автордың кітабын онлайн тегін оқу Психология личности
Артур Реан
Психология личности
© ООО Издательство «Питер», 2016
* * *
Глава 1
Личность в психологии
1.1. Понятие «личность»
Изучением вопросов, связанных с понятием «личность», занимается не только психология, но и многие другие науки, такие, например, как философия, педагогика, социология, криминология и др. В самой же психологии практически нет области, где бы не присутствовал (явно или неявно) «личностный взгляд» на проблему. Понятно, что процессы восприятия, памяти, мышления, речи и т. д. существуют не сами по себе. И воспринимает, и запоминает, и мыслит – личность. Все эти и другие психические процессы включены в личностный контекст. Не случайно поэтому выдающийся отечественный психолог В. Н. Мясищев[1] говорил, что психология безличных процессов должна быть заменена психологией деятельной личности. Только условно можно рассматривать эти процессы в отрыве от их носителя – личности. Мы знаем, что в зависимости от установок личности, которые различны у разных людей, человек по-разному воспринимает окружающую действительность, в том числе и окружающих его людей. Личностное отношение к той или иной информации влияет на процесс ее запоминания (и забывания тоже). Личностные особенности, установки, субъективное отношение к конкретным людям прямо влияют на поведение человека, его взаимодействие и общение с другими и т. д.
Что же такое личность в психологии? Существуют различные определения этого понятия, которые, несмотря на все отличия между собой, все-таки в главном не противоречат друг другу. Итак, в дальнейшем, говоря «личность», мы будем иметь в виду, что личность – это социальный индивид, субъект общественных отношений, деятельности и общения. В несколько упрощенном виде можно сказать, что термином «индивид» обозначают биологическую сущность человека, а термином «личность» – его социальную сущность. Индивидом рождаются, а личностью становятся. Однако было бы неверным представлять себе существование этих двух ипостасей человека в разрозненно-независимом виде.
Социальное в человеке не оторвано от биологического. Индивидное начало включено в личность и проявляется в личностном, но проявляется уже будучи «переработанным», ассимилированным в личность, то есть на более высоком личностном уровне. В этой связи очень метким представляется замечание (Климов Е. А., 1996) о том, что споры о доминировании «социального» или «биологического» в человеке столь же «уместны» и «логичны», как и споры о доминировании машинного и металлического в пишущей машинке или книжного и бумажного в книге.
Представление о системном единстве биологического и социального в личности характеризует и понимание личности Э. Фроммом – выдающимся психологом и философом XX в., – который считал, что личность есть целостность врожденных и приобретенных психических свойств, характеризующих индивида и делающих его уникальным. Личность включает в себя и темперамент, и способности, и особенности эмоционально-волевой сферы, и характер. Но все-таки сущность личности – это ее ценностные ориентации, ее мотивационная сфера, ее система социальных отношений и установок, в том числе обязательно и самоотношение.
Классический механицизм пытается непосредственно вывести психические явления из внешних воздействий. Отражением этого подхода на уровне личностной феноменологии является механистическая концепция социализации личности, предполагающая, что личность есть зеркальное отражение, «слепок» социальных воздействий, оказанных на нее в разное время в процессе онтогенеза. Мы специально выделили термин «механистическая», желая подчеркнуть, что феномен социализации личности вовсе не обязательно может пониматься так упрощенно. По большому счету, указанная механистическая концепция социализации личности, в сущности, вообще не является психологичной.
В противоположность сказанному для многих теорий в широком поле персоналистической психологии характерным является радикально оппозиционный подход, объясняющий психические явления исходя лишь из внутриличностных образований (мотивация, аттитюды, потребности, влечения, личностные свойства и т. д.). По мнению С. Л. Рубинштейна, нельзя искать решения вопроса и преодоления этой антитезы в том, чтобы их соединить, утверждая, что надо учитывать и внешние воздействия, и внутреннюю обусловленность психических явлений личностью, приняв, таким образом, теорию двух факторов.
Пытаясь преодолеть отмеченное противоречие между этими двумя концепциями, С. Л. Рубинштейн предлагает свою знаменитую формулу: внешние причины всегда действуют лишь опосредствованно через внутренние условия. Подчеркивается, что при объяснении любых психических явлений личность выступает как связанная воедино совокупность внутренних условий, через которые преломляются все внешние воздействия. Сами эти внутренние условия включают в себя психические явления – психические свойства и состояния личности (Рубинштейн С. Л., 1976). Такой подход преодолевает механистическое социологизаторство и является, конечно, психологичным. Психологичным, но отнюдь не панпсихологичным – рассматривающим личность как «вещь в себе», самодостаточную и изолированную от социума.
1.2. Некоторые модели личности
На сегодня в психологии нет какой-либо единственной общепринятой теории личности. Однако существует ряд теорий, которые имеют значительное влияние и большое количество сторонников. Подобных теорий, концепций и моделей личности существует великое множество. Остановимся кратко лишь на некоторых известных моделях личности.
Существуют теории личности, которые известны не только психологам, но и широким слоям населения. Одной из таких концепций является психодинамическая теория личности З. Фрейда. По Фрейду, личность образуется тремя структурными компонентами: ид (оно), эго (Я) и супер-эго (сверх-Я). Сфера ид – это инстинктивное ядро личности. Мощные инстинкты, находящиеся в сфере ид, требуют своей реализации и определяют (прямо или косвенно) поведение личности. В целом функционирование сферы ид подчиняется принципу удовольствия. В психодинамической теории Фрейда выделяются два основных инстинкта – сексуальный инстинкт, трактуемый еще как инстинкт жизни (либидо, эрос), и деструктивный, разрушительный инстинкт, трактуемый как инстинкт смерти (мортидо, танатос). Такая форма поведения человека, как агрессия, рассматривается в данной концепции в качестве инстинктивной формы поведения, как проявление деструктивного инстинкта личности.
Сфера эго – это рациональная часть личности, то есть сфера сознания. Эго находится в постоянном взаимодействии со сферой ид, пытаясь предотвратить опасные, дезадаптивные проявления двух базовых инстинктов. Рациональная сфера эго должна разрабатывать для личности такие программы действий, которые, с одной стороны, удовлетворяли бы требованиям ид, а с другой – учитывали бы требования и ограничения социального мира и собственного сознания человека. Функционирование сферы эго определяется принципом реальности.
Сфера супер-эго – это сфера морального Я личности, включающая в себя систему норм, ценностей, этических представлений, согласующихся с требованиями социума. Эта сфера формируется в процессе социализации и является, по Фрейду, последним (во временном смысле) компонентом развивающейся личности. Сфера супер-эго, хотя и не является инстинктивной, так же как и ид, находится в противоречии с рациональным эго. Можно сказать, что супер-эго пытается убедить эго в приоритете идеалистических целей над реалистическими.
Психодинамическая концепция З. Фрейда имеет множество противников и не меньше сторонников. Пожалуй, это та теория, относительно которой высказывается самое большое количество крайних, радикальных оценочных суждений – от восторженного принятия до безусловного отвержения. В наиболее крайней форме неприятие психоанализа научной психологией было сформулировано всемирно известным психологом П. Фрессом, который как-то заявил, что психоанализ – это вера, а для того, чтобы верить, надо сначала «встать на колени».
Теория личности А. Адлера известна как индивидуальная теория личности, или индивидуальная психология. Эта теория также традиционно относится к психоаналитическому направлению (Адлер – один из первых и любимых учеников Фрейда), хотя в действительности большинство положений индивидуальной психологии развивались как антитезисы теории Фрейда. Теория А. Адлера, как это ни парадоксально, по своему духу и основным концептуальным положениям может быть рассмотрена как предвестник и предтеча современной гуманистической психологии.
Сущностные основы теории Адлера связаны с такими понятиями, как: 1) фиктивный финализм, 2) стремление к превосходству, 3) чувство неполноценности и компенсация, 4) социальный интерес, 5) стиль жизни, 6) креативное Я.
Фиктивный финализм. По Адлеру, основные цели человека, то есть те цели, которые определяют направление жизни личности, представляют собой фиктивные цели – их соотнесенность с реальностью невозможно проверить. Но, несмотря на фиктивность, именно наличие таких финальных целей является реальным стимулом активности человека и объясняет его поведение. Некоторые люди, например, могут выстраивать свою жизнь исходя из представления о том, что напряженная работа и только немного удачи позволяют достичь почти всего. Это утверждение (по Адлеру) – лишь фикция, так как многие из тех, кто напряженно работают, не получают того, что они заслуживают. Другими примерами фиктивных убеждений, которые способны оказывать влияние на ход жизни человека, являются следующие: «Честность – лучшая политика», «Все люди созданы равными». Вера в то, что праведники попадут в рай, а грешников ждет ад, несомненно, также оказывает влияние на поведение человека. Подобная вера тоже является примером фиктивного финализма. Финальная цель, являясь фикцией, неким идеальным представлением, несмотря на это, играет роль реального стимула, мотива вполне конкретного, устойчивого поведения человека.
«Индивидуальная психология решительно настаивает на том, что психологические феномены невозможно понять, не основываясь на принципе финализма. Причины, силы, инстинкты, побуждения не могут быть основой для объяснения. Только финальные цели способны объяснить человеческое поведение» (Adler A., 1930).
Стремление к превосходству. Первоначально конечной целью, к которой стремятся все люди, Адлер считал стремление к власти. Однако позднее он отказался от термина «воля к власти» в пользу термина «стремление к превосходству». Стремление к превосходству при этом не сводится лишь к достижению высокого социального статуса или лидерства. Стремление к превосходству – это общее стремление к росту, движение в направлении «снизу вверх». Таким образом, стремление к превосходству может выражаться огромным числом различных способов, и каждый человек по-своему реализует это стремление.
Чувство неполноценности и компенсация. Чувство неполноценности – чувство, возникающее в связи с переживанием собственной социальной или психологической несостоятельности. Это чувство возникает из ощущения дефектности или несовершенства в любой жизненной сфере. Чувство неполноценности присуще практически всем людям. По существу, в основе всего, что делают люди, лежит стремление к преодолению ощущения собственной неполноценности и упрочение чувства превосходства. Следовательно, чувство неполноценности не является признаком патологии. Напротив, оно является причиной совершенствования человека. Вместе с тем чувство неполноценности при определенных обстоятельствах (например, связанных с неправильным воспитанием) может усиливаться и достигать аномального уровня. В этом случае говорят о формировании комплекса неполноценности. Адлер выделял три вида страданий, испытываемых в детстве, которые могут привести к развитию комплекса неполноценности: неполноценность органов, чрезмерная опека, отвержение со стороны родителей. Стремление к компенсации неполноценности ведет человека к развитию – либо в той сфере, в которой ощущается неполноценность, либо в другой. Классическим примером компенсации неполноценности органа является Демосфен, который в детстве страдал заиканием, а впоследствии стал одним из величайших ораторов. Однако в определенных случаях компенсация способна уступить место гиперкомпенсации, в результате чего развитие может пойти по аномальному пути и привести к формированию компенсаторного комплекса превосходства.
Социальный интерес. Социальный интерес (или чувство общности), по Адлеру, включает в себя стремление к кооперации, к идентификации с группой, к проявлению эмпатии и т. п. Концепция социального интереса в сущностном плане состоит в том, что у людей выражена тенденция подчинять свои личные потребности, частные выгоды делу социальной пользы, общей пользы. В своей основе социальный интерес является врожденным, так как люди – по своей природе социальные существа. Однако для того, чтобы эта природная предрасположенность проявилась в должной мере, необходимы определенные усилия. Спонтанно, автоматически она вряд будет реализована. В развитии социального интереса большое значение, таким образом, принадлежит социальному окружению и воспитанию, причем уже на самых ранних этапах развития ребенка.
Жизненный стиль. Точно определить, что такое жизненный стиль, достаточно трудно, так как сам Адлер по-разному представлял это понятие в своих работах. Вместе с тем именно понятие жизненного стиля считается наиболее характерной особенностью теории личности Адлера. Да, все люди имеют общую базовую цель – достижение превосходства, но пути ее достижения различны и уникальны. Жизненный стиль включает в себя уникальное соединение черт, способов поведения и привычек, которые, будучи взятыми в совокупности, составляют неповторимую картину существования индивида. Все поведение человека определяется его жизненным стилем. Один человек старается обрести превосходство, развивая свой интеллект, другой видит этот путь в физическом совершенствовании. Жизненный стиль, по Адлеру, формируется в детстве, приблизительно к пятилетнему возрасту, и в дальнейшем не претерпевает существенных изменений. Предполагается, что жизненный стиль определяется специфической неполноценностью ребенка, воображаемой или реальной. То есть жизненный стиль есть компенсация конкретной неполноценности. В его основе лежат наши усилия, направленные на преодоление чувства неполноценности и за счет этого упрочивающие чувство превосходства.
Креативное Я. Концепция креативного Я является самым главным и самым последним (в том числе и в хронологическом плане) элементом теории личности Адлера. Согласно идее креативного Я, человек сам творит свою личность. Наследственность и даже субъективный жизненный опыт являются лишь материалом для творчества. И даже такое основополагающее для Адлера понятие, как стиль жизни, оказывается подчиненным креативному Я: стиль жизни формируется под влиянием творческих способностей личности. То есть каждый человек может свободно создавать свой собственный стиль жизни. Таким образом, именно креативное Я является в теории Адлера первопричиной личности – той первопричиной, которая определяет и жизненный стиль, и развитие социального интереса, и сами цели жизни, а также способы их достижения.
Широкое распространение получила в психологии концепция личности Г. Айзенка. В этой теории выделяются (Eysenk, 1947) два измерения личности: интроверсия – экстраверсия и нейротизм – стабильность. Указанные два измерения (или фактора) являются независимыми друг от друга. Каждый из полюсов этих измерений личности представляет собой некую суперчерту, так как, по Айзенку, в основе каждой из них лежит совокупность нескольких составных черт. Кроме того, каждая суперчерта (например, интроверсия) – это не дискретный количественный показатель, а континуум определенной протяженности. Поэтому в теории Айзенка относительно суперчерт применяется термин «тип».
Экстравертированный тип характеризуется обращенностью личности на окружающий мир. Таким людям свойственны: импульсивность, инициативность, гибкость поведения, общительность, постоянное стремление к контактам, тяга к новым впечатлениям, раскованные формы поведения, высокая двигательная и речевая активность. Они легко откликаются на различные предложения, «зажигаются», берутся за их выполнение, но также легко могут и бросить начатое, берясь за новое дело.
Интровертированный тип характеризует направленность личности на себя, на явления собственного мира. Для таких людей характерны низкая общительность, замкнутость, склонность к самоанализу, рефлексии. Прежде чем взяться за что-либо, они анализируют условия, ситуацию, задачу; склонны к планированию своих действий. Внешнее проявление эмоций находится под контролем, но это не свидетельствует о низкой эмоциональной чувствительности, скорее справедливо обратное.
В зависимости от сочетания параметров «интроверсия – экстраверсия» и «нейротизм – стабильность» всех людей можно разделить на четыре группы (табл. 1.1).
Таблица 1.1. Категории людей, выделяющиеся на основе комбинации суперчерт (Eysenk, 1975)
Важно отметить, что представленные в табл. 1.1 черты, описывающие тот или иной тип личности, относятся к крайним вариантам типа. Понятно, что при менее выраженных особенностях (экстраверсии, интроверсии или нейротизма) и описания будут более «мягкими», не столь категоричными.
За годы существования данной концепции по всему миру проведено огромное количество исследований, целью которых было выявление различий между типами. В качестве небольшой выдержки из них представим следующие факты (Wilson, 1978; Хьел Л., Зиглер Д., 1997). Эмпирически установлено, что:
• экстраверты значительно более терпимо относятся к боли, чем интроверты;
• экстраверты делают больше пауз во время работы, чтобы поболтать и попить кофе, чем интроверты;
• интроверты предпочитают теоретические и научные виды деятельности, в то время как экстраверты склонны отдавать предпочтение работе, связанной с людьми;
• интроверты чувствуют себя более бодрыми по утрам, тогда как экстраверты – по вечерам. Соответственно интроверты лучше работают утром, а экстраверты – во второй половине дня;
• интроверты чаще признаются в практике мастурбации, чем экстраверты. Но при этом экстраверты вступают в половые связи в более раннем возрасте, более часто и с большим числом партнеров, чем экстраверты.
Значительно позже того, как Айзенк описал экстраверсию и интроверсию, он ввел в свою теорию еще одно измерение – психотизм. Таким образом, в настоящее время в теории Айзенка выделяются не два, а три ортогональных (независимых) измерения личности. Люди с высокой степенью выраженности такой суперчерты, как психотизм, являются эгоцентричными, импульсивными, равнодушны к другим, склонны к асоциальному поведению, трудно контактируют с людьми и не находят у них понимания, отличаются конфликтностью и неадекватностью эмоциональных реакций.
В модели личности К. К. Платонова, которая известна под названием динамическая функциональная структура личности, выделяются четыре процессуально-иерархические подструктуры личности. При этом задается субординация низших и высших подструктур. Основными подструктурами личности являются: 1) направленность личности, 2) опыт, 3) особенности психических процессов, 4) биопсихические свойства. В свою очередь, каждая из этих подструктур состоит из ряда компонентов, которые Платонов называет «подструктуры подструктур». Направленность личности включает в себя убеждения, мировоззрение, идеалы, стремления, интересы, желания. Опыт включает в себя привычки, умения, навыки и знания. Подструктура «особенности психических процессов» – это ощущение, восприятие, память, мышление, эмоции, воля, внимание. Биопсихические свойства включают в себя темперамент, половые и некоторые возрастные особенности.
Приложение «Знаменитые психологи» см. по адресу http://www.piter.com/download/978549600226.
Вернуться
Глава 2
Социализация личности
2.1. Представление о социализации
Человек – существо социальное. С первых дней своего существования он окружен себе подобными. С самого рождения он включен в социальные взаимодействия. Первый опыт социального общения человек приобретает еще до того, как научится говорить. В процессе социального взаимодействия он приобретает определенный социальный опыт, который, будучи субъективно усвоенным, становится неотъемлемой частью личности. Социализация – это и есть процесс и результат усвоения и последующего активного воспроизводства индивидом социального опыта. Процесс социализации неразрывно связан с общением и совместной деятельностью людей. С точки зрения психологии социализация не может, однако, рассматриваться как простое, механическое отражение личностью непосредственного испытанного или полученного в результате наблюдения социального опыта. Усвоение этого опыта субъективно. Одни и те же социальные ситуации по-разному воспринимаются, по-разному переживаются различными людьми. А потому разные личности могут выносить из объективно одинаковых социальных ситуаций различный социальный опыт. Это положение является одним из оснований, лежащих в основе прочной связи двух одновременно и противоположных, и единых процессов – социализации и индивидуализации.
Процесс социализации может осуществляться как в специальных социальных институтах, так и в различных неформальных объединениях. К специальным социальным институтам, одной из важнейших функций которых является социализация личности, относятся школы, профессиональные учебные заведения (образовательные учреждения начального профессионального образования, техникумы, вузы), детские и молодежные организации и объединения. Важнейшим институтом социализации личности является семья. Социализация может носить одновременно регулируемый, целенаправленный, и нерегулируемый, стихийный, характер. Как соотносятся понятия «воспитание» и «социализация»? Воспитание, по существу, есть одна из форм социализации личности, а именно управляемый и целенаправленный процесс социализации. Однако было бы большим упрощением представлять себе дело так, будто в официальных социальных институтах (школа, например) социализация всегда имеет целенаправленный характер и не может быть по форме стихийной, а в неформальных объединениях – наоборот. Возможность одновременного существования социализации и как целенаправленного, и как нерегулируемого процесса поясним с помощью следующего примера. Конечно, на уроке в школе усваиваются важные знания, многие из которых (особенно по общественным и гуманитарным дисциплинам) имеют непосредственное социальное значение. Однако ученик на уроке усваивает не только те социальные знания, которые являются целью урока, не только те социальные правила и нормы поведения, которые декларируются учителем в процессе обучения и воспитания. Ученик усваивает и тот социальный опыт, который является сопутствующим, «случайным», с точки зрения учителя или воспитателя. Это опыт не декларируемых правил и норм, а реально испытываемый или наблюдаемый опыт социального взаимодействия учителя с учениками, учеников между собой, учителей между собой. И этот опыт может быть как позитивным, так и негативным. Он может совпадать с целями процесса воспитания (и тогда он лежит в русле данного целенаправленного процесса социализации личности) или противоречить поставленным целям.
Можно выделить первичную и вторичную социализацию. Принято считать, что первичная социализация представляет собой нечто гораздо большее, чем просто когнитивное обучение, и связана с формированием обобщенного образа действительности. Характер же вторичной социализации определяется разделением труда и соответствующего ему социального распределения знания. Иначе говоря, вторичная социализация (П. Бергер, Т. Лукман) представляет собой приобретение специфически-ролевого знания, когда роли прямо или косвенно связаны с разделением труда. Существует и несколько иное представление, в рамках которого (Б. Г. Ананьев) социализация рассматривается как процесс, протекающий в следующих двух направлениях – становление человека как личности и становление человека как субъекта деятельности. Конечным эффектом этой социализации в виде личности и в виде субъекта деятельности является образование индивидуальности.
Социализация не есть антипод индивидуализации, процесс социализации не ведет к нивелированию личности, индивидуальности человека. Скорее наоборот, в процессе социализации и социальной адаптации человек обретает свою индивидуальность, но чаще всего сложным и противоречивым образом. Мы уже говорили, что усвоение социального опыта всегда субъективно. Одни и те же социальные ситуации по-разному воспринимаются и по-разному переживаются различными личностями. А потому они оставляют неодинаковый след в психике, в душе, в личности различных людей. Социальный опыт, который выносится разными людьми из объективно одинаковых социальных ситуаций может быть существенно различным. Таким образом, лежащее в основе процесса социализации усвоение социального опыта становится еще и источником индивидуализации личности, которая не только субъективно усваивает этот опыт, но и активно его перерабатывает. Распространенная в психологии личности (и в науках о личности в целом) парадигма «от социального к индивидуальному», несомненно, имеет серьезные основания и глубокий смысл. Однако ее прямолинейное понимание и соответствующее развитие лишают человека субъектного начала или по крайней мере делают это начало незначимым. Построение на такой основе подлинной психологии личности лишено всяких перспектив и попросту невозможно. Личность – это не только социальный индивид, но и активный субъект социального развития, и, что не менее важно, активный субъект саморазвития. Таким образом, чрезвычайно важно не просто говорить об усвоении социального опыта индивидом, но обязательно рассматривать личность в качестве активного субъекта социализации. Представляется, что продуктивной в этом контексте является идея о том, что индивид изначально является социальным (а не когда-то потом им становится), а потому его развитие осуществляется (или может осуществляться?) в бесконечно многообразных направлениях, а не только от общественного к индивидуальному (Брушлинский А. В., 1991). Дальнейшее становление этого подхода в психологии не предполагает, конечно, отказа от концепции развития личности в процессе социализации. В противном случае это была бы уже другая крайность. В действительности важно рассматривать личность в качестве активного субъекта социализации.
Более того, пожалуй, даже процесс социальной адаптации личности следует рассматривать как активно-развивающий, а не только как активно-приспособительный. Хотя, возможно, именно здесь уместно заметить, что любому процессу развития присуща внутренняя динамика приобретения и потерь. Ни один процесс развития, как справедливо отмечено (Paul B. Baltes, 1994), не состоит исключительно только из роста и совершенствования.
Процесс социализации не завершается по достижении человеком взрослого состояния. Социализация личности, образно говоря, относится по типу к процессам «с неопределенным концом», хотя и с определенной целью. И продолжается этот процесс непрерывно на протяжении всего онтогенеза человека. Из этого следует, что социализация не только никогда не завершается, но и «никогда не бывает полной» (Бергер П., Лукман Т., 1995). Наверное, кто-то может увидеть в этом основы для пессимизма и признаки фатальной обреченности на пути к достижению совершенства. Нам же представляется, что здесь заложено скорее больше позитивных тенденций и оптимистических начал. Ибо отмеченная незавершенность и неполнота развития могут быть проинтерпретированы как основания бесконечности и неограниченности саморазвития личности.
2.2. Образовательные системы и развитие личности
Образовательными системами являются все социальные институты, главной целью которых является образование человека. К образовательным системам относятся, таким образом, начальная и средняя школа, система начального профессионального образования, техникумы, высшая профессиональная школа, различные системы повышения квалификации и переподготовки кадров и др. Образовательные системы, как и любые системы вообще, имеют свою структуру, состоят из определенных элементов, которые взаимосвязаны между собой. Взаимодействие различных элементов образовательной системы или ее подсистем направлено на достижение общей для системы цели, общего позитивного результата. Такой конечной целью любой образовательной системы является обучение, воспитание и развитие личности. Мерилом достижения этой цели является результат, который в конце концов всегда надо искать в личности выпускника, а не в безличных новообразованиях типа технологий обучения, методик воспитания, организации учебного процесса, создания материальной базы и т. п. Отдельные подсистемы образовательной системы, в том числе и психологическая служба как подсистема, могут иметь свои специфические цели. Но эти цели есть лишь конкретизация общей цели, трансформация этой общей цели в специальные задачи (психологические, педагогические, методические и т. д.). Можно сказать, что все элементы образовательной системы включены не просто в процесс взаимодействия, но главной особенностью их связи является взаимосодействие, направленное на достижение целей обучения, воспитания и развития личности.
Развитие учащегося как личности, как субъекта деятельности является важнейшей целью и задачей любой образовательной системы и может рассматриваться в качестве ее системообразующего компонента. В современной школьной практике развитие, однако, далеко не всегда понимается как комплексная задача: имеется явный и сильный дисбаланс во внимании к проблемам (1) развития интеллектуального и (2) развития личностного при несомненном перевесе первого аспекта. Более того, часто развитие как задача осознанно вообще не ставится, а проблема развития подменяется вопросом о передаче знаний учащимся. Все это отражает существование дидактической доминанты в современной школе, которая реализуется на практике и имеет свои психологические корни в индивидуальном и коллективном профессиональном сознании учительства.
Однако школа, как социальный институт, должна готовить к жизни. А жизнь – это не только академические знания. Социализация не сводится, конечно, лишь к передаче знаний об основах наук. Развитие человека в школе как личности и субъекта деятельности – это обязательно: (1) развитие интеллекта, (2) развитие эмоциональной сферы, (3) развитие устойчивости к стрессорам, (4) развитие уверенности в себе и самопринятия, (5) развитие позитивного отношения к миру и принятия других, (6) развитие самостоятельности, автономности, (7) развитие мотивации самоактуализации, самосовершенствования. В том числе и мотивации учения как важнейшего элемента мотивации саморазвития.
Все эти идеи, вместе взятые, можно назвать позитивной педагогикой или гуманистической психологией воспитания и обучения. Их практическая реализация в школьной практике немыслима без участия психологов и требует дальнейшего динамичного формирования системы школьной психологии.
2.3. Социализация агрессии
Рассмотрение этого вопроса уместно будет начать с определения основного понятия. Это тем более необходимо сделать, поскольку термином «агрессия» даже в научной литературе обозначают подчас существенно различные феномены. Расширительное же употребление понятия «агрессия» в языке «человека с улицы» достигло такого уровня, что вообще приводит к размыванию границ описываемого явления. Под агрессией мы будем понимать любые намеренные действия, которые направлены на причинение ущерба другому человеку, группе людей или животному. Если говорить о внутривидовой агрессии, то определение становится еще более кратким и должно связываться с причинением ущерба другому человеку или группе людей. Несмотря на различия в определении понятия агрессии у разных авторов, идея причинения ущерба (вреда) другому субъекту присутствует практически всегда. Отличия в определении агрессии обычно связаны с другими, но также очень важными критериями. Так, Э. Фромм (Fromm Е., 1973) определяет агрессию более широко, как причинение ущерба не только человеку или животному, но и всякому неживому объекту. По этой позиции представления об агрессии Р. Бэрона (Baron R., 1994) существенно отличаются от фроммовских. Р. Бэрон специально фиксирует внимание на данном критерии и подчеркивает, что в качестве агрессивных могут рассматриваться только те действия, которые причиняют вред живым существам. Этот критерий можно, нам кажется, принять, но при одном очевидном уточнении: вред (ущерб) человеку может наноситься и посредством причинения вреда любому неживому объекту, от состояния которого зависит физическое или психологическое благополучие человека.
Понятия агрессии и агрессивности не синонимичны. Под агрессивностью в дальнейшем мы будем понимать свойство личности, выражающееся в готовности к агрессии. Таким образом, агрессия – определенные действия, причиняющие ущерб другому объекту; а агрессивность – это личностная особенность, выражающаяся в готовности к агрессивным действиям в отношении другого. Агрессивность включает в себя и социально-перцептивный компонент, заключающийся в данном случае в готовности (склонности) личности воспринимать и интерпретировать поведение другого как враждебное. В этом плане, очевидно, можно говорить о потенциально агрессивном восприятии и потенциально агрессивной интерпретации как об устойчивой для некоторых людей личностной особенности мировосприятия и миропонимания.
Существующие на сегодняшний день теории агрессии по-разному объясняют причины и механизмы агрессивного поведения человека. Одни из них связывают агрессию с инстинктивными влечениями (З. Фрейд, К. Лоренц), в других агрессивное поведение трактуется как непосредственная реакция на фрустрацию (Дж. Доллард, Л. Берковитц), в третьих агрессия рассматривается как результат социального научения (А. Бандура), имеется также множество модификаций и разновидностей этих подходов. Имеющиеся экспериментальные данные в той или иной мере подтверждают все основные теории агрессии. Мы полагаем, однако, что это является не свидетельством кризиса теорий, а говорит лишь о многоаспектности и многоплановости феномена агрессии, о полифакторной обусловленности ее как поведенческого акта и агрессивности как свойства личности. Справедливости ради необходимо отметить, что экспериментально все-таки наиболее подтверждены фрустрационная теория агрессии и теория социального научения.
Социализация агрессии, по нашему определению, есть процесс и результат усвоения навыков агрессивного поведения и развития агрессивной готовности личности в ходе приобретения индивидом социального опыта. Социоонтогенетическая детерминация агрессивности подтверждается многочисленными результатами исследований процесса социализации, социального научения и онтогенетического развития личности (P. Mussen, J. Conder et al., A. Bandura, Q. Patterson, С. Беличева, С. Кудрявцев, A. Реан, В. Семенов). Исследования Орегонского центра по изучению социального научения показали, в частности, что для семей, из которых выходят высокоагрессивные дети, характерно особое взаимодействие между членами семьи. Это взаимодействие носит вид «расширяющейся спирали», поддерживающей и усиливающей агрессивные способы поведения. Достоверно установлено, что жестокое обращение с ребенком в семье ведет не только к проявлению им агрессивного поведения по отношению к другим детям (Р. Берджес, Р. Конджер) в том же возрасте, но и к развитию агрессивности, склонности к насилию и жестокости во взрослом возрасте (С. Widom), превращая физическую агрессию в жизненный стиль личности (R. Hitchock). В пользу концепции социального научения говорит и то, что наиболее выраженные различия между агрессивными и неагрессивными детьми обнаруживаются не в предпочтениях агрессивных альтернатив, а в незнании конструктивных решений (L. Koltikandass-Jarvinen, P. Kangas). Полагаем, что в этом же ключе онтогенетической детерминации агрессии следует интерпретировать и полученные в наших собственных исследованиях данные о высоком уровне агрессии в выборке современных, внешне вполне благополучных старшеклассников. Как оказалось, высокие показатели по параметру «спонтанная агрессия» имеют 53 % обследованных, а достоверно низкие – только 9 %. У остальных показатели на уровне средней нормы. Итак, 53 % с высокой спонтанной агрессией. Но что такое здесь спонтанная агрессия? Спонтанная агрессия – это подсознательная радость, испытываемая личностью, при наблюдении сложностей и трудных ситуаций у других. Такому человеку доставляет удовольствие ткнуть носом других в их ошибки. Это спонтанно возникающее, немотивированное желание испортить кому-то настроение, досадить, разозлить. Такому человеку нравится поставить в тупик другого своим вопросом или ответом. Высокие показатели по другому параметру, «реактивная агрессия», имеют 47 % обследованных, а низкие – только 4 %. Но реактивная агрессия – это как раз проявление агрессивности при взаимодействии, при общении в качестве типичной реакции. Таких людей отличает недоверчивость. Обид они просто так, как правило, не прощают и долго их помнят. Характерным является яркая агрессивность при отстаивании своих интересов и вообще конфликтность личности. Наконец, на все это накладываются высокие показатели по раздражительности: 56 % – высокие значения, только 4 % – низкие. А раздражительность – это эмоциональная неустойчивость, вспыльчивость, быстрая потеря самообладания. При этом резкую реакцию часто вызывают даже мелочи. Все эти данные не назовешь отрадными. Больное агрессией и нетерпимостью общество заражает этой болезнью и молодое поколение. Опасность состоит в том, что у нового поколения болезнь может стать врожденной и массовой, способной таким образом превратиться из социальной патологии в социальную норму. Кстати, термин заражение мы используем здесь безо всяких кавычек намеренно, так как механизмы подражания и психологического заражения – это не метафоры, а, вообще-то, объективно существующие психологические механизмы.
Мы полагаем, что было бы целесообразно различать ординарную и парадоксальную социализацию агрессии. Ординарная социализация агрессии – это непосредственное усвоение навыков агрессивного поведения и развитие агрессивной готовности личности в результате либо прямого деятельного опыта, либо опыта наблюдения агрессии. Заметим попутно: имеется множество экспериментальных данных, из которых следует, что научение посредством наблюдения оказывает на личность даже большее влияние, чем непосредственный деятельный опыт. При парадоксальной социализации агрессии развитие агрессивной готовности личности происходит вне зависимости от наличия непосредственного опыта агрессивного взаимодействия или опыта наблюдения агрессии. Агрессивность как устойчивая личностная характеристика формируется в данном случае вследствие наличия у индивида значительного социального опыта подавления возможностей реализации его актуальных личностных потребностей. Причем имеется в виду, что это подавление осуществляется вне агрессивного контекста, без проявления физической или вербальной агрессии или же враждебности (в значении этого термина по A. Buss). Напротив, блокирование актуальных личностных потребностей чаще всего реализуется в данном опыте социального взаимодействия с «заботой» о личности, в «ее интересах», что имеет место, например, при социализации личности в рамках воспитательной стратегии, описываемой как гиперопека. Таким образом, парадоксальную социализацию агрессии можно рассматривать как фобически-агрессивный след депривационного социального опыта. Косвенным эмпирическим подтверждением предлагаемого подхода являются полученные нами (Реан А. А., 1994), парадоксальные, с традиционных позиций, данные о наличии вполне определенной связи прямого порядка между такими личностными образованиями, как застенчивость и спонтанная агрессивность.
2.4. Развитие и социализация личности в семье
Семья является важнейшим институтом социализации личности. Именно в семье человек получает первый опыт социального взаимодействия. На протяжении какого-то времени семья вообще является для ребенка единственным местом получения такого опыта. Затем в жизнь человека включаются социальные институты, такие как детский сад, школа, улица. Однако и в это время семья остается одним из важнейших, а иногда и наиболее важным фактором социализации личности. Семью можно рассматривать в качестве модели и формы базового жизненного тренинга личности. Социализация в семье происходит как в результате целенаправленного процесса воспитания, так и по механизму социального научения. В свою очередь, сам процесс социального научения также идет по двум основным направлениям. С одной стороны, социальный опыт накапливается в процессе непосредственного взаимодействия ребенка с родителями, братьями и сестрами, а с другой – социализация осуществляется за счет наблюдения особенностей социального взаимодействия других членов семьи между собой. Кроме того, социализация в семье может осуществляться также посредством особенного механизма социального научения, который получил название «викарное научение». Викарное научение связано с усвоением социального опыта за счет наблюдения научения других.
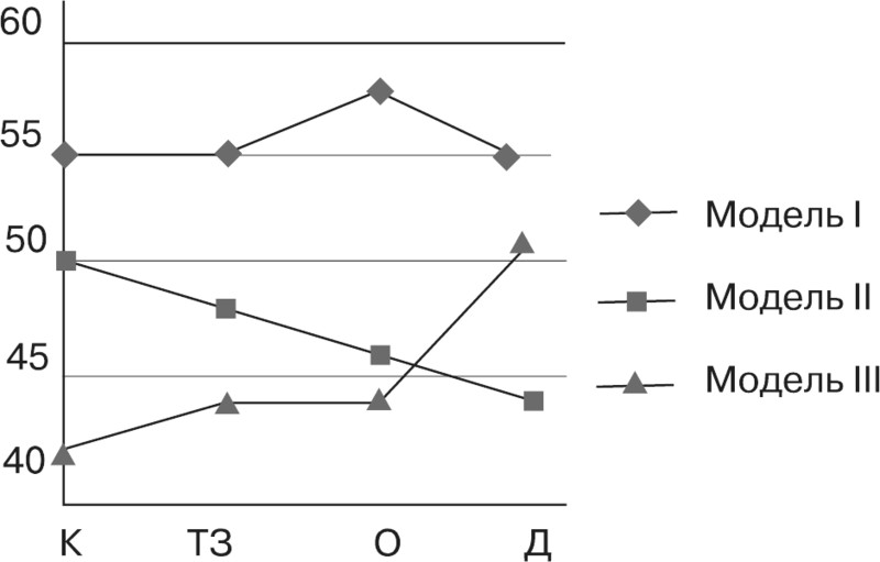
Изучению влияния стиля родительского поведения на социальное развитие детей посвящено множество исследований. Рассмотрим результаты одного из них (Д. Баумринд). В процессе исследования было выделено три группы детей. Первую группу составили дети, у которых отмечался высокий уровень независимости, зрелости, уверенности в себе, активности, сдержанности, любознательности, дружелюбия и умения разбираться в окружающей обстановке (модель I). Вторую группу образовали дети, недостаточно уверенные в себе, замкнутые и недоверчивые (модель II). Третью группу составили дети, которые менее всего были уверены в себе, не проявляли любознательности, не умели сдерживать себя (модель III).
Были рассмотрены четыре параметра поведения родителей по отношению к ребенку: контроль, требование зрелости, общение, доброжелательность. Контроль, то есть попытка влиять на деятельность ребенка. При этом определялась степень подчиненности ребенка требованиям родителей. Требование зрелости: оказание родителями давления на ребенка с целью заставить его действовать на пределе своих умственных возможностей, высоком социальном и эмоциональном уровне. Общение: использование родителями убеждения, для того чтобы добиться от ребенка уступки, выяснение его мнения или отношения к чему-либо. Доброжелательность: насколько родители проявляют заинтересованность в ребенке (похвала, радость от его успехов), теплоту, любовь, заботу, сострадание по отношению к нему.
Какими же оказались особенности стилей взаимодействия родителей с детьми в семьях, где дети демонстрировали разные модели поведения? Результаты исследования приведены на рис. 2.1.
Рис. 2.1. Типы взаимодействия родителей в соответствии с моделью поведения детей
Модель поведения I. Родители, дети которых соответствовали модели поведения I, набрали наибольшее количество очков по всем четырем признакам. Они относились к своим детям нежно, с теплотой и пониманием, доброжелательно, много с ними общались, контролировали детей, требовали осознанного поведения. Прислушиваясь к мнению детей, уважая их независимость, родители в своих действиях не исходили только лишь из желаний детей, а придерживались своих правил, прямо и ясно объясняя мотивы собственных требований. Родительский контроль сочетался с безусловной поддержкой желания ребенка быть самостоятельным и независимым. Эта модель была названа моделью авторитетного родительского контроля.
Модель поведения II. Родители, дети которых следовали модели поведения II, имели более низкие оценки по выделенным параметрам. Они больше полагались на строгость и наказания, относились к детям с меньшей теплотой, меньшим сочувствием и пониманием, редко общались с ними. Они жестко контролировали своих детей, легко применяли свою власть, не побуждали детей выражать свое собственное мнение. Эта модель была названа властной.
Модель поведения III. Родители, дети которых следовали модели поведения III, были снисходительными, нетребовательными, неорганизованными, имели плохо налаженный быт. Они не поощряли детей, относительно редко и вяло делали замечания, не обращали внимания на воспитание независимости ребенка и его уверенности в себе. Эта модель была названа снисходительной.
Любая деформация семьи приводит к негативным последствиям в развитии личности ребенка. Можно выделить два типа деформации семьи: структурную и психологическую. Структурная деформация семьи есть не что иное, как нарушение ее структурной целостности, что в настоящее время связывается с отсутствием одного из родителей (ранее о такой деформации говорили и при отсутствии в семье бабушек и дедушек). Психологическая деформация семьи связана с нарушением системы межличностных отношений в ней, а также с принятием и реализацией в семье системы негативных ценностей, асоциальных установок и т. п.
Существует достаточно много исследований, описывающих влияние фактора неполной семьи на личность ребенка. Так установлено, что мальчики гораздо острее девочек воспринимают отсутствие отца. В неполных семьях мальчики более беспокойны, более агрессивны и задиристы. Особенно сильно заметна разница между мальчиками в семьях с отцами и без них в первые годы жизни детей. В одном из исследований было показано, что двухлетние дети, чьи отцы умерли еще до их рождения, живя с матерями-вдовами, были менее самостоятельны, проявляли тревожность и агрессивность в большей степени, чем дети, у которых были отцы (Массен П., Конджер Дж. и др., 1987). При изучении детей старшего возраста выяснилось, что поведение мальчиков, чье детство прошло без отцов, оказалось менее мужественным в сравнении с теми, у кого были отцы. С другой стороны, оказалось, что поведение и личностные особенности девочек, выросших только с матерями, мало чем отличается от тех, кто жил в полной семье. Но в интеллектуальной деятельности обнаруживается разница.
Долгое время считалось, что структурная деформация семьи является важнейшим фактором, ответственным за нарушение личностного развития ребенка. Это подтверждалось и статистическими данными (как зарубежными, так и отечественными), из которых следовало, что выборки подростков просоциальной и асоциальной, в том числе и криминальной, направленности существенно отличаются между собой по критерию «полная семья – неполная семья». В настоящее время все большее внимание уделяется фактору психологической деформации семьи. Многочисленные исследования убедительно свидетельствуют, что психологическая деформация семьи, нарушение системы межличностных отношений и ценностей в ней оказывают мощнейшее влияние на негативное развитие личности ребенка, подростка, приводя к различным личностным деформациям – от социального инфантилизма до асоциального и делинквентного поведения.
Дисгармоничное развитие некоторых черт характера ребенка может быть обусловлено особенностями семейных взаимоотношений. Недооценка родителями особенностей характера детей может способствовать не только усилению конфликтности семейных отношений, но и приводить к развитию патохарактерологических реакций, неврозов, формированию психопатических развитий на базе акцентуированных черт. Некоторые типы акцентуаций наиболее чувствительно реагируют или особенно уязвимы в отношении определенных типов семейных отношений. В этом плане можно выделить (А. Е. Личко) несколько типов неправильного воспитания.
Гипопротекция – недостаток опеки и контроля, истинного интереса к делам, волнениям и увлечениям подростка. Особенно неблагоприятны при акцентуациях по гипертимному, неустойчивому типу и конформному типам.
Доминирующая гиперпротекция – чрезмерная опека и мелочный контроль. Не приучает к самостоятельности и подавляет чувство ответственности и долга. Особенно неблагоприятна для акцентуаций по психастеническому, сенситивному и астеническому типам, усиливает у них астенические черты. У гипертимных подростков приводит к резкой реакции эмансипации.
Потворствующая гиперпротекция – недостаток надзора и некритическое отношение к нарушениям поведения у подростков. Этим культивируются неустойчивые и истероидные черты.
Воспитание «в культе болезни» – болезнь ребенка, даже незначительное недомогание, предоставляет ребенку особые права и ставит его в центр внимания семьи. Культивируются эгоцентризм и рентные установки.
Эмоциональное отвержение – ребенок ощущает, что им тяготятся. Тяжело сказывается на лабильных, сенситивных и астенических подростках, усиливая черты этих типов. Возможно заострение черт и у эпилептоидов.
Условия жестких взаимоотношений – срывание зла на подростке и душевная жестокость. Способствуют усилению черт у эпилептоидов и развитию эпилептических черт на основе конформной акцентуации.
Условия повышенной эмоциональной ответственности – на ребенка возлагаются недетские заботы и завышенные ожидания. Очень чувствительным оказывается психастенический тип, черты которого заостряются и могут переходить в психопатическое развитие или невроз.
Противоречивое воспитание – несовместимые воспитательные подходы различных членов семьи. Такое воспитание может оказаться особенно травмирующим для любых типов акцентуаций.
Отношение к семье в ходе взросления меняется. В процессе социализации группа ровесников в значительной степени замещает родителей («обесценивание» родителей, по выражению Х. Ремшмидта). Перенос центра социализации из семьи в группу ровесников приводит к ослаблению эмоциональных связей с родителями. Необходимо заметить, что замечания относительно «обесценивания» родителей в подростковом и юношеском возрасте являются очень распространенными и даже, можно сказать, стали общим местом. Например, для подросткового возраста описана специальная поведенческая особенность «реакция эмансипации». Сделаны даже попытки объяснить ее с эволюционно-биологической точки зрения. Все это верно как общее направление возрастного развития личности. Однако глобализация этих представлений, гиперболизация идеи о «замещении родителей» группой сверстников мало соответствуют реальной психологической картине.
Имеются данные, что хотя родители как центр ориентации и идентификации отступают в этом возрасте на второй план, это относится лишь к определенным областям жизни. Для большинства молодых людей родители, и особенно мать, остаются главными эмоционально близкими лицами.
Так, в одном исследовании немецких ученых было показано, что в проблемных ситуациях наиболее эмоционально близким, доверенным лицом для подростка прежде всего служит мать, а затем в зависимости от ситуации в разной последовательности – отец, подруга или друг. В другом исследовании, выполненном на отечественной выборке, старшеклассники ранжировали, с кем они предпочли бы проводить свое свободное время – с родителями, с друзьями, в компании сверстников своего пола, в смешанной компании и т. д. Родители оказались у юношей на последнем (шестом) месте, у девушек – на четвертом месте. Однако, отвечая на вопрос: «С кем бы ты стал советоваться в сложной житейской ситуации?» – и те и другие поставили на первое место мать. На втором месте у мальчиков оказался отец, у девочек – друг, подруга. Иначе говоря, как заметил по поводу этих результатов психолог И. С. Кон, с друзьями приятно развлекаться, но в трудную минуту лучше обратиться к маме. Последние данные, полученные на выборках современных подростков, юношей и девушек, подтверждают эту тенденцию. Как показано в одном таком исследовании (А. А. Реан, М. Ю. Санникова), в системе отношений личности к социальному окружению (в том числе определялось и отношение к сверстникам) именно отношение к матери оказалось наиболее положительным. Было установлено, что снижение положительного отношения к матери, увеличение негативных дескрипторов (характеристик) при описании матери коррелирует с общим ростом негативизации всех социальных отношений личности.
Глава 3
Социальная адаптация личности
Проблема социальной адаптации личности является одной из сложнейших в психологии. Данная проблема чрезвычайно актуальна для многих областей психологической науки. Она ставится (и в рамках собственной специфики рассматривается) в таких разделах психологии, как психология личности, педагогическая психология, юридическая психология, психология труда, медицинская психология и психология зрелости.
Проблемы, связанные с психодиагностикой социальной адаптации личности, разнообразны и сложны. В настоящее время, пожалуй, нет какой-либо специальной методики, с помощью которой можно было бы окончательно решить задачу комплексного изучения социальной адаптации личности. При этом необходимо отметить, что, конечно, методики, связанные с проблематикой социальной адаптации, существуют. Но все они направлены на диагностику только какой-то одной составляющей социальной адаптации. Хотя в описании методик это важное обстоятельство вовсе не всегда оговаривается. Сложность же проблемы состоит в том, что комплексная психодиагностика социальной адаптации должна быть одновременно направлена на диагностику общего уровня социальной адаптации личности, на диагностику адаптированности как конкретного состояния личности, на диагностику адаптационного потенциала личности. Разработка адекватного психодиагностического инструментария в этой области затрудняется к тому же и существованием ряда проблем в рамках самой теории социальной адаптации личности. Обратимся к рассмотрению некоторых из них.
Под социальной адаптацией обычно понимают: а) постоянный процесс активного приспособления индивида к условиям социальной среды; б) результат этого процесса. При этом выделяют следующие основные типы адаптационного процесса: 1) тип, характеризующийся преобладанием активного воздействия на социальную среду; 2) тип, определяющийся пассивным, конформным принятием целей и ценностных ориентаций группы. Нам трудно согласиться с такими представлениями о типах адаптационного процесса. В самом лаконичном виде свои критические замечания и, главное, конструктивные построения мы можем представить следующим образом. Типы адаптационного процесса на самом деле различаются не по критерию «активный – пассивный». Второй из названных выше типов тоже активный. Но здесь речь идет об активном приспособлении личности, об активном самоизменении, самокоррекции в соответствии с требованиями среды. Просто пассивного принятия ценностных ориентаций среды без активного самоизменения быть не может, если речь действительно идет о процессе адаптации.
Исходя из сказанного, мы предлагаем считать критерием различения типов адаптационного процесса не «активность – пассивность», а вектор активности, его направленность. Направленности вектора активности «наружу» соответствует один тип адаптационного процесса. Он характеризуется активным влиянием личности на среду, ее освоением и приспособлением к себе. Направленности вектора активности «внутрь» соответствует другой тип адаптационного процесса. Он связан с активным изменением личностью себя, с коррекцией собственных социальных установок и привычных инструментальных, поведенческих стереотипов. Это тип активного самоизменения и активного самоприспособления к среде. И еще неизвестно, что с энергетической (физической) точки зрения и с эмоциональной (психологической) точки зрения дается легче: изменение среды или изменение себя. В любом случае, ясно, что ни о каком пассивном процессе адаптации не может быть и речи. Конформное, пассивное принятие требований, норм, установок и ценностей социальной среды без включения активного процесса самоизменения, самокоррекции и саморазвития – это не адаптация, а дезадаптация. Практически всегда (только лишь в различной степени выраженности) это переживание дискомфорта, неудовлетворенности, ощущение собственной малости и, возможно, неполноценности. Истинная адаптация – активный процесс, будь то изменение социальной среды или изменение себя. Причем активное изменение себя, оставаясь процессом адаптации (приспособления) и решая задачи адаптации, может объективно протекать как процесс развития личности.
В случае неприемлемости для личности по каким-либо причинам двух рассмотренных вариантов адаптационный процесс протекает по типу активного поиска в социальном пространстве новой среды, с высоким адаптивным потенциалом для данной личности. Последнее обстоятельство («для данной личности») является принципиально важным, потому что понятие адаптационный потенциал среды всегда должно рассматриваться в субъективном контексте.
В действительности существует еще и четвертый тип адаптационного процесса. Причем этот тип как раз и является наиболее распространенным и наиболее эффективным с точки зрения адаптации. Мы называем его вероятностно-комбинированным. Вероятностно-комбинированный тип основан на использовании всех вариантов вышеприведенных «чистых» типов. Выбор того или иного варианта осуществляется в результате оценки личностью вероятности успешности адаптации при разных типах адаптационной стратегии (вектор активности «внутрь» или «наружу»). При выборе стратегии оцениваются: а) требования социальной среды – их сила, степень враждебности, степень ограничения потребностей личности, степень дестабилизирующего влияния и т. п.; б) потенциал личности в плане изменения, приспособления среды к себе; в) цена усилий (физические и психологические траты) при выборе стратегии изменения среды или стратегии изменения себя. Ясно, что оценка всех этих параметров часто (и, возможно, в большинстве случаев) происходит в свернутом виде или даже на неосознанном, интуитивном уровне.
Распространенным и, можно сказать, хрестоматийным является утверждение о том, что основные типы адаптационного процесса формулируются в зависимости от структуры потребностей и мотивов индивида. Это утверждение представляется нам, во-первых, неполным, во-вторых, неточным. Оно неполно, так как типы адаптации формируются в зависимости не только от структуры потребностей и мотивов, но и в зависимости от индивидуально-психологических (дифференциально-психологических) особенностей личности. Например, в зависимости от уровня сенситивности, ранимости личности, или в зависимости от уровня застревания аффекта как особенности личности, или, например, в связи с такой особенностью, как эмотивная акцентуация личности. Данное утверждение является и не вполне терминологически точным, так как лучше говорить в нем не об индивиде, а о личности, если уж речь идет о социальной адаптации.
В историко-психологическом плане в исследовании проблемы социальной адаптации можно выделить (правда, несколько условно) три направления. Первое направление в основном связано с психоаналитическими концепциями взаимодействия личности и социальной среды. Хотя к этому же направлению можно отнести и некоторые психоаналитические подходы, в основном связанные с психосоматической и психофизиологической проблематикой. В целом в рамках этого направления социальная адаптация трактуется как результат, выражающийся в гомеостатическом равновесии личности с требованиями внешнего окружения (среды). Содержание процесса адаптации описывается обобщенной формулой: конфликт – тревога – защитные реакции. Кроме работ авторов психологической и психоаналитической ориентации (L. Berkowitz, E. Erikson Z. Freud и др.) близкий к этому подход реализуется в концепции общего адаптационного синдрома Г. Селье (1979, 1992). В рамках этого направления конфликт рассматривается как следствие несоответствия потребностей личности ограничивающим требованиям социальной среды. Результатом конфликта является актуализация состояния личностной тревоги. Реагируя на тревогу и нарушение внутреннего гомеостаза, эго мобилизует личностные ресурсы. Исключаются защитные реакции, которые преимущественно действуют на бессознательном уровне. Важно подчеркнуть, что степень адаптированности личности при данном подходе определяется характером ее эмоционального самочувствия. Вследствие этого выделяются два уровня адаптации: адаптированность и неадаптированность. Адаптированность при этом связывается с отсутствием у личности тревоги. Неадаптированность – с наличием проявлений состояния тревоги.
Необходимо подчеркнуть, что хотя подход Э. Эриксона и принято относить к данному направлению исследований социальной адаптации, в нем есть существенные особенности. Они состоят в том, что, по Э. Эриксону, процесс адаптации описывается формулой: противоречие – тревога – защитные реакции индивида в среде – гармоническое равновесие или конфликт. То есть конфликт – лишь один из возможных исходов взаимодействия личности и среды. Он возникает, когда недостаточны защитные реакции индивида и, подчеркнем это особо, недостаточны «уступки» среды. Другим возможным исходом является сотрудничество и гармония индивида и среды. В этом плане подход Э. Эриксона очень близок к другому направлению исследований социальной адаптации личности. Это второе направление связано с так называемой гуманистической психологией. Хотя, заметим, по нашему мнению, все объединения такого рода достаточно условны. Пожалуй, в них больше учебного и историко-научного смысла (в плане создания упрощающих классификаций), чем содержательно-психологического. Мы можем легко показать на первоисточниках, что многие идеи представителей психоаналитического направления (A. Adler, E. Fromm) вполне могут быть восприняты в качестве краеугольных постулатов гуманистической психологии. Чем, как не идеями гуманистической психологии, являются принципы адлерианских воспитательных центров – сделать личность счастливее, показать, что другие люди бескорыстно заинтересованы в тебе и желают тебе успеха, освободить от давления комплексов, продемонстрировав: другие не хуже и не лучше тебя, они такие же, как ты. И уж совсем как манифест гуманистической психологии звучат слова Э. Фромма: «…целью человеческой жизни следует считать развертывание сил человека…» А с другой стороны, можно заметить, как признанный классик гуманистической психологии B. Франкл в одной из своих работ выделяет себя из «направления» и задается самым базовым вопросом, «насколько гуманистична гуманистическая психология». Но дальнейшие рассуждения на эту интересную тему могут увести нас слишком далеко от заявленного предмета разговора.
Итак, второе направление исследований социальной адаптации представлено работами, в которых в качестве цели адаптации рассматривается достижение позитивного духовного здоровья и соответствия ценностей личности ценностям социума. При этом предполагается развитие у адаптирующегося индивида определенных необходимых личностных качеств. В этом подходе (G. Allport, A. Maslow, C. Rogers, V. Frankl) критикуется понимание адаптации в рамках гомеостатической модели. «В противоположность теории гомеостаза, – отмечает В. Франкл, – напряжение не является чем-то, чего нужно безусловно избегать… Здоровая доза напряжения, такого, например, которое порождается смыслом, который необходимо осуществить, является неотъемлемым атрибутом человечности и необходима для душевного благополучия». В гуманистической психологии в противовес идее гомеостаза выдвигается положение об оптимальном взаимодействии личности и среды. Нам представляется чрезвычайно важным отметить, что состояние оптимальности трактуется как динамическое. То есть возможно его нарушение, при котором актуализируется стремление к его достижению вновь, но уже на ином (более высоком или более низком) уровне. Процесс адаптации в данном подходе описывается формулой: конфликт – фрустрация – акты приспособления. Причем конфликт возникает при рассогласовании реальности не с любыми потребностями личности вообще, а лишь тогда, когда фрустрируются фундаментальные, базальные потребности личности. К их числу A. Маслоу относит физиологические потребности, потребность в безопасности, аффилиативные потребности (потребность в принадлежности к группе, в общении), потребность в уважении, признании, любви и потребность в самоактуализации.
Выделяются конструктивные и неконструктивные поведенческие реакции. По A. Маслоу, критериями конструктивных реакций являются: детерминация их требованиями социальной среды, направленность на решение определенных проблем, однозначная мотивация и четкая представленность цели, осознанность поведения, наличие в проявлении реакций определенных изменений внутриличностного характера и межличностного взаимодействия. Признаками неконструктивных реакций являются агрессия, реагрессия, фиксация и т. п. Эти реакции не осознаются и направлены на устранение из сознания неприятных переживаний, реально не решая самих проблем. Следовательно, эти реакции есть аналог защитных реакций (рассматриваемых в психоаналитическом направлении).
В рамках самой гуманистической психологии существуют разночтения в понимании сути, роли и места неконструктивных реакций. Так, по К. Роджерсу, неконструктивные реакции есть проявление психопатологических механизмов. По A. Маслоу же, неконструктивные реакции в определенных ситуациях (в условиях дефицита времени и информации) свойственны вообще всем здоровым людям. И в этом случае они играют, как считается, роль действенного механизма самопомощи. Такой подход нам кажется наиболее справедливым, и мы склонны придерживаться этой точки зрения. Этот подход, кстати, находит свое развитие в новейших концепциях и исследованиях личности. Так, экстернальность, будучи менее эффективным личностным конструктом (стратегией), чем интернальность, в определенных условиях становится необходимой. В некоторых ситуациях (множественность неуспехов, неудач, провалов) формируется так называемая защитная экстернальность, которая позволяет личности сохранить самопризнание, самоуважение и достаточно приемлемую самооценку.
Итак, в рамках направления исследований социальной адаптации, связанного с гуманистической психологией, процесс адаптации есть процесс оптимального взаимодействия личности и среды. Основным критерием адаптированности здесь выступает степень интеграции личности и среды.
Еще один подход в исследовании социальной адаптации связан с концепциями «когнитивной психологии» личности. Формула та же: конфликт – угроза – реакция приспособления. Однако содержание ее иное. Предполагается, что, если в процессе информационного взаимодействия со средой личность сталкивается с информацией, противоречащей имеющимся у нее установкам, возникает рассогласование между содержательным компонентом установки и образом реальной ситуации. Это расхождение (когнитивный диссонанс) и переживается как состояние дискомфорта (угроза). Угроза, в свою очередь, стимулирует личность к поиску возможностей снятия или уменьшения когнитивного диссонанса (Festinger L., 1957; Lasarus R., 1966).
Проявление когнитивного диссонанса мы можем довольно часто наблюдать в области социальной перцепции, т. е. в области восприятия человека человеком. Но сама социальная перцепция, скорее всего, должна рассматриваться в качестве раздела (области) психологии личности и межличностного взаимодействия. И потому феноменология когнитивного диссонанса в социальной перцепции, по существу, связана с проблематикой эмоциональной дезадаптации личности в процессе ее социальных взаимодействий. Скажем, известно, что как дискомфорт переживается несоответствие между субъективными социально-перцептивными оценочными эталонами личности и реальным человеком, поведение которого противоречит данным установкам или оценочным эталонам личности («Лысый – а ведет себя несолидно», «Военный – а недисциплинированный», «Немец – а не педант», «Коммерсант – а честный человек» и т. д.).
Активный поиск способов снятия или уменьшения когнитивного диссонанса может увенчаться нахождением следующих возможностей преодоления дезадаптации:
1. Личность может найти рациональные (или в действительности оправдательные) объяснения имеющемуся противоречию. Причем эти рациональные объяснения могут относиться как к себе самому («Почему я так поступил»), так и к другому субъекту взаимодействия. Например: «Его поведение сейчас не соответствует моим прогнозам (ожиданиям), но это поведение случайное, а не типичное».
2. Личность может «фильтровать» внешнюю информацию, осуществлять ее неосознаваемую селекцию. Все или многое из того, что не соответствует в личности или поведении другого человека установкам воспринимающего субъекта, не замечается или замечается не в полной мере. Такая стратегия адаптации, по существу, является предвосхищающей, или превентивной, стратегией. Ее цель в конечном счете не реадаптация, не преодоление возникающего когнитивного диссонанса. Целью здесь являются априорное избегание дискомфорта, дезадантации, недопущение возникновения когнитивного диссонанса, который будет переживаться как дискомфорт, угроза.
3. Личность может достичь вполне достаточного уровня адаптации и снятия противоречия за счет активной самокоррекции и самоизменения собственных установок. То есть адаптация наступает не за счет селекции информации об окружающей социальной среде в соответствии со своими установками, а за счет изменения самих этих установок. Этот процесс связан с изменением отношения или системы отношений личности к тем или иным реалиям. Скорее всего, именно в эту стратегию преодоления когнитивного диссонанса и достижения социальной адаптации входит знаменитая психотерапевтическая формула, утверждающая: «Если нельзя изменить обстоятельства – надо изменить взгляд на них».
Проиллюстрируем работу теории когнитивного диссонанса при решении задачи на адаптацию личности на примере эксперимента, который описан Л. Фестингером и Дж. Карлсмит (Festinger L., Carlsmith J., 1959), и повторен в работе А. Раппопорта (1994). Испытуемый должен был выполнить явно скучное задание (вычеркивание определенной буквы в очень длинном тексте). После выполнения задания испытуемого просили дать оценку этому заданию по шкалам интересности, приятности и ценности. Понятно, задача была оценена очень низко по всем этим критериям. Но смысл эксперимента, конечно, состоял не в этом. На следующем этапе испытуемого просили сказать другому испытуемому, который должен был выполнять эту же задачу, что она довольно интересная и доставляет удовольствие. В одном случае за сообщение этой ложной информации испытуемому платили $1. В другом случае испытуемый получал за эту ложь $20. На последнем этапе эксперимента под предлогом проверки экспериментальных данных самого начального этапа первых испытуемых попросили снова оценить задание по всем вышеназванным шкалам. Обе группы первых испытуемых повысили средние оценки задания, однако у испытуемых, которые получали за ложную информацию $1, это повышение было значительно большим, чем у испытуемых, которым платили за это $20. Эти результаты трудно объяснить с позиций бихевиоральной психологии. С точки зрения формулы «стимул – реакция» большее вознаграждение должно бы вызвать и большую заинтересованность в задании, оно должно было стать для этих испытуемых и менее скучным. Однако оказалось, что более высоко оценили задание «низкооплачиваемые» испытуемые, а не «высокооплачиваемые». Поведение испытуемых в этой ситуации является действительно хорошим примером решения задачи на адаптацию как преодоления когнитивного диссонанса. Дело в том, что большинство испытуемых ощущали дискомфорт, совершая обман. Эта ситуация переживалась как угроза, так как поступок[2] испытуемых (обман других) был несовместим с их оценкой самих себя как порядочных и правдивых личностей. Они могли уменьшить чувство дискомфорта двумя путями: изменить мнение о самих себе, т. е. принять, что они неправдивы, или изменить восприятие экспериментального задания, т. е. считать, что оно достаточно интересно, приятно и ценно. Это объясняет сдвиг на шкале оценок в положительную сторону при повторной оценке задания обеими группами испытуемых.
Однако у «высокооплачиваемых» испытуемых был еще один путь уменьшения когнитивного диссонанса и снижения уровня дискомфорта. Это путь рационального (прагматического) объяснения своего поступка – им хорошо платили за это. У «низкооплачиваемых» испытуемых такого рационального объяснения не было. Поэтому у них оставался только другой путь уменьшения когнитивного диссонанса – отрицать свою первоначальную мысль о том, что задание было глупым и скучным, что и привело к его восприятию и оценке при повторном шкалировании как заметно более позитивного: более интересного и более приятного.
В заключение подчеркнем (и это для нас особенно важно), что в подходе к проблеме социальной адаптации с позиций когнитивного диссонанса, как и в других теориях, выделяются два уровня адаптации: адаптация и дезадаптация. Адаптированность связывается с отсутствием переживания угрозы, дезадаптация – с выраженным эмоциональным переживанием.
Анализируя работы отечественных авторов, как стоящих на позиции деятельностного подхода, так и рассматривающих социальную адаптацию в рамках парадигмы общения и межличностного взаимодействия, А. Н. Жмыриков (1989) справедливо заключает, что и здесь используются лишь два критерия адаптированности и соответственно выделяются два уровня: полной адаптированности и дезадаптации. Теоретическая и практическая недостаточность такого рода решения проблемы социальной адаптации личности представляется нам очевидной. Во-первых, на практике действительно часто возникают ситуации, в которых принятие решения в рамках дихотомии «адаптация – дезадаптация» затруднительно. Существуют же определенные промежуточные варианты. Во-вторых, не дают возможности «успокоиться» существующие противоречия между различными теориями социальной адаптации личности, о которых мы здесь говорили. А в связи с тем, что в каждом из этих подходов есть много положительного и рационального, возникает желание «помирить» их. Иначе говоря, привлекательным кажется путь не жесткого альтернативного выбора одного из подходов, а путь создания модели социальной адаптации интегративного типа, но не схоластической.
Одна из попыток такого решения проблемы состоит в том, что в структуре социальной адаптации личности выделяются следующие компоненты (они же критерии адаптированности): выходные параметры деятельности личности, степени интеграции личности с макро- и микросредой, степень реализации внутриличностного потенциала, эмоциональное самочувствие (Жмыриков А. Н., 1989). Использование этих показателей в качестве критериев адаптации позволяет выделить четыре основ ных уровня адаптированности личности: высокий оптимальный, высокий избыточный, низкий, дезадаптивный. Этот подход нам импонирует и вполне соответствует тем основным идеям, которые мы здесь высказали, о необходимости построения более общей модели социальной адаптации. Однако и в данной модели есть определенные дискуссионные моменты. В основном они связаны с взаимозависимостью критериев «выходные параметры деятельности» и «степень интеграции личности и среды», а также с критерием «степень реализации внутриличностного потенциала». Первые два параметра взаимозависимы, так как оба являются внешними. Степень интеграции все равно проявляется через уровень деятельности (в том числе и совместной) и уровень общения. Что же касается критерия «степень реализации внутриличностного потенциала», то кажется более целесообразным говорить не о нем, а о потребности, выраженности стремлении и самоактуализации, деятельной активности по реализации внутриличностного потенциала. Именно стремление к самоактуализации и возможность наиболее полной реализации этого стремления как динамические и процессуальные параметры, а не степень реализации потенциала как статичная характеристика являются признаком социальной адаптации личности. Конечно, сказанное справедливо и является не только признаком, но и условием социальной адаптации личности, если при этом не игнорируются иные требования, выполнение которых необходимо для адаптации.
Итак, построение модели социальной адаптации более общего, интегративного типа мы связываем с выделением критериев социальной адаптации личности внутреннего и внешнего плана, а также с уходом от простой дихотомии «адаптация – дезадаптация» и с созданием более дифференцированной типологии. Предлагаемая нами модель социальной адаптации личности в схематичном виде представлена на рис. 3.1.
Рис. 3.1. Модель социальной адаптации личности
Мы говорим о Im-адаптации по внутреннему или внешнему критерию (Im от Imaginary – мнимый), подчеркивая самим названием, что это неполная, односторонняя, «ненастоящая», но возможная форма адаптации личности. И обе эти формы отличаются от Re-адаптации личности (Re от Real – действительный), которая представляет собой системную, полную, истинную социальную адаптацию личности. Внутренний критерий мы связываем с психоэмоциональной стабильностью, личностной комфортностью, состоянием удовлетворенности, отсутствием дистресса, ощущения угрозы и т. п. Внешний критерий отражает соответствие реального поведения личности установкам общества, требованиям среды, принятым в социуме правилам и критериям нормативного поведения. Дезадаптация по внешнему критерию проявляется как конфликтное, асоциальное, контрнормативное и делинкветное (крайний случай – криминальное) поведение. При этом одновременно может иметь место «внутренняя гармония» личности, т. е. адаптированность по внутреннему критерию. Системная социальная адаптация (Re-адаптация) есть адаптация по внутреннему и внешнему критериям; это появление нового системного образования – способности личности к самоактуализации в гармонии с реальным социумом.
Важным фактором социальной адаптации (как по внутреннему и внешнему критериям, так и в системном плане) является развитая социально-психологическая терпимость личности. Этот фактор эффективно срабатывает при определенных рассогласованиях позиций личности и господствующих установок среды. Развитая социально-психологическая терпимость предупреждает развитие когнитивного диссонанса, а следовательно, и дезадаптацию личности. То есть когнитивный диссонанс возникает не каждый раз при рассогласовании когнитивных образов с действительностью. При определенном отношении личности к этому рассогласованию состояние дезадаптации по механизму когнитивного диссонанса может и не возникнуть.
В структуре общего феномена терпимости мы выделяем два ее вида: 1) сенсуальная терпимость личности и 2) диспозиционная терпимость личности. Сенсуальная терпимость (лат. sensualis – чувственный, основанный на чувствах, ощущениях) связана с устойчивостью к воздействию социальной среды, с ослаблением реагирования на какой-либо неблагоприятный фактор за счет снижения чувствительности к его воздействию. Сенсуальная терпимость, таким образом, связана с классической (и даже психофизиологической) толерантностью, с повышением порога чувствительности к различным воздействиям социальной среды, в том числе к воздействию субъектов межличностного взаимодействия. Образно говоря, сенсуальная терпимость есть терпимость-черствость, терпимость-крепость, терпимость-стена. В основе диспозиционной терпимости (диспозиция – предрасположенность) лежит принципиально иной механизм, обеспечивающий терпимость личности при социальных взаимодействиях. В данном случае речь идет о предрасположенности, готовности к определенной (терпимой) реакции личности на среду. За диспозиционной терпимостью стоят определенные установки личности, ее система отношений к действительности: к другим людям, к их поведению, к себе, к воздействию других людей на себя, к жизни вообще. Примерами установок личности, обеспечивающих ее диспозиционную терпимость, являются, скажем, такие: «Все люди когда-нибудь ошибаются», «Каждый имеет право на свое мнение», «Чем больше точек зрения, тем лучше», «Агрессия и раздражительность чаще провоцируются ситуацией, а не являются внутренней сущностью человека» и т. п. Принятие стратегии и позиции, известной под названием «альтруистический эгоизм», вероятнее всего, также приводит к существенному повышению терпимости личности. Несомненно, что и в данном случае надо говорить о диспозиционной, а не о сенсуальной терпимости. Диспозиционная терпимость, следовательно, образно говоря, есть терпимость-позиция, терпимость-установка, терпимость-мироощущение. Она вовсе не связана с психофизиологической толерантностью. Носителем высокой диспозиционной терпимости, таким образом, вполне может быть высокосенситивная личность или эмотивный акцентуант.
В заключение отметим (и это прямо относится к изложенному выше подходу о сути и уровнях адаптации), что мы не отождествляем понятия «адаптированная личность» и «адаптированное состояние». Адаптированная личность – это личность, находящаяся вовсе не всегда, но преимущественно в адаптированном состоянии и обладающая высокоразвитыми способностями и умениями к выходу из дезадаптированного состояния, «снятию» дезадаптогенных факторов.
С точки зрения психодиагностики было бы целесообразным создание такой методики изучения социальной адаптации личности, которая бы основывалась на изложенном здесь системном подходе. Работа в этом направлении ведется. Вместе с тем многие психодиагностические методики, которые будут упомянуты в настоящей работе, так или иначе выходят на проблему социальной адаптации личности и могут применяться в этом ракурсе. Не повторяясь, можем лишь напомнить, что «акцентуации» (методики ПДО Личко и Леонгарда – Шмишека) и «адаптация» – понятия связанные. В методике Т. Лири прямо идет речь об адаптивном и дезадаптивном уровне развития качеств. Определенная структура мотивации (методики Х. Хекхаузена, К. Замфир и А. Реана и др.) может способствовать или препятствовать социальной адаптации личности, в том числе и профессиональной адаптации. Перечень методик, которые так или иначе выходят на проблему изучения социальной адаптации, можно продолжить. Одна
...