Т' было = Т + т. Следовательно, эта разность и отношение капитальной стоимости к порождённой ею прибавочной стоимости имелись налицо и были выражены в Т', прежде чем та и другая стоимость превратились в Д' в единую денежную сумму, в которой обе части стоимости самостоятельно противостоят одна другой и потому могут быть употреблены также на самостоятельные и отличные одна от другой функции.
Д' есть лишь результат реализации Т'. И то и другое – Т', как и Д'– суть лишь различные формы, товарная форма и денежная форма, возросшей капитальной стоимости, у них обеих то общее, что они – возросшая капитальная стоимость. Обе суть проявивший себя в действии капитал, потому что здесь капитальная стоимость как таковая существует совместно с прибавочной стоимостью, как отличным от первой, полученным благодаря ей плодом, хотя это отношение и выражается лишь в такой иррациональной форме, как отношение двух частей одной и той же денежной суммы или одной и той же товарной стоимости. Но как выражение капитала в его отношении к прибавочной стоимости и в его отличии от прибавочной стоимости, произведённой им, следовательно как выражение возросшей стоимости, Д' и Т' суть одно и то же и выражают они одно и то же, только в различной форме; они отличаются друг от друга не как денежный капитал и товарный капитал, а как деньги и товар. Поскольку они представляют собой возросшую стоимость, т. е. капитал, проявивший себя в действии как капитал, постольку они выражают лишь результат функции производительного капитала, единственной функции, в которой капитальная стоимость порождает стоимость. Общим для них является то, что они оба, денежный капитал и товарный капитал, суть способы существования капитала. Один – капитал в денежной форме, другой – в товарной форме. Поэтому разделяющие их различия специфических функций не могут быть чем-либо иным кроме различий между функцией денег и функцией товара. Товарный капитал, как непосредственный продукт капиталистического процесса производства, носит следы этого своего происхождения из процесса производства и потому по своей форме более рационален, не столь иррационален, как денежный капитал, в котором сглажен всякий след процесса производства, как и вообще в деньгах угасает всякая особая потребительная форма товара. Поэтому такое своеобразие денежной формы капитала исчезает только там, где само Д' функционирует как товарный капитал, где оно является непосредственным продуктом процесса производства, а не превращённой формой этого продукта, следовательно, в производстве самого денежного материала. Например, формула для добычи золота была бы такова: Д – Т<Р…П…Д' (Д + д)Сп, где Д' фигурирует как товарный продукт, потому что П доставляет золота больше, чем было авансировано в первом Д, денежном капитале, на элементы для добычи золота. Следовательно, здесь исчезает иррациональность выражения Д…Д' (Д + д), где одна часть денежной суммы является матерью другой части той же самой денежной суммы.
Это имеет силу, каким бы способом мы ни отделяли капитальную стоимость и прибавочную стоимость. В 10 000 фунтах пряжи заключается 1 560 фунтов = 78 ф. ст. прибавочной стоимости, но в 1 фунте пряжи = 1 шиллингу в свою очередь заключается 2,496 унции = 1,872 пенса прибавочной стоимости.
Вернуться
Здесь заканчивается текст из рукописи VI. Далее следует текст из рукописи V.
Вернуться
IV. КРУГООБОРОТ В ЦЕЛОМ
Мы видели, что процесс обращения по окончании его первой фазы Д – Т<РСппрерывается производством П, в котором товары Р и Сп, купленные на рынке, потребляются как вещественные и стоимостные составные части производительного капитала; продукт этого потребления – новый товар Т', изменившийся по своей натуральной форме и по стоимости. Прерванный процесс обращения, Д – Т, должен дополняться посредством Т – Д. Но в качестве носителя этой второй и заключительной фазы обращения появляется Т', товар по своей натуральной форме и по стоимости отличный от первого Т. Следовательно, ряд обращения выражается в виде: 1) Д – Т1; 2) Т' – Д', где во второй фазе место первого товара T'1занимает другой товар T'2, большей стоимости и иной по своей потребительной форме; эта замена происходит во время перерыва, обусловливаемого функцией П, т. е. во время производства Т' из элементов Т, из форм существования производительного капитала П. Напротив, та первая форма проявления, в которой капитал выступил перед нами («Капитал», книга I, гл. IV, 1), форма Д – Т – Д' (разлагается на: 1) Д – T1; 2) T1 – Д') дважды показывает один и тот же товар. Там перед нами оба раза выступает один и тот же товар – товар, в который превращаются деньги в первой фазе и который во второй фазе превращается обратно в большее количество денег. Несмотря на это существенное различие, оба обращения имеют то общее, что в их первой фазе деньги превращаются в товар, а во второй фазе – товар в деньги, следовательно, деньги, затраченные в первой фазе, снова притекают обратно во второй фазе. Общим для них является, с одной стороны, этот обратный приток денег к их исходному пункту, а, с другой стороны, то, что денег притекает обратно больше, чем было авансировано. Постольку и Д – Т…Т' – Д' уже содержится во всеобщей формуле Д – Т – Д'.
Далее, здесь оказывается, что в обоих метаморфозах, в Д – Т и в T' – Д', относящихся к обращению, всякий раз противостоят друг другу и заменяют друг друга равновеликие, одновременно существующие стоимости. Изменение величины стоимости принадлежит исключительно метаморфозу П, процессу производства, который, таким образом, является реальным метаморфозом капитала, в противоположность лишь формальным метаморфозам в сфере обращения.
Рассмотрим теперь движение Д – Т…П…Т' – Д' в целом или его развёрнутую форму
…П…Т' (T + т) – Д' (Д + д)Сп. Капитал является здесь стоимостью, которая проходит последовательный ряд взаимно связанных, обусловливаемых друг другом превращений, ряд метаморфозов, которые составляют такой же ряд фаз или стадий всего процесса. Две из этих фаз относятся к сфере обращения, одна – к сфере производства. В каждой из этих фаз капитальная стоимость находится в особой форме, которой соответствует особая, специальная функция. В этом движении авансированная стоимость не только сохраняется, но и возрастает, увеличивается. Наконец, в заключительной стадии она возвращается к той самой форме, в которой появилась в начале всего процесса. Таким образом, этот процесс, как, целое, есть процесс кругооборота.
Те две формы, которые капитальная стоимость принимает на стадиях своего обращения, – суть формы денежного капитала и товарного капитала; её форма, относящаяся к стадии производства, есть форма производительного капитала. Капитал, который в ходе своего полного кругооборота принимает и снова сбрасывает эти формы и в каждой из них совершает соответствующую ей функцию, есть промышленный капитал; слово промышленный употребляется здесь в том значении, в котором оно охватывает всякую, ведущуюся капиталистически отрасль производства.
Следовательно, денежный капитал, товарный капитал, производительный капитал обозначают здесь отнюдь не самостоятельные виды капитала, функции которых составляют содержание тоже самостоятельных и отделённых друг от друга отраслей предпринимательства. Они обозначают здесь лишь особые функциональные формы промышленного капитала, который последовательно принимает все эти три формы одну за другой.
Кругооборот капитала совершается нормально лишь до тех пор, пока его различные фазы без задержек переходят одна в другую. Если капитал задерживается на первой фазе Д – Т, то денежный капитал затвердевает в виде сокровища; если на производственной фазе, то на одной стороне лежат, не функционируя, средства производства, между тем как на другой стороне остаётся незанятой рабочая сила; если капитал задерживается на последней фазе Т' – Д', то нераспроданные товары, накопляясь, преграждают путь потоку обращения.
С другой стороны, по сути дела, кругооборот сам обусловливает фиксацию капитала, фиксацию на определённые сроки, в отдельных фазах кругооборота. В каждой из своих фаз промышленный капитал связан с одной определённой формой – как денежный капитал, производительный капитал, товарный капитал. Лишь выполнив функцию, соответствующую той форме, в которой он находится в данное время, он приобретает форму, в которой может вступить в новую фазу превращения. Чтобы сделать это наглядным, мы предположили в нашем примере, что капитальная стоимость товарной массы, созданной на стадии производства, равна всей сумме стоимости, первоначально авансированной в виде денег; другими словами, – что вся капитальная стоимость, авансированная как деньги, разом переходит из одной стадии в другую, последующую. Но мы видели («Капитал», книга I, гл. VI), что часть постоянного капитала, собственно средства труда (например, машины) служат снова и снова, в большем или меньшем числе повторений одних и тех же процессов производства, а потому и передают свою стоимость продукту лишь по частям. Позже мы увидим, в какой мере это обстоятельство модифицирует процесс кругооборота капитала. Здесь ограничимся следующим: в нашем примере стоимость производительного капитала = 422 ф. ст. содержит только среднюю величину износа фабричных зданий, машин и т. д., следовательно только ту часть стоимости, которую при превращении 10 600 фунтов хлопка в 10 000 фунтов пряжи они переносят на последнюю, на продукт недельного процесса прядения в течение 60 часов. И поэтому в тех средствах производства, в которые превращается авансированный постоянный капитал в 372 ф. ст., средства труда, – здания, машины и т. д., – фигурируют таким образом, как если бы их брали на рынке лишь в аренду, оплачивая еженедельными взносами. Однако это абсолютно ничего не изменяет в существе дела. Стоит лишь нам количество пряжи в 10 000 фунтов, произведённое в течение недели, помножить на число недель, составляющее известный ряд лет, – и вся стоимость купленных и потреблённых за это время средств труда будет перенесена на пряжу. Отсюда ясно, что авансированный денежный капитал сначала должен быть превращён в эти средства труда, следовательно, сначала должен пройти первую стадию Д – Т, прежде чем он будет в состоянии функционировать как производительный капитал П. Точно так же в нашем примере ясно, что сумма капитальной стоимости в 422 ф. ст., воплотившаяся в пряжу во время процесса производства, не может вступить в фазу обращения Т' – Д' как составная часть стоимости 10 000 фунтов пряжи до тех пор, пока последняя не будет готова. Нельзя продать пряжу, пока она не выпрядена.
В общей формуле продукт П рассматривается как материальная вещь, отличная от элементов производительного капитала, как предмет, который обладает обособленным от процесса производства существованием, который обладает потребительной формой, отличной от потребительной формы элементов производства. Это имеет место во всех случаях, когда результат процесса производства выступает как вещь, – даже там, где часть продукта снова входит как элемент в возобновляемое производство. Так, зерно в качестве семян служит для производства зерна, но продукт состоит только из зерна, следовательно, имеет форму, отличную от других элементов, также нашедших применение, – от рабочей силы, орудий труда, удобрений. Но существуют самостоятельные отрасли промышленности, где продукт процесса производства не является новым вещественным продуктом, товаром. Из этих отраслей важна в экономическом отношении только промышленность, осуществляющая перевозки и связь, будет ли то собственно транспортная промышленность по перевозке товаров и людей или же просто передача сообщений, писем, телеграмм и т. д.
А. Чупров[9] говорит об этом так:
«Фабрикант может сначала произвести изделия и потом искать потребителей»;
(его продукт, выброшенный готовым из процесса производства, переходит как отделённый от него товар в сферу обращения);
«производство и потребление являются таким образом двумя актами, разделёнными в пространстве и времени; в перевозной же промышленности, которая не творит новых продуктов, но только перемещает людей; и вещи, эти два акта сливаются вместе; услуги железной дороги» (перемещение) «потребляются в тот же момент, как они производятся. Оттого район, в котором железные дороги могут искать сбыта своим услугам, простирается много если на 50 вёрст» {53 км} «по обе стороны линии».
Результатом перевозки – перевозятся ли люди или товары – является перемена их местопребывания, например, пряжа находится теперь в Индии, а не в Англии, где она была произведена.
Но то что продаёт транспортная промышленность, есть само перемещение. Доставляемый ею полезный эффект нераздельно связан с процессом перевозки, т. е. с процессом производства транспортной промышленности. Люди и товары едут вместе с определённым средством транспорта, и движение последнего, его перемещение и есть тот процесс производства, который оно создаёт. Полезный эффект можно потреблять лишь во время процесса производства; этот эффект не существует как отличная от этого процесса потребительная вещь, которая лишь после того, как она произведена, функционирует в виде предмета торговли, обращается как товар. Но меновая стоимость этого полезного эффекта, как и меновая стоимость всякого другого товара, определяется стоимостью затраченных на него элементов производства (рабочей силы и средств производства) плюс прибавочная стоимость, созданная прибавочным трудом рабочих, занятых в транспортной промышленности. Что касается потребления этого полезного эффекта транспортной промышленности, то и в этом отношении он совершенно не отличается от других товаров. Если он входит в индивидуальное потребление, то вместе с потреблением исчезает его стоимость; если он потребляется производительно, так что сам является стадией производства товара, находящегося в перевозке, то его стоимость переносится как дополнительная стоимость на самый товар. Следовательно, для транспортной промышленности формула будет такова:
…П – Д'Сп, ибо здесь оплачивается и потребляется самый процесс производства, а не продукт, который может быть отделён от него. Следовательно, перед нами почти точно такая же форма, как и форма для производства благородных металлов, с той только разницей, что Д' является здесь превращённой формой полезного эффекта, созданного во время процесса производства, а не натуральной формой золота или серебра, добытых во время этого процесса и вытолкнутых из него.
Промышленный капитал есть единственный способ существования капитала, при котором функцией капитала является не только присвоение прибавочной стоимости, соответственно присвоение прибавочного продукта, но в то же время и её создание. Поэтому промышленный капитал обусловливает капиталистический характер производства; существование промышленного капитала включает в себя наличие классовой противоположности между капиталистами и наёмными рабочими. По мере того, как он овладевает общественным производством, совершается переворот в технике и в общественной организации процесса труда, а вместе с тем и в экономико-историческом типе общества. Другие виды капитала, которые появились до него в рамках отошедших в прошлое или гибнущих укладов общественного производства, не только подчиняются ему и не только претерпевают соответствующие ему изменения в механизме своих функций, но и движутся впредь уже лишь на основе промышленного капитала, следовательно, живут и умирают, стоят и падают вместе с этой своей основой. Денежный капитал и товарный капитал, поскольку они со своими функциями выступают наряду с промышленным капиталом как носители особых отраслей предпринимательства, суть лишь достигшие самостоятельности вследствие общественного разделения труда и односторонне развитые способы существования различных функциональных форм, которые промышленный капитал то принимает, то сбрасывает в сфере обращения.
Кругооборот Д…Д', с одной стороны, переплетается с общим товарным обращением, выходит из него, входит в него, составляет его часть. С другой стороны, для индивидуального капиталиста он образует особое самостоятельное движение капитальной стоимости, – движение, которое совершается частью в пределах общего товарного обращения, частью вне его, но которое всегда сохраняет свой самостоятельный характер. Во-первых, в силу того, что обе фазы движения, которые совершаются в сфере обращения, Д – Т и Т' – Д', имеют функционально определённый характер как фазы движения капитала; в Д – Т последнее, Т, по своей натуральной форме определено как рабочая сила и средства производства; в Т' – Д' реализуется капитальная стоимость + прибавочная стоимость. Во-вторых, П, процесс производства, охватывает производительное потребление. В-третьих, возвращение денег к их исходному пункту превращает движение Д…Д' в кругооборот, завершённый в себе самом.
Следовательно, всякий индивидуальный капитал в обеих своих половинах обращения Д – Т и Т' – Д' является, с одной стороны, агентом общего товарного обращения, в котором он функционирует или в который он вплетён то как деньги, то как товар, и таким образом сам является членом в общем ряду метаморфозов товарного мира. С другой стороны, в пределах общего обращения он описывает свой собственный самостоятельный кругооборот, в котором сфера производства составляет переходную стадию и в котором он возвращается к своему исходному пункту в той самой форме, в которой оставил его. В пределах своего собственного кругооборота, который включает и его реальный метаморфоз в процессе производствах капитал изменяет в то же время и величину своей стоимости. Он возвращается не просто как денежная стоимость, а как увеличенная, возросшая денежная стоимость.
Наконец, если мы посмотрим на Д – Т…П…Т' – Д' как на особую форму процесса кругооборота капитала наряду с другими формами, которые будут исследованы впоследствии, то она характеризуется следующим:
1) Она является кругооборотом денежного капитала, потому что промышленный капитал в своей денежной форме, как денежный капитал, образует исходный пункт всего процесса и пункт, к которому этот процесс возвращается. Сама формула выражает, что деньги не расходуются здесь как деньги, а лишь авансируются, и потому являются лишь денежной формой капитала, денежным капиталом. Эта формула, далее, выражает, что не потребительная стоимость, а меновая стоимость есть самоцель, определяющая движение. Именно потому, что денежная форма стоимости есть самостоятельная, осязательная форма проявления стоимости, именно поэтому форма обращения Д…Д', исходный и заключительный пункты которой суть действительные деньги, с наибольшей наглядностью выражает побудительный мотив капиталистического производства: делание денег. Для делания денег процесс производства является лишь неизбежным посредствующим звеном, необходимым злом. Поэтому все нации с капиталистическим способом производства периодически переживают спекулятивную лихорадку, во время которой они стремятся осуществлять делание денег без посредства процесса производства.
2) Стадия производства, функция П, образует в этом кругообороте перерыв между двумя фазами обращения Д – Т…Т' – Д', которое, в свою очередь, лишь опосредствует простое обращение Д – Т – Д'. Процесс производства в самой этой форме процесса кругооборота формально и определённо предстаёт тем, чем он и является при капиталистическом способе производства: простым средством для увеличения авансированной стоимости; следовательно, обогащение как таковое является здесь самоцелью производства.
3) Так как последовательный ряд фаз открывается фазой Д – Т, то вторым звеном обращения является Т' – Д'; следовательно, исходный пункт – Д, денежный капитал, которому ещё предстоит возрасти по стоимости; заключительный пункт – Д', уже возросший по стоимости денежный капитал Д + д, где Д наряду со своим отпрыском д фигурирует как реализованный капитал. Это отличает кругооборот Д от двух других кругооборотов, П и Т', и отличает в двояком отношении. С одной стороны, отличие состоит в денежной форме обоих крайних членов; деньги же суть самостоятельная осязательная форма существования стоимости, суть стоимость продукта в той её самостоятельной форме, в которой исчез всякий след потребительной стоимости товаров. С другой стороны, форма П…П не необходимо превращается в П…П' (П + п), а в форме Т'…Т' вообще не видно никакой разницы в стоимости двух крайних членов. – Следовательно, для формулы Д…Д', с одной стороны, характерно то, что капитальная стоимость составляет исходный пункт, а возросшая капитальная стоимость – заключительный пункт, так что авансирование капитальной стоимости является средством, возросшая капитальная стоимость – целью всей операции; с другой стороны, для неё характерно то, обстоятельство, что это отношение выражено в денежной форме, в самостоятельной форме стоимости, а потому денежный капитал получает выражение как деньги, порождающие деньги. Создание стоимостью прибавочной стоимости выражено не только как альфа и омега процесса, но выражено прямо в блестящей денежной форме.
4) Так как Д', реализованный денежный капитал, как результат Т' – Д', т. е. дополнительной и заключительной фазы Д – Т, находится абсолютно в той же форме, в которой он начал свой первый кругооборот, то, выйдя из него, он может снова начать такой же кругооборот, как увеличенный (накопленный) денежный капитал: Д' = Д + д; форма Д…Д', по меньшей мере, не выражает того, что при повторении кругооборота обращение Д отделяется от обращения Д. Рассматриваемый в своём однократном виде, формально, кругооборот денежного капитала выражает, следовательно, только процесс увеличения стоимости и процесс накопления. Потребление выражено в нём посредством
лишь как производительное потребление; только такое потребление и входит в этот кругооборот индивидуального капитала. Д – Р есть Р – Д или Т – Д со стороны рабочего; следовательно, это есть первая фаза того обращения, которое опосредствует его индивидуальное потребление: Р – Д – Т (жизненные средства). Вторая фаза, Д – Т, уже не входит в кругооборот индивидуального капитала; но этот кругооборот приводит к ней, предполагает её, потому что рабочий, для того чтобы постоянно находиться на рынке в качестве материала, пригодного для эксплуатации капиталистом, прежде всего должен жить, следовательно, должен поддерживать себя индивидуальным потреблением. Однако само это потребление лишь предполагается здесь как условие производительного потребления рабочей силы капиталом, следовательно, – лишь постольку, поскольку рабочий своим индивидуальным потреблением поддерживает и воспроизводит себя как рабочую силу. Что же касается Сп, собственно товаров, которые входят в кругооборот, то они составляют лишь пищу для производительного потребления. Акт Р – Д опосредствует индивидуальное потребление рабочего, превращение жизненных средств в его плоть и кровь. Конечно, для того чтобы капиталист функционировал как капиталист, он также должен быть налицо, следовательно, он также должен жить и потреблять. Но для этого он фактически должен потреблять лишь столько же, сколько потребляет рабочий – и поэтому большего не предполагает эта форма процесса обращения. Но даже и это формально не выражено здесь, потому что формула заканчивается Д', т. е. таким результатом, который немедленно может снова функционировать как увеличенный денежный капитал.
В Т' – Д' прямо содержится продажа Т'; но T' – Д', продажа для одной стороны, есть Д – Т, купля для другой; окончательно товар покупается лишь ради его потребительной стоимости, лишь для того, чтобы (оставляя в стороне перепродажу) войти в процесс потребления, – в индивидуальное или производительное потребление, в зависимости от природы покупаемого изделия. Но это потребление не входит в кругооборот того индивидуального капитала, продуктом которого является Т'; этот продукт выталкивается из кругооборота индивидуального капитала именно как товар, подлежащий продаже. Т' прямо предназначено для чужого потребления. Поэтому у истолкователей меркантилистской системы (в основе которой лежит формула Д – Т…П…Т' – Д') мы находим весьма пространные проповеди о том, что отдельный капиталист должен потреблять лишь столько же, сколько потребляет рабочий, и что данная капиталистическая нация должна предоставить потребление своих товаров и вообще процесс потребления другим, более глупым нациям, сама же, напротив, должна сделать своей жизненной задачей производительное потребление. Эти проповеди по своей форме и содержанию часто напоминают аналогичные аскетические увещания отцов церкви.
* * *
Итак, процесс кругооборота капитала есть единство обращения и производства, заключает в себе то и другое. Поскольку обе фазы: Д – Т, Т' – Д' суть акты обращения, постольку обращение капитала составляет часть общего товарного обращения. Но поскольку они представляют функционально определённые отделы, стадии в кругообороте капитала, – в кругообороте, относящемся не только к сфере обращения, но и к сфере производства, – постольку капитал совершает свой собственный кругооборот в сфере общего товарного обращения. На первой стадии общее товарное обращение служит ему для того, чтобы принять форму, в которой он может функционировать как производительный капитал; на второй стадии – для того, чтобы отрешиться от функции товара, в которой он не может возобновить свой кругооборот, и в то же время для того, чтобы перед ним открылась возможность отделить свой собственный кругооборот как капитала от обращения приросшей к нему прибавочной стоимости.
Поэтому кругооборот денежного капитала есть самая односторонняя, а потому и наиболее резко выраженная и самая характерная из форм, в которых проявляется кругооборот промышленного капитала; цель и движущий мотив последнего: увеличение стоимости, делание денег и накопление представлены здесь так (покупать, чтобы продать дороже), что они прямо бросаются в глаза. Вследствие того, что первой фазой является Д – Т, обнаруживается также, что составные части производительного капитала поступают с товарного рынка, равно как и вообще обнаруживается обусловленность капиталистического процесса производства обращением, торговлей. Кругооборот денежного капитала – это не только товарное производство: он сам осуществляется лишь при посредстве обращения, он предполагает последнее. Это ясно уже из того, что форма Д, принадлежащая обращению, является первой и чистой формой авансированной капитальной стоимости, чего нет в двух других формах кругооборота.
Кругооборот денежного капитала лишь постольку всегда остаётся общим выражением промышленного капитала, поскольку он всегда заключает в себе возрастание авансированной стоимости. В кругообороте П…П денежное выражение капитала выступает лишь как цена элементов производства, следовательно, – лишь как стоимость, выраженная в счётных деньгах, и в этой именно форме она фиксируется в бухгалтерии.
Д…Д' становится особой формой кругооборота промышленного капитала постольку, поскольку вновь выступающий капитал авансируется сначала в виде денег и потом в той же форме извлекается обратно, безразлично, совершается ли это при переходе из одной отрасли производства в другую или же при выходе промышленного капитала из определённого предприятия. Эта форма включает в себя также и функционирование в качестве капитала той прибавочной стоимости, которая авансируется сначала в денежной форме; с наибольшей ясностью это выступает в том случае, когда прибавочная стоимость функционирует не в том предприятии, из которого она происходит. Д…Д' может быть первым кругооборотом известного капитала; оно может быть последним кругооборотом; оно может считаться формой всего общественного капитала; это – форма капитала, который вкладывается впервые, причём безразлично, является ли он вновь накопленным в денежной форме капиталом или же старым капиталом, целиком превращённым в деньги с той целью, чтобы перенести его из одной отрасли производства в другую.
Денежный капитал, как форма капитала, постоянно присущая всем кругооборотам, совершает этот кругооборот [Д…Д'] как раз из-за той части капитала, которая производит прибавочную стоимость, из-за переменного капитала. Нормальная форма авансирования заработной платы есть уплата деньгами; этот процесс должен постоянно возобновляться через сравнительно короткие сроки, потому что рабочий живёт от платежа к платежу, перебиваясь со дня на день. Поэтому капиталист постоянно должен противостоять рабочему как денежный капиталист, а его капитал – как денежный капитал. Здесь, в противоположность купле средств производства и продаже произведённых товаров, не может происходить прямого или косвенного погашения платежей (так что бо́льшая часть денежного капитала фактически фигурирует лишь в форме товаров, деньги же фигурируют лишь в форме счётных денег, а наличные деньги, в конце концов, требуются только для уравнения балансов). С другой стороны, часть той прибавочной стоимости, которую создаёт переменный капитал, капиталист затрачивает на своё личное потребление, которое относится к сфере розничной торговли; он расходует эту часть, в конечном счёте, наличными, в денежной форме прибавочной стоимости. Велика или мала эта часть прибавочной стоимости – это нисколько не меняет дела. Переменный капитал постоянно всё снова и снова появляется как денежный капитал, затрачиваемый на заработную плату (Д – Р), а д– как прибавочная стоимость, расходуемая на покрытие личных потребностей капиталиста. Следовательно, Д как стоимость авансированного переменного капитала и д как её прирост, – то и другое необходимо удерживается в денежной форме, в которой они подлежат расходованию.
Формула Д – Т…П…Т' – Д', имеющая своим результатом Д' = Д + д, обманчива по своей внешности, носит иллюзорный характер, вытекающий из того, что авансированная и возросшая стоимости существуют здесь в своей эквивалентной форме, в деньгах. Эта формула ставит ударение не на возрастание стоимости, а на денежную форму этого процесса, на то обстоятельство, что из обращения, в конце концов, извлекается больше стоимости в денежной форме, чем было первоначально авансировано, – следовательно, на увеличение массы золота и серебра, принадлежащей капиталисту. Так называемая монетарная система есть просто выражение иррациональной формы Д – Т – Д', движения, протекающего исключительно в сфере обращения; поэтому оба акта: 1) Д – Т, 2) Т – Д', могут найти в этой системе лишь то объяснение, что Т во втором акте продаётся выше своей стоимости и, следовательно, извлекает из обращения больше денег, чем было брошено в обращение при его купле. Напротив, Д – Т…П…Т' – Д', будучи фиксировано в качестве исключительной формы, лежит в основе более развитой меркантилистской системы, необходимым элементом которой является уже не только товарное обращение, но и товарное производство.
Иллюзорный характер формулы Д – Т…П…Т' – Д' и соответствующее ей иллюзорное истолкование сохраняются до тех пор, пока эта форма фиксируется как однократная, а не как текучая, постоянно возобновляющаяся; следовательно, – до тех пор, пока она считается не одной из форм кругооборота, а его исключительной формой. Но она уже сама по себе указывает на другие формы.
Во-первых, весь этот кругооборот предполагает капиталистический характер самого процесса производства и, следовательно, в качестве базиса предполагает этот процесс производства вместе со специфическим, обусловленным им состоянием общества.
но Д – Р предполагает существование наёмного рабочего, а потому и средства производства в качестве части производительного капитала; предполагает, следовательно, процесс труда и процесс увеличения стоимости, предполагает процесс производства уже как функцию капитала.
Во-вторых, если акт Д…Д' повторяется, то возврат к денежной форме оказывается столь же мимолётным, как денежная форма на первой стадии. Д – Т исчезает, чтобы дать место для П. Постоянно повторяющееся авансирование денег, равно как и постоянное возвращение авансированной стоимости в виде денег сами являются лишь мимолётными моментами в кругообороте.
В-третьих,
Уже при первом повторении кругооборота выступает кругооборот П…Т' – Д'. Д – Т…П, прежде чем закончится второй кругооборот Д; таким образом все дальнейшие кругообороты Д можно рассматривать под углом зрения формы П…Т' – Д – Т…П; тогда Д – Т, как первая фаза первого кругооборота, представляет собой лишь мимолётную подготовку постоянно повторяющегося кругооборота производительного капитала, что и имеет место в действительности, когда промышленный капитал впервые вкладывается в предприятие в форме денежного капитала.
С другой стороны, прежде чем закончится второй кругооборот П, успевает совершиться первый кругооборот Т' – Д'. Д – Т…П…Т' (сокращённо Т' – Т'), кругооборот товарного капитала. Таким образом уже первая форма содержит в себе обе остальные, и, следовательно, денежная форма исчезает, поскольку она является не просто выражением стоимости, а выражением её в эквивалентной форме, в деньгах.
Наконец, если мы возьмём вновь выступающий отдельный капитал, который впервые совершает кругооборот Д – Т…П…Т' – Д', то Д – Т является подготовительной фазой, предшественницей первого процесса производства, проделываемого этим отдельным капиталом. Следовательно, эта фаза Д – Т не предполагается, а, напротив, выдвигается или обусловливается процессом производства. Но это относится лишь к данному отдельному капиталу. Поскольку предполагается капиталистический способ производства, постольку, следовательно, при состоянии общества, определяемом капиталистическим производством, всеобщей формой кругооборота промышленного капитала является кругооборот денежного капитала. Поэтому капиталистический процесс производства предполагается как prius {39}, – если не при первом кругообороте денежного капитала, в форме которого вновь вкладывается промышленный капитал, то за пределами этого кругооборота. Постоянное существование капиталистического процесса производства предполагает постоянное возобновление кругооборота П…П. На первой стадии
уже прямо выступает сама эта предпосылка, так как этот акт, с одной стороны, предполагает существование класса наёмных рабочих и так как, с другой стороны, то, что для покупателя средств производства является первой стадией Д – Т, для их продавца есть Т' – Д'; следовательно, в Т' предполагается товарный капитал, а потому и сам товар предполагается как результат капиталистического производства и тем самым предполагается функционирование производительного капитала.
А. Чупров. «Железнодорожное хозяйство». Москва, 1875, стр. 69–70.
Вернуться
ГЛАВА ВТОРАЯ
КРУГООБОРОТ ПРОИЗВОДИТЕЛЬНОГО КАПИТАЛА
Общая формула кругооборота производительного капитала такова: П…Т' – Д' – Т…П. Этот кругооборот означает периодически возобновляемое функционирование производительного капитала, следовательно, означает воспроизводство, или процесс производства капитала как процесс его воспроизводства в связи с увеличением стоимости; означает не только производство, но и периодическое воспроизводство прибавочной стоимости; он означает функционирование промышленного капитала, находящегося в своей производительной форме не как однократное, а как периодически повторяющееся функционирование, так что возобновление определяется уже самим исходным пунктом. Часть Т' (в известных случаях, в известных отраслях приложения промышленного капитала) может в виде средств производства снова непосредственно войти в тот самый процесс труда, из которого она вышла как товар; вследствие этого становится излишним только превращение её стоимости в действительные деньги или в денежные знаки, или она получает самостоятельное выражение лишь в виде счётных денег. Эта часть стоимости не входит в обращение. Таким образом в процесс производства входят стоимости, которые не входят в процесс обращения. То же самое относится и к той части Т', которую капиталист потребляет in natura {40} как часть прибавочного продукта. Однако эта часть не имеет существенного значения для капиталистического производства; её принимают во внимание самое большее в земледелии.
В этой форме сразу бросаются в глаза обстоятельства двоякого рода.
Во-первых. В то время как в первой форме Д…Д' процесс производства, функция П, прерывает обращение денежного капитала и является лишь посредником между двумя его фазами Д – Т и Т' – Д', здесь весь процесс обращения промышленного капитала, всё его движение в пределах фазы обращения, образует лишь перерыв и оказывается лишь посредствующим звеном между производительным капиталом, который в качестве первого крайнего члена открывает кругооборот, и производительным капиталом, который в качестве последнего члена замыкает его в той же самой форме, т. е. в форме, в которой он снова начинает движение. Собственно обращение является лишь опосредствованием воспроизводства, периодически возобновляемого и непрерывного вследствие этого возобновления.
Во-вторых. Всё обращение представляется в форме, прямо противоположной той, которой оно обладает в кругообороте денежного капитала. Там форма, если оставить в стороне величину стоимости, была такова: Д – Т – Д (Д – Т. Т – Д); здесь, если опять-таки оставить в стороне величину стоимости, она такова: Т – Д – Т (Т – Д. Д – Т), т. е. это форма простого товарного обращения.
I. ПРОСТОЕ ВОСПРОИЗВОДСТВО
Итак, рассмотрим прежде всего процесс Т' – Д' – Т, протекающий в сфере обращения между двумя крайними членами П…П.
Исходным пунктом этого обращения служит товарный капитал: Т'=Т+т=П+т. Функция товарного капитала Т' – Д' (реализация содержащейся в нём капитальной стоимости = П, существующей теперь как составная часть Т товара Т', а также реализация содержащейся в нём прибавочной стоимости, которая существует теперь как составная часть той же товарной массы, обладающая стоимостью т) была рассмотрена в первой форме кругооборота. Но там она составляла вторую фазу прерванного обращения и заключительную фазу всего кругооборота. Здесь она составляет вторую фазу кругооборота, но первую фазу обращения. Первый кругооборот оканчивается Д', и так как Д', подобно первоначальному Д, может снова начать в качестве денежного капитала второй кругооборот, то сначала не было необходимости рассматривать, пойдут ли дальше Д и д (прибавочная стоимость), содержащиеся в Д', вместе по одному пути или же они пойдут различными путями. Это было бы необходимо рассмотреть лишь в том случае, если бы мы проследили первый кругооборот дальше, в его возобновлении. Этот вопрос, однако, должен быть решён в процессе кругооборота производительного капитала, так как от решения зависит определение уже его первого кругооборота и так как Т' – Д' является в нём первой фазой обращения, которая должна быть дополнена фазой Д – Т. От этого решения зависит, представляет ли рассматриваемая нами формула простое воспроизводство или же воспроизводство в расширенном масштабе. Следовательно, характер кругооборота изменяется сообразно с тем или иным решением.
Итак, обратимся прежде всего к простому воспроизводству производительного капитала, причём, как и в первой главе, предположим, что обстоятельства остаются неизменными, а купля и продажа товаров совершаются по их стоимости. При таком предположении вся прибавочная стоимость входит в личное потребление капиталиста. После того как произошло превращение товарного капитала Т' в деньги, часть денежной суммы, представляющая капитальную стоимость, продолжает циркулировать в кругообороте промышленного капитала; другая часть, превращённая в деньги прибавочная стоимость, входит в общее товарное обращение, представляет собой исходящее от капиталиста денежное обращение, которое, однако, совершается вне сферы обращения его индивидуального капитала.
В нашем примере у нас был товарный капитал Т' в 10 000 фунтов пряжи стоимостью в 500 ф. ст.; из них 422 ф. ст. суть стоимость производительного капитала; как денежная форма 8 440 фунтов пряжи они продолжают обращение капитала, начатое Т, между тем как прибавочная стоимость в 78 ф. ст., денежная форма 1 560 фунтов пряжи, прибавочная часть товарного продукта, выходит из обращения этого капитала и проходит отдельный путь в сфере общего товарного обращения.
Акт д – т представляет собой ряд покупок на деньги, которые капиталист расходует или на собственно товары, или же на услуги для своей драгоценной персоны, соответственно, – для своей семьи. Эти покупки раздроблены, совершаются в различные сроки. Следовательно, деньги существуют временно в форме денежного запаса, предназначенного на текущее потребление, или в форме сокровища, – потому что деньги, обращение которых прервано, находятся именно в форме сокровища. Их функция как средства обращения, а таковым они остаются и в своей преходящей форме сокровища, не входит в обращение капитала в его денежной форме Д. Деньги в данном случае не авансируются, а расходуются.
Мы предполагали, что весь авансированный капитал всегда целиком переходит из одной его фазы в другую; также и здесь мы предполагаем, что товарный продукт процесса П несёт в себе всю стоимость производительного капитала П = 422 ф. ст. плюс прибавочная стоимость = 78 ф. ст., созданная во время процесса производства. В нашем примере, где мы имеем дело с делимым товарным продуктом, прибавочная стоимость существует в форме 1 560 фунтов пряжи, – совершенно так же, как при расчёте на 1 фунт пряжи она существует в форме 2,496 унции пряжи. Напротив, если бы товарный продукт был, например, машиной стоимостью в 500 ф. ст. и того же строения по стоимости, то хотя одна часть стоимости этой машины была бы = 78 ф. ст. прибавочной стоимости, однако, эти 78 ф. ст. существовали бы только в машине как в целом; машину нельзя разделить на капитальную стоимость и прибавочную стоимость, не разбивая её на куски, не уничтожая, таким образом, вместе с её потребительной стоимостью и её стоимость. Следовательно, в этом случае обе составные части стоимости могут быть представлены в составных частях товарного тела лишь идеально, но не могут быть представлены в виде самостоятельных элементов товара Т', – подобно тому как каждый фунт пряжи представляет собой отделимый, самостоятельный элемент 10 000 фунтов этого товара. В первом случае, прежде чем д начнёт своё особое обращение, должен быть продан целиком весь товар, весь товарный капитал, т. е. машина. Напротив, если капиталист продаёт 8 440 фунтов пряжи, то продажа остальных 1 560 фунтов представляет собой совершенно обособленное обращение прибавочной стоимости в форме т (1 560 фунтов пряжи) – д (78 ф. ст.) – т (предметы потребления). Но элементы стоимости каждой отдельной доли 10 000 фунтов продукта, т. е. пряжи, могут быть точно так же представлены частями продукта, как элементы стоимости всего продукта. Как эти 10 000 фунтов пряжи можно разделить на стоимость постоянного капитала (c) – 7 440 фунтов пряжи стоимостью в 372 ф. ст., на стоимость переменного капитала (v) – 1 000 фунтов пряжи в 50 ф. ст., и на прибавочную стоимость (т) – 1 560 фунтов пряжи в 78 ф. ст., точно так же и каждый фунт пряжи можно разделить на c = 11,904 унции пряжи стоимостью в 8,928 пенса, v = 1,600 унции пряжи стоимостью в 1,200 пенса, т = 2,496 унции пряжи стоимостью в 1,872 пенса. Капиталист мог бы также, последовательно продавая 10 000 фунтов по частям, постепенно потреблять содержащиеся в этих частях элементы прибавочной стоимости; причём он с такой же постепенностью реализовал бы сумму c+v. Но, в конце концов, и эта операция предполагает, что проданы все 10 000 фунтов и что, следовательно, продажей 8 440 фунтов возмещается стоимость c и v («Капитал», книга I, глава VII, 2).
Как бы то ни было, но посредством акта Т' – Д' как капитальная стоимость, так и прибавочная стоимость, заключающиеся в Т', приобретают отделимое друг от друга существование, существование различных денежных сумм; в обоих случаях как Д, так и д есть действительно превращённая форма той стоимости, которая первоначально, в Т', имела собственное, лишь идеальное выражение только как цена товара.
Обращение т – д – т представляет собой простое товарное обращение; первая его фаза т – д входит в обращение товарного капитала Т' – Д', следовательно, – в кругооборот капитала; напротив, его дополнительная фаза д – т лежит вне этого кругооборота, совершается как обособленный от него акт общего товарного обращения. После превращения Т' в Д' обращение Т и т, капитальной стоимости и прибавочной стоимости, разделяется. Отсюда вытекает следующее:
Во-первых. После того как посредством акта Т' – Д' = Т'—(Д+д) товарный капитал реализован, становится возможным разделить движение капитальной стоимости и прибавочной стоимости, которое в Т' – Д' оставалось ещё общим и осуществлялось одной и той же товарной массой; теперь та и другая стоимости приобретают самостоятельность в форме отдельных денежных сумм.
Во-вторых. Если это разделение совершается, причём д расходуется в качестве дохода капиталиста, а Д, как функциональная форма капитальной стоимости, продолжает свой путь, определяемый кругооборотом, то первый акт Т' – Д' в связи с последующими актами Д – Т и д – т может быть представлен в виде двух различных обращений: Т – Д – Т и т – д – т; оба эти ряда по своей общей форме относятся к обычному товарному обращению.
Впрочем, на практике, когда речь идёт о целостных, неделимых товарных телах, составные части стоимости обособляются идеально. Например, на строительных предприятиях в Лондоне, которые в большинстве своём ведутся в кредит, строительный предприниматель получает ссуды по мере того, как постройка дома подвигается от стадии к стадии. Ни одна из этих стадий не есть дом, а лишь реально существующая составная часть будущего дома, находящегося в процессе постройки; следовательно, несмотря на свою реальность, это – лишь идеальная дробь целого дома, и всё же достаточно реальная для того, чтобы служить гарантией для дополнительной ссуды. (См. об этом ниже, глава XII {41}.)
В-третьих. Если движение капитальной стоимости и прибавочной стоимости, бывшее в Т и Д ещё общим, разделяется лишь отчасти (так что часть прибавочной стоимости расходуется не в качестве дохода) или совсем не разделяется, то в самой капитальной стоимости совершается изменение ещё во время её кругооборота, до его завершения. В нашем примере стоимость производительного капитала была равна 422 ф. ст. Следовательно, если он продолжит движение Д – Т уже в виде, например, 480 ф. ст. или 500 ф. ст., то последние стадии кругооборота он совершает как стоимость на 58 ф. ст. или 78 ф. ст. большая, чем его первоначальная стоимость. Это может быть связано с одновременным изменением строения капитала по стоимости. —
Т' – Д', вторая стадия обращения и заключительная стадия кругооборота I (Д…Д'), в нашем кругообороте является его второй стадией и первой стадией товарного обращения. Следовательно, поскольку дело касается обращения, Т' – Д' должно быть дополнено посредством Д' – Т'. Но акт Т' – Д' не только следует уже после процесса увеличения стоимости (в данном случае после функции П, первой стадии), но и является его результатом; товарный продукт Т' уже реализован посредством этого акта. Следовательно, процесс увеличения стоимости капитала, равно как и реализация того товарного продукта, в котором выступает возросшая капитальная стоимость, заканчивается актом Т' – Д'.
Итак, мы предположили простое воспроизводство, т. е. предположили, что д – т совершенно отделяется от Д – Т. Оба обращения, как т – д – т, так и Т – Д – Т, по своей общей форме относятся к товарному обращению (и потому не обнаруживают никакой разности в стоимости между двумя крайними членами); поэтому легко представлять капиталистический процесс производства, как это делает вульгарная политическая экономия, в виде простого производства товаров, потребительных стоимостей, предназначенных для потребления того или иного рода и производимых капиталистом исключительно с той целью, чтобы заменить их товарами иной потребительной стоимости или, как ложно утверждает вульгарная политическая экономия, обменять на эти товары.
Т' с самого начала выступает как товарный капитал, и цель всего процесса, обогащение (увеличение стоимости), не только не исключает личного потребления капиталиста, которое возрастает вместе с величиной прибавочной стоимости (а следовательно, и капитала), но и прямо предполагает его.
При обращении дохода капиталиста произведённый товар т (или соответствующая ему идеальная доля товарного продукта Т') в действительности служит лишь для того, чтобы превратить этот доход сначала в деньги, а потом из денег в ряд других товаров, служащих личному потреблению. Но при этом не следует упускать из виду одно небольшое обстоятельство: т есть товарная стоимость, ничего не стоившая капиталисту, есть воплощение прибавочного труда, а потому оно выступает на сцену первоначально как составная часть товарного капитала Т'. Следовательно, уже самим своим существованием это т привязано к кругообороту совершающей свой процесс капитальной стоимости; если этот кругооборот приостановится или вообще произойдёт какое-либо нарушение его, то сокращается или даже совсем прекращается не только потребление т, но одновременно и сбыт ряда товаров; которые составляют замещение т. То же самое происходит в том случае, если акт Т' – Д' не удаётся вовсе или если удаётся продать лишь некоторую часть Т'.
Мы видели, что т – д – т, как обращение дохода капиталиста, входит в обращение капитала лишь до тех пор, пока т является частью стоимости Т', капитала в его функциональной форме товарного капитала; но, сделавшись самостоятельным посредством д – т, обращение дохода в его полной форме т – д – т не входит в движение капитала, авансированного капиталистом, хотя и исходит из него. Обращение дохода связано с обращением авансированного капитала постольку, поскольку существование капитала предполагает существование капиталиста, а последнее обусловлено его потреблением прибавочной стоимости.
Т', например пряжа, в общем обращении функционирует лишь как товар; но, составляя момент в обращении капитала, Т' функционирует как товарный капитал, как форма, которую капитальная стоимость попеременно принимает и сбрасывает. После продажи пряжи купцу она выходит из процесса кругооборота того капитала, продуктом которого она является, но, тем не менее, всё ещё остаётся как товар в сфере общего обращения. Обращение этой же самой товарной массы продолжается, хотя оно перестало составлять момент в самостоятельном кругообороте капитала фабриканта-прядильщика. Поэтому действительно заключительный метаморфоз товарной массы, брошенной капиталистом в обращение, акт Т – Д, окончательный выход её в сферу потребления, может быть совершенно отделён в пространстве и времени от того метаморфоза, в котором эта товарная масса функционирует как товарный капитал данного капиталиста. Тот самый метаморфоз, который уже совершился в процессе обращения данного капитала, остаётся ещё совершить в сфере общего обращения.
Дело нисколько не меняется, если пряжа вновь входит в кругооборот какого-либо другого промышленного капитала. Общее обращение охватывает как взаимно переплетающиеся кругообороты различных самостоятельных частей общественного капитала, т. е. как совокупность кругооборотов отдельных капиталов, так и обращение стоимостей, брошенных на рынок не в качестве капитала, т. е. стоимостей, входящих в сферу индивидуального потребления.
Отношение между кругооборотом капитала, поскольку он составляет часть общего обращения, и кругооборотом, поскольку он составляет звенья самостоятельного кругооборота, выступает перед нами, если мы, далее, рассмотрим обращение Д' = Д+д. Д, как денежный капитал, продолжает кругооборот капитала; д, как расходование дохода (д – т), входит в общее обращение, но выпадает из кругооборота данного капитала. В кругооборот этого капитала входит только та часть д, которая функционирует как добавочный денежный капитал. В т – д – т деньги функционируют лишь как монета; цель этого обращения – индивидуальное потребление капиталиста. Типично для кретинизма вульгарной политической экономии то, что это обращение, не входящее в кругооборот капитала, – обращение той части вновь созданной стоимости, которая потребляется как доход, – она выдаёт за кругооборот, характерный для капитала.
Во второй фазе, в Д – Т, перед нами опять оказывается капитальная стоимость Д = П (равная стоимости того производительного капитала, которым здесь открывается кругооборот промышленного капитала), освобождённая от прибавочной стоимости, следовательно, – с той же величиной стоимости, как и на первой стадии кругооборота денежного капитала Д – Т. Несмотря на различие места, функция того денежного капитала, в который теперь превратился товарный капитал, та же самая: превращение в Сп и Р, в средства производства и рабочую силу.
Итак, в функции товарного капитала Т' – Д' капитальная стоимость одновременно с т – д прошла фазу Т – Д, а вслед за тем вступает в дополнительную фазу
; следовательно, её обращение в целом есть
Во-первых. Денежный капитал Д выступал в форме I (кругооборот Д…Д') как в той первоначальной форме, в которой авансируется капитальная стоимость; здесь он с самого начала выступает как часть той денежной суммы, в которую превратился товарный капитал в первой фазе обращения Т' – Д', следовательно, с самого начала выступает как превращение П, производительного капитала, в денежную форму, осуществляемое посредством продажи товарного продукта. Денежный капитал с самого начала существует здесь не как первоначальная и не как заключительная форма капитальной стоимости, потому что фаза Д – Т, завершающая фазу Т – Д, может быть совершена лишь посредством вторичного сбрасывания денежной формы. Поэтому та часть Д – Т, которая представляет собой в то же время Д – Р, является уже не просто авансированием денег, выражающимся в купле рабочей силы, а таким авансированием, при котором рабочей силе авансируются в денежной форме те самые 1 000 фунтов пряжи стоимостью в 50 ф. ст., которые составляют часть товарной стоимости, созданной рабочей силой. Деньги, авансируемые здесь рабочему, суть лишь превращённая эквивалентная форма некоторой части стоимости товара, произведённого самим рабочим. И уже поэтому акт Д – Т, поскольку он является актом Д – Р, отнюдь не представляет собой только замещение товара в денежной форме товаром в потребительной форме, но заключает в себе и другие элементы, независимые от общего товарного обращения как такового.
Д' выступает в качестве превращённой формы Т', которое, в свою очередь, есть продукт прошлого функционирования П, прошлого процесса производства; поэтому вся денежная сумма Д' выступает как денежное выражение прошлого труда. В нашем примере; 10 000 фунтов пряжи = 500 ф. ст. – продукт процесса прядения; из них 7 440 фунтов пряжи = авансированному постоянному капиталу c = 372 ф. ст.; 1 000 фунтов пряжи = авансированному переменному капиталу v = 50 ф. ст., и 1 560 фунтов пряжи = прибавочной стоимости т = 78 ф. ст. Если из Д' вновь авансируется, при прочих неизменных условиях, только первоначальный капитал = 422 ф. ст., то в ближайшую неделю рабочему в акте Д – Р будет авансирована только часть 10 000 фунтов пряжи (а именно денежная стоимость 1 000 фунтов пряжи), произведённых за эту неделю. Как результат акта Т – Д деньги всегда суть выражение прошлого труда. Поскольку на товарном рынке тотчас же совершается дополнительный акт Д – Т, следовательно, поскольку д обменивается на уже существующие, находящиеся на рынке товары, то это опять-таки есть превращение прошлого труда из одной формы (денег) в другую форму (товара). Но во времени акт Д – Т отделён от акта Т – Д. В исключительных случаях они могут быть одновременными, если, например, капиталист, который совершает акт Д – Т, и капиталист, для которого этот акт является актом Т – Д, одновременно передают друг другу свои товары, а Д покрывает потом только балансовую разницу. Разница во времени между выполнением Т – Д и Д – Т может быть более или менее значительной. Хотя Д, как результат акта Т – Д, представляет прошлый труд, тем не менее Д для акта Д – Т может представлять превращённую форму таких товаров, которых ещё вовсе нет на рынке и которые появятся на нём только в будущем, так как акт Д – Т обычно совершается лишь после того, как Т уже будет вновь произведено. Точно так же Д может представлять такие товары, которые производятся одновременно с тем Т, денежным выражением которого Д является. Например, в обмене Д – Т (покупка средств производства) уголь может быть куплен раньше, чем его подняли из шахты. Поскольку д фигурирует как накопленные деньги, не расходуется как доход, постольку оно может представлять хлопок, который будет произведён лишь в следующем году. То же самое при расходовании дохода капиталиста, при д – т. Точно так же заработная плата Р = 50 ф. ст.; эти деньги суть не только денежная форма прошлого труда рабочего, но в то же время и ассигновка на одновременный или будущий труд, который только что реализуется или же ещё должен реализоваться в будущем. Рабочий может купить на них сюртук, который будет сшит лишь на следующей неделе. Так именно обстоит дело с очень большим числом необходимых жизненных средств, которые, чтобы не подвергнуться порче, должны быть потреблены почти непосредственно в момент их производства. Таким образом в тех деньгах, в которых рабочему выплачивается его заработная плата, он получает превращённую форму будущего труда своего собственного или труда других рабочих. Давая рабочему часть его прошлого труда, капиталист даёт ему ассигновку на получение его же собственного будущего труда. Его собственный одновременный или будущий труд образует тот ещё не имеющийся в наличности запас, из которого ему платят за его прошлый труд. Здесь совершенно исчезает представление об образовании запаса {42}.
Во-вторых. В обращении
одни и те же деньги перемещаются дважды: капиталист получает их сначала как продавец и затем отдаёт их как покупатель; превращение товара в денежную форму служит только для того, чтобы из денежной формы опять превратить его в товарную форму; поэтому денежная форма капитала, его существование в виде денежного капитала, является в этом движении лишь мимолётным моментом; иначе говоря, пока продолжается движение, денежный капитал, если он служит покупательным средством, является лишь средством обращения; собственно средством платежа он является в том случае, если капиталисты взаимно покупают друг у друга, и потому приходится погашать только разницу платёжного баланса.
В-третьих. Функционирование денежного капитала, независимо от того, служит ли он простым средством обращения или же средством платежа, лишь опосредствует замещение Т элементами Р и Сп, т. е. замещение пряжи, товарного продукта, – который представляет собой результат функционирования (за вычетом прибавочной стоимости, подлежащей использованию в качестве дохода) производительного капитала, – элементами производства этого продукта; следовательно, оно опосредствует обратное превращение капитальной стоимости из её товарной формы в элементы образования этого товара, т. е. в конце концов оно лишь опосредствует обратное превращение товарного капитала в производительный капитал.
Чтобы кругооборот совершался нормально, Т' должно быть продано по своей стоимости и продано без остатка. Далее, Т – Д – Т заключает в себе не только замещение одного товара другим, но и замещение при одних и тех же отношениях стоимости. Мы предположили, что здесь это именно так и совершается. Но в действительности стоимость средств производства изменяется; капиталистическому производству как раз свойственно непрерывное изменение отношений стоимости уже вследствие тех постоянных изменений в производительности труда, которые характерны для капиталистического производства. Здесь мы просто указываем на это изменение в стоимости факторов производства; рассмотрено оно будет позже {43}. Превращение элементов производства в товарный продукт, П в Т', совершается в сфере производства; обратное превращение Т' в П – в сфере обращения. Это обратное превращение совершается посредством простого метаморфоза товаров. Но по своему содержанию это обратное превращение составляет момент процесса воспроизводства, рассматриваемого в целом. Т – Д – Т как форма обращения капитала заключает в себе функционально определённый обмен веществ. Далее, обращение Т – Д – Т обусловливает то, что Т равно элементам производства известного количества товаров Т' и что взаимное отношение стоимостей этих элементов остаётся первоначальным. Следовательно, здесь предполагается не только, что товары покупаются по их стоимости, но также и то, что во время кругооборота они не претерпевают никакого изменения по стоимости; в противном случае процесс не может протекать нормально.
Д в Д…Д' есть первоначальная форма капитальной стоимости; последняя сбрасывает эту форму лишь затем, чтобы снова принять её. Д в П…Т' – Д' – Т…П есть форма, которая принимается только в процессе кругооборота и потом в его же пределах снова сбрасывается. Денежная форма является здесь лишь мимолётной самостоятельной формой стоимости капитала. Капитал, находясь в форме Т', так же лихорадочно стремится принять денежную форму, как, находясь в форме Д', превратившись в неё словно в куколку, стремится сбросить её, чтобы снова превратиться в форму производительного капитала. Пока этот капитал остаётся в денежной форме, он не функционирует как капитал и потому не возрастает по стоимости; капитал лежит праздно. Д действует здесь как средство обращения, но как средство обращения капитала {44}. Кажущаяся самостоятельность, которой обладает денежная форма капитальной стоимости в первой форме её кругооборота (в форме кругооборота денежного капитала), исчезает в этой второй форме, которая, таким образом, является критикой формы I и сводит её к положению всего лишь особенной формы. Если второй метаморфоз Д – Т наталкивается на препятствия (если, например, на рынке нет средств производства), то кругооборот, течение процесса воспроизводства, прерывается точно так же, как и в том случае, когда капитал залёживается в форме товарного капитала. Но есть и различие: капитал в денежной форме может оставаться дольше, чем в преходящей товарной форме. Не функционируя в качестве денежного капитала, он не перестаёт быть деньгами; если же он слишком долго задерживается в своей функции товарного капитала, то он перестаёт быть товаром и вообще потребительной стоимостью. Во-вторых, находясь в денежной форме, он обладает способностью вместо своей первоначальной формы производительного капитала принять другую форму, между тем как, пребывая в форме Т', он вообще не в состоянии двинуться с места.
Обращение Т' – Д' – Т только для Т', соответственно его форме, включает акты обращения, которые являются моментами его воспроизводства; но для осуществления Т' – Д' – Т необходимо действительное воспроизводство того Т, в которое превращается Т'; это же воспроизводство, в свою очередь, обусловлено процессами воспроизводства, происходящими вне процесса воспроизводства индивидуального капитала, представленного в данном Т'. —
В форме I акт
подготовляет только первое превращение денежного капитала в производительный капитал; в форме II этот акт подготовляет обратное превращение из товарного капитала в производительный капитал; следовательно, поскольку вложение промышленного капитала остаётся прежним, этот акт подготавливает обратное превращение товарного капитала в те самые элементы производства, из которых он произошёл. Поэтому здесь, как и в форме I, этот акт выступает как подготовительная фаза процесса производства, но выступает уже как возвращение к нему, как его возобновление, следовательно, – как предшественник процесса воспроизводства, а потому и повторения процесса увеличения стоимости.
Здесь необходимо ещё раз отметить, что акт Д – Р есть не простой товарообмен, а купля товара Р, который должен служить производству прибавочной стоимости, точно так же Д – Сп является лишь процедурой; вещественно необходимой для достижения этой цели.
Д после совершения
превращается в производительный капитал, в П, и кругооборот начинается снова.
Следовательно, форма П…Т' – Д' – Т…П в её развёрнутом виде такова:
Превращение денежного капитала в производительный капитал есть купля товаров с целью производства товаров. Поскольку потребление представляет собой лишь это производительное потребление, оно входит в кругооборот самого капитала; условие этого потребления заключается в том, что посредством товаров, потребляемых производительно, создаётся прибавочная стоимость. А это есть нечто весьма отличное от того производства и даже от того товарного производства, цель которого – обеспечить существование производителя; замена товара товаром, обусловливаемая производством прибавочной стоимости, есть, таким образом, нечто совершенно иное, чем обмен продуктов сам по себе, лишь опосредствованный деньгами. Но так изображают дело экономисты с целью доказать, что перепроизводство невозможно.
Кроме производительного потребления Д, превращающегося в Р и Сп, кругооборот капитала содержит первый член акта Д – Р, который для рабочего есть Р – Д = Т – Д. Из обращения Р – Д – Т, которое исходит от рабочего и заключает в себе его потребление, в кругооборот капитала входит только первый член как результат Д – Р. Второй акт, именно Д – Т, не входит в обращение индивидуального капитала, хотя и исходит из него. Но для класса капиталистов необходимо постоянное существование рабочего класса, а потому необходимо и потребление рабочего, опосредствованное актом Д – Т.
В отношении продолжения кругооборота капитальной стоимости, а также в отношении потребления прибавочной стоимости капиталистом акт Т' – Д' предполагает только одно: что Т' превращено в деньги, продано. Его покупают, конечно, лишь потому, что это изделие представляет собой потребительную стоимость и, следовательно, пригодно для потребления того или иного рода, для производительного или индивидуального. Но если Т' продолжает обращение, например в руках купца, купившего пряжу, то это вначале не имеет никакого отношения к продолжению кругооборота того индивидуального капитала, который произвёл пряжу и продал её купцу. Весь процесс продолжается по-прежнему, а вместе с тем продолжается и обусловленное им индивидуальное потребление капиталиста и рабочего. Это обстоятельство важно при рассмотрении кризисов.
А именно, когда Т' продано, превращено в деньги, оно может совершить обратное превращение в реальные факторы процесса труда, а следовательно, и процесса воспроизводства. Куплено ли Т' окончательным потребителем или купцом, который намерен перепродать его, это непосредственно в деле ничего не меняет. Размеры товарных масс, создаваемых капиталистическим производством, определяются масштабом этого производства и потребностью в постоянном его расширении, а отнюдь не предопределённым кругом спроса и предложения, не кругом потребностей, подлежащих удовлетворению. При массовом производстве непосредственным покупателем может быть, кроме других промышленных капиталистов, только оптовый купец. В известных границах процесс воспроизводства может совершаться в прежнем или даже в расширенном масштабе, хотя выброшенные из него товары в действительности не перешли в сферу индивидуального или производительного потребления, Потребление товаров не входит в тот кругооборот капитала, из которого они вышли. Например, если пряжа продана, то кругооборот капитальной стоимости, представленной в этой пряже, может начаться снова, независимо от того, что происходит вначале с проданной пряжей. До тех пор пока удаётся продавать продукт, всё идёт нормально с точки зрения капиталистического производителя. Кругооборот капитальной стоимости, представителем которой является этот капиталистический производитель, не прерывается. А если этот процесс расширяется, – что включает в себя расширение производительного потребления средств производства, – то такое воспроизводство капитала может сопровождаться расширением индивидуального потребления (т. е. спроса) рабочих, потому что этот процесс начинается и опосредствуется производительным потреблением. Таким образом, производство прибавочной стоимости, а вместе с ним и индивидуальное потребление капиталиста может возрастать, весь процесс воспроизводства может находиться в самом цветущем состоянии, – и, однако, весьма значительная часть товаров может перейти в сферу потребления лишь по видимости, в действительности же она может оставаться непроданной в руках перекупщиков; следовательно, – фактически всё ещё находиться на рынке. Но один поток товаров следует за другим, и, наконец, обнаруживается, что прежний поток лишь по видимости поглощён потреблением. Товарные капиталы взаимно оспаривают друг у друга место на рынке. Прибывшие на рынок позже, чтобы продать товары, продают их по пониженной цене. Товары прежних потоков ещё не превращены в наличные деньги, как уже наступают сроки платежа за них. Владельцы их вынуждены объявить себя несостоятельными или же, чтобы произвести платежи, продавать по какой угодно цене. Такая продажа не имеет никакого отношения к действительному состоянию спроса. Она имеет отношение лишь к спросу на платежи, лишь к абсолютной необходимости превратить товар в деньги. Тогда разражается кризис. Он проявляется не в непосредственном уменьшении потребительского спроса, спроса в целях индивидуального потребления, а в сокращении обмена капитала на капитал, в сужении процесса воспроизводства капитала. —
Если товары Сп и Р, в которые превращается Д для того, чтобы выполнить свою функцию денежного капитала, т. е. капитальной стоимости, предназначенной для обратного превращения в производительный капитал, – если эти товары приходится покупать или оплачивать в различные сроки и, следовательно, Д – Т представляет собой ряд покупок и платежей, совершающихся один после другого, то одна часть Д совершает акт Д – Т, между тем как другая часть всё ещё остаётся в денежном состоянии, чтобы потом, в момент, определяемый условиями самого процесса, служить для ряда одновременных или последовательных актов Д – Т. Эта часть лишь временно извлечена из обращения, чтобы в известный момент вступить в действие, приступить к выполнению своей функции. Но само сохранение этой части в запасе представляет собой, в свою очередь, функцию, определяемую её обращением и предназначенную для обращения. В таком случае её существование в качестве покупательного и платёжного фонда, приостановка её движения, состояние перерыва в её обращении тоже является состоянием, в котором деньги в качестве денежного капитала выполняют одну из своих функций. В качестве денежного капитала, потому что в этом случае даже временно пребывающие в покое деньги суть часть денежного капитала Д (Д' – д = Д), или доля той части стоимости товарного капитала, которая = П, равна стоимости производительного капитала, являющегося исходным пунктом кругооборота. С другой стороны, все деньги, извлечённые из обращения, находятся в форме сокровища. Следовательно, форма сокровища, в которой находятся деньги, становится здесь функцией денежного капитала, совершенно так же, как в Д – Т функция денег, являющихся покупательным средством или средством платежа, становится функцией денежного капитала. Причина заключается в том, что капитальная стоимость существует здесь в денежной форме, что денежная форма является здесь таким состоянием промышленного капитала, которое предопределено вследствие общей связи его кругооборота на одной из стадий последнего. Но одновременно здесь снова оказывается правильным то, что в кругообороте промышленного капитала денежный капитал не выполняет никаких иных функций, кроме функций денег, и что эти функции денег лишь вследствие своей связи с другими стадиями этого кругооборота имеют вместе с тем значение функций капитала.
Представление Д' как отношения д к Д, как капиталистического отношения, является непосредственно функцией не денежного капитала, а товарного капитала Т', который, в свою очередь, в виде отношения т к Т выражает лишь результат процесса производства, лишь результат совершившегося в процессе производства самовозрастания капитальной стоимости.
Если продолжение процесса обращения наталкивается на препятствия, так что Д в силу внешних обстоятельств – положения на рынке и т. д. – вынуждено приостановить свою функцию Д – Т и поэтому более или менее продолжительное время остаётся в своей денежной форме, то перед нами опять-таки деньги в состоянии сокровища. Это происходит и при простом товарном обращении, когда переход от Т – Д к Д – Т прерывается внешними обстоятельствами. Это – вынужденное образование сокровища. Таким образом в нашем случае деньги имеют форму лежащего праздно, скрытого денежного капитала. Однако пока мы не будем дольше останавливаться на этом.
Но в обоих случаях пребывание денежного капитала в его денежном состоянии является результатом перерыва в движении, причём безразлично, каков этот перерыв – целесообразный или нецелесообразный, добровольный или недобровольный, вытекает ли он из функций капитала или противоречит им.
II. НАКОПЛЕНИЕ И ВОСПРОИЗВОДСТВО В РАСШИРЕННОМ МАСШТАБЕ
Так как пропорции, в которых может расширяться процесс производства, устанавливаются не по произволу, а предопределяются данной техникой, то реализованная прибавочная стоимость, хотя бы она и предназначалась для капитализации, нередко лишь посредством повторения нескольких кругооборотов может возрасти до такого размера (следовательно, должна накопляться до такого размера), при котором она действительно может функционировать как добавочный капитал или войти в кругооборот капитальной стоимости, совершающей свой процесс. Следовательно, прибавочная стоимость затвердевает в виде сокровища и в этой форме образует скрытый денежный капитал. Скрытый [latent], – потому что он не может действовать как капитал, пока остаётся в денежной форме.[10] Следовательно, образование сокровища является здесь моментом, входящим в процесс капиталистического накопления, сопровождающим его, но в то же время и существенно отличным от него. Отличным, – потому что вследствие образования скрытого денежного капитала сам процесс воспроизводства не расширяется. Наоборот, скрытый денежный капитал образуется здесь потому, что капиталистический производитель не в состоянии непосредственно расширить масштабы своего производства. Если он продаёт свой прибавочный продукт производителю золота или серебра, который бросает в обращение новое золото или серебро, или – что сводится к тому же – купцу, который в обмен за известную часть национального прибавочного продукта ввозит из-за границы дополнительное золото или серебро, то его скрытый денежный капитал образует прирост национального сокровища в форме золота или серебра. Во всех других случаях, например, те 78 ф. ст., которые в руках покупателя были средством обращения, в руках капиталиста принимают только форму сокровища; следовательно, происходит лишь иное распределение национального сокровища в форме золота или серебра.
Если в сделках нашего капиталиста деньги функционируют в качестве средства платежа (таким образом, что покупатель должен платить за товары лишь через более или менее продолжительный срок), то прибавочный продукт, предназначенный для капитализации, превращается не в деньги, а в долговые требования, в титул собственности на эквивалент, которым покупатель, быть может, уже владеет или же который, быть может, он только имеет в виду. Этот эквивалент не входит в процесс воспроизводства капитала, совершающего данный кругооборот, – как в него не входят и деньги, вложенные в процентные бумаги и т. д., – хотя он может входить в кругооборот других индивидуальных промышленных капиталов.
Весь характер капиталистического производства определяется увеличением авансированной капитальной стоимости, следовательно, в первую очередь определяется производством возможно большей прибавочной стоимости, а во-вторых (см. «Капитал», книга I, гл. XXII), – производством капитала, т. е. превращением прибавочной стоимости в капитал. Накопление, или производство в расширенном масштабе, которое выступает в качестве средства для постоянного расширения производства прибавочной стоимости, а потому выступает в качестве средства обогащения капиталиста, в качестве его личной цели, и которое составляет одну из сторон общей тенденции капиталистического производства, в дальнейшем вследствие своего развития становится, как показано в первой книге, необходимостью для каждого индивидуального капиталиста. Постоянное увеличение капитала становится условием его сохранения. Однако мы не будем возвращаться к тому, что было изложено раньше.
Сначала мы рассмотрели простое воспроизводство, причём предполагалось, что вся прибавочная стоимость расходуется как доход. В действительности при нормальных условиях одни часть прибавочной стоимости всегда должна расходоваться как доход, а другая часть – капитализироваться, причём совершенно безразлично, что прибавочная стоимость, произведённая в тот или иной определённый период, то целиком потребляется, то целиком капитализируется. В среднем, – а общая формула может представить лишь среднее движение, – всегда имеют место одновременно оба процесса. Однако чтобы не усложнять формулу, будет лучше предположить, что накопляется вся прибавочная стоимость. Формула
выражает производительный капитал, который воспроизводится в расширенном масштабе как капитал большей стоимости и который затем начинает свой второй кругооборот или, что то же, возобновляет первый кругооборот уже как возросший производительный капитал. Когда начинается этот второй кругооборот, мы в качестве исходного пункта имеем опять П', но только это П есть производительный капитал бо́льших размеров, чем первое П. Точно так же, когда в формуле Д…Д' второй кругооборот начинается с Д', то это Д' функционирует как Д, как авансированный денежный капитал определённой величины; это – денежный капитал бо́льших размеров, чем тот, который открыл первый кругооборот; но как только он начинает выполнять функцию авансированного денежного капитала, так уже исчезает всякое напоминание о том, что он возрос благодаря капитализации прибавочной стоимости. В форме денежного капитала, в которой он начинает кругооборот, уже стёрты все следы такого происхождения. То же самое происходит и с П', когда оно служит исходным пунктом нового кругооборота.
Если мы сравним П…П' с Д…Д', или с первым кругооборотом, то увидим, что они имеют далеко не одинаковое значение. Д…Д', взятое само по себе как обособленный кругооборот, выражает только одно: что Д, денежный капитал (или промышленный капитал, совершающий свой кругооборот как денежный капитал), есть деньги, порождающие деньги, стоимость, порождающая стоимость, что он производит прибавочную стоимость. Напротив, в кругообороте П, с завершением первой стадии, стадии процесса производства, процесс увеличения стоимости уже совершился, а по окончании второй стадии Т' – Д' (первой стадии обращения) капитальная стоимость + прибавочная стоимость существуют уже как реализованный денежный капитал, как Д', которое в первом кругообороте являлось последним крайним членом. Что прибавочная стоимость произведена, это в ранее рассмотренной форме П…П (см. развёрнутую формулу на стр. 47 {45}) было выражено посредством т – д – т, которое во второй своей стадии выходит из сферы обращения капитала и выражает обращение прибавочной стоимости как дохода. В этой форме, где всё движение выражено в виде П…П, следовательно, где между обоими конечными пунктами нет никакой разницы в величине стоимости, увеличение авансированной стоимости, производство прибавочной стоимости, выражено так же, как в кругообороте Д…Д'; только акт Т' – Д', являющийся последней стадией в Д…Д' и второй стадией кругооборота, служит первой стадией обращения в П…П.
П' в П…П' выражает не то, что произведена прибавочная стоимость, а то, что произведённая прибавочная стоимость капитализирована, следовательно, – произошло накопление капитала, а потому П', в отличие от П, состоит из первоначальной капитальной стоимости плюс стоимость капитала, накопленного вследствие движения капитальной стоимости.
И Д', как простое заключение Д…Д', и Т', каким оно является во всех этих кругооборотах, взятые сами по себе, выражают не движение, а его результат: увеличение капитальной стоимости, реализованное в товарной форме или в денежной форме, а потому выражают капитальную стоимость как Д + д, или как Т + т, т. е. в виде отношения капитальной стоимости к прибавочной стоимости как к своему потомку. Они выражают этот результат в виде различных форм обращения возросшей капитальной стоимости. Но ни в форме Т', ни в форме Д' само состоявшееся увеличение стоимости не является функцией ни денежного, ни товарного капитала. Денежный и товарный капитал являются особыми различными формами, различными способами существования промышленного капитала, которые соответствуют различным его функциям. Денежный капитал может выполнять только функции денег, товарный капитал – только функции товара, и различие между ними есть только различие между деньгами и товаром. Точно так же промышленный капитал в своей форме производительного капитала может состоять лишь из тех элементов, которые вообще входят во всякий процесс труда, создающий продукты: с одной стороны, – из предметных условий труда (средств производства), с другой стороны, – из производительно (целесообразно) действующей рабочей силы. Как промышленный капитал может существовать в сфере производства лишь при таком строении, которое соответствует процессу производства вообще, а следовательно, и некапиталистическому процессу производства, точно так же в сфере обращения он может существовать лишь в двух формах, соответствующих этой сфере: в формах товара и денег. Но сумма элементов производства с самого начала проявляет себя как производительный капитал, потому что рабочая сила является чужой рабочей силой, которую капиталист покупает у её владельца совершенно так же, как он покупает для себя средства производства у владельца других товаров; поэтому и самый процесс производства выступает как производительная функция промышленного капитала, а деньги и товар являются формами обращения того же самого промышленного капитала и, следовательно, функции денег и товара – функциями обращения этого капитала, причём они или служат подготовкой к функциям производительного капитала, или вытекают из них. Функция денег и функция товара являются здесь в то же время функциями денежного капитала и товарного капитала лишь вследствие того, что они связаны между собой как формы тех функций, которые промышленный капитал должен выполнять на различных стадиях процесса своего кругооборота. Следовательно, совершенно неправильно специфические свойства и функции, характеризующие деньги как деньги и товар как товар, выводить из их свойств как капитала, – и точно так же неправильно, наоборот, выводить свойства производительного капитала из способа его существования в виде средств производства.
Когда Д' или Т' фиксируется в виде Д + д, Т + т, т. е. в виде отношения капитальной стоимости к прибавочной стоимости как к своему потомку, то это отношение находит себе выражение один раз в денежной форме, другой раз – в товарной форме, что нисколько не меняет сути самого дела. Следовательно, это отношение вытекает не из свойств и функций, присущих деньгам как таковым или товару как таковому. В обоих случаях свойство, характеризующее капитал, то его свойство, что он есть стоимость, порождающая стоимость, выражено только как результат. Т' всегда есть продукт функции П, а Д' – лишь форма Т' претерпевшая превращение в кругообороте промышленного капитала. Поэтому, когда реализованный денежный капитал снова начинает выполнять свою особую функцию в качестве денежного капитала, он перестаёт выражать то капиталистическое отношение, которое содержится в Д' = Д + д. Когда Д…Д' пройдено и Д' снова начинает кругооборот, оно фигурирует уже не как Д', а как Д, даже если капитализируется вся прибавочная стоимость, заключающаяся в Д'. В нашем примере второй кругооборот начинается денежным капиталом в 500 ф. ст., между тем как первый начинался 422 ф. ст. Денежный капитал, открывающий кругооборот, на 78 ф. ст. больше, чем был прежде; это различие существует, если сравнивать один кругооборот с другим, но для этого сравнения нет места в рамках каждого отдельного кругооборота. Авансированные в качестве денежного капитала 500 ф. ст., из которых 78 ф. ст. раньше существовали как прибавочная стоимость, играют совершенно такую же роль, как 500 ф. ст., которыми другой капиталист открывает свой первый кругооборот. То же и в кругообороте производительного капитала. Возросшее П' при возобновлении выступает просто как П, подобно П в простом воспроизводстве П…П.
На стадии
возрастание величины капитала отмечено лишь посредством Т', а не посредством Р' или Сп'. Так как Т есть сумма Р и Сп, то Т' уже показывает, что сумма заключающихся в нём Р и Сп больше, чем первоначальное П. Но, кроме того, обозначение Р' и Сп' было бы и ошибочно, потому что, как мы знаем, с возрастанием капитала связано изменение его строения по стоимости, а именно, последнее развивается таким образом, что стоимость Сп возрастает, стоимость же Р всегда уменьшается относительно, а часто и абсолютно.
Выражение «latent» [ «скрытый»] заимствовано из представления физики о скрытой теплоте, почти преодолённого теперь теорией превращения энергии. Поэтому в третьем отделе (позднейшая редакция) Маркс заменяет его выражением «potentielles Kapital» [ «потенциальный капитал»], заимствованным из представления о потенциальной энергии, или, по аналогии с виртуальными скоростями Д'Аламбера, «virtuelles Kapital» [ «виртуальный капитал»]. – Ф. Э.
Вернуться
III. НАКОПЛЕНИЕ ДЕНЕГ
Может ли д, прибавочная стоимость, превратившаяся в деньги, немедленно снова присоединиться к капитальной стоимости, совершающей процесс своего движения, и таким образом, вместе с капиталом Д, составив величину Д', войти в процесс кругооборота, – это определяется обстоятельствами, независимыми от простого наличия д. Если д должно в качестве денежного капитала служить в новом, самостоятельном предприятии, которое предполагается основать наряду с первым, то ясно, что д может быть употреблено на это лишь в том случае, если оно обладает минимальной величиной, необходимой для такого предприятия. Если д должно быть употреблено на расширение первоначального предприятия, то опять-таки отношения вещественных факторов П и их отношения по стоимости обусловливают определённую минимальную величину д. Между всеми средствами производства, действующими в этом предприятии, существует не только известное качественное, но и определённое количественное соотношение, известная пропорциональность размеров. Эти вещественные отношения и связанные с ними отношения стоимости факторов, входящих в производительный капитал, определяют тот минимальный размер, который должно иметь д для того, чтобы его можно было превратить, как прирост производительного капитала, в добавочные средства производства и в добавочную рабочую силу или только в первые. Так, фабрикант-прядильщик не может увеличить числа своих веретён, если одновременно не приобретёт соответствующего числа кардных и ровничных машин, не говоря уже об увеличении затрат на хлопок и заработную плату, обусловливаемом таким расширением предприятия. Следовательно, для того, чтобы осуществить это расширение, прибавочная стоимость должна составлять уже порядочную сумму (обычно новые затраты определяются в 1 ф. ст. на веретено). Пока д не достигнет этого минимального размера, капитал должен несколько раз повторить кругооборот, прежде чем сумма последовательно произведённых им д получит возможность функционировать вместе с Д, следовательно, – в
Даже простые изменения деталей, например в прядильных машинах, поскольку эти изменения ведут к повышению их производительности, требуют бо́льших затрат на материал для прядения, увеличения числа ровничных машин и т. д. Следовательно, в промежуточный период д накопляется, и его накопление является не его собственной функцией, а результатом повторений П…П. Собственной функцией д является пребывание в денежном состоянии до тех пор, пока оно посредством повторных кругооборотов возрастания стоимости, – следовательно извне, – не получит достаточного приращения, при котором оно достигает минимальной величины, требуемой для его активного функционирования: величины, при которой оно только и может принять участие в функционировании денежного капитала Д, принять участие как денежный капитал, в данном случае – как накопленная часть функционирующего денежного капитала Д. В промежуточный период д накопляется и существует лишь в форме сокровища, находящегося в процессе образования, роста. Следовательно, накопление денег, образование сокровища является здесь таким процессом, который временно сопровождает действительное накопление, т. е. расширение того масштаба, в котором действует промышленный капитал; сопровождает временно потому, что пока сокровище пребывает в состоянии сокровища, оно не функционирует как капитал, не принимает участия в процессе увеличения стоимости, остаётся денежной суммой, которая возрастает лишь потому, что деньги, получаемые без её содействия, кладутся в тот же самый сундук.
Форма сокровища есть просто форма денег, не находящихся в обращении, денег, обращение которых прервано и которые поэтому сохраняются в своей денежной форме. Что касается самого процесса образования сокровища, то он присущ всякому товарному производству, в качестве же самоцели играет некоторую роль только при неразвитых, докапиталистических формах этого производства. Но здесь сокровище выступает как форма денежного капитала, образование же сокровища – как такой процесс, который временно сопровождает накопление капитала, так как, и поскольку, деньги фигурируют здесь в качестве скрытого денежного капитала, так как образование сокровища, – сохранение в состоянии сокровища той прибавочной стоимости, которая находится в денежной форме, – является здесь совершающейся вне кругооборота капитала, функционально определённой подготовительной стадией к превращению прибавочной стоимости в действительно функционирующий капитал. Следовательно, вследствие такого своего назначения, сокровище – это скрытый денежный капитал, поэтому и размеры, которых оно должно достигнуть прежде, чем вступит в процесс кругооборота капитала, каждый раз определяются строением производительного капитала по стоимости. Но пока деньги пребывают в состоянии сокровища, они ещё не функционируют как денежный капитал, являются праздно лежащим денежным капиталом; не функционируют, как раньше, не потому, что их функция прервана, а потому, что они ещё не способны к выполнению своей функции.
Мы берём здесь накопление денег в его первоначальной реальной форме, как действительное денежное сокровище. Но оно может иметь место и в форме простых долговых документов, долговых требований капиталиста, продавшего Т'. Что касается других форм, когда этот скрытый денежный капитал и в промежуточный период существует в виде денег, порождающих деньги, например в виде вкладов в какой-либо банк, приносящих проценты, в векселях или ценных бумагах любого рода, то эти формы сюда не относятся. Прибавочная стоимость, реализованная в деньгах, выполняет в таком случае особые функции капитала вне кругооборота того промышленного капитала, из которого она вышла: функции, которые, во-первых, не имеют ничего общего с кругооборотом этого капитала как таковым и, во-вторых, предполагают функции капитала, отличные от функций промышленного капитала и здесь ещё не исследованные.
IV. РЕЗЕРВНЫЙ ФОНД
Сокровище в только что рассмотренной форме, являющейся формой существования прибавочной стоимости, представляет собой денежный фонд накопления, ту денежную форму, которую временно принимает накопление капитала, и постольку само сокровище является условием последнего. Но этот фонд накопления может оказывать и особые побочные услуги, т. е. входить в процесс кругооборота капитала, не принимая формы П…П' и, следовательно, не расширяя размеров капиталистического воспроизводства.
Если процесс Т' – Д' затягивается свыше его нормальной продолжительности и, следовательно, превращение товарного капитала в денежную форму ненормально задерживается или если, после того как это превращение совершилось, цена, например, средств производства, в которые должен превратиться денежный капитал, поднимается выше того уровня, который существовал к моменту начала кругооборота, то сокровище, функционирующее как фонд накопления, может быть употреблено на то, чтобы занять место денежного капитала или его части. Следовательно, денежный фонд накопления служит в качестве резервного фонда для того, чтобы устранять нарушения кругооборота.
Резервный фонд как таковой отличается от фонда покупательных или платёжных средств, рассмотренного в кругообороте П…П. Эти последние средства представляют собой часть функционирующего денежного капитала (следовательно, это – формы существования некоторой части капитальной стоимости, вообще занятой в процессе), части которого начинают функционировать одна за другой лишь в различные сроки. В непрерывном ходе процесса производства постоянно образуется резервный денежный капитал, так как, например, сегодня поступили платежи, а производить платежи придётся лишь позднее, сегодня проданы большие массы товара, а покупать такие же большие массы товара придётся лишь в последующие дни; следовательно, в эти промежутки часть обращающегося капитала постоянно находится в денежной форме. Напротив, резервный фонд – это не составная часть уже функционирующего капитала, точнее, функционирующего денежного капитала, а составная часть капитала, находящегося на подготовительной стадии своего накопления, составная часть прибавочной стоимости, ещё не превратившейся в активный капитал. Впрочем, само собой разумеется, что при затруднительных обстоятельствах капиталист вовсе не интересуется тем, какие определённые функции выполняют находящиеся в его руках деньги, а просто употребляет то, что у него есть, – только бы поддержать ход процесса кругооборота своего капитала. Так, в нашем примере Д = 422 ф. ст., Д' = 500 ф. ст. Если часть капитала в 422 ф. ст. существует в качестве фонда средств платежа и покупательных средств, в качестве денежного запаса, то при этом предполагается, что, при неизменных обстоятельствах, она целиком вступит в кругооборот и что она вместе с тем достаточна для этой цели. Резервный же фонд есть часть 78 ф. ст. прибавочной стоимости; он может вступить в процесс кругооборота капитала стоимостью в 422 ф. ст. лишь в том случае, если этот кругооборот совершается при обстоятельствах, не остающихся неизменными; ведь он есть часть фонда накопления и фигурирует в данном случае без всякого расширения масштабов воспроизводства.
Денежный фонд накопления – это уже бытие скрытого денежного капитала; следовательно, – это уже превращение денег в денежный капитал.
Общая формула кругооборота производительного капитала, охватывающая простое воспроизводство и воспроизводство в расширенном масштабе, такова:
Если П = П, то в 2) Д равно Д' минус д; если П = П', то в 2) Д больше, чем Д' минус д, т. е. д целиком или частично превратилось в денежный капитал.
Кругооборот производительного капитала есть та форма, в которой классическая политическая экономия рассматривает процесс кругооборота промышленного капитала.
ГЛАВА ТРЕТЬЯ
КРУГООБОРОТ ТОВАРНОГО КАПИТАЛА
Общая формула для кругооборота товарного капитала такова:
Т' – Д' – Т…П…Т'.
Т' является не только продуктом, но и предпосылкой двух ранее рассмотренных кругооборотов, так как то, что для одного капитала есть Д – Т, уже включает Т' – Д' для другого, – по крайней мере постольку, поскольку часть средств производства сама есть товарный продукт других индивидуальных капиталов, совершающих свой кругооборот. В нашем случае, например, уголь, машины и т. д. представляют собой товарный капитал углепромышленника, капиталистического машиностроителя и т. д. Далее, в главе I, п. IV, показано, что уже при первом повторении Д…Д', прежде чем закончится этот второй кругооборот денежного капитала, предполагается не только кругооборот П…П, но и кругооборот Т'…Т'.
Если воспроизводство совершается в расширенном масштабе, то заключительное Т' больше начального Т' и потому его следует обозначить здесь посредством Т' .
Отличие третьей формы от первых двух проявляется, во-первых, в том, что здесь обращение в целом с его двумя противоположными фазами открывает кругооборот, между тем как в форме I обращение прерывается процессом производства, а в форме II всё обращение с его двумя взаимно дополняющими фазами является лишь посредствующим звеном в процессе воспроизводства и потому образует посредствующее движение между П…П. При Д…Д' форма обращения есть Д – Т…Т' – Д' = Д – Т – Д. При П…П форма обращения обратная: Т' – Д'. Д – Т = Т – Д – Т. В T'…Т' обращение тоже имеет эту последнюю форму.
Во-вторых. При повторении кругооборотов I и II, даже если конечные пункты Д' и П' образуют начальные пункты возобновившегося кругооборота, исчезает та форма, в которой были произведены эти Д' и П'. Д' = Д + д и П' = П + п начинают новый процесс опять как Д и П. В форме же III – даже если кругооборот возобновляется в прежнем масштабе – исходный пункт Т должен обозначаться как Т', а именно по следующей причине. В форме I, лишь только Д' как таковое открывает новый кругооборот, оно функционирует как денежный капитал Д, как авансированная в денежной форме капитальная стоимость, которая должна возрастать по своей стоимости. Величина авансированного денежного капитала возросла вследствие накопления, совершившегося во время первого кругооборота, стала больше. Но составляет ли величина авансированного денежного капитала 422 ф. ст. или 500 ф. ст., – это ничего не меняет в том обстоятельстве, что он является просто капитальной стоимостью. Д' существует уже не как возросший по своей стоимости или оплодотворённый прибавочной стоимостью капитал, не как капиталистическое отношение. Ведь ему [Д'] ещё лишь предстоит пройти процесс увеличения стоимости. То же самое относится и к П…П'; П' должно и впредь постоянно функционировать и возобновлять кругооборот как П, как капитальная стоимость, которая должна произвести прибавочную стоимость. – Напротив, кругооборот товарного капитала открывается не просто капитальной стоимостью, а уже возросшей капитальной стоимостью в товарной форме, и потому с самого начала заключает в себе кругооборот не только находящейся в товарной форме капитальной стоимости, но и кругооборот прибавочной стоимости. Поэтому, если в этой форме происходит простое воспроизводство, то в конечном пункте выступает Т' такой же величины, как в начальном пункте. Если в кругооборот капитала вступает часть прибавочной стоимости, то, хотя в конце и появляется Т' вместо Т', т. е. появляется Т' большей величины, однако следующий кругооборот всё же опять начинается с Т', которое представляет собой лишь большее T', чем было в предыдущем кругообороте, и начинает свой новый кругооборот с большей накопленной капитальной стоимостью, а потому и с относительно большей вновь произведённой прибавочной стоимостью. Во всех случаях T' постоянно открывает кругооборот как товарный капитал, который = капитальной стоимости + прибавочная стоимость.
Т' выступает как Т в кругообороте отдельного промышленного капитала не в качестве формы этого капитала, а в качестве формы другого промышленного капитала, поскольку средства производства представляют собой продукт этого последнего.
Акт Д – Т (т. е. Д – Сп) первого капитала для этого второго капитала есть акт Т' – Д'.
Р и Сп в акте обращения
играют тождественную роль постольку, поскольку они суть товары в руках их продавцов, в одном случае рабочих, продающих свою рабочую силу, в другом случае – собственников средств производства, продающих эти последние. Для покупателя, деньги которого функционируют здесь в качестве денежного капитала, Р и Сп функционируют как товары только до тех пор, пока он их ещё не купил, следовательно, пока они как товары других противостоят его капиталу, существующему в денежной форме. Сп и Р различаются здесь лишь постольку, поскольку Сп в руках своего продавца = Т', следовательно, может быть капиталом, поскольку Сп представляет собой товарную форму капитала продавца, между тем как для рабочего Р всегда является только товаром и становится капиталом лишь в руках покупателя, как составная часть П.
Поэтому Т' никогда не может начинать кругооборот как простое Т, как просто товарная форма капитальной стоимости. Как товарный капитал оно всегда имеет двойственный характер. С точки зрения потребительной стоимости оно есть продукт функционирования П, – в данном случае пряжа, – элементы которого Р и Сп, явившиеся в качестве товаров из сферы обращения, функционировали как факторы образования этого продукта. Во-вторых, с точки зрения стоимости оно равно капитальной стоимости П плюс прибавочная стоимость m, произведённая во время функционирования П.
Только в кругообороте самого Т' часть его Т = П = капитальной стоимости может и должна отделиться от той части Т', в которой существует прибавочная стоимость, от прибавочного продукта, в котором заключается прибавочная стоимость, – независимо от того, отделимы ли друг от друга обе эти части фактически, как в случае с пряжей, или же нет, как в случае с машиной. Эти части стоимости становятся отделимыми друг от друга всякий раз, как только Т' превращается в Д'.
Если весь товарный продукт можно разделить на самостоятельные однородные частичные продукты, как, например, наши 10 000 фунтов пряжи, и если поэтому акт Т' – Д' можно представить в виде суммы совершённых одна за другой продаж, то капитальная стоимость в товарной форме может функционировать как Т, может отделиться от Т', прежде чем реализована прибавочная стоимость, следовательно, прежде чем реализовано Т' в целом.
Из 10 000 фунтов пряжи стоимостью в 500 ф. ст. стоимость 8 440 фунтов = 422 ф. ст., равна капитальной стоимости, отделённой от прибавочной стоимости. Если капиталист продаст только 8 440 фунтов пряжи за 422 ф. ст., то эти 8 440 фунтов пряжи выражают Т, капитальную стоимость в товарной форме; содержащийся, кроме того, в том же Т' прибавочный продукт в форме 1 560 фунтов пряжи, равный прибавочной стоимости в 78 ф. ст., вступил бы в обращение лишь позже; капиталист мог бы совершить
до обращения прибавочного продукта, до т – д – т.
Или, если бы он продал сначала 7 440 фунтов пряжи стоимостью в 372 ф. ст., а затем 1 000 фунтов пряжи стоимостью в 50 ф. ст., то первой частью Т могли бы быть возмещены средства производства (постоянная часть капитала, c), а второй частью Т – переменная часть капитала, v, рабочая сила, – а затем всё так же, как и раньше.
Но если происходят такие последовательные продажи и если условия кругооборота это допускают, то капиталист, вместо того чтобы разделить всё Т' на c + v + m, может выполнять это разделение также и на любой части Т'.
Например, 7 440 фунтов пряжи = 372 ф. ст., которые, будучи частями T' (10 000 фунтов пряжи = 500 ф. ст.), являются представителями постоянной части капитала, в свою очередь сами могут быть разделены: на 5 535,360 фунтов пряжи стоимостью в 276,768 ф. ст., которые возмещают только постоянную часть капитала, стоимость средств производства, потреблённых в процессе производства 7 440 фунтов пряжи; на 744 фунта пряжи стоимостью в 37,200 ф. ст., возмещающие только переменный капитал; на 1 160,640 фунта пряжи стоимостью в 58,032 ф. ст., являющихся в качестве прибавочного продукта носителем прибавочной стоимости. Следовательно, продав 7 440 фунтов, капиталист может возместить содержащуюся в них капитальную стоимость вследствие продажи 6 279,360 фунта пряжи ценой в 313,968 ф. ст., а стоимость прибавочного продукта в виде 1 160,640 фунта пряжи = 58,032 ф. ст., израсходовать как доход.
Точно так же он может, далее, разделить 1 000 фунтов пряжи = 50 ф. ст. = переменной капитальной стоимости, и соответствующими частями продать их: 744 фунта пряжи стоимостью в 37,200 ф. ст. – это будет постоянная капитальная стоимость, заключающаяся в 1 000 фунтах пряжи; 100 фунтов пряжи стоимостью в 5,000 ф. ст. – переменная часть капитала в тех же 1 000 фунтах; следовательно, 844 фунта пряжи стоимостью в 42,200 ф. ст. служат возмещением капитальной стоимости, содержащейся в 1 000 фунтах пряжи; наконец, 156 фунтов пряжи стоимостью в 7,800 ф. ст. представляют содержащийся в ней прибавочный продукт и могут быть потреблены в качестве такового.
Наконец, он может остальные 1 560 фунтов пряжи стоимостью в 78 ф. ст. разделить, если только удастся продажа, таким образом, чтобы продажа 1 160,640 фунта пряжи стоимостью в 58,032 ф. ст. возместила стоимость средств производства, содержащуюся в 1560 фунтах пряжи, а продажа 156 фунтов пряжи стоимостью в 7,800 ф. ст. – стоимость переменного капитала; 1 316,640 фунта пряжи = 65,832 ф. ст. представляют в совокупности возмещение всей капитальной стоимости; наконец, прибавочный продукт в виде 243,360 фунта пряжи = 12,168 ф. ст. остаётся для расходования в качестве дохода.
Подобно тому как каждый заключающийся в пряже элемент c, v, m можно, в свою очередь, разложить на такие же составные части, точно так же можно разложить и каждый отдельный фунт пряжи стоимостью в 1 шиллинг = 12 пенсам.
Т' – Д' само по себе есть не что иное, как продажа 10 000 фунтов пряжи. 10 000 фунтов пряжи суть товар, как и любая другая пряжа. Покупатель заинтересован в цене 1 шиллинг за фунт, или 500 ф. ст. за 10 000 фунтов пряжи. Если во время сделки он и обращает внимание на строение капитала по стоимости, то лишь с коварным намерением доказать, что 1 фунт пряжи можно было бы продать дешевле, чем за 1 шиллинг, и что даже в таком случае сделка для продавца будет выгодной. Но количество товара, которое покупает потребитель, зависит от его потребностей; так, например, если он владелец ткацкого предприятия, то это количество зависит от строения его собственного капитала, функционирующего в ткацком предприятии, а не от строения капитала того фабриканта-прядильщика, у которого он покупает. Пропорции, в которых Т' должно, с одной стороны, возместить капитал, потреблённый в процессе его производства (или различные составные части этого капитала), и, с другой стороны, должно служить прибавочным продуктом, предназначенным либо на расходование прибавочной стоимости, либо на накопление капитала, – эти пропорции существуют лишь в процессе кругооборота того капитала, товарной формой которого являются 10 000 фунтов пряжи. С продажей как таковой они не имеют ничего общего. Кроме того, здесь предполагается, что Т' продаётся по своей стоимости и что, следовательно, речь идёт лишь о превращении его из товарной формы в денежную форму. Для Т', как функциональной формы в кругообороте этого отдельного капитала, из которой должен быть возмещён производительный капитал, решающее значение имеет, конечно, то обстоятельство, отклоняются ли и в какой мере отклоняются друг от друга при продаже цена и стоимость; но здесь, при рассмотрении одних только различий форм, нам нет необходимости останавливаться на этом вопросе.
В форме I, Д…Д', процесс производства находится посредине между двумя друг друга дополняющими и друг другу противоположными фазами обращения капитала; он будет закончен, прежде чем наступит заключительная фаза Т' – Д'. Деньги авансируются как капитал сначала на элементы производства, элементы производства превращаются в товарный продукт, а этот товарный продукт опять превращается в деньги. Это – вполне законченный цикл сделок, результатом которого являются на всё и для каждого пригодные деньги. Поэтому возобновление процесса дано, таким образом, лишь в возможности. Д…П…Д' может быть одинаково как последним кругооборотом, которым заканчиваются функции индивидуального капитала в случае извлечения его из предприятия, так и первым кругооборотом индивидуального капитала, впервые начинающего функционировать. Общее движение здесь таково: Д…Д', от известной суммы денег к большей сумме денег.
В форме II, П…Т' – Д' – Т…П (П'), весь процесс обращения следует за первым П и предшествует второму; но он протекает в порядке, противоположном порядку в форме I. Первое П есть производительный капитал, и функция его есть процесс производства, являющийся предварительным условием следующего за ним процесса обращения. Напротив, заключительное П не есть процесс производства; оно представляет собой лишь вторичное пребывание промышленного капитала в его форме производительного капитала. И притом это П является результатом превращения, совершившегося в последней фазе обращения, – превращения капитальной стоимости в Р + Сп, в субъективные и объективные факторы, которые в своём соединении образуют форму существования производительного капитала. Капитал, будь то П или П', в конце кругооборота опять имеется налицо в такой форме, в которой он должен снова функционировать как производительный капитал, совершать процесс производства. Общая форма движения, П…П, есть форма воспроизводства и не указывает, подобно Д…Д', на увеличение стоимости как на цель процесса. Поэтому эта форма тем более облегчает классической политической экономии возможность игнорировать определённую капиталистическую форму процесса производства и изображать производство как таковое целью процесса, заключающейся будто бы в том, чтобы производить возможно больше и возможно дешевле и обменивать продукт на другие возможно более разнородные продукты, служащие отчасти для возобновления производства (Д – Т), отчасти для потребления (д – т). При этом, так как Д и д являются здесь средством обращения лишь мимолётно, то особенности как денег, так и денежного капитала могут остаться незамеченными, и весь процесс оказывается простым и естественным, т. е. обладает естественностью плоского рационализма. Точно так же при рассмотрении товарного капитала при случае забывают о прибыли, и когда речь идёт о кругообороте производства в целом, то товарный капитал фигурирует просто как товар, когда же речь идёт о составных частях стоимости, то он фигурирует как товарный капитал. Конечно, накопление изображается таким же образом, как и производство.
В форме III, Т' – Д' – Т…П…Т', кругооборот открывают две фазы процесса обращения, и именно в том же порядке, как в форме II, т. е. в форме П…П; затем следует П, притом, следует, как и в форме I, со своей функцией, с процессом производства; результатом этого последнего, Т', кругооборот заканчивается. Подобно тому как в форме II он заканчивается П, просто повторным существованием производительного капитала, так и здесь он заканчивается Т', повторным существованием товарного капитала; подобно тому как в форме II капитал в своей заключительной форме II снова должен начать процесс как процесс производства, так и здесь после вторичного появления промышленного капитала в форме товарного капитала кругооборот должен снова начаться фазой обращения Т' – Д'. Обе формы кругооборота остаются незавершёнными, потому что они не завершаются Д', т. е. возросшей капитальной стоимостью, снова превращённой в деньги. Следовательно, обе формы должны быть продолжены, а потому они заключают в себе воспроизводство. Весь кругооборот в форме III представляет собой Т'…Т'.
Третью форму отличает от двух первых то обстоятельство, что только в этом кругообороте исходным пунктом процесса увеличения стоимости является уже возросшая капитальная стоимость, а не первоначальная капитальная стоимость, которая ещё только должна возрасти. Исходным пунктом здесь служит Т', выражающее капиталистическое отношение; как таковое оно оказывает определяющее влияние на весь кругооборот, ибо уже в первой своей фазе этот кругооборот включает в себя как кругооборот капитальной стоимости, так и кругооборот прибавочной стоимости; при этом прибавочная стоимость, если и не в каждом кругообороте в отдельности, то в среднем, должна отчасти расходоваться как доход, проходить обращение т – д – т, отчасти же функционировать как элемент накопления капитала.
В форме Т'…Т' потребление всего товарного продукта предполагается как условие нормального хода кругооборота самого капитала. Индивидуальное потребление рабочего и индивидуальное потребление той части прибавочного продукта, которая не подлежит накоплению, охватывает всё индивидуальное потребление. Поэтому потребление, взятое в целом – и как индивидуальное и как производительное потребление, – входит в кругооборот Т' в качестве его условия. Производительное потребление (в которое по существу входит и индивидуальное потребление рабочего, так как рабочая сила в известных границах является постоянным продуктом индивидуального потребления рабочего) совершается непосредственно каждым индивидуальным капиталом. Индивидуальное же потребление, – за исключением того, что необходимо для самого существования индивидуального капиталиста, – предполагается исключительно как общественный акт, но отнюдь не как акт индивидуального капиталиста.
В формах I и II всё движение выражается как движение авансированной капитальной стоимости. В форме III возросший по своей стоимости капитал, выступающий в виде совокупного товарного продукта, образует исходный пункт и имеет форму движущегося капитала, товарного капитала. Лишь после его превращения в деньги это движение разветвляется на движение капитала и движение дохода. В этой форме в кругооборот капитала включается как распределение всего общественного продукта, так и особое распределение продукта всякого индивидуального товарного капитала, – распределение, с одной стороны, на фонд индивидуального потребления, с другой стороны – на фонд воспроизводства.
В Д…Д' дана возможность расширения кругооборота в зависимости от величины той части д, которая войдёт в возобновлённый кругооборот.
П в П…П может начать новый кругооборот с той же самой стоимостью, быть может даже с меньшей, – и всё-таки оно может представлять воспроизводство в расширенном масштабе; так, например, в том случае, если элементы товара удешевятся вследствие повышения производительности труда. Наоборот, в противоположном случае возросший по своей стоимости производительный капитал может представлять воспроизводство в масштабе, суженном в вещественном отношении, – если, например, элементы производства вздорожают. То же самое относится и к T'…Т'.
В Т'…Т' наличие капитала в товарной форме является предпосылкой производства, и в качестве предпосылки он снова возвращается в том же кругообороте во втором Т. Если это Т ещё не произведено или не воспроизведено, то кругооборот приостановлен; это Т должно быть воспроизведено по большей части как Т' какого-либо другого промышленного капитала. В этом кругообороте Т' существует в качестве исходного пункта, переходного пункта и заключительного пункта движения, – поэтому оно всегда имеется налицо. Оно – постоянное условие процесса воспроизводства.
Т'…Т' отличается от форм I и II ещё одним моментом. Все три кругооборота имеют то общее, что капитал заканчивает процесс своего кругооборота в той же форме, в какой он открывает его, и благодаря этому опять принимает начальную форму, в которой он снова открывает тот же самый кругооборот. Начальная форма Д, П, Т' есть всегда та форма, в которой авансируется капитальная стоимость (в форме III вместе с приросшей к ней прибавочной стоимостью), – следовательно, по отношению к кругообороту это первоначальная форма стоимости; заключительная же форма Д', П, Т' есть всегда превращённая форма одной из предшествующих в кругообороте функциональных форм, которая не является первоначальной формой.
Таким образом Д' в форме I есть превращённая форма Т', заключительное П в форме II – превращённая форма Д (и в форме I и в форме II это превращение достигается простым актом товарного обращения, благодаря формальному перемещению товара и денег); в форме III Т' есть превращённая форма П, производительного капитала. Но здесь, в форме III, превращение касается, во-первых, не только функциональной формы капитала, но и величины его стоимости, и во-вторых, превращение является результатом не просто формального перемещения, относящегося к процессу обращения, а результатом действительного превращения, которому в процессе производства подверглись потребительная форма и стоимость товарных составных частей производительного капитала.
Форма начального пункта Д, П, Т' наперёд дана для каждого кругооборота – для I, II и III; форма, снова повторяющаяся в конечном пункте, вызвана, а следовательно, и обусловлена рядом метаморфозов самого кругооборота. T', как конечный пункт кругооборота индивидуального промышленного капитала, лишь предполагает не относящуюся к обращению форму П того же промышленного капитала, продуктом которого является это Т'; Д' как конечный пункт в форме I, как превращённая форма T' (T' – Д'), предполагает, что Д находится в руках покупателя, существует вне кругооборота Д…Д' и лишь вследствие продажи Т' вовлекается в этот кругооборот, становится его собственной конечной формой. Таким образом в форме II конечное П предполагает Р и Сп (Т) как существующие вовне и включаемые в его кругооборот, в качестве его конечной формы вследствие совершения акта Д – Т. Но если оставить в стороне последний крайний пункт, то кругооборот индивидуального денежного капитала не предполагает существования денежного капитала вообще, а кругооборот индивидуального производительного капитала не предполагает существования производительного капитала. В форме I Д может быть первым денежным капиталом, в форме II П может быть первым производительным капиталом, выступающим на арене истории, но в форме III
Т дважды предполагается существующим вне кругооборота. В первый раз в кругообороте
Это Т, поскольку оно состоит из Сп, есть товар в руках продавца; оно само есть товарный капитал, поскольку является продуктом капиталистического процесса производства, а если даже и нет, то оно выступает как товарный капитал в руках купца. Во второй раз оно предполагается в т – д – т, во втором т, которое точно так же должно иметься в наличии в качестве товара, чтобы его можно было купить. Во всяком случае Р и Сп, независимо от того, являются ли они товарным капиталом или нет, суть такие же товары, как и Т' и относятся друг к другу как товары. Точно так же обстоит дело со вторым т в т – д – т. Итак, поскольку Т' = Т (Р + Сп), постольку товары являются элементами образования самого Т' и постольку оно должно возмещаться в обращении товарами того же рода; подобно этому и в т – д – т второе т тоже должно возмещаться в обращении другими товарами того же рода.
Далее, на основе капиталистического способа производства как господствующего всякий товар в руках продавца должен быть товарным капиталом. Он продолжает быть товарным капиталом в руках купца или становится таковым в его руках, если не был им раньше. Или же – как, например, импортированные изделия, – он должен быть таким товаром, который возмещает первоначальный товарный капитал и поэтому придаёт ему лишь другую форму существования.
Товарные элементы Р и Сп, из которых состоит производительный капитал П, как формы существования П имеют иной вид, чем имели на тех различных товарных рынках, где они были приобретены. Они теперь соединены, и в своём соединении они могут функционировать, как производительный капитал.
То обстоятельство, что только в этой форме III Т внутри самого кругооборота оказывается предпосылкой Т, объясняется тем, что исходным пунктом кругооборота является капитал в товарной форме. Кругооборот открывается превращением Т' (поскольку оно функционирует как капитальная стоимость, то безразлично, увеличена ли она вследствие добавления прибавочной стоимости или нет) в товары, составляющие элементы его производства. Но это превращение охватывает весь процесс обращения Т – Д – Т (= Р + Сп) и является результатом последнего. Итак, здесь Т стоит на обоих крайних пунктах, но второй крайний пункт, получающий свою форму Т благодаря акту Д – Т извне, из сферы товарного рынка, не есть последний пункт кругооборота, а есть лишь последний пункт его двух первых стадий, охватывающих процесс обращения. Его результат есть П, функция которого, процесс производства, начинается вслед за этим. Лишь как результат этого последнего процесса, а не как результат процесса обращения, Т' является завершением кругооборота и принимает ту же самую форму, что и начальный пункт Т'. Напротив, в Д – Д' и в П…П, заключительные пункты Д' и П суть непосредственные результаты процесса обращения. Следовательно, здесь предполагается, что лишь в конце кругооборота в других руках находится Д' в первом случае и П – во втором. Поскольку кругооборот протекает между крайними пунктами, постольку ни Д в одном случае, ни П в другом, – т. е. ни существование Д как чужих денег, ни существование П как чужого процесса производства, – не являются предпосылкой этих кругооборотов. Напротив, Т'…Т' предполагает, что Т (= Р + Сп) представляет собой чужие товары и находится в чужих руках, что эти товары посредством вводного процесса обращения вовлекаются в кругооборот и превращаются в производительный капитал, а в результате функционирования этого последнего Т' опять становится заключительной формой кругооборота.
Но именно потому, что кругооборот Т'…Т' в пределах своего движения предполагает наличие другого промышленного капитала в форме Т (= Р + Сп) (а Сп включает различного рода другие капиталы, например в данном случае машины, уголь, масло и т. д.), – то уже по этой причине его приходится рассматривать не только как общую форму кругооборота, т. е. не только как такую общественную форму, в которой можно рассматривать каждый отдельный промышленный капитал (кроме тех случаев, когда он вкладывается впервые), следовательно, – не только как форму движения, общую всем индивидуальным промышленным капиталам, но в то же время и как форму движения суммы индивидуальных капиталов, т. е. всего капитала класса капиталистов, как такое движение, по отношению к которому движение каждого индивидуального промышленного капитала является лишь частичным движением, переплетающимся с движениями других капиталов и обусловленным ими. Например, если мы рассматриваем годовой совокупный товарный продукт какой-либо страны и анализируем движение, при посредстве которого одна часть этого продукта возмещает производительный капитал во всех индивидуальных предприятиях, а другая часть входит в сферу индивидуального потребления различных классов, то мы рассматриваем Т'…Т' как форму движения, свойственную как общественному капиталу в целом, так и произведённой им прибавочной стоимости или прибавочному продукту. Общественный капитал равен сумме индивидуальных капиталов (включая сумму акционерных капиталов и сумму всего государственного капитала, поскольку правительства применяют производительный наёмный труд в горных предприятиях, на железных дорогах и т. д., и, следовательно, выполняют функции промышленных капиталистов), а общее движение общественного капитала равно алгебраической сумме движений индивидуальных капиталов. Это обстоятельство никоим образом не исключает того, что данное движение, взятое как движение обособленного индивидуального капитала, обнаруживает иные явления, чем то же самое движение, рассматриваемое как часть общего движения общественного капитала, т. е. рассматриваемое в его связи с движениями других частей этого последнего. Вместе с тем оно разрешает такие проблемы, которые необходимо предполагать уже решёнными при рассмотрении кругооборота отдельного индивидуального капитала, а не выводить из него.
Т'…Т' есть единственный кругооборот, в котором первоначально авансированная капитальная стоимость образует лишь часть крайнего пункта, с которого начинается движение, и где, таким образом, это движение с самого начала заявляет о себе как о совокупном движении промышленного капитала, как о движении не только той части продукта, которая возмещает производительный капитал, но и той его части, которая образует прибавочный продукт и обычно отчасти расходуется как доход, отчасти же должна служить элементом накопления. Поскольку расходование прибавочной стоимости как дохода включается в этот кругооборот, постольку в него включается и индивидуальное потребление. Но это последнее включается, далее, ещё и потому, что исходный пункт Т, товар, существует в виде определённого предмета потребления; всякий же капиталистически произведённый предмет есть товарный капитал, всё равно, предназначается ли он своей потребительной формой для производительного потребления, или для индивидуального потребления, или для того и другого. Д – Д' указывает лишь на одну сторону: на стоимость, на увеличение авансированной капитальной стоимости как на цель всего процесса; П…П (П') указывает на процесс производства капитала как на процесс воспроизводства, причём величина производительного капитала остаётся прежней или возрастает (накопление); T'…T', проявляя себя уже в своём начальном пункте как форма капиталистического товарного производства, с самого начала охватывает и производительное и индивидуальное потребление; производительное потребление вместе с содержащимся в нём возрастанием стоимости оказывается лишь частью движения в этой форме. Наконец, так как Т' может существовать в такой потребительной форме, которая не может вступить ни в какой процесс производства, то это уже заранее показывает, что различные составные части стоимости Т', выраженные в долях продукта, должны занимать неодинаковое положение, в зависимости от того, берётся ли Т'…Т' как форма движения всего общественного капитала или как самостоятельное движение индивидуального промышленного капитала. Во всех своих особенностях этот кругооборот выходит за свои собственные пределы как обособленного кругооборота просто индивидуального капитала.
В фигуре Т'…Т' движение товарного капитала, т. е. всего капиталистически произведённого продукта, не только является предпосылкой самостоятельного кругооборота индивидуального капитала, но и, в свою очередь, обусловливается им. Поэтому, если понято своеобразие этой фигуры, то уже недостаточно ограничиться указанием, что метаморфозы Т' – Д' и Д – Т являются, с одной стороны, функционально определёнными этапами в метаморфозе капитала, и, с другой стороны, – звеньями общего товарного обращения. Теперь необходимо ясно показать сплетения метаморфозов одного индивидуального капитала с метаморфозами других индивидуальных капиталов и с той частью совокупного продукта, которая предназначена для индивидуального потребления. Поэтому при анализе кругооборота индивидуального промышленного капитала мы берём в качестве основы преимущественно две первые формы.
Кругооборот Т'…Т' является формой отдельного индивидуального капитала, например в земледелии, где расчёт ведётся от жатвы до жатвы. В фигуре II исходным пунктом служит посев, а в фигуре III – жатва, или, как говорят физиократы, в первой – avances {46}, во второй – reprises {47}. Движение капитальной стоимости в фигуре III с самого начала выступает лишь как часть движения общей массы продуктов, между тем как в фигурах I и II движение Т' образует лишь момент в движении обособленного капитала.
В фигуре III находящиеся на рынке товары образуют постоянную предпосылку процесса производства и воспроизводства. Поэтому, если сосредоточить внимание на этой фигуре, то кажется, что все элементы процесса производства происходят из сферы товарного обращения и состоят только из товаров. При таком одностороннем понимании упускают из виду такие элементы процесса производства, которые не являются товарными элементами.
Так как в Т'…T' исходный пункт есть весь продукт (вся стоимость), то здесь обнаруживается, что (если оставить в стороне внешнюю торговлю) воспроизводство в расширенном масштабе, при неизменной производительности, может иметь место лишь в том случае, если в части прибавочного продукта, подлежащей капитализации, уже содержатся вещественные элементы добавочного производительного капитала; следовательно, здесь обнаруживается, что поскольку производство одного года служит предпосылкой производства следующего года или поскольку это производство может происходить в течение одного года одновременно с процессом простого воспроизводства, постольку прибавочный продукт сразу производится в такой форме, которая позволяет ему функционировать в качестве добавочного капитала. Возросшая производительность может увеличить только вещество капитала, не повышая его стоимости; но этим она образует добавочный материал для увеличения стоимости капитала.
Т'…Т' лежит в основе «Tableau économique» {48} Кенэ, и то обстоятельство, что он в противоположность форме Д…Д' (форме, которой исключительно придерживалась меркантилистская система) избрал именно эту форму, а не форму П…П, свидетельствует о его большом и верном такте.
