автордың кітабын онлайн тегін оқу Универсальный справочник электрика
И. Никитко
Универсальный справочник электрика
2013
Технический редактор Н. Гринчик
Литературный редактор В. Конаш
Художники С. Голубев, Н. Гринчик, С. Заматевская
Корректоры О. Андриевич, Е. Павлович
Верстка А. Барцевич
И. Никитко
Универсальный справочник электрика. — СПб.: Питер, 2013.
ISBN 978-5-496-00488-6
© ООО Издательство "Питер", 2013
Все права защищены. Никакая часть данной книги не может быть воспроизведена в какой бы то ни было форме без письменного разрешения владельцев авторских прав.
Выражаю благодарность Сергею Лапицкому, профессиональному электрику, мастеру своего дела и надежному другу. Спасибо за ценные советы и рекомендации, которые помогли сделать эту книгу более содержательной и полезной
Введение
Электромонтажные работы (ЭМР) выполняются не только на завершающем этапе строительства новых объектов, но и в ходе самого строительства (например, освещение стройплощадки), а также во время капитального ремонта зданий и сооружений. Собственно, обычная замена электропроводки также подпадает под категорию ЭМР и проводится в соответствии с определенными нормативами и подлежит строгому контролю.
Электромонтажные работы контролируют органы государственного надзора (Госархстройнадзора, Госэнергонадзора, Госпожнадзора), проектные организации (авторский надзор), заказчик строительства (технический надзор). Однако в первую очередь за соблюдением технологий электромонтажных работ должны следить сами производственные предприятия и организации, непосредственно выполняющие эти работы (производственный контроль качества), наладочные предприятия и фирмы, эксплуатационные службы.
Работа по проектированию и проведению ЭМР выполняется на основании директивных актов и нормативных документов. Нормативными документами, устанавливающими порядок ЭМР, являются: Правила устройства электроустановок (ПУЭ), Строительные нормы и правила (СНиП), Правила эксплуатации электроустановок потребителей (ПЭЭП), ведомственные строительные нормы (ВСН), Государственные стандарты (ГОСТ), отраслевые стандарты (ОСТ), технические условия (ТУ) на изделия и электрооборудование, методические указания и инструкции по выполнению отдельных операций ЭМР и другие документы, утвержденные в установленном порядке.
В последнее время отечественное строительно-монтажное производство ориентируется на европейские нормы и стандарты. В связи с этим многие нормативные документы существенно изменились. Например, в электромонтажном производстве с переходом на стандарты Международной электротехнической комиссии (МЭК) в некоторой степени изменились требования ПУЭ, СНиП, СП, Государственных стандартов и, следовательно, других документов. Тем не менее продолжают работать многие нормативы, принятые еще в СССР. В последнем Реестре действующих в электроэнергетике НТД они представлены достаточно широко.
Качество электромонтажа влияет на последующий комфорт жизни и определяет безопасность любого помещения, в том числе в противопожарном и антикриминальном смысле. Даже самое дорогое и современное оборудование, как и применение сложнейших инновационных решений, не принесет пользы без надлежащим образом произведенного монтажа, поэтому работами подобного типа должны заниматься только профессионалы, обладающие технической базой и знаниями. Если это условие не будет соблюдено, электрооборудование вместо пользы может нанести непоправимый вред как имуществу, так и здоровью окружающих.
Процесс профессионального электромонтажа состоит из нескольких этапов. Сначала необходимо оценить общую ситуацию на объекте, ознакомиться с документацией, изучить объект и согласовать все спорные моменты между заказчиками и исполнителями. В это же время разрабатывается проект, подбирается необходимое оборудование и кабельная продукция. В соответствии с проектом рассчитываются все составляющие и утверждается их материальное обеспечение. После выполнения этих задач можно приступать к подготовительным к монтажу работам, то есть организации контура заземления и оформлению всех коммуникационных конструкций. Здесь важно предусмотреть возможные будущие увеличения нагрузки на систему, что позволит в дальнейшем произвести увеличение без вложения дополнительных средств; такая предусмотрительность сэкономит время и силы и станет фундаментом для всех будущих изменений.
Следующий шаг — непосредственно электромонтаж и сопутствующие работы. Этот этап включает монтаж щитов, исполнительных механизмов с наличием измерительных систем, обустройство инфраструктуры с прокладкой в них кабельных линий, а также подключение наличного оборудования к организованной сети.
По окончании монтажа производятся тестовые пусконаладочные включения и настройка оборудования, что позволяет конечным пользователям избежать впоследствии возможных неудобств и поиска способов их устранения.
Этот стандарт последовательности электромонтажных работ довольно общий; при осуществлении проектов с особыми параметрами сюда можно включить некие дополнения и расширить список мероприятий. Тем не менее именно эта последовательность операций является наиболее унифицированной, способной обеспечить необходимое качество и учет всех деталей, в том числе мелочей, а также создать серьезную проектировочную базу.
Профессионалы знают, какое существует огромное количество самых разнообразных документов, регламентирующих работы по монтажу и эксплуатации электросетей и устройств. Конечно, в одной книге их практически невозможно даже перечислить. В справочнике, который предлагается вашему вниманию, вы найдете рекомендации по соблюдению важнейших нормативов и практической реализации проектов электромонтажных работ на самых разных объектах жилищного и общественного характера.
Глава 1. Общие сведения по электротехнике
Профессионально выполненные электромонтажные работы — залог бесперебойного функционирования не только системы электроснабжения. От того, насколько грамотно они проведены, зависит работа систем связи, безопасности, а также всех тех инженерных систем, чье питание основано на электричестве. Для этого специалисты должны знать теоретические основы проводимых работ. Теоретические основы электротехники, в свою очередь, требуют справочной информации по электрическим свойствам материалов и размерностям физических величин. В данной главе собраны некоторые теоретические сведения, часто требуемые в практике электромонтажных, приборостроительных и ремонтных работ.
1.1. Электрические системы, сети, источники электроснабжения
Работа электроустановок различных типов связана с потреблением электроэнергии, которая производится на электрических станциях. Электростанция представляет собой промышленное предприятие, вырабатывающее электроэнергию и обеспечивающее ее передачу потребителям по электрической сети. Между генераторами электроэнергии на электрических станциях и электроприемниками у потребителей, преобразующими электроэнергию в другие виды энергии, находится сложный комплекс инженерных сооружений — электрические сети. Электрическая сеть представляет собой совокупность воздушных и кабельных линий электропередачи и подстанций, работающих на определенной территории. Она участвует в поддержании в пределах допустимых отклонений заданных уровней напряжения в различных точках сети и на зажимах электроприемников у потребителей при разных режимах потребления, позволяет резервировать источники питания и обеспечивать бесперебойное электроснабжение потребителей. Для выполнения этих функций сети содержат в своем составе воздушные и кабельные линии электропередачи, различные токопроводы, трансформаторные подстанции, распределительные устройства и коммутационные пункты, установки, генерирующую реактивную мощность, и средства регулирования напряжения.
Электроустановка, предназначенная для преобразования и распределения электрической энергии, называется электрической подстанцией. Электроустановку, предназначенную для передачи электрической энергии, называют линией электропередачи (ЛЭП).
Энергетическая система представляет собой совокупность электростанций, электрических сетей и электропотребителей, связанных общностью процесса производства, передачи и использования электроэнергии. На некоторых электростанциях вырабатывается не только электрическая, но и тепловая энергия, поэтому энергосистема охватывает и установки производства, распределения и использования теплоты. Электрическую часть энергосистемы называют электрической системой. Источники питания электрических систем — электрические станции. Основными типами электростанций являются гидроэлектрические, тепловые и атомные электростанции.
На гидроэлектростанциях в электрическую преобразуется механическая энергия водного потока реки — гидравлическая энергия. На тепловых электростанциях в электрическую превращается энергия, выделяемая при сгорании угля, торфа, нефти, газа, сланцев и других видов топлива. На атомных электростанциях в качестве топлива используют ядерное горючее. В настоящее время развиваются преимущественно тепловые электростанции. Для электроснабжения потребителей вводятся тепловые электростанции мощностью 6000 МВт с блоками 500–800 МВт.
Для временного электроснабжения в качестве резерва применяются газотурбинные электростанции, дизельные, энергопоезда и т. д. Кроме того, изучаются возможности более широкого использования энергии ветра, приливов и отливов, вулканов и гейзеров, гелиоэнергии и др.
При питании от государственной энергосистемы все потребители электроэнергии разделяются на следующие категории надежности электроснабжения.
Электроприемники I категории — приемники, перерыв в электроснабжении которых может повлечь за собой опасность для жизни людей, значительный ущерб хозяйству, повреждение дорогостоящего основного оборудования, массовый брак продукции, нарушение сложного технологического процесса и функционирования особо важных элементов коммунального хозяйства. Электроприемники этой категории должны обеспечиваться электроэнергией от двух независимых взаимно резервирующих источников питания. Перерыв их электроснабжения допустим только на время автоматического восстановления питания. Для электроснабжения особой группы электроприемников I категории должно предусматриваться дополнительное питание от третьего независимого взаимно резервирующего источника. В качестве такового можно использовать местные электростанции, аккумуляторные батареи и др. К потребителям этой категории относятся охранная сигнализация, предприятия канализации, операционные отделения, варочные и др.
Перерыв электроснабжения электроприемников II категории приводит к массовой недовыработке продукции, простоям работников, механизмов, производственного транспорта, нарушению нормальной деятельности значительного количества городских и сельских жителей. Электроприемники II категории допускают перерыв в электроснабжении до одних суток. Их электроснабжение может осуществляться по одной воздушной линии или одной кабельной, состоящей не менее чем из двух кабелей, присоединенных к общему аппарату. К предприятиям этой категории относятся молочнотоварные фермы, теплицы, мастерские и др.
К электроприемникам III категории относятся все остальные электроприемники, не подпадающие под I и II категории. Потребители этой категории могут питаться от одного источника электроснабжения. Время ремонта или замены поврежденного элемента не должно превышать одних суток. К потребителям этой категории относятся жилые дома, дачи, коттеджи и др.
Электроустановки представляют собой совокупность машин, аппаратов и линий вспомогательного оборудования, предназначенных для производства, трансформации, передачи, распределения электрической энергии и преобразования ее в другой вид энергии. Открытые (наружные) электроустановки не защищены зданием от атмосферных воздействий. Если электроустановки закрыты только навесами или сетчатыми либо иного типа ограждениями, они рассматриваются как наружные. Если электроустановки находятся внутри здания, защищающего их от атмосферных воздействий, их называют внутренними (закрытыми).
Помещения, отгороженные, например, сетками, части помещений, в которых расположены электроустановки, доступные только для квалифицированного обслуживающего персонала, называются электропомещениями.
Помещения, в которых относительная влажность не превышает 60%, считаются сухими. Помещения, где пары или конденсирующая влага выделяются лишь кратковременно в небольших количествах, а относительная влажность воздуха более 60%, но не превышает 75%, называют влажными. Помещения, в которых относительная влажность длительно превышает 75%, являются сырыми. Помещения, где относительная влажность воздуха близка к 100%, то есть стены, потолок, пол и предметы покрыты влагой, считаются особо сырыми.
Помещения, в которых под действием различных тепловых излучений температура превышает постоянно или периодически (более одних суток) +35°С, например котельные, сушилки, помещения с сушильными и обжигательными печами и т. п., являются жаркими. Помещения, в которых по условиям производства выделяется технологическая пыль в таком количестве, что может оседать на проводах и проникать внутрь аппаратов, машин и другого оборудования, являются пыльными. Пыльные помещения могут быть с токопроводящей пылью и нетокопроводящей пылью.
Помещения, в которых постоянно или в течение длительного времени находятся агрессивные пары, газы, жидкости, образуются отложения или плесень, разрушающие изоляцию и токоведущие части электрооборудования, являются помещениями с химически активной или органической средой. По опасности пожара и взрыва помещения бывают пожароопасными (П-1, П-П, П-Па, П-Ш) и взрывоопасными (В-1; В-1а, в, г; В-П, В-Па).
Каждая электрическая сеть характеризуется номинальным напряжением приемников электроэнергии, которые от нее питаются. Номинальным напряжением приемников электрической энергии, генераторов и трансформаторов является напряжение, при котором обеспечивается их нормальная и бесперебойная работа. Нормальным напряжением электросети называют среднее арифметическое значение рабочих напряжений в начале и конце линии сети. Правилами устройства электроустановок они разделяются на установки напряжением до 1000 В и напряжением выше 1000 В. Напряжение в электроустановках принимают стандартным с учетом класса помещений по условиям окружающей среды и опасности поражения электрическим током. Способы выполнения электросетей должны обеспечивать надежность, долговечность, пожарную безопасность, экономичность и индустриальность монтажа, а при скрытых проводках — по возможности заменяемость проводов.
Номинальное напряжение при питании от государственной энергосистемы составляет 220 В, трехфазовой — 380/220 В. В помещениях без повышенной опасности это напряжение применяют без ограничений, в том числе для электрифицированного инструмента. В помещениях с повышенной опасностью и особо опасных при выполнении открытых проводок их высота должна быть не менее 2,5 м, за исключением спусков к розеткам, выключателям аппаратов и т. д. Если это требование выполнить невозможно, необходимо применять пониженное (42 В и ниже) напряжение и делать проводки в трубах. Таким образом прокладывают проводки в подвалах, на дачах, в смотровых ямах гаражей и т. д.
Переносной электрифицированный инструмент в этих помещениях применяют на напряжение 36 В, а в особо опасных и на металлических полах или емкостях — c использованием защитных средств (перчаток, диэлектрических сапог, ковриков и др.). Такие же требования предъявляются к переносным осветительным приборам.
Если человек прикоснется к заземленной установке, в которой возникло напряжение на корпус, он окажется под действием напряжения прикосновения. Оно представляет собой разность потенциалов между опорными точками под ногами и руками человека, которыми он касается корпуса электроустановки, находящейся под напряжением. Прикосновение может быть однофазным, то есть прикосновение к одной фазе сети, и двухфазным — к двум фазам. Однофазное прикосновение происходит и при одновременном прикосновении к фазному и нулевому проводам, но тогда возможность поражения током увеличивается ввиду уменьшения сопротивления, которое в данном случае состоит из сопротивления человеческого тела от руки к руке.
Двухфазное прикосновение значительно опаснее. В этом случае человек попадает под полное линейное напряжение. Напряжение прикосновения может достигнуть опасной величины в случае большого сопротивления заземлителя или обрыва заземления.
Для проверки наличия напряжения в сети или на оборудовании применяют специальные индикаторы, пробники или измерительные приборы. Пользоваться лампочками-«контрольками» запрещается. Индикаторы низкого напряжения до 1000 В выпускаются однополюсными и двухполюсными. Однополюсные предназначены для проверки наличия напряжения и определения фазных проводов в электроустановках временного тока при подключении счетчиков, выключателей, патронов электроламп, предохранителей и др. Они работают по принципу емкостного тока. Двухполюсные указатели напряжения служат для проверки наличия и отсутствия напряжения в электроустановках переменного тока и работают по принципу протекания активного тока.
Однополюсный индикатор напряжения состоит из сигнальной неоновой лампы или резистора, помещенных в корпус, изготовленный из ударопрочного материала. Маркировка: УНН-1м, УНН-1х, УНН-90, ИН-91 и др. Рабочее напряжение указателя типа УНН-1м составляет 90–660 В переменного тока частотой 50 Гц. Напряжение зажигания — 70 В. Ток, протекающий через указатель при напряжении 660 В, составляет не более 0,6 мА. Масса индикатора — 0,1 кг.
Двухполюсные индикаторы напряжения МИН-1 и УНН-10 состоят из сигнальной лампы и двух резисторов — ограничивающего и шунтирующего. Элементы указателя напряжения помещены в два корпуса из изоляционного материала, соединенных между собой гибким проводом с изоляцией повышенной надежности. Рабочее напряжение индикатора типа УНН-10 — 70–660 В переменного тока и 100–700 В постоянного. Напряжение зажигания — 60–65 В. Масса индикатора составляет 0,15 кг. Выпускаются также двухполюсные пробники напряжения ПН-1 и др., позволяющие по размеру светящегося столба и сигнальной лампы определить величину измеренного напряжения, фазные и нулевые провода.
1.2. Единицы измерения и константы в международной системе единиц (СИ)
Ниже приведены перечни физических величин (табл. 1.1) и констант (табл. 1.2).
Таблица 1.1. Важнейшие физические величины в системе СИ
Наименование
Единица
Обозначение (международное/русское)
Основные единицы
Длина
метр
т/м
Масса
килограмм
kg/кг
Время
секунда
s/c
Сила электрического тока
ампер
А/А’
Термодинамическая температура
кельвин
К/К
Количество вещества
моль
mol/моль
Сила света
кандела
cd/кд
Дополнительные единицы
Плоский угол
радиан (1 рад = 57°17')
рад
Телесный угол
стерадиан
ср
Производные единицы
Единицы пространства и времени
Площадь
кв. метр
м
2
Объем, вместимость
куб. метр
м
3
Скорость (линейная)
метр в секунду
м/с
Ускорение
метр на секунду в квадрате
м/с
2
Частота колебаний
герц
Гц
Частота вращения
секунда в минус первой степени
с
–1
Период
секунда
с
Угловая частота
радиан в секунду
рад/с
Угловое ускорение
радиан на секунду в квадрате
рад/с
2
Единицы механических величин
Плотность
килограмм на кубический метр
кг/м
Наименование
Единица
Обозначение (международное/русское)
Момент инерции (динамический)
килограмм-метр в квадрате
кг·м
2
Количество движения (импульс)
килограмм-метр в секунду
кг·м/с
Сила, сила тяжести (вес)
ньютон
Н
Импульс силы
ньютон-секунда
Н·с
Удельный вес
ньютон на кубический метр
Н/м
3
Момент силы
ньютон-метр
Н·м
Давление (напряжение механическое)
паскаль
Па
Работа (энергия)
джоуль
Дж
Мощность
ватт
Вт
Динамическая вязкость
паскаль-секунда
Па/с
Кинематическая вязкость
квадратный метр на секунду
м
2
/сУдарная вязкость
джоуль на квадратный метр
Дж/м
2
Единицы электрических и магнитных величин
Количество электричества, электрический заряд
кулон
Кл = А·с
Электрическое напряжение, разность потенциалов, ЭДС
вольт
В
Напряженность электрического поля
вольт на метр
В/м
Электрическая емкость
фарад
Ф = Кл/В
Электрическое сопротивление
Ом
Ом = В/а = 1/Ом
Удельное электрическое сопротивление
Ом-метр
Ом·м = 10
6
Ом мм2
/мЭлектрическая проводимость
сименс
См = 1/Ом
Магнитный поток
вебер
Вб = В·с
Магнитная индукция
тесла
Тл = Вб/м
2
Магнитодвижущая сила
ампер
А
Наименование
Единица
Обозначение (международное/русское)
Напряженность магнитного поля
ампер на метр
А/м
Индуктивность
генри
Гн = Вб/А
Активная мощность электрической цепи
ватт
Вт
Реактивная мощность электрической цепи
вар
вар
Полная мощность электрической цепи
вольт-ампер
В·А
Единицы световых величин
Световой поток
люмен
лм
Освещенность
люкс
лк
Яркость
кандела на кв. метр
кд/м
2
Единицы магнитных величин в системе СГС
Магнитный поток
максвелл, 1 Мкс = 10 8 Вб
Магнитная индукция
гаус, 1 Гс = 1 г
1/2
см–1/2
·с–1
, 1 Тл = 104
ГсМагнитодвижущая сила
гильберт, 1 гб = 0,796 А
Напряженность магнитного поля
эрстед, 1 эрстед = 1000/(4
Единицы, допустимые к применению наравне с единицами СИ
Масса: центнер (ц), тонна (т)
Время: мин, ч, сут., нед., мес., год, век. 1 год = 8760 ч
Площадь: гектар (га)
Объем, вместимость: литр (л)
Скорость: км/ч
Частота вращения: об/с, об/мин
Работа, энергия: кВт·ч
Количество электричества: А·ч
Массовый расход: т/ч, кг/ч
Объемный расход: м
3
/чУдельная электрическая проводимость: Ом
–1
·м–1
Удельное электрическое сопротивление: 1 Ом·м = 1·10
6
Ом·мм2
/мКроме температуры Кельвина (обозначение K), допускается применять температуру Цельсия (обозначение °С), определяемую выражением t = T – Т0, где Т0 = 273,15 К. По размеру градус Цельсия равен Кельвину.
Таблица 1.2. Основные физические константы
Наименование
Условное обозначение
Численное значение
Единица
Скорость света в вакууме
с
299 792 458
м/с
Магнитная постоянная
µ0
1,256·10
–6
Гн/м
Электрическая постоянная
8,85·10
–12
Ф/м
Абсолютный нуль температуры
Tо
–273,15°
К
Ускорение свободного падения (нормальное)
g
9,81
м/с
2
Гравитационная постоянная
G
6,67428·10
–11
Н·м
2
/кг2
Постоянная Больцмана
k
1,3806488·10
–23
Дж/К
Постоянная Планка
h
6,626·10
–34
Дж·с
Постоянная Стефана-Больцмана
С
5,67·10
–8
Вт·м
–2
·К–4
Универсальная газовая постоянная
R
8,314
Дж/(моль·К)
Энергетический эквивалент массы
—
8,987·10
16
Дж/кг
Электрон-вольт
—
1,6·10
–19
Дж
Объем 1 моля идеального газа при нормальных условиях
—
22,415
л/моль
Температурный коэффициент расширения идеальных газов
а
0,00366
1/°С
Постоянная (число) Авогадро
Na
6,021·10
23
моль
–1
Число Лошмидта
Nl
2,687·10
25
м
–3
Постоянная (число) Фарадея (валентность 1)
F
96484
Кл/моль
Элементарный заряд (заряд электрона)
q
1,602·10
–19
Кл
Отношение заряда электрона к его массе
e/me
1,76·1011
Кл/кг
Масса покоя электрона
me
9,109·10
–31
кг
Масса покоя протона
mp
1,672·10
–27
кг
Масса покоя нейтрона
mn
1,675·10
–27
кг
Масса покоя мюона
—
1,883·10
–28
кг
Отношение масс протона и электрона
mp/mr
1836
—
К физическим постоянным можно отнести также Технический год = 8760 ч. и Технический месяц = 730 ч.
В табл. 1.3 суммированы сведения об основных кратных и дольных единицах измерения физических величин. В скобках указаны приставки, которые допускается применять только в наименованиях кратных и дольных единиц, уже получивших широкое распространение (например, гектар, декалитр, дециметр, сантиметр).
Таблица 1.3. Кратные и дольные единицы изменения
Приставка
Обозначения
Кратность и дольность
Приставка
Обозначения
Кратность и дольность
Русские
Международные
Русские
Международные
Экса
Э
Е
10
18
Деци
Д
d
10
Пета
П
Р
10
15
Санти
С
с
10
–5
Тера
Т
Т
10
12
Милли
м
m
10
–4
Гига
Г
G
10
9
Микро
мк
μ
10
–6
Мега
м
М
10
6
Нано
н
п
10
–9
Кило
к
к
10
3
Пико
п
Р
10
–12
Гекто
г
h
10
2
Фемто
ф
f
10
–15
Дека
да
da
10
1
Атто
а
а
10
–18
1.3. Единицы измерения электрических величин
Электрический ток (I) измеряется в амперах (А). Производными единицами измерения тока являются:
• 1 килоампер (кА) = 1000 А;
• 1 миллиампер (мА) = 0,001 А;
• 1 микроампер (мкА) = 0,000001 А.
Электрическое напряжение (U) измеряется в вольтах (В): 1 В = (1 Вт) : (1 А).
Производными единицами измерения напряжения являются:
• 1 киловольт (кВ) = 1000 В;
• 1 милливольт (мВ) = 0,001 В;
• 1 микровольт (мкВ) = 0,000001 В.
Сопротивление (R) участка электрической цепи зависит от материала проводника, его длины и поперечного сечения. Электрическое сопротивление измеряется в омах (Ом): 1 Ом = (1 В) : (1 А).
Производными единицами измерения сопротивления являются:
• 1 килоОм (кОм) = 1000 Ом;
• 1 мегаОм (МОм) = 1 000 000 Ом;
• 1 миллиОм (мОм) = 0,001 Ом;
• 1 микроОм (мкОм) = 0,000001 Ом.
Удельным электрическим сопротивлением
2
при температуре 20°С.Величина, обратная удельному сопротивлению, называется удельной электрической проводимостью (
Системной единицей мощности (Р) в СИ является ватт (Вт). Он равен мощности, при которой за 1 с выполняется работа в 1 Дж:
1 Вт = 1 Дж/1 с.
Производными единицами измерения электрической мощности являются:
• 1 киловатт (кВт) = 1000 Вт;
• 1 мегаватт (МВт) = 1000 кВт = 1 000 000 Вт;
• 1 милливатт (мВт) = 0,001 Вт;
• 1 лошадиная сила (л. с.) = 0,736 кВт = 736 Вт.
Единицами измерения электрической энергии являются:
• 1 ватт-секунда (Вт·с) = 1 Дж = (1 Н)·(1 м);
• 1 киловатт-час (кВт·ч) = 3,6·10
6
Вт·с.В табл. 1.4 систематизированы сведения об основных электрических величинах.
Таблица 1.4. Электрические величины и единицы
Единицы измерения
Обозначение латинским шрифтом
Единицы измерения
Наименование
Обозначение русским шрифтом
Напряжение
U, u
Вольт
В
Электродвижущая сила
Е, е
Вольт
В
Ток
I, i
Ампер
А
Сопротивление активное
R, r
Ом
Ом
Сопротивление реактивное
Х, х
Ом
Ом
Сопротивление полное
Z, z
Ом
Ом
Мощность активная
Р
Ватт
Вт
Мощность реактивная
Q
Вольт-ампер реактивный
вар
Мощность полная
S
Вольт-ампер
В·А
Энергия
W
Ватт-секунда или джоуль
Вт·с, Дж
1.4. Электрические измерения
В системах электроснабжения измеряют ток (I), напряжение (U), активную и реактивную мощности (Р, Q), электроэнергию (Ph, Qh или Wa, Wp), активное, реактивное и полное сопротивление (R, X, Z), частоту (f), коэффициент мощности (cos
В условиях эксплуатации обычно используют методы непосредственной оценки для измерения электрических величин и нулевой — для неэлектрических.
Электрические величины определяют электроизмерительными приборами, представляющими собой устройство (прибор), предназначенное для измерения, например, напряжения, тока, сопротивления, мощности и т. д.
По принципу действия и конструктивным особенностям приборы бывают: магнитоэлектрические, электромагнитные, электродинамические, ферродинамические, индукционные, вибрационные и др. Электроизмерительные приборы классифицируются также по степени защищенности измерительного механизма от влияния внешних магнитных и электрических полей на точность его показаний, способу создания противодействующего момента, характеру шкалы, конструкции отсчетного устройства, положению нулевой отметки на шкале и другим признакам.
На шкалу электроизмерительных приборов нанесены условные обозначения, определяющие систему прибора, его техническую характеристику.
Электрическая энергия, вырабатываемая генераторами или потребляемая потребителями, измеряется счетчиками.
Для определения электрической энергии переменного тока в основном применяют счетчики с измерительным механизмом индукционной системы и электронные. Отклонение результата измерения от истинного значения величины называют погрешностью измерения.
Точность измерения — это его качество, отражающее близость результатов к истинному значению измеряемой величины. Высокая точность измерений соответствует малой погрешности.
Погрешность измерительного прибора — это разность между показаниями прибора и истинным значением измеряемой величины.
Результат измерения — это значение величины, найденное путем ее измерения.
При однократном измерении показание прибора является результатом измерения, а при многократном результат измерения находят путем статистической обработки итогов каждого наблюдения. По точности результатов измерения подразделяют на три вида: точные (прецизионные), результат которых должен иметь минимальную погрешность; контрольно-поверочные, погрешность которых не должна превышать заданного значения; технические, результат которых содержит погрешность, определяемую погрешностью измерительного прибора. Как правило, точные и контрольно-поверочные измерения требуют многократных наблюдений.
По способу выражения погрешности средств измерений разделяют на абсолютные, относительные и приведенные.
Абсолютная погрешность АА — это разность между показанием прибора А и действительным значением измеряемой величины Ад:
АА = А – Ад.
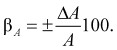
Относительная погрешность А — это отношение абсолютной погрешности АА к значению измеряемой величины А, выраженное в процентах:
Приведенная погрешность Υ(в процентах) — это отношение абсолютной погрешности АА к нормирующему значению Aном:
Для приборов с нулевой отметкой на краю или вне шкалы нормирующее значение равно конечному значению диапазона измерений. Для приборов с двухсторонней шкалой, то есть с отметками шкалы, расположенными по обе стороны от нуля, оно равно арифметической сумме конечных значений диапазона измерений. Для приборов с логарифмической или гиперболической шкалой нормирующее значение равно длине всей шкалы.
В табл. 1.5 приведены сведения о классах точности измерительных приборов. Класс точности численно равен наибольшей допустимой приведенной основной погрешности, выраженной в процентах.
Таблица 1.5. Классы точности средств измерений
Класс точности прибора
Класс точности шунта, добавочного резистора
Класс точности измерительного преобразователя
Класс точности измерительного трансформатора
1,0
0,5
0,5
0,5
1,5
0,5
0,5
**
0,5
*
2,5
0,5
1,0
1,0
**
* Допускается 1,0.
** Допускается 3,0.
Средства измерений электрических величин должны удовлетворять следующим основным требованиям (ПУЭ):
• класс точности измерительных приборов должен быть не ниже 2,5;
• классы точности измерительных шунтов, добавочных резисторов, трансформаторов и преобразователей должны быть не ниже приведенных в табл. 1.5;
• пределы измерения приборов должны выбираться с учетом возможных наибольших длительных отклонений измеряемых величин от номинальных значений.
Учет активной электрической энергии должен обеспечивать определение количества энергии: выработанной генераторами ЭС; потребленной на собственные и хозяйственные нужды (раздельно) ЭС и ПС; отпущенной потребителям по линиям, отходящим от шин ЭС непосредственно к потребителям; переданной в другие энергосистемы или полученной от них; отпущенной потребителям из электрической сети. Кроме того, учет активной электрической энергии должен обеспечивать возможность определения поступления электрической энергии в электрические сети разных классов напряжений энергосистемы, составления балансов электрической энергии для хозрасчетных подразделений энергосистемы, контроля за соблюдением потребителями заданных им режимов потребления и баланса электрической энергии.
Учет реактивной электрической энергии должен обеспечивать возможность определения количества реактивной электрической энергии, полученной потребителем от электроснабжающей организации или переданной ей, только если по этим данным производятся расчеты или контроль соблюдения заданного режима работы компенсирующих устройств.
Ток должен измеряться в цепях всех напряжений, где это необходимо для систематического контроля технологического процесса или оборудования.
Постоянный ток измеряется в цепях: генераторов постоянного тока и силовых преобразователей; АБ, зарядных, подзарядных и разрядных устройств; возбуждения СГ, СК, а также электродвигателей с регулируемым возбуждением.
Амперметры постоянного тока должны иметь двухсторонние шкалы, если возможно изменение направления тока.
В цепях трехфазного тока следует, как правило, измерять ток одной фазы.
Ток каждой фазы должен измеряться:
• для ТГ 12 МВт и более;
• для ВЛ с пофазным управлением, линий с продольной компенсацией и линий, для которых предусматривается возможность длительной работы в неполнофазном режиме;
• в обоснованных случаях можно предусмотреть измерение тока каждой фазы ВЛ 220 кВ и выше с трехфазным управлением; для дуговых электропечей.
Напряжение должно измеряться:
• на секциях сборных шин постоянного и переменного тока, которые могут работать раздельно; допускается установка одного прибора с переключением на несколько точек измерения; на ПС напряжение допускается измерять только на стороне НН, если установка ТН на стороне ВН не требуется для других целей;
• в цепях генераторов постоянного и переменного тока, СК, а также в отдельных случаях в цепях агрегатов специального назначения;
• при автоматизированном пуске генераторов или других агрегатов установка на них приборов для непрерывного измерения напряжения необязательна;
• в цепях возбуждения СМ от 1 МВт и более;
• в цепях силовых преобразователей, АБ, зарядных и подзарядных устройств;
• в цепях дугогасящих катушек.
В трехфазных сетях измеряется, как правило, одно междуфазное напряжение. В сетях выше 1 кВ с эффективно заземленной нейтралью допускается измерение трех междуфазных напряжений для контроля исправности цепей напряжения одним прибором (с переключением).
Необходимо регистрировать значения одного междуфазного напряжения сборных шин 110 кВ и выше (либо отклонения напряжения от заданного значения) ЭС и подстанций, по напряжению на которых ведется режим энергосистемы.
В сетях переменного тока выше 1 кВ с изолированной или заземленной через дугогасящий реактор нейтралью, сетях переменного тока до 1 кВ с изолированной нейтралью и сетях постоянного тока с изолированными полюсами или изолированной средней точкой, как правило, должен выполняться автоматический контроль изоляции, действующий на сигнал при снижении сопротивления изоляции одной из фаз (или полюса) ниже заданного значения с последующим контролем асимметрии напряжения с помощью показывающего прибора (с переключением). Допускается контроль изоляции путем периодических измерений напряжений с целью визуального контроля асимметрии напряжения.
Измерение мощности генераторов активной и реактивной мощности: при установке на ТГ 100 МВт и более щитовых показывающих приборов их класс точности должен быть не ниже 1,0. Производится регистрация:
• на ЭС 200 МВт и более — суммарной активной мощности;
• конденсаторных батарей 25 Мвар и более и СК реактивной мощности;
• трансформаторов и линий, питающих собственные нужды 6 кВ и выше ЭС, активной мощности;
• повышающих двухобмоточных трансформаторов ЭС — активной и реактивной мощности; в цепях повышающих трехобмоточных трансформаторов (или автотрансформаторов с использованием обмотки НН) измерение активной и реактивной мощности должно производиться со стороны СН и НН; для трансформатора, работающего в блоке с генератором, мощность со стороны НН следует измерять в цепи генератора;
• понижающих трансформаторов 220 кВ и выше — активной и реактивной, 110–150 кВ — активной мощности; в цепях понижающих двухобмоточых трансформаторов измерение мощности должно производиться со стороны НН, а в цепях понижающих трехобмоточных трансформаторов — со стороны СН и НН; на ПС 110–220 кВ без выключателей на стороне ВН мощность допускается не измерять;
• линий 110 кВ и выше с двусторонним питанием, а также обходных выключателей — активной и реактивной мощности;
• на других элементах ПС, на которых для периодического контроля режимов сети необходимы измерения перетоков активной и реактивной мощности, должна предусматриваться возможность присоединения контрольных переносных приборов.
Обязательна регистрация активной мощности ТГ 60 МВт и более, суммарной мощности ЭС (200 МВт и более).
Частота измеряется:
• на каждой секции шин генераторного напряжения; на каждом ТГ блочной ЭС или АЭС;
• на каждой системе (секции) шин ВН ЭС;
• в узлах возможного деления энергосистемы на несинхронно работающие части.
Частота или ее отклонения от заданного значения должны регистрироваться на ЭС 200 МВт и более; на ЭС 6 МВт и более, работающих изолированно.
Абсолютная погрешность регистрирующих частотомеров на ЭС, участвующих в регулировании мощности, должна быть не более ±0,1 Гц.
Для измерения при точной (ручной или полуавтоматической) синхронизации должны предусматриваться следующие приборы — два вольтметра (или двойной вольтметр), два частотомера (или двойной частотомер), синхроноскоп.
Для автоматической регистрации аварийных процессов в электрической части энергосистем должны предусматриваться автоматические осциллографы. Расстановка автоматических осциллографов на объектах, а также выбор регистрируемых ими электрических параметров производятся по указаниям ПУЭ.
Для определения мест повреждений на ВЛ 110 кВ и выше длиной более 20 км должны предусматриваться фиксирующие приборы.
Краткая характеристика измерительных приборов: современные промышленные предприятия и жилищно-коммунальные хозяйства характеризуются потреблением различных видов энергии — электроэнергии, тепла, газа, сжатого воздуха и др.; для наблюдения за режимом потребления энергии необходимо измерять и регистрировать электрические и неэлектрические величины с целью дальнейшей обработки информации.
Номенклатура приборов, используемых в энергоснабжении для измерения электрических и неэлектрических величин, весьма разнообразна как по методам измерений, так и по сложности преобразователей. Наряду со способом непосредственной оценки часто используют нулевой и дифференциальный методы, повышающие точность.
Ниже приведены краткая характеристика измерительных приборов по принципу действия.
Магнитоэлектрические приборы обладают высокой чувствительностью, малым потреблением тока, плохой перегрузочной способностью и высокой точностью измерений. Их показания зависят от температуры окружающей среды. Амперметры и вольтметры имеют линейные шкалы и используются часто как образцовые приборы, имеют малую чувствительность к внешним магнитным полям, однако чувствительны к ударам и вибрации.
Электромагнитные приборы имеют невысокую чувствительность, значительное потребление тока, хорошую перегрузочную способность и невысокую точность измерений. Шкалы нелинейны и линеаризуются в верхней части специальным выполнением механизма. Чаще используются как щитовые технические приборы, просты и надежны в эксплуатации, чувствительны к внешним магнитным полям. Электромагнитные приборы могут измерять как постоянные, так и переменные токи и напряжение. При этом они реагируют на среднее квадратическое (действующее) значение переменного сигнала вне зависимости от формы сигнала (в пределах сравнительно неширокого частотного диапазона).
Электродинамические и ферродинамические приборы обладают невысокой чувствительностью, большим потреблением тока, чувствительностью к перегрузкам и высокой точностью. У амперметров и вольтметров нелинейные шкалы. Серьезным преимуществом являются одинаковые показания на постоянном и переменном токах, что позволяет поверять их на постоянном токе.
Приборы индукционной системы характеризуются невысокой чувствительностью, существенным потреблением тока и нечувствительностью к перегрузкам. В основном они служат счетчиками энергии переменного тока. Такие приборы выпускаются одно-, двух- и трехэлементными для работы в однофазных, трехфазных трехпроводных и трехфазных четырехпроводных цепях. Для расширения пределов используются трансформаторы тока и напряжения.
Электростатические приборы имеют невысокую чувствительность, но чувствительны к перегрузкам и служат для измерения напряжения на постоянном и переменном токах. Для расширения пределов используются емкостные и резистивные делители. Электростатические вольтметры имеют малое потребление и широкий диапазон частот измерения, они просты и надежны.
Термоэлектрические приборы характеризуются низкой чувствительностью, большим потреблением тока, низкой перегрузочной способностью, невысокой точностью и нелинейностью шкалы, а также невысоким быстродействием. Однако их показания не зависят от формы тока в широком диапазоне частот. Для расширения пределов амперметров используют высокочастотные трансформаторы тока. Приборы могут работать как с постоянными, так и с переменными токами и напряжениями.
Выпрямительные приборы обладают высокой чувствительностью, малым потреблением тока, небольшой перегрузочной способностью и линейностью шкалы. Показания приборов зависят от формы тока. Они используются в качестве амперметров и вольтметров, которые реагируют на среднее выпрямленное значение переменного сигнала, а не на действующее (которое требуется чаще всего). Градуируются они обычно в действующих значениях для частного случая синусоидального сигнала. При работе с несинусоидальными сигналами возможны большие погрешности измерения.
Цифровые электронные измерительные приборы преобразуют аналоговый входной сигнал в дискретный, представляя его в цифровой форме с помощью цифрового отсчетного устройства (ЦОУ) и могут выводить информацию на внешнее устройство — дисплей, цифропечать. Преимуществами цифровых измерительных приборов (ЦИП) являются автоматический выбор диапазона измерения, автоматический процесс измерения, вывод информации в коде на внешние устройства и представление результата измерений с высокой точностью.
1.5. Степени защиты электрооборудования
ГОСТ 14254-96 «Степени защиты электрооборудования» распространяется на электротехнические изделия с напряжением не выше 72,5 кВ и устанавливает степени защиты, обеспечиваемые оболочками.
Степени защиты электротехнических изделий обозначают символом IP11, где IP — начальные буквы International Protection (Международная защита); первая цифра — характеристика защиты персонала от соприкосновения с находящимися под напряжением частями или приближения к ним и от соприкосновения с движущимися частями, расположенными внутри оболочки, и попадания внутрь твердых посторонних тел; вторая цифра — характеристика защиты от проникновения воды.
Если для изделия требуется указать степень защиты только одной цифрой, то пропущенную цифру заменяют буквой X, например IPX5, 1P2X и т. п.
Степени защиты оболочек электрических машин: IP00, IP01, IP10, IP11, IP12, IP13, IP20, IP21, IP22, IP23, IP43, IP44, IP54, IP55, IP56.
Степени защиты силовых трансформаторов (автотрансформаторов) и электрических реакторов, предназначенных для работы в электрических устройствах и сетях переменного тока частотой 50 Гц: IP00, IP01, IP11, IP13, IP20, IP21, IP22, IP23, IP30, IP31, IР32, IP33, IP34, IP41, IP43, IP44, IP54, IP55, IP65, IP66.
Степени защиты оболочек электрических аппаратов до 1 кВ: IP00, IP10, IP11, IP12, IP20, IP21, IP22, IP23, IР30, IР31, IР32, IP33, IP34, IP40, IP41, IP42, IP43, IP44, IP50, IP51, IP54, IР55, IP56, IР60, IP65, IP66, IP67, IP68.
Эти указания не распространяются на оболочки электрических машин и аппаратов, предназначенных для работы во взрывоопасной среде и особых климатических условиях, а также на оболочки электробытовых приборов.
Существует несколько степеней защиты электрических приборов. Их описание приведено в табл. 1.6.
Таблица 1.6. Степени защиты электрических приборов
Первая цифра
Краткое описание
Определение
От соприкосновения и попадания твердых посторонних тел
0
Защита отсутствует
Специальная защита отсутствует
1
Защита от твердых тел размером > 50 мм
Защита от проникновения внутрь оболочки большого участка поверхности человеческого тела, например руки, и твердых тел размером > 50 мм
2
Защита от твердых тел размером > 12 мм
Защита от проникновения внутрь оболочки пальцев или предметов длиной более 80 мм и твердых тел размером > 12 мм
3
Защита от твердых тел размером > 2,5 мм
Защита от проникновения внутрь оболочки инструментов, проволоки и т. д. диаметром или толщиной > 2,5 мм и твердых тел размером > 2,5 мм
4
Защита от твердых тел размером > 1 мм
Защита от проникновения внутрь оболочки проволоки и твердых тел размером > 1 мм
5
Защита от пыли
Проникновение внутрь оболочки пыли не предотвращено полностью, однако пыль не может проникать в количестве, достаточном для нарушения работы изделия
От проникновения воды
0
Защита отсутствует
Специальная защита отсутствует
1
Защита от капель воды
Капли воды, вертикально падающие на оболочку, не должны оказывать вредного воздействия на изделие
2
Защита от капель воды при наклоне до 15°
Капли воды, вертикально падающие на оболочку, не должны оказывать вредного воздействия на изделие при наклоне его оболочки на любой угол до
15° относительно нормального положения
3
Защита от дождя
Дождь, падающий на оболочку под углом 60° от вертикали, не должен оказывать вредного воздействия на изделие
4
Защита от брызг
Вода, разбрызгиваемая на оболочку в любом направлении, не должна оказывать вредного воздействия на изделие
5
Защита от водяных струй
Струя воды, выбрасываемая в любом направлении на оболочку, не должна оказывать вредного воздействия на изделие
6
Защита от волн воды
Вода при волнении не должна попадать внутрь оболочки в количестве, достаточном для повреждения изделия
7
Защита при погружении в воду
Вода не должна проникать в оболочку, погруженную в воду, при определенных условиях давления и времени в количестве, достаточном для повреждения изделия
8
Защита при длительном погружении в воду
Изделия пригодны для длительного погружения в воду при условиях, установленных изготовителем
1.6. Свойства электротехнических материалов
Ниже приведены свойства металлов для проводниковых и контактных материалов и составляющих сплавов (табл. 1.7), перечень материалов для контактов (табл. 1.8), характеристики металлических проводниковых материалов (табл. 1.9), перечень и свойства электроизоляционных материалов (табл. 1.10), приближенные величины токов плавления проволоки различных сечений из разных металлов (табл. 1.11), электрические характеристики электроизоляционных материалов (табл. 1.12) и значения влагопоглощаемости и нормируемой температуры основных электроизоляционных материалов (табл. 1.13).
Таблица 1.7. Физические свойства металлов (чистые) для проводниковых и контактных материалов и составных частей сплавов
Металл
Плотность, кг/м
3
Температура плавления, °С
Удельное сопротивление
Температурный коэффициент удельного сопротивления, 10–3, 1/°С
Удельная теплоемкость, Дж/(кг·°С)
Теплопроводность, Вт/(м·°С)
Теплота плавления, кДж/кг
Температурный коэффициент линейного расширения, 10–6 1/°С
Работа выхода электрона, эВ
Модуль упругости, ГПа
Алюминий
2700
660
0,0265
4,1
923
218
397
21
4,2
71
Бериллий
1840
1280
0,041
6,6
1800
184
1387
12
3,9
287
Вольфрам
19 300
3400
0,055
5
142
167
191
4,4
4,5
407
Железо
7870
1540
0,097
3,8
453
73
278
10,7
4,3
211
Золото
19 300
1063
0,0225
3,9
134
312
65
14
4,3
77
Кадмий
8650
321
0,074
4,2
231
93
57
29
4,1
62
Магний
1740
650
0,045
4
1040
170
368
27
3,6
44
Медь
8920
1083
0,0168
4,3
386
406
205
16,6
4,4
129
Молибден
10 200
2620
0,05
4,3
272
150
288
5,3
4,3
294
Никель
8960
1453
0,068
6,7
440
75
303
13,2
4,5
169
Ниобий
8570
2500
0,15
3,9
268
50
—
7,2
4
100
Олово
7290
232
0,113
4,5
226
63
59
23
4,4
54
Платина
21 450
1770
0,108
3,9
134
71
111
9,5
5,3
170
Свинец
11 340
327
0,19
4,2
130
35
23
28,3
4
16
Серебро
10 490
961
0,015
4,1
235
453
104
18,6
4,3
80
Титан
4520
1670
0,47
5,5
550
22
—
8,1
3,9
104
Хром
7190
1900
0,13
2,4
462
89
281
6,2
4,6
245
Цинк
7140
420
0,059
4,1
336
113
111
30
4,2
92
Цирконий
6500
1855
0,41
4,4
277
30
219
6,3
3,9
68
Таблица 1.8. Материалы для контактов
Материал
Плотность, г/см
3
Температура плавления, Ф, °С
Удельное сопротивление при 20°С, Ом/мм
2
×мТемпературные коэффициенты
Наибольшая рабочая температура, °С
Область применения
Сопротивление при 20°С
Линейного расширения
Константан
8,8
1265
0,45–0,50
5·10
–6
(1,2–1,4)·10
–5
450
Реостаты и добавочные сопротивления приборов низкого класса точности, нагревательные элементы с температурой до 450°С. Термоэлектроды в паре с медью и железом
Манганин
8,1–8,4
950
0,45–0,50
(3–6)·10
–5
2·10
–5
250–300
Эталонные и образцовые сопротивления, магазины сопротивления высокого класса точности
Нейзильбер
8,3–8,5
1050
0,30–0,45
30·10
–5
2·10
–5
200–250
Реостаты
Нихром (Х25H60)
8,2
1380
1,1
0,17·10
–3
1,3·10
–5
1000
Лабораторные и промышленные печи с рабочей температурой до 900°С
Нихром (Х20H80)
8,4
1400
1,2
0,15·10
–
5
1,5·10
–5
1050
То же с рабочей температурой до 1000°С
Фехраль (X13Ю14)
7,3
1460
1,25
0,05·10
–5
1,5·10
–5
850
Бытовые нагревательные приборы и промышленные печи с рабочей температурой до 650°С
Нихром (Х200Т)
8,0
1525
1,5
0,14·10
–3
1,5·10
–5
1200
Промышленные печи с рабочей температурой до 1150°С
Нихром (Х20Н80Т3)
8,0
1525
1,25
0,08·10
–3
1,4·10
–5
1200
ЭИ595
7,27
—
1,38
0,07·10
–3
—
1200
Промышленные печи
ЭИ626
7,2
—
1,43
0,035·10
–3
—
1300
Хромель
7,1
1500
1,45
0,04·10
–3
1,4·10
–5
1200
Таблица 1.9. Характеристика металлических проводниковых материалов
Материал
Удельный вес, г/см
3
Удельное сопротивление
Область применения
Алюминий
2,7
660
0,026–0,028
Провода, кабели, шины
Альдрей
2,7
1100
0,030–0,032
То же
Бронза
8,3–8,9
900–1000
0,021–0,050
Кадмиевая для контактов, фосфоритовая для пружин
Вольфрам
19–20
3400
0,054
Нити ламп накаливания, нагревостойкие электроды в лампах, контакты
Золото
19,3
1063
0,022
Контакты в сплавах с серебром
Латунь
8,4–8,7
960
0,031–0,079
Контакты, зажимы
Медь
8,7–8,9
1083
0,017–0,018
Провода, кабели, шины
Молибден
10,2
2600
0,050
Электровакуумная техника (аноды, крючки и сетки электродных ламп)
Никель
8,9
1452
0,007–0,080
Катоды, аноды, сетки электронных ламп
Олово
7,3
232
0,002–0,120
Припои при лужении и пайке, фольга для электродов
Платина
21,4
1773
0,009–0,100
Термопары, нагреватели печей, контакты электроприборов
Ртуть
13,3
–38,9
0,958
Электроды в терморегуляторах и выпрямителях
Сталь
7,8
1500
0,100–0,140
Провода, кабели и шины, конструкционный материал
Серебро
10,5
960
0,016
Контакты приборов и аппаратов
Свинец
11,34
327
0,220
Вставки предохранителей, пластины аккумуляторов, защитные оболочки кабелей
Цинк
7,1
430
0,054–0,062
Антикоррозионные покрытия, контакты
Чугун
7,2–7,6
1200
0,400–0,500
Сопротивление реостатов, конструкционный материал
Таблица 1.10. Электроизоляционные материалы
Наименование материала
Плотность, кг/м
3
tg
Епроб, МВ/м
Предел прочности, МПа
Теплопро- водность, Вт/(м·°С)
При растяжении
При статическом изгибе
Асботекстолит
1600
10
7
7,5
0,2–0,5
1,75
75
95
—
Винипласт
1350
10
10
3,5
0,03
25
50
160
0,18
Гетинакс (I)
1400
10
9
7
0,05
20
80
100
0,17
Дельта-древесина
1350
10
9
7
0,06
7,5
140
180
0,17
Картон электроизоляционный
950
10
8
—
—
45
40
—
—
Миканит коллекторный
2500
10
11
—
0,02
19
—
—
0,32
Поливинилхлорид
1250
10
11
6
0,07
10
15
—
0,12
Поликапролактам (капрон)
1140
10
11
4
0,02
17
55
75
0,08
Полиметилметакрилат
1190
10
11
3,7
0,06
50
70
60
0,17
Полистирол
1060
10
15
2,5
0,005
25
15
85
0,12
Полиуретан
1200
10
12
4,5
0,001
22
6
70
0,28
Полиформальдегид
1430
10
12
4
0,003
21
70
100
—
Полиэтилен ВД
940
10
15
2,3
0,004
45
15
5
0,32
Резина кабельная
—
10
13
3,4
0,02
40
6
—
—
Стеклотекстолит
1600
10
10
8
0,08
10
70
95
0,18
Совол
1560
10
12
4,1
0,02
50 кВ
*
—
—
0,09
Совтол
1540
10
11
4,5
0,01
50 кВ
*
—
—
—
Текстолит
1375
10
9
7
0,07
10
60
90
0,15
Фибра листовая
1100
10
10
—
—
7
7
10
1,3
Фторопласт
2140
10
16
2,8
0,0001
30
35
70
0,07
Электрофарфор
2200
10
11
7
0,023
38
40
80
1,5
Эпоксидная смола (ЭД-20)
—
10
11
—
0,015
45
—
—
—
* В стационарном разряднике.
Таблица 1.11. Приближенные величины токов плавления проволоки различных сечений из разных металлов
Ток плавления, А
Диаметр проволоки*, мм
Медь
Алюминий
Никелин
Сталь
Олово
Свинец
1
0,039
0,066
0,065
0,132
0,183
0,210
5
0,180
0,193
0,250
0,345
0,530
0,600
10
0,250
0,305
0,390
0,550
0,850
0,950
15
0,320
0,440
0,520
0,720
1,02
1,25
20
0,390
0,485
0,620
0,870
1,35
1,52
25
0,460
0,500
0,730
1,000
1,56
1,75
30
0,52
0,64
0,81
1,15
1,77
1,98
40
0,63
0,77
0,99
1,38
2,14
2,44
50
0,73
0,89
1Д5
1,60
2,45
2,78
60
0,82
1,30
1,80
2,80
3,15
70
0,91
1,10
1,43
2,00
3,10
3,50
80
1,00
1,22
1,57
2,20
3,40
3,80
90
1,008
1,32
...