автордың кітабын онлайн тегін оқу Ты, я и деньги. Как сохранить и приумножить богатство, независимо от того, что творится вокруг
Константин Сергеевич Назаркин
Ты, я и деньги. Как сохранить и приумножить богатство, независимо от того, что творится вокруг
© Назаркин К.С., текст, 2024
© Гусарев К.С., обложка, 2025
© Оформление. ООО «Издательство «Эксмо», 2025
От Автора
Легко ли стать миллионером? В качестве ответа приведу такой пример: 11 341 человек в мире совершили восхождение на Эверест. А вот долларовых миллионеров – 56,1 миллиона человек. Только за 2022 год их стало больше на 5,2 миллиона. Получается, что стать долларовым миллионером, то есть покорить финансовую вершину, проще, чем забраться на самую высокую гору в мире.
Но как и альпинисту не обойтись без специальных знаний, подготовки и техники, так и для будущего миллионера важен четкий, продуманный план: стратегия движения к вершине.
На страницах этой книги я расскажу о стратегии пассивного, рентного и активного инвестирования и о том, что подходит каждому в разные периоды жизни.
Притча про лягушку и гору.
Как-то раз несколько лягушек решили устроить соревнование по бегу. Они хотели добраться до вершины высокой башни. На соревнование пришло много зрителей.
Но зрители не допускали даже мысли о том, что лягушки могут забраться на башню.
Они кричали:
– Ах, как тяжело!!!
– Они НИКОГДА не достигнут вершины!
– У них не получится, башня слишком высокая!
И тогда одна за другой лягушки начали терять силы и сходить с дистанции. Только одна упорно карабкалась все выше и выше.
А зрители продолжали кричать:
– Это слишком тяжело!!! Никто не в силах справиться с этим!
В конце концов упорная лягушка достигла вершины башни!
После соревнования одна из участниц подошла к победительнице. Она хотела спросить, как ей это удалось. И оказалось, что победившая лягушка… была глухой.
Так и в жизни, друзья. Идите к своим целям, осуществляйте свои мечты, несмотря ни на что. Будьте ГЛУХИ, когда вам говорят, что вы ничего не достигнете!
Верьте в себя, и все обязательно получится!
Ссылка на бот
В 2018 году мы с коллегами создали группу финансовых компаний под брендом DS Consulting. Тогда я фигурировал в качестве эксперта по финансовому планированию. На данный момент это одна из крупнейших финансово-консалтинговых компаний в России и странах СНГ. В 2020 году я с коллегами торжественно открывал наш офис в столице Казахстана Нур-Султане (сейчас Астана). За все годы работы были и взлеты, и падения, успехи и неудачи. Но, несмотря ни на что, мы шли к своим целям. В итоге сейчас у нас более 5000 клиентов и больше 580 финансовых консультантов по всему миру.
Поэтому все, что написано в этой книге, проверено не только мной за более чем 12-летний опыт, но и всеми нашими консультантами. За это время они провели более 50 тысяч встреч и несколько десятков тысяч консультаций. Рекомендации консультантов схожи с рекомендациями из MDRT[1], которые в свою очередь используются почти в 80 странах мира.
Я очень люблю работать с людьми. Меня восхищают их истории и изменения после того, как люди берут жизнь в свои руки. И в этой книге таких историй много. Я включил сюда примеры своих клиентов, финансовая судьба которых развернулась на 180 градусов после работы над собой. И я рад, что тоже был причастен к их изменениям.
А вот моя история, о которой я тоже не могу не рассказать.
Я выбрал стезю финансового консультанта, вдохновившись примером Бодо Шефера. Он работал как личный консультант у миллионеров с мировым именем. И вот я, Константин Назаркин, уже более 12 лет консультирую по вопросам финансовой грамотности.
Я родился в мае и, как истинный Телец, упорно достигаю своей цели! Сейчас я вдохновлен своей жизнью, но так было не всегда!
Мой отец столяр и плотник, мама военный повар. Именно благодаря воспитанию родителей во мне развились трудолюбие, дисциплина и внимание к людям.
Однако, несмотря на всю мою любовь и глубокое уважение к родным, я не хотел повторять их судьбу и надеялся выйти на другой уровень жизни.
Уже в 11 лет я решил копить деньги, и этот факт начал подогревать мой интерес к финансам. На свой первый компьютер я собирал «c миру по нитке». Тогда для меня это была игра: я соглашался на любые подработки, начиная от продажи грибов в деревне у бабушки на ж/д переезде и заканчивая реализацией телефонных карт у автоматов возле метро. Почти все деньги, подаренные на дни рождения, шли в копилку и грели меня будущей покупкой. Детское воодушевление и счастье – сохраняйте его и сейчас!
Таким образом я накопил не только на компьютер, но и на очень хороший велосипед, потом на квартиру и капитал для пассивного дохода! Я люблю качественные вещи и очень ценю труд тех, кто их производит!
А еще с самого детства я мечтал стать личностью интересной и великой. Благо, родители давали мне свободу выбирать занятия по душе. В 15 я пошел трудиться на речной флот, где и проработал несколько лет. Сначала с клубом юных моряков ходил на учебных судах как курсант, а спустя время перешел и на грузовые и технические баржи.
Я хорошо помню тот день, когда все изменилось. Стояло раннее утро. Я вышел на палубу и увидел капитана: пузатый мужичок в трусах и с сигаретой во рту безмятежно вглядывался в горизонт. Меня осенило: это же я, только через 15–20 лет! Такая перспектива мне очень не понравилась. Я вдруг ощутил всем своим существом, что моему характеру, моим мечтам не подходит работа на флоте. Я захотел связать свою жизнь с каким-то более подходящим моему образу мыслей делом.
Бывало у вас такое чувство? Вроде и дело хорошее, и жизнь обустроена, но вы вдруг понимаете, что находитесь не на своем месте. Как только я это осознал, вокруг стали происходить изменения.
Будто сама Вселенная услышала меня и стала помогать. Через две недели позвонил знакомый и предложил заняться бизнесом. Я слукавлю, если скажу, что сразу согласился. Конечно, сомнения были. Терять привычное сложно. Но все-таки я выбрал то, к чему тянулся с детства. И, как говорится, «ПопЕрло!»
И в этой новой жизни были попытки открыть бизнес и первые шаги в инвестировании. В 2011-м по мотивам книг Бодо Шефера и Роберта Кийосаки мы даже создавали свой клуб по инвестициям. И в то время инвестиции пользовались популярностью. С годами моя экспертность только росла, а интерес людей к этой теме увеличивался.
Весь свой опыт ведения бизнеса, постижения законов инвестиционных рынков и финансового консультирования я объединил в этой книге. Поэтому, если вы давно искали надежного помощника в теме инвестиций, – она для вас!
Данные в книге советы по размещению денег являются мнением автора и НЕ ЯВЛЯЮТСЯ ИНВЕСТИЦИОННОЙ РЕКОМЕНДАЦИЕЙ.
MDRT – ассоциация агентов по страхованию жизни и финансовых консультантов, целью которой является продвижение этических стандартов, передовых практик и повышение квалификации продавцов в сфере страхования жизни, здравоохранения и долгосрочного ухода.
Вступление: как работает финансовая грамотность
Дмитрий в 32 зарабатывает около 400 тысяч рублей в месяц и еще получает пассивный доход около 350 тысяч рублей в месяц. Дмитрий выступает на телевидении, проводит семинары и инвестирует. Он может позволить себе жить свободно и развивать те проекты, которые любит, а еще путешествовать, уделять время супруге и маленькому ребенку.
Но 10 лет назад все было иначе!
В 2014-м этот же человек жил от зарплаты до зарплаты и имел долг 1,5 миллиона рублей.
В первые годы работы Дмитрий не обладал финансовой грамотностью, зато у него были амбиции. С друзьями он открыл автосервис, чтобы, как он думал, «и себе починить, и на других заработать», но автосервис оказался тяжелым видом бизнеса. Парень на нем ничего не заработал, а лишь увеличил долги. В итоге бизнес прогорел.
Чтобы исправить ситуацию, он устроился в большой зеленый банк. Поначалу ему нравилось после автосервиса ходить на работу в хорошем костюме в красивый офис и считать чужие деньги.
Но вот важный инсайт, который он вынес спустя много лет: его и там не научили финансовой грамотности, а работа, по сути, отличалась от прошлой лишь тем, что на новом месте появился финансовый потолок.
«Финансовая грамотность – это как высокий маяк на скале. Граждане в городе не всегда замечают его свет. Но те, кто решил стать капитанами своей жизни, точно видят и пользуются знаками маяка в виде финансовой грамотности»,
Константин Назаркин
Зарплата у Дмитрия была около 80 тысяч рублей, из которых 30 тысяч рублей он отдавал на погашение кредитов. В финансовом мире эта ситуация называется «крысиными бегами», когда человек не может выбраться с проторенного, но не самого благоприятного пути.
В 2015-м в жизни Дмитрия появился я. Мы посчитали все финансы в семье и пути, как их можно приумножить. Еще я подарил ему книгу Джорджа Сэмюэля Клейсона «Самый богатый человек в Вавилоне».
Дмитрий прислушался к моим рекомендациям. Он расписал пошагово план действий, который включал:
1) досрочное гашение кредитов;
2) создание подушки безопасности, несмотря на существующие кредиты;
3) формулировку четких целей для семьи, сроки их достижения и суммы.
Дмитрий строго придерживался плана, и результат не заставил долго ждать. В течение нескольких месяцев в семью стали приходить деньги под цели, которые мы прописали. У жены появились заказы, а самого Дмитрия повысили.
В итоге на погашение всех кредитов у семьи ушло около 2,5 года вместо 6, расписанных по графику.
Дмитрий уволился из банка и стал изучать финансовые инструменты. Вместе мы сделали несколько успешных сделок и на фондовом рынке, и в недвижимости.
Суммарно за это время Дмитрий инвестировал около 3,5 миллионов рублей. Через 4 года он зафиксировал 49 миллионов рублей, 30 из которых распределил в финансовые инструменты. На остальные Дмитрий взял очень хорошую квартиру в ипотеку.
И несмотря на то что вложенные деньги попали на кризисы, и Дмитрий потерял на инвестициях более 4 миллионов рублей, он не опустил руки. Наоборот, помнил про цели и нарабатывал навыки. В итоге уже через 2,5 года другие инвестиции дали ему прирост.
Дмитрий продолжает сотрудничать со мной и моей командой по более чем восьми направлениям: от недвижимости и страховых компаний до фондовых рынков и IPO-инвестиций. Он платит очень комфортную для себя ипотеку под 5,9 %, которая с лихвой перекрывается пассивным доходом от инвестиций.
Подводя итог этой истории, хочу процитировать американского оратора, бизнес-тренера, автора книг по психологии Джима Рона: «Если вы не разрабатываете собственного жизненного плана, то, возможно, окажетесь в чужом плане. И угадайте, что они для вас приготовили? Не много».
Пример Дмитрия прекрасно иллюстрирует справедливость этих слов.
Хотите, чтобы ваша жизнь изменилась? Переверните страницу и окажитесь в начале длинной, но красивой дороги на пути к финансовому благополучию.
И перед тем как мы начнем, хочу провести небольшой экскурс в историю. Не пугайтесь, долгой и нудной лекции не будет. Я просто хочу объяснить, почему у наших предков, да и у нас с вами сложилось такое попустительское отношение к собственным финансам.
Больше сотни лет нам внушали, что создавать состояние и сохранять капитал для будущих поколений – зло. Вспомните период советской власти, когда человеку говорили: «Ты работай, но копить и накапливать задача не твоя, а государства».
Это при том, что с фондовым рынком государство было знакомо еще с 1703 года, когда по указу Петра I в Санкт-Петербурге открылась первая Петроградская биржа.
Однако современный фондовый рынок в России был создан только в 1991 году – 34 года назад!
Да, наш фондовый рынок – это молодой мужчина в расцвете сил, полный надежд и стремлений. Однако в мировом масштабе у него есть более старшие товарищи и даже старики. Например, Франкфуртская фондовая биржа была основана почти 5 веков назад – в 1585 году, Амстердамская фондовая биржа – в 1602 году, Филадельфийская биржа – в 1790 году.
На страницах этой книги мы будем обращаться и к мудрецам с четырехтысячелетней историей (Древний Вавилон), и к молодым ребятам, рожденным в 2009-м (криптовалюты). Всегда есть чему поучиться и у старых поколений чеканных монет, и у цифровых значений электронных денег. Взяв у тех и у других самое лучшее, вы создадите надежную систему семейных финансов, которая обеспечит финансовое будущее в любой ситуации.
Деньги влияют на жизнь каждого из нас, и ими важно научиться грамотно управлять. Это управление называется «финансовая культура». Именно она заботится о передаче богатства или навыков эффективного управления деньгами сначала внутри семьи, а потом и внутри страны. Мы только сейчас начинаем создавать семейную «финансовую культуру», в том числе с помощью этой книги. Поэтому все у вас еще впереди.
Как только вы овладеете знаниями по финансовой грамотности, то сможете:
• создать подушку безопасности и страховой портфель на случай непредвиденных событий;
• грамотно создать план по увеличению дохода и управлению расходами семьи;
• уменьшить или быстро и легко избавиться от кредитов и долговых нагрузок;
• заставить деньги работать на вас, даже когда вы спите;
• купить недвижимость или автомобиль, не копить на эти вещи полжизни;
• находить качественные инвестиционные инструменты и получать пассивный доход;
• обеспечить себе и близким достойную старость и качественный уровень жизни;
• получить душевную и финансовую уверенность в завтрашнем дне.
Помните, эта книга не будет учить вас жизни в финансовой сфере, хотя иногда так может показаться. В этой книге мы соберем и соединим в простую и понятную схему все инструменты для достижения ваших финансовых целей.
Вперед! Начнем наше путешествие!
Глава 1
Личные финансы: почему все не так, как кажется
«Я ЭТО УЖЕ ЗНАЮ!» – вот главные 4 слова, которые закрывают путь к богатству! И я хочу, чтобы вы забыли о них с первых страниц этой книги.
Профессионально занимаясь финансами более 12 лет, я до сих пор уверен, что только в начале пути. А те, кто думают, что деньги – понятная и простая история, глубоко заблуждаются.
Например, прямо сейчас, когда я пишу эту книгу, я прохожу четырехмесячное наставничество американского специалиста по финансовому планированию Джозефа. Он работает с богатыми семьями больше 35 лет.
«Деньги – это хороший работник, который может трудиться по 24 часа в сутки. Устройте его на работу. Если вы этого не сделаете, он уйдет работать к другим».
Саидмурод Давлатов
Поэтому, чтобы увеличить суммы на вашем банковском счете, воспринимайте эту книгу как призыв к действию. Применяйте рекомендации и выполняйте упражнения с открытым сознанием. Помните, к мечтам нас приводят не пустые грезы, а намерения. Они формируют дальнейшие действия, нацеленные на результат.
И главный инструмент, который я хочу вам подарить, – это финансовое планирование.
А в этой главе мы с вами:
• познакомимся с системой планирования;
• узнаем, что инвестирование – это не про вложить и быстро заработать;
• разберем, насколько важна цель;
• узнаем, кто такие «финансовые наркоманы»;
• поговорим о 12 грехах инвестора.
Ребенок учится планировать уже в 3–4 года. Когда вы говорите малышу: «Одевайся на прогулку», он планирует, что наденет и что возьмет с собой. Когда вы просите ребенка убрать игрушки, он планирует, как и в какой последовательности это сделать. Поэтому мы все умеем планировать. Нужно только чаще применять этот навык в жизни.
Мы разберем тонкости и подводные камни личного и семейного финансового планирования. Вы научитесь не только находить финансы под конкретную задачу, но и сможете так распланировать свою жизнь, чтобы меньше думать о работе и больше о самой жизни.
Цель + Финансы под заданную цель = Финансовое планирование
Финансовое планирование = Планирование всей жизни
Помимо рабочих инструментов, в книге вы найдете реальные кейсы и антикейсы, практические упражнения и еще много увлекательных и полезных вещей. Все это я объединил в свой авторский метод. Я проложил путь, который выведет вас из хаоса и приведет к системному подходу. Самое главное – вы перестанете беспокоиться о деньгах.
Создавать ваше будущее мы будем вместе. Это второе важное слово в этой книге. Только те из вас, кто пройдет весь путь, достигнут результата.
«Час планирования может сэкономить вам 10 часов работы», – утверждает Дейл Карнеги.
«Богатые каждую минуту своей жизни учатся и растут, а бедные считают, что и так знают достаточно», – пишет Харв Экер.
За последние два месяца я посетил конференцию по инвестициям в недвижимость, международный форум по передаче капиталов и бизнеса по наследству, тренинг по масштабированию бизнеса миллиардера Игоря Рыбакова и серийного предпринимателя Оскара Хартмана. И каждый раз, заходя в новый опыт, я открывал для себя неисследованные территории.
Тем не менее большинство людей просят порекомендовать конкретный инструмент для быстрого, легкого заработка и желательно без риска. Вот совсем свежий кейс из жизни.
Кейс «Про важность вопросов и ответов»
Звонит клиентка по рекомендации. Спрашивает с ручкой наготове:
– Константин, скажите, какие инвестиции актуальны сегодня?
– Чтобы ответить, я должен задать вам 10–20 вопросов.
– Ой, так сложно? – удивляется она.
– Не сложно, а профессионально. Если бы я хотел что-то «впарить», то с ходу назвал бы инструмент с самой большой доходностью в прошлом. Но вы ведь хотите достичь финансовых целей и стать независимой навсегда, а не провернуть разовую выгодную операцию? Тогда стоит подойти к задаче стратегически.
На первой встрече с клиентом я всегда задаю следующие вопросы:
1. Сколько вам лет сейчас и на какой срок вы планируете инвестировать?
2. О какой сумме идет речь?
3. Какую часть эта сумма составляет от всего вашего капитала? (Это важно знать, чтобы не посоветовать вам инвестировать последние деньги.)
4. Есть ли у вас опыт в приумножении денег и какой он?
5. Кто в семье принимает финансовые решения, кроме вас?
6. На какие риски вы готовы, а на какие нет?
7. Какую валюту предпочитаете?
8. Есть ли подушка безопасности?
9. Планируете ли вы единоразовое вложение или готовы пополнять инвестиции, чтобы быстрее прирастить капитал?
10. Какие критерии для вас главные в финансовых инструментах: надежность, ликвидность (это то, насколько быстро можно инвестиции превратить в наличные деньги), доходность или что-то еще?
11. И самый главный вопрос: какую задачу вы хотите решить с помощью инвестирования?
Это не полный список того, что нужно узнать перед началом работы. Но знаете, что я чаще всего слышу в ответ? «Я об этом никогда не задумывался».
Может быть, именно поэтому более 80 % моих клиентов сотрудничают со мной несколько лет подряд. Когда они понимают свои настоящие цели, то идут к ним и не хотят сворачивать с намеченного пути.
Но вернемся к нашему кейсу. С девушкой в итоге мы общались еще 50 минут. Я получил ответы на свои вопросы, она – на свои, и мы договорились о следующих шагах.
Обратите внимание, что в хорошо проработанной финансовой стратегии часто появляется необходимость согласовать между собой цели нескольких членов семьи.
Иногда моих клиентов убеждает простой пример. Представьте, что вы пришли в аптеку, открыли дверь и с порога выкрикнули: «Здравствуйте, а что вы мне порекомендуете?» Или если усилить абсурдность: «А какие лекарства сейчас работают лучше всего?» Смешно, правда?
Поверьте, мне и смешно, и плакать хочется. Потому как даже в аптеке, если вас не заберут в психушку после такого вопроса, обязательно спросят: от чего лечитесь, есть ли рецепт, нет ли аллергии, вам брендовый препарат или аналог подешевле?
И это обычный поход в аптеку. Что уж говорить про такую сложную и динамичную тему как финансы и инвестиции!
Уверен, вы согласитесь, что в любой профессии много нюансов. В финансовом планировании их тоже достаточно. Поэтому заранее приготовьте блокнот и ручку, чтобы помечать и потом применять то, что мы с вами разложим по полочкам.
1.1. Цель – это наше все
А теперь разберем тонкости, которые необходимо понять каждому, кто хочет сохранить или приумножить свои деньги. Но прежде я хочу, чтобы вы поняли:
Деньги всегда приходят в вашу жизнь под конкретные цели!
Это важное условие, без которого все остальное будет малоэффективно. Поэтому всегда нужно иметь цель и верить в ее реализацию.
Всем нам необходима личная причина, чтоб начать разбираться в финансах. И не сходить с намеченного пути, какие бы крутые повороты ни поджидали впереди.
Поэтому постановка цели – важный шаг.
Итак, закройте глаза, глубоко вдохните и медленно выдохните. Почувствуйте, как равномерно бьется ваше сердце. Отрешитесь от внешних звуков: криков детей за окном, шума машин на автостраде или закипающего на кухне чайника.
Попытайтесь отключить сознание от внешнего и заглянуть внутрь себя. Задумайтесь, какой цели вы непременно хотели бы достичь. Что сделало бы вас по-настоящему счастливым? Может быть, вы давно грезите переездом в другую страну, где круглый год греет солнце, а до океана рукой подать? Или мечтаете о собственном доме и большом саде, где по утрам можно слушать шум листвы и наслаждаться ароматным кофе? А может, вам вспомнилось давнее желание купить дом на колесах и переезжать из города в город, изучать новые места и знакомиться с местной культурой? Прочувствуйте этот момент. Проживите в вашей мечте несколько минут, прежде чем вернуться в реальность.
И теперь подумайте: ставите ли вы конкретные цели, чтобы достичь своей мечты? Если да, то есть ли у ваших целей конкретный срок? Ведь часто мечты так и остаются мечтами. А цели, если они и есть, не уходят далеко в будущее. Так, кто-то планирует просто прочитать эту книгу, кто-то ставит цели на ближайшие месяцы, реже – на несколько лет, и лишь единицы составляют список на 20, 40 или даже 60 лет вперед.
Предчувствую, что многие сейчас воскликнут: «Какие 20 лет, Константин! Мы не знаем, что нас ждет завтра!» Так и есть. Однако, если вы реально хотите чего-то достичь и для результата вам нужны деньги, самое эффективное – иметь цель, а лучше несколько четких целей.
И, совершив этот шаг, вы уже продвинетесь вперед.
Согласно опросу НИУ ВШЭ, треть респондентов не планировали свое будущее, горизонт планирования на три года и более имели немногим свыше пятой части опрошенных. Еще каждый пятый строил планы на ближайшие год-два. Краткосрочное планирование с горизонтом на недели или максимум на месяцы осуществляли менее одной пятой части респондентов. Кроме того, НИУ ВШЭ выяснил, что люди, имеющие долгосрочные планы, более устойчивы психологически и активнее пытаются решать возникающие проблемы, в том числе на рынке труда, а люди, не пытающиеся планировать свою жизнь, в целом пассивнее реагируют на трудности. В результате материальное положение первых, по их оценкам, скорее улучшается, а вторых – чаще ухудшается.
Лаборатория экономико-социологических исследований НИУ ВШЭ. Исследование опиралось на данные репрезентативного опроса российского населения, проведенного в октябре 2022 года (возраст – 18 лет и старше).
«Если поставишь цель, то можешь ее или достигнуть, или нет. Если не поставишь, то вариантов достижения нет вообще», – отмечает миллиардер и создатель Telegram Павел Дуров.
Как видите, статистика – вещь упрямая, врать не будет. Люди, которые привыкли планировать, становятся богаче, и именно они превращают свои мечты в реальность. А те, кто живет по течению и лишь грезит о прекрасном будущем, только беднеют. К тому же эмоциональное состояние первых намного устойчивее. Чем не дополнительный бонус на пути к счастливой жизни? Так что предлагаю начать прямо сейчас.
Возьмите блокнот, ручку или откройте заметки на смартфоне и запишите ваши цели:
1) на ближайший год;
2) самую крупную финансовую цель на несколько лет вперед, которая вас вдохновляет и будет поднимать утром с кровати.
Вот вам примеры моих целей для вдохновения.
1. Создать пять бизнесов в разных сферах, которые будут давать рабочие места и новые достижения в науке и технике.
2. Написать три книги по финансовой грамотности и финансовому и инвестиционному планированию.
3. Организовать благотворительный фонд или назначить стипендию талантливым ученикам.
4. Повысить финансовую грамотность 500 тысяч семей.
5. Подготовить 100 учеников, которые станут зарабатывать больше 10 тысяч долларов в месяц и приносить пользу людям в разных городах и странах.
6. Посадить более полумиллиона деревьев.
7. Сделать счастливой мою семью и детей, которые смогут реализовать свои замыслы.
Потренируйтесь. Запишите первую цель: прочитать эту книгу. Так вы получите от нее гораздо больше пользы.
Я же для большей наглядности поделюсь с вами одним кейсом.
Кейс «Заколдованная цифра»
Речь идет о такой манящей для многих россиян сумме – одном миллионе рублей. И действительно, часто ко мне приходят люди с запросом: «Хочу миллионный капитал», «Миллион на подушку безопасности» или «Миллион на расходы». Я долго не мог понять, почему именно миллион, не 947 тысяч рублей, например. А оказалось, что миллион для многих – просто красивая цифра.
Так было и с клиентом, который пришел ко мне в сентябре 2016 года. Назовем его Анатолий. У Анатолия было около 720 тысяч рублей накоплений, и до 1 января 2017 года он хотел увеличить эту сумму до миллиона рублей. Только потом он планировал составлять финансовый план и инвестировать в проекты.
Я не стал спорить. По нехитрым расчетам было понятно, что до конца года такой сумме просто неоткуда взяться: разница между его доходами и расходами была примерно 40 тысяч рублей. То есть, откладывая 40 тысяч рублей 4 месяца подряд, он накопил бы еще 160 тысяч рублей, или 880 тысяч рублей в итоге. До желанного миллиона все равно не хватало 120 тысяч рублей.
Тогда мы с Анатолием стали искать варианты дополнительного заработка. Он, помимо основной работы, устроился в музыкальный магазин, но в ноябре все равно не хватало 80 тысяч рублей до миллиона.
Однако эта ситуация нисколько не смутила моего клиента. Он не отступил от своей цели и ни разу не усомнился в том, что у него получится. Попутно Анатолий стал помогать другу с делами в бизнесе, а друг настроил Анатолию рекламу для привлечения клиентов. И в декабре 2016-го моему клиенту пришло более 90 тысяч рублей предоплат за работу.
Мы уже представляли, как цифры на счете Анатолия перескакивают миллионную отметку, но неожиданно один из заказчиков попросил возврат. Сумма снова откатилась назад, показав 960 тысяч рублей. Но тут Анатолия порадовали доходы от инвестиций, которые, как по волшебству, резко стали расти. Так 28 декабря 2016 года на счету этого человека оказалось 1 035 000 рублей. Надо ли говорить, что он был очень доволен.
«Человека делают старым не морщины, а отсутствие мечты, цели и надежды».
Арета Франклин
Его принципиальность, четкое следование плану и сильнейшая мотивация помогли жениться, купить дом в желаемом районе и переехать к морю. Пока в Сочи, но это лишь потому, что более глобальных целей он не ставил.
Вы и сами наверняка знаете: стоит чего-то сильно захотеть, как мир тут же начинает помогать. Иногда, правда, бывает, что Вселенная подкидывает и соблазны, которые уводят в сторону. Но здесь главное – проявить стойкость. И увидеть возможности для реализации вашей цели.
Подробнее про цели мы поговорим в шестой главе. Пока просто запомните, что правильно поставленная цель – отличный мотиватор к финансовому росту.
1.2. Сохранить и приумножить
Сразу предупреждаю: некоторые из пунктов этого списка и книги в целом могут противоречить друг другу. Так происходит потому, что нет единого рецепта богатства – есть индивидуальные решения. Все мы уникальны и многогранны. Берите то, что применимо для вас, и получите собственный результат.
1. Деньги получИть или получАть
Спросите себя: «Вы хотите получить много денег или получать много денег?»
Почувствуйте и облегчите себе жизнь во многих сферах жизни.
Про эффект накопления и сложные проценты мы поговорим в отдельной главе, а пока просто поймите, что для вас выгодно мыслить наперед. Тогда и действовать вы будете на перспективу, причем не только в отношении денег.
Дисклеймер: мы будем считать 1 доллар = 100 рублей для простоты расчетов. Доллар по-прежнему один из важных финансовых инструментов по причине инфляции, распределения рисков и многих других факторов, которые мы подробно разберем в этой книге. Поэтому примеры здесь будут в разных валютах, и в том числе в долларах. А умножить или разделить на 100 очень легко. Например, 5000 долларов = 5000 * 100 = 500 000 рублей, или 14 000 000 рублей / 100 = 140 000 долларов. К тому же в этой книге все равно иногда придется включать ваши навыки арифметики и математики, но это будет легко, и я, конечно, во всем помогу.
А теперь решим интересную задачку:
Что бы вы хотели: получить 1 миллион долларов (около 100 миллионов рублей) сразу или 1 цент (1 рубль), который будет удваиваться каждый день на протяжении 30 дней?
Ну что ж, давайте посчитаем.
Мы получим 1 цент, и в первый день сумма увеличится в два раза. Значит, у нас на руках уже будет 2 цента. Во второй день их станет 4, в третий – 8, и далее по схеме:
1. 1*2=2
2. 2*2=4
3. 4*2=8
4. 8*2=16
5. 16*2=32
6. 32*2=64
7. 64*2=128
8. 128*2=256
9. 256*2=512
10. 512*2=1024
11. 1024*2=2048
12. 2048*2=4096
13. 4096*2=8192
14. 8192*2=16 384
15. 16 384*2=32 768
Уже за первые 15 дней цифры получаются внушительные, а через 30 дней мы получим 1 073 741 824 цента, что равно 10 737 418,24 доллара, то есть почти 11 миллионов долларов!
Если в месяце 31 день, то вы получаете 21 474 835 долларов, то есть около 21,5 миллиона долларов.
То есть мы подождали месяц и получили сумму больше миллиона долларов в 11 или в 21 раз!
Безусловно, представленный здесь пример метафоричен. Лишь очень немногие способны заработать на инвестициях 21 миллион долларов за 31 день. Но сама работа системы показана настолько наглядно, что я как инвестор и финансовый консультант выберу вариант с 1 центом. Вы со мной?
Если вдруг задачка с центом не убедила вас из-за ее метафоричности, возьмем более реальный пример, который точно вызовет у вас желание откладывать и инвестировать.
Допустим, ваш стартовый капитал всего 100 долларов (10 тысяч рублей) (в одной из глав мы поговорим об инвестициях, наиболее выгодных для небольших сумм). А пока просто представим, что вы можете добавлять к уже имеющимся 100 долларам (10 тысяч рублей по курсу 100 рублей за доллар) каждый день по 10 долларов (тысяче рублей). Согласитесь, звучит вполне реально.
Умножьте эту сумму на год:
1000 рублей * 365 дней = 365 000 (рублей) в конце года.
Если взять за временной период три года, то ваши инвестиции с 10 тысяч рублей увеличатся до:
365 * 3 = 1095 (дней)
1095 * 1000 = 1 095 000 (рублей)
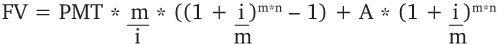
Если вы будете продолжать и, например, инвестировать по 10 долларов в день (тысяча в день) на протяжении 34 лет под 10 % доходности в год под сложный процент, инвестируя 304,17 доллара в месяц = (365 * 10) / 12 мес., через 34 года получится 1 044 855,20 долларов (около 100 миллионов рублей по курсу).
1 044 855,20 $ (почти 100 миллионов рублей по курсу).
10 долларов * 365 = 3650 долларов в год (365 тысяч рублей примерно).
1 044 855,20 $ – это при ежемесячной капитализации
PMT – ежемесячное пополнение;
m – количество периодов (в нашем случае 12 месяцев);
i – годовая ставка доходности;
А – стартовый капитал;
Сумма всех пополнений: 124 101,36 доллара (отличается от 124 100, так как в калькуляторе мы округлили ежемесячную цифру с 304,166666667 до 304,17).
Итого доход от инвестиций за 34 года: 920 653,84 доллара.
Итоговая сумма при стартовом капитале в 10 тысяч рублей и пополнении к ним по 1 тысяче рублей в день равна 1 044 855,20 доллара, или около 100 миллионов рублей.
И это при условии, что вы внесли за 34 года всего 124 100 долларов = 3650 * 34 =124 100 долларов (то есть внесли 12 миллионов рублей, а получили 100 миллионов рублей), и помним, что вносили вы всего по тысяче рублей в день и вкладывали в инвестиции эти деньги раз в месяц с доходностью 10 % годовых.
И поверьте, эти 34 года все равно неизбежно пройдут, и пройдут очень быстро. А что вы за это время сделаете – решайте сами.
1 миллион долларов – очень даже неплохой результат! Если же 34 года для вас большой срок, можно просто при рождении ребенка начать на тех же условиях откладывать деньги и к его 18-летию получить около 183 тысяч долларов, то есть 18 миллионов рублей к 18 годам ребенка, инвестируя всего по 1 тысяче рублей в день.
Не буду здесь приводить полный расчет всех сумм, дабы не мучить вас сложными и громоздкими вычислениями, и предлагаю поверить мне на слово или посчитать на калькуляторе по QR ниже.
Согласитесь, на такие суммы можно построить достойное будущее и себе, и вашим детям.
Так что помните: быть терпеливым иногда очень выгодно!
2. Финансовые наркоманы
Понимаю, слово «наркоман» в книге по финансам смотрится слегка неожиданно, но поверьте, это еще мягко сказано. Финансовые наркоманы – люди, которые когда-то получили «дозу» больших процентов от инвестиций или махинаций, подсели на нее и теперь не могут соскочить.
«Инвестирование должно быть больше похоже на наблюдение за тем, как сохнет краска или растет трава. Если вы хотите острых ощущений, возьмите 800 долларов и отправляйтесь в Лас-Вегас», – убежден Пол Самуэльсон.
Я знаю лишь единицы инвесторов, которые после супервысокой доходности в более 150 % годовых на финансовых пирамидах или ставках на спорт согласились инвестировать под 10–20 % годовых в надежные и экологичные финансовые инструменты.
В большинстве же, однажды ощутив азарт больших процентов, люди, к сожалению, увлекаются и в итоге остаются ни с чем. Взгляните на статистику. В 2020 году американцы потеряли на спортивных ставках более 21 миллиарда долларов.
А Центробанк Российской Федерации утверждает, что россияне каждый год теряют от участия в финансовых пирамидах более 10 миллиардов рублей.
А на ставках на спорт более 380 миллиардов рублей, так как они более доступны.
Число пирамид и мошеннических схем, которые регулятор выявил в 2021 году, почти в четыре раза больше, чем в 2020-м.
И так будет всегда! Спрос рождает предложение, а человеческая жадность неиссякаема. В погоне за высокими процентами люди будут терять деньги.
«Первая и главная предпосылка успеха в любом бизнесе – это терпение», – считает Джон Рокфеллер.
Однако не только финансовые пирамиды и ставки на спорт несут риски потери денег. Операции на фондовом рынке без должного опыта и профобразования, трейдерство без продуманной стратегии – вот вещи, которые могут привести не только к финансовому провалу, но и моральному истощению. Вот одна из историй, которая случилась в моей практике.
Кейс «Финансовые наркоманы в действии»
Как-то приходит мне сообщение с незнакомого номера: «Константин, добрый день! Скажите, это нормально, когда человек инвестирует более 70 % от своего дохода на долгий срок в определенные финансовые инструменты?»
Уверенный в том, что мне пишет либо мой ученик, либо человек, который слушал мое выступление или семинар, спокойно отвечаю: «Конечно нет. Следует инвестировать только определенную часть от дельты (разницы между доходом и расходом), особенно если речь идет о долгих сроках, и сумму лучше распределять между разными инструментами».
«Тогда нам нужно созвониться, потому что мой муж сошел с ума!» – получаю я следующее сообщение и наконец вижу, что пишет мне девушка Анна. Вот только ее имя мне ни о чем не говорит.
Однако я сразу набрал ее номер, и дальше у нас случился диалог. Привожу его практически дословно для достоверности фактов:
– Добрый день, Анна! Напомните, пожалуйста, где мы с вами виделись?
– Мы с вами не виделись, – сообщила она с нотками раздражения в голосе. – Но я очень много о вас слышала от своего супруга Владимира.
– А почему он сам не позвонит? – я наконец начал понимать, о ком идет речь.
Владимир переехал около двух лет назад на Кипр и раньше не стеснялся задавать мне любые вопросы. Однако с момента переезда финансовое сопровождение он не брал, только раз в полгода выходил на связь.
– Я ушла от него и возвращаться не собираюсь, потому что про ваши инвестиции он говорит чаще, чем про меня и мои желания, – обиженно протянула Анна.
– А я здесь при чем? – удивился я.
– Вот и я хочу узнать, при чем тут вы и зачем Владимир каждый месяц отдает большую часть денег на инвестиции. При этом заставляет меня платить за съемную квартиру, сам почти голодает из-за вечной экономии.
– Анна, мы точно говорим об одном человеке? – снова удивился я.
– Конечно, он постоянно о вас рассказывает, много читает и смотрит на тему инвестиций. Я не выдержала, нашла ваш номер, хлопнула дверью и совершенно не хочу к нему возвращаться. Он давно любит не меня, а свои инвестиции.
– Из того, что вы мне рассказали, Анна, вопросы надо задавать уже не мне, а психологу, – ответил я осторожно.
– Согласна с вами, и я говорила, что ему нужна помощь специалиста, но он упрямо твердит: «Вот сейчас, совсем скоро мы встанем на ноги». Более того, он предлагает продать все, что у него осталось в России, а вырученные деньги снова инвестировать.
– Я такого совета точно дать не мог. Кроме того, последние два года Владимир почти не выходит на связь.
– Конечно, не выходит. Ему стыдно, а я ему говорила: «Позвони ты своему Константину и посоветуйся». Но он еще больше замыкается, сутки напролет следит за фондовыми рынками, читает книги и проходит курсы по этой теме.
После того нашего разговора Анна убедилась, что я не сектант, более того, ее понимаю и считаю ее беспокойство оправданным. К сожалению, Владимир финансовые вопросы обсуждать с ней так и не стал, и выхода из ситуации они не нашли. Позже я говорил и с Владимиром. Он так и не признался в проблемах. Более того, заверил меня, что с деньгами у него тоже все хорошо.
Анна же еще несколько раз звонила поблагодарить за общение и за советы по финансам. Владимир только сейчас с помощью друзей, коуча и психолога начинает осознавать, что жизнь – это гармоничное колесо, а не только фанатичное инвестирование. Трейдерить все подряд – вовсе не выход из всех бед. Наоборот, таким образом человек сильнее загоняет себя в угол.
Запомните: чтобы не потерять деньги, советуйтесь по юридическим и финансовым вопросам с профессионалами, сопоставляйте их мнения и внимательно читайте документы.
За свой многолетний опыт я выявил 12 причин, по которым люди теряют деньги или не достигают финансовых результатов. Напишу о каждой из них подробнее.
3. 12 грехов начинающих инвесторов
Мне нравится аналогия со смертными грехами. Да, в христианстве упоминается только о семи смертных грехах, однако в финансовом мире, согласно моему личному списку, их количество выросло до 12.
Прочитайте ниже список из 12 пунктов и честно признайтесь себе, какие из этих «грехов» в вас проявляются, когда вы собираетесь вложить или, наоборот, достать деньги из финансовых инструментов:
Поясню несколько пунктов.
Гордыня
Не зря Гордыня входит и в библейский список смертных грехов.
В инвестициях избыточная гордыня – это высокомерное, пренебрежительное отношение к людям в целом и к экспертам по финансам в частности. Или же пренебрежение к налогам, финансовым принципам или государственным законам.
Одержимый гордыней человек не станет прислушиваться к советам специалистов просто потому, что уверен: он самый умный и дальновидный инвестор, а значит, только его решения верные. Такой человек никогда не «опустится» до общения с людьми, которые не входят в круг его приближенных лиц. Более того, он может считать себя даже выше государственных законов и в бизнесе выходить за рамки правового поля.
Зависть
Привычка сравнивать себя с другими людьми и мериться материальным благополучием пагубна в первую очередь для вас самих. В мире всегда найдется человек, и не один, который зарабатывает больше вас. К тому же зависть может вызвать чрезмерно эмоциональные, резкие или необдуманные финансовые действия, а это почти стопроцентная потеря денег.
«Если вы не можете контролировать свои эмоции, вы не сможете контролировать свои деньги», – считает Уоррен Баффет.
Зависть ослепляет. Вполне вероятно, вам подойдет совсем другая стратегия, чем та, которую использует объект вашей зависти. Например, если он уже богат, для него приемлем некоторый риск. Вам же, наоборот, нужно увеличить капитал или избавиться от кредитов. Не завидуйте: сравнивать себя можно только лишь с собой вчерашним. Согласен, фраза заезженная, но по-прежнему рабочая.
Обжорство
В инвестициях хорошо иметь гармонию и баланс. Важно не перебарщивать: нет смысла иметь несколько тысяч акций, чтобы диверсифицировать риски, или страховать себя от каждой небольшой неприятности, или влюбляться в какой-то один актив – то есть хранить 99 % своих денег в криптовалюте или в недвижимости. Или, например, изучать все курсы за последние 50 лет по инвестициям, прежде чем начать вкладывать первые деньги. Во всем важны умеренность и баланс.
Гиперактивность
Нет смысла слишком часто заглядывать на брокерский счет (если вы не профессиональный трейдер) и при каждой новости или движении рынка покупать или продавать акции, квартиры, бизнесы или криптовалюту.
В любой книге по инвестициям вам обязательно встретится термин «горизонт инвестирования» (обычно от трех до 60 лет, в крайнем случае – год или квартал). Но не день и не неделя. Пересматривать свои активы раз в квартал или раз в полгода – оптимальный период для большинства.
Интересно, что само слово «инвестор» произошло от латинского investire – покрывать, одевать, наряжать. Поэтому надевайте на себя свое богатство грациозно и благородно, без резких движений. Будьте аккуратны со всеми 12 смертными грехами инвестора. И как красиво сказано в древних священных писаниях:
«Держите деньги в кулаке и на вытянутой руке».
На вытянутой руке – чтоб не позволять деньгам быть близко к сердцу и не подвергать их эмоциям. В сжатом кулаке – чтобы спрятать деньги от себя и других и тем самым их сохранить.
4. 3 % богатых людей. И вы туда же?
2,8 миллиарда людей живут на сумму от 1 до 2 долларов в день. Вдумайтесь, это огромная часть населения земного шара!
«Богатые вкладывают свои деньги и тратят то, что осталось; бедные тратят свои деньги и инвестируют то, что осталось», – утверждает Джим Рон.
Почти миллиард людей, которые перешагнули порог XXI века, не умеют читать. При этом почти 47 миллионов человек в разных странах – долларовые миллионеры.
То есть процент богатых людей не достигает 0,5 % населения земного шара. Но мы возьмем не только долларовых миллионеров. Нам подойдут люди с доходом 20 миллионов в год. При таком подходе богатых людей получается примерно 2–3 % населения, то есть около 200 миллионов человек.
Из доклада Росстата: в 2023 году, по предварительным данным, на долю 10 % наиболее обеспеченного населения России приходилось 29,8 % общего объема денежных доходов, а на долю 10 % наименее обеспеченного населения – 2 %.
Как же попасть в эти заветные проценты обеспеченных людей? Маркос Васкес в своей книге «Стоики побеждают» писал: «Успех оставляет следы. Идите по ним, но не забывайте адаптировать опыт других к своему конкретному случаю». Я и сам много лет собираю такие «следы» и буду рад поделиться этими подсказками с вами.
5. Не все умные или известные люди – богатые
97 % людей в мире не очень богаты. Скорее наоборот. Люди бедны вовсе НЕ потому, что они глупые.
Вот, например, знаменитости, которых объединяет банкротство.
Маркос Васкес в своей книге «Стоики побеждают» писал: «Успех оставляет следы. Идите по ним, но не забывайте адаптировать опыт других к своему конкретному случаю».
Николас Кейдж в период с 1996 по 2011 годы полностью растратил все свое 150-миллионное состояние.
За свою карьеру Майк Тайсон заработал 400 миллионов долларов, но уже в 2003-м оказался должен 23 миллиона долларов.
Один из самых результативных игроков в истории НХЛ и трехкратный призер Кубка Стэнли Сергей Федоров в одночасье остался без денег. Его средства присвоил себе партнер по бизнесу.
Майкл Джексон к моменту внезапной смерти в 2009 году имел долг на сумму более 400 миллионов долларов.
И это лишь краткий список.
То есть большие доходы, как и талант, не равны богатству. А все потому, что способность создавать, сохранять и приумножать богатство – отдельный навык. Он не всегда присутствует наравне с артистическим талантом или способностями к науке, но его можно развить.
6. Управлять финансами – как водить машину. Главное – соблюдать правила и быть осторожным
Чтобы получить права в автошколе, нужно учиться несколько месяцев. А кому-то, чтобы сесть за руль без инструктора, понадобятся годы. Ведь лучше услышать треск разлетающихся на куски оранжевых заградительных конусов или уловить запах гари от сожженного сцепления на автодроме, чем пострадать в аварии на дороге.
Также и в управлении финансами. Представьте самый простой автомобиль, как на картинке: четыре колеса и руль, где первое колесо – это ваше умение считать и планировать деньги, второе – навык откладывать деньги, третье – защита того, что откладываете, и четвертое колесо – навык приумножения денег. Вы же должны сесть за руль и управлять всей этой системой финансов. То есть сначала нужно научиться распоряжаться деньгами. Эффективнее будет делать это с инструктором. После того как вы наберетесь опыта и отточите навыки, достаточно будет обновлять знания и каждые несколько лет получать новые права на «управление капиталом».
В финансовом мире, так же как на дороге, есть свои сложные перекрестки и глубокие ямы. Но если ехать осторожно и соблюдать правила, можно избежать 99 % аварий, сохранить подвеску автомобиля и максимально приблизиться к цели.
Системность и последовательность – это то, что превращает среднее в превосходное.
7. Неудача – не повод останавливаться
Человек однажды потерял деньги на инвестициях и с тех пор не занимается приумножением капитала. Не повторяйте его ошибки.
Из личного опыта ведения финансовых стратегий у более 160 семей я знаю: управлять финансами получается почти у всех. По крайней мере, у тех, кто подходит к этому вопросу стратегически и системно.
У вас тоже выйдет. Главное – не зарывать свои деньги в землю или, подобно страусу, не прятать голову в песок, отгораживаясь от проблем. Не останавливайтесь после первой неудачи, и тогда каждый следующий шаг будет легче и приятнее.
В противном случае может получиться как в известной притче о талантах[2].
Притча о талантах.
По сюжету некий богатый господин отправляется в дальнюю страну и оставляет своих рабов справляться без него. Перед отъездом господин раздает рабам монеты – таланты, причем делит их не поровну.
Так, одному рабу досталось целых пять талантов, другому – два, а третьему – всего один. Раздав дары, господин велел рабам непременно пустить их в ход и приумножить. Затем он уехал, а рабы остались с деньгами.
Прошло много времени, и господин вернулся из далекой страны. Первым делом он созвал всех трех рабов и потребовал с них строгий отчет: как и на что они употребили данное им состояние.
Первый раб, у которого было пять талантов, приумножил их вдвое – их стало десять. Господин похвалил его. Второй, которому было дано два таланта, тоже распорядился ими мудро – теперь у него стало их в два раза больше. Этот раб тоже удостоился похвалы от господина. Пришел черед третьего держать ответ. И принес он с собой только один талант – тот, что хозяин дал ему перед отъездом. Раб объяснил это так: «Господин, я испугался твоего гнева и решил вовсе ничего не делать. Вместо этого зарыл свой талант в землю, где он пролежал долгие годы, и только сейчас я достал его». Так появилось выражение зарывать свой талант.
Вот и вы не зарывайте свой талант в землю после первой неудачи. Пробуйте снова и снова и увидите, как плоды вашего труда и таланта начнут приумножаться.
8. Все из детства
Многие паттерны поведения – привычные способы реагирования – мы берем от родителей и окружения. Поэтому, чтобы воспитать в своих детях финансовую и инвестиционную грамотность, а также мышление богатства, – начните с себя. Если вам удастся поменять привычки бедности на привычки, ведущие к богатству, ваши дети начнут брать с вас пример. И это уже станет вашей огромной победой.
Вы даже не представляете, насколько это может быть важно.
Ученые из Медицинской школы Вашингтонского университета в Сент-Луисе выяснили, что жизнь в бедности может навредить структурным связям детского мозга.
Авторы использовали данные почти 9 тысяч детей в возрасте от 7 до 10 лет. За их здоровьем наблюдали в течение как минимум 10 лет.
Ученые обнаружили, что у живущих в бедности детей движение молекул воды в белом веществе мозга затруднено и это плохо влияло на развитие мозга. Кроме того, в некоторых областях мозга у таких детей было больше жидкости, что может указывать на воспаление.
Исследование опубликовано в JAMA Network Open.
Таким образом развитие финансовой культуры вашей семьи с самого детства может положительно повлиять на здоровье и развитие мозга будущих поколений.
Талант (τάλαντον, «та́лантон») – в переводе с греческого «весы» или «груз». Так называлась мера веса, которой в античные времена активно пользовались в Древнем Египте, Греции, Риме, Вавилоне.
1.3. Много зарабатывать еще не означает быть богатым
Инвестиции – отдельный навык. Один лишь высокий заработок не приведет вас к финансовому успеху и созданию капитала. И, чтобы получить результат от инвестиций, у нас есть 2 пути: тратить время, деньги и учиться на своих ошибках либо делегировать вопросы финансовым консультантам.
О том, как именно подобрать специалиста и не попасть на мошенников, мы поговорим в отдельной главе. А навыки инвестирования, или грамотного управления денежными потоками, начнем нарабатывать прямо сейчас. При условии, что вы будете делать все упражнения, а возможно, и принимать решения по вашим финансам.
Рубрика «Ваш вопрос – мой ответ».
Иногда меня спрашивают: «Разве есть деньги у россиян»? И вот вам ответ:
По данным аналитического канала финансовых рынков
