Цифровое моделирование на C
Қосымшада ыңғайлырақҚосымшаны жүктеуге арналған QRRuStore · Samsung Galaxy Store
Huawei AppGallery · Xiaomi GetApps

автордың кітабын онлайн тегін оқу  Цифровое моделирование на C

Дмитрий Павлов

Цифровое моделирование на C#

Шрифты предоставлены компанией «ПараТайп»


Редактор Светлана Малышева

Корректор Светлана Малышева

Иллюстратор Дмитрий Павлов

Иллюстратор Анна Панкратова





12+

Оглавление

Посвящается моей семье: моей жене Наталье, моим сыновьям Тимофею, Павлу и дочери Любови.

Предисловие

Моделирование — это процесс замены реального объекта его двойником с целью последующего изучения. Можно ли изучать непосредственно сам объект? Иногда можно, но даже в этих случаях мы часто, сами того не подозревая, переходим от объекта к модели. Например, перед нами стоит задача вычислить площадь стола. Для решения задачи мы подменяем стол его моделью — прямоугольником. А как вычислить площадь прямоугольника, мы хорошо знаем еще из школьного курса геометрии. В этом примере реальный объект — стол, мы заменили его абстрактной моделью — прямоугольником. Прямоугольник, как и стол, обладает свойствами, которые необходимы для решения нашей задачи: шириной и длиной. То есть модель всегда в некотором смысле похожа на реальный объект. Она должна обладать теми свойствами объекта, которые мы собираемся изучать или использовать.


С другой стороны, если мы захотим узнать, насколько прочен наш стол, наша модель (прямоугольник) становится бесполезной. Таким образом, модель всегда отражает лишь часть свойств реального объекта. Примеры, которые мы рассмотрели выше, конечно, очень просты. В реальных задачах выбор модели для изучения и ее создание, будь то изготовление копии на токарном станке или цифрового двойника на компьютере, может быть делом нетривиальным. И все-таки моделирование — это то, что упрощает, формализует процесс изучения окружающего мира, способствует эффективности и точности работы в различных отраслях. Благодаря моделированию можно изучать взаимодействие различных частей системы, анализировать их поведение и делать прогнозы. Моделирование помогает выявлять потенциально слабые места в системе, оптимизировать ее работу и принимать более взвешенные решения.


Благодаря всестороннему вхождению информационных технологий в нашу жизнь моделирование вышло на принципиально новый уровень. Экспоненциальное развитие вычислительных мощностей и постоянное совершенствование алгоритмов привели к возможности создания нового типа моделирования — компьютерного (цифрового). Цифровое моделирование — это процесс создания и использования виртуальных моделей для анализа, оптимизации различных систем и процессов, а также предсказания их поведения в ситуациях, связанных с реальной эксплуатацией. Цифровое моделирование позволяет создавать виртуальные модели объектов и систем, а затем использовать их для тестирования различных сценариев и принимать решения на основе полученных результатов. Цифровое моделирование дает возможность понять, как будет работать та или иная система еще до того, как эта система будет создана. С помощью этого подхода можно проводить краш-тесты автомобилей, реконструировать военные сражения, разрабатывать крыло самолета — и этот список ограничивается лишь нашей фантазией. Круг областей, где могут использоваться цифровые модели, очень широк — это медицина, биология, транспорт, логистика, строительство, финансы и т. д. Кроме практических сфер и бизнеса цифровое моделирование может использоваться в естественных науках, например, в физике, чтобы заменить дорогостоящий эксперимент виртуальным.

Необходимые знания и навыки

Читателю для понимания материала необходимо следующее:


— базовые знания математики: большая часть теоретического материала этой книги не подразумевает знаний, выходящих за рамки школьной программы, однако для понимания некоторых глав следует знать о векторах, матрицах, умножении матриц, стандартных математических функциях, производной и интеграле. Если в процессе чтения та или иная теоретическая часть будет вам непонятна в силу пробелов в знаниях, то при первом чтении ее можно пропустить без ущерба для общего понимания;

— для работы с программами, которые поставляются вместе с этой книгой, желательно иметь начальный опыт программирования на C#: необходимо уметь пользоваться средой разработки, иметь представление о типах данных в. NET, классах, интерфейсах, коллекциях; уметь использовать операторы ветвления и циклы.

Как устроена эта книга

Эта книга представляет собой доступное введение в практические вопросы цифрового моделирования. В книге изложены теоретические и алгоритмические основы, связанные с построением цифровых моделей. Она ориентирована на старшеклассников, студентов, профессиональных разработчиков, а также на всех тех, для кого программирование, помимо всего прочего, является увлекательным хобби.


Книга состоит из десяти глав-уроков. На каждом из уроков мы разберем конкретную задачу, связанную с цифровым моделированием. Я ставил себе целью сделать так, чтобы каждый урок являлся замкнутым с точки зрения изложения материала. То есть для понимания урока N вам не потребуется изучение урока N-1. Таким образом, вы можете читать эту книгу в том порядке, в каком пожелаете.


Отмечу, что данная книга — прежде всего, практическое руководство, поэтому я постарался изложить материал так, чтобы у читателя возникло желание открыть на своем компьютере программы, которые поставляются вместе с этим изданием. Каждый урок этой книги содержит минимальный набор теоретических сведений, необходимых для начала работы над цифровым моделированием. В некоторых местах книги не удалось уйти от формальных определений, но они нужны для того, чтобы материал был как можно более самодостаточным.

Миссия

Книга призвана способствовать рождению идеи и побудить вас к самостоятельным исследованиям, а также дать вам интересные примеры для вдохновения.

Дополнительные материалы

Вместе с этой книгой вы получаете доступ к программам, которые написаны на C# и демонстрируют практические аспекты цифрового моделирования. Дополнительные материалы — это не просто отдельные кусочки кода, а детально проработанные проекты. В конце каждого урока вы найдете описание программ, которые являются практическим дополнением к его теоретической части.


Книга поможет вам в создании ваших собственных проектов, поэтому вы можете использовать код из дополнительных материалов как вам угодно. Если при копировании кода вы сделаете ссылку на это издание, я буду вам очень признателен.


Программы можно скачать по ссылке:

https://gitverse.ru/dmitrypavlov74/DMBook


или воспользуйтесь QR-кодом для перехода на сайт:

По ссылке ниже (кроме исходников) вы сможете скачать и скомпилированные примеры:

https://disk.yandex.ru/d/33V3WI3A3mjyTA

Обратная связь

Написание книги — дело непростое. Даже если книга успешно продается, понять, насколько она была полезна читателю, очень сложно, поэтому я буду благодарен за любую обратную связь. Вы можете писать мне на адрес электронной почты dmitrypavlov74@gmail.com. Я стараюсь оперативно отвечать на поступающие вопросы. Это касается не только самой книги, но и дополнительных материалов.

Об авторе

Павлов Дмитрий является большим энтузиастом языка C#. Работал в таких компаниях, как «Danfoss», «Intel». Сейчас трудится в компании «Ридан», где курирует центр технических компетенций в области теплофизического моделирования. По образованию математик, кроме этого, получил дополнительное образование в области машинного обучения. В свободное время ведет свое сообщество в социальной сети «ВКонтакте» https://vk.ru/digitalmodelsru, где занимается популяризацией программирования и математики. В настоящее время проживает в Нижнем Новгороде.


QR-код для перехода в сообщество:

Урок 1. Построение графиков функций. Элементы интерполяции

Построения на плоскости

Введение

Большую часть информации об окружающем мире человек получает от органов зрения. Часто визуальный анализ данных может быть намного эффективнее, чем разглядывание длинных колонок чисел. Рассматривая таблицу чисел (рис 1.1), не сразу удастся понять, с какими данными мы имеем дело. Но взглянув на кривую, построенную по этим данным, мы легко угадаем знакомую нам еще со школы параболу.

рис. 1.1

График функции представляет собой цифровую модель одномерных данных. С помощью этой модели у нас есть возможность лучше понять их природу, например, оценить интервалы монотонности и наличие экстремумов.


На этом уроке мы разберем одну из «вечных» задач — построение графиков функций. Мы научимся строить графики в декартовой и полярной системах координат, оптимизировать процедуру их построения; разберем особенности построения разрывных функций. Также мы узнаем, что такое интерполяция и разберем несколько ее видов.

Системы координат

Прежде, чем перейти к алгоритмам построения графиков, вкратце приведем некоторые сведения о координатных системах. В любой системе координат на плоскости точка задается парой значений (a, b). Каждая такая пара однозначно определяет место точки на плоскости. Обратное, вообще говоря, выполняется не всегда.

Декартова система координат

В декартовой системе координат, как правило, пары обозначаются (x, y), хотя это и не принципиально. Смысл значения x — это проекция точки на ось OX, y — это проекция на ось OY.

рис. 1.2

Полярная система координат

В полярной системе координат точки будем обозначать парой (r, t). Где r — это расстояние от точки О, называемой полюсом, а t — угол между горизонтальным лучом, исходящим из полюса, направленным вправо, и радиусом-вектором, указывающим на точку (рис. 1.3).

рис. 1.3

В ряде случаев полярные координаты оказываются удобнее декартовых. Например, для задания кривых на плоскости, особенно для задания различных спиралей, таких как спираль Архимеда, логарифмическая спираль, трилистника. Также полярная система координат используется:


— в астрономических наблюдениях;

— в фотографии — используют фильтр, переводящий координаты точек из прямоугольной системы в полярную, создавая сферический эффект снимка;

— в биржевых графиках — необычный формат на основе полярных координат предложил в 1990-е годы российский математик Владимир Иванович Елисеев;

— во взаимосвязи градусов и времени (в году 365 дней, в окружности — 360 градусов);

— в медицине — компьютерная томография сердца изображается в полярной системе координат;

— в системах безопасности при идентификации по радужной оболочке глаза.

Способы задания функций

Функции, заданные следующим образом y = f (x), называются заданными явно. Здесь y явно зависит от переменной x, а f определяет некоторое правило, по которому, взяв переменную x, можно получить y. При этом переменная x называется независимой переменной, а y зависимой. Или говорят, что y является функцией x.


Например: y = 2x + sin2x.


Функция может быть задана следующим образом:


x = X (t)

y = Y (t)


Здесь x и y являются функциями независимой переменной t. Такой способ задания функций называется параметрическим. Например, следующая пара функций определяет окружность радиусом 1:


x=cos (t)

y=sin (t)

Построение графика в декартовой системе координат

Для определенности мы начнем с построения графика функции, заданной явно в декартовой системе. Сформулируем шаги, необходимые для построения:


— Получить список точек в обычной системе координат.

— Получить список точек в компьютерной системе координат, преобразовав точки из обычной системы.

— Соединить получившиеся точки линией.


Ниже представлен пример кода, с помощью которого можно получить массив точек с координатами в обычной системе координат.

Код достаточно простой, но поскольку мы с вами находимся в начале пути, немного комментариев к нему не будут лишними. Во-первых, в коде присутствуют границы отрезка, на котором мы собираемся строим наш график — это A и B. Во-вторых, сама функция f (x) задана локально и в нашем случае это y=x2. От исходной функции требуется, чтобы она была определена при всех значениях внутри заданного отрезка. Очевидно, что наша функция этому условию удовлетворяет. Далее, N — это число точек для построения. На самом деле выбор этого значения — сама по себе весьма интересная задача. От выбора числа N зависит, как будет выглядеть наш график. Понятно, что нет смысла брать слишком много точек, поскольку разрешение экрана конечно. С другой стороны, точек не может быть мало, иначе график будет угловатым и не будет отображать истинное поведение функции. Обратите внимание на формулу для вычисления X [i]. При i=0, X [i] =A, а при i=N-1 (максимальной значение i в цикле), мы получаем X [i] =B. Поскольку формула для X [i] линейна относительно i, значит в массиве X будут лежать значения от A до B с равномерным шагом.


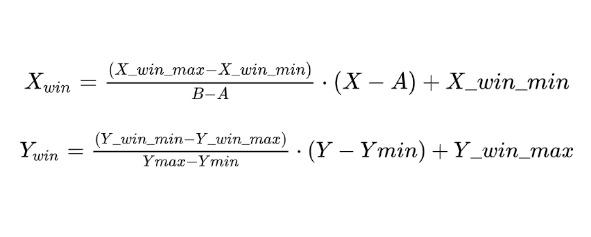
Согласно шагу 2, необходимо преобразовать данные из обычной системы координат в компьютерную. Экран монитора тоже представляет из себя декартову систему координат, с той лишь разницей, что ось Y здесь направлена вниз. Определим несколько величин:


[A, B] — отрезок, на котором задана исходная функция.

Ymax — максимальное значение функции на отрезке.

Ymin — минимальное значение функции на отрезке.

(X_win_min, Y_win_min) — левый верхний угол на экране монитора.

(X_win_max, Y_win_min) — правый верхний угол на экране монитора.

(X_win_min, Y_win_max) — левый нижний угол на экране монитора.

(X_win_max, Y_win_max) — правый нижний угол на экране монитора.

рис. 1.4

Теперь, когда у нас все готово, приведем формулы преобразования точек из обычной системы координат в компьютерную.

В данных формулах (X, Y) — это координаты точки в обычной системе координат, а (Xwin, Ywin) — координаты на экране монитора. Обратите внимание, что формулы не симметричны относительно осей X и Y. Как уже было упомянуто, это связано с тем, что компьютерная система координат устроена так, что ось Y направлена вниз, в то время, как в обычной системе эта ось направлена вверх. Данные формулы универсальны — используя их, можно вписать график любой функции в любой прямоугольник на экране. Тем не менее, все-таки есть очевидные ограничения на их использование. Во-первых, Ymax и Ymin должны достигаться на отрезке [A, B]. Существуют функции, которые не имеют максимума или минимума на заданном отрезке. Например, гипербола y=1/x не имеет ни того, ни другого на отрезке [-1, 1]. Ниже мы разберем как строить графики таких функций. Во-вторых, Ymax и Ymin должны быть различны, иначе в знаменателе мы получим ноль. Этот случай, впрочем, разрешается элементарно. Если у нас Ymax равен Ymin, то мы имеем дело с функцией y=const и в этом случае ее графиком будет просто горизонтальная линия.


Определим две функции, с помощью которых мы будем производить конвертацию.

Сама конвертация выглядит так, как показано на листинге ниже. В данном коде мы воспользовались функционалом, который предоставляет нам System.Linq для поиска минимального и максимального значений в массиве Y, а также для самой конвертации.

В переменных Xwin и Ywin теперь у нас лежит коллекция координат точек, которые мы соединим линией.

Построение графика в полярной системе координат

Для построения графика функции, заданной в полярной сис

...