автордың кітабын онлайн тегін оқу От атомов к древу: Введение в современную науку о жизни
Все права защищены. Данная электронная книга предназначена исключительно для частного использования в личных (некоммерческих) целях. Электронная книга, ее части, фрагменты и элементы, включая текст, изображения и иное, не подлежат копированию и любому другому использованию без разрешения правообладателя. В частности, запрещено такое использование, в результате которого электронная книга, ее часть, фрагмент или элемент станут доступными ограниченному или неопределенному кругу лиц, в том числе посредством сети интернет, независимо от того, будет предоставляться доступ за плату или безвозмездно.
Копирование, воспроизведение и иное использование электронной книги, ее частей, фрагментов и элементов, выходящее за пределы частного использования в личных (некоммерческих) целях, без согласия правообладателя является незаконным и влечет уголовную, административную и гражданскую ответственность.
Посвящается моей матери,
Наталии Борисовне Ястребовой
предисловие
Как говорил известный биохимик сэр Фредерик Гоулэнд Хопкинс, жизнь — это такая штука, которая происходит (life is a thing that happens)1. Другими словами, жизнь — это процесс, иногда быстрый, а иногда очень медленный. Пример быстрого жизненного процесса — синтез и распад молекул, снабжающих клетку энергией: время их существования измеряется секундами. Пример медленного процесса — крупные эволюционные изменения, которые иногда растягиваются на миллиарды лет. Область знаний, охватывающая сразу все эти явления, может со стороны показаться необъятной, как пасть древнего бога смерти, одна губа которого достает до неба, а другая — до земли2. Отчасти так оно и есть. Биология — очень многоликая наука, к тому же еще и бурно развивающаяся прямо у нас на глазах (чтобы оценить это, достаточно в любой момент просмотреть, например, раздел научных новостей сайта “Элементы”). Неудивительно, что она сейчас многим интересна.
Зададимся следующим вопросом: какую вводную информацию надо сообщить разумному и заинтересованному, но совершенно несведущему в биологии человеку, чтобы он начал более-менее разбираться в этой науке и мог понимать значение свежих биологических открытий?
Предлагаемую книгу можно считать попыткой ответить на этот вопрос. Ее идеальный читатель видится автору как условный “образованный небиолог”, прекрасно (кто может в этом сомневаться?) знающий те науки, которые он серьезно изучал, но не имеющий ровным счетом никакой биологической или химической “базы”. Если такой человек по любой причине заинтересуется биологией, эта книга — для него. Уровня “когда-то что-то учил в школе, но все забыл” для начала вполне хватит.
Конечно, не может быть и речи о том, чтобы рассказать в одной книге сразу про всю современную биологию. Отбор материала — на совести автора, и за пределами совсем уж азбуки он довольно субъективен. Там, где упоминается какая-то спорная или новая информация, стоят ссылки на научные статьи, из которых она взята. Важные термины, которые пригодятся для понимания дальнейшего рассказа, при первом употреблении выделяются курсивом.
Книга состоит из четырех частей: “Химия жизни”, “Механизм жизни”, “Древо жизни” и “История жизни”. В первой части (“Химия жизни”) сообщается, из чего, собственно говоря, состоит живая материя. Вторая часть (“Механизм жизни”) рассказывает о том, как живые существа обращаются с информацией и с энергией. Третья часть (“Древо жизни”) — это обзор всеобщего эволюционного древа. В ней вкратце обсуждается, какие существуют большие группы живых организмов, кто из них кому родня, какие между ними есть важные различия. И наконец, в четвертой части (“История жизни”) вся жизнь на Земле рассматривается как единое целое и мы прослеживаем главные события, произошедшие на нашей планете за последние четыре с лишним миллиарда лет.
Тем, кто соприкоснулся с биологией более или менее впервые, лучше читать эту книгу подряд, по возможности не пропуская глав. Продвинутые читатели, которых в наше время тоже хватает, скорее всего, сориентируются сами. Автор надеется, что некоторые разделы могут быть интересны и профессиональным биологам (это в основном относится ко второй половине книги). И третья, и четвертая части намеренно написаны так, чтобы любую из них можно было читать как самостоятельный очерк. Поэтому, если биологическая “база” у вас есть — вы совершенно спокойно можете читать книгу с середины, а в начало заглянуть потом, если пожелаете.
Когда наброски первой части книги выкладывались в ЖЖ, автору регулярно задавали один и тот же вопрос: почему там так много химии? Ответ: потому что элементная база живых систем — химическая. От этого никуда не денешься. И потом, разве не интересно знать, чем, например, фруктоза, известный компонент диетических сладких продуктов, отличается от обычного сахара, или почему глицин служит успокаивающим средством, или каков механизм действия кофе на нервную систему, или вреден ли на самом деле глутамат? С помощью биологической химии понять такие вещи легко, а без нее совершенно невозможно. В любом случае, об основах химии тут рассказывается с нуля и на таком упрощенном уровне, что автору будет даже неловко перед читателями-химиками, если это сочинение попадет им в руки.
Эпиграфом ко всей книге, наверное, можно было бы поставить знаменитые слова Феодосия Добржанского: “Ничто в биологии не имеет смысла иначе как в свете эволюции” (Nothing in biology makes sense except in the light of evolution)3. Добржанский, разумеется, был абсолютно прав. Любая особенность любого биологического объекта в конечном счете является результатом какого-нибудь эволюционного — а можно сказать, и “исторического” — события. Надо только выяснить какого. Автору хотелось попытаться применить этот способ объяснения абсолютно ко всем предметам разговора, от атомов и молекул до эволюционного древа (отсюда и название книги). Насколько удачно это получилось, решать читателям.
Несколько слов о том, чего в книге нет. Прежде всего, в ней нет ни одной математической формулы: все изложено на качественном уровне. На первый план выведена классическая событийная история — история живых организмов. Помещенный в начале книги обзор химических основ жизни нужен в основном для того, чтобы лучше понять эту историю (и ее истоки).
Нет и кое-каких разделов, которые традиционно включаются в книги подобного рода и отсутствие которых наверняка заметит критически настроенный читатель. Чтобы облегчить ему задачу, можно уже в предисловии перечислить несколько явных упущений. Во-первых, почти что ни слова не сказано о современной эволюционной теории. Во-вторых, проигнорирована проблема жизненных циклов и их эволюции (даже митоз и мейоз не обсуждаются). В-третьих, разговор про эволюцию планов строения многоклеточных животных заканчивается, не начавшись. Вначале автор хотел посвятить каждой из этих тем по главе, но в ходе работы стало понятно, что это невозможно сделать, если не превращать книгу в многотомник. Все три названные темы — очень интересные, и пробегать их мимоходом не хочется. О них надо рассказывать отдельно.
благодарности
Великому писателю Умберто Эко — за название. Я решил, что “От атомов к древу” звучит не хуже, чем “От древа к лабиринту”.
Гениальному популяризатору науки Айзеку Азимову — за заочные уроки, которые он щедро рассыпал по своим книгам, и за невероятную жажду знаний, которой он умел заразить читателя.
Памеле Кемп и Карен Армс, авторам замечательной книги “Введение в биологию”, которую я впервые прочитал в 13 лет и которая служит для меня образцом того, как подобные книги надо писать.
Многочисленным читателям научного блога caenogenesis.livejournal.com — за обратную связь, которая была особенно важна в начале работы и которую я получил в полной мере.
Коллективу Летней экологической школы (ЛЭШ) и Весенней экологической школы (ВЭШ), где я читал лекции, послужившие основой для нескольких глав этой книги.
Сотрудникам журнала “Химия и жизнь”, где была предварительно опубликована в виде серии статей четвертая часть книги (“История жизни”). Отдельная благодарность лично Елене Клещенко, работать с которой — огромное удовольствие.
Асе Казанцевой и Денису Земледельцеву — за то, что они взяли на себя труд прочитать черновик и высказать полезные замечания.
Марии Егоровой — за то, что она, будучи по профессии лингвистом, послужила моделью идеального читателя, и за интересные комментарии.
Александру Владимировичу Маркову — за тщательную научную редактуру, в результате которой книга стала лучше, и в целом за поддержку.
Благодарю коллег — высококвалифицированных биологов, согласившихся внимательно прочитать и откомментировать отдельные разделы книги: Михаила Александровича Никитина, Михаила Валерьевича Погорелого, Алексея Викторовича Чернышева, Дмитрия Андреевича Шабанова и особенно Дмитрия Викторовича Леонтьева, который очень помог мне со сложнейшей в научном отношении третьей частью.
И наконец, беспредельная благодарность — моим университетским учителям: Борису Дмитриевичу Васильеву, Феликсу Яновичу Дзержинскому, Александру Сергеевичу Раутиану, Владимиру Васильевичу Малахову, Андрею Александровичу Каменскому, Юрию Таричановичу Дьякову и Леониду Степановичу Гузею. С некоторыми из перечисленных я общался много и тесно, других знал только по лекциям, но повлияли на меня они все. Надеюсь, что в книге это отразилось.
часть i
ХИМИЯ ЖИЗНИ
1. углерод
Мышь любит мармелад, потому что в нем много кислот.
юрий олеша. три толстяка
Из чего состоят живые организмы?
Ответить на это очень легко: живые организмы, как и неживые тела, состоят из атомов.
Значение этого утверждения, что называется, трудно переоценить. Нобелевский лауреат Ричард Фейнман говорил в начале своих знаменитых “Фейнмановских лекций по физике”1:
“Если бы в результате какой-то мировой катастрофы все накопленные научные знания оказались бы уничтоженными и к грядущим поколениям живых существ перешла бы только одна фраза, то какое утверждение, составленное из наименьшего количества слов, принесло бы наибольшую информацию? Я считаю, что это атомная гипотеза (можете называть еe не гипотезой, а фактом, но это ничего не меняет): все тела состоят из атомов — маленьких телец, которые находятся в беспрерывном движении, притягиваются на небольшом расстоянии, но отталкиваются, если одно из них плотнее прижать в другому”.
Сказанное Фейнманом, конечно, правда. Однако любое научное утверждение обязано иметь те или иные границы применимости. Поищем их и тут. Атомная гипотеза — это великое достижение человеческой мысли, но целиком ли Вселенная состоит из атомов? И все ли живые организмы состоят только из них?
На первый из этих вопросов ответ, как ни странно, будет однозначно отрицательным. Начнем с того, что наша Вселенная возникла в результате Большого взрыва примерно 13,8 миллиарда лет назад, и с тех пор ее состав сильно изменился. Насколько можно судить, в первые 300 000 лет во Вселенной не было ни одного атома (хотя были частицы нескольких других типов). Но и после того, как атомы возникли, они не стали главной составляющей космоса. По данным космической обсерватории “Планк”, нынешняя Вселенная на 4,9% состоит из обычных элементарных частиц, способных сложиться в атомы, на 26,8% — из темной материи (которая не проявляет никаких наблюдаемых свойств, кроме массы) и на 68,3% — из темной энергии (про которую вообще непонятно, связана ли она хоть с какими-нибудь материальными телами)2. Грубо говоря, Вселенная состоит из обычных атомов не больше чем на 5%.
Подчеркнем, что эти соотношения отражают современное положение вещей. Несколько миллиардов лет назад они наверняка были иными, ведь Вселенная непрерывно развивается; это подтверждается и расчетами на основе общей теории относительности, и прямыми наблюдениями космического реликтового излучения. Итак, данные исследований показывают, что сейчас части Вселенной, построенные из обычного вещества, представляют собой, по сути, всего лишь острова среди океанов темной материи и темной энергии, в глубины которых людям еще только предстоит заглянуть. (Между прочим, именно о таких исследованиях мечтает доктор Хаус в первой серии восьмого сезона знаменитого сериала.)
А вот на наш второй вопрос — все ли живые системы состоят из атомов? — ответом будет уверенное “да”. В этом плане биологический мир гораздо менее разнообразен, чем физический. Любое живое существо построено из атомов, и только из атомов, в полном соответствии с классической атомной гипотезой. Примеры иных, не атомных форм жизни можно пока найти лишь в научной фантастике. Например, в великом романе Станислава Лема “Солярис” упоминаются живые существа, созданные не из атомов, а из очень легких элементарных частиц — нейтрино. Но это не более чем мысленный эксперимент, поставленный писателем. В реальной биологии нам приходится иметь дело только с атомами и их устойчивыми сочетаниями, которые называются молекулами. А из молекул, в свою очередь, складываются вещества. Как писал тот же Фейнман, любое вещество — это свой тип расположения атомов.
Мир атомов довольно разнообразен. На момент написания этих строк ученым известно 118 видов атомов, которые принято называть химическими элементами. Правда, в живых телах встречаются далеко не все из них, а те, что встречается, распределены там очень неравномерно.
Хорошая новость заключается в том, что атомы часто бывают очень долговечными. В тех процессах, которые непосредственно изучает биология, они почти никогда не распадаются, не возникают заново и не превращаются друг в друга. Это не означает, что они не превращаются друг в друга вообще никогда: очень скоро мы увидим, что, если бы не было взаимных превращений атомов (точнее, их ядер), во Вселенной не смогла бы возникнуть жизнь. Однако для понимания того, как устроены живые тела, нам будет вполне достаточно учитывать взаимодействие готовых и неизменных атомов между собой.
Кратко про атомы
Итак, атомы.
Уже довольно давно известно, что они состоят из трех типов элементарных частиц: протонов, нейтронов и электронов (см. рис. 1.1А). Протоны и нейтроны — частицы относительно массивные, любой из них примерно в 1800 раз тяжелее электрона. Из протонов и нейтронов состоит атомное ядро, а из электронов — внешняя оболочка атома, которую обычно прямо так и называют электронной оболочкой. Электроны, образующие оболочку, перемещаются вокруг ядра по чрезвычайно сложным траекториям, но, как правило, не слишком от него удаляясь.
Самое важное для нас свойство элементарных частиц даже не масса, а электрический заряд. Здесь действуют абсолютно четкие и очень простые закономерности.
- Протон электрически заряжен положительно, электрон — отрицательно, а нейтрон не имеет никакого заряда.
- По величине отрицательный заряд электрона строго равен положительному заряду протона. Принято считать, что протон имеет заряд +1, а электрон –1.
- Число электронов в атоме по умолчанию равно числу протонов, так что заряд целого атома равен нулю. Если же число электронов отличается от числа протонов, значит, перед нами не просто атом, а заряженная частица — ион.
Физики еще в XVIII веке выяснили, что электрические заряды бывают двух типов: положительные и отрицательные. Также они обнаружили, что разноименные заряды притягиваются, а одноименные отталкиваются. Этот закон называется основным законом электростатики, или законом Кулона (на самом деле он записывается формулой, позволяющей точно определить силу притяжения или отталкивания, но мы тут обойдемся без математики). Закон Кулона действует где угодно, в том числе и внутри атома. Собственно говоря, электроны и протоны потому и образуют единый атом, что они электростатически притягиваются друг к другу. Для справки добавим, что протоны и нейтроны “склеиваются” в атомное ядро притяжением совсем другого рода — так называемым сильным ядерным взаимодействием, которое на маленьких расстояниях гораздо мощнее электростатического. Именно поэтому протоны в ядре держатся вместе, несмотря на отталкивающую их друг от друга кулоновскую силу.
Самый главный параметр любого атома — это число протонов, или атомный номер (Z). Величина Z однозначно определяет положение данного атома в периодической системе элементов, то есть в таблице Менделеева. Как мы уже знаем, число электронов обычно равно числу протонов. А вот что касается числа нейтронов, то оно может при одном и том же числе протонов быть разным. Атомы, имеющие одинаковый атомный номер, но разное число нейтронов, называются изотопами. Если слово “изотопы” не упоминается, значит, число нейтронов нам в данном случае неважно. Все атомы, имеющие одинаковое число протонов, по определению относятся к одному химическому элементу.
Самый простой из всех возможных атомов — водород (Z=1). Он состоит из одного протона и одного электрона. Нейтронов в нем может не быть вовсе (хотя могут и быть, в зависимости от того, какой это изотоп). Если лишить обычный простейший атом водорода его единственного электрона, от него останется положительно заряженный ион, в данном случае представляющий собой не что иное, как “голый” протон.
Еще в начале XIX века английский химик и врач Уильям Праут выдвинул опередившую свое время гипотезу, что атомы всех других химических элементов образуются в результате объединения того или иного количества атомов водорода3. И он был не так уж далек от истины. Все атомы действительно состоят из однотипных частиц, самый простой возможный набор которых дает не что иное, как атом водорода (Z=1). Второй по сложности атом — гелий (Z=2), третий — литий (Z=3), ну а дальше в нашем распоряжении вся таблица Менделеева. Самые тяжелые атомы содержат больше сотни протонов и около двух сотен нейтронов. Но с такими чудовищами мы в биологии не встретимся.
Химические связи
Самый важный для нас способ взаимодействия атомов называется ковалентной связью (см. рис. 1.1Б). Это связь, образуемая общей парой электронов — по одному от каждого из двух атомов. Можно считать, что электроны этой пары принадлежат обоим атомам сразу. На графических формулах, отображающих строение молекул наглядно, ковалентную связь обозначают простой чертой между символами химических элементов. Именно такими связями и соединены атомы в большинстве обычных молекул. Пример — молекула водорода. Она состоит из двух атомов водорода (H), образующих единственную ковалентную связь между собой: H–H, или сокращенно H2.
Иногда ковалентные связи бывают двойными — образованными сразу двумя парами электронов — или даже тройными — образованными сразу тремя парами. Чем выше кратность связи, тем эта связь при прочих равных условиях прочнее. Двойные ковалентные связи встречаются в биологии очень часто. Тройные — намного реже, но знать об их существовании все-таки не помешает. На графических формулах двойные и тройные связи обозначают, соответственно, двойными или тройными черточками между символами атомов. Например, между атомами кислорода (O) вполне может образоваться двойная связь. В результате получится молекула O=O, или сокращенно O2. Кстати, это и есть тот самый атмосферный кислород, которым мы дышим.
Гораздо реже ковалентной (по крайней мере, в живой материи) встречается ионная связь, представляющая собой электростатическое притяжение заряженных частиц. Мы уже знаем, что по закону Кулона одноименные электрические заряды отталкиваются, а разноименные — притягиваются. Поэтому положительно заряженная частица (катион) и отрицательно заряженная (анион) обязательно притянутся друг к другу. Уже упоминалось, что ионом называется любая самостоятельно существующая частица, в которой число электронов отличается от числа протонов. Сам этот термин, предложенный Майклом Фарадеем, происходит от греческого слова, означающего “идущий”: в растворе, через который пропущен электрический ток, положительно заряженные ионы движутся к отрицательному полюсу, а отрицательные — к положительному Атом становится ионом, если он приобрел лишний электрон или, наоборот, часть своих электронов где-то потерял.
Отличный пример ионной связи демонстрирует всем известная поваренная соль NaCl (натрий хлор), формулу которой можно переписать как [Na+][Cl–]. Это означает, что кристалл соли состоит из положительно заряженных ионов натрия и отрицательно заряженных ионов хлора в соотношении один к одному. В данном случае каждый атом хлора как бы отбирает один электрон у соседнего атома натрия.
Элементы жизни
Химический состав живой материи довольно однообразен. Для того чтобы в первом приближении разобраться в устройстве живой клетки, достаточно знать всего-навсего пять химических элементов. Это водород (H), кислород (O), азот (N), углерод (C) и фосфор (P). На атомные номера этих элементов мы пока не будем обращать внимания: во-первых, нет ничего легче, чем найти их в таблице Менделеева, а во-вторых, для нас сейчас гораздо важнее другой показатель. Самое главное, что нам нужно знать о любом химическом элементе, — это его валентность, то есть число ковалентных связей, которые может образовать его атом.
Итак, валентность водорода равна 1, кислорода — 2, азота — 3, углерода — 4 и фосфора — 5. Эти числа надо просто запомнить. Иногда у некоторых из перечисленных элементов бывают и другие валентности, но, занимаясь биологией, это можно игнорировать во всех случаях, кроме немногих особо оговоренных. Одновалентный водород, двухвалентный кислород, трехвалентный азот, четырехвалентный углерод и пятивалентный фосфор — главные химические слагаемые жизни (см. рис. 1.2).
Иногда по ходу разговора нам будут встречаться и другие атомы, например сера (S), натрий (Na), хлор (Cl), калий (K) или железо (Fe). Но постоянно помнить о них не надо. Пяти главных биогенных (то есть образующих жизнь) химических элементов для начала вполне достаточно.
Сверхновые и жизнь
Не подлежит сомнению, что большинство атомов в нашей Вселенной — это атомы водорода и гелия. Астрофизики утверждают, что 13 миллиардов лет назад, то есть “всего лишь” через несколько сот миллионов лет после Большого взрыва, соотношения были следующими: примерно 75% всех атомов во Вселенной составляли атомы водорода, примерно 25% — атомы гелия, а на атомы всех более тяжелых элементов, вместе взятых, приходилось 0,00007%4. Конечно, с тех пор Вселенная изменилась. Но и сейчас все элементы, кроме водорода и гелия, составляют в сумме не больше 2% существующих атомов. Между тем очевидно, что из водорода, валентность которого равна единице, и гелия, который вообще неохотно образует химические связи, никаких сложных молекул не построишь.
Сравнив количество разных видов атомов в современной Вселенной, мы сразу увидим, что самые распространенные в ней после водорода и гелия элементы — кислород (Z=8), углерод (Z=6) и азот (Z=7). Это можно наглядно показать на графике, изображающем относительное обилие химических элементов в нашей галактике Млечный Путь (см. рис. 1.3). По горизонтальной оси там можно отложить атомный номер (Z), а по вертикальной — распространенность элементов, причем желательно в логарифмическом масштабе (попросту говоря, это означает, что каждая “ступенька” на вертикальной оси соответствует разнице не на единицу, а в 10 раз). На таком графике первым делом бросается в глаза уже известный нам факт: водорода и гелия в Галактике во много раз больше, чем всех остальных химических элементов вместе взятых. Эти два элемента — вне конкуренции. В области лития (Z=3), бериллия (Z=4) и бора (Z=5) наблюдается явный провал, потому что ядра этих атомов относительно неустойчивы: в системе ядерных реакций, происходящих в звездах, они легко синтезируются, но так же легко и распадаются. Ядро железа (Z=26), наоборот, исключительно устойчиво. Многие ядерные реакции, идущие в недрах звезд, на нем заканчиваются, поэтому железо дает на графике высокий пик. Но самые распространенные после водорода и гелия элементы в Млечном Пути, несомненно, кислород, углерод и азот, именно те, которые стали химическими “кирпичиками” жизни. Вряд ли это случайность.
Кроме того, нельзя не заметить, что график обилия химических элементов в Галактике — отчетливо “зубчатый”. Элементы с четными атомными номерами в среднем встречаются во Вселенной намного чаще, чем элементы “примерно того же достоинства” с нечетными. Еще сто лет назад на это независимо друг от друга обратили внимание два химика — итальянец Джузеппе Оддо и американец Уильям Харкинс. Их статьи вышли, соответственно, в 1914 и 1917 годах5. А правило, согласно которому элементы с четными номерами при прочих равных условиях преобладают над элементами с нечетными номерами, до сих пор называется в их честь правилом Оддо — Харкинса. Это правило обязательно приходится принимать во внимание, например при анализе химического состава земной коры6.
Разгадка правила Оддо — Харкинса была предложена уже его первооткрывателями. Дело в том, что атомные ядра тяжелых элементов образуются в основном за счет слияния более легких ядер. Между тем ясно, что при слиянии двух одинаковых атомных ядер в любом случае получится ядро элемента с четным числом протонов, то есть с четным атомным номером. А затем образовавшиеся ядра сливаются друг с другом, давая опять же в первую очередь элементы с четными номерами. Например, “горение” гелия (Z=2), при котором его ядра объединяются друг с другом с большим выходом энергии, дает сначала неустойчивые короткоживущие ядра бериллия (Z=4), потом ядра углерода (Z=6), а потом и кислорода (Z=8).
До начала звездообразования во Вселенной были только водород, гелий и следовые количества лития. Насколько мы сейчас знаем, все элементы тяжелее лития синтезируются только в звездах и распространяются в результате взрывов сверхновых7. Это означает, что живым организмам было просто не из чего образоваться, пока не закончился жизненный цикл хотя бы первого поколения звезд и эти звезды не взорвались.
Авторами самой знаменитой статьи, описавшей механизм синтеза химических элементов в звездах, были четверо ученых: Маргарет Бербидж, Джеффри Бербидж, Уильям Фаулер и Фред Хойл. Эту статью часто называют по инициалам авторов “B2FH” (“бэ-квадрат-эф-аш”). Инициатором исследования был астрофизик Хойл: именно он первым догадался, что в звездах может синтезироваться не только гелий, но и углерод. Благодаря Хойлу в работу включились сперва профессиональный физик-ядерщик Фаулер (поначалу он был настроен скептически, но Хойл его переубедил), а потом астрономы Бербиджи. В сети легко найти замечательную фотографию, на которой все четверо отмечают 60-й день рождения старшего из них — Фаулера, а последний радуется действующей модели паровоза, которую ему подарили коллеги.
Статья B2FH опровергла более раннюю гипотезу Георгия Гамова, который считал, что ядра всех элементов синтезировались прямо во время Большого взрыва и с тех пор их концентрации остаются примерно постоянными. На самом деле гораздо вероятнее, что в первые миллиарды лет после Большого взрыва Вселенная была чисто водородно-гелиевой. И только потом она стала обогащаться тяжелыми элементами с помощью сверхновых звезд (“тяжелыми элементами” мы сейчас называем все, что тяжелее гелия или, в крайнем случае, лития).
Космическая эволюция
Итак, тяжелые элементы синтезируются внутри звезд и рассеиваются в пространстве, когда эти звезды взрываются в качестве сверхновых. Влияние сверхновых звезд на элементный состав Вселенной, таким образом, огромно. Рассеянные их взрывами тяжелые элементы входят в состав космической пыли, а она конденсируется в звезды следующего поколения — уже с полноценными системами, включающими землеподобные планеты. Этой темы мы еще коснемся позже, в главе 13.
Превращение водорода и гелия в более тяжелые элементы было одним из промежуточных этапов космической эволюции, которая привела к возникновению Солнечной системы, жизни и человека. Теория B2FH (если она верна) сама по себе показывает, что этой эволюции не могло не быть. В древней водородно-гелиевой Вселенной никогда бы не возникли ни Земля, ни жизнь. Сама возможность их появления стала результатом длинной цепочки событий космического масштаба, в ходе которых весь мир не раз качественно менялся (например, возникали ранее не существовавшие химические элементы, а вместе с ними — новые типы звезд). Вот такое качественное изменение мы и называем эволюцией. Это единый процесс, охватывающий физические, химические и биологические явления.
Тут стоит притормозить, чтобы уточнить значение слова “эволюция”. Традиционно существует два понимания этого термина — “узкое” и “широкое”. Эволюция в “узком” смысле определяется разными авторами несколько по-разному, но в любом случае она ограничивается чисто биологическими процессами и факторами (такими, например, как изменение частот генов в популяциях или перестройка жизненных циклов). Эволюция в “широком” смысле включает в себя не только исторические процессы, изучаемые биологией, но и исторические процессы, изучаемые другими науками — физикой, химией, астрономией, геологией, социальной историей. “Широкое” понимание эволюции можно встретить у Феодосия Григорьевича Добржанского, знаменитого генетика, одного из крупнейших биологов XX века.
“Общепринятого определения эволюции не существует, — писал Добржанский. — Эволюция — это изменение, но не любое изменение есть эволюция. Самое узкое определение признает только биологическую эволюцию, элементарные события которой — изменения частот генов в популяциях живых организмов. Накопление и объединение таких генетических событий на протяжении долгих периодов времени приводит к крупным биологическим изменениям: амеба или примитивный вирус могут превратиться в человека или могучий дуб. Когда примерно три миллиарда лет назад на планете Земля возникла жизнь, это было результатом сложной серии процессов, протекавших в неорганической природе. А примерно два миллиона лет назад биологическая эволюция породила человека — существо, способное к абстрактному мышлению, коммуникации на языке символов, обладающее самосознанием и осознанием своей смертности. Ясно, что между Большим взрывом, запустившим образование химических элементов, и появлением условий, подходящих для возникновения жизни, во Вселенной произошло множество событий. Эти события складываются в космическую (неорганическую) эволюцию. С другой стороны, человек — главный герой исторического процесса, в ходе которого биологические изменения его организма перекрываются культурной наследственностью, действующей через обучение. История человечества связана в первую очередь с эволюцией культуры. Три эволюции — космическая, биологическая и культурная — составляют единый грандиозный процесс универсальной эволюции”8.
По определению палеонтолога Валентина Абрамовича Красилова, эволюция — это серия последовательных изменений с исторически значимым результатом9. Это определение не противоречит “широкому” пониманию эволюции по Добржанскому, и именно оно будет по умолчанию принято в данной книге. Синтез тяжелых элементов в звездах — это часть процесса космической эволюции, о котором мы будем время от времени говорить и дальше (в главах 3, 4, 7, 13, 16). Потом мы перейдем к биологической эволюции, разговору о которой будет посвящена почти вся вторая половина книги (главы 12–17). И только культурная эволюция в этой книге почти не рассматривается, за исключением краткого упоминания в конце главы 17.
Самый главный атом
Химия известных нам живых систем основана на одном главном элементе — углероде.
Проясним кое-какие термины. Любая совокупность атомов и молекул в химии (и в биологии) называется веществом. Вещества могут быть простыми (состоящими из одного элемента) или сложными (состоящими из разных элементов). Сложное вещество, в котором атомы разных элементов соединены между собой химическими связями, называется соединением. Любое соединение, как правило, имеет постоянный состав, который можно описать простой формулой, указывающей число атомов каждого элемента в его молекуле. Например, молекула воды состоит из двух атомов водорода (H) и одного атома кислорода (O). Соответственно, формула воды — H2O.
Однако сейчас нас интересуют соединения углерода (C). Они настолько разнообразны, что их изучением занимается целая область химии — органическая химия. Поначалу, в XIX веке, органической химией назвали химию веществ, образующихся в растительных и животных организмах и получаемых из них. Постепенно стало понятно, что в состав почти всех этих веществ входит углерод. В итоге органической химией стали называть химию любых более-менее сложных соединений углерода, безотносительно к тому, есть они в живых телах или нет. Сокращенно такие соединения принято называть просто “органическими веществами”. Многие из них действительно имеют какое-то отношение к живым (или мертвым) организмам, но далеко не все. Химический состав организмов — предмет отдельной науки, которая называется биохимией.
Углерод — шестой по счету элемент таблицы Менделеева. Это означает, что его атом содержит шесть протонов (Z=6). Чистый углерод известен нам в виде алмаза, графита или угля. А валентность углерода в органических соединениях всегда равна 4. Это — важнейший факт, без знания которого понять устройство живых организмов просто невозможно.
Кроме того, углерод имеет три химические особенности, отчасти объясняющие, почему органических соединений так много. Во-первых, атом углерода способен образовывать устойчивую ковалентную связь почти с любым другим элементом менделеевской таблицы; далеко не про каждый атом можно такое сказать. Во-вторых, атомы углерода отлично образуют ковалентные связи друг с другом, создавая в результате длинные цепочки (в том числе ветвящиеся), кольца и другие сложные структуры. И в-третьих, ковалентная связь “углерод — углерод” легко может стать кратной, то есть двойной или тройной. К связям углерода с некоторыми другими элементами это тоже относится. Склонность углерода к образованию кратных связей очень важна и в органической химии, и в биохимии.
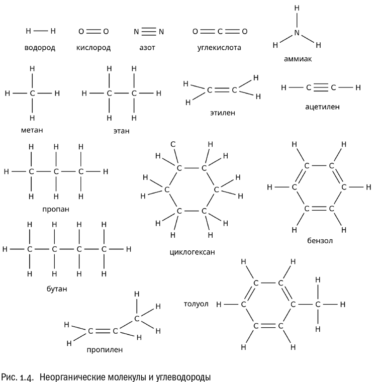
Углеводороды
Самое простое на свете органическое соединение называется метаном. Молекула метана состоит из одного атома углерода и четырех атомов водорода, соединенных с углеродом ковалентными связями. На языке химических символов это выглядит так: один углерод (C) и четыре водорода (H) образуют молекулу CH4 (формула метана). В более подробной формуле — графической — каждую ковалентную связь обозначают чертой, проводимой в данном случае между символами C и H.
Химические соединения, состоящие только из углерода и водорода, вполне логично называются углеводородами (см. рис. 1.4). Метан — это самый простой возможный углеводород. Примеры углеводородов, следующих за ним по сложности: этан (C2H6), пропан (C3H8), бутан (C4H10), пентан (C5H12), гексан (C6H14). Основу любой из этих молекул образует цепочка атомов углерода, соединенных между собой ковалентными связями. А все валентности, свободные от углерод-углеродных связей, там занимают атомы водорода. Зная эти принципы, нарисовать структуру углеводорода с любым заданным числом углеродных атомов можно очень легко. На графических формулах видно, что несколько знакомых нам теперь углеводородов — этан, пропан, бутан, пентан и гексан — отличаются друг от друга только числом совершенно одинаковых групп –CH2–.
Цепочки атомов углерода, соединенных ковалентными связями, образуют основу не только углеводородов, но и многих других органических веществ. Длина этих цепочек ничем не ограничена, в них вполне могут входить десятки, сотни, а иногда и тысячи атомов. Кроме того, углеродные цепочки не обязательно линейны. Они могут ветвиться, а могут и замыкаться в кольца.
Но и это еще не все. Бывают такие углеводороды, где некоторые углерод-углеродные связи в цепочке — двойные или тройные, то есть образованы двумя или тремя парами электронов. Напомним, что валентность углерода в органических молекулах всегда равна четырем. Поэтому атом углерода, участвующий в образовании двойной связи, может присоединить на один атом водорода меньше, а при тройной связи — на два атома водорода меньше по сравнению с атомом углерода, все связи которого одинарные. Разумеется, это отражается в формулах веществ. Простейший углеводород с двойной связью — этилен (C2H4), один из относительно немногих углеводородов, всерьез интересующих физиологов: он служит гормоном у растений. Простейший углеводород с тройной связью — ацетилен (C2H2). На современной Земле биохимическое значение ацетилена не слишком велико, зато он распространен в космосе и считается одним из самых вероятных участников добиологического синтеза, приведшего когда-то к возникновению жизни10. Это довольно активное вещество, которое прекрасно горит и может поэтому использоваться для освещения. В старину ацетиленовые фары умудрялись ставить даже на велосипеды. Взрыв такой велосипедной фары стал ярким воспоминанием героев повести Джерома Джерома “Трое на велосипедах” (продолжения знаменитой “Трое в одной лодке”): “…мы тихо-мирно ехали по Уитби-роуд, беседовали о Тридцатилетней войне, и вдруг твоя фара взорвалась, как будто из ружья пальнули. От неожиданности я свалился в канаву. Никогда не забуду лица миссис Гаррис, когда я говорил ей, что ничего страшного не произошло, волноваться не следует — тебя уже несут на носилках, а врач с сестрой будут с минуты на минуту...”[1] Сейчас ацетиленовые светильники используются редко. Дольше всего они продержались на отдаленных маяках, куда было трудно провести электричество.
Двинемся дальше. В некоторых углеводородах замыкание углеродной цепочки в кольцо сочетается с присутствием двойных связей, причем сразу нескольких. Самый известный из таких углеводородов — бензол (C6H6). Молекула бензола — это кольцо из шести атомов углерода с тремя одинарными и тремя двойными связями между ними (см. рис. 1.5А). Одинарные и двойные связи в кольце строго чередуются. В результате у каждого атома углерода остается по одной свободной валентности, и эти валентности заполняет, как всегда, водород.
Структуру бензола выяснил тот же знаменитый химик, который открыл четырехвалентность углерода, — немец Фридрих Август Кекуле. В свое время это было занимательной химической “интригой”: состав молекулы бензола — шесть атомов углерода и шесть атомов водорода — уже был точно известен, а вот порядок связей в этой молекуле долго оставался загадкой. Кекуле далеко не сразу удалось ее разгадать. Однажды он задремал днем у камина и увидел сон, в котором несколько переплетающихся змей образовали кольцо. Сон и подсказал ему правильную графическую формулу бензола11. Эту историю часто рассказывают школьные учителя химии, почему-то заменяя змей на цепляющихся друг за друга обезьян, которых Кекуле якобы видел в зоопарке. Про обезьян, судя по всему, чистейшая выдумка; но сон, навеянный размышлениями о бензоле, действительно был, и структуру бензола Кекуле установил в результате верно.
Правда, тут есть одна важная поправка. Проведенные в XX веке физические исследования показали, что все шесть углерод-углеродных связей в молекуле бензола на самом деле одинаковы: одинарные связи там невозможно отличить от двойных. Объясняется это тем, что электроны, образующие двойные связи, делокализованы (“размазаны”) по всему кольцу. И в результате все углерод-углеродные связи в бензоле не строго одинарные и не строго двойные, а как бы “полуторные” (см. рис. 1.5Б). На схемах органических молекул шестичленное углеродное кольцо с такой системой связей часто обозначают простым шестиугольником с кругом внутри (см. рис. 1.5В, Г). Эта структура — так называемое ароматическое ядро — есть во многих органических молекулах, в том числе и биологически активных. Ароматическое ядро, не входящее в состав никакой другой молекулы, — это просто бензол.
Жаль только, что Фридриха Августа Кекуле обычно упоминают в книгах в связи с формулой бензола и ни с чем другим. Тем самым его невольно недооценивают. Ведь Кекуле открыл не что-нибудь, а четырехвалентность углерода! Это одно из важнейших химических открытий XIX века, сильно повлиявшее на развитие не только химии, но и биологии.
Углеводороды, как правило, биохимически неактивны. Подавляющее большинство органических соединений, участвующих у живых организмов в обмене веществ, содержит как минимум еще и кислород, то есть к углеводородам никак не относится.
Спирты
Теперь давайте вспомним, что валентность кислорода равна двум. На языке химических символов это означает, что кислород может входить в органические соединения в виде группы –O–. Если же одну из валентностей кислорода займет водород, то получится группа –O–H, сокращенно просто –OH (черточку, обозначающую связь, в формулах часто опускают, это никак не влияет на их смысл). Группа –OH называется гидроксильной, а органические соединения, в состав которых она входит, — спиртами (см. рис. 1.6).
Самый простой из всех возможных спиртов — метиловый, или метанол. Он включает всего один атом углерода, к которому присоединены три атома водорода и гидроксильная группа. Формулу метилового спирта можно записать так: CH3OH. Добавим, что группа –CH3 называется метильной. Итак, молекула метилового спирта состоит только из метильнойи гидроксильной групп.
Если атомов углерода в молекуле больше одного, то получаются более сложные спирты — этиловый (C2H5OH), пропиловый (C3H7OH), бутиловый (C4H9OH) и так далее. В общем, любой спирт можно описать как соединение, состоящее из гидроксильной группы и углеводородного радикала (радикал — это изменяемая часть молекулы, все равно что x в арифметическом уравнении).
В спирте может быть и несколько гидроксильных групп, если присоединить их к разным атомам углерода (к одному и тому же нельзя: такая молекула будет слишком неустойчивой). Например, можно создать спирт с двумя атомами углерода, двумя гидроксильными группами и формулой C2H4(OH)2. Это будет этиленгликоль. Возможен и спирт в виде цепочки из трех атомов углерода, каждый из которых несет свою гидроксильную группу. Это будет глицерин. Все свободные валентности и в этиленгликоле, и в глицерине заняты атомами водорода (далее мы будем опускать это уточнение, с органическими веществами оно подразумевается само собой). Краткая формула глицерина — C3H5(OH)3. Биохимикам он интересен, потому что с его участием образуются жиры и некоторые другие важные для клеток вещества — мы поговорим о них в главе 5.
Переведем дух. Очевидно, что обилие химических формул (а дальше их будет еще больше!) при поверхностном взгляде вполне может отпугнуть человека, который раньше никогда в своей жизни ни с чем подобным не сталкивался. Очередная хорошая новость заключается в том, что в этой области практически невозможно ошибиться. Ведь, по сути, единственное, что надо знать для составления формул органических веществ, — это валентности элементов (напомним: водород — 1, кислород — 2, азот — 3, углерод — 4, фосфор — 5). Любая графическая формула, нарисованная с соблюдением этих валентностей, уже тем самым будет правильной. Конечно, вещество может оказаться редким, или неустойчивым, или никем еще не полученным, или относящимся к неизвестному вам классу, но его формула от этого верной быть не перестанет. Полная творческая свобода: знай себе комбинируй готовые блоки в новые структуры.
Формулы органических веществ в чем-то напоминают китайские и японские иероглифы. Они примерно так же составляются из набора готовых радикалов (известный филолог-японист Кирилл Черевко так и пишет: “Иероглифы образуются из различных сочетаний ограниченного числа простых элементов — подобно тому как из атомов образуются молекулы”). Причем в случае с иероглифами количество радикалов намного (в десятки раз) больше, а правила их сочетания куда прихотливей.
Любая графическая формула — это своего рода уникальный “портрет” данного соединения. Из запечатленного в ней порядка связей сразу же следуют многие свойства вещества, как физические, так и химические. Например, гексан (C6H14) и бензол (C6H6) существенно различаются по свойствам, хотя оба они — углеводороды, включающие по шесть атомов углерода. Свойства соединений, в состав которых дополнительно входит кислород или азот, скорее всего, будут различаться еще сильнее. И что самое главное, эти различия будут закономерными: химик, мало-мальски разбирающийся в строении молекул, легко их предскажет.
В общем, мир органических соединений разнообразен, увлекателен и, главное, внутренне логичен. Знакомство с ним, даже на самом начальном уровне, менее всего похоже на примитивную зубрежку. Воспримем это знакомство как легкую прогулку по “зоологическому саду молекул” — наподобие “зоологического сада планет”, о котором писал Гумилев в стихотворении “Заблудившийся трамвай”. В этой области чем больше формул — тем понятнее.
От эфиров до углеводов
Сделаем еще один шаг. Кислород (–O–) может входить в органические молекулы не только в составе гидроксильной группы. С тем же успехом он способен образовать мостик между двумя атомами углерода, как, например, в диметиловом эфире: CH3–O–CH3. Вещества с общей формулой R1–O–R2, где R1 и R2 — любые углеводородные радикалы, называются простыми эфирами. Диметиловый эфир — их простейший представитель.
Остановимся в этом месте. Нам уже знакомо вещество под названием “этиловый спирт” (он же просто этанол). Так вот, краткая формула этилового спирта полностью совпадает с записанной таким же способом краткой формулой диметилового эфира: C2H6O! Хотя это совершенно разные вещества, они относятся к разным классам и обладают разными химическими свойствами. Вещества, имеющие одинаковый атомный состав, но разную структуру, называются изомерами. Изомерия, то есть существование изомеров, — это очень частое явление в органической химии, в том числе и в биохимии.
Легко заметить, что этиловый спирт (CH3–CH2OH) и диметиловый эфир (CH3–O–CH3) на самом деле отличаются только положением атома кислорода: в одном случае он находится между углеродом и водородом, а в другом — между двумя углеродами. Такого изменения часто бывает достаточно, чтобы “перенести” вещество в другой класс или, во всяком случае, серьезно изменить его свойства. Разные органические молекулы строятся из одних и тех же блоков по принципам, очень напоминающим знаменитый конструктор лего. А число изомеров у сложных молекул может быть любым — вплоть до десятков, сотен, тысяч, миллионов и так далее. У белков и нуклеиновых кислот оно вообще достигает астрономических величин (см. главы 3, 8).
Разнообразие кислородсодержащих органических веществ вовсе не исчерпывается спиртами и простыми эфирами. Дело в том, что кислород может образовать с углеродом не только одинарную связь, но и двойную. К самому кислороду тогда больше ничего не присоединяется (двойная связь поглощает обе его валентности), и возникает легко узнаваемая группа –СO–. Если по обеим сторонам этой группы находятся углеводородные радикалы, такое соединение называется кетоном. Общая формула кетона: R1–CO–R2. Самый простой кетон имеет формулу CH3–CO–CH3 и называется ацетоном; он широко известен как бытовой растворитель. Если же по одну сторону от группы –CO– находится углеводородный радикал, а по другую просто атом водорода, то такое соединение называется альдегидом. Общая формула альдегида: R–CO–H.
Интересно, что и вещество с формулой H–CO–H, где оба радикала сводятся к атомам водорода, тоже принято считать альдегидом. Название этого вещества — муравьиный альдегид, или формальдегид. Это одно из самых простых органических веществ в природе. Водный раствор формальдегида, часто используемый биологами для консервации объектов, — жидкость с отвратительным едким запахом, которая называется формалином. За формальдегидом по сложности следует уксусный альдегид (CH3–CO–H), ну и так далее.
Бывает и так, что в одну и ту же молекулу входит несколько разных кислородсодержащих групп. Например, спирт, который одновременно является альдегидом или кетоном, по-научному называется углеводом. Самый простой из всех возможных углеводов — гликольальдегид, формула которого CH2OH–CO–H. Как видим, гликольальдегид включает в себя всего два атома углерода. Один из этих атомов углерода несет гидроксильную группу (как в любом спирте), а второй входит в состав альдегидной группы.
Относительно простые углеводы часто называют сахарами. Таким образом, гликольальдегид — это двухуглеродный сахар. Вот тут мы уже в полной мере заходим в область биологии: гликольальдегид — важный участник обмена веществ во всех живых клетках.
Еще более широко известны сахара, основу которых образуют цепочки из пяти или шести атомов углерода. Такие сахара называют, соответственно, пяти- или шестиуглеродными. Познакомимся для начала с тремя их представителями:
- рибоза — пятиуглеродный сахар с четырьмя гидроксильными группами и альдегидной группой;
- глюкоза — шестиуглеродный сахар с пятью гидроксильными группами и альдегидной группой;
- фруктоза — шестиуглеродный сахар с пятью гидроксильными группами и кетогруппой.
Краткую формулу рибозы можно записать так: C5H10O5. А глюкоза и фруктоза — изомеры с общей формулой C6H12O6. Сравнив их графические формулы, легко увидеть, что глюкоза отличается от фруктозы только положением группы –CO– (в глюкозе на конце углеродной цепочки, а во фруктозе внутри нее). Этого достаточно, чтобы дать веществу совсем другие химические свойства. И действительно, фруктоза несколько иначе, чем глюкоза, участвует в нашем обмене веществ. Именно поэтому ее часто используют в качестве заменителя обычного сахара (в состав которого глюкоза как раз входит). Сладкие продукты “на фруктозе” можно сейчас найти в любом супермаркете.
Мир кислот
Следующий интересный класс веществ — карбоновые кислоты (см. рис. 1.7). Это соединения, в состав которых входит группа –CO–OH (она называется карбоксильной). Любая карбоновая кислота по общему виду формулы похожа на альдегид, но отличается от него “лишним” атомом кислорода, который и превращает альдегидную группу (–CO–H) в карбоксильную (–CO–O–H). Общая формула карбоновой кислоты: R–COOH, где R — любая углеводородная цепочка или просто атом водорода.
Простейшая карбоновая кислота — муравьиная (HCOOH). Следующая по сложности — уксусная (CH3COOH), затем — пропионовая (C2H5COOH), масляная (C3H7COOH) и т.д. Бывают и гораздо более экзотично выглядящие карбоновые кислоты: например, щавелевая, молекула которой представляет собой две карбоксильные группы, соединенные встык (HOOC–COOH). Она действительно есть в щавеле, а также в ревене и некоторых других растениях. Или бензойная кислота, имеющая в качестве радикала ароматическое ядро (C6H5COOH). Она тоже содержится во многих растениях, например в бруснике и клюкве, а еще служит широко распространенным консервантом (пищевая добавка E210).
Более того, молекула карбоновой кислоты вполне может включать в себя и другие группы, кроме карбоксильной. Например, в некоторых кислотах помимо карбоксильных групп есть гидроксильные (см. рис. 1.8). Такие соединения, по определению, являются одновременно кислотами и спиртами. Их называют спиртокислотами или (чаще) оксикислотами. Именно к этому классу относится важный промежуточный продукт нашего обмена веществ — молочная кислота, молекула которой включает три атома углерода, одну карбоксильную группу и одну гидроксильную (CH3–CHOH–COOH). Винная кислота, химию которой в свое время изучал великий Луи Пастер, устроена чуть сложнее: четыре атома углерода, две карбоксильные группы и две гидроксильные (HOOC–CHOH–CHOH–COOH). Она действительно есть в вине, а иногда добавляется и в еду, например в кондитерские изделия (пищевая добавка Е334). Заметим, что пугаться таких добавок не стоит: очень часто они, как в данном случае, представляют собой безобидные вещества, с тем же успехом изобилующие в самых что ни на есть натуральных продуктах. Винной кислоты, например, много в винограде и яблоках.
Бывают и такие кислоты, которые одновременно являются альдегидами или кетонами. Тут достаточно одного примера: пировиноградная кислота — простейшая кетокислота с формулой CH3–CO–COOH. Эта молекула тоже играет огромную роль в нашем обмене веществ (см. главу 11).
И еще несколько слов о спиртах. Карбоновая кислота и спирт могут вступить между собой в реакцию, при которой от карбоксильной группы отщепляется –OH, а от спиртовой –H. Эти отщепленные фрагменты тут же образуют воду (формула которой H–O–H или H2O). А остатки кислоты и спирта соединяются в сложный эфир — молекулу с общей формулой R1–CO–O–R2. Надо учитывать, что сложные эфиры и уже знакомые нам простые эфиры — это совершенно разные классы соединений, которые ни в коем случае нельзя путать. По-английски, например, они обозначаются разными корнями, соответственно ester (сложный эфир) и ether (простой эфир). Среди биологически активных веществ есть и те и другие, но сложных эфиров там в целом больше. Без знания того, что это такое, невозможно разобраться, например, в устройстве клеточной мембраны.
Кислоты versus основания
А теперь нам самое время задаться вопросом, что такое кислота. И заодно — что такое основание.
Начнем с кислоты. Как правило, кислотой называют молекулу, которая в водном растворе диссоциирует (это высоконаучный термин, означающий “распадается”) на катион водорода, то есть протон (H+), и некий анион. Например, уксусная кислота (CH3COOH) распадается в водном растворе на протон и ацетат-ион, имеющий формулу CH3COO–. Так же ведут себя и все остальные карбоновые кислоты. И не только карбоновые, но и любые другие. Например, соляная кислота (HСl) потому и называется кислотой, что распадается в воде на протон (H+) и ион хлора (Cl–). Правда, на самом-то деле протон не способен самостоятельно существовать в водном растворе — он всегда мгновенно захватывается водой, образуя так называемый ион гидроксония (H3O+). Концентрацию именно этих ионов реально измеряют при определении кислотности раствора.
Шведский химик Сванте Аррениус определял кислоту как соединение, диссоциирующее в водном растворе с образованием протона (H+), а основание — как соединение, диссоциирующее в водном растворе с образованием гидроксил-иона (OH–). Это определение — исторически первое и до сих пор самое известное, именно его обычно учат на уроках химии в школе. Хороший пример основания по Аррениусу — едкий натр NaOH, он же гидроксид натрия или просто натриевая щелочь. Это типичное ионное соединение. Даже в твердом состоянии натриевая щелочь состоит из ионов [Na+] и [OH–], а в воде она на эти ионы тут же распадается.
Теперь — плохая новость. В биохимии определение кислот и оснований по Аррениусу совершенно неприменимо. Вместо него мы будем пользоваться определением датского химика Йоханнеса Николауса Брёнстеда: кислота — молекула, отдающая протон, основание — молекула, принимающая протон.
Что это значит? Пусть, например, у нас взаимодействуют уксусная кислота и вода. В процессе взаимодействия от уксусной кислоты (CH3COOH) оторвется протон (H+), который перейдет к воде (H2O). В результате получатся анион CH3COO– и катион H3O+. В этой реакции уксусная кислота “работает” кислотой (она отдала протон), а вода — основанием (она присоединила протон). Это и есть определение Брёнстеда. Запись этой реакции будет такой:
CH3COOH + H2O ⇌ CH3COO– + H3O+
А если для простоты проигнорировать участие воды, то такой:
CH3COOH ⇌ CH3COO– + H+
По Брёнстеду, “кислота” или “основание” — это не постоянное свойство соединения, а только и исключительно его роль в данной химической реакции. В принципе даже уксусная кислота может оказаться в “непривычной” для себя роли основания, если смешать ее с какой-нибудь более сильной кислотой — например, серной (H2SO4). В этом случае серная кислота отдаст протон и превратится в анион HSO4–, а уксусная кислота присоединит протон и превратится в довольно редкий, однако вполне реально существующий катион CH3COOH2+:
CH3COOH + H2SO4 ⇌ HSO4– + CH3COOH2+
И, по нашему определению, уксусная кислота в этой реакции будет основанием.
К счастью, условия, с которыми приходится иметь дело в биологии, настолько однотипны, что для подавляющего большинства веществ смена ролей кислот и оснований там редкость. Так что мы можем смело считать кислотой любую молекулу, которая в условиях живой клетки обычно отдает протон, а основанием — любую молекулу, которая в условиях живой клетки обычно его присоединяет. Единственное важное исключение — вода. Она примерно с одинаковым успехом может и отдавать протон, и присоединять его. Для всех остальных веществ “роли” кислот и оснований тут более-менее постоянны.
Одно из самых распространенных в природе оснований — гидроксил-ион OH–, тот самый, который образуется при диссоциации щелочи. Он очень легко присоединяет к себе протон и превращается в воду. Но с тем же успехом в составе основания может и не быть атомов кислорода. Например, аммиак (NH3) — образцовое основание, никакого кислорода не содержащее. В растворе молекула аммиака присоединяет к себе протон и превращается в катион аммония (NH4+). Кстати, этот ион очень похож по структуре на молекулу метана (CH4). Различаются они только зарядом ядра центрального атома.
А теперь вернемся к органической химии. Соединения углерода, в которых есть группа –NH2, называются аминами. Общая формула аминов: R–NH2. Сама группа –NH2 называется аминогруппой. При желании вполне можно сказать, что амин — это аммиак, у которого вместо одного из атомов водорода углеводородная цепочка. Аминогруппа в составе амина сохраняет основные свойства (такие же, как у аммиака), поэтому амины остаются полноценными основаниями. Самый простой из всех возможных аминов — метиламин (CH3–NH2), где атом углерода всего один. Как и следует из названия, он состоит из двух групп: метильной и аминогруппы. Между прочим, это то самое вещество, с кражами которого был связан ряд приключений героев захватывающего сериала “Во все тяжкие” (Breaking Bad).
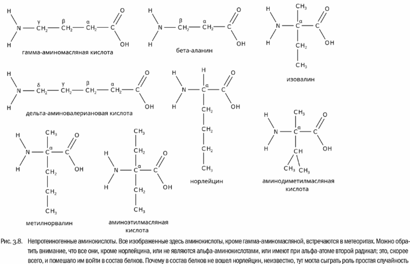
Что ж, двинемся еще на шаг вперед. Любое вещество, включающее одновременно аминогруппу (–NH2) и карбоксильную группу (–COOH), то есть являющееся одновременно амином и карбоновой кислотой, называется аминокислотой. Вот мы и добрались до насущного хлеба биохимиков. Роль аминокислот в живых организмах огромна: они служат и питательными веществами, и промежуточными продуктами обмена веществ, и — это, пожалуй, самое главное — “кирпичиками”, из которых строятся важнейшие для земной жизни молекулы, а именно белки. Как именно это происходит, мы узнаем в главе 3.
Любая аминокислота проявляет одновременно кислотные свойства (как карбоновая кислота) и основные (как амин). Когда аминокислота попадает в водный раствор, ее карбоксильная группа обычно теряет протон, зато аминогруппа в тот же самый момент протон приобретает. В результате получается цвиттер-ион — нейтральная молекула, разные части которой несут компенсирующие друг друга разноименные заряды. Карбоксильная группа, отдав протон, становится анионом, аминогруппа, присоединив протон, становится катионом, а суммарный электрический заряд молекулы аминокислоты в результате остается равным нулю.
Самая простая из всех возможных аминокислот — глицин. Формула глицина: NH2–CH2–COOH. Интересно, что в нашем организме, как и в организмах многих животных, глицин служит нейтротрансмиттером, то есть веществом, передающим сигналы в нервной системе. Причем его действие на нервные клетки — тормозящее, то есть затрудняющее возбуждение. Именно поэтому глицин часто принимают в качестве успокоительного. Так вот, по химической формуле это типичная аминокислота. В цвиттер-ионной форме она будет выглядеть так: NH3+–CH2–COO–.
Углеродный шовинизм
Сейчас мы знаем уже довольно много о химических “слагаемых” жизни. Мы знаем, что такое спирты, альдегиды, кетоны, карбоновые кислоты, простые и сложные эфиры, углеводы, амины и аминокислоты. Все это — соединения углерода. Но вот вопрос: обязательно ли любая жизнь должна быть основана на углероде?
Мнение, что жизнь может быть только углеродной, еще в 1970-х годах стали называть “углеродным шовинизмом”. Люди, употреблявшие этот термин — например, известный философ Пауль Фейерабенд, — считали “углеродный шовинизм” признаком ограниченности воображения ученых, не способных допустить существование чего-то высокоорганизованного, но при этом принципиально отличающегося от привычных нам земных животных и растений. Этот подход отлично спародировал Станислав Лем в “Звездных дневниках Ийона Тихого”. Есть там эпизод, где один ученый-негуманоид, житель огненной планеты с аммиачной атмосферой, поучает своего студента следующим образом:
“Как выглядят разумные существа иных миров? Прямо не скажу, подумай сам, научись мыслить. Прежде всего они должны иметь органы для усвоения аммиака, не правда ли? Какое устройство сделает это лучше, чем скрипла? Разве они не должны перемещаться в среде в меру упругой, в меру теплой, как наша? Должны, а? Вот видишь! А как это делать, если не хожнями? Аналогично будут формироваться и органы чувств — зрявни, клуствицы и скрябы...”
Что ж, не будем уподобляться косному мудрецу с огненной планеты. Включим воображение. В мысленных экспериментах на роль химической основы жизни не раз предлагались вместо углерода другие элементы, способные создавать цепочки атомов, — кремний (Si), бор (B) или азот (N). Однако бор и азот имеют валентность 3, а не 4, и это уже ограничивает разнообразие соединений, которые из них можно получить. При этом бора во Вселенной чрезвычайно мало, а длинные цепочки атомов азота образуются только при огромных давлениях, какие могут существовать разве что в глубинах планет-гигантов. В условиях, более-менее напоминающих земные, самым вероятным кандидатом на роль заменителя углерода остается кремний. Он имеет подходящую валентность 4, образует соединения, подобные углеводородам, и может реагировать с кислородом. Но есть несколько причин, по которым углерод при прочих равных условиях все же больше подходит на роль химической основы жизни.
Во-первых, углерод легко образует двойные связи (важнейшее для земной биохимии свойство!), а кремний из-за большего размера атома к этому неспособен.
Во-вторых, двуокись углерода (CO2) — это при нормальных условиях углекислый газ, прекрасно растворяющийся в воде. А двуокись кремния (SiO2) при тех же условиях — тугоплавкое твердое вещество с кристаллической решеткой, прошитой множеством ковалентных связей. Чистый SiO2 — это попросту кварц. Очевидно, что включить его в обмен веществ было бы гораздо труднее, чем углекислоту CO2.
В-третьих, кремний-кремниевая связь менее прочна, чем углерод-углеродная, поэтому кремневодороды по сравнению с углеводородами гораздо легче разлагаются.
В итоге надо признать: вероятность, что жизнь на других планетах окажется углеродной, достаточно высока. И тот факт, что наша собственная жизнь оказалась углеродной, определенно неслучаен. Но это вовсе не значит, что живые существа, возникшие в любой точке Галактики, будут копиями земных! Любители поспорить о возможности кремниевой жизни зачастую упускают из виду, что альтернативная биохимия, очень сильно отличающаяся от земной, в принципе может быть получена и без всякого нарушения “углеродного шовинизма”.
Давайте-ка еще раз присмотримся к химическим компонентам живых клеток. Из тех веществ, которые нам уже знакомы, в состав клеток входят, прежде всего, спирты, углеводы, сложные эфиры, карбоновые кислоты, оксикислоты и аминокислоты. Что у них общего? Ответ однозначен: все эти соединения — кислородсодержащие. Мы уже видели, что группы, за счет которых они отличаются друг от друга, почти всегда включают кислород (аминогруппа тут — единственное исключение, но и в аминокислотах кислород по определению всегда есть). Итак, земная жизнь построена из кислородсодержащей органики.
Однако ниоткуда не следует, что эта возможность — единственная. В состав органических молекул вполне могут входить и многие другие элементы помимо кислорода — например, азот и сера. С азотом мы уже знакомы, а о сере (S) сейчас достаточно сказать, что ее валентность в органических веществах чаще всего равна двум — как у кислорода. А теперь назовем навскидку несколько классов органических соединений, в которых есть азот или сера, зато никакого кислорода нет (см. рис. 1.9):
- имины — соединения с двойной связью между углеродом и азотом (C=N);
- нитрилы — соединения с тройной связью между углеродом и азотом (C≡N);
- азосоединения, включающие двойную связь между атомами азота (N=N);
- тиолы, тионы, тиоэфиры, тиоальдегиды и тиокарбоновые кислоты — аналоги, соответственно, спиртов, кетонов, простых эфиров, альдегидов и карбоновых кислот, в состав которых вместо кислорода входит сера.
Зная валентности элементов, мы можем легко представить себе набор простых представителей иминов (CH3–CNH–CH3), нитрилов (CH3–C≡N), азосоединений (CH3–N=N–CH3), тиолов (CH3–SH), тионов (CH3–CS–CH3), тиоэфиров (CH3–S–CH3), тиоальдегидов (CH3–CS–H) и тиокарбоновых кислот (CH3–CS–SH). В химическом “зоопарке” Земли это довольно редкие экспонаты — настолько, что не во всяком учебнике химии найдется упоминание о них. Но везде ли во Вселенной дело обстоит именно так? Мы этого не знаем. Если какая-нибудь планета будет по своему элементному составу обеднена кислородом, то вполне возможно, что основой жизни на этой планете послужит не кислородсодержащая органика, а азотсодержащая или серосодержащая. Такая жизнь будет вполне “углеродной” и тем не менее химически совсем иной, чем земная.
Есть, например, предположения, что молекулярная основа инопланетной жизни может иметь смешанный углеродно-азотный скелет12. Аналог углеводорода, построенный на таком скелете, мог бы выглядеть так: CH2=N–CH2–CH=N–CH2–CH=N–... — и т.д. А где возможны углеводороды (или хотя бы что-то на них похожее), там наверняка возможны и более сложные вещества.
Можно добавить, что в современных списках наиболее вероятных химических предшественников жизни кислородсодержащей органики на самом-то деле не так уж и много13. Зато там фигурируют такие интересные молекулы, как ацетилен (H–C≡C–H), сероводород (H2S), аммиак (NH3), синильная кислота (H–C≡N) и цианамид (NH2–C≡N). Глядя на эти формулы, уже нетрудно допустить, что химические “кирпичики” инопланетных живых существ, отличающиеся от привычных нам сахаров и аминокислот, но имеющие похожие функции, в принципе могли бы оказаться и бескислородными. Во всяком случае, набор возможностей здесь точно гораздо шире того, что удалось реализовать на Земле.
[1] Пер. А. Попова.
2. вода
Что такое вода?
Ученые ответят: Н2O.
А Дональд Биссет:
— Алмазы на траве.
наталья шерешевская
(из книги дональда биссета “забытый день рождения”)
Вода — одно из самых распространенных веществ на планете Земля. Она покрывает две трети земной поверхности, и ее очень много в живых организмах — гораздо больше, чем любого другого вещества. Подавляющее большинство биохимических реакций, то есть превращений жизненно важных молекул друг в друга, идет в растворах, где вода является растворителем. Воды много и в космосе — например, в кометах, в недрах Урана и Нептуна или в межзвездных туманностях. В целом можно сказать, что вода — это одно из самых распространенных веществ не только на Земле, но и вообще во Вселенной. Иное дело, что далеко не на всех планетах она встречается в жидком виде (Земля — единственная планета Солнечной системы, на поверхности которой есть постоянно существующие водоемы). Так или иначе, неудивительно, что именно вода послужила средой для всем нам знакомой жизни.
Что же такое вода с точки зрения химии? Это весьма простая молекула, состоящая всего лишь из двух атомов водорода (H) и одного атома кислорода (O). Соответственно, химическая формула воды — H2O. Каждый атом водорода соединен с атомом кислорода одной ковалентной связью, в полном соответствии с валентностью кислорода, которая (как мы помним) равна двум. Формулу воды можно записать и так: H–O–H. Это эквивалентно формуле H2O, которую обычно приводят в книгах.
Многие свойства воды объясняются тем, что ее молекулы исключительно хорошо “слипаются” друг с другом. Например, на поверхности водоема они образуют пленку, по которой клопы-водомерки, отнюдь не микроскопические существа, бегают как посуху. Другие особенности воды как вещества — прекрасная теплопроводность и высокая температура кипения (на испарение литра воды надо потратить больше энергии, чем на испарение того же объема чуть ли не любой другой жидкости). Чтобы понять, почему вода именно такова, надо присмотреться к ее молекулам повнимательнее.
Водородная связь
Начнем вот с чего. В общей химии часто встречается понятие “электроотрицательность”, введенное когда-то Лайнусом Полингом. Электроотрицательность — это сила, с которой атом в составе молекулы оттягивает на себя общие с другим атомом электроны, образующие ковалентную связь. Самый электроотрицательный элемент — фтор (F), а сразу за ним на шкале электроотрицательности следует кислород (O). Иначе говоря, кислород превосходит по электроотрицательности все другие атомы, за исключением фтора, который в живой природе встречается очень редко. Запомним этот факт, он нам пригодится.
Электроотрицательность одинаковых атомов по определению равна. Если между двумя одинаковыми атомами есть ковалентная связь, то образующая ее пара электронов никуда не смещается. Грубо говоря, эти электроны располагаются между атомами точно посредине. Такая ковалентная связь называется неполярной. Само собой разумеется, что любая ковалентная связь между одинаковыми атомами будет неполярна (например, связь в молекуле водорода H–H или углерод-углеродная связь C–C).
Если же ковалентную связь образуют два разных атома, то общие электроны смещаются к тому из них, у которого электроотрицательность выше. Такая связь называется полярной (см. рис. 2.1, 2.2А). При очень большой разнице в электроотрицательности связь может даже превратиться в ионную — это случится, если один атом полностью “отберет” общую пару электронов у другого. В молекулах, из которых состоят живые существа, ионные связи встречаются относительно редко, зато ковалентные полярные — очень часто. Например, это широко распространенные в органических веществах связи C–O и H–O (см. главу 1).
Связь между водородом и кислородом в молекуле воды — это типичная ковалентная полярная связь. Электроотрицательность кислорода намного выше, поэтому общие электроны смещены к нему. В результате на атоме кислорода образуется маленький отрицательный заряд, а на атомах водорода — маленькие положительные заряды. На графических формулах эти маленькие заряды, величина которых значительно меньше единицы, принято обозначать буквой δ (“дельта”) с добавлением соответствующего знака. Как мы теперь знаем, связи кислорода с водородом или углеродом вообще всегда полярные. Молекулы, в которых много таких связей, несут многочисленные частичные заряды, отрицательные на кислороде и положительные на водороде или углероде (см. рис. 2.1, 2.2Б).
А вот связь между углеродом и водородом (C–H) считается неполярной, хоть атомы и разные. И это тоже очень важно. Между атомами углерода и водорода разница в электроотрицательности настолько мала, что смещение электронов там незаметно. Например, молекулы углеводородов, состоящие только из атомов C и H, в силу этого полностью неполярны, никаких частичных зарядов, которые хоть на что-то влияли бы, в них нет.
Теперь вспомним, что положительные и отрицательные электрические заряды согласно закону Кулона притягиваются друг к другу. Например, частично отрицательный атом кислорода одной молекулы воды притягивается частично положительными атомами водорода других молекул воды. В результате между водородом и кислородом возникают нековалентные связи, основанные на электростатическом притяжении, — они называются водородными (см. рис. 2.2В). Это очень слабые связи, в жидкой воде они легко образуются и так же легко рвутся при движениях молекул. Но, несмотря на то что водородные связи гораздо слабее ковалентных, они дают сильный эффект, если их много. А в воде их очень много. Например, именно из-за колоссального количества водородных связей у воды исключительно высокая теплоемкость — ее трудно нагреть и трудно остудить. Большинство особенностей воды так или иначе связано с тем, что ее молекулы очень хорошо образуют водородные связи.
“Водородная связь чем-то напоминает любовь втроем”, — писал в своем известном университетском учебнике американский биохимик Люберт Страйер1. Он имел в виду, что в водородной связи атом водорода связан сразу с двумя атомами кислорода: с одним ковалентно (и прочно), а с другим электростатически (и слабо). Чтобы образовать водородную связь, атом водорода обязательно должен уже состоять в ковалентной связи с другим атомом, причем значительно отличающимся от него по электроотрицательности.
Водородные связи важны не только с точки зрения свойств воды. Они много где встречаются. Например, в главе 9 мы увидим, что без водородных связей невозможно представить себе структуру молекулы ДНК, от которой зависит хранение наследственной информации.
Любовь и ненависть воды
Любое вещество, растворенное в воде, так или иначе взаимодействует с ней, и способ этого взаимодействия зависит, прежде всего, от электрических свойств молекул. Например, если растворить в воде поваренную соль (NaCl), она распадется на положительно заряженные ионы натрия (Na+) и отрицательно заряженные ионы хлора (Cl–). При этом к ионам натрия молекулы воды “прилипнут” своими атомами кислорода (несущими маленький отрицательный заряд δ–), а к ионам хлора — атомами водорода (несущими маленький положительный заряд δ+). В результате и те и другие ионы получат оболочку, состоящую из молекул воды (см. рис. 2.3). Образование таких оболочек называется гидратацией. Ионы натрия и хлора находятся в воде в гидратированном состоянии. Гидратация — процесс, сопутствующий растворению в воде любого вещества (если оно вообще в ней растворимо, конечно).
Молекулы, в которых много ковалентных полярных связей, тоже прекрасно взаимодействуют с водой — в первую очередь потому, что образуют с ней водородные связи, “цепляясь” за молекулы воды своими частичными зарядами. Такие вещества хорошо растворяются в воде и называются гидрофильными (“любящими воду”). К гидрофильным веществам относятся, например, спирты и углеводы (см. главу 1). Каждый знает, что столовый сахар (а это типичный углевод) растворяется в воде очень хорошо. То же самое можно сказать и о спиртах, например об этиловом спирте — основе алкогольных напитков. Именно растворам спирта в воде была посвящена знаменитая диссертация Дмитрия Ивановича Менделеева2. Правда, рецепта водки Менделеев, вопреки распространенной легенде, не разрабатывал. Его интересовало происходящее при растворении взаимодействие молекул спирта и воды — тот самый процесс, который мы только что назвали гидратацией. Менделеев убедительно показал, что растворение — это не физическое явление (простое смешивание), а химическое (включающее образование новых межмолекулярных связей). Тогда получается, что раствор — это, по сути, новое вещество.
Как правило, любое наугад взятое органическое соединение будет растворяться в воде тем лучше, чем больше в нем атомов кислорода. Это понятно: именно вокруг атомов кислорода обычно образуются водородные связи. Например, молекула глюкозы (C6H12O6, шесть атомов кислорода!) в этом отношении просто идеальна. Как раз поэтому сахара, и глюкозу в том числе, очень удобно использовать в роли быстро усваивающихся питательных веществ.
Молекулы, в которых все связи неполярные, взаимодействуют с водой гораздо слабее, чем друг с другом3. Вещества, состоящие из таких молекул, плохо растворяются в воде и называются гидрофобными (“боящимися воды”). Типичные гидрофобные соединения — углеводороды. Как мы знаем, они по определению состоят только из углерода и водорода, связи между которыми неполярны. Если бросить в воду парафин (смесь твердых углеводородов, из которой делают свечи), он и не подумает там растворяться — ни при каких условиях. А если налить в воду бензин (смесь жидких углеводородов, которая служит моторным топливом), то он, скорее всего, отслоится от нее, образовав четкую поверхность раздела. Вода как бы “выталкивает” эти вещества.
Если в формуле органического соединения есть кислород, то оно, скорее всего, гидрофильное, разве что там присутствует какая-нибудь совсем уж огромная углеводородная цепочка. Гидрофильными бывают и некоторые бескислородные органические вещества — например, амины.
В биохимии значение различий между гидрофильными и гидрофобными веществами без преувеличения грандиозно (см. главы 3, 5, 6). Многие детали устройства клеток без учета этих различий просто невозможно понять. А все потому, что земная жизнь — водная.
Талассогены
А могут ли подойти для жизни какие-нибудь другие растворители, кроме воды? Ответ — да. Например, углекислота (ее формула O=C=O, или просто CO2) знакома людям, прежде всего, в виде углекислого газа, который мы выдыхаем. Но она может и замерзать, образуя так называемый сухой лед. Проблема в том, что при нагревании в условиях, характерных для Земли, сухой лед сразу испаряется в газ, минуя жидкую фазу. Потому мы и не видим в быту жидкой углекислоты. Однако при более высоких давлениях, чем наше атмосферное, углекислота может становиться жидкостью. И тогда она представляет собой хороший гидрофильный растворитель, аналогичный по свойствам воде (и легко смешивающийся с ней), в котором успешно идут многие биохимические реакции. В этом растворителе могут жить даже земные микробы: например, на дне Окинавского желоба в Восточно-Китайском море исследователи-океанологи нашли целое озеро жидкой углекислоты, в котором постоянно живут довольно разнообразные бактерии4.
Некоторые исследователи считают, что океаны жидкой углекислоты могут существовать на так называемых “суперземлях” — планетах с массой, в несколько раз превосходящей массу Земли5. Суперземли — довольно многочисленная категория экзопланет, и возможность жизни на них сейчас активно обсуждается.
Другой перспективный кандидат на роль вмещающей среды для жизни — аммиак (NH3). Это гидрофильный растворитель, образующий много водородных связей, в данном случае между водородом и азотом (их разница в электроотрицательности для этого вполне достаточна, см. рис. 2.2Г). Неудивительно, что по своим физико-химическим свойствам аммиак напоминает воду. На более холодных планетах, чем Земля, он находится в жидком состоянии и вполне может быть основой жизни. Теоретически возможно существование холодных землеподобных планет с аммиачными океанами. Есть ли там жизнь, никто не знает. Но почему бы и нет? Если насчет альтернатив углеродной жизни есть серьезные сомнения (см. главу 1), то углеродную жизнь, использующую не воду, а какой-нибудь другой растворитель, представить себе гораздо легче. Никакие фундаментальные законы не запрещают ей существовать. Просто так уж сложилось, что на нашей планете из всех растворителей преобладает вода — ну а от добра добра не ищут, и земной жизни осталось лишь развиваться в этих относительно благоприятных условиях.
Еще один гидрофильный растворитель, в котором теоретически допускают возможность жизни, — метиловый спирт, или метанол (CH3OH). Для человека это страшный яд, но тут все зависит от настройки биохимических систем: вообще-то никакие законы природы не мешают “сконструировать” живой организм, для которого метанол будет совершенно безобиден, а то и полезен. Метанол — одно из самых простых органических веществ, и неудивительно, что образуется он очень легко. Его много в космосе, причем не только на планетах, но и в межзвездных газопылевых облаках. Некоторые ученые осмеливаются предполагать, что именно синтез метанола был ключевым химическим звеном на пути к возникновению земной жизни6. Метанол очень гидрофилен и прекрасно образует водородные связи, примерно такие же, как в воде. Собственно, это и делает его хорошим гидрофильным растворителем. Как и аммиак, метанол замерзает при гораздо более низкой температуре, чем вода, и в принципе может быть средой для жизни на более холодных планетах, чем Земля. В Солнечной системе метанола хватает, например на Тритоне, крупнейшем спутнике Нептуна.
Наконец, еще один кандидат на роль подходящего для жизни гидрофильного растворителя — сероводород, соединение водорода и серы с формулой H2S (она же H–S–H). Молекула сероводорода очень похожа на молекулу воды. Правда, водородные связи она образует несколько хуже. В Солнечной системе сероводорода много на Ио — спутнике Юпитера, который отличается невероятной геологической активностью. Поверхность Ио покрыта вулканами, выбрасывающими фонтаны лавы, а состоит эта лава в основном из разнообразных соединений серы, которые текут и застывают, ибо в системе Юпитера очень холодно. Ио — это настоящий “мир льда и пламени”7. Если бы на Ио была жизнь, она вполне могла бы быть основана на сероводороде, точно так же, как земная жизнь — на воде.
А может ли среда для жизни оказаться не гидрофильной, а гидрофобной? Исключить такое в принципе нельзя. Например, на крупнейшем спутнике Сатурна — Титане — есть углеводородные озера и даже моря, состоящие из метана (CH4), этана (C2H6) и пропана (C3H8). Это настоящий гидрофобный растворитель, в котором некоторые ученые допускают существование жизни, хотя прямых подтверждений этому пока что нет. Жидкой воды на поверхности Титана не бывает, там слишком холодно.
В целом, однако, сейчас кажется более вероятным, что главный растворитель для внеземной жизни окажется гидрофильным (но не обязательно водой). Во-первых, гидрофильных растворителей в природе просто больше. А во-вторых, все известные биохимические механизмы слишком уж сильно “заточены” под гидрофильную среду. Биохимию на гидрофобной основе вообразить гораздо труднее.
Из совсем уж экзотических альтернатив воде можно назвать, к примеру, фтороводород (HF, “аш-фтор”). Водный раствор фтороводорода — очень агрессивное вещество, которое называется плавиковой кислотой (в сериале “Во все тяжкие”, главный герой которого — химик, ставший преступником, этой кислотой растворяют трупы). Однако многие органические молекулы, например углеводороды, в ней совершенно стабильны. К тому же фтороводород прекрасно образует водородные связи, а это, как мы уже знаем, очень важное для растворителя свойство. Возможность фтороводородной жизни допускали некоторые ученые, например астроном Карл Саган. А в фантастической повести Ивана Ефремова “Сердце Змеи” описана планета с фтороводородным океаном и дышащими фтором разумными жителями, с которыми земляне вступают в контакт. “Люди Земли увидели лиловые волны океана из фтористого водорода, омывавшие берега черных песков, красных утесов и склонов иззубренных гор, светящихся голубым лунным сиянием…”
Великий популяризатор науки Айзек Азимов — кстати говоря, биохимик по научной специальности — не раз задумывался над тем, из каких веществ могли бы образоваться океаны на других планетах. Он назвал такие вещества термином “талассогены”, что буквально значит “производящие море”. По определению Азимова, талассоген — это вещество, способное сформировать планетарный океан. В замечательной книге “Асимметрия жизни”8 Азимов подробно разбирает проблему океанов, приходя к выводу, что самые вероятные талассогены — это вода, аммиак и метан. При этом для планет, расположенных примерно на таком расстоянии от звезд, как Земля, вода имеет преимущество, потому что она остается жидкой при более высокой температуре. “Вы можете представить метановые океаны на такой планете, как Нептун, или аммиачные океаны на планете типа Юпитера, однако вода, и только вода может создать океан на внутренней планете вроде Земли”. Это выглядит логичным, но тут есть по меньшей мере один важный нюанс. Азимов писал эту книгу больше 40 лет назад, когда о планетах других звездных систем не было известно совершенно ничего. Не было даже уверенности, что они вообще существуют. А сейчас астрономам известны тысячи экзопланет, и уже ясно, что, мягко говоря, далеко не все звездные системы похожи на Солнечную. Сочетания условий там могут быть совершенно другими. Поэтому от расширения списка возможных вариантов вреда, скорее всего, не будет.
Возвращаясь к земной (а вернее, водной) биохимии, будем иметь в виду, что она — не единственная теоретически возможная. Изучая природу, всегда полезно помнить любимую мысль Станислава Лема: “Среди звезд нас ждет Неизвестное”.
3. белки
— А вот товарищ Амперян говорит, что без белка жить нельзя, — сказал Витька, заставляя струю табачного дыма сворачиваться в смерч и ходить по комнате, огибая предметы.
— Я говорю, что жизнь — это белок, — возразил Эдик.
— Не ощущаю разницы, — сказал Витька. — Ты говоришь, что если нет белка, то нет и жизни.
аркадий и борис стругацкие.
понедельник начинается в субботу
В разговорах о современной биологии слово “белок” звучит очень часто. Все знают, что белки — важнейшие питательные вещества. Но одновременно это еще и сложные биохимические машины, выполняющие в организме множество самых разных функций: дыхание, пищеварение, считывание наследственной информации, сокращение мышц, защита, восприятие света, передача сигналов... проще сказать, чего белки не делают. Что же это, в конце концов, такое?
Начнем с того, что белки, или протеины, — это огромные молекулы, входящие в состав абсолютно всех современных живых организмов. История их названия, честно говоря, довольно запутанна. Сам термин “белок” (albumin) вошел в употребление еще в XVIII веке, и относился он тогда к веществам, подобным всем известному белку куриного яйца. Что касается термина “протеин” (protein), то его придумал знаменитый шведский химик Йёнс Якоб Берцелиус. Кроме этого, Берцелиус открыл несколько новых химических элементов, установил формулы ряда органических кислот, разобрался в явлении электролиза и сделал еще много другого. В частности, именно Берцелиус открыл явление изомерии и ввел само понятие “изомеры”, уже нам знакомое (см. главу 1). Да и термин “органическая химия” тоже принадлежит ему.
Так вот, в 1838 году Берцелиус предложил назвать некоторые органические вещества “протеинами”1. Слово это произведено от греческого πρώτειος, “первичный”. Придумывая свой термин, Берцелиус предполагал, что “протеины” — это некие первичные строительные блоки живых организмов, и был, как мы сейчас знаем, совершенно прав.
В русском языке “белок” и “протеин” — строгие синонимы. По буквальному смыслу “протеин”, конечно, точнее, чем “белок”. Но как-то уж так сложилось, что в нашей научной литературе слово “белок” употребляется гораздо чаще, и мы будем этому следовать. Скорее всего, дело тут просто в том, что слово “белок” проще для восприятия и привычнее на слух.
Полимеры
В состав белков входят углерод, водород, кислород, азот и, как правило, еще сера. Ничего особенного в таком химическом составе нет. Гораздо удивительнее другое. Еще в XIX веке химики обнаружили, что молекулы белков буквально гигантские. По размеру, то есть по количеству атомов, они в сотни раз превосходят молекулы большинства других органических веществ. Дело в том, что белки относятся к полимерам — молекулам, состоящим из множества однотипных (но не обязательно совершенно одинаковых) повторяющихся звеньев, ковалентными связями соединенных друг с другом (см. рис. 3.1А). Такие звенья называются мономерами. Полимеры могут распадаться на отдельные мономеры, а могут и собираться из них вновь. Эти процессы играют огромную роль в биологическом обмене веществ, в ходе которого то и дело одни полимеры расщепляются, а другие строятся из мономеров заново. Иногда полимеры называют макромолекулами, то есть попросту “большими молекулами”.
Очень простой пример полимера — полиэтилен, тот самый, из которого делают упаковочную пленку, пакеты, изоленту и тому подобные вещи. Это обычный углеводород, имеющий, однако, очень длинные молекулы (гораздо более длинные, чем все, что мы видели до сих пор). Формула полиэтилена следующая: CH3–CH2–CH2–CH2–CH2–CH2–CH2–CH2–CH2–CH2–CH2–CH2–... За многоточием тут может скрываться цепочка из нескольких тысяч атомов углерода (разумеется, с присоединенными к ним атомами водорода, которые всегда заполняют все валентности, не заполненные другими атомами). Повторяющимся звеном в полиэтилене является группа –CH2–CH2– (с двумя атомами углерода, а не с одним, потому что при получении полиэтилена он “сшивается” именно из двухуглеродных молекул). Это и есть его мономер.
И в живой, и в неживой природе есть много всевозможных полимеров, состоящих из самых разных типов мономерных звеньев. И как правило, эти звенья гораздо сложнее, чем в полиэтилене. Например, во многих биологических полимерах мономерами являются сахара (см. главу 6). В белках же мономеры особые, свойственные только им. Это — аминокислоты.
Альфа, бета, гамма...
Аминокислота, как мы знаем, — это вещество, в молекуле которого одновременно есть карбоксильная группа и аминогруппа (см. главу 1). Особенность аминокислот, входящих в состав белков, в том, что эти две группы обязательно присоединены к одному и тому же атому углерода. Такие аминокислоты называются альфа-аминокислотами (см. рис. 3.1Б). Если в какой-нибудь аминокислоте карбоксильная группа и аминогруппа связаны с разными атомами углерода, то это не альфа-аминокислота и в состав белков она входить не может.
Почему альфа-аминокислоты называются “альфа” и при чем тут вообще греческие буквы? Дело вот в чем. Атомы углерода, образующие аминокислоту, принято обозначать греческими буквами по порядку, считая от карбоксильной группы (сама она в счет не идет). Таким образом, первый атом углерода после карбоксила — это альфа-атом, второй — бета-атом, третий — гамма-атом и т.д. И в зависимости от того, к какому атому углерода у них присоединена аминогруппа, аминокислоты делятся на альфа-аминокислоты, бета-аминокислоты и прочие.
Например, представим себе аминокислоту с формулой NH2–CH2–CH2–CH2–COOH (см. далее рис. 3.8). Аминогруппа тут присоединена к третьему атому углерода, считая от карбоксильной группы, то есть к гамма-атому. Значит, это гамма-аминокислота. В данном случае она называется гамма-аминомасляной кислотой (ГАМК). Эта аминокислота есть в организмах большинства животных. Во-первых, она является промежуточным продуктом обмена веществ, а во-вторых, служит нейротрансмиттером, то есть веществом, передающим сигнал между нервными клетками. Именно с нарушением ГАМК-эргической (то есть обусловленной ГАМК) передачи нервных импульсов связано действие одного из самых сильных растительных ядов — яда цикуты, которым в свое время отравили Сократа. Но вот в состав белков ГАМК, в отличие от альфа-аминокислот, никогда не входит.
Пептидная связь
Как альфа-аминокислоты объединяются в белок? Очень просто: карбоксильная группа одной аминокислоты связывается с аминогруппой другой (см. рис. 3.2А). От карбоксильной группы отщепляется гидроксил (–OH), а от аминогруппы — водород (–H). Эти отщепленные фрагменты тут же соединяются и дают воду (H–O–H), а остатки карбоксильной группы и аминогруппы замыкаются по освободившимся валентностям друг на друга, образуя новую группу –CO–NH–. Вот через нее-то две аминокислоты и соединяются между собой.
Группа –CO–NH– называется пептидной группой, а связь между углеродом и азотом в ней — пептидной связью. Цепочка аминокислот, соединенных пептидными связями, называется пептидом (см. рис. 3.2Б). Это более широкое понятие, чем белок. Все белки — пептиды, но не все пептиды — белки.
Реакция образования пептида в принципе обратима: он может как синтезироваться, так и распадаться обратно на отдельные аминокислоты. На одном конце пептида находится свободная аминогруппа, на другом — свободная карбоксильная группа. Для краткости конец пептида со свободной аминогруппой принято называть N-концом, а конец со свободной карбоксильной группой — C-концом.
Короткие пептиды называют или по числу аминокислотных остатков (два остатка — дипептид, три — трипептид, четыре — тетрапептид...), или собирательно — олигопептидами. Длинные пептиды с многими десятками аминокислотных остатков называют полипептидами. Все белки — полипептиды. Аминокислотных остатков в них обычно даже не десятки, а сотни. “Средний” белок, типичный для живой природы, включает примерно 300–350 аминокислот. Белок из 200 аминокислот считается небольшим. Неудивительно, что белковые молекулы поразили когда-то химиков своими размерами.
Разнообразие и единство
В состав белков входит 20 стандартных аминокислот, одних и тех же у всех живых организмов. Как мы уже знаем, все они — альфа-аминокислоты, а это значит, что их общую формулу можно записать вот как: R–CH(NH2)–COOH. Буква R тут, как всегда, обозначает радикал, то есть изменяемую часть молекулы.
Аминокислоты, образующие белки, называют протеиногенными, от уже знакомого нам слова “протеин”. Две самые простые протеиногенные аминокислоты — глицин (где радикал — атом водорода) и аланин (где радикалом служит метильная группа –CH3). У других аминокислот радикалы сложнее. Для читателей-эрудитов добавим, что все нестандартные аминокислоты (селеноцистеин, пирролизин, гидроксилизин, гидроксипролин) так или иначе являются производными стандартных и нас пока не интересуют. А стандартных — ровно 20.
Свойства любого пептида зависят не только от того, какие аминокислоты в него входят, но и от того, в каком порядке они там расположены. Например, представим себе дипептид, состоящий из глицина и аланина. Как он будет выглядеть? Если в создании пептидной связи примут участие карбоксильная группа глицина и аминогруппа аланина, дипептид будет таким: NH2–CH2–CO–NH–CH(CH3)–COOH. Но возможен и другой случай, когда пептидную связь образуют, наоборот, карбоксильная группа аланина и аминогруппа глицина. Тогда пептид получится вот таким: NH2–CH(CH3)–CO–NH–CH2–COOH. Как видим, это два разных соединения. В белках, состоящих из сотен аминокислот, порядок расположения этих аминокислот не менее важен — только вот возможных вариантов там намного больше.
Глядя на формулы, легко убедиться, что два наших дипептида — не что иное, как изомеры (см. главу 1). То же относится к любым пептидам, отличающимся друг от друга порядком расположения одних и тех же аминокислотных остатков. И число таких изомеров в случае с длинными пептидами может быть огромным. Например, можно вычислить, что для декапептида, состоящего из 10 разных аминокислот, число возможных изомеров равно 3 628 800. А ведь декапептид — это даже не белок. Для любого крупного белка число изомеров будет в буквальном смысле астрономическим. Вот почему разных белков так много.
Порядок расположения аминокислот крайне важен для того, чтобы белок правильно выполнял свою функцию. Он должен быть таким же точным, как порядок букв в напечатанной фразе. Единственная замена или перестановка вполне может сделать белок совершенно “бессмысленным”, то есть бесполезным для организма. Между тем никакими чисто химическими средствами такую точность синтеза белка обеспечить невозможно. Первым, кто над этим всерьез задумался, был выдающийся русский биолог Николай Константинович Кольцов. “Молекула октокайдекапептида, состоящая из 18 аминокислот, может иметь около триллиона изомеров, а изомеры сложных белковых молекул должны исчисляться центильонами (число из 600 цифр). Представляется совершенно невероятным, чтобы синтез определенного изомера белков определялся исключительно внешними условиями реакции”, — писал Кольцов еще в 1927 году2. Из этого следовал важнейший вывод: информация, задающая порядок аминокислот в белке, непременно должна храниться где-то в организме. Она должна копироваться, передаваясь из поколения в поколение, и считываться по первому запросу, когда тот или иной белок понадобится создать. Все это, как мы сейчас понимаем, совершенно верно. О том, как в действительности работают эти механизмы, мы узнаем из главы 9.
В отличие от некоторых других полимеров, белки никогда не ветвятся. Любой белок — это строго линейная цепочка аминокислот. Сами аминокислоты, входящие в состав белка, принято обозначать буквами: например, глицин обозначается буквой G, аланин — буквой A и т.д. Поэтому формулу любого белка можно записать в виде простой последовательности букв, соответствующих аминокислотам. На самом деле так обычно и делают.
“Кирпичики”, из которых состоит жизнь
Итак, мы видим, что аминокислоты, входящие в состав белков, построены по одной схеме. В любой из этих аминокислот есть карбоксильная группа и аминогруппа, присоединенные к центральному атому углерода (тому, который мы назвали альфа-атомом). Кроме того, к центральному атому углерода всегда присоединен атом водорода. Таким образом, из четырех валентностей альфа-углеродного атома три всегда заняты одними и теми же группами — карбоксильной, аминогруппой и атомом водорода. В этих частях молекул никакого разнообразия нет.
А вот четвертая валентность альфа-атома углерода занята изменчивой группой, которую мы для удобства назвали радикалом (–R). По ней-то аминокислоты и различаются (см. рис. 3.3).
Есть несколько аминокислот, у которых радикалы чисто углеводородные: аланин, валин, лейцин, изолейцин, фенилаланин. Две из них — лейцин и изолейцин — являются изомерами друг друга, потому так и названы. Они отличаются всего лишь положением одной метильной группы (–CH3). Чисто углеводородные радикалы плохо взаимодействуют с водой, но хорошо друг с другом. Иначе говоря, эти радикалы — гидрофобные.
Есть аминокислоты, у которых в состав радикала входит гидроксильная группа –OH (серин, тирозин) или аналогичная ей, но содержащая вместо атома кислорода атом серы тиольная группа –SH (цистеин). В таких радикалах есть полярные связи, а потому они взаимодействуют с водой гораздо лучше. Эти радикалы — гидрофильные.
Все аминокислоты, перечисленные нами до сих пор, называются нейтральными. Это означает, что в водном растворе их молекулы электрически не заряжены. Мы уже видели, что в любой аминокислоте есть карбоксильная группа, свойства которой кислотные, и аминогруппа, свойства которой, наоборот, основные (см. главу 1). Попадая в воду, карбоксильная группа отдает протон и становится заряжена отрицательно (–COO–), а аминогруппа присоединяет протон и становится заряжена положительно (–NH3+). Суммарный заряд молекулы аминокислоты в результате остается равным нулю. Это — нейтральная молекула.
А что, если карбоксильных групп две? Тогда эта аминокислота будет в растворе заряжена отрицательно. И действительно, в состав белков входит пара таких аминокислот — это аспарагиновая и глутаминовая кислоты. У них обеих есть карбоксильная группа не только при альфа-атоме, но еще и в радикале. И, соответственно, этот радикал несет дополнительный отрицательный заряд.
Для краткости аспарагиновую и глутаминовую кислоты часто называют, соответственно, аспартатом и глутаматом. Тут надо пояснить одну тонкость, связанную с названиями веществ. Аспартат и глутамат — на самом деле названия не кислот, а их анионов или (что то же самое) их солей. Например, глутамат — это соль глутаминовой кислоты. В биохимии этим сплошь и рядом пренебрегают, используя названия кислот и солей как синонимы. Ведь что такое соль? Это кислота, у которой на месте протона оказался любой другой катион. Если же она диссоциирована и не имеет никаких катионов вообще (а это бывает в растворах очень часто), то за ней обычно ради удобства оставляют название соответствующей соли. Именно это мы на примере аспартата с глутаматом и видим. Название соли — это название аниона, в виде которого молекула реально существует в воде.
Глутамат (будем отныне называть его так) интересен не только тем, что участвует в образовании белков. В организмах подавляющего большинства животных он служит еще и нейротрансмиттером, причем одним из важнейших. В нервной системе человека глутамат используют для передачи возбуждения примерно 40% нейронов — это очень много! Почти все основные информационные потоки в нашем мозге идут посредством выделения глутамата, служащего для нервных клеток возбуждающим сигналом. Выше мы упоминали, что нейротрансмиттером является и еще одна протеиногенная аминокислота, а именно глицин (см. главу 1). Но действие глицина тормозящее (то есть успокаивающее), а глутамата — именно возбуждающее. Поскольку глутамат входит в состав каких угодно белков, то его очень много в пище, но пищевой глутамат в мозг почти не попадает — нервные клетки синтезируют его сами.
Кроме того, к глутамату очень чувствительна наша вкусовая система. Обычно считается, что есть пять основных вкусов, для которых на языке существуют отдельные типы рецепторов: соленый, кислый, сладкий, горький и выделенный в начале XX века вкус умами. Соленый — это вкус поваренной соли, кислый — протонов (H+), сладкий — сахаров. Горький вкус — самый сложный, он не привязан к какому-то одному классу молекул и возникает как реакция на любое вещество из большой и разнообразной группы зачисленных мозгом в “ядовитые”, это эволюционно выработанный механизм защиты от токсичной пищи. Ну а умами — это не что иное, как вкус глутамата. Судя по всему, в ходе эволюции органов чувств позвоночных животных именно глутамат был выделен как индикатор вкуса белков (важнейших питательных веществ как-никак). Вот почему на языке для него есть особые рецепторы. Ощущение вкуса глутамата — это эволюционно выработанный сигнал о том, что в рот попало нечто белковое.
Глутамат часто добавляют в пищу, причем как в виде кислоты (пищевая добавка E620), так и в виде натриевой соли (пищевая добавка Е621). И раз уж мы заговорили об этом веществе, воспользуемся случаем, чтобы развеять несколько связанных с ним заблуждений. Может быть, кому-то пригодится.
Итак, во-первых, утверждение, что глутамат — усилитель вкуса, неточно. Выражение “усилитель вкуса” могло бы относиться к некоему (вымышленному) веществу без собственного вкуса и запаха, обладающему свойством обострять вкус любой еды. Глутамат этого не делает: у него просто есть свой вкус, точно так же, как у сахара или у соли. Механизмы восприятия вкуса глутамата и вкуса, допустим, того же сахара принципиально не отличаются друг от друга. Просто сахар воспринимается одними рецепторами, а глутамат — другими.
Во-вторых, неверно часто встречающееся мнение, будто “натуральный” глутамат (предположительно безобидный) — это совсем не то, что глутамат “искусственный” (предположительно вредный и опасный). Люди, которые так думают, просто не знают, о каком веществе идет речь. А мы с вами теперь знаем. Глутамат — это не какая-нибудь загадочная сложная смесь (состав которой действительно мог бы варьироваться), а одно-единственное химическое соединение, описываемое незатейливой формулой. Вот она, эта формула: HOOC–CH2–CH2–CH(NH2)–COOH. Только и всего. Глутамат, полученный искусственно, не отличается от полученного готовым из природных продуктов, потому что отличаться там нечему.
В-третьих, глутамат, получаемый с пищей, едва ли опасен для нервной системы прежде всего потому, что он в нее почти не проникает — это обеспечивается специальным физиологическим барьером. Нервные клетки синтезируют глутамат самостоятельно. К тому же в белковых продуктах (таких, как творог, мясо или соя) глутамата наверняка больше, чем попадает его в еду в качестве пищевой добавки, — просто потому, что это составная часть любых белков.
В-четвертых, на глутамат нет аллергии3. Аллергию вызывают чужеродные вещества, а не такие, которые жизненно необходимы и всегда присутствуют в организме в высоких концентрациях, — а глутамат как раз относится к последним.
Так что опасность глутамата — это, судя по всему, типичный современный миф.
Однако вернемся к другим аминокислотам. Если есть отрицательно заряженные аминокислоты, логично ожидать, что существуют и положительно заряженные. Это действительно так. Пример положительно заряженной аминокислоты — лизин, имеющий формулу NH2–CH2–CH2–CH2–CH2–CH(NH2)–COOH. Как видим, у лизина в радикале есть дополнительная аминогруппа, которая ведет себя так, как аминогруппе и положено: приобретает протон. Еще одна положительно заряженная аминокислота — аргинин, радикал которого включает довольно редкую (больше она нам нигде не встретится) гуанидиновую группу –NH–C(NH)–NH2, тоже охотно присоединяющую протон.
Таким образом, аминокислоты, из которых состоят белки, можно поделить на четыре категории: гидрофобные, гидрофильные нейтральные, положительно заряженные и отрицательно заряженные. Разумеется, все эти различия касаются только той части молекулы аминокислоты, которую мы назвали радикалом (R). “Базовая” часть (включающая атом углерода, атом водорода, карбоксильную группу и аминогруппу) во всех рассмотренных нами протеиногенных аминокислотах одна и та же. Особое положение занимает разве что самая простая из всех возможных аминокислот — глицин, у которого вместо радикала атом водорода.
Аминокислоты и связи
Итак, любой белок — это полипептид, то есть цепочка аминокислот, соединенных пептидными связями. На самом деле теоретически можно придумать полипептид, не являющийся белком, но мы сейчас поступим проще и будем считать, что эти слова — синонимы. В подавляющем большинстве тех случаев, которые нам могут встретиться, так оно и есть.
Для начала представим, что молекулу полипептида бросили в воду. Очевидно, что она не останется там вытянутой в прямую линию, а будет как-то сворачиваться. Это сворачивание будет зависеть от взаимодействия аминокислотных остатков как с молекулами воды, так и между собой. В целом пептидная цепь устроена довольно просто: ее “скелет” образуют пептидные группы, соединяющие между собой альфа-атомы углерода, а радикалы торчат в стороны. Все эти части огромной молекулы как-то размещаются в пространстве относительно друг друга, и в результате белок приобретает свою трехмерную форму — как обычно говорят, конформацию. Белок с нарушенной конформацией, как правило, совершенно бесполезен для организма. Поэтому соблюдение конформации — это очень важно.
Как же она складывается? Есть четыре типа взаимодействий между аминокислотами, определяющих объемную структуру белка, в который они входят.
Во-первых, это водородные связи (см. главу 2). В белке их обычно много, они возникают и между пептидными группами, и между боковыми цепями аминокислот (“боковая цепь” и “радикал” — в данном случае синонимы). Особенно это относится к тем аминокислотам, радикалы которых нейтральны и гидрофильны — вроде, например, серина или тирозина.
Во-вторых, это гидрофобное притяжение между углеводородными радикалами, принадлежащими таким аминокислотам, как валин, лейцин или фенилаланин. Вода выталкивает эти радикалы точно так же, как вытолкнула бы обычные молекулы углеводородов, и они отлично слипаются вместе, если оказываются при сворачивании белковой молекулы близко друг к другу. А тем самым они это сворачивание и закрепляют.
В-третьих, существует электростатическое притяжение между положительно и отрицательно заряженными боковыми цепями. Если, например, глутамат (радикал которого заряжен отрицательно) окажется при сворачивании белка рядом с лизином (радикал которого заряжен положительно), между ними тут же возникнет самая настоящая ионная связь.
Есть и четвертый тип взаимодействий. Он зависит от единственной аминокислоты, радикалы которой могут образовать между собой аж ковалентные связи (не имеющие никакого отношения к пептидным). Эта аминокислота — цистеин. В радикале цистеина есть сульфгидрильная группа –SH, аналогичная спиртовой группе (–OH), но с атомом серы вместо атома кислорода. Целиком радикал цистеина имеет вид –CH2–SH. Так вот, уже в готовом белке может произойти реакция, при которой у двух таких радикалов будет отобран водород (его унесут специальные молекулы-переносчики), а свободные валентности атомов серы замкнутся друг на друга и образуют между остатками цистеина связь –S–S–. Это называется дисульфидным мостиком (см. рис. 3.4А). Белок вполне может быть в нескольких местах “сшит” такими мостиками (см. рис. 3.4Б). Причем реакция их образования обратима: дисульфидные мостики могут возникать и рваться, и это бывает важно для регуляции некоторых физиологических процессов.
Связи и уровни
Для удобства принято выделять четыре уровня структуры белка. Они так и называются: первичная структура, вторичная, третичная и четвертичная.
Первичная структура — это просто последовательность аминокислот, соединенных пептидными связями (см. рис. 3.4Б). Она всегда линейна, ибо белки не ветвятся. Перечислять аминокислоты в белке принято от N-конца (свободная аминогруппа) к C-концу (свободная карбоксильная группа). Множество таких перечислений, то есть записей первичной структуры белков, есть в современных электронных базах данных, доступных в сети. Можно сказать, что первичная структура белка одномерна, в то время как все остальные уровни — трехмерны. К первичной структуре относятся только пептидные связи, а к остальным уровням — любые другие взаимодействия между аминокислотами, входящими в один и тот же белок.
Вторичная структура — это система взаимодействий между аминокислотами в составе одной и той же полипептидной цепочки, расположенными близко (через считаные остатки друг от друга). Вторичная структура держится в основном на водородных связях (см. рис. 3.5). Причем в данном случае это связи между пептидными группами, а не боковыми цепями. А поскольку все пептидные группы одинаковы, то вторичная структура обладает высокой регулярностью, в ней часто повторяется один и тот же “узор”.
Два самых распространенных типа вторичной структуры белка — альфа-спираль и бета-слой. В альфа-спирали водородные связи постоянно образуются между аминокислотными остатками с номерами n и (n+4), то есть каждая аминокислота образует водородную связь с аминокислотой, четвертой по счету от нее. В результате получается компактная спираль, внутри которой находятся пептидные группы, а радикалы торчат в стороны. Альфа-спираль очень устойчива, в том числе и потому, что внутри нее в образовании водородных связей принимают участие все пептидные группы без исключения. В бета-слое полипептидная цепочка несколько раз перегибается, и водородные связи образуются между ее противоположно направленными отрезками.
Третичная структура белка — это система взаимодействий между сколь угодно далекими (но принадлежащими к одной и той же полипептидной цепи) остатками аминокислот (см. рис. 3.6, 3.7А). Она определяет, какую форму будет иметь молекула белка целиком. Если вторичная структура — это ближний порядок, то третичная — дальний порядок. В образовании третичной структуры участвуют водородные связи между боковыми цепями, гидрофобные взаимодействия (очень частый случай) и ионные связи между заряженными боковыми цепями. И дисульфидные мостики тоже вносят в третичную структуру свой вклад.
Наконец, четвертичная структура возникает в том случае, если функциональный белок собирается из нескольких отдельных полипептидных цепей (см. рис. 3.7Б). Если белок состоит из одной полипептидной цепи, значит, четвертичной структуры у него нет. Взаимодействия, создающие четвертичную структуру, те же самые, что и в третичной структуре, только не внутри одной полипептидной цепи, а между разными цепями.
Типичный белок с четвертичной структурой — гемоглобин, переносящий кислород в нашей крови. Его молекула состоит из четырех полипептидных цепочек, которые синтезируются отдельно, но свою функцию выполняют только вместе. Объединяются они в основном за счет гидрофобных взаимодействий. Всего молекула нормального гемоглобина взрослого человека включает 574 аминокислоты.
Потеря белком своей пространственной структуры без разрушения пептидных связей (то есть первичной структуры) называется денатурацией, что буквально значит “потеря природы” (см. рис. 3.7В). Самый простой способ денатурировать белок — как следует нагреть его. Именно частичная денатурация белков является основной целью любой тепловой обработки пищи. Причем иногда этот процесс до некоторой степени обратим (при кипячении молока, например). Восстановление пространственной структуры денатурированного белка называется ренатурацией. Но бывает и необратимая денатурация. Например, белок крутого яйца после полной необратимой денатурации растворенных там молекул белков становится твердым, потому что раскрученные полипептидные цепочки перепутываются между собой. Денатурация большинства белков (но не всех!) происходит при температуре 40–50 °С. Это определяет верхний температурный предел для жизни большинства земных живых существ.
Чтобы белок выполнял свою биологическую функцию, нужна, как правило, тончайшая и очень точная “настройка” его пространственной структуры. Нарушения аминокислотной последовательности тем и опасны, что они эту структуру разрушают. Например, существует генетическое нарушение, при котором в строго определенной точке одной из цепей гемоглобина глутамат заменяется на валин. Казалось бы, всего лишь одна аминокислота заменяется на другую. Но здесь это имеет неожиданно серьезные последствия. Глутамат — аминокислота, боковая цепь которой несет отрицательный заряд, валин же нейтрален и гидрофобен. Если рядом окажутся два остатки глутамата, они будут отталкиваться. А если два остатка валина, то, наоборот, слипаться. В данном случае замена глутамата на валин приводит к тому, что слипаться начинают целые молекулы гемоглобина. А это деформирует красные кровяные клетки, в которых он содержится, и вызывает тяжелую болезнь — серповидноклеточную анемию. Именно таков ее молекулярный механизм.
Очевидно, что взаимодействия между аминокислотами в белке неслучайны. Сворачивание белковой молекулы зависит от ее первичной структуры, то есть от того, в каком порядке аминокислоты расположены в цепочке. Иногда говорят, что если бы можно было взять полипептидную цепь за концы, растянуть ее и потом отпустить, то она каждый раз свертывалась бы совершенно одинаково. На самом деле в живой клетке все происходит несколько иначе: там белок синтезируется последовательно, аминокислота за аминокислотой (от N-конца к C-концу), и части молекулы белка, синтезированные раньше, успевают свернуться в трехмерную структуру до того, как будут синтезированы остальные части. Но в итоге все молекулы данного белка сворачиваются строго одинаково. Зная аминокислотную последовательность белка, теоретически можно рассчитать его пространственную структуру всех уровней. Часто это успешно делают и на практике, используя методы таких наук, как биофизика и биоинформатика. В идеале последовательность аминокислот (которую можно записать в строчку, обозначив аминокислоты буквами) должна однозначно определять собой все свойства белка. И более того, изучаемая биологами реальность к этому идеалу очень близка.
На заре жизни... и раньше
Биохимическая эволюция началась еще до образования Земли как планеты. Современные ученые уверены, что синтез веществ, ставших потом биологически активными, шел уже на частицах протопланетного газопылевого облака4. Об этом свидетельствует многое — например, химический состав углистых метеоритов, которые потому так и называются, что богаты углеродом (в научной литературе их часто называют углистыми хондритами). Метеориты этого типа никогда не входили в состав планет, поэтому их химический состав не искажен действием высоких температур и давлений, господствующих в планетных недрах. Это своего рода химический “заповедник” очень древней эпохи Солнечной системы — эпохи, когда синтез органических веществ только начинался. Химический анализ углистых метеоритов дал ученым поразительную возможность заглянуть во времена, непосредственно предшествовавшие зарождению жизни.
И ученые не разочаровались. Углистые метеориты оказались удивительно богаты органикой. Например, в них найдены углеводороды, спирты, альдегиды, кетоны, карбоновые кислоты, оксикислоты, амины и углеводы (см. главу 1). Есть там и аминокислоты. Причем очень разные.
В знаменитом Мурчисонском метеорите, упавшем в 1969 году в Австралии, химический анализ обнаружил в общей сложности 52 аминокислоты5 (см. рис. 3.8). И они необыкновенно разнообразны. Например, среди этих аминокислот есть бета-аланин — изомер аланина, являющийся не альфа-, а бета-аминокислотой (NH2–CH2–CH2–COOH). Есть там гамма- и даже дельта-аминокислоты, например дельта-аминовалериановая кислота (NH2–CH2–CH2–CH2–CH2–COOH). Есть изовалин и метилнорвалин — аминокислоты, где к альфа-углеродному атому присоединены сразу два углеводородных радикала (как мы помним, в “белковых” аминокислотах на месте одного из них всегда атом водорода). Есть циклолейцин, где карбоксильная группа и аминогруппа присоединены к замкнутому пятичленному углеводородному кольцу. Перечислять странные аминокислоты, многие из которых встречаются исключительно в метеоритах, можно еще долго. Есть там, впрочем, и аминокислоты, входящие на Земле в двадцатку “белковых”, — глицин, аланин, валин, лейцин, изолейцин, аспартат, глутамат и пролин.
И вот тут возникает закономерный вопрос: почему одни аминокислоты вошли в состав белков, а другие нет? Кое о чем вполне можно догадаться. Скорее всего, “выбор” аминокислот на роль протеиногенных сильно зависел от формы их молекул. Например, аминокислота с двумя крупными радикалами при альфа-атоме должна ограничивать число возможных конформаций полипептидной цепочки, делая ее менее гибкой, — просто потому, что радикалы будут торчать в разные стороны, мешая изгибам и поворотам. У всех без исключения протеиногенных аминокислот одна из валентностей альфа-атома занята простым водородом. И это, конечно, не случайность.
Примерно так же, скорее всего, объясняется и тот факт, что все белки состоят исключительно из альфа-аминокислот. В результате этого остов полипептидной цепи получается легким, гибким и однородным. Все “тяжелые” группы переводятся в боковые цепи, а все промежутки между пептидными связями имеют строго одинаковую длину. Если бы, например, в состав белка входили вперемешку альфа- и бета-аминокислоты, последнее условие не соблюдалось бы и это сделало бы невозможными регулярные конформации — такие как широко распространенная в реально существующих белках альфа-спираль.
А теперь отвлечемся от белков и подумаем про общие принципы развития Вселенной. Благо повод для этого сейчас есть. Не раз упоминавшийся тут Станислав Лем писал, что творческий потенциал неживой природы больше, чем у живой, по одной простой причине: она не ограничена требованиями естественного отбора. “Лишь там, где царит смерть, вечная, спокойная, где не действуют ни сита, ни жернова естественного отбора, формирующие любое создание по законам бытия, открывается простор для удивительных произведений материи, которая, ничему не подражая, никому не подчиняясь, выходит за границы человеческого воображения”, — пишет Лем в замечательном романе “Фиаско”[2]. И добавляет: на планетах, освоенных жизнью, химические соединения попали “в рабство к биологической эволюции”. Они усложнились, но потеряли свое огромное исходное разнообразие.
То, что мы знаем об аминокислотах Солнечной системы, превосходно иллюстрирует эту мысль. Пока никакой жизни не существовало, самые разные аминокислоты синтезировались более-менее одинаково легко. Их было много десятков. После возникновения жизни ситуация резко изменилась: аминокислоты, вошедшие в состав белков, стали активно синтезироваться живыми организмами, и на Земле (о жизни в других местах мы пока ничего не знаем) их концентрации колоссально выросли. Аминокислоты, не прошедшие отбора на протеиногенность, наоборот, стали редкими. Некоторые из них, например изовалин, не встречаются на Земле вообще никогда. Между прочим, именно открытие в Мурчисонском метеорите изовалина стало самым сильным доводом в пользу того, что аминокислоты не были занесены в этот метеорит земными микробами после его падения на Землю, а присутствовали там изначально. Изовалина на Земле просто нет, так что никакие микробы занести его не могли. Он синтезировался в космосе совершенно самостоятельно. Но поскольку у изовалина два углеводородных радикала, то на роль составной части белков он не подошел. Со многими другими аминокислотами произошло то же самое. И это, конечно, не случайность. Уже знакомая нам общая формула протеиногенной аминокислоты — это не изолированный факт, который можно только зазубрить, а вполне осмысленный продукт эволюции.
Функции белков
Любой отдельный белок — тоже продукт биологической эволюции. Его аминокислотная последовательность, как и вся структура, всегда приспособлена под какую-нибудь строго определенную функцию. Известный биофизик Лев Александрович Блюменфельд писал: “Если бы для описания клетки нам пришлось выбирать между двумя крайними моделями — часовым механизмом и гомогенной химической реакцией в газовой фазе, — выбор был бы однозначен: клетка несравненно ближе к часовому механизму, чем к чисто статистической системе”6. Можно добавить, что это относится не только к целой клетке, но и к отдельным макромолекулам, то есть в первую очередь к белкам. Блюменфельд как раз и начинает вышеприведенными словами главу своей книги, посвященную биофизике молекул белка.
Функционирующий белок можно в самом что ни на есть буквальном смысле рассматривать как молекулярную машину, то есть как машину размером с молекулу. По определению Блюменфельда, машина — это конструкция с выделенными внутренними степенями свободы (то есть, попросту говоря, с подвижными частями), использующая собственное механическое движение для передачи силы от одной части системы к другой. Белковая молекула этому определению, безусловно, соответствует. В ней хватает внутренних степеней свободы (множество ковалентных связей, вокруг которых возможны повороты), и она вполне может передавать силу с помощью своих подвижных частей. И многие белки — например, мышечные — постоянно используют это, совершая настоящую механическую работу. Но это далеко не единственное, что белки могут делать.
А что же, собственно, они делают? Самый близкий к истине ответ — да все! Или, во всяком случае, почти все. Функции белков настолько многообразны, что никакое их перечисление, скорее всего, не будет абсолютно полным. Но мы все-таки попробуем назвать главные функции белков, помня про эту оговорку.
- Структурная функция относится к белкам, из которых сделаны те или иные части живых тел. Например, коллаген — белок, образующий механическую основу костей, хрящей и соединительнотканного слоя кожи. Кератин — белок, из которого состоят волосы, ногти и наружный роговой слой кожи. Кристаллины — белки, из которых в основном состоит хрусталик глаза. И так далее.
- Каталитическая функция, связанная с ускорением химических реакций. О ней — чуть ниже.
- Сигнальная функция: белки, предназначенные для передачи информации. Эта функция на редкость многолика. Бывают белки-нейротрансмиттеры, передающие сигналы между нервными клетками. Бывают белки-гормоны, передающие сигналы примерно тем же способом, но через кровь, по всему организму сразу. Бывают белки-рецепторы, которые, наоборот, принимают сигналы, сидя на поверхности клетки. Бывают белки-посредники, обеспечивающие проведение сигнала уже внутри клетки. И это далеко не все возможности, но вникать в детали мы сейчас не будем.
- Транспортная функция. Например, известный всем гемоглобин — это белок, переносящий молекулы кислорода из одной части организма в другую.
- Двигательная функция свойственна белкам, от которых зависит сокращение мышечных клеток животных, но не только им. Например, двигательные структуры одноклеточных организмов — жгутики, реснички, ложноножки — тоже обязательно содержат специальные моторные белки.
- Защитная функция. Это всевозможные яды, а также антитела, то есть белки, выделяемые клетками иммунной системы и убивающие опасных “гостей” организма (например, попавших туда бактерий).
Эти функции, пожалуй, главные. Ясно, что живым существам нужны они все. И тем не менее среди них можно выделить одну совершенно особую функцию, настолько распространенную и важную, что без нее белки как природное явление вообще невозможно представить. Эта функция — каталитическая. Вот о ней стоит поговорить подробнее.
Ферменты
Начнем с простых определений. Вещество, ускоряющее химическую реакцию, но само не претерпевающее в ней стойких изменений, называется катализатором. А катализатор, являющийся белком, называется ферментом. Ускорять он может все что угодно. Все биохимические реакции идут не сами по себе, а с помощью ферментов. Например, даже такой предельно простой процесс, как слияние углекислоты (CO2) и воды (H2O) в молекулу угольной кислоты (H2CO3), все равно катализируется специальным ферментом — карбоангидразой, которая ускоряет его примерно в миллион раз. А для более сложных реакций ферменты тем более необходимы. Можно без особого преувеличения сказать, что ферменты контролируют в живом организме вообще все.
Вещество, являющееся исходным для той реакции, которую катализирует данный фермент, называется его субстратом. Молекула фермента должна войти в контакт с молекулой субстрата и подвергнуть ее некоему действию — например, расщепить надвое, или поменять в ней местами функциональные группы, или сшить что-нибудь ковалентной связью, или разорвать эту связь, — вариантов тут множество. Но в любом случае молекула фермента должна сначала захватить молекулу субстрата, а потом преобразовать ее и высвободить. Часть молекулы фермента, непосредственно контактирующая с молекулой субстрата, называется активным центром. Ферменты — это обычно довольно крупные белки, а в активном центре может быть всего-навсего несколько аминокислот. Поэтому, как правило, активный центр занимает только небольшую часть молекулы фермента (см. рис. 3.9А).
Если говорить совсем примитивно, активный центр — это такое гнездо в молекуле фермента, куда молекула субстрата должна войти, как ключ в замок. Как только она туда попадет, молекула фермента ее захватит и преобразует. Очевидно, что для этого конформация активного центра должна очень точно совпадать с очертаниями молекулы субстрата — в самом деле как замочная скважина с ключом. Это прямо так и называют “моделью ключа и замка”. Правда, на самом деле активный центр фермента, в отличие от механизма замочной скважины, является скорее гибким, чем жестким. При взаимодействии с субстратом его конформация всегда меняется — примерно так, как меняется форма перчатки, когда ее надевают на руку. Модель работы ферментов, учитывающая это, называется “моделью индуцированного соответствия”. Когда реакция завершается, конформация фермента возвращается к прежней.
Биофизики уверены, что во всех этих процессах молекула фермента действует как сложная механическая машина, имеющая множество шарниров, сочленений, поворачивающихся частей и т.п.7 И это, конечно, впечатляет. “Самонадеянно скажет иной: “Сколочу-ка телегу!” // Но ведь в телеге-то сотня частей! Иль не знает он, дурень?” — писал в поэме “Труды и дни” великий древнегреческий поэт Гесиод[3]. А ведь молекула любого фермента (пусть даже и небольшого) устроена намного сложнее гесиодовой телеги. Причем это будет верно, даже если мы станем рассматривать ее исключительно как механическую машину, игнорируя всю тонкую структуру атомного уровня.
Номенклатура ферментов довольно сложна, потому что их очень много. Но в большинстве случаев название фермента включает, во-первых, название его субстрата и, во-вторых, характерное окончание “-аза”. Если мы видим где-то слово с таким окончанием, это наверняка название какого-нибудь фермента.
У термина “фермент” есть синоним. Это слово “энзим”. Например, в английском языке ферменты называют почти исключительно энзимами (enzyme), и в русские переводы с английского это тоже иногда проникает. Но все-таки по-русски гораздо чаще говорят именно “фермент”. На всякий случай запомним, что “фермент” и “энзим” — синонимы, и употребление одного из этих слов вместо другого большой ошибкой не будет.
Очень важное свойство ферментов — специфичность. Это значит, что каждый фермент приспособлен к одной строго определенной химической реакции. Субстрат должен точно подойти к его активному центру, иначе реакция не пойдет.
Например, фермент сукцинатдегидрогеназа захватывает молекулу янтарной кислоты (HOOC–CH2–CH2–COOH) и превращает ее в молекулу фумаровой кислоты (HOOC–CH=CH–COOH). Янтарная кислота при этом, как видим, теряет два атома водорода. Водород по-латыни “гидроген”, а “дегидрогеназа” — фермент, его отнимающий. Субстратом же этого фермента является янтарная кислота. В растворе она диссоциирует, и от нее остается анион, который называется сукцинатом. Таким образом, сукцинатдегидрогеназа — это фермент, отнимающий водород у сукцината (см. рис. 3.9Б).
Однако возможна ситуация, когда на месте сукцината окажется малонат — анион малоновой кислоты, отличающейся от янтарной на один атом углерода (HOOC–CH2–COOH). Молекула малоната приблизительно подходит по форме к активному центру сукцинатдегидрогеназы и может его занять. Но поскольку соответствие все-таки неточное, никакой реакции в этом случае не произойдет (см. рис. 3.9В). Активный центр сукцинатдегидрогеназы будет просто заблокирован. Это называется конкурентным ингибированием. Конкурентное ингибирование — очень эффективный механизм “выключения” ферментов, на нем основано действие многих лекарств и ядов.
В активных центрах ферментов бывает очень полезным уже знакомое нам разнообразие аминокислот. Чтобы молекула субстрата встала на свое место и повела себя как надо, очертания активного центра должны быть под этот субстрат идеально подогнаны. Для этого где-то можно разместить гидрофобные карманы, образованные боковыми цепями аланина или валина, где-то — отрицательные заряды аспартата или глутамата, где-то — нейтральные гидрофильные аминокислоты, которые образуют с субстратом водородные связи, и так далее. Если, например, в субстрате есть положительный заряд, то в этом-то месте как раз и можно выставить отрицательно заряженный радикал какого-нибудь аспартата, чтобы электростатическим притяжением удержать молекулу субстрата в нужном положении. Таких примеров можно привести множество.
Интересно, что аминокислоты, оказывающиеся рядом в активном центре, запросто могут в первичной последовательности находиться очень далеко — например, за 300 остатков друг от друга. Их “правильное” взаимное расположение достигается за счет очень точного
...