автордың кітабын онлайн тегін оқу Системы и методы биржевой торговли
В книге упоминаются социальные сети Instagram и/или Facebook — продукты компании Meta Platforms Inc., деятельность которой (в т.ч. по реализации указанных соцсетей) на территории Российской Федерации запрещена как экстремистская.
Все права защищены. Данная электронная книга предназначена исключительно для частного использования в личных (некоммерческих) целях. Электронная книга, ее части, фрагменты и элементы, включая текст, изображения и иное, не подлежат копированию и любому другому использованию без разрешения правообладателя. В частности, запрещено такое использование, в результате которого электронная книга, ее часть, фрагмент или элемент станут доступными ограниченному или неопределенному кругу лиц, в том числе посредством сети интернет, независимо от того, будет предоставляться доступ за плату или безвозмездно.
Копирование, воспроизведение и иное использование электронной книги, ее частей, фрагментов и элементов, выходящее за пределы частного использования в личных (некоммерческих) целях, без согласия правообладателя является незаконным и влечет уголовную, административную и гражданскую ответственность.
Моей матери, к ее 100-летию
Предисловие
За многие годы торговли и изучения рынков я узнал, что рынки никогда не повторяются. Иногда схожие движения вызываются разными причинами, а, казалось бы, похожие причины вызывают разные движения. Где искать что-то общее? Я считаю, что в превращении конкретных моделей в обобщенные. Например, отличается ли недельная модель с 4-дневным движением вверх и движением вниз во вторник от модели с 4-дневным движением вверх и движением вниз в пятницу? Не отличается, если рассматривать ее только как четыре дня роста и один день снижения. Успешные стратегии переходят от частного к общему.
Успех в торговле зависит от способности видеть более широкую картину, траекторию движения цены, а не только конкретные модели. Именно поэтому работают долгосрочные скользящие средние. Вы смешиваете цены и все равно получаете то же самое cреднее значение. Слишком тонкая настройка никогда не давала хороших результатов. Мы раз за разом убеждаемся в правильности принципа «свободные штаны подходят всем». Поскольку мы никогда точно не знаем, как будет развиваться ценовое движение, нам нужно сделать свою стратегию гибкой, чтобы она оставалась работоспособной при самых разных сценариях.
Движение к более алгоритмическому подходу
Алгоритмические трейдеры, и я в том числе, философски относятся к присущим системе рискам и вознаграждениям, прекрасно осознавая, что, понеся большие убытки, они также могут получить и отличную прибыль. Что заставляет трейдеров нервничать, так это неизвестный и неожиданный риск. Используя любой метод ограничения убытков, будь то стоп-лосс или просто изменение направления тренда, вы получаете контроль над риском. Возможно, это не идеальный путь, но это намного лучше, чем видеть, как тает ваш капитал, и принимать решение в стрессовой ситуации. «Лучше находиться вне рынка и стремиться попасть в него, чем быть внутри и хотеть из него выйти».
Финансовые институты, такие как Blackrock, рассматривают алгоритмическую торговлю в ином свете. Известно, что год назад эта компания отказалась от выбора акций портфельными управляющими в пользу компьютеризированного подхода. Есть проверенные методы, упомянутые далее в главе 24, которые доказали свою успешность и вычисление которых занимает не более нескольких секунд (хотя для этого требуется значительная база данных). Компьютер не может быть эффективнее хорошего трейдера, но вполне способен конкурировать на более высоком уровне.
Я знаю одну трейдинговую компанию, которая собирается внедрить систему искусственного интеллекта для поддержки клиентов, включая подбор портфеля и индивидуальные торговые рекомендации. Также эта система предоставит начинающим и более опытным трейдерам возможности для обучения. Может быть, именно так в будущем будут распространяться знания? Найти ответ в компьютере намного проще, чем получить его от эксперта. И, если вам что-то непонятно, вы можете задавать сотни вопросов — компьютер не умеет раздражаться.
Конкуренция
Сегодня конкуренция в торговле усилилась в разы. Благодаря технологиям, сделавшим доступ на рынки более быстрым и простым, за последние десять лет произошел стремительный рост высокочастотного трейдинга. Вместе с появлением программной торговли в эту сферу пришли и финансовые институты, что резко сократило шансы на получение большой прибыли. В то же время многие участники вышли из этой игры, не желая рисковать капиталом ради минимального дохода. Рынок, кажется, прекрасно регулирует сам себя.
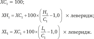
То же самое происходит и с потоком ETF. Сегодня существует огромное разнообразие ETF почти для каждого аспекта рынков и S&P 500, включая высокодивидендные акции, акции роста, акции компаний средней и малой капитализации, а также без капитализации, ETF с левериджем и ETF для каждого сектора S&P, а также обратные ETF для всех случаев. И снова рынок прекрасно сам себя регулирует. Просто посмотрите на объемы торговли, чтобы узнать, какие из ETF выживут.
А как насчет следования за трендом? Выживет ли этот подход? Основные тренды основаны на фундаментальных факторах, таких как политика процентных ставок, рост экономики и хозяйственная деятельность, и эти факторы продолжат двигать цены, будет ли это происходить на протяжении шести месяцев или шести лет, а то и в течение всех 35 лет, как в случае с процентными ставками в США. Полностью поймать этот тренд невозможно, и на этом пути бывают периоды волатильности, но макротрендовый трейдер, способный грамотно воспользоваться движением, будет в итоге вознагражден.
Принятие риска
Один из самых важных уроков, который я усвоил, — это необходимость принятия риска. Как бы вы ни спроектировали свою торговую систему, включив в нее стоп-лоссы и тейк-профиты, увеличение и уменьшение кредитного плеча, хеджирование, — полностью исключить риск невозможно. Если вы думаете, что устранили риск в одном месте, он появится в другом. Если вы ограничиваете каждую сделку небольшим убытком, в итоге вас все равно ожидает один большой убыток.
Чтобы выжить, нужно понять, каков профиль риска вашего метода, и работать исходя из него, не паникуя и не принимая иррациональных решений, таких как продажа на минимумах. По мере аккумуляции прибыли вы можете увеличивать свои вложения, не рискуя начальным капиталом. Думайте об этом как о долгосрочном партнерстве с рынком.
Длинный бычий рынок
После финансового кризиса 2008 г. в США начался один из самых длительных бычьих рынков в истории. В такие необычные периоды трейдеры стараются приспособиться к низкой волатильности и небольшим просадкам, когда выгодно покупать при любом откате. Но все бычьи рынки однажды заканчиваются. Не все они схлопываются, как пузырь доткомов в 2000 г. Но они становятся гораздо более волатильными, даже когда возвращаются к долгосрочной модели.
На необычной модели можно заработать, но это следует делать лишь с небольшой частью ваших инвестиций. Следующая модель вряд ли продержится столь же долго, как восьмилетний бычий рынок. Наблюдение за движением цен может подсказать вам, в частности, как следует изменить способ ввода приказов. Например, в течение последних нескольких лет акции, демонстрирующие большой гэп вверх на отчетах о прибыли, обычно закрываются еще выше. Акции, которые демонстрируют большой гэп вниз, обычно закрываются рядом с уровнем открытия или чуть выше него. Такие наблюдения можно превратить в прибыль. Ничто не заменит наблюдения за движением цен.
Что нового в шестом издании
Помимо обновления многих графиков и примеров, в новом издании существенно переработаны некоторые главы, чтобы сделать их более понятными и упорядоченными. Кроме того, убраны излишние детали, чтобы освободить место для нового материала, посвященного искусственному интеллекту и теории игр, а также для описания дополнительных профессиональных методов, включая стабилизацию волатильности и управление рисками. Большинство новых систем и методов уже запрограммированы и в таком виде представлены на сопутствующем веб-сайте. Большие таблицы также перемещены из книги на сайт, где они представлены в формате Excel, который я считаю более удобным для восприятия. Некоторые математические формулы также были заменены функциями в Excel и в других приложениях.
Принимая во внимание тот факт, что многие читатели живут за пределами США, я включил в новое издание примеры с азиатских рынков, а также заменил многие сленговые выражения, принятые в США, более общеупотребительными понятиями. Я уверен, что читатели во всех странах сочтут это улучшением.
Веб-сайт поддержки
Сопутствующий веб-сайт www.wiley.com является важной частью этой книги. Там содержатся сотни программ в TradeStation, электронных таблиц Excel, а также некоторые программы в MetaStock, которые позволят вам протестировать многие стратегии с собственными параметрами. Значок монитора
Кроме того, разделы «Приложения» и «Библиография», которые есть в предыдущих изданиях, также перемещены на сопутствующий веб-сайт, чтобы освободить место для полезных новых материалов.
Веб-сайт находится по адресу: www.wiley.com/go/tradingsystems6e (пароль: pjk6e)
Благодарности
Эта книга опирается на результаты труда и творчества сотен трейдеров, финансовых специалистов, инженеров и многих других людей, увлеченных рынками. Они продолжают доказывать, что нет предела совершенству, и обеспечивать нас прибыльными методами и ценными инструментами для торговли.
Команда из John Wiley & Sons поддерживает меня на высочайшем профессиональном уровне на протяжении вот уже 40 лет. Невозможно перечислить по именам тех, кто помогал мне за эти годы, но я хочу поблагодарить всех — от Стивена Киппура до Памелы ван Гиссен, включая Билла Фаллуна и Майкла Хентона. Я искренне ценю их усилия.
И напоследок я хотел бы поблагодарить всех читателей, которые прислали мне свои вопросы, а также сообщения об опечатках, упущениях и ошибках. Благодаря им мои объяснения стали более понятными и все прочие недочеты были устранены, поэтому это издание стало еще лучше, чем предыдущие.
Желаю вам успехов!
ПЕРРИ КАУФМАН
Фрипорт, о. Большой Багама
Декабрь 2019 г.
Глава 1. Введение
Выживает не самый сильный и не самый умный, а тот, кто лучше всех приспосабливается к изменениям.
Начнем с переопределения термина технический анализ. Технический анализ представляет собой систематическую оценку цен, объемов, ширины рынка и открытого интереса с целью прогнозирования цен. Системный подход может ограничиваться использованием столбикового графика и линейки, а может опираться на сложнейшие компьютерные вычисления. Технический анализ включает в себя любые формы количественного анализа, а также все формы распознавания моделей. Его цель в том, чтобы на основе ясных и всеобъемлющих правил заблаговременно определить, куда будут двигаться цены в течение некоторого времени, будь то один час, один день или пять лет.
Технический анализ не ограничивается изучением графических моделей или идентификацией трендов. Он включает в себя внутрирыночный анализ, применение сложных индикаторов, концепцию возврата к среднему, а также тестирование и оценку результатов. Для предсказания движения цен в нем может применяться как простая скользящая средняя, так и нейронная сеть. Эта книга служит справочником по всем этим техническим приемам, упорядочивает их и объясняет функциональное сходство и различие с точки зрения торговли. Она также включает основные аспекты формирования портфелей и многоуровневого управления риском, которые являются неотъемлемыми частями успешной торговли.
Расширение роли технического анализа
Количественные методы оценки движения цен и принятия торговых решений стали доминирующей частью рыночного анализа. Даже те, кто не используют для активной торговли такие инструменты, как индикаторы перекупленности и перепроданности, все равно видят их в нижней части своих экранов. Ведущие финансовые информационные сети в стандартном порядке показывают ценовые тренды и уровни поддержки и сопротивления, а также сообщают, когда рост или падение происходит на низком объеме, что указывает на его ненадежность. 200-дневная скользящая средняя может служить целевым индикатором, чтобы определять долгосрочное направление, а 50-дневная — краткосрочное направление.
События 2002 г. заставили правительство США поставить под сомнение достоверность исследований, проводимых крупнейшими финансовыми компаниями, для которых характерен конфликт интересов между финансированием/андеррайтингом и розничным брокерским бизнесом. Крах Enron вынудил усомниться в данных по прибыли, долгу, качеству бизнеса и т.п., раскрываемых большими и малыми компаниями. Что касается торговли акциями в других странах, то тут и вовсе никогда неизвестно, насколько верны или своевременны финансовые данные. Но информация по цене и объему всегда точна. Неудивительно, что исследовательские фирмы стали все больше склоняться к количественным методам торговли. В марте 2017 г. Blackrock объявила, что отказывается от 40 портфельных управляющих в пользу алгоритмического выбора акций. Когда решения принимаются в соответствии с четкими правилами и расчетами, которые можно проверить, аналитики, рекомендующие покупать или продавать, оказываются вне подозрений.
В мире очень развита торговля на основе количественного анализа. Процентный арбитраж является важнейшим источником дохода для банков. Географический арбитраж — это тот процесс, который удерживает цены на золото и другие драгоценные металлы на одном уровне во всех странах мира. Программная торговля позволяет обеспечить соответствие совокупной цены фондового рынка ценам на фьючерсы S&P и SPY (SPDR ETF). Сегодня эти полностью автоматизированные системы называют алгоритмической торговлей.
Если вы не считаете арбитраж технической торговлей, взгляните на рыночно-нейтральные стратегии, где длинные и короткие позиции открываются на взаимосвязанных рынках (парная торговля) с целью игры на том, что одна акция растет или падает быстрее, чем другая. Если вы измените горизонт времени, перейдя с часов и дней на миллисекунды, то получите высокочастотную торговлю. Возможно, вы пожелаете воспользоваться сезонными колебаниями в отрасли пассажирских авиаперевозок или попробовать силы в торговле соей. Оба рынка имеют ясно выраженные сезонные закономерности, как и годы, когда другие факторы (такие как перебои в энергоснабжении) оказываются сильнее сезонных. Торговля на сезонных закономерностях относится к сфере технического анализа.
Технология, которая позволяет вам просматривать и сортировать тысячи акций в поисках ключевых признаков, таких как высокий импульс или недавний прорыв, также представляет собой технический анализ в широком смысле. Высокочастотная торговля стала центром прибыли для крупных финансовых институтов. Однако это требует предельного приближения компьютерного оборудования к источнику информации о биржевых ценах — а это уже спорный вопрос. Высокочастотную торговлю хвалят за то, что она добавляет ликвидность, повышая объем торговли акциями, но также критикуют за сильные и резкие движения цены.
Наиболее впечатляет рост числа управляемых фондов, использующих технический и количественный анализ. Многие миллиарды инвестиционных долларов торгуются с использованием систем следования за трендом, маркет-тайминга, возврата к среднему и множества других системных методов. Считается, что значительно более половины всех управляемых денег инвестируется с помощью алгоритмической торговли. Технический анализ проник даже в самые укрепленные бастионы фундаментального анализа.
Сближение стилей торговли на рынках акций и фьючерсов
Развитие технического анализа шло разными путями на рынках акций и фьючерсов. Это кажется естественным, поскольку эти рынки обслуживают инвесторов, работающих в разных масштабах времени и преследующих разные коммерческие интересы. Кроме того, эти рынки предъявляют к инвестору совершенно разные финансовые требования.
Первоначально пользователями фьючерсных рынков были зерновые элеваторы и зерноперерабатывающие предприятия, представлявшие стороны предложения и спроса соответственно. Элеваторы — это оптовые торговцы зерном, которые покупают его у фермеров и продают переработчикам. Фьючерсные рынки предоставляли справедливую цену, и зерновые элеваторы продавали свой товар на Чикагской срочной товарной бирже с целью зафиксировать цену (с расчетом на прибыль). Переработчики, как правило хлебопекарные или мясоперерабатывающие предприятия, использовали фьючерсные рынки как инструмент, позволяющий зафиксировать низкую цену и избавить от необходимости создавать запасы. И производитель (продавец), и переработчик (покупатель) планировали держать позицию в течение нескольких недель или месяцев до поставки своего продукта на рынок или покупки физического товара для производства. Никаких долгосрочных инвестиций не было, существовало просто хеджирование риска. Фьючерсные контракты, подобно опционам на акции, истекают каждые два-три месяца, и их можно держать приблизительно один год, что делает «инвестирование» во фьючерсы почти невозможным.
Еще одним критическим различием между фьючерсами и акциями является кредитный рычаг, доступный на фьючерсном рынке. Когда переработчик покупает один контракт на пшеницу, он вносит гарантийный депозит размером около 5% от стоимости контракта. Если пшеница продается по $10 за бушель, а стандартный контракт составляет 5000 бушелей, то стоимость контракта равна $50 000. Но переработчику нужно депонировать у брокера только $2500. Переработчик по существу покупает с левериджем 20:1.
В 1970-е гг. фьючерсный трейдер платил за каждую полную сделку комиссионные в размере $50 за контракт. Это составляло приблизительно 0,3%, что было меньше издержек на фондовом рынке в размере 1% на сделку, существовавших в то время. Но сегодня, спустя годы после того, как система перешла на договорные комиссионные, плата не превышает $8, или 0,05%. Комиссионные расходы стали настолько низкими, что перестали учитываться в торговле фьючерсами. Также снизились и издержки, связанные с торговлей акциями, что создало условия для ведения быстрой торговли, даже на дневной основе. Это изменило наш подход к рынкам.
Размытая граница между фундаментальным и техническим анализом
Рынком движут фундаментальные факторы. Это уровень занятости, ВВП, инфляция, уверенность потребителей, спрос и предложение и геополитические факторы — и все они создают ожидания в отношении движения цен. Но торговать, опираясь только на эти факторы, слишком трудно, к тому же экономисты никогда не отличались точностью. Экономические отчеты обычно выходят с задержкой, а компании не слишком любят распространяться о своих проблемах. Слишком часто данные, которые мы использовали для принятия фундаментальных решений по индивидуальным компаниям, оказывались ненадежными. Нередки случаи, когда компании на протяжении многих месяцев утаивали серьезные проблемы, например брешь в безопасности информационной системы. Кроме того, над правительственным расчетом индекса потребительских цен (consumer price index — CPI) довлеет конфликт интересов, поскольку повышение CPI ведет к увеличению выплат всем получателям чеков социальных пособий.
Технический анализ при использовании для определения долгосрочного направления движения цен претендует на объективную оценку комплекса фундаментальных факторов. Это ничем не отличается от работы экономистов, применяющих регрессионный, сезонный и циклический анализ для прогнозирования экономики. Технический трейдер может использовать те же инструменты наряду с построением линий тренда, распознаванием моделей и распределением вероятностей. Аналогичным образом, наверное, поступают и экономисты.
Общеизвестно, что Федеральная резервная система следит за торговлей и ценами, чтобы определить, когда изменить процентные ставки и при необходимости осуществить валютные интервенции. Все центральные банки знают, что, когда их валюта дорожает слишком быстро, бесполезно пытаться остановить ее. Если публика хочет покупать японскую иену, у центрального банка не хватит сил, чтобы остановить ее до того, как движение выдохнется. Использовать ресурсы нужно осмотрительно, и он использует знание рынка и анализ цен, чтобы выбрать момент для начала действий.
Главные преимущества технического анализа заключаются в том, что он объективен и четко определен. Точность данных является бесспорной. Один из первых великих сторонников анализа цен, Чарльз Доу, сказал:
Рынок отражает все, что джоббер знает о состоянии торговли текстилем; все, что банкир знает о денежном рынке; все, что хорошо информированный президент знает о своей компании и обо всех других компаниях; он видит общее состояние транспортной системы так, как его не может видеть ни один президент отдельно взятой железнодорожной компании; он больше знает о зерновых, чем фермер или даже министерство сельского хозяйства. По сути, рынок выносит бесстрастный вердикт на основе всех знаний о финансах, как внутренних, так и внешних.
Движение цен, происходящее на любом рынке, во многом является результатом ожиданий; это могут быть прогнозы влияния макроэкономических событий или результатов хорошего корпоративного управления и выведения новых продуктов. Рынки, однако, меняются без предварительного уведомления. Например, правительство может блокировать слияние двух компаний, одобрить или запретить новое лекарство. Ураган, приближающийся к Филиппинам, вызывает рост цен на сахар, но если он изменит направление, цены развернутся. В преддверии выхода статистических отчетов о занятости, новостройках или об урожае зерновых публикуются весьма популярные оценки профессиональных аналитиков, которые могут двигать цены в правильную или неправильную сторону прежде, чем появится сам отчет. И тогда рынки реагируют на точность оценок, а не на экономические данные. К тому времени, когда публика готова действовать, новость уже отражена в цене.
Профессионал и любитель
Бывает, что начинающие технические трейдеры находят систему или метод, который кажется чрезвычайно простым и удобным, но который почему-то упустили профессионалы. Чаще всего причина очень проста. Как правило оказывается, что в такой системе или исполнение слишком трудно, или риск намного выше, чем ожидалось, или случается слишком много проигрышей подряд. Торговля — это бизнес, и не такой, которым можно заниматься от случая к случаю. Ричард Вайкофф сказал: «Большинство делает деньги, когда работает на себя, и теряет, когда работает на других». Старайтесь инвестировать сначала свое время, а уже потом деньги, чтобы, когда вы начнете торговать, ваши ожидания были более реалистичными.
Это не означает, что простые системы не работают, просто у каждой есть свой профиль доходности и риска, типичный для данного стиля и с трудом поддающийся изменению. Одной из целей этой книги является представление множества различных методов торговли, каждый из которых имеет свой собственный профиль риска и вознаграждения, чтобы каждый трейдер понял истинную цену торговли.
Чтобы конкурировать с профессиональным спекулянтом, вы должны научиться точно предвидеть следующее движение рынка. Это можно делать:
- распознавая повторяющиеся модели движения цен и определяя наиболее вероятные результаты таких моделей;
- идентифицируя «тренд» рынка, выделяя основное направление цен в течение выбранного интервала времени;
- используя необычное расхождение цен между двумя связанными компаниями или товарами, т.е. так называемый арбитраж.
Инструменты
Столбиковый график, рассмотренный в главе 3, является самым простым представлением рынка. Он показывает те же самые модели, что находил Джесси Ливермор в начале 1900-х гг. на тикерной ленте. Но поскольку интерпретировать их можно очень по-разному, это привело к разработке более точных методов, в частности графика «крестики-нолики», который вывел графический анализ на новый уровень точности.
В последующие годы популярным методом прогнозирования направления цены стало математическое моделирование с использованием традиционного регрессионного или статистического анализа. Большинство методов моделирования представляют собой какие-либо вариации на основе эконометрики и базовой теории вероятностей и статистической теории. Они точны, потому что полностью основываются на числовых данных, однако для их применения требуются правила торговли.
Правильная оценка ценового тренда критически важна для большинства торговых систем. Контртрендовая торговля, где позиция открывается против тренда, в той же мере зависит от знания тренда, как и техника следования за трендом. Большие разделы этой книги посвящены различным способам идентификации тренда, хотя было бы несправедливо создавать у читателя впечатление, что «ценовой тренд» является общепринятой концепцией. Существует немало исследований, утверждающих, что ценовых трендов не существует. Самые авторитетные работы на эту тему собраны в книге Кутнера «Случайный характер цен фондового рынка» (Cootner, The Random Character of Stock Market Prices. MIT Press, 1964); весьма убедительные материалы можно найти в журнале Financial Analysts Journal — это превосходный ресурс.
Существует огромное количество инструментов для управления личным капиталом, многие из которых включены в Excel и другие электронные таблицы. В их число входят линейная регрессия и корреляционный анализ. В Excel есть подключаемая надстройка «Поиск решения» (Solver), которую легко приспособить для структурирования портфеля. Также имеется недорогое программное обеспечение для выполнения спектрального анализа и применения сложных методов статистического анализа. Платформы для разработки торговых систем, такие как TradeStation и MetaStock, благодаря предлагаемым языкам программирования и управлению данными существенно облегчают реализацию ваших идей. Конечно, профессионалы по-прежнему имеют преимущество — возможность посвящать все свое время решению инвестиционных задач, однако непрофессионалы больше не находятся в безнадежно невыгодном положении.
Случайное блуждание
Многие сторонники фундаментального и экономического анализа твердо уверены в том, что никакой связи между движением цен от одного дня к другому не существует. Иными словами, цены не помнят того, что было раньше, — это называется теорией случайных блужданий. Цены стремятся к уровню, где достигается равновесие между спросом и предложением, но уровень этот достигается или мгновенно, или непредсказуемым образом в процессе движения цен в ответ на последнюю доступную информацию или выпуск новостей.
Если теория случайных блужданий верна, то многие хорошо определенные методы торговли, основанные на математике и распознавании моделей, должны вести к неудаче. Но против случайного движения цен есть два аргумента.
Первым аргументом является успешность многих алгоритмических торговых стратегий. Существуют бесспорные документированные результаты системных арбитражных программ, хедж-фондов и фондов деривативов, демонстрирующие успех на протяжении вот уже 40 лет. Нельзя сказать, что все технические программы приносят успех, — это не так. Но это же относится ко всем фундаментальным методам. Чтобы получать прибыль, там все равно нужна разумная стратегия, будь то дискреционная или системная. Не все могут создать и осуществить такую стратегию.
Второй аргумент против теории случайных блужданий заключается в том, что цены движутся на ожиданиях. Можно научно доказать, что все участники («рынок») точно знают, куда должны пойти цены после появления той или иной новости. Однако независимо от того, насколько это практично или маловероятно, это не так важно, как движение рынка, основанное на ожидании дальнейших новостей. Например, если в этом году ФРС дважды понизила ставки, а экономика еще не отреагировала, стали бы вы ожидать нового понижения? Конечно. Поэтому, как только ФРС объявляет о снижении ставок, вы начинаете строить догадки относительно следующего снижения. Когда большинство трейдеров придерживается одних и тех же ожиданий, цены быстро подтягиваются к соответствующему уровню. Затем цены реагируют на выход новости относительно ожиданий, но только в той степени, в какой инвесторы уверены в своем прогнозе. Соответствует ли такое движение цены теории случайных блужданий? Нет. Но реальная картина движения цен может напоминать случайное блуждание.
Если отбросить ожидания, то видимость случайного движения цены зависит от временного интервала и частоты наблюдений. На более длительных промежутках времени с использованием низкочастотных данных (например, недельных) тренды проявляются более отчетливо, наряду с сезонными и циклическими колебаниями. В целом для дневных данных характерен более высокий уровень шума (случайного движения), чем для недельных или месячных данных.
В долгосрочной перспективе цены стремятся к равновесному уровню. Дело в том, что инвесторы, постоянно переключаются между акциями, облигациями и фьючерсами в зависимости от того, что из этого предлагает лучшую доходность при том же риске, и таким образом по сути осуществляют арбитраж в отношении этих инвестиционных инструментов. Чтобы привлечь деньги, данная инвестиция должна предлагать больше других.
Цены не подчиняются нормальному распределению, что является еще одним аргументом против теории случайных блужданий. Асимметрию индексных рынков, в частности построенных из традиционных акций, легко понять, потому что там публика состоит преимущественно из покупателей. Рассматривая движение цен с точки зрения «пробегов» — часов или дней, в течение которых цены движутся в одном направлении, выстраивая необычно длинную последовательность, — мы находим, что ценовые данные, а также обеспечиваемые торговыми системами прибыли, приобретают толстый хвост, отражающий значительно более длинные пробеги, чем можно объяснить нормальным распределением. Существование толстого хвоста также означает, что какая-то другая часть распределения должна отличаться от нормы, потому что дополнительные данные в хвосте должны были откуда-то взяться. Словом, когда мы говорим о торговых системах, феномен толстого хвоста играет решающую роль в их прибыльности.
Движение цен вызывается людьми, а люди могут покупать и продавать по неслучайным причинам, даже с точки зрения больших чисел. Это, в свою очередь, двигает цены и создает возможности, которые позволяют трейдерам получать прибыль. Долгосрочные тренды, отражающие экономическую политику и обычно видимые на квартальных данных, могут представлять большой интерес для долгосрочных позиционных трейдеров. Но главное внимание в этой книге уделяется более краткосрочным движениям цен, которые связаны с ожиданиями (а не реальными событиями), частыми новостями, неожиданной волатильностью, отклонениями цены от стоимости, а также контртрендовыми системами, ориентированными на развороты цен, и изменениями в спросе и предложении.
Выбор стиля торговли
Может показаться, что говорить о стиле торговли до изучения всего материала преждевременно, но многие трейдеры уже знают, чем хотят заниматься — внутридневной торговлей или держать долгосрочные позиции, поскольку это соответствует их характеру, представлениям о том, что движет ценами, или распорядку дня. Это важно, потому что вам должно быть комфортно с используемым стилем торговли. С учетом этого заметим, что краткосрочным и долгосрочным трейдерам требуются разные стратегии и рынки, в то время как структура портфеля и управление риском почти одинаковы для любого подхода.
Чтобы понять, как сочетаются рынки и различные стили торговли, взгляните на дневной график любого рынка, акции, фьючерсного контракта на краткосрочную процентную ставку или секторного SPDR SPY. Вы увидите, что на нем есть периоды как трендового, так и бокового движения. Однако если вы перейдете с внутридневного графика на дневной, а с дневного на месячный, то проявится долгосрочный тренд. Более низкочастотные данные делают тренд намного четче. На рис. 1.1 приведены недельный, дневной и 20-минутный графики для сырой нефти, центрированные по июлю 2008 г. Недельный график показывает самую плавную модель; дневной график добавляет несколько дополнительных разворотов; а 20-минутный график демонстрирует резкие изменения на открытии некоторых дней.
Рис. 1.1. Графики цен на сырую нефть: недельный (верхний), дневной (средний) и 20-минутный (нижний). По центру — июль 2008 г.
Выбор ценовой частоты, соответствующей вашей торговой стратегии, имеет большое значение. Если вы работаете с долгосрочными макротрендами, вам нужен ценовой ряд, показывающий больше трендов, а они лучше видны на недельных или дневных графиках. Краткосрочные трейдеры сосредоточиваются на возврате к среднему или быстрых направленных движениях цены, а для этих стратегий лучше использовать более высокочастотные данные, например часовые или 15-минутные графики.
Измерение шума
Шум представляет собой беспорядочное движение, которое является частью модели любого ценового ряда. Высокий шум можно сравнить с походкой пьяного моряка, а низкий шум дает почти прямую линию от старта до финиша. Понимание эффектов шума может дать вам торговое преимущество. Рынок с высоким уровнем шума хорош для стратегии возврата к среднему и арбитражных стратегий. Рынок с низким уровнем шума благоприятствует следованию за трендом. Выбирая стратегию в соответствии с рынком, вы увеличиваете свои шансы на успех.
Существует несколько способов измерения шума, в том числе плотность цены, коэффициент эффективности (известный также как фрактальная эффективность) и фрактальная размерность. Важно отметить, что эти измерения не отражают волатильность, потому что шум нельзя путать с волатильностью. На рис. 1.2 короткий гипотетический период движения цены демонстрирует пример измерения шума с помощью коэффициента эффективности (efficiency ratio — ER). ER рассчитывается путем деления чистого движения (расстояния от точки А до точки B) на сумму отдельных движений в течение этого периода, взятых как положительные числа.
или
где n — период вычисления.
Рис. 1.3 иллюстрирует относительный уровень шума, который может сопровождать движение цены на одинаковую чистую величину. Прямая линия означает отсутствие шума, небольшие отклонения выше и ниже прямой являются средним шумом, а большие колебания — сильным шумом. В этом примере невозможно отличить уровень шума от волатильности, однако это все же не одно и то же. На рис. 1.4 показано чистое изменение цены от 440 до 475 в одном случае и от 440 до 750 в другом, при этом сумма отдельных составляющих изменений сходна, 595 и 554. Коэффициент эффективности составляет 0,06 для первого движения и 0,56 для второго, показывая, что у первого очень высокий шум, а у второго шум относительно низкий (см. табл. 1.1). Шум всегда соотносится с чистым изменением цены. Если цены быстро движутся вверх, то даже большие колебания нельзя рассматривать как «шум».
Рис. 1.2. Простейшее измерение шума с использованием коэффициента эффективности (известного также как фрактальная эффективность)
Рис. 1.3. Три модели движения цены, начинающиеся и заканчивающиеся в одних и тех же точках. Прямая линия означает отсутствие шума, небольшие отклонения — средний шум, большие колебания — сильный шум
Рис. 1.4. Изменяя величину чистого движения цены, мы можем видеть разницу между шумом и волатильностью. Если суммы отдельных изменений цены одинаковы, но чистое движение больше, значит, шум меньше
Таблица 1.1. Изменения цены, отражающие модели на рис. 1.4, демонстрируют, что большая сумма отдельных изменений цены не означает более сильный шум, если чистое изменение за весь период намного больше
Другие методы измерения шума
В предыдущем примере шума использовался коэффициент эффективности, однако могут также использоваться плотность цены и фрактальная размерность. Интуитивно плотность цены можно воспринимать как степень, до которой цены заполняют коробку. Если мы возьмем график 10-дневного периода движения цен, отражающий максимумы и минимумы, и нарисуем прямоугольник (коробку), касающийся самого высокого максимума и самого низкого минимума, то плотностью будет степень заполнения этой коробки. Рассчитывается это так:
Фрактальную размерность нельзя измерить точно, но ее можно приблизительно оценить за n дней в такой последовательности:
Существует сильная связь между фрактальной размерностью и коэффициентом эффективности (фрактальной эффективностью), и наблюдается подобие при построении плотности цены и фрактальной размерности. Из трех методов измерения шума коэффициент эффективности представляется наиболее ясным, и именно его мы будем использовать в дальнейшем.
Влияние на торговлю
Более подробно о шуме мы поговорим в главе 20 («Тренды и ценовой шум»), а пока же, чтобы не забегать вперед, резюмируем, что система следования за трендом обычно бывает более прибыльной, когда в ценовом ряду меньше шума, тогда как стратегия возврата к среднему лучше работает при высоком уровне шума. Это вовсе не означает, что шум — единственный фактор, определяющий результат. Однако правильный выбор рынка и стратегии дает вам больше шансов на успех.
Шум в равной мере применим ко всем временны́м рамкам, так как он измеряет неустойчивое движение цены. В этом отношении он сравним с фракталами, которые повторяются в одинаковом виде на всех уровнях детализации.
На макроуровне шум может помочь выбрать, на каких рынках торговать. На микроуровне он может подсказать, когда нужно быстро войти на рынок, а когда — подождать лучшей цены.
Зрелые рынки и глобализация
Уровень шума на каждом рынке может многое сказать нам о его зрелости и о характере трейдеров, активно торгующих на нем. Американские фондовые рынки — это место, куда компании идут, чтобы профинансировать свой бизнес. Большинство американских работников участвуют в фондовых рынках косвенно через пенсионные программы, и многие активно участвуют в принятии решений о распределении фондов. Самые консервативные инвесторы выбирают правительственные долговые обязательства, например пятилетние казначейские ноты. Более агрессивные размещают часть портфеля в профессионально управляемых фондах. Некоторые активно торгуют своими инвестициями посредством ETF, отдельных акций или фьючерсов.
В других странах работники не участвуют в своих фондовых рынках, даже несмотря на то, что движение фондовых индексов в этих странах отражает здоровье их экономики. Меньшее участие означает меньшую ликвидность, а это, в свою очередь, означает меньше ценового шума. Тем не менее большинство зарубежных рынков становится все активнее, даже если их ликвидность является результатом глобализации, т.е. того, что трейдеры из одной страны покупают и продают акции в другой стране.
Мы можем судить о зрелости мировых рынков по истории изменения ценового шума за 20 лет с 1990 по 2010 г., как показано на рис. 1.5. В Северной Америке, которая может служить эталоном для сравнения, уровень шума не только является самым высоким из всех регионов, но и устойчиво возрастает каждые пять лет. За ней следуют Европа и Австралия. Восточная Европа демонстрирует резкое изменение уровня шума от низкого к высокому, что соответствует всплеску торговой активности. Самый низкий уровень шума у Латинской Америки, но она представлена только Мексикой. В целом мы видим возрастание уровня шума по мере усиления глобализации.
Рис. 1.5. Относительные изменения зрелости мировых рынков по регионам
Таким образом, для развивающихся рынков характерны более низкая ликвидность и меньший шум. Пока не возрастет шум, здесь хорошо работают трендовые системы торговли. Только отсутствие ликвидности и зачастую трудности с доступом к этим рынкам мешают трейдерам зарабатывать здесь большие прибыли.
Рис. 1.6. Ранжирование азиатских рынков фондовых индексов, 2005–2010 гг.
В настоящее время Азия остается самым важным регионом мирового развития. Китай, который держит большую часть долговых обязательств США, предоставил своему народу немало экономических свобод, но ограничил доступ на фондовые рынки внешним инвесторам. Рис. 1.6, на котором выстроены уровни шума в порядке убывания слева направо (от меньшей зрелости рынка к большей), показывает относительный уровень развития азиатских фондовых рынков. Не удивительно, что наиболее развитой является Япония, за которой следуют Гонконг, Сингапур, Южная Корея и Тайвань. Они являются наиболее экономически открытыми странами в Азии. На другом конце находятся Шри-Ланка, Вьетнам, Пакистан и Малайзия, страны, не дающие доступа глобальным инвесторам. Индийский Sensex показывает больший уровень участия, чем китайский Shanghai Composite, но оба они тяготеют к центру. Те страны, которые открывают больший доступ трейдерам фьючерсами, перемещаются ближе к правой стороне.
Вспомогательный материал
Эта книга предполагает понимание читателем фондового рынка и фьючерсных рынков, таких как S&P 500 и казначейские облигации. Фьючерсные рынки оказывают большое влияние на поведение акций и действуют круглосуточно. Правила и механика этих рынков здесь не объясняются, кроме тех случаев, когда они непосредственно касаются стратегии торговли. В идеале читатель должен прочитать одно или несколько общедоступных руководств по торговле и должен понимать процедуру размещения приказов на покупку и продажу, а также спецификацию фьючерсного контракта. Полезен был бы и опыт реальной торговли. Кроме того, неплохо, если вы любите играть в состязательные игры и вам нравится побеждать.
Есть превосходные книги, подходящие и для начинающих, и для продвинутых трейдеров. Среди них новое издание классического труда Джека Швагера «Полное руководство по фьючерсным рынкам» (2017) и книга из популярной серии «Биржевые маги» (Hedge Fund Market Wizards: How Winning Traders Win, 2012). По акциям моим фаворитом остается книга Эдвардса, Маги и Бассетти «Технический анализ трендов на фондовом рынке». Хороших книг слишком много, поэтому я назову в алфавитном порядке только те, что лежат у меня на рабочем столе (подробности о них можно найти в разделе «Библиография»): «Рыночные модели» Кэрола Александера (Carol Alexander, Market Models), «Карманный справочник по инвестициям» Питера Бернстайна (Peter Bernstein, The Portable MBA in Investment), «Полная энциклопедия графических ценовых моделей» и «Энциклопедия японских свечей» Томаса Булковски (Thomas Bulkowski, The Encyclopedia of Candlestick Patterns), «Адаптивные рынки» Эндрю Ло (Andrew Lo, Adaptive Markets), «Хаос и порядок на рынке капитала» Эдгара Петерса (Edgar E. Peters, Chaos and Order in the Capital Markets. A New View of Cycles, Prices, and Market Volatility), «Статистическое моделирование» Клиффа Рэгсдейла (Cliff Ragsdale, Statistical Modeling), «Логический трейдер» Марка Фишера (Mark Fisher, The Logical Trader), «Опционы, фьючерсы и другие производные финансовые инструменты» Джона Халла, «Циклический анализ для трейдеров» Джона Элерса (John Ehlers, Cycle Analytics for Traders). Разумеется, в этот список входят и мои собственные книги (см. «Библиографию»).
Также стоит прочитать следующие книги: «Боллинджер о лентах Боллинджера» Джона Боллинджера, «Объяснение технического анализа» Мартина Принга, «Энциклопедия технических индикаторов рынка» Роберта Колби, «Как играть и выигрывать на бирже» Александра Элдера и «Одураченные случайностью» Нассима Талеба.
Журналы Technical Analysis of Stocks & Commodities и Modern Trader рассказывают в своих многочисленных статьях о классических и новых системах и методах торговли. Базовое понимание рыночных явлений и отношений, нередко требующее определенного владения математическим аппаратом, можно найти в Financial Analysts Journal (Институт CFA).
Еще несколько книг более общего характера, которые должен прочитать каждый трейдер (и которые лежат у меня на рабочем столе): «Воспоминания биржевого спекулянта» Эдвина Лефевра, «Искусство войны» Сунь-Цзы, «Наиболее распространенные заблуждения и безумства толпы» Чарльза Маккея и моя любимая — «Логика неудачи» Дитриха Дернера. Я начал свою карьеру в ракетостроении и рекомендую книги Нила де Грасса Тайсона о Вселенной, потому что это интересно.
Блоги, группы пользователей и ассоциации
Времена изменились, и сегодня в интернете можно найти огромное количество неопубликованного на бумаге материала по торговым системам. Конечно, эту информацию нужно внимательно фильтровать, но полезные идеи там есть. Однако не надейтесь найти панацею. Если вы наткнулись на какие-то интересные идеи, вам нужно доработать их и протестировать самостоятельно. Не все они так хороши, как кажется на первый взгляд. Но, как я уже сказал, в cети есть ценные идеи. Посмотрите блоги трейдеров о торговых системах.
Существует ряд ассоциаций и пользовательских групп, которые могут быть очень полезны трейдерам всех уровней. Ассоциация CMT (ранее Ассоциация технических аналитиков) предлагает получить квалификацию «сертифицированный рыночный технический аналитик», а Институт CFA (ранее Ассоциация инвестиционного менеджмента и исследований/AIMR) — квалификацию «дипломированный финансовый аналитик». Те, кто хорошо владеет математическим аппаратом, могут найти превосходные ресурсы в Международной ассоциации финансовых инженеров (International Association of Financial Engineers/IAFE). Также есть форумы на всех популярных платформах: TradeStation, MetaStock и Ninja Trader. В крупных городах эти группы встречаются офлайн, но в них можно участвовать и через социальные сети — и они могут оказать ценную помощь при решении трудных проблем.
Что касается данной книги, то любой читатель со знанием математики на уровне средней школы сможет понять все, кроме самых сложных частей. В идеале требуется базовый курс статистики, но знания типов вероятностей, описанных в книге Эдварда Торпа «Обыграй дилера» вполне достаточно. К счастью, электронные таблицы, такие как Excel, позволяют любому использовать статистические методы, а большинство формул в этой книге представлено таким способом, что их можно легко адаптировать для электронных таблиц (если это уже не сделано). Еще лучше, если у вас есть компьютер с программным обеспечением для трейдинга. С этим вы вполне готовы к тому, чтобы двигаться вперед. Если у вас есть подключение к каналу данных, например Bloomberg, Reuters или Thinkorswim, это обеспечит вам доступ к технической аналитике, которую вы найдете очень полезной. Кроме того, Bloomberg и Reuters — превосходный источник глобальных данных.
Рекомендации по разработке торговой системы
Прежде чем начать, ознакомьтесь с девятью принципами, которые, возможно, облегчат разработку торговой системы.
- Решите, что вы хотите сделать, прежде чем начнете. Основывайте торговлю на здравой идее. Это может быть наблюдение за тем, как двигаются цены в ответ на политику правительства, теория о том, как цены реагируют на экономические отчеты, или просто модель, которая проявляется в одно и то же время каждый день или каждый месяц. Это — базовая предпосылка вашего метода. Ее нельзя найти, тестируя на компьютере все подряд. Она приходит из опыта наблюдения за движением цен (вспомните о Джесси Ливерморе) и понимания факторов, которые движут ценами. Если это невозможно, почерпните идеи из заслуживающих доверия книг или статей.
- Изложите свою идею или предпосылку в самой простой форме. Чем она сложнее, тем труднее будет оценить ответ и понять взаимодействия между различными ее частями. Более простые методы обычно более долговечны. Помните о бритве Оккама.
- Ничего не принимайте на веру. Многие проекты терпят неудачу из-за того, что их базовые предпосылки были неверны. Нужно развить у себя скептическое отношение ко всем предположениям, на которые вы опираетесь, и ко всем идеям, в истинность которых вы верите. Но это приходит с практикой. Короче, проверяйте все.
- Испробуйте сначала самые простые и самые важные части. Одни правила вашей торговой программы важнее, чем другие. Начните с них. Лучше всего разобраться, что именно каждое правило или технический прием вкладывает в конечную систему. Затем стройте, медленно и осторожно, проверяя ценность каждого элемента системы. Возможность легко понять работу каждой части системы называют прозрачным решением, в отличие от полностью интегрированного или сложного. Прозрачные решения очень желательны.
- Следите за ошибками упущения. Поиск того, чего нет, может показаться странным, но вы должны непрерывно пересматривать свою работу, задаваясь вопросом, включили ли вы все необходимые издержки и учли ли весь риск. Одна лишь правильность ответа на все вопросы не означает, что были заданы все необходимые вопросы.
- Подвергайте сомнению хорошие результаты. Обычно люди ищут ошибки, когда получают плохие результаты, а хорошие результаты принимают как данность. Но исключительно хорошие результаты с такой же вероятностью могут быть вызваны ошибками в правилах, формулах или данных. Их необходимо проверять так же тщательно, как и плохие результаты. «Удивительно хорошие» результаты часто оказываются ошибочными.
- Не ищите коротких путей. Иногда бывает удобно использовать чужую работу, чтобы ускорить исследования. Проверяйте чужую работу тщательно; откажитесь от нее, если ее нельзя проверить. Проверяйте формулы для электронных таблиц вручную. Одна ошибка может свести на нет всю работу.
- Начинайте с конца. Определите цель и двигайтесь назад, чтобы найти только те входные данные, которые необходимы. Так вы будете работать только с информацией, нужной для получения результата, иначе вы можете потратить много усилий впустую.
- Будьте настойчивы. Не все идеи работают с первого или второго раза. Если вы убеждены, что ваша идея хороша, продолжайте работать над ней. Возможно, в ваш код просто закрался баг, или же вы упустили какое-то правило — и исправление этого недочета позволит сделать идею успешной.
Цели этой книги
Эта книга предназначена для того, чтобы дать вам полное понимание инструментов и методов, необходимых для разработки или выбора торговой программы, имеющей хороший шанс на успех. Исполнительские навыки и психология рынка в ней не рассматриваются — только стратегии, методы тестирования стратегий и средства для управления риском. Это — цель значительной величины.
В одной книге всего не охватишь, поэтому мы использовали определенные принципы, чтобы ограничить включаемый в нее материал. Каждый метод в этой книге относится к категории системных, т.е. имеет четкие правила. Большинство из них может быть автоматизировано. Мы начинаем с базовых концепций и определений, например какой объем данных использовать, как создать индекс, поговорим немного о статистике и вероятности и о других инструментах, которые используются в книге. Следующие несколько глав охватывают методы, которые являются самыми важными для торговли; это тренд и импульс. Все главы организованы одинаково, чтобы можно было сравнивать разновидности одного и того же базового метода. Хотя графический анализ является чрезвычайно популярным методом, он включен лишь настолько, чтобы его можно было сравнивать с другими системными методами, или когда различные модели можно использовать в компьютерной программе (например, для идентификации дня ключевого разворота). Мы не пытались создать всеобъемлющий труд о графическом анализе, однако некоторые формации могут давать весьма реалистичные цели по прибыли или служить надежными фильтрами для входа.
В эту книгу не включены ни опционы на акции, ни опционы на фьючерсы. Это слишком обширная и слишком специализированная тема. К тому же есть много хороших книг о стратегиях торговли опционами. Как исключение, здесь будут рассмотрены только стратегии с использованием VIX и метод сравнения подразумеваемой волатильности с исторической волатильностью.
Эта книга не является попыткой доказать, что одна система лучше другой, поскольку невозможно знать то, что случится в будущем или как каждый читатель сумеет применить их. Вместо этого здесь оцениваются условия, при которых определенные методы могут принести больший успех, и ситуации, которые вредны для определенных подходов. Объединение схожих систем и методов и представление результатов в одном формате поможет сопоставить различия и сделать собственные выводы. Изучение того, как аналитики модифицируют существующие идеи, может помочь вам решить, как персонализировать интересующую вас стратегию, а также дать понимание того, почему вам нужно выбрать тот или иной путь. Имея более полную картину, вы сможете заставить здравый смысл возобладать над мощью компьютера.
Профиль торговой системы
Существует множество аспектов, которые следует учитывать при разработке торговой программы. Одни из них касаются просто выбора стиля, в то время как другие важны для получения успешных результатов. Ниже они перечисляются и кратко описываются. Их стоит иметь в виду, когда вы продолжите процесс создания или выбора торговой системы.
Изменение рынков и долговечность системы
Рынки не статичны. Они развиваются, как и все остальное. Основные изменения по-прежнему связаны с технологиями, участием, глобализацией, новыми рынками и стоимостью ведения бизнеса.
Технологии включают в себя связь, оборудование для торговли (прежде всего компьютеры и мобильные устройства), электронные биржи, доступ к данным и ввод приказов. Новшества в этих областях ускорили процесс торговли. Электронные рынки изменили саму природу потока приказов и сделали информацию о покупателях и продавцах более доступной. Они ускорили реакцию цен на новости, а также облегчили высокочастотную торговлю.
Глобализация является, прежде всего, результатом прогресса в области средств связи. Сегодня мы не только можем видеть одни и те же новости в любой точке мира одновременно, но и так же мгновенно передавать информацию. Не менее важно и то, что нам не нужно беспокоиться о надежности нашего коммуникационного оборудования. Мы ожидаем, что наши компьютеры, телефоны и подключение к интернету будут работать безупречно. Когда мы торгуем, то рассчитываем именно на это.
Значительное снижение комиссионных затрат оказало существенное влияние на торговлю, открыв возможности для быстрых трейдеров. Для финансовых институтов сделки с акциями теперь обходятся в долю цента в расчете на акцию, а индивидуальные инвесторы платят за приказ максимум $1–8. Это не только облегчает быструю торговлю, но и способствует увеличению количества участников. От этого выигрывают все.
Задача трейдера — найти систему, которая будет приспосабливаться к будущим изменениям, независимо от их характера. Большинство изменений происходит не внезапно, а постепенно отражается в ценовых моделях (чередуясь с периодическими ценовыми скачками). Например, биогенетические исследования позволяют увеличить производство сельскохозяйственных культур, тогда как глобальное потепление может привести к обратному. Рост среднего класса в Китае и Индии уже меняет спрос на энергию и потребительские товары. Увеличение ассортимента торговых инструментов — ETF, взаимных фондов, акций, фьючерсов, опционов — создает сложную взаимозависимость рынков. Индексный арбитраж и торговля секторными ETF заставляют составляющие их акции двигаться в одном направлении независимо от индивидуальных фундаментальных характеристик. Создать в таких условиях собственную долговечную программу дело непростое, но оно того стоит.
Выбор данных
Решения системы ограничиваются данными, используемыми в анализе. Хотя решающими критериями служат цена и объем конкретного рынка акций или фьючерсов, существует множество другой уместной статистической информации, которую также можно использовать. Некоторые из этих данных получить очень легко, например цены акций компаний одного сектора или отраслевой группы или текущие отношения кривой доходности. Другие статистические данные, включая широкий диапазон американской экономической статистики и еженедельные отчеты о запасах энергоносителей, могут повысить уровень надежности результатов, но их не так легко получить, и они не так своевременны.
Диверсификация
Не все трейдеры стремятся к диверсификации, которая, хотя и ограничивает риск, одновременно уменьшает доходность. Концентрация всех ресурсов на единственном рынке, который вы понимаете, может привести к созданию специализированного подхода и даст намного лучшие результаты, чем использование более обобщенного метода на большем количестве рынков. Диверсификации можно достичь, торгуя с использованием двух или более уникальных стратегий применительно к одному рынку, а не используя одну стратегию на множестве рынков. С другой стороны, чрезмерная диверсификация может ввести более высокий риск при минимальной доходности. Здесь важно найти правильный баланс.
Выбор сделки
Хотя торговая система регулярно генерирует сигналы, использовать все их не обязательно. Выбрать наилучшие варианты можно с помощью какого-нибудь метода фильтрования. Это может быть подтверждение от другого метода или системы, ограничение величины риска, допустимого для отдельной сделки, использование внешней информации или текущий объем. Многие из таких дополнительных правил вносят в автоматизированный процесс некую толику реальности. Однако слишком большое количество фильтров способно привести к чрезмерной подгонке или вообще к отсутствию возможностей торговли.
Тестирование
Ошибка при тестировании может привести к тому, что вы станете использовать проигрышную стратегию или откажетесь от выигрышной. Тестирование на исторических данных — единственный существующий способ подтвердить или обосновать ваши идеи. Тестирование заводит в тупик, когда используется, чтобы «открыть» успешный метод торговли путем интенсивного перебора комбинаций разных методов. Надежное решение, способное работать со многими акциями или на множестве похожих рынков, никогда не кажется таким же хорошим, как оптимизированный результат, полученный для отдельной акции. Между тем использование одной и той же системы для всех акций одного сектора позволяет протестировать ее на большем разнообразии моделей и, таким образом, даст вам более реалистичную оценку ожиданий, в том числе в отношении риска и доходности, — и намного лучшие шансы на успех.
Контроль риска
Выживание в торговле требует управления риском. Риском нужно управлять на всех уровнях — начиная с отдельных сделок и заканчивая уравновешиванием рисков: риски всех рынков в одном секторе, риски всех секторов в портфеле и, наконец, риски всех используемых торговых систем. Риск сделки можно контролировать с помощью стоп-лосса, но им также можно эффективно управлять на основе волатильности. Фьючерсные трейдеры должны также обращать внимание на леверидж. Управление риском не обязательно должно быть сложным, но пренебрегать им нельзя.
Операционные издержки
Система, дающая хорошие результаты на бумаге, может оказаться никудышной при реальной торговле. Помимо знания, когда входить и выходить с рынка, торговая программа должна также давать реалистичное представление об операционных издержках, включая комиссионные и проскальзывание. Краткосрочные скоростные торговые системы наиболее чувствительны к операционным издержкам, потому что ожидаемая прибыль от каждой сделки невелика. Направленные торговые стратегии, где покупка совершается во время роста цены, а продажа во время падения, имеют большее проскальзывание, чем системы, основанные на принципе возврата к среднему.
Преувеличение издержек не менее вредно, чем их недооценка. При обременении системы нереалистичными затратами тесты могут показать убыток вместо прибыли и заставить отвергнуть успешный метод торговли.
Слежение за результатами и обратная связь
Работа с системой не окончена, когда вы начинаете торговать, — она лишь вступает в новую фазу. За результатами торговли нужно тщательно следить, сравнивая их с ожиданиями, чтобы знать, работает ли система должным образом. Весьма вероятно, что фактическое проскальзывание при исполнении сделок заставит вас внести изменения в правила системы или в размер позиций. Слежение за результатами обеспечивает критически важную обратную связь, необходимую для успеха. Благодаря этому вы можете получить раннее предупреждение, что что-то идет не так, или, наоборот, дополнительную уверенность в том, что все идет хорошо.
Несколько слов о системе обозначений, используемой в книге
Чтобы сделать эту книгу более полезной для торговли, некоторые традиционные математические формулы также представлены здесь в форматах Microsoft Excel и EasyLanguage от TradeStation. EasyLanguage без труда доступен для освоения любому, кто имеет опыт работы с каким-нибудь языком программирования, и легко конвертируется в коды для других платформ. На сопутствующем сайте вы найдете сотни конкретных примеров. Ссылки на них обозначены специальным значком
Некоторые примеры касаются более сложных систем и индикаторов в Excel и/или в EasyLanguage. Хотя эти программы были скрупулезно протестированы, в процессе окончательного редактирования в текст могли закрасться случайные ошибки. Рыночная активность последнего времени также может давать такие комбинации движения цен, которые не встречались во время тестирования. Советую читателям проверить код и тщательно его протестировать, прежде чем использовать.
Также хочу вас предупредить, что на разных платформах могут использоваться немного разные обозначения для простых статистических функций. Например, стандартное отклонение в Excel обозначается как СТАНДОТКЛОН, а в EasyLanguage — как stddev. В одной программе среднее значение следует указывать как СРЗНАЧ, а в другой — как average. А натуральный логарифм ln в Excel называется просто LOG. Обязательно проверьте систему обозначений в каждой формуле и решении на ее соответствие используемой платформе.
И последний комментарий
В этой книге неоднократно подчеркивается принцип ненужной множестенности, более известный как бритва Оккама. Принцип этот гласит, что, если есть больше чем одно объяснение или решение, самое простое — предпочтительнее. (Да, в прошлом тоже жили умные люди!) При разработке или выборе торговой стратегии увеличение сложности ради нескольких дополнительных базисных пунктов обычно приводит к повышению потенциальных проблем и риска, перекрывающему достигнутый прирост доходности.
Не следует множить сущности без необходимости.
Уильям Оккам (ок. 1285–1349 гг.)
Цель этой книги состоит в том, чтобы дать инструменты и понимание, которые могли бы помочь как начинающим, так и опытным трейдерам разрабатывать системные методы торговли в соответствии с их предпочтениями в отношении риска и инвестиционными целями. Маловероятно, чтобы два разных трейдера разработали одну и ту же систему, но чем больше их знания, тем более вероятно, что системы будут прибыльными.
Глава 2. Базовые концепции и расчеты
Экономика — не точная наука: она состоит из одних законов вероятности. Поэтому самым благоразумным инвестором является тот, кто следует общему курсу, который «обычно» является правильным, и кто избегает действий и идей, которые «обычно» являются неправильными.
Благодаря технологиям мы моментально можем получать данные из любых точек мира, у нас есть программы, которые мгновенно выполняют самые сложные расчеты, и мы в любое время можем связаться с кем угодно.
Как предсказывал Айзек Азимов, придет время, когда мы уже не будем знать, как делить столбиком, поскольку повсюду будут миниатюрные управляемые голосом компьютеры. Может быть, мы даже разучимся складывать и это будут делать за нас. Мы просто будем полагать, что ответ правилен, потому что компьютеры не ошибаются.
В некоторой степени это происходит уже сейчас. Не все проверяют расчеты электронных таблиц вручную, чтобы убедиться в их правильности прежде, чем двигаться дальше. И далеко не все распечатывают промежуточные результаты компьютерных вычислений, чтобы проверить их точность. Компьютеры не совершают ошибок, но люди их делают.
С появлением программного обеспечения и торговых платформ, сделавших анализ цен одновременно легче и сложнее, мы больше не думаем о том, как, собственно, работает скользящая средняя или линейная регрессия. Несколько лет назад мы рассматривали корреляцию между инвестициями только в случае крайней необходимости, потому что для этого требовались слишком сложные и длительные вычисления. Теперь мы сталкиваемся с другой проблемой: если все делает компьютер, мы перестаем понимать, чем скользящая средняя отличается от линейной регрессии. Не видя исходных данных, мы не замечаем ошибки, вызываемой аномальным отклонением, или того, что в цене акции не было учтено дробление или же что ранняя цена Apple (AAPL) стала отрицательной из-за способа учета дробления. Не изучая каждую гипотетическую сделку, мы теряем возможность видеть, как проскальзывание может превратить прибыль в убыток.
Чтобы избежать пробела в знаниях, необходимых для создания прибыльных торговых стратегий, в этой главе объясняются базовые инструменты торговли. Те из вас, кто уже знаком с ними, могут пропустить главу, остальным же следует удостовериться, что они могут выполнять вычисления вручную, даже если используют электронную таблицу.
Полезное программное обеспечение
В Excel многие необходимые функции, например стандартное отклонение, доступны для использования сразу. Более сложные статистические функции необходимо подключать дополнительно как надстройки, но они поставляются с Excel бесплатно. Это гистограммы, регрессионный анализ, F-критерий, t-критерий, z-критерий, анализ Фурье и различные методы сглаживания. Чтобы подключить их в большинстве версий Excel 2010, пройдите в «Файл/Параметры/Надстройки» и выберите все необходимые надстройки. Обязательно установите надстройку «Поиск решения». После подключения, которое занимает всего несколько секунд, к этим функциям можно получить доступ в меню «Данные» в верхней части экрана.
Есть и другие очень полезные и легкие в использовании статистические программы, различающиеся по сложности и по цене. Одним из самых выгодных приобретений может оказаться ProStat от Poly Software (polysoftware.com). Среди самых продвинутых и дорогих — SAS, SPSS и Statistica. Примеры в данной главе основаны на использовании Excel и ProStat.
Несколько слов о данных
Более подробно о том, как выбирать и использовать данные, расскажем в главе 21 «Тестирование системы»; но есть несколько важных моментов, которые следует подчеркнуть сейчас, прежде чем двигаться дальше.
- Чем больше, тем лучше. Ваша система будет более надежной, если ее протестировать на большом количестве данных. Эти данные должны включать бычьи и медвежьи рынки, а также эпизодические большие ценовые скачки.
- Слишком старых данных не бывает. Ваши правила должны адаптироваться к меняющимся условиям. Если вы думаете, что данные 20-летней давности чересчур устарели, чтобы использовать их сейчас, или же что сегодняшние данные станут устаревшими через 20 лет, то это не так.
- Несвоевременность экономических данных. Трейдеры реагируют на выпуск экономических данных, даже если те отражают средние показатели за прошлый месяц или являются корректировками ранее выпущенных данных. В большинстве стран кроме США и Европы данные часто публикуются с большой задержкой и не всегда точны. Будьте осторожны: постарайтесь не создавать чрезмерной зависимости от экономических данных.
- Данные в пределах и за пределами выборки. При разработке системы часть имеющихся у вас данных необходимо оставить вне используемой выборки, чтобы затем протестировать на них полученный результат. Это даст вам возможность впервые проверить свою идею на новых данных.
Простые методы измерения ошибки
Если вы используете небольшой объем данных, результаты будут ненадежны. Опросы в финансовых новостях показывают точность ± 5%. Нам хотелось бы большей точности. Существует две простые меры ошибки — ошибка выборки и стандартная ошибка.
Ошибка выборки
При любых расчетах необходимо иметь достаточно данных, чтобы получить точный результат. Процесс проверки адекватности данных называется тестированием значимости. Точность увеличивается, когда количество данных становится больше, а величина ошибки выборки становится пропорционально меньше:
При использовании только одной единицы данных ошибка выборки составляет 100%; при четырех единицах ошибка составляет 50%. Размер ошибки важен для надежности любой торговой системы. Если в системе проведено только четыре сделки, неважно, прибыльных или убыточных, очень трудно сделать сколько-нибудь надежные выводы о будущих результатах. Должно накопиться достаточное количество сделок, чтобы можно было с уверенностью говорить о небольшом коэффициенте ошибки. Чтобы уменьшить ошибку до 5%, нужно провести 400 сделок. Это представляет проблему для очень медленных методов следования за трендом, где может совершаться лишь две-три сделки в год. Чтобы компенсировать это, можно применить идентичный метод на нескольких рынках и использовать все проведенные на них сделки вместе.
Стандартная ошибка
Стандартная ошибка (standard error — SE) отражает дисперсию, что позволяет оценить ошибку, связанную с распределением данных, на основе нескольких выборок данных. В этом тесте определяется, как средние значения каждой выборки отличаются от среднего значения всей совокупности данных, т.е. речь идет об однородности данных.
где
Var — дисперсия средних значений выборок;
n — количество точек данных в средних значениях выборок.
Средние значения выборок подразумевают, что из большого объема данных делается определенное количество выборок, каждая из которых содержит n точек данных, и затем средние значения этих выборок используются для нахождения дисперсии. Конечно, большинство из вас будет использовать среднее значение для всей совокупности данных, а не для многократных выборок. Но любая мера доверия лучше, чем ничего.
О средних значениях
Закон больших чисел
Начнем с начала, с закона больших чисел. Этот принцип часто понимается неправильно. На закон больших чисел чаще всего ошибочно ссылаются, когда ожидают, что ненормально продолжительная последовательность убытков компенсируется равным периодом прибыли. Этот же закон лежит в основе неверного предположения, что рынок, который в настоящее время переоценен или перекуплен, затем должен стать недооцененным или перепроданным. Закон больших чисел говорит совершенно не об этом. Он означает, что в большой выборке большинство событий рассеивается близко к среднему значению таким образом, что типичные значения существенно превосходят нетипичные, делая их незначимыми.
Этот принцип проиллюстрирован на рис. 2.1, где число средних величин чрезвычайно велико, поэтому добавление небольшой аномальной группировки с одной стороны средней группы почти нормальных данных не нарушает равновесия. Это все равно что влияние единственного пассажира на аэробус. Вес одного человека не имеет значения для самолета и ни на что не влияет, даже когда человек перемещается по салону. Длительная череда прибылей, убытков или необычно продолжительное движение цен в одном направлении — это просто редкое, аномальное событие, которое со временем сглаживается подавляюще большим количеством нормальных событий. Дальнейшее описание этой проблемы и ее влияния на торговлю приведено в главе 22 в разделе «Методы азартной игры — теория выбросов».
Рис. 2.1. Закон больших чисел. Нормальные события значительно превосходят аномальные. Для создания равновесия нет необходимости в чередовании экстремальных событий — максимум-минимум и т.д.
Как использовать средние значения
В работе с числами нередко бывает необходимо использовать репрезентативные значения. Иногда можно достичь гораздо лучшего понимания, если превратить набор отдельных цен в общую характеристику — среднее значение некоего диапазона цен. Например, средняя розничная цена одного фунта кофе на Северо-Востоке более значима при расчете стоимости жизни, чем цена в любом отдельно взятом магазине. Однако не все данные можно комбинировать или усреднять без потери смысла. Среднее всех цен, взятых за один день, ничего не скажет ни о каком отдельном рынке, который является частью среднего значения. Усредняя цены несвязанных вещей, например пачки кукурузных хлопьев, нормо-часа в авторемонтной мастерской и немецкого индекса DAX, мы получим число весьма сомнительной ценности. Среднее группы чисел должно иметь какой-то полезный смысл.
Среднее может запутать и по-другому. Рассмотрим цены на кофе, выросшие в течение года с $0,40 до $2,00 за фунт. Средняя цена этого продукта составляет $1,20, однако она не учитывает время, в течение которого кофе продавался по разным ценам. В табл. 2.1 рост цены на кофе разделен на четыре равных интервала. Как видно, время, проведенное на каждом из этих уровней, обратно пропорционально росту цен. Иными словами, цены находились на более низких уровнях в течение более длительных, а на более высоких — в течение более коротких периодов, что совершенно нормально для поведения цены.
Если учесть время, проведенное на каждом уровне цены, становится видно, что средняя цена должна быть ниже $1,20. Правильную среднюю цену можно рассчитать, при условии, что известно количество дней в каждом интервале, используя средневзвешенное значение цены
и соответствующий интервал
Этот результат может изменяться в зависимости от количества используемых временных интервалов, однако он дает лучшее представление о правильной средней цене. Существуют две другие средние величины, для которых время является важным элементом, — это среднее геометрическое и среднее гармоническое.
Таблица 2.1. Взвешивание среднего значения
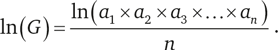
Среднее геометрическое
Среднее геометрическое представляет функцию роста, в которой изменение цены от 50 до 100 столь же важно, как и изменение от 100 до 200. Его следует использовать с процентными величинами, а не с сырыми ценами. Если существует n цен, a1, a2, a3… an, то геометрическим средним является n корень из произведения n цен
G = (a1×a2×a3×…×an)1/n
или в Excel:
product(a1, a2, a3,…, an)^(1/n)
Чтобы решить это математически, нужно преобразовать приведенное выше уравнение в любую из двух форм:
или
Эти два решения эквивалентны. Член ln является натуральным логарифмом. (Обратите внимание, что в Excel для расчета натурального логарифма используется функция LOG). Используя уровни цен из табл. 2.1, записываем
Игнорируя временные интервалы, подставляем в первое уравнение:
Следовательно:
ln(G) = 4,6462,
G = 104,19.
Если среднее арифметическое, взвешенное по времени, составляет 105,71, то среднее геометрическое дает 104,19.
Среднее геометрическое имеет преимущества применительно к экономике и ценам. Классический пример — сравнение десятикратного повышения цены со 100 до 1000 с падением до одной десятой со 100 до 10. Среднее арифметическое двух величин (10 и 1000) равно 505, а среднее геометрическое дает
G = (10×1000)1/2 = 100
и показывает относительное распределение цен как функцию сопоставимого роста. Благодаря этому свойству геометрическое среднее лучше подходит для усреднения коэффициентов, которые могут представляться как в виде дроби, так и процента.
Среднее квадратичное
Среднее квадратичное чаще всего используется для оценки погрешности. Оно рассчитывается следующим образом:
Среднее квадратичное представляет собой квадратный корень из среднего арифметического квадратов величин. Лучше всего оно известно как основа для расчета стандартного отклонения. Мы поговорим об этом далее в этой главе в разделе «Моменты распределения».
Среднее гармоническое
Среднее гармоническое — еще одно взвешенное по времени среднее, но оно не тяготеет к более высоким или более низким величинам, как среднее геометрическое. В качестве простого примера рассмотрим среднюю скорость автомобиля, проезжающего 4 мили со скоростью 20 миль в час, а затем 4 мили со скоростью 30 миль в час. Среднее арифметическое дало бы 25 миль в час, без учета того, что 12 минут машина ехала со скоростью 20 миль в час, а 8 минут — 30 миль в час. Средневзвешенное значение составило бы
Среднее гармоническое рассчитывается как
что можно также выразить как
Для двух-трех значений можно использовать более простую форму:
Это позволяет видеть некоторую закономерность в решении. При скоростях 20 и 30 миль в час решение представляется как
что аналогично средневзвешенному значению. Возьмем еще раз первоначальное множество чисел и рассчитаем для него среднее гармоническое:
Мы могли бы применить среднее гармоническое к колебаниям цен, где первое колебание равно 20 пунктам за 12 дней, а второе колебание составляет 30 пунктов за 8 дней.
Отношение между средними значениями
Показатели центральной тенденции из предыдущего раздела используются для описания формы и экстремумов движения цены. Их также можно описать с помощью распределения плотности, о чем мы поговорим в следующем разделе. Общее отношение между тремя основными средними значениями, когда распределение не идеально симметрично, следующее:
Распределение цен
Измерение распределения дает общее представление о том, чего ожидать. Мы не можем знать, какой будет цена S&P через год, но если текущая цена равна 2400, то мы можем утверждать с высокой уверенностью, что она будет находиться между 2100 и 2700, и с меньшей уверенностью, что она ограничится коридором между 2300 и 2500; нет практически никакого шанса угадать диапазон точно. Нижеследующие методы измерения распределения позволят вам определять вероятность (т.е. доверительный уровень) наступления события.
Во всех статистических примерах, включенных в эту книгу, мы будем использовать в качестве выборочных данных ограниченное количество цен и — в некоторых случаях — отдельные торговые прибыли и убытки. Мы будем измерять характеристики выборки, находить форму распределения, оценивать, как результаты малой выборки соотносятся с большой и насколько две выборки подобны друг другу. Все эти измерения показывают, что малые выборки менее надежны, но их можно использовать, если вы понимаете величину ошибки или различие в форме распределения по сравнению с ожидаемым распределением большой выборки.
Плотность распределения
Плотность распределения (называемая также гистограммой) может давать хорошую картину характеристик данных. Теоретически мы ожидаем, что цены на биржевые товары будут больше времени находиться на низких уровнях, повышаясь лишь ненадолго. Эта модель показана на рис. 2.2 (цены на пшеницу с 1978 по 2017 г.). Чаще всего цена находится там, где спрос и предложение сбалансированы, это называется равновесием. Когда предложение недостаточно или возникает неожиданный спрос, цена на короткое время повышается, пока или спрос не удовлетворится, или предложение не увеличится до уровня спроса. Несмотря на краткосрочность, скачок цен может быть значительным и дать «толстый хвост» вытянутого вправо распределения, как показано на рис. 2.3. Обычно слева есть небольшой хвост, когда в течение периодов высокого предложения цены иногда опускаются ниже себестоимости.
Рис. 2.2. Цены на пшеницу, 1978–2017 гг.
Чтобы рассчитать распределение плотности, разделим диапазон цен на 20 сегментов.
- Возьмем самое высокое и самое низкое значение за рассматриваемый период и разделим разность на 19, чтобы получить размер одного сегмента.
- Затем, начиная с самой низкой цены, прибавляем размер сегмента, чтобы получить второе значение, прибавляем размер сегмента ко второму значению, чтобы получить третье значение, и т.д.
- В конце концов мы получаем 20 сегментов от самой низкой до самой высокой цены.
Excel избавляет нас от необходимости вести дальнейшие расчеты вручную. Для этого вам нужно подключить надстройку Данные / Пакет анализа, включая Гистограмму. Чтобы выполнить анализ, следуйте плану.
- Импортируйте цены закрытия интересующего вас рынка.
- Создайте набор сегментов (карманов) на основе диапазона данных. В нашем случае это цены на пшеницу от 200 до 1300 (выраженные в центах). Создайте столбец, который начинается с нуля и возрастает до 1300 с шагом в 50.
- Теперь пройдите в раздел Данные / Пакет анализа и откройте окно Гистограмма.
- Входной интервал — это цены закрытия.
- Интервал карманов — это созданный нами столбец значений от 0 до 1300.
- Для вывода результатов укажите Новый рабочий лист.
- Нажмите на OK.
Программа заполнит все сегменты (карманы) и графически представит результаты, как показано на рис. 2.3.
Рис. 2.3. Распределение плотности цен на пшеницу, демонстрирующее хвост справа
Распределение плотности показывает, что цена чаще всего попадала в диапазон между $4,00 и $4,50 за бушель. Справа хвост растянут до $12 за бушель, что соответствует толстому хвосту. При нормальном распределении цены не превышали бы $6. Отсутствие ценовых данных ниже $2,00 объясняется тем, что фермеры отказываются продавать ниже порога себестоимости себе в убыток. Цены на пшеницу также можно рассматривать с учетом инфляции или изменения курса доллара США, о чем мы поговорим в конце этой главы.
Распределение цен на другие физические товары, включая сельскохозяйственную продукцию, металлы и энергию, будет похоже на распределение цен для пшеницы. Они будут смещены влево (больше случаев более низких цен) и иметь длинный хвост из более высоких цен, растянутый вправо. Многие товары сезонные, что позволяет им каждый год «начинать с начала». Финансовые рынки совершенно другие по своей природе, и многие из них продолжают все время расти. Цены на валюту могут колебаться на 25% и более, но могут двинуться в любую сторону, если экономика США или другой страны претерпевает структурные изменения.
При наблюдении за более короткими ценовыми периодами для отслеживания трендов или переходов можно использовать удлиненные модели. Подробнее об этом смотрите в главе 18, особенно в разделах «Важность формы распределения» и «Рыночный профиль Стидлмайера».
Медиана и мода
Для определения параметров распределения часто используются еще два измерения — медиана и мода. Медиана, или «середина», полезна для нахождения «центра» данных — если данные упорядочены, это то значение, которое находится в середине. Медиана зачастую является лучшим показателем, чем среднее, так как позволяет исключить влияние экстремумов, которые могут искажать среднее арифметическое. Недостатком ее является то, что для нахождения средней точки нужно упорядочить все данные, а также ее бесполезно использовать при небольшом количестве данных.
Мода — это наиболее часто встречающееся значение. На рис. 2.3 модой является самый высокий столбик плотности распределения в сегменте 400.
При нормальном распределении ценового ряда мода, среднее и медиана равны, однако чем больше нарушается симметрия данных, тем дальше расходятся эти параметры. Их взаимоотношение выглядит следующим образом:
Среднее → Медиана → Мода
Нормальное распределение обычно называют колоколообразной кривой, где значения располагаются поровну с обеих сторон от среднего. В большинстве случаев при работе с ценовыми данными и результатами торговли распределение смещается вправо (имеет положительную асимметрию с хвостом вправо) и сглаживается или обрезается слева (в направлении более низких цен или торговых убытков), как мы видим на рис. 2.3. Если бы вам потребовалось построить график распределения торговых прибылей и убытков для системы следования за трендом с фиксированным стоп-лоссом, вы получили бы прибыли, варьирующие от нуля до очень больших величин, а вот убытки были бы теоретически ограничены размером стоп-лосса. На самом деле, этот график выглядел бы очень похоже на диаграмму распределения цен на пшеницу. Асимметричные распределения будут важны, когда позднее в этой главе мы займемся измерением вероятности. В торговой среде «нормальных» распределений, которые статистики также иногда называют гауссовскими, не бывает.
Краткий обзор основных методов усреднения
Каждый метод усреднения обладает своим уникальным смыслом и полезностью. Ниже вкратце обобщаются их основные характеристики.
На среднее арифметическое одинаково влияет каждый элемент данных, но оно чувствительно к экстремумам больше, чем другие методы.
Среднее геометрическое наиболее важно при использовании данных, представляющих процентные величины, коэффициенты или темпы изменения. Его нельзя использовать с отрицательными числами.
Среднее гармоническое лучше всего применимо к временным изменениям и, наряду со средним геометрическим, используется в экономике для анализа цен. Оно рассчитывается труднее и потому менее популярно, чем любое другое среднее.
Мода — это самое распространенное значение, определяемое только плотностью распределения. Это точка наибольшей концентрации, она указывает типичное значение в разумно большой выборке.
Медиана представляет собой срединное значение. Она наиболее полезна, когда необходимо найти центр неполного множества. Она нечувствительна к экстремальным колебаниям, и ее просто найти, но для этого требуется упорядочение данных, что может замедлить вычисление.
Моменты распределения: среднее, дисперсия, асимметрия и эксцесс
Сомнение заставляет испытывать неудобство, но уверенность делает человека смешным.
Моменты распределения описывают форму распределения точек данных, т.е. их расположение вокруг среднего. Существует четыре таких момента: среднее, дисперсия, асимметрия и эксцесс.
- Среднее — это центр, или среднее значение, вокруг которого расположены другие точки данных.
- Дисперсия — это удаленность отдельных точек от среднего.
- Асимметрия — это смещение распределения влево или вправо относительно среднего.
- Эксцесс — островершинность распределения.
Поскольку о среднем мы уже говорили, начнем со второго момента. В последующих расчетах мы будем использовать букву
Дисперсия (второй момент) и стандартное отклонение
Дисперсия (Var) очень похожа на среднее отклонение (mean deviation — MD), которое не возводит разности в квадрат и является лучшей оценкой дисперсии. Она рассчитывается как:
Обратите внимание на то, что дисперсия равна квадрату стандартного отклонения, var = s2 = σ2, это один из наиболее распространенных статистических показателей. В Excel дисперсия записывается как функция дисп, а в TradeStation как variance(series, n).
Стандартное отклонение (s), обозначаемое чаще всего буквой σ (сигма), является особой формой измерения среднего отклонения от среднего, в которой используется среднеквадратичное отклонение
где разности между отдельными ценами и средней ценой возводятся в квадрат, чтобы повысить значимость экстремумов, а затем результат приводится в норму путем извлечения квадратного корня. Этот популярный показатель, часто используемый в настоящей книге, определяется в Excel с помощью функции СТАНДОТКЛОН, а в TradeStation — функции StdDev(price, n), где n — количество цен.
Стандартное отклонение является самым популярным измерителем дисперсии данных наряду с волатильностью, или риском. В идеально нормальном множестве данных одно стандартное отклонение от среднего представляет совокупность приблизительно 68% данных, два стандартных отклонения от среднего включают 95,5% всех данных, а три стандартных отклонения охватывают 99,7%, т.е. почти все данные. И хотя гарантировать включение всех данных невозможно, в случае нормального распределения можно исходить из того, что 3,5 стандартных отклонения включают 100% данных. На рис. 2.4 показаны эти группировки стандартного отклонения.
Рис. 2.4. Нормальное распределение и процентная область, охватываемая одним стандартным отклонением от среднего арифметического
Термин z-оценка, или стандартизированная оценка, показывает количество стандартных отклонений от среднего значения для конкретной точки данных. Например, если точка данных имеет z-оценку 2,0, это означает, что она находится в двух стандартных отклонениях от среднего.
Асимметрия (третий момент)
В большинстве случаев, однако, ценовые данные имеют ненормальное распределение. У физических биржевых товаров, таких как золото, зерновые, энергоносители и даже процентные ставки (выраженные как доходность), цены находятся больше времени на низких уровнях и намного меньше времени на максимумах. Возьмем, например, цену на золото. Она достигала максимума в $800 за унцию в январе 1980 г. и затем в $1895 в сентябре 2011 г. (см. рис. 2.5). После пика 1980 г. цена упала и оставалась в диапазоне $250–400 за унцию в течение большей части следующих 20 лет. Если взять данные за этот период, то средняя цена для него составляет $325, а одно стандартное отклонение равно $140. При нормальном распределении два стандартных отклонения дали бы нам попадание 95% данных между $45 и $605, что далеко от реальности. Если использовать данные за весь период 1978–2017 гг., то получим среднюю цену в $607 и стандартное отклонение в $408. В этом случае два стандартных отклонения дали бы нам диапазон от –$391 до $1423, что также не соответствует действительности.
Распределение плотности (рис. 2.6) показывает два узла, один с ценами на уровне $400, и еще одну область с ценами на уровне $1300. В обоих случаях справа есть длинный хвост, что говорит о наличии асимметрии (рис. 2.7). Асимметрия отражает величину отклонения от симметричного распределения, заставляющего кривую выглядеть короче слева (в направлении более низких цен) и длиннее справа (в направлении более высоких цен). Удлиненную сторону называют хвостом, и если более длинный хвост находится справа, то говорят о положительной асимметрии. В случае отрицательной асимметрии хвост находится слева.
Асимметрия рассчитывается по формуле:
Рис. 2.5. Наличные цены на золото
Рис. 2.6. Распределение плотности цен на золото
Рис. 2.7. Асимметрия. Почти все распределения цен имеют положительную асимметрию с более длинным хвостом справа, где цены выше
Асимметрия с точки зрения среднего, медианы и моды
При абсолютно нормальном распределении среднее, медиана и мода совпадают. Когда цены демонстрируют положительную асимметрию, что типично для периода более высоких цен, среднее перемещается вправо дальше всего, мода — меньше всего, а медиана оказывается где-то посередине между ними. Хорошее представление об асимметрии дает разность между средним и модой. Разность скорректирована с учетом дисперсии в виде стандартного отклонения распределения:
В умеренно асимметричном распределении расстояние между средним и модой оказывается в три раза больше разности между средним и медианой. Эту взаимосвязь можно также записать следующим образом:
Асимметрия в распределениях на различных относительных уровнях цен
Поскольку минимальные уровни цен большинства биржевых товаров определяются себестоимостью производства, распределения цен демонстрируют явное сопротивление падению ниже этих порогов. Это способствует возникновению положительной асимметрии на рынках соответствующих товаров. Для краткосрочных периодов, когда цены находятся на необычно высоких уровнях вследствие дисбаланса спроса и предложения, а не структурных изменений, характерны волатильность и неустойчивость. Отрицательная асимметрия, возникшая из-за них, может иметь тяжелый верх и создавать область, где дальнейшее повышение цен кажется невозможным. Между очень высокими и очень низкими уровнями цен мы можем найти плотность распределения, которая выглядит нормальной. На рис. 2.8 показано изменение в распределении цен в течение, скажем, 20 дней, когда цены резко идут вверх. Среднее показывает центры распределения по мере того, как оно изменяется, сдвигаясь от положительной к отрицательной асимметрии. Этот пример показывает, что нормальное распределение не подходит для всех случаев анализа цен и что логарифмическое, экспоненциальное или степенное распределение подходит лучше всего для долгосрочного анализа.
Рис. 2.8. Изменение распределения на различных уровнях цен. A, B и C — последовательно увеличивающиеся средние значения трех краткосрочных распределений. Они показывают, как распределение изменяется, сдвигаясь от положительной к отрицательной асимметрии
Эксцесс (четвертый момент)
Четвертый момент, эксцесс, описывает заостренность или сглаженность распределения, как показано на рис. 2.9. Этот измеритель хорош для беспристрастной оценки того, формируют ли цены тренд или движутся в боковике. Если вы видите, что цены равномерно повышаются, распределение будет более плоским и охватит более широкий диапазон. Это называется отрицательным эксцессом. Если цены движутся в определенном диапазоне, образуется скопление вокруг среднего, и мы имеем положительный эксцесс. В профиле рынка Стидлмайера, описываемом в главе 18, используется концепция эксцесса с плотностью распределения, накапливаемой динамически за счет учета изменения цены в реальном времени.
Используя те же нотации, что и в третьем моменте, эксцесс можно рассчитать как
Чаще всего используется модифицированный показатель эксцесса (excess kurtosis, обозначается KE), позволяющий видеть ненормальные распределения лучше. KE = K – 3, потому что нормальная величина эксцесса равна 3.
Рис. 2.9. Эксцесс. Положительный эксцесс образуется, когда пик распределения выше нормального, что типично для бокового рынка. Отрицательный эксцесс, выглядящий как более плоское распределение, формируется, когда рынок находится в тренде
Эксцесс также полезен при анализе результатов тестирования системы. Если система прибыльна, эксцесс дневной доходности должен быть несколько больше 3. Однако эксцесс выше 7–8 может указывать на чрезмерную подгонку системы. Высокий эксцесс означает, что имеется слишком много прибыльных сделок одинакового размера, что вряд ли возможно в реальной торговле. Высокое значение эксцесса должно сразу же вызывать подозрения.
Статистические функции в Excel
Электронные таблицы существенно упрощают нам жизнь. Больше не нужно просматривать таблицы, чтобы определить местоположение точки в распределении вероятностей или вручную вводить сложные формулы. В Excel есть следующие функции.
ДИСП (список) или ДИСП.В — это дисперсия списка значений со знаменателем n. ДИСП (список) или ДИСП.Г — это вычисление дисперсии для генеральной совокупности со знаменателем n – 1.
СТАНДОТКЛОН (список) или СТАНДОТКЛОН.В — стандартное отклонение для выборки, а СТАНДОТКЛОН.Г (список) — стандартное отклонение для генеральной совокупности. В первом случае знаменатель равен n – 1, во втором n.
СКОС (список) и СКОС.Г (список) — расчет асимметрии распределения относительно среднего со знаменателями n и n – 1 соответственно.
ЭКСЦЕСС (список) — расчет эксцесса.
НОРМРАСП (Х; среднее; стандартное_откл; интегральная) — расчет вероятности, связанной со значением стандартного отклонения в распределении. X — значение, для которого строится распределение (например, 1,5); среднее — среднее списка значений; стандартное_откл — стандартное отклонение для списка значений; интегральная (ИСТИНА) — кумулятивная функция распределения. Ответ 0,933 означает, что заданное значение находится на уровне 93,3% (в крайней правой части) распределения.
СЛЧИС и СЛУЧМЕЖДУ (a, b) возвращает равномерные (равномерно распределенные) случайные числа. СЛЧИС возвращает значения от 0 до 1, а СЛУЧМЕЖДУ — равномерно распределенные значения между двумя входными числами a и b.
Чтобы найти другие статистические функции в Excel, нажмите кнопку fx (Вставка функции) на панели инструментов — откроется список функций и их описания. Все базовые функции включены во все платформы, но могут иметь другие обозначения.
Доходность фондового рынка
Если бы годовая доходность фондового рынка за последние 50 лет имела нормальное распределение (как показано на рис. 2.4), то среднее составило бы приблизительно 8%, а одно стандартное отклонение 16%. Это означает, что в любом году можно было бы ожидать доходность в 8%, но при этом существовала бы 32%-ная вероятность, что она была бы либо больше 24% (16% в правом хвосте, что определяется как среднее плюс одно стандартное отклонение), либо меньше –8% (16% в левом хвосте, что определяется как среднее минус одно стандартное отклонение). Чтобы узнать вероятность доходности в 20% и выше, сначала нужно преобразовать формулу:
Если цель равна 20%, получаем
Период времени, на протяжении которого можно достичь этой цели, совпадает с периодом данных, используемым для расчета стандартного отклонения, т.е. составляет 50 лет.
Выбор между плотностью распределения и стандартным отклонением
Плотность распределения важна, поскольку стандартное отклонение не работает в случае асимметричных распределений, наиболее характерных для большинства ценовых данных на длительных периодах времени. Мы уже видели это на примере цен на пшеницу и золото, где среднее минус два стандартных отклонения было намного ниже реалистичной минимальной цены. Плотность распределения дает более полезную картину. Если бы мы захотели, основываясь на плотности распределения, узнать цену на 10%- и 90%-ном уровнях вероятности, то нам нужно было бы рассортировать все данные от минимума до максимума. При наличии 300 точек данных 10%-ный уровень находился бы в точке 30, а 90%-ный уровень — в точке 271. Медианная цена располагалась бы в точке 151. Это показано на рис. 2.10 для цен на пшеницу.
Рис. 2.10. Отсечение 10% от каждого конца плотности распределения. Из-за высокой плотности низких цен эта зона кажется узкой, в то время как менее плотные данные в области высоких цен зрительно занимают большее пространство
Измерение сходства
Многие читатели знакомы с концепцией корреляции — основной мерой сходства. Корреляция выводится из линейной регрессии, о чем мы подробно поговорим в главе 6 в разделе «Линейная корреляция».
t-статистика и степени свободы
Когда в распределении используется меньше цен или сделок, можно ожидать, что форма кривой будет более блуждающей. Например, пик распределения может оказаться совсем немного выше, чем любой из хвостов. Чтобы измерить, насколько распределение выборки из меньшего множества близко к нормальному распределению, можно использовать t-статистику (ее также называют t-критерием Стьюдента). t-критерий рассчитывается в зависимости от степени свободы (df), которая равна n – 1, где n представляет собой размер выборки, т.е. количество цен, используемых в распределении.
Чем больше данных в выборке, тем надежнее результаты. Мы можем получить общее представление о форме распределения, взглянув на табл. 2.2, где указаны значения t, соответствующие верхним областям хвоста 0,10, 0,05, 0,025, 0,01 и 0,005. Таблица показывает, что по мере увеличения размера выборки n значение t приближается к величинам, характерным для нормальных значений стандартного отклонения в областях хвоста.
Необходимые значимые значения t можно найти с помощью Excel. Функция ТТЕСТ возвращает вероятность, связанную с тестом, а функция СТЬЮДРАСП возвращает левостороннее распределение хвоста. Другие функции, связанные с t-распределением, можно найти, набрав в строке поиска Excel запрос «T распределение». Значимые уровни здесь такие же, как и в других тестах, где 5% обычно считается значимым, а 1% (0,01) — высокозначимым.
Таблица 2.2. Значения t, соответствующие вероятности появления верхнего хвоста 0,025
Степени свободы зависят от правил и переменных в вашей стратегии. Когда вы тестируете торговую систему, бо́льшая степень свободы означает, что необходимо больше данных для валидации стратегии. Это могут быть ценовые данные или количество сделок. T-тест — самый распространенный способ узнать, достаточно ли вы сделали.
t-критерий для двух выборок
У вас может возникнуть необходимость сравнения двух периодов данных, чтобы решить, не произошло ли значительных изменений в поведении цены. Некоторые аналитики используют двухвыборочный t-критерий для устранения противоречивых данных, однако характеристики цен и экономические данные постоянно меняются в результате эволюционного процесса, и торговая система должна приспосабливаться к этим изменениям. Этот тест лучше всего применять к результатам торговли, когда нужно понять, насколько устойчиво работает стратегия.
где
var1 и var2 — дисперсия цен периодов 1 и 2;
n1 и n2 — количество цен в периодах 1 и 2,
а два сравниваемых периода являются взаимно исключающими.
Степени свободы df, необходимые для определения доверительных уровней, можно рассчитать, используя аппроксимацию Саттертвейта, где s — стандартное отклонение значений данных:
Используя t-критерий для определения стабильности прибылей и убытков, генерируемых торговой системой, замените элементы данных на чистую доходность каждой сделки, количество элементов данных количеством сделок и рассчитайте все остальные значения, используя торговую доходность, а не цены.
Автокорреляция
Сериальная корреляция, или автокорреляция, ищет постоянство в данных — что означает, что будущие данные можно предсказать на основе прошлых данных. Это может говорить о наличии трендов. Автокорреляцию можно легко найти, если поместить данные в столбец А электронной таблицы, а затем скопировать их в столбец B, сместив вниз на одну строку. Затем определяется корреляция столбцов A и B. Дополнительные корреляции можно рассчитать, смещая столбец B вниз на 2, 3 или 4 строки. Так можно обнаружить существование цикла.
Формальным способом нахождения автокорреляции является использование критерия Дарбина — Уотсона, позволяющего получить d-статистику. Этот подход измеряет изменение остатков (e), т.е. разность между N точек данных и их средним значением.
Величина d всегда находится между 0 и 4. Если d = 2, никакой автокорреляции нет. Если d существенно меньше 2, существует положительная автокорреляция, однако при d ниже 1 сходство остатков превышает разумный уровень. Чем больше d превышает 2, тем более отрицательной представляется автокорреляция.
Наличие положительной автокорреляции, или сериальной корреляции, означает, что существует хороший шанс на повторение рассматриваемых событий в будущем.
Нормализация риска и доходности
Чтобы сравнивать один метод торговли с другим, необходимо нормализовать как тесты, так и параметры, используемые для оценки. Если одна система имеет совокупную доходность 50%, а другая 250%, мы не можем определить, какая из них лучше, если не знаем продолжительности тестов и волатильности доходности или риска. Если 50%-ная доходность была получена за один год, а 250%-ная доходность более чем за 10 лет, то первая лучше. В то же время, если первая доходность ассоциируется с 10%-ным риском в годовом исчислении, а вторая с 50%-ным риском, то системы эквивалентны. Соотношение доходности и риска крайне важно для результативности, о чем мы поговорим в главе 21 «Тестирование систем». А пока важно лишь запомнить, что доходность и риск следует выражать в годовом исчислении или нормализовать иным образом, чтобы сравнения имели смысл.
Расчет доходности
В простейшей форме однопериодная доходность r, или доходность за период владения, представляется как
Эта формула часто используется для расчета доходности для текущего года. Для фондового рынка, где цены меняются непрерывно, это можно записать как
где p0 — первоначальная цена, а p1 — цена после истечения одного периода. Эта формула не используется для фьючерсов, у которых данные с обратной корректировкой могут быть отрицательными. Для них есть формула:
В индустрии ценных бумаг часто предпочитают другой метод расчета с использованием натурального логарифма:
Оба метода имеют свои достоинства и недостатки. Чтобы различать эти два расчета, первый метод будем называть стандартным методом, а второй — логарифмическим методом. В этой книге по умолчанию используется первый метод, если не указано иное.
В примере, показанном в табл. 2.3 и охватывающем 22 дня, стандартная доходность находится в столбце D, а логарифмическая — в столбце E. Различия кажутся небольшими, но средние имеют значения 0,00350 и 0,00339. В этом месяце стандартная доходность оказывается больше на 3,3%, но в следующем месяце ситуация может стать обратной. Чистая стоимость активов (net asset value — NAV), активно используемая в этой книге, представляет собой совокупную доходность за период и чаще всего начинается со значения NAV0 = 100.
Таблица 2.3. Расчет доходности и чистой стоимости активов на основе дневных прибылей и убытков
Доходность в годовом исчислении
Сложные проценты — это самая могущественная сила во вселенной.
В большинстве случаев лучше всего нормализовать доходность путем ее приведения к годовому исчислению. Это особенно полезно при сравнении результатов двух тестов, когда каждый охватывает свой период времени. При приведении к годовому исчислению важно знать, что:
- к правительственным инструментам применяется годовая база, равная 360 дням (на основе 90-дневных кварталов);
- для большинства других данных, которые могут изменяться ежедневно, характерна годовая база 365 дней, включая выходные дни;
- торговую доходность лучше рассчитывать на основе 252-дневной годовой базы, это типичная продолжительность торгового года в США, в Европе чуть меньше. В этой книге используется годовая база в 252 дня.
Доходность в годовом исчислении (annualized rate of return — AROR) на основе простого процента для инвестиции в течение n дней равна
где E0 — начальный капитал или остаток на счете, En — капитал в конце периода n, а 252/n — годовая база в виде десятичной дроби. Доходность в годовом исчислении на основе сложного процента равна
Обратите внимание, что AROR или R (капитал) является значением в годовом исчислении, а r — это дневная или однопериодная доходность. Кроме того, форма представления результатов в этих двух расчетах разная. В случае простой доходности увеличение на 25% выглядит как 0,25, а в случае сложной доходности такой же прирост записывается как 1,25.
Если к однопериодной доходности применить логарифмический метод, то доходность в годовом исчислении будет равна сумме доходностей, деленной на количество лет:
Пример этого можно найти в строке AROR столбца F предыдущей таблицы. Обратите внимание на то, что при использовании логарифмического метода доходность в годовом исчислении оказывается намного ниже, чем при использовании деления и сложных процентов. В настоящей книге везде используется сложная доходность, которая подлежит раскрытию в США.
Вероятность доходности с использованием сложного процента
Вероятность достижения целевой доходности можно оценить с помощью стандартного отклонения и сложной ставки доходности. В следующем расчете [1] среднее арифметическое непрерывной доходности равно ln(1 + Rg), при этом предполагается, что доходность имеет нормальное распределение.
где z — нормализованная переменная (вероятность);
T — целевое значение, или целевая доходность;
B — начальная стоимость инвестиции;
Rg — среднее геометрическое периодической доходности;
n — количество периодов;
s — стандартное отклонение логарифмов количеств 1 плюс периодическая доходность.
Риск и волатильность
Хотя думать о доходности всегда приятно, не следует забывать об оценке риска. В связи с этим следует упомянуть о двух экстремальных рисках. Первым из них является событийный риск, который может принимать форму непредсказуемого скачка цен. Худший его вариант — катастрофический риск, приносящий непоправимый ущерб или крах. Второй риск связан с чрезмерным использованием заемных средств, или левериджа в портфеле, что приводит к краху в случае череды неудачных сделок. Риски, связанные со скачками цен и левериджем, подробно описываются в последующих главах.
Измерение нормального риска имеет важнейшее значение для сравнения результативности двух систем. Оно применимо к любому ряду доходностей, включая доходность всего портфеля, для сравнения его с ориентиром, таким как доходность S&P 500 или какого-нибудь облигационного фонда. Самым распространенным методом оценки риска является стандартное отклонение (σ) доходности (r), о чем рассказывалось в этой главе ранее. Приведение риска к годовому исчислению позволяет применять его к годовой доходности:
Риск также называют волатильностью. Когда мы говорим о целевой волатильности портфеля, то имеем в виду процент риска, представленный одним стандартным отклонением доходности в годовом исчислении. Например, в предыдущей таблице в столбце D показаны дневные доходности. Стандартное отклонение этих доходностей показано в строке «Стд. откл.» и составляет 0,01512. Это означает, что существует 68%-ная вероятность, что дневная доходность или убыточность будет меньше 1,862% и больше 1,162% (среднее ± 1 стандартное отклонение). Однако целевая волатильность всегда соотносится с годовым риском, и, чтобы преобразовать дневную доходность в годовую, мы просто умножим ее на
Бета
Бета (β) обычно используется в индустрии ценных бумаг для выражения взаимосвязи риска отдельного рынка с индексом или портфелем. Если бета равна нулю, никакой взаимосвязи нет. Если она положительна, она представляет относительную волатильность данного рынка по сравнению с индексом. А именно,
0 < β < 1 — волатильность отдельного рынка меньше, чем у индекса;
β = 1 — волатильность отдельного рынка такая же, как у индекса;
β > 1 — волатильность отдельного рынка больше, чем у индекса;
β < 0 — рынок и индекс движутся в противоположных направлениях.
Бета 1,25 означает, что волатильность данной акции на 25% больше, чем у индекса, а также то, что, если индекс вырастет на 4%, акция — на 5%.
Чтобы найти бету, надо рассчитать линейную регрессию отдельного рынка по индексу. Она равна наклону отдельного рынка, деленному на наклон индекса. Дополнительная величина альфа является свободным членом решения. Результат можно получить, используя Excel, подробное описание см. в главе 6. Общая формула беты выглядит так:
где A — отдельный рынок, а B — портфель или индекс. Надежность беты выше, когда корреляция доходностей А и В высокая.
Риск убытка
Поскольку стандартное отклонение симметрично, появление любого ряда скачков в прибыли интерпретируется как увеличение риска. Некоторые аналитики полагают, что правильнее измерять риск, ограничиваясь только случаями просадки. Использование одних только убытков называют нижними частичными моментами, где нижние означает риск снижения доходности, а частичные означает, что используется только одна сторона распределения доходности. Легче всего увидеть это на примере полудисперсии, которая измеряет дисперсию, находящуюся ниже среднего или некоторого целевого значения,
Однако чаще всего для определения риска убытков используются дневные просадки, т.е. разница между пиковой величиной капитала и его текущим значением, когда второе оказывается меньше первого. Например, если в день t капитал системы вырос до $25 000, а затем был получен дневной убыток $500, за которым последовал еще один убыток $250, у нас будет два входных значения, 500/25 000 и 750/25 000, или 0,02 и 0,03. В этом расчете используются только те прибыли, которые ниже непосредственно предшествующих им пиков. Лучшая альтернатива — рассчитать стандартное отклонение этих дневных просадок, что также позволит вам определить вероятность такой просадки.
Использование одних лишь просадок для предсказания других просадок влечет за собой проблему, которая состоит в том, что такой расчет ограничивает количество рассматриваемых случаев и отбрасывает вероятность влияния прибыли выше нормальной на повышение общего уровня риска. В ситуациях, когда количество данных в тестах ограничено, использование совокупности прибылей и убытков дает более надежные результаты.
Полное описание методов измерения результатов можно найти в главе 21 «Тестирование систем», а также в разделах главы 23 «Измерение доходности и риска» и «Индекс язвы».
Индекс
Индексы предназначены для того, чтобы обобщать индивидуальные особенности. При этом данные часто сглаживаются, чтобы извлечь из них полезную информацию. В последние годы индексы завоевали огромную популярность. Если в начале 1980-х гг. на фьючерсных рынках торговались лишь Value Line и S&P 500, то теперь существуют фьючерсные контракты на фондовые индексы, представляющие рынки любой промышленно развитой страны. Создание фондов, таких как SPDR (прозванных «спайдерами», S&P 500 ETF SPY), Diamonds (DIA, на основе промышленных индексов Dow Jones) и Qs (QQQ, на основе NASDAQ 100), дало трейдерам эффективный инструмент для инвестирования в широкий рынок вместо отдельных акций. Отраслевые секторы, такие как фармацевтика, здравоохранение и технологии, поначалу были представлены только взаимными фондами, а теперь и ETF. Все эти индексные рынки имеют дополнительное преимущество, заключающееся в том, что на них нет ограничений в виде необходимости заимствовать акции для короткой продажи или правила «плюс тик» (если его восстановят), требующего совершения коротких продаж только на росте цены.
Индексные рынки позволяют как индивидуальным, так и институциональным участникам осуществлять ряд специализированных инвестиционных стратегий. Они могут покупать и продавать широкий рынок, могут переключаться с одного сектора на другой (ротация секторов) или продавать переоцененный сектор, покупая широкий рыночный индекс (статистический арбитраж). Институты находят очень желательным, с точки зрения и затрат, и налогов, временно хеджировать свои портфели активов, продавая фьючерсы на S&P 500 вместо того, чтобы ликвидировать позиции в акциях. Они могут также хеджироваться, используя опционы на фьючерсы S&P или SPY. Индекс упрощает процесс принятия решений в торговле.
Индекс также играет важную роль как ориентир результативности. Большинство инвесторов полагает, что торговая программа привлекательна только в том случае, если ее соотношение доходности и риска лучше, чем у портфеля, состоящего на 60% из акций (представленных индексом S&P 500) и 40% из облигаций (Lehman Brothers Treasury Index). Если ваши результаты лучше, чем у индекса, значит, вы создали альфу и превзошли рынок. Термин кризисная альфа применяется по отношению к тем годам, когда значительные прибыли на фьючерсных рынках компенсируют значительные потери на фондовом рынке, как это произошло в 2008 г.
Построение индекса
Индекс представляет собой стандартизированный способ выражения движения цены в виде накопления процентных изменений. По сути, это отражает наращивание (компаундирование) доходности по сложному проценту. Большинство индексов имеет стартовое значение 10. В качестве базисного года может быть выбран любой год, но чаще всего выбирается наиболее «подходящий». В США базисным годом для производительности труда и безработицы является 1982 г., для уверенности потребителей — 1985 г., а для совокупности опережающих индикаторов — 1987 г. Ежегодник CRB Yearbook рассчитывает индекс промышленных цен (PPI) начиная с 1913 г. Например, PPI, публикуемый ежемесячно, имел в октябре 2010 г. значение 186,8, а в сентябре 2010 г. 185,1, продемонстрировав прирост на 0,9184% за месяц. Величина индекса менее 100 означает, что индекс стал меньше, чем тогда, когда началось его исчисление.
Каждое значение индекса рассчитывается на основе предыдущего значения следующим образом:
Расчет чистой стоимости актива: индексирование доходности
Последние расчеты, показанные в табл. 2.3, отражают чистую стоимость активов (NAV), рассчитанную двумя способами. По существу, это доходность, преобразованная в индекс, показывающий доходность в сложных процентах, основанную на дневных прибылях и убытках относительно начальной инвестиции. В столбце F таблицы показана чистая стоимость активов при использовании стандартной доходности, а в столбце G — при использовании логарифмической доходности.
Процесс расчета чистой стоимости активов выглядит следующим образом:
- Определите размер первоначальной инвестиции, в данном случае $100 000 (верхняя ячейка столбца C). Позднее его можно скорректировать в зависимости от целевой волатильности.
- Рассчитайте совокупную величину счета, прибавляя дневные прибыли или убытки (столбец B) к предыдущей величине счета (столбец C).
- Рассчитайте дневную доходность или (a) путем деления сегодняшнего изменения (прибыль или убыток) на вчерашнюю величину счета, чтобы получить r, или (b) путем определения натурального логарифма 1 + r.
- Если вы используете метод (a), то каждая последующая NAVt = NAVt – 1 × (1 + r), а если используете метод (b), то каждая NAVt = NAVt – 1 + ln(1 + r).
Итоговые значения чистой стоимости активов находятся в последних строках. Американское правительство требует, чтобы чистая стоимость активов рассчитывалась именно так, хотя и не указывает, должна ли доходность основываться на натуральном логарифме. Этот процесс также идентичен индексированию, когда любой ценовой ряд превращается в один индекс, отражающий доходность в процентах.
Компаундирование доходности подразумевает, что весь капитал инвестирован на протяжении всего времени. Результаты тестирования всегда представляют именно сложную доходность. Следовательно, когда вы торгуете, ваша задача — стараться быть полностью инвестированным; в противном случае ваш результат будет ниже ожидаемой сложной доходности.
Длинные и короткие индексные фонды с внешним финансированием
По мере роста популярности индексных рынков финансовый инжиниринг создает все более широкий ассортимент инновационных торговых инструментов. Взаимные фонды, такие как Rydex и ProFunds, обслуживают интересы маркеттаймеров — групп управляющих капиталом, которые продают и покупают акции фондов раз в несколько дней. Эти фонды близко следуют за крупнейшими индексными рынками, но имеют свои уникальные особенности. Существуют как длинные, так и короткие фонды, и каждый из них может торговаться с использованием левериджа (внешнего финансирования). Если вы покупаете длинный фонд, следующий за S&P 500 (в Rydex его называют Nova), то просто получаете эквивалент длинной позиции в S&P 500. Однако когда вы покупаете короткий фонд S&P, называемый Ursa, вы зарабатываете на падении индекса S&P. Кроме того, и Rydex, и ProFunds предлагают для этих фондов леверидж 1,5 или 2,0, в результате чего рост S&P 500 на 1,0% означает прибыль в 2,0% в ProFunds UltraBull S&P fund; падение S&P на 1,0% дает прибыль в 2,0% в фонде ProFunds UltraBear fund. Причина появления коротких фондов, или обратных фондов, как они еще называются, заключается в стремлении обойти установленное правительством США правило, не разрешающее пенсионным фондам короткую продажу.
Расчет для длинных фондов с внешним финансированием очень похож на расчет простого индекса, а вот расчет для коротких фондов (где вы выигрываете от понижения цен) производится в обратном порядке, хотя технически так же, как для длинных фондов. Приведенные ниже расчеты позволяют создать длинный и короткий индексы, очень похожие на те, что используются Rydex и ProFunds. Кроме того, здесь в расчет включаются дневные максимумы и минимумы индекса. Если вы хотите создать индекс S&P с левериджем, начните с наличной цены S&P. Используйте эквивалент наличного индекса для каждого из индексов взаимных фондов, которые вы собираетесь воспроизводить.
В следующих расчетах леверидж представляет собой коэффициент левериджа фонда, например 1,5. Начальными значениями индекса и для длинных, и для коротких фондов являются
Каждое последующее значение индекса для длинных фондов рассчитывается так:
Чтобы получить каждое последующее значение для коротких фондов, средний член инвертируется:
где XC, XH и XL — цены закрытия, максимума и минимума индекса с внешним финансированием; C, H и L — закрытие, максимум и минимум базовых цен или индексных значений.
Если левериджа нет, подставьте в уравнениях 1 вместо «леверидж». Обратите внимание, что в этот расчет не включены издержки; следовательно, из окончательных значений для коротких фондов необходимо вычесть стоимость краткосрочных заимствований.
Межрыночные и взвешенные индексы
Индексы очень удобно использовать в тех случаях, когда вам нужно сравнить два совершено разных рынка, которые невозможно сравнить другим образом, потому что на них торгуются разные товары. Например, если вы хотите увидеть спред между золотом и IBM, вам нужно проиндексировать каждый из этих рынков, начав с одной и той же даты. Созданные индексы будут иметь одну размерность (проценты), и их можно легко сопоставить.
Чаще всего индекс приводит несколько взаимосвязанных рынков к одному показателю. Простой совокупный индекс представляет собой отношение невзвешенных сумм рыночных цен в определенном году к аналогичным показателям тех же рынков в базисном году. К этому классу относится большинство популярных индексов, например New York Stock Exchange Composite Index. Взвешенный совокупный индекс смещает данные определенных рынков, увеличивая или уменьшая их влияние на совокупное значение. После этого индекс рассчитывается так же, как и в случае простого совокупного индекса. Когда рынки комбинируются с целью получения единого индекса, сумма всех составляющих должна равняться 1, а все веса (составляющие) выражаться в процентах.
Методы расчета основных рыночных индексов
Не все рыночные индексы рассчитываются одинаково, даже в США. Ниже приводится краткий список того, как вычисляются самые популярные рыночные индексы.
- Взвешенный по капитализации
Количество акций в обращении × цена. Также называется индексом, взвешенным по рыночной стоимости. Эта группа включает S&P 500, NASDAQ 100, Hang Seng, индекс MSCI EAFE, немецкий DAX и японский TOPIX.
- Взвешенный по цене
Среднее цены всех компонентов. Так рассчитывается промышленный индекс Dow Jones Industrials и Nikkei 225.
- Взвешенный по мировому производству
Товарный индекс Goldman Sachs (GSCI) взвешивается по объему мирового производства составляющих его товаров за последние пять лет, что означает, что чем больше доля товара в мировом производстве, тем больше его влияние на индекс.
- Торгово-взвешенный индекс
Индекс доллара США (DX на Нью-Йоркской бирже и USDX на Межконтинентальной бирже / ICE) представляет собой торгово-взвешенное среднегеометрическое значение корзины шести валют, включающей евро (57,6%), японскую иену (13,6%), британский фунт (11,9%), канадский доллар (9,1%), шведскую крону (4,2%) и швейцарский франк (3,6%).
Индекс доллара повышается, когда доллар США растет относительно других валют. В дневном расчете индекса доллара каждое изменение цены представлено в виде процента. Если, например, евро поднимается на 50 пунктов, с 1,2500 до 1,2550, это изменение пересчитывается как 1,2550/1,2500 = 0,004, а затем результат умножается на весовой коэффициент 0,576, что добавляет к индексу –0,002304 (рост евро означает падение доллара).
- Товарные индексы
В отличие от GSCI, другие товарные индексы имеют очень конкретные веса. По состоянию на 2018 г.:
Товарный индекс Блумберг (BCI) включает: энергоносители 30,57%, зерно 23,46%, промышленные металлы 17,39%, драгоценные металлы 15,29%, мягкие товары 7,22% и скот 6,07%.
Товарный индекс Блумберг (DJ-UBS) включает: энергоносители 36,69%, сельскохозяйственные товары 28,21%, промышленные металлы 16,74%, драгоценные металлы 12,62%, скот 5,74%.
Индекс Бюро исследований товарных рынков (Commodity Research Bureau Index — CRB) включает: энергоносители 39%, сельскохозяйственные товары 41%, драгоценные металлы 7% и промышленные металлы 13%.
Непрерывный равновзвешенный товарный индекс Thomson Reuters (Thomson Reuters Equal Weight Continuous Commodity Index) включает: энергоносители 18%, сельскохозяйственные товары 47%, животноводческие товары 12%, металлы 23%. Представляет собой простое среднее дневных цен 17 компонентов.
- Индекс, взвешенный по цене и объему
Цена × объем показывает влияние акции. Такой индекс отражает силу движения, а не потенциал, как взвешенный по капитализации индекс. Хотя этот метод расчета предложил Пол Дайзарт еще в 1930-х гг., популярных индексных рынков, рассчитываемых таким образом, так и не появилось.
Вероятность: краткий обзор
Расчет должен измерять неизмеримое.
Невозможно заранее знать, по какой цене данная акция будет торговаться завтра или какой эффект вызовет публикация следующего экономического отчета. Мы можем только оценить, но не точно предсказать, возможное событие на основе прошлых данных. Область исследований, имеющая дело с неопределенностью, называется теорией вероятностей. В повседневной жизни мы все оперируем вероятностями. Когда вы говорите кому-то, что «будете через 30 минут», то предполагаете, что:
- ваш автомобиль заведется;
- после этого ничего не сломается;
- у вас не будет ненужных задержек;
- вы сможете ехать на предсказуемой скорости;
- в пути зеленый свет будет загораться с нормальной частотой.
Все эти обстоятельства носят вероятностный характер, тем не менее все люди делают одинаковые предположения. По существу, обещание прибыть через 30 минут — не более чем оценка среднего времени, которое требуется для поездки. Если бы точность прибытия была более важна, то вы увеличили бы эту оценку до 40 или 45 минут, чтобы учесть неожиданные события. В статистике это называется увеличением доверительного интервала. Вы не станете растягивать срок до двух часов, потому что вероятность такой задержки слишком мала. Оценка подразумевает учет только допустимых отклонений, которые считаются нормальными.
Вероятность позволяет измерять неопределенность, окружающую среднее значение. Вероятность измеряется в процентах. Например, если предполагается, что М чисел из совокупности N будет находиться в определенном диапазоне, то вероятность P того, что какое-то число удовлетворит этим критериям, равна
Проводя сделку или предсказывая цены, мы можем говорить только о вероятностях или диапазонах. Мы можем ожидать, что цены повысятся на 30–40 пунктов или что имеется 65%-ная вероятность заработать на сделке $400. Ничто не является бесспорным, но высокая вероятность успеха очень привлекательна.
Законы вероятности
Два основных принципа вероятности легко объяснить с помощью карточных примеров. В колоде всего 52 карты, или 4 масти по 13 карт каждая. Вероятность вытащить определенную карту в любой момент равна 1/52. Точно так же шансы на вытаскивание конкретной масти или карты определенного старшинства составляют 1/4 и 1/13 соответственно. Вероятность любой из трех этих возможностей равна сумме их индивидуальных вероятностей. Это называется законом сложения вероятностей. Вероятность успеха в выборе карты по старшинству, масти или какой-то определенной карты (т.е. десятки, пиковой карты или дамы червей) равнP
Другой основной принцип — закон умножения — гласит, что вероятность одновременного или поочередного наступления двух событий равна произведению их вероятностей. Вероятность вытаскивания из одной и той же колоды тройки любой масти и любой крестовой карты в два последовательных приема (каждый раз возвращая вынутую карту в колоду) или одновременного вытаскивания одинаковых карт из двух колод равна
Суммарная и безусловная вероятность
С движением цен не все так ясно, как с колодой карт. Между последовательными событиями нередко существует взаимосвязь. Например, в течение двух любых взятых подряд дней цены могут иметь только одну из следующих последовательностей, или суммарных событий: (вверх, вверх), (вниз, вниз), (вверх, вниз), (вниз, вверх), при этом суммарные вероятности этих последовательностей равны 0,40, 0,10, 0,35 и 0,15 соответственно. В данном примере наиболее вероятно, что цены будут расти. Безусловная вероятность повышения цен в первый день показана в табл. 2.4, где видно, что существует 75%-ная вероятность повышения цен в первый день и 55%-ная вероятность повышения цен во второй день.
Таблица 2.4. Безусловная вероятность
Условная вероятность
Какова вероятность результата, «обусловленного» результатом предшествующего события? В примере с суммарной вероятностью это может быть вероятность повышения цены во второй день после снижения в первый. Формула для этой ситуации (вероятность А, обусловленная B) выглядит следующим образом:
откуда
Вероятность повышения цен в день 1 или в день 2 равна:
P(любой день) = P(вверх в день 1) + Р(вверх в день 2) – Р(вверх в день 1 и вверх в день 2) = 0,75 + 0,55 – 0,40 = 0,90.
Цепи Маркова
Если мы считаем, что сегодняшнее движение цен до некоторой степени основано на том, что случилось вчера, то получаем ситуацию, получившую название условная вероятность. Ее можно выразить как марковский процесс, или цепь Маркова. Результаты цепи Маркова выражают вероятность возникновения какого-то состояния или условия. Например, возможность наступления завтра ясного, облачного или дождливого дня можно связать с сегодняшней погодой.
Матрица переходов дает комбинации зависимых возможностей. В нашем примере с предсказанием погоды существует 70%-ная вероятность того, что за ясным днем последует еще один ясный день, 25%-ная вероятность облачного дня и только 5%-ная вероятность дождя. В табл. 2.5 каждая возможная сегодня погода указана слева, а вероятность ее изменения завтра — в столбцах справа. Сумма каждой строки равна 100%, т.е. отражает все комбинации погоды. Взаимосвязь между этими событиями можно показать в виде непрерывной сети (см. рис. 2.11).
Таблица 2.5. Матрица переходов
Рис. 2.11. Сеть вероятностей
Марковский процесс может привести сложную взаимосвязь к более простой форме. Для начала рассмотрим процесс с двумя состояниями. Если взять в качестве примера рынки, то какова вероятность роста или снижения цены после дня, закрывшегося ростом, или дня, закрывшегося снижением? Если после дня роста существует 70%-ная вероятность продолжения роста, а после дня снижения есть 55%-ная вероятность роста, то какова вероятность того, что любой день будет закрываться ростом?
Начнем с дня роста или снижения и рассчитаем вероятность движения вверх или вниз на следующий день. Это сделать легко, надо просто подсчитать количество случаев, приведенных в табл. 2.6, а, и затем разделить результат для получения процентов, как показано в табл. 2.6, б.
Таблица 2.6, а. Подсчет количества дней роста и снижения
Таблица 2.6, б. Начало матрицы переходов
Поскольку первый день может определяться или как день роста, или как день снижения, он является исключением из общего правила, и ему присваивается вес 50%. Вероятность того, каким будет второй день — днем роста или снижения, — представляет собой сумму совместных вероятностей:
P(вверх)2 = (0,50 × 0,70) + (0,50 × 0,55)= 0,625.
Вероятность того, что второй день закроется ростом, составляет 62,5%. Продолжая в том же духе, используем вероятность дня роста (0,625) и дня снижения (0,375), чтобы рассчитать вероятность движения в третий день
P(вверх)3 = (0,625 × 0,70) + (0,375 × 0,55) = 0,64375
и четвертый день
P(вверх)4 = (0,64375 × 0,70) + (0,35625 × 0,55) = 0,64656,
который, как теперь уже можно видеть, демонстрирует схождение. Чтобы обобщить вероятность появления дня роста, посмотрим, что произойдет в день i:
P(вверх)i = [P(вверх)i – 1 × 0,70] + [(1 – P(вверх)i – 1 × 0,55].
Из-за схождения вероятностей мы получаем
P(вверх)i+1 = P(вверх)i,
что можно использовать для решения уравнения
P(вверх)i = [P(вверх)i × 0,70] + [0,55 – P(вверх)i × 0,55],
что дает вероятность того, что любой день в условиях восходящего тренда закончится с ростом, равным
P(вверх)i = 0,64705.
Мы можем найти вероятность появления дня роста или снижения в условиях 5-дневного тренда, просто подставив соответствующее направление 5-дневного тренда (или n-дневного тренда) вместо направления предыдущего дня, показанного в только что приведенном примере.
Предсказание погоды — более сложный случай множественного схождения ситуаций, оно очень хорошо демонстрирует, как новые цены реагируют на старые. Подходя к задаче так же, как в случае с двумя состояниями, присвоим вероятность, равную 1/3, каждой возможной ситуации первого дня. Тогда вероятности второго дня будут равны
P(ясно)2 = (0,333 × 0,70) + (0,333 × 0,20) + (0,333 × 0,20) = 0,3663;
P(облачно)2 = (0,333 × 0,25) + (0,333 × 0,60) + (0,333 × 0,40) = 0,41625;
P(дождь)2 = (0,333 × 0,05) + (0,333 × 0,20) + (0,333 × 0,40) = 0,21645.
Затем, используя результаты второго дня, получаем вероятности третьего
P(ясно)3 = (0,3663 × 0,70) + (0,41625 × 0,20) + (0,21645 × 0,20) = 0,38295;
P(облачно)3 = (0,3663 × 0,25) + (0,41625 × 0,60) + (0,21645 × 0,40) = 0,42791;
P(дождь)3 = (0,3663 × 0,05) + (0,41625 × 0,20) + (0,21645 × 0,40) = 0,18815.
Общая форма решения этих трех уравнений выглядит так
P(ясно)i+1 = [P(ясно)i × 0,70] + [P(облачно)i × 0,20] + [P(дождь)i × 0,20];
P(облачно)i+1 = [P(ясно)i × 0,25] + [P(облачно)i × 0,60] + [P(дождь)i × 0,40];
P(дождь)i+1 = [P(ясно)i × 0,05] + [P(облачно)i × 0,20] + [P(дождь)i × 0,40],
где каждый элемент i + 1 можно установить равным соответствующему значению i. Таким образом, мы имеем три уравнения с тремя неизвестными, которые могут быть решены прямо или методом матричного умножения, как показано в приложении 2 на сопутствующем веб-сайте
P(ясно)i + P(облачно)i + P(дождь)i = 1,00.
Получаем следующие результаты
P(ясно) = 0,400;
P(облачно) = 0,425;
P(дождь) = 0,175.
Теорема Байеса
Хотя и существуют исторические обобщения исходов событий, конкретная ситуация на текущем рынке может изменять вероятности. Теорема Байеса объединяет расчеты априорной вероятности с вероятностью нового события (основанной на надежности новой информации), позволяя получить апостериорную, или исправленную, вероятность:
Предположим, что оба изменения цены, P(вверх) и P(вниз), являются априорными вероятностями, и при этом ожидается, что вероятность нового события, например отчет об уровне безработицы, внешнеторговом балансе, урожае зерновых, складских запасах или объявление ФРС процентных ставок, окажет на завтрашнее движение преобладающее влияние. Отсюда появляется формула новой вероятности P(вверх | новое событие):
где вверх и вниз являются первоначальными историческими вероятностями.
Теорема Байеса позволяет найти условную вероятность, даже если совместная и безусловная вероятности неизвестны. Новая вероятность P(вверх | новое событие) рассчитывается следующим образом:
где
P(новое событие | вверх) — вероятность того, что новое событие окажется правильным предиктором восходящего движения;
P(новое событие | вниз) — вероятность того, что цены пойдут вниз, когда новое событие покажет вверх.
Например, если имеется 80%-ная вероятность того, что снижение процентных ставок на четверть процента вызовет рост цен акций, то
P(новое событие | вверх) = 0,80, а P(новое событие | вниз) = 0,20.
Спрос и предложение
Торговые системы не всегда строятся на скользящих средних и импульсных индикаторах. Арбитраж является крупным центром прибыли для финансовых институтов. Бо́льшая часть арбитража основана на поиске разницы в ценах на схожих рынках акций или фьючерсов, соответственно есть аналитики, которые сосредоточены на определении «справедливой стоимости» товара. Это позволяет им покупать, когда текущая цена ниже справедливой стоимости, и продавать, когда она выше. Чтобы понять и построить техническую или эконометрическую модель для оценки справедливой стоимости, требуется знание основ спроса и предложения. В этом разделе мы коротко рассмотрим эти фундаментальные факторы.
Цена представляет собой точку равновесия спроса и предложения. Чтобы рассчитать будущую цену любого продукта или объяснить ее исторические модели, необходимо соотнести факторы спроса и предложения и затем учесть инфляцию, технический прогресс и другие индикаторы, обычные в эконометрическом анализе. Эти факторы кратко описываются в следующих разделах.
Спрос
Спрос на продукт снижается по мере повышения цены. Темпы снижения всегда зависят от потребности в продукте и наличия его заместителей, предлагаемых по другой цене. На рис. 2.12, a прямая D представляет нормальный спрос на продукт в течение некоторого фиксированного периода. Когда цена повышается, спрос снижается. D' представляет повышение спроса, приводящее к повышению цен на всех уровнях.
В большинстве случаев соотношение спроса и предложения выражается не прямой линией. Себестоимость продукции и минимальный спрос не позволяют кривой достичь нуля — вместо этого она приближается к минимальному уровню цен. Этот эффект виден и в более раннем примере плотности распределения цен на пшеницу на рис. 2.3, где левая сторона распределения (более низкая цена) резко снижается.
Это также видно на рис. 2.12, б, где 100 представляет себестоимость производства. Кривая спроса, таким образом, показывает скорость, с которой количественное изменение спроса вызывает изменение цены. Заметьте, что, хотя производителю невыгодна продажа ниже 100, отсутствие спроса и потребность в доходе могут заставить его продавать в убыток. Если вы трейдер, не ждите, что цены перестанут идти вниз при достижении точки, когда производитель начинает терять деньги.
На другом конце шкалы (более высокая цена) наблюдается задержка реакции на повышение цен — потребители не склонны сокращать объемы закупки даже при более высоких ценах (это называется «неэластичный спрос»). Широко известным примером неэластичного спроса является кофе — большинство кофеманов предпочитают платить рыночную цену, а не сокращать потребление.
Рис. 2.12: а) изменение спроса; б) кривая спроса с экстремумами
Эластичность спроса
Эластичность является ключевым фактором при выражении взаимосвязи между ценой и спросом — именно она определяет форму кривой. Она представляет собой относительное изменение спроса при повышении цены:
Эластичность спроса рассчитывается по формуле:
где η (греческая буква «эта») обозначает эластичность спроса, Q0 — начальное количество, а P0 — начальную цену. Мы вернемся к этой формуле в главе 21, где заменим количество объемом торговли.
Рынок, который всегда потребляет одно и то же количество продукта независимо от цены, называют неэластичным. Когда цена повышается, спрос остается неизменным, а ED уменьшается. Эластичный рынок полностью противоположен. Когда спрос увеличивается, цена остается неизменной, а ED увеличивается. На рис. 2.13 показана кривая спроса для различных уровней эластичности спроса.
Если увеличивается предложение продукта, дефицит которого существовал много лет, потребуется время, чтобы покупательские привычки потребителя изменились. Спрос при этом будет постепенно превращаться из относительно неэластичного (рис. 2.13, б) в относительно эластичный (рис. 2.13, а).
Рис. 2.13. Эластичность спроса: a) относительно эластичный; б) относительно неэластичный; в) нормальный рынок
Предложение
Как видно на рис. 2.14, а, когда цена растет, поставщик отвечает предложением большего количества продукта. Рис. 2.14, б показывает полный диапазон кривой предложения. На уровнях ниже себестоимости продукции существует номинальное предложение со стороны тех производителей, которые вынуждены продолжать работу из-за высоких фиксированных затрат и трудности восстановления производства после остановки (например, в горнодобывающей промышленности). На высоких ценовых уровнях предложение неустойчиво. Может, например, возникать краткосрочный дефицит предложения, за которым следуют новые поставки или появление заместителей, как в случае местного дефицита. Когда возникает нехватка апельсинового сока, южноамериканские страны с готовностью удовлетворяют спрос, когда где-то возникают перебои с поставками нефти, производство увеличивают другие страны ОПЕК. В большинстве случаев, однако, снижение спроса приводит к снижению цены.
Рис. 2.14. Взаимосвязь «цена — предложение»: a) смещение предложения; б) кривая предложения с экстремумами
Эластичность предложения
Эластичность предложения ES отражает взаимосвязь между изменением предложения и изменением цены:
Эластичность предложения, представляющая собой зеркальное отражение эластичности спроса, является положительным числом, поскольку цена и количество двигаются в одном направлении в одно и то же время. Существует три крайних случая эластичности предложения, показанные на рис. 2.15 [2].
- Совершенная эластичность, когда при любой данной цене предложение бесконечно.
- Совершенная неэластичность, когда может быть предложено только определенное количество и не больше.
- Единичная эластичность, которая графически отображается в виде линейной кривой предложения, исходящей из начала координат.
Рис. 2.15. Три случая эластичности предложения
Равновесие
Спрос на продукт и предложение продукта пересекаются в точке равновесия. Текущая цена любого продукта или любой ценной бумаги представляет точку равновесия для данного продукта в данный момент, по сути, отражая совокупность всей доступной информации. На рис. 2.16 показана линия спроса D (неподвижная) и линия предложения, смещающаяся вправо от S к S'.
Рис. 2.16. Равновесие при изменяющемся предложении
Линия спроса D и первоначальная линия предложения S пересекаются в точке равновесной цены P. После увеличения предложения линия предложения перемещается в положение S'. Точка равновесия P' представляет более низкую цену вследствие увеличения предложения при неизменном спросе. Поскольку и спрос, и предложение обладают переменной эластичностью и лучше всего представляются кривыми, на рынке с изменяющимися условиями точка равновесия может перемещаться в любом направлении.
Концепция равновесия играет важную роль в процессе разработки стратегий торговли. Хотя мы и не рассчитываем баланс предложения и спроса, с практической точки зрения равновесие представляет собой баланс между покупателями и продавцами — уровень цен, на котором согласны совершать сделки и те и другие. Равновесие ассоциируется с более низкой волатильностью и нередко с меньшим объемом, поскольку в этой ситуации нет необходимости в срочной покупке или продаже. А вот отсутствие равновесия в соотношении «предложение — спрос — цена» вызывает повышенную волатильность. Читателям, заинтересовавшимся практическим представлением равновесия или взаимосвязью «цена — стоимость», полезно изучить подраздел «Системы на основе распределения цен» в разделе «Рыночный профиль Стидлмайера» в главе 18.
Построение эконометрической модели
Эконометрическая модель может создаваться для объяснения или предсказания изменения цены. Большинство моделей объясняет, а не предсказывает. Объяснительные модели анализируют множества данных в совпадающем времени: иными словами, они ищут взаимосвязи между различными факторами и их влияние на цену в один и тот же момент времени. Они могут также искать причинные, или запаздывающие, отношения, в которых цены реагируют на другие факторы через один или несколько дней. Объяснительную модель можно использовать для определения нормальной цены в конкретный момент времени. Хотя это и не считается прогнозом, любое отклонение фактической рыночной цены от нормальной или ожидаемой цены может представить возможность для торговли. Это похоже на концепцию покупки недооцененных акций.
Методы создания фундаментальной и алгоритмической модели очень схожи. При аналитическом подходе заранее выбираются факторы и определяются их взаимосвязи. Затем, чтобы проверить идею, модель тестируется на данных. Есть альтернативный подход, когда модели настраиваются путем подгонки данных с использованием регрессионного анализа или какого-либо процесса массового тестирования с широким набором переменных и коэффициентов взвешивания, чтобы найти наилучшее соответствие. Эти модели, создаваемые исключительно на исторических данных, имеют очень немного шансов на успешное предсказание будущих уровней цен. Даже аналитический подход, если впоследствии применить к нему подгонку, может утратить предсказательную способность. Построение эконометрических моделей может страдать от тех же проблем, что и оптимизация, обсуждаемая в главе 21. Как мы видим на протяжении всей этой книги, здесь часто действует принцип «чем проще, тем лучше».
Факторы, составляющие модель, могут быть многочисленными и порой труднодоступными. Найти внутрирыночные отношения, где имеются доступные и своевременные данные, проще, однако с середины 1970-х гг. важной частью движения цен стали глобальные факторы, а их включить в модель гораздо сложнее. Кроме того, изменение курса доллара США и волатильность процентных ставок стали оказывать намного большее влияние на цену многих биржевых товаров, чем некоторые из «обычных» фундаментальных факторов. Компании с высоким уровнем долга могут обнаружить, что колебания цен их акций происходят больше из-за изменений процентной ставки, чем из-за увеличения или уменьшения выручки. Также необходимо учитывать и то, что эти факторы со временем могут меняться.
Фундаментальная модель
Модели, объясняющие движения цен, должны строиться на основе первичных факторов спроса и предложения. Ниже следует простой пример расчета цены на осенний картофель [3]:
P/PPI = a+ bS + cD,
где P — средняя цена, получаемая фермерами за осенний картофель;
PPI — индекс промышленных цен;
S — очевидные запасы для продажи на внутреннем рынке (производство минус экспорт и потери);
D — расчетное имеющееся количество товара для поставки;
a, b и c — константы, определенные регрессионным анализом.
Эта модель подразумевает, что потребление должно быть постоянным (т.е. спрос неэластичный), факторы спроса включены в расчет имеющегося количества для поставки только неявно. Экспорт и потери представляют небольшую часть общего производства. Использование PPI дает результаты в относительном выражении в зависимости от того, использовался ли индекс как инфлятор или дефлятор цены.
Общую модель, представленную Веймаром [4], можно записать в виде трех поведенческих уравнений и одного тождества:
Потребление
Производство
Складские запасы
Предложение запасов
где C — потребление;
P — цена;
PL — отстающая цена;
H — производство (урожай);
I — складские запасы;
P'— ожидаемая цена в некоторый момент в будущем;
e — соответствующий коэффициент ошибки.
Первые два уравнения показывают, что и спрос, и предложение зависят от текущих и/или прошлых цен, что соответствует традиционной макроэкономической теории; отсюда, производство и потребление зависят от прошлых цен. Третье уравнение, уровень запасов, дает просто сумму предыдущих складских запасов плюс вновь произведенные продукты минус текущее потребление. Последнее уравнение, предложение запасов, демонстрирует, что люди готовы держать большие складские запасы, если ожидают существенного увеличения цен. Сама функция запасов (третье уравнение) состоит из двух отдельных элементов: запасов производителей и запасов спекулянтов. Каждый реагирует на ожидаемое изменение цен по-своему.
Переменные факторы
Хотя PPI всегда использовался в прогнозировании цен как компонент инфляции, курс доллара США учитывался не всегда. Курсы валют стали иметь большее значение с середины 1970-х гг., когда многие страны отказались от золотого стандарта. Теперь курс валюты зависит от здоровья экономики, определяемого, наряду с другими факторами, объемом производства и инфляцией.
Пшеница — хороший пример для демонстрации влияния этих изменений. Даже несмотря на то, что американская пшеница торгуется в долларах, ее цена отражает ее мировую стоимость, т.е. показывает, сколько готовы заплатить за данный товар другие страны. Пшеница является взаимозаменяемым товаром; другими словами, страна, которой она нужна, купит ее у любого поставщика с самой низкой ценой с учетом конвертации валюты продавца в валюту покупателя, и это поддерживает конкурентоспособность всех цен.
Мы ограничим наш анализ влиянием на цену пшеницы только инфляции и изменений курсов валют. На рис. 2.17 приведена месячная цена наличной пшеницы, а также PPI и индекс доллара США (DX). Индекс доллара показывает относительную стоимость доллара США, т.е. снижение DX указывает на ослабление доллара США. И PPI, и DX были проиндексированы по базисному уровню 1978 г., которому было присвоено значение 100.
На рис. 2.17 видно, что PPI утраивается с 1,0 до 3,0, в то время как доллар США дешевеет почти на 60%. В то же время цены на пшеницу повышаются на 50%, со 100 до 150 (наличная цена выросла с $3,35 до $5,39). Если нас интересует только общая картина, макроэкономические факторы, а не сезонность цен, тогда повышение цен на пшеницу за этот 40-летний интервал можно полностью объяснить PPI или DX. К росту цен на пшеницу ведет как инфляция, представленная PPI, так и снижение стоимости доллара, поскольку цена на пшеницу определяется ее стоимостью на международном рынке.
Рис. 2.17. Наличные цены на пшеницу, PPI и индекс доллара США (DX), 1978 г. — июль 2018 г.
Если разделить цену пшеницы на PPI, мы получим чистую покупательную способность фермеров, которая сегодня упала на 50% по сравнению с 1978 г. Это видно на рис. 2.18. Но поскольку фермеры постоянно повышают урожайность, инфляция и ослабление доллара — единственные причины, почему цены на пшеницу не снизились на 50%.
Рис. 2.18. Цены на пшеницу, скорректированные на индекс доллара США и PPI
Если мы решим рассмотреть эффект сезонности, или спроса и предложения, т.е. факторов, которые заставляют цены на пшеницу падать на 75% от ее стоимости или повышаться на 100%, нам сначала нужно устранить влияние инфляции и изменения стоимости доллара, чтобы они не искажали результаты. Подробнее эта тема вместе с примерами будет рассмотрена в главе 10 «Сезонные и календарные закономерности».
Экономические отчеты
Экономические отчеты выпускаются почти каждый день. В зависимости от экономического состояния страны основное внимание инвесторов может переключаться с одного отчета на другой. После 2008 г. больше всего внимания привлекают данные о занятости, поскольку они лучше всего отражают успешность восстановления экономики; а также политика ФРС в отношении процентной ставки. Еще один важный показатель — валовой внутренний продукт, мера восстановления экономики. Менее важные данные касаются строительства, уверенности потребителей и различных производственных отраслей. Индекс опережающих экономических индикаторов, публикуемый Conference Board ежемесячно, представляет собой попытку предугадать направление экономики приблизительно на шесть месяцев вперед на основе:
- средней продолжительности рабочей недели на производстве;
- средненедельного количества первоначальных требований на получение пособия по безработице;
- количества новых заказов на потребительские товары и материалы;
- индекса товарных поставок — индикатора активности продаж;
- новых заказов на невоенные капитальные товары;
- разрешений на строительство новых частных жилых домов;
- цены на обыкновенные акции 500 компаний;
- денежной массы M2;
- спреда процентных ставок между 10-летними казначейскими облигациями и федеральными фондами;
- индекса ожиданий потребителей.
Большинство этих показателей кажутся разумными, но, как они взвешиваются, неизвестно. Поговаривают, что относительно большую роль в индексе играет направление фондового рынка.
Можно ли эти и другие индикаторы использовать для торговли? Как они работают — в момент выхода или же ожидания их воздействия на рынок учитываются рынком еще до фактической публикации отчета? Рынок предвосхищает показатели многих отчетов. Когда ожидается рост безработицы, на фондовом рынке, как правило, наблюдается распродажа накануне выхода отчета, а если экономисты ожидают от ФРС понижение ставки, то кривая доходности изменяется на ожиданиях еще до объявления. Таким образом, рынок приводится в движение различиями между ожиданием и фактическим отчетом и только во вторую очередь самими опубликованными цифрами. Например, если ожидается, что темпы роста ВВП увеличатся с 3,5% до 4,0%, а фактический показатель составляет 3,6%, то рынок падает. Но через некоторое время он снова начинает расти, потому что показатель 3,6% все равно говорит об ускорении роста. И хотя обычно рынок приводится в движение большими и неожиданными изменениями, совокупный эффект небольших изменений также может иметь важное значение.
Руджеро рассчитал важность некоторых из этих индикаторов, уделив основное внимание предсказанию направления доходности, которая играет ключевую роль во многих движениях цен на финансовых рынках [5].
Процентные ставки
где доходность определяется по 3-месячным казначейским векселям, а
- Если (R < 0,2 или IYO < 0), а Доходностьt > Доходностьt – 3мес, то ставки растут;
- Если (R > 0,3 или IYO > 0,5), а Доходностьt < Доходностьt – 3мес, то ставки падают.
Денежная масса
Используя месячные данные для агрегата M2 и доходность 3-месячных казначейских векселей, где m является текущим месяцем, получаем:
- Если (M2m – M2m – 1) > (M2m – M2m – 6), а Доходностьt > Доходностьt – 11мес, то ставки растут;
- Если (M2m – M2m – 1) < (M2m – M2m – 6), а Доходностьt < Доходностьt – 11мес, то ставки падают.
Настроения потребителей
Используя индекс потребительских настроений (CS) Мичиганского университета, где m является месяцем публикации, получаем:
- Если CSm > CSm – 12 и CSm > CSm – 11, а Доходностьt > Доходностьt – 4мес, то ставки растут;
- Если CSm < CSm – 12 и CSm< CSm – 11, а Доходностьt < Доходностьt – 4мес, то ставки падают.
Требования на пособие по безработице
Используя месячные данные по требованиям на пособие по безработице (UC), публикуемые в первую пятницу каждого месяца, получаем:
- Если UCm < UCm – 11 и UCm > UCm – 14, то ставки растут;
- Если UCm > UCm – 11 и UCm < UCm – 14, то ставки падают.
Общая картина направления цены очень важна, и точный прогноз может значительно улучшить результаты. Систематическое использование фундаментальных данных прекрасно сочетается с другими алгоритмическими подходами.
4. F. H. Weymar, The Dynamics of the World Cocoa Market (Cambridge: MIT Press, 1968).
3. J. D. Schwager, "A Trader's Guide to Analyzing the Potato Futures Market," 1981 Commodity Yearbook (New York: Commodity Research Bureau, 1981).
2. См. http://www.economicsonline.co.uk/Competitive_markets/Price_elasticity_of_supply.html, 20 января 2018 г.
1. Это и другие очень ясные объяснения доходности см.: Peter L. Bernstein, The Portable MBA in Investment.
5. Murray A. Ruggiero, Jr., "Fundamentals Pave Way to Predicting Interest Rates," Futures (September 1996).
Глава 3. Графический анализ
Наверное, все торговые системы начинались с графика цен, и мы возвращаемся к графику всякий раз, когда хотим получить ясное представление о том, куда идет рынок. Нигде визуальное представление не может быть более ценным, чем в прогнозировании цен. Сложные теории и громоздкие формулы могут быть в конечном счете успешными, но утрата видения ситуации легко исправляется простым графиком. Вспомним анекдот об инвесторе, который после продолжительной презентации, устроенной техническим аналитиком, смог только вымолвить: «Так куда он все-таки идет — вверх или вниз?» Даже у самых сложных рыночных стратегий на графике должны быть видны прошлые сигналы покупки и продажи. Необычный вид сделки может уберечь вас от большого несчастья и потери денег.
Вплоть до середины 1980-х гг. на технический анализ смотрели лишь как на интерпретацию графиков. В сфере акций такое восприятие до сих пор остается сильным. Большинство трейдеров начинают как технические аналитики, и многие возвращаются к этому подходу или используют его, даже если работают с другими методами. Великий трейдер и основатель компании Commodity Research Bureau Уильям Джайлер писал:
Одним из самых значимых и интригующих открытий автора в результате интенсивного исследования графиков является обнаружение у них характера, или стереотипного поведения. В целом графики одного и того же товара склонны формировать похожие модели, которые могут отличаться от моделей на графиках других товаров. Другими словами, графики конкретного товара, похоже, имеют своеобразие, или характер, специфический для этого товара. Так, графики хлопка демонстрируют много круглых вершин и впадин, и даже ряды этих образований, которые редко наблюдаются у сои и пшеницы. Изучение графиков сои за многие годы показывает, что здесь в чести треугольники. А на графиках пшеницы в изобилии встречаются фигуры «голова и плечи». Все биржевые товары, похоже, тяготеют к определенным стереотипам поведения [6].
Финансовые рынки также имеют уникальную индивидуальность. S&P традиционно формирует новые максимумы и тут же откатывается, для него характерны быстрые недолгие падения и более медленные, устойчивые подъемы. Валюты демонстрируют среднесрочные тренды, ограниченные заметными уровнями поддержки и сопротивления (результат угрозы вмешательства со стороны Центробанка), а у процентных ставок наблюдаются долгосрочные тренды.
Графический анализ остается самой популярной и практичной формой оценки движения цен. Методам интерпретации графиков посвящено множество работ. В этой главе предпринята попытка обобщить некоторые из традиционных подходов к анализу графиков и обычно ассоциируемые с ними правила торговли. Мы также показываем, что из описанного может работать и почему. А следующая глава посвящена системам, построенным на основе описываемых здесь закономерностей и предназначенным для игры на поведенческих моделях, встречающихся на графиках.
В поисках устойчивых моделей
График движения цен часто считают отражением поведения людей. Цель любого графического аналитика состоит в том, чтобы найти последовательные, надежные и логичные модели (закономерности), которые можно использовать для прогнозирования движения цен. В классических подходах к анализу графиков можно найти консолидации, каналы тренда, фигуры «вершина-и-впадина», а также множество других моделей, которые возникают под влиянием повторяющихся действий больших групп людей. Самой важной из всех графических моделей является линия тренда.
Сегодня компьютерные программы могут интерпретировать графические модели, однако лишь в одной книге, «Полной энциклопедии графических ценовых моделей» Булковски [7], представлен всесторонний анализ фигур. Надо сказать, что могут существовать совершенно разные и при этом справедливые интерпретации одного и того же графика. Чтобы идентифицировать фигуру на графике, сначала необходимо выбрать периодичность данных (например, дневной или недельный график), затем начальную дату и временной горизонт (долгосрочный или краткосрочный). Учитывая широкий диапазон вариантов, было бы удивительно, если бы любые два аналитика видели одновременно одни и те же фигуры.
Графический анализ может работать подобно самосбывающемуся пророчеству. Начинающие спекулянты, пытаясь следовать правилам, подходят к проблеме с большим энтузиазмом и нередко излишней жесткостью. Они продают на двойных и тройных вершинах, покупают на прорывах и вообще делают все, чтобы продлить существование стандартных моделей. Из-за их усердия разумно знать наиболее популярные методы, хотя бы с целью защиты. В главе 4 рассматриваются некоторые из попыток превратить эти модели в торговые системы.
Откуда берутся графические модели
У спекулянтов есть привычки, которые, помноженные на большое количество игроков, приводят к появлению распознаваемых графических моделей. Типичный экранный трейдер или инвестор, сам размещающий приказы, обычно выбирает круглые числа — например, купить Microsoft по $74,00, а не $74,15. Если речь идет не о целых долларах, то следующими наиболее вероятными шагом являются 50 центов и 25 центов, причем именно в таком порядке. По мере того как цены акций становятся выше, шаг становится все больше. Когда Berkshire Hathaway (BRK-A) торговалась по $278 000 за акцию, размещение приказов с шагом $100 казалось очень точным. В торговле фьючерсами дела обстоят так же. У индекса S&P уровень 2530,00 гораздо популярнее, чем 2529,80, а для 10-летних казначейских нот более характерен уровень 15516/32, чем 12519/32.
Говорят также, что публика всегда выходит на бычьи рынки не вовремя. Когда выходят новости об опасно низких запасах нефти, новом лекарстве от рака или засухе в кукурузном поясе, случайных спекулянтов охватывает то, что Ганн называет большой лихорадкой, порождающей последний взлет перед обвалом или заключительную активную распродажу. На графике такое поведение хорошо заметно. Ганн говорит также про потерянное движение, когда импульс проносит цены немного дальше цели. Профессиональные трейдеры понимают, что быстрая волатильная цена может перепрыгнуть цель на целых 10%. Нисходящее движение пары евро/доллар от уровня 1,3000 к уровню поддержки 1,1000 может пробить дно на 0,0100, и это не будет считаться существенным.
Поведенческие аспекты цен кажутся рациональными. На крупных бычьих рынках признаками воздействия массовой психологии является повторение ценовых моделей, не поддающихся случайному движению. Классическим источником информации по этому вопросу является книга Маккея «Наиболее распространенные заблуждения и безумства толпы» (Mackay, Extraordinary Popular Delusions and the Madness of Crowds), первоначально изданная в 1841 г. [8] В предисловии к изданию 1852 г. автор говорит:
Мы находим, что целые общины внезапно обращаются к одной цели и теряют разум в ее преследовании; что миллионы людей одновременно попадают во власть одного заблуждения…
В 1975 г. сахар продавался в супермаркетах по самой высокой за всю историю цене, 50 центов за фунт. Публика так боялась, что сахара не хватит, что скупала и держала все, что только можно. Этот экстремальный случай массового спроса совпал с ценовым пиком, и вскоре люди обнаружили, что являются обладателями огромных запасов дорого сахара.
Мировые фондовые рынки часто становятся ареной проявления массовой психологии. Американские трейдеры издалека наблюдали за обвалом японского фондового рынка с максимума 38 957, достигнутого в конце декабря 1989 г., до минимума 7750 в 2003 г. Падение составило 80%. А затем им пришлось самим пережить «пузырь Южных морей», когда NASDAQ 100 упал на 83,5% с максимума 4816 (март 2000 г.) до 795 (октябрь 2002 г.). И хотя потребовались годы на то, чтобы назрел кризис низкокачественных кредитов, беспрецедентное одновременное падение стоимости почти всех инвестиций (сентябрь 2008 г.) было явным следствием паники инвесторов.
Графический анализ — очень обширная тема. Чтобы сгладить движение цены, можно построить стандартный столбиковый (или линейчатый) график, показывающий максимумы и минимумы для дневных, недельных или месячных интервалов. Столбиковые графики строятся в полулогарифмических и экспоненциальных координатах [9], где более значительная волатильность на более высоких уровнях цен приводится в соответствие с более спокойным движением в низких диапазонах за счет использования процентных изменений. Каждая вариация дает графическому аналитику несколько иное представление о движении цены. Соотношение сторон графиков (высота/ширина) влияет на интерпретации, основанные на углах. Стандартные методы анализа графиков могут включать построение линий тренда под углами 45° или 30°. Расширение или сжатие графиков на экране изменяет углы. Возможно, вас беспокоит тот факт, что принципы и правила интерпретации графиков основаны на поведении фондового рынка в весьма далеком прошлом и опираются на индикаторы (усредненные показатели) вместо отдельных акций или фьючерсных контрактов. Но Эдвардс и Маги пришли к заключению, что «любой товар, чья рыночная стоимость определяется исключительно свободным взаимодействием спроса и предложения», формирует одинаковое графическое представление. Они утверждали, что цели и психология спекулянтов на рынках ценных бумаг и фьючерсов по существу одинаковые и что введенное в послевоенные годы регулирование привело к появлению «более организованного» рынка, на котором могут использоваться привычные методы графического анализа [10].
Откуда берутся сильные движения цен и тренды
Цены могут двигаться вверх в течение многих месяцев и даже лет, создавая бычий рынок. Они могут также идти вниз, создавая медвежий рынок. Хотя движения цены бывают совсем короткими (несколько минут) или растягиваются на десятилетия (как в случае процентных ставок и золота), самое важное здесь, как каждый графический аналитик определяет понятие «тренд». Идентифицированный ценовой тренд влияет на принятие торговых решений и в конечном счете определяет разницу между успехом и неудачей. Долгосрочное направление движения цен зависит от четырех главных факторов:
- Правительственная политика. Когда экономическая политика ставит своей целью достижение темпа роста 4%, а текущий темп роста составляет 1%, Федеральная резервная система (ФРС или любой центральный банк) снижает процентные ставки, чтобы поощрить рост. Снижение ставок стимулирует деловую активность. ФРС повышает процентные ставки и подавляет деловую активность, чтобы сдерживать инфляцию. Изменение процентных ставок оказывает глубокое влияние на потоки инвестиций между странами, на международную торговлю, на курсы валют и на деловую активность.
- Международная торговля. Когда США импортируют товары, они платят за них долларами. Это все равно что продавать доллары. Это ослабляет валюту. Страна, которая постоянно импортирует больше, чем экспортирует, увеличивает свой внешнеторговый дефицит и ослабляет валюту. Страна, которая наращивает экспорт, укрепляет свою валюту и экономику.
- Спрос и предложение. Дефицит или ожидаемый дефицит любого продукта вызывает рост его цены. Избыток продукта приводит к снижению цен. Эти тенденции формируются, когда публика узнает о ситуации из новостей. Невосполнимый дефицит продукта может оказывать длительное воздействие на его цену, хотя скачок к более высокой цене может происходить быстро.
- Ожидания. Если инвесторы думают, что цены акций повысятся, они покупают, заставляя цены расти. Ожидания могут вести к восстановлению экономики, даже если статистических данных, поддерживающих восстановление, нет. Уверенность потребителей — хороший индикатор, показывающий, насколько публика склонна тратить деньги. Экономика активна, когда уверенность потребителей находится на высоком уровне. Исчезновение уверенности потребителей после краха рынка низкокачественных кредитов в 2008 г. подавило всю деловую активность и задержало восстановление на много лет.
Столбиковый график и его интерпретация Чарльзом Доу
Столбиковый график, который также называют линейчатым графиком, приобрел известность благодаря теориям Чарльза Доу, который представлял их в передовых статьях Wall Street Journal. Впервые Доу сформулировал свои идеи в 1897 г., когда создал индексы ценных бумаг в поисках более надежного инструмента для измерения движения цен групп акций. После смерти Доу в 1902 г. Уильям Гамильтон продолжил развитие его работ и превратил их в теорию, которая нам известна сегодня. Сегодняшним инвесторам может быть интересно узнать, как эволюционировало признание графического анализа. В 1920-е гг. одна нью-йоркская газета писала:
Один ведущий банкир осуждает рост использования графиков профессиональными фондовыми трейдерами и представителями клиентов, которые, по его словам, вызывают необоснованные падения рынка простой механической интерпретацией бессмысленного множества линий. Невозможно, утверждает он, угадать что-либо, нанося на бумагу цены, фактически основанные на спросе и предложении; но, добавляет он, если слишком много людей играют с одинаковыми графиками, они могут создавать весьма несбалансированный спрос и предложение, которые нарушают рыночные тренды. По его мнению, графики следует конфисковать, сложить на перекрестке Бродвея и Уолл-стрит и сжечь под громкие радостные крики [11].
Такое отношение удивительно похоже на отзывы о программной торговле после падения фондового рынка в октябре 1987 г., когда в ней видели причину краха. В 2011 г. у нас снова появились высказывания о том, что высокочастотная торговля «манипулирует» рынками, а в Европе даже временно запретили короткую продажу, чтобы сдержать волатильность на рынках фондовых индексов. Волатильность так и осталась высокой, зато упала ликвидность. Это политика, а не логика.
Графический анализ стал неотъемлемой частью торговли. Самые ранние авторитетные работы по анализу графиков давно превратились в букинистические раритеты, но весь существенный материал перекочевал в новые публикации. Если, однако, вам удастся, прочитайте оригинальный труд «Теория Доу» Роберта Рея (Robert Rhea, Dow Theory) [12], а еще лучше, проштудируйте выдающуюся работу Ричарда Шабакера «Теория и практика фондового рынка» (Richard W. Schabacker, Stock Market Theory and Practice), которая, по всей видимости, послужила основой для большинства последующих работ об использовании фондового рынка для инвестирования или спекуляции. Другие рекомендуемые к прочтению книги были перечислены в главе 1 в разделе «Вспомогательный материал».
Автоматизация пришла и в графический анализ, включая теорию Доу. Эти программы постоянно улучшаются, и если вас интересует эта тема, полезный материал можно найти в интернете по запросу «софт по теории Доу».
Теория Доу
Теория Доу [13] до сих пор является фундаментом для интерпретации графиков и применяется ко многим инвестиционным инструментам. В определенной мере она представляет собой психологию инвесторов, подкрепленную графическим анализом. Когда вы слышите, что «рынок вошел на медвежью территорию», имеется в виду, что индекс Доу — Джонса снизился на 20% от максимумов. Впечатляет то, что эта теория выдержала испытание временем, просуществовав более 100 лет. Чарльз Доу первым создал индекс однотипных акций — промышленных предприятий и железных дорог, хотя сегодняшние компоненты очень сильно отличаются от того, что было в 1897 г. Предназначение индекса состояло в сглаживании случайных движений цен, вызванных менее активными акциями. Это сделало ценовые фигуры более надежными.
Работу Доу можно разделить на две части: теория движения цен и метод применения этой теории. Доу установил, что фондовый рынок движется подобно океану, совершая колебания, состоящие из трех волн, которые он назвал первичной, вторичной и дневной. Сильные взлеты и падения рынка, охватывающие продолжительные периоды, он сравнил с приливами и отливами. Внутри приливов происходят вторичные реакции, названные волнами, а волны, в свою очередь, покрыты рябью. Читатели, знакомые с другими методами графического анализа, узнают в этих фигурах основы волнового анализа Эллиотта. В 1897 г., стремясь продвинуть свои идеи, Доу представил в Wall Street Journal два индекса, относящиеся к акциям промышленных предприятий (Industrials) и акциям железнодорожных компаний (Railroads). Теперь они превратились в промышленный индекс (DJIA) и транспортный индекс (DJTA) соответственно. На рис. 3.1 показаны исторические данные более чем за 40 лет для трех самых важных индексов — промышленных, транспортных и коммунальных предприятий.
Рис. 3.1. Теория Доу была адаптирована для современных версий основных индексов — промышленного (верхняя панель), коммунального (средняя панель) и транспортного (нижняя панель). Хотя эти индексы представляют различные аспекты экономики, они демонстрируют высокую корреляцию. Данные за 1978 г. — июль 2018 г.
Основные принципы теории Доу
Существует шесть фундаментальных принципов теории Доу, которые полностью объясняют, как она работает.
1. Индексы учитывают все (кроме стихийных бедствий)
На рубеже XX в. ликвидности и регулирования на рынке было значительно меньше, а манипуляция имела широкое распространение. Создав индексы, Доу уменьшил влияние «необычных» движений отдельных акций, т.е. тех движений, которые казались необоснованно большими или противоречащими поведению остального рынка. DJIA усреднял цены акций 30 компаний (с учетом дробления), поэтому необычное движение одной из цен составляло только 1/30 общей суммы. Индекс также представлял намного большую совокупную ликвидность, чем отдельные акции. Единственными большими движениями, появлявшимися на графике средней цены, были скачки цен, затрагивавшие всю систему, или «стихийные бедствия».
2. Классификация трендов
Существует три класса трендов: первичные тренды, вторичные колебания и незначительные дневные флуктуации. Первичный тренд, называемый также волной, представляет собой долгосрочный тренд. Когда возникает волна растущих цен, мы получаем бычий рынок, когда цены снижаются, налицо медвежий рынок. Волна представляет собой крупное движение, развивающееся на протяжении длительного промежутка времени, обычно измеряемого годами. Отчетливый бычий рынок можно наблюдать на предыдущих графиках индексов Доу (рис. 3.1) в течение всех 1990-х гг. с окончанием в начале 2000 г. и затем с конца 2008 до 2018 г.
Формирование бычьего и медвежьего рынка (на месячных или недельных ценах)
Начало бычьего или медвежьего рынка определяется с помощью сигнала прорыва, показанного на рис. 3.2, генерируемого на основе больших колебаний значения индекса (подробнее о сигналах прорыва см. в главе 5). Сигнал бычьего рынка возникает в точке, где цены подтверждают восходящий тренд, поднимаясь выше максимума предыдущего ралли. Сигнал медвежьего рынка возникает на прорыве ниже минимума предыдущего снижения.
Рис. 3.2. Сигналы бычьего и медвежьего рынка представляют собой традиционные сигналы прорыва, но в большем масштабе
Поскольку прорыв может произойти на любом уровне, принято считать, что бычий или медвежий рынок начинается, когда цены разворачиваются и отходят на 20% от предыдущих минимумов или максимумов. Чтобы получить сигнал прорыва вверх, необходимый для признания нового бычьего рынка, мы должны найти область, где уровни поддержки и сопротивления (предыдущие промежуточные минимумы и максимумы цен) отделены приблизительно 10%-ным движением цены относительно величины индекса. Сигнал такого типа характерен для торговли на колебаниях. В верхней части рис. 3.4 горизонтальная прорванная линия должна находиться приблизительно на 20% ниже абсолютных ценовых максимумов, а второй пик должен быть приблизительно на 10% выше минимума предыдущего колебания.
Следует отметить, что, хотя и бычий, и медвежий рынки начинаются с разворота цены на 20%, 20% от максимума может быть намного больше, чем 20% от минимума. Например, во время распродажи в сентябре 2008 г. S&P измерялся от максимума на уровне приблизительно 14 000, достигнутого в конце 2007 г. Падение до 11 200, или на 2800 пунктов, возвестило начало медвежьего рынка. В первом квартале 2009 г. S&P достиг минимума на уровне приблизительно 6500. Новый бычий рынок начался от 7800, т.е. после роста всего на 1300 пунктов. Таким образом, количество пунктов, потребовавшихся для «официального» начала бычьего рынка, составило лишь 46% от движения, означавшего начало медвежьего рынка, что говорит о существовании значительного смещения в сторону бычьих рынков.
Бычья и медвежья фазы рынка
В теории Доу первичные тренды имеют три отчетливо различимые фазы, каждая из которых характеризуется определенными действиями инвесторов. Эти фазы можно наблюдать на бычьем рынке NASDAQ конца 1990-х гг. и на последующем медвежьем рынке (рис. 3.3).
Рис. 3.3. NASDAQ с апреля 1998 г. по июнь 2002 г. Ясный пример бычьего и медвежьего рынка с классическим изменением объема
Бычий рынок
- Фаза 1: Накопление. Осторожные инвесторы выбирают для покупки только самые безопасные и дешевые акции. Они ограничивают покупку сильно обесцененными акциями, находящимися на самых низких уровнях цен, и рассматривают только базовые отрасли услуг и промышленности, чаще всего покупая акции компаний коммунального обслуживания и высокодоходные акции.
- Фаза 2: Увеличение объема. Активизация участия инвесторов вызывает увеличение объема, рост цен и улучшение экономической картины. На рынок выходит все более широкий круг инвесторов, убежденных, что рынок уже оставил свои минимумы позади. Становятся популярными акции средних и небольших компаний.
- Фаза 3: Заключительное взрывное движение. Чрезмерная спекуляция и всеобщая эйфория приводят к заключительному взрывному движению. О фондовом рынке говорят все. Люди, которые никогда не думали о покупке акций, теперь выходят на рынок. Публика убеждена, что прибыль никогда не кончится, и начинает хватать все подряд. Инвесторы влезают в долги, чтобы покупать акции. Никто не смотрит на реальную стоимость, потому что цены продолжают расти. Прибыль и дивиденды игнорируются.
Медвежий рынок
- Фаза 1: Начало продаж. Профессионалы начинают продавать, в то время как публика все еще покупает. Акции переходят из сильных рук в слабые. Смена собственности облегчается неопытными инвесторами, которые выходят на бычий рынок слишком поздно и платят цену, которая оказывается необоснованно высокой.
- Фаза 2: Паника. Цены снижаются быстрее, чем в любой момент во время бычьего рынка, и совсем не растут. В новостях постоянно говорят о конце бычьего рынка. Публика осознает необходимость срочной ликвидации позиций. Инвесторы, которые заняли деньги, чтобы инвестировать на поздней фазе бычьего рынка, и торгуют на марже или с левериджем, теперь ускоряют падение. Некоторые вынуждены ликвидировать, потому что стоимость их портфелей упала ниже критической точки. Сбрасывание акций приобретает панический характер.
- Фаза 3: Отсутствие покупателей. Отсутствие покупки со стороны публики приводит к заключительной фазе длительной эрозии цен. Приняв убытки, горе-инвесторы не интересуются покупкой даже самых сильных компаний по чрезвычайно низким ценам. Все новости рассматриваются как отрицательные. Преобладает пессимизм. Так было летом 2002 и 2009 гг.
Правила Шабакера
У Шабакера также были простые правила идентификации конца и бычьего, и медвежьего рынка [14].
Конец бычьего рынка
- Объем торговли резко увеличивается.
- Популярные акции значительно повышаются, хотя некоторые другие обваливаются.
- Процентные ставки высоки.
- Акции становятся популярной темой разговора.
- В новостях появляются намеки на перегретость фондового рынка.
Конец медвежьего рынка
- Объем торговли невелик.
- Цены на биржевые товары снизились.
- Процентные ставки снизились.
- Прибыли компаний низки.
- Цены акций устойчиво снижаются, и повсюду звучат дурные вести.
Вторичные тренды (вторичные реакции на недельных или дневных ценах)
Вторичные реакции называются также коррекциями или восстановлениями. Их можно идентифицировать как меньшие колебания. Считается, что на бычьих рынках коррекции происходят, когда осмотрительные инвесторы фиксируют прибыль (положительный спин). Фаза фиксации прибыли может иметь неровное начало, но считается завершенной, когда цены поднимаются выше предыдущего вторичного ралли. Бычий рынок считается возобновившимся, когда появляется новый максимум (см. рис. 3.4). В этой точке свинг-трейдер может открывать новую длинную позицию. Вместо вторичных движений могут наблюдаться линии. В теории Доу линией называется боковое движение, длящееся от двух-трех недель до нескольких месяцев и ограниченное приблизительно 5%-ным диапазоном.
Рис. 3.4. Вторичные тренды и реакции. Реакция представляет собой меньшее колебание цены, которое заканчивается, когда новый максимум восстанавливает бычий рынок
Характеристики вторичной реакции
- Имеется ряд очевидных нисходящих колебаний.
- Движение при развороте (во время бычьего рынка вниз) быстрее, чем в первоначальное движение.
- Реакции длятся от трех недель до трех месяцев.
- Если объем во время падения цены равен или больше объема накануне падения, то вероятен медвежий рынок. Если во время падения цены объем уменьшается, может начаться ралли.
Малые тренды (на дневных ценах)
Согласно теории Доу, малые тренды — единственные, которыми можно манипулировать. Обычно они длятся менее шести дней. Они считаются менее важными движениями — рыночным шумом, не влияющим на основное направление цены.
3. Принцип подтверждения
Чтобы бычий или медвежий рынок получил право на существование, его направление должны подтвердить два из трех основных индексов (промышленный, транспортный и коммунальный). Первоначально теория Доу требовала подтверждения со стороны только коммунального и железнодорожного индексов. Хотя с тех пор, как Доу придумал это правило, многое изменилось, цель осталась прежней — убедиться, что бычий или медвежий рынок представляет собой общеэкономическое явление, а не частный узкоотраслевой эпизод.
4. Тренд сопровождается объемом
Объем подтверждает движение цены. По мере развития тренда объем должен увеличиваться, неважно, бычий это рынок или медвежий. Самый большой объем наблюдается на пике бычьего рынка и во время панической фазы медвежьего рынка.
5. Используются только цены закрытия
У Доу было твердое убеждение, что самой важной ценой каждого дня является цена закрытия. Это некая точка равновесия. Мало того что внутридневные трейдеры ликвидируют позиции до завершения торгов, сводя к нулю свое более раннее воздействие на рынок, многие инвесторы и хедж-фонды исполняют сделки на закрытии. Хотя ликвидность перестала быть проблемой, как во времена Доу, даже сегодня размещение большого приказа на спокойном рынке приводит к движению цен. На закрытии объем торговли всегда увеличивается, поскольку инвесторы с разными целями собираются вместе, чтобы установить справедливую цену.
Некоторые трейдеры полагают, что цены закрытия больше не существует, поскольку на многих рынках торговля идет круглые сутки, однако это пока еще не так. У каждого рынка есть расчетная цена. Обычно она определяется в конце главной торговой сессии (ранее это была яма или сессия открытого торга голосом и жестом). Расчетная цена необходима, чтобы произвести все расчеты, учесть прибыли и убытки и затребовать внесение дополнительной маржи. Банки не могут работать без официального времени закрытия и расчетной цены.
6. Устойчивость тренда
Считается, что тренд сохраняется, пока не появится сигнал о его развороте. Это правило лежит в основе всей системы следования за трендом. Согласно этому правилу, тренд является долгосрочным движением цены, и позиции открываются только в направлении тренда. Теория Доу не прогнозирует, как долго продолжится тренд. Она просто предлагает следование за трендом, пока не появится сигнал, указывающий на изменение направления.
Интерпретация сегодняшнего S&P с помощью теории Доу
Может ли теория Доу спустя 120 лет правильно интерпретировать такой важный индекс рынка, как S&P? На рис. 3.5 показан график S&P 500 с использованием непрерывных, обратно скорректированных фьючерсных цен с 1994 г. до середины 2003 г. Длительный бычий рынок, начавшийся после 1987 г., достигает пика в начале 2000 г. На бычьем рынке наблюдается более высокий объем, как и предвидел Доу, однако объем не достигает максимума на пике рынка — он начинает заметно уменьшаться приблизительно за три месяца до вершины. Исследуя объем, мы видим, что, хотя на экстремумах цены и происходят всплески объема, очень важно долгосрочное подтверждение объема. Уменьшение объема в начале 2000 г. сигнализирует о расхождении настроений, что предсказывает конец бычьего рынка. Еще одной предсказуемой закономерностью является увеличение волатильности при приближении к концу восходящего тренда. Движение цен с 1994 г. до пика 2000 г. отражает фазу 2 и фазу 3 бычьего рынка.
Снижение цены в третьем квартале 1998 г. отвечает на вопрос: «Бывают ли исключения из правила 20% при смене бычьего рынка на медвежий?» Падение на 20% с максимума 1400 — это 1120, что очень близко к точке, где цены остановились и развернулись. Сам Доу никогда не использовал величину 20%, и аналитики сказали бы, что из-за скорости снижения и быстроты восстановления это движение не было сигналом медвежьего рынка. Некоторые решения такого рода требуют субъективного суждения, определенного опыта и немного ретроспективы. В реальности мы не можем ожидать, что каждый сигнал Доу всегда будет правильным, также как мы не можем ожидать, что заработаем на каждой сделке. А вот долгосрочный успех является вполне реальной целью.
Рис. 3.5. Применение теории Доу к S&P. Большинство принципов Доу применимо к текущему рынку, но необходимы некоторый опыт и интерпретация
Переход от бычьего к медвежьему рынку на графике S&P. Следующий 20%-ный разворот от максимума 1675 достигает уровня 1340. На этот раз объем уменьшается по сравнению со своим максимумом и продолжает быстро снижаться. Со второго квартала 2000 г. до первого квартала 2001 г. цены резко падают, теряя прирост, накопленный с середины 1997 г., т.е. почти за три года. Когда цены опускаются ниже 1300, они подтверждают предыдущий минимум конца 2000 г., демонстрируя со всей очевидностью, что развивается медвежий рынок.
Во время последующего снижения цены делают несколько попыток роста. Мы видим четыре острые V-образные впадины, за которыми следует существенное движение вверх. После минимума 940, достигнутого в конце сентября 2001 г., цены поднимаются приблизительно до 1180, выше 20%-ного уровня разворота (1128). Однако после первого разворота к 1075 цены не могут подняться выше максимумов и в конце концов, пробив уровень 1180, формируют новые минимумы. Хотя восстановление превысило 20%, отсутствие подтверждающего прорыва может интерпретироваться как ложный бычий прорыв. Не каждая модель в точности следует правилам.
Мы переходим к последнему году, показанному на графике S&P, где цены отскакивают от уровня сопротивления 850, поднимаются выше 970 и вот-вот подтвердят бычий прорыв. Действительно ли это конец медвежьего рынка? На двух самых глубоких ценовых впадинах объем был очень большим, а затем уменьшился. По мнению экспертов, многие акции недооценены, однако те же эксперты не видят причин для роста рынка, поскольку недавнее повышение уже отразило разумные ожидания в отношении прибыли и роста в следующем году. Кто оказался прав, Чарльз Доу или болтуны из финансовых телеканалов? Конечно же, Доу.
Теория Доу и фьючерсные рынки
Принципы теории Доу понять просто. Большие движения цены наиболее важны, когда подтверждаются объемом. Они следуют созданной поведением инвесторов модели, которая кажется универсальной, если абстрагироваться от частностей.
Основные положения теории Доу должны быть справедливы для любого высоколиквидного, активно торгуемого рынка. Это относится к индексным фьючерсам и большинству рынков финансовых фьючерсов, а также к рынкам иностранных валют, которые имеют огромный объем и отражают главные тенденции развития экономики. Из-за разнообразия продуктов в виде фьючерсов и ETF инвестор может применять принцип подтверждения Доу, используя два любых связанных финансовых рынка, например индекс S&P, 10-летние казначейские ноты или индекс доллара США, таким же образом, как индексы промышленных, коммунальных и транспортных предприятий использовались для акций. Сильный экономический тренд часто начинается с политики в области процентных ставок, которая оказывает влияние на курс валюты и имеет целью либо простимулировать фондовый рынок (посредством снижения ставок), либо сдержать избыточные инвестиции (посредством повышения ставок); следовательно, разумно будет получить подтверждение от этих трех секторов. При торговле фьючерсами чаще всего используется ближайший контракт (тот, что ближе к поставке), однако следует использовать суммарный объем всех фьючерсных контрактов, торгуемых на каждом рынке, а не объем отдельного контракта.
Графические фигуры
Хотя теория Доу рассматривает крупномасштабные движения цен, чаще всего графический анализ относится к намного более коротким периодам времени. Большинство трейдеров держат позиции от нескольких дней до нескольких недель, при этом они используют одни и те же закономерности, работая как с короткими, так и более длинными интервалами.
Графический анализ имеет дело с прямыми линиями и геометрическими фигурами. Объем анализируется только в самом общем смысле во время фаз роста и снижения. Графические модели можно разделить на следующие широкие группы:
- линии тренда и каналы;
- однодневные модели;
- модели продолжения;
- накопление и перераспределение (вершины и впадины);
- откаты;
- другие модели.
Самой важной из них является линия тренда.
Тренд в ретроспективе
Тренд легче увидеть на графике уже после того, как он сформировался. Попытка идентифицировать тренд в процессе развития намного труднее. На рис. 3.6 месячный график демонстрирует длительный восходящий тренд, замедляющийся к концу. Продолжится ли этот восходящий тренд? Начнет ли формироваться нисходящий тренд? Может быть, цены пойдут вбок? Цель графического анализа состоит в том, чтобы применять те инструменты, которые дают наилучший шанс идентифицировать будущее направление цен. А если вы ошибетесь, эти же инструменты помогут ограничить размер убытка.
Временной интервал — ключевой элемент при идентификации тренда. Недельные и месячные графики показывают крупные тренды отчетливее, чем дневные графики. Долгосрочные графики удаляют значительную часть шума, который мешает видеть общую картину. Многие графические аналитики начинают с оценки недельного или месячного графика, а затем применяют полученные линии и значения к дневному графику. Недельный график дает направление сделок, в то время как дневной или даже 15-минутный график используется для выбора момента входа и выхода. Дальнейшее описание этого процесса приведено в главе 19.
Рис. 3.6. Тренд легче увидеть после того, как он сформировался. Хотя восходящий тренд очевиден, непонятно, смогут ли цены подняться еще выше, или это конец тренда
Линии тренда
Линия тренда определяет текущее направление движения цен и часто идентифицирует точку, в которой это направление изменяется. Линия тренда — самый популярный и признанный инструмент графического анализа. Аналитики частенько говорят, что «тренд — ваш друг», иными словами, всегда безопаснее открывать позицию в направлении тренда.
- Восходящая линия тренда проводится через минимальные цены на растущем рынке.
- Нисходящая линия тренда проводится через максимальные цены на падающем рынке.
На рис. 3.7 показана классическая нисходящая линия тренда A, проведенная на графике Intel. Она соединяет самую высокую цену $22 с пиками на уровне 18,00, 16,75, 16,15 и, наконец, 15,50. Когда цены пересекают линию тренда снизу вверх, говорят, что нисходящий тренд прорван. Это может означать окончание нисходящего тренда или послужить причиной для построения новой нисходящей линии тренда. В нашем случае прорыв сигнализирует об окончании нисходящего тренда, что хорошо видно в ретроспективе.
Рис. 3.7. Нисходящая и восходящие линии трендов на рынке Intel, ноябрь 2002 г. — май 2003 г.
Перестроение линий тренда
Большинство линий тренда не так долгосрочны и очевидны, как нисходящая линия тренда Intel, которая построена задним числом. Поэтому давайте попробуем построить восходящий тренд в процессе его формирования. Первая восходящая линия тренда B строится, когда первый разворот дает второй минимум. Восходящая линия тренда B проводится через минимумы 1 и 2. Хотя после этого цены не падают ниже линии тренда B, они откатываются к минимумам в точках 3 и 4, расположенных намного выше линии тренда. Теперь мы строим новую восходящую линию тренда, соединяя точку 2 с точками 3 и 4, и получаем более сильную линию тренда. Линии тренда считают более важными, когда касаются большего количества точек. Однако цены быстро идут вверх, и линию тренда вновь приходится изменять — теперь мы соединяем точки 4 и 5. Перестроение линии тренда в процессе развития ценовых моделей — прием очень распространенный. Нужно быть очень внимательным и стараться проводить линии так, чтобы они касались большинства точек, хотя некоторые графические аналитики предпочли бы в данной ситуации прямую линию, которая соединяет точки 1 и 5, минуя точки 2, 3 и 4, поскольку заключительная картина, похоже, представляет доминирующую траекторию роста цены. Этот вариант представлен на рис. 3.7 пунктирной линией.
Один из способов автоматизировать построение восходящего тренда — рассчитать линию регрессии для цен, начиная с дня с наименьшей ценой и заканчивая самым последним днем. Затем найти самую низкую цену вне этой линии регрессии и провести через эту ценовую точку еще одну прямую линию, параллельную линии регрессии. Прорыв вниз этой нижней линии и будет разворотом тренда. Для построения нисходящего тренда нужно сделать все наоборот.
Линии поддержки и сопротивления
Когда инвесторы сходятся во мнении, что в экономике все хорошо, это дает нам восходящий тренд. Периоды неуверенности формируют модель бокового движения цен. Ее верх называют уровнем сопротивления, а низ — уровнем поддержки. Сформировавшись, уровни поддержки и сопротивления становятся ключевыми факторами для определения того, остается ли тренд в силе. Многие инвесторы считают их такими же важными, как прорыв линии тренда.
Горизонтальная линия поддержки проводится горизонтально вправо от самой низкой цены бокового диапазона. Лучше всего, когда такая линия проходит через две и более точки, при этом ее можно провести выше самой низкой цены, если это делает модель отчетливее. Она представляет устойчивый ценовой уровень, который не допускает прорывов (а если и допускает, то незначительные прорывы). Пожалуй, это самая важная из всех линий на графиках.
Горизонтальная линия сопротивления служит той же цели, что и линия поддержки, и проводится через самые высокие максимумы бокового диапазона. Она представляет цену, у которой останавливается движение вверх. Линии сопротивления обычно не так очевидны, как линии поддержки, поскольку формируются в условиях более высокой волатильности и хаотичного движения цены [15].
На графике цен фьючерсов на облигации (рис. 3.8) вначале мы видим линию поддержки 1, которая проходит через два минимума периода боковика, а также линию сопротивления 1, проходящую через четыре максимума чуть выше нее. В начале июня цены пробивают линию сопротивления, затем ненадолго возвращаются к ней, прежде чем двинуться еще выше. После достижения пика формируется новая линия поддержки 2. В сентябре она пробивается вниз, цены падают к старой линии сопротивления 1, после чего, продемонстрировав резкий рост выше линии поддержки 2, продолжают падение. Большой прорыв наступает, когда цены падают ниже старой линии поддержки 1. Справа формируется новая линия сопротивления 2.
Рис. 3.8. Горизонтальные линии поддержки и сопротивления на графике цен фьючерсов на облигации
Ложные прорывы
Ценовой столбик, максимум которого прорывает сопротивление, но который закрывается ниже, считается ложным прорывом и только подтверждает движение вниз. Это можно увидеть на рис. 3.8, где линия поддержки 2 (теперь действующая как линия сопротивления) прорывается в ходе ралли в сентябре, после чего цена идет вниз. Ложные прорывы могут возникать как на уровнях поддержки, так и на уровнях сопротивления. В этом случае можно поднять линию сопротивления до максимума этого ложного прорыва, но большинство технических аналитиков просто игнорируют этот пробой и оставляют линию сопротивления в первоначальном положении.
Сопротивление становится поддержкой, а поддержка становится сопротивлением
Горизонтальные линии поддержки и сопротивления являются сильными индикаторами перемен. Если цены двигаются вбок, потому что инвесторы не уверены в направлении, то пересечение линии поддержки или сопротивления обычно ассоциируется с новой информацией, которая заставляет инвесторов действовать. Какой бы ни была причина, рынок интерпретирует это как новое событие. После выхода из бокового диапазона цены обычно остаются за его пределами. Если цены поднимаются выше, линия сопротивления становится линией поддержки. Если цены падают ниже линии сопротивления, то движение считают ложным прорывом. На рис. 3.8 линия сопротивления 1 становится новой линией поддержки после пробития ценой линии поддержки 2. Трейдеры ищут логическое место, где цена может сделать паузу и перегруппироваться.
Линия тренда как линия поддержки или сопротивления
Наклонные линии тренда, показанные на рис. 3.7, также можно рассматривать как линии поддержки и сопротивления. Восходящая линия тренда, проведенная через минимумы, является бычьей линией поддержки, поскольку определяет самую низкую цену, при которой возможно продолжение восходящего тренда. Нисходящая линия тренда, проведенная через максимумы, представляет собой медвежью линию сопротивления. И наклонные линии тренда, и горизонтальные линии одинаково важны для трейдеров.
Обратно скорректированные данные
Все трейдеры используют онлайновые службы для просмотра графиков. Они могут строить линии поддержки и сопротивления, используя различные инструменты, поставляемые соответствующей службой, и могут одним щелчком мыши превращать дневные данные в недельные или месячные. Изучая цены, уходящие на много лет в прошлое, аналитик должен быть уверен, что старые данные не были обратно скорректированы каким-либо образом. Например, в торговле фьючерсами используются контракты с ограниченным сроком, которые наиболее ликвидны в течение последних нескольких месяцев перед истечением. Долгосрочные графики сводят контракты вместе путем обратной корректировки цен так, что более старые данные не отражают существовавшую в то время фактическую цену, а изменяются за счет накопленной разницы при замене позиций. Долгосрочные горизонтальные линии поддержки и сопротивления в этом случае будут неверными.
Та же проблема возникает и у акций после дробления. Старая цена, которую вы видите на графике, может не иметь ничего общего с фактической ценой, существовавшей в то время. Например, в случае Apple вы обнаружите, что самые старые цены являются отрицательными. Использовать такие старые цены для расчета поддержки или сопротивления не имеет никакого смысла.
Правила торговли по линиям тренда
Многие из представленных ниже правил торговли автоматизированы (и подробно обсуждаются в следующей главе). К ним относятся прорывы канала, покупка на откате и торговля на боковых рынках. Эти правила четко определены и часто лежат в основе торговых систем, которые мы рассмотрим в следующей главе. Понять систему гораздо легче, когда вы знаете стоящую за ней логику.
Простейшие в плане распознавания модели используются больше всего и поэтому наиболее важны: это горизонтальные линии поддержки и сопротивления, бычьи и медвежьи линии тренда, а также каналы, образуемые этими линиями. Системные трейдеры генерируют приказы на покупку и продажу непосредственно на основе их графического анализа. Основные графические модели составляют основу прибыльности торговли по графикам. Более сложные фигуры, о которых мы поговорим далее, могут улучшить хорошие результаты, но не могут компенсировать убытки, если вы окажетесь не на той стороне тренда. Типичные правила торговли по линиям тренда показаны на рис. 3.9.
Рис. 3.9. Базовые сигналы продажи и покупки при использовании линий тренда
Подтверждение нового направления тренда
В условиях реальной торговли цена пересекает линию тренда не так очевидно, как на рис. 3.9. Чаще всего цены в ходе движения вверх пересекают линию тренда туда-обратно несколько раз. Линия тренда — важный рубеж разворота, но нередко наблюдаются периоды нерешительности, когда цены идут вбок, пока не восстановится тренд. Чтобы справиться с этой ситуацией, трейдеры могут:
- выждать один-два дня до получения подтверждения того, что цены остаются на новой стороне линии тренда;
- подождать разворота после прорыва, затем открыть сделку в направлении нового тренда, даже если разворот приводит к новому пересечению линии тренда;
- создать небольшую зону безопасности (их называют конвертами или каналами) вокруг линии тренда и входить в новую сделку, если цены не только пересекают линию тренда, но и проходят через зону безопасности.
Каждый из этих методов требует отсрочки входа. Обычно небольшое выжидание играет на руку трейдеру, позволяя войти по лучшей цене. Однако, если цены быстро пройдут через восходящую линию тренда, а затем не развернутся или не замедлят движение, то задержка лишь ухудшит цену входа. К сожалению, чаще всего крупные прибыли генерируются именно на прорывах, за которыми не следует отката. Если поймать один такой прорыв, то можно компенсировать все небольшие убытки, понесенные из-за ложных сигналов. Многие профессиональные трейдеры караулят лучшую входную цену, но некоторые при этом пропускают большие движения.
Правила торговли для горизонтальных уровней поддержки и сопротивления
Как и наклонные линии тренда, горизонтальные линии поддержки и сопротивления показывают очевидные точки для покупки и продажи. Как и наклонные линии тренда, горизонтальные линии становятся значительно важнее, когда для их формирования используются больше точек и более длительные временные интервалы. Техника входа в сделки с использованием горизонтальных линий подобна применяемой на наклонных линиях тренда, однако здесь яснее определен максимальный риск сделки.
- Покупайте, когда цены поднимаются выше горизонтальной линии сопротивления.
- Продавайте, когда цены опускаются ниже горизонтальной линии поддержки.
После открытия длинная позиция не закрывается до тех пор, пока цена не уйдет ниже линии поддержки. Максимальный риск сделки равен расстоянию между линиями поддержки и сопротивления. По мере того как цены растут, разворот каждого колебания формирует минимум, от которого проводится новая горизонтальная линия поддержки. После входа в сделку для проведения горизонтальной линии поддержки и поднятия уровня закрытия сделки чаще всего используется одиночная точка минимума. На рис. 3.10 показан ряд горизонтальных линий поддержки и сопротивления, которые строятся по мере развития сделки. Чтобы сформировался минимум колебания, цены должны откатиться вверх на расстояние, превышающее пороговое число пунктов или процентов. Не каждый небольшой разворот квалифицируется как минимум колебания.
Рис. 3.10. Правила торговли для горизонтальных линий поддержки и сопротивления
Обратите внимание на то, что во время первого отката на рис. 3.10 цены опускаются ниже первоначальной линии сопротивления. Это обычное явление, но первоначальная линия уже не имеет того значения, что и до прорыва. Хотя она должна служить поддержкой на откате (после прорыва линия сопротивления становится линией поддержки), надежнее считать уровнем поддержки дно нового отката. После построения третьего уровня поддержки цены сначала быстро растут, но затем пересекают третий уровень сверху вниз, именно в этой точке длинная позиция закрывается. Короткая позиция, если и открывается, то не раньше, чем начнется новое боковое движение и можно будет провести горизонтальные линии поддержки и сопротивления через несколько точек.
Идентификация движения по моделям консолидации
Говорят, что приблизительно 80% времени рынки двигаются вбок. Это означает, что длительные направленные прорывы происходят не часто или что большинство прорывов оказываются ложными. Классические модели накопления и распределения, образующиеся на долгосрочных минимумах и максимумах, используются для выявления изменений в настроении рынка. Поскольку эти модели встречаются только на экстремумах и могут существовать продолжительное время, они представляют самую очевидную консолидацию движения цены. Иногда они могут формировать закругленное дно или вершину, из-за чего бывает трудно точно определить, когда произошел прорыв. В такой ситуации лучше использовать технику усреднения, при которой небольшие позиции открываются через фиксированные интервалы на протяжении всего времени, пока сохраняется формирующаяся модель.
Большинство других моделей консолидации лучше всего рассматривать так же, как простое боковое движение, ограниченное сверху линией сопротивления, а снизу линией поддержки. Если такая модель наблюдается при низких ценах, мы можем ожидать прорыва вверх, когда фундаментальные факторы рынка изменятся. Волатильность цен в длительной боковой модели обычно уменьшается, особенно при низком уровне цен, и графические аналитики пользуются этой возможностью, чтобы пересмотреть уровни поддержки и сопротивления, делая коридор между ними более узким. Прорывы, основанные на этих более чувствительных линиях, обычно менее надежны, поскольку они представляют непродолжительный период спокойствия на фоне более сильного, нормального уровня рыночного шума. Однако существует два явных лагеря: в одном полагают, что прорывы более надежны после периода низкой волатильности, а в другом предпочитают прорывы, происходящие на фоне высокой волатильности. Некоторые из этих ситуаций описываются далее в разделах, посвященных системам на основе прорыва волатильности.
Создание канала из линий тренда
Канал формируется путем построения линии тренда и еще одной линии, проведенной параллельно линии тренда так, что пространство между ними охватывает длительное движение цены. Ширина канала позволяет определить волатильность движения цены и найти подходящие точки входа и выхода. До сих пор мы использовали линию тренда только для идентификации главного направления цены. Длинная позиция открывается, когда цена пересекает нисходящую линию тренда снизу вверх. Сделку держат до тех пор, пока цена не пересечет восходящую линию тренда сверху вниз. Однако чаще используется серия более коротких сделок на более коротких линиях тренда. Хотя самую большую прибыль получают от одной позиции, которую держат до конца длительного тренда, активные трейдеры предпочитают ряд более краткосрочных сделок, поскольку каждая из них связана с гораздо меньшим риском. Помните, что линии тренда, построенные на слишком малом числе данных, по существу анализируют шум и имеют ограниченную ценность.
Прежде чем сформировать канал, нужно построить бычью или медвежью линию тренда. Для надежной восходящей линии тренда требуется найти на графике не менее двух, а лучше трех крупных минимумов, как показано на рис. 3.11, где используются точки 1, 2 и 3. Эти точки не обязательно должны располагаться строго на одной линии. После построения линии тренда можно использовать самый высокий максимум, точку B, чтобы провести еще одну линию параллельно восходящей линии тренда. Область между этими двумя параллельными линиями и есть канал. В разделе «Перестроение линий тренда» рассмотрено то, как использовать линию регрессии, чтобы выявлять тренд и строить канал.
Рис. 3.11. Торговля в ценовом канале. После построения канала покупают около линии поддержки, а продают около линии сопротивления
Теоретически торговля в канале — процесс простой. Мы покупаем, когда цены приближаются к линии поддержки (в данном случае, восходящей линии тренда), а продаем, когда цены оказываются около линии сопротивления. Зоны покупки и продажи занимают приблизительно по 20% в нижней и верхней части канала. Некоторые трейдеры предпочитают провести линию через точку A, чтобы определить вершину канала. Это повышает шансы на то, что она будет достигнута, и позволяет раньше зафиксировать прибыль.
Если после открытия длинной позиции цены пересекают нижнюю линию тренда сверху вниз, сделку закрывают. Направление тренда изменилось, и нужно построить, используя точки B и C, новую медвежью линию сопротивления, нисходящую линию тренда, как показано на рис. 3.12. После того как произойдет первый откат и в точке 4 сформируется минимум, через точку 4 проводится параллельная линия, образующая нисходящий канал. В канале на основе нисходящего тренда лучше торговать, продавая в короткую в верхней зоне и закрывая короткую позицию в нижней зоне. Покупка в нижней зоне не рекомендуется — сделки безопаснее, когда они открываются в направлении тренда.
Рис. 3.12. Переход от восходящего канала к нисходящему. Сделки всегда открываются в направлении тренда
Когда линии поддержки и сопротивления относительно горизонтальны, т.е. цена идет вбок, канал называют торговым диапазоном. У торгового диапазона нет наклона, поэтому можно открывать новые длинные позиции в зоне поддержки и новые короткие позиции в зоне продажи. В обоих случаях прорыв линий поддержки или сопротивления вызывает ликвидацию сделки и определяет направление нового тренда.
Однодневные модели
Самыми легкими для распознавания графическими моделями являются те, которые формируются в течение одного дня. К их числу относятся гэпы, пики, островные развороты, дни разворота, внутренние дни, внешние дни, дни с широким диапазоном и, в меньшей степени, дни разгона. Одни из этих моделей значимы в момент возникновения, а другие требуют подтверждения.
Гэпы
Гэпы на открытии возникают, когда на рынок влияет важная новость, появившаяся, пока биржа была закрыта. Фьючерсы торгуются круглосуточно, поэтому здесь гэпы возникают только по воскресеньям, когда на фьючерсных рынках возобновляется торговля. Фондовые рынки работают с 9:30 до 16:00 по нью-йоркскому времени и часто открываются с гэпами. Многие торгующиеся на бирже компании выпускают квартальные отчеты о прибылях до или после установленного времени торговых сессий. Хотя некоторые акции имеют продленные торговые часы, для официальной публикации используются только цены основной торговой сессии.
Европейские рынки последовали примеру США в продлении торговых часов, но также не работают круглосуточно. Немецкий DAX, торгующийся на Eurex, имеет «дневную сессию» с 9:00 до 17:45 (по местному времени), продленную сессию с 17:45 до 20:00 (закрываясь одновременно с S&P в Чикаго) и раннюю сессию с 8:00 до 9:00. Другие рынки на Eurex придерживаются аналогичных торговых часов.
Существуют некоторые национальные праздники, когда биржа официально закрыта, но электронная торговля на Globex продолжается. Цены, возникающие в праздничный день, комбинируются с торговыми ценами следующего дня и публикуются как однодневные.
Гэпом вверх называется ситуация, когда минимум текущего дня выше максимума предыдущего дня. У фьючерсов S&P гэпы возникают только в воскресенье вечером, когда возобновляется торговля на Globex, тогда как у SPY ETF и акций американских компаний, как и на многих рынках за пределами США, гэпы могут возникать каждое утро. Узнать расписание интересующих вас торговых сессий можно на сайтах соответствующих бирж.
Гэпы в ходе торговых сессий
Правительство США выпускает важнейшие экономические отчеты в 7:30 (по центральному времени). Это происходит раньше, чем начинается торговая сессия SPY, но во время электронной сессии E-mini S&P. Если новость неожиданна, фьючерсы S&P показывают резкое движение, и через час торговля SPY открывается с гэпом, соответствующим цене фьючерса. Другие отчеты по жилищному строительству и производству публикуются утром после открытия рынков. Они могут создавать карманы ликвидности, когда на рынке есть только покупатели, но нет продавцов или, наоборот, есть только продавцы, но нет покупателей, по крайней мере на короткое время. Такие карманы ликвидности появляются на дневном графике как гэпы.
Гэпы могут также возникать из-за размещения большой группы приказов в точке прорыва уровня поддержки или сопротивления на фондовом или фьючерсном рынке. Бывают также более редкие случаи событийного шока, такие как 11 сентября 2001 г.
В графическом анализе гэпы интерпретируются по-разному в зависимости от того, где в контексте текущего поведения цены они происходят. В некоторых случаях гэп сигнализирует о продолжении движения цены, а в других ситуациях может оказаться концом движения. На рис. 3.13 на примере графика Amazon.com показаны четыре основные формы гэпов.
Рис. 3.13. Гэпы на графике Amazon.com
- Обыкновенный гэп, который выглядит на графике как разрыв и не имеет никаких особенностей, т.е. он не происходит в точке, имеющей какое-то особое значение. Обыкновенный гэп происходит в мае 1999 г. во время движения вниз.
-
Гэп с прорывом возникает в точке очевидного сопротивления или поддержки. Это происходит, когда появляется большое количество приказов на покупку по цене чуть выше важной линии сопротивления или приказов на продажу ниже линии поддержки. Эти линии поддержки и сопротивления сформированы после продолжительного периода бокового движения цены, когда большинство технических аналитиков видят одинаковую модель. Чем очевиднее модель, и чем продолжительнее боковое движение, тем более вероятно появление гэпа с прорывом. Чтобы квалифицировать это как прорыв, требуется некоторое время, поскольку в этом случае за гэпом должно следовать устойчивое движение цены.
На рис. 3.13 видны два гэпа с прорывом. Первый в декабре 1998 г., вскоре после того, как цены достигают нового максимума. Второй в правой части графика, когда цены пробивают гэпом краткосрочную восходящую линию тренда, возникшую при сохранении основного нисходящего тренда после пика в мае 1999 г. Чтобы заработать на гэпе, позиция должна быть открыта до его образования, когда цены приближаются к уровню поддержки или сопротивления. Если после открытия длинной позиции цены формируют гэп вверх, вы «ловите» гэп, т.е. получаете прибыль, вызванную скачком или быстрым движением рынка в вашу пользу. Если гэп не возникает, цена чаще всего дрейфует вниз. Из позиции можно выйти с небольшим убытком, а позже открыть ее повторно.
- Гэп истощения встречается в конце длительного волатильного движения цены и подтверждает разворот. Гэпы истощения обычно происходят на следующий день после самой высокой цены восходящего движения, однако на графике Amazon это случается днем позже, когда большинство трейдеров осознают, что цена достигла своего пика.
- Гэп ускорения происходит в различных точках очевидного тренда и служит его подтверждением. Он, похоже, не имеет практического значения, поскольку тренд может прекратиться и развернуться сразу же после появления гэпа ускорения. В этом случае гэп называют островом. При наличии длинной позиции гэп ускорения вверх быстро увеличивает прибыль, однако с ним связан крайне высокий риск.
Гэпы могут также мешать торговле. Наличие длинной позиции в момент, когда происходит гэп с прорывом вниз, гарантирует исполнение любого стоп-лосса далеко от целевой цены. Если гэп с прорывом вверх происходит на малом объеме, он может обернуться ложным прорывом. Если при гэпе вверх у вас открыта короткая позиция и вам повезет, то цены вернутся к уровню прорыва и позволят вам безболезненно выйти из сделки. А если не повезет, у вас сработает стоп на вершине движения. Если же анализ показывает, что гэп с прорывом отражает изменение основного движения, сделку следует открывать немедленно по рыночной цене. Вся череда предыдущих плохих приказов будет компенсирована одним махом быстрым движением цены в вашу пользу без откатов. Гэп с прорывом при большом объеме обычно указывает на сильное движение и устойчивое изменение. Но, как мы увидим дальше, пик объема (volume spike) означает противоположное. Так интерпретация графиков становится искусством.
Заполнение гэпа
Традиционно принято считать, что цены всегда откатываются для заполнения гэпа. Естественно, при достаточном времени цены возвращаются к большинству уровней, поэтому в конечном итоге практически все гэпы заполняются. Но наиболее значительные гэпы остаются незаполненными в течение некоторого времени.
Гэп представляет собой важную точку, в которой цены выходят из предыдущей модели и начинают формировать новую. Гэп с прорывом часто происходит чуть выше предыдущего установившегося ценового уровня. На товарных рынках после компенсации краткосрочной несбалансированности спроса цены должны возвратиться почти к нормальному уровню (возможно, немного выше старых цен, с учетом инфляции), но при этом немного ниже гэпа. Когда цена акции растет гэпом на хороших данных о прибыли, объявлении о новом продукте или слухах о поглощении, она может и не вернуться к предыдущему уровню.
Компьютерное исследование гэпов на открытии, а также программа, использованная для исследования, описаны в главе 15. Оно показывает вероятности различных движений цены после гэпа в зависимости от величины гэпа и типа рынка. В книге Булковски есть большой раздел, посвященный гэпам, краткий обзор которого приводится ниже и более подробный — в главе 4.
Правила торговли на гэпах
- Обыкновенный гэп невелик и происходит на низком объеме без определенной причины, т.е. он не является результатом очевидного, неожиданного выпуска новостей. Активные трейдеры открывают позицию против гэпа в ожидании разворота и заполнения гэпа, после чего можно зафиксировать прибыль. Если в течение нескольких дней гэп не заполняется, сделка ликвидируется.
- Гэп с прорывом является результатом накопления приказов в очевидной области поддержки или сопротивления. Когда начнется очевидное боковое движение, разместите приказ на покупку чуть ниже уровня сопротивления, чтобы заработать на скачке цен (легкая прибыль), когда произойдет гэп. Если гэп происходит с прорывом, то цены должны продолжить движение вверх.
- Гэп ускорения часто находится в середине значительного движения. Его считают хорошей точкой для наращивания позиции, поскольку он подтверждает движение и обещает дополнительную прибыль.
- Гэп истощения лучше всего использовать, когда он возникает, но даже на этой стадии торговля очень рискованна. Продавайте во время движения вверх, помещая стоп выше предыдущего максимума движения. Если эта модель окажется ложной, цены могут продемонстрировать взрывной рост. Но если вам повезет, прибыль может оказаться большой.
Булковски о гэпах
Книга Булковски включает обширное исследование гэпов с прорывом, гэпов продолжения и истощения. Статистика, собранная для трех этих случаев, приведена в табл. 3.1. Можно ожидать, что гэп с прорывом, происходящий при выходе цен из бокового диапазона, положит начало новому тренду, а гэп истощения (который фактически нельзя увидеть до тех пор, пока он не развернется) станет концом тренда. Гэп продолжения является чем-то промежуточным и определяется только в контексте существующего тренда.
Результаты показывают, что гэпы с прорывом часто продолжают движение в направлении тренда и цены редко заполняют гэп. Это используется в ряде стратегий, включая N-дневный прорыв, торговлю на колебаниях и прорывы в точках разворота, при условии, что период наблюдения превышает 40 дней, т.е. минимум, на котором можно обнаружить макротренд.
Таблица 3.1. Процентная доля случаев заполнения гэпов в течение одной недели, на основе выборки из 100 акций
Кауфман о гэпах
Исследование 275 акций за период с 2012 по 2017 г. показало, что гэпы вверх величиной более 1% стабильно заполнялись откатами вниз в течение торгового дня примерно на 40% от максимумов. Кроме того, акции, показавшие гэп вверх, имели тенденцию закрываться около максимума. В табл. 3.2 в заглавной строке указана величина гэпа открытия, в первой строке — процент возникновения событий, во второй строке — разворот вниз от гэпа открытия и в последней строке — закрытие по сравнению с предыдущим днем.
Гэпы вниз были разными и отражали склонность акций к росту. Откаты от минимума были больше, а уровень закрытия стабильно был выше, чем гэп на открытии, как видно в последней строке в табл. 3.3.
Обратите внимание, что большинство торговых возможностей возникает в первой половине дня, когда трейдеры и инвесторы активно торгуют, реагируя на ночные новости и экономические отчеты.
Таблица 3.2. Средние показатели гэпов вверх, откатов и цен закрытия для 275 активно торгуемых акций
Таблица 3.3. Средние показатели гэпов вниз, откатов и цен закрытия для 275 активно торгуемых акций
Пики
Пик — это отдельный очень волатильный день, в течение которого цена перемещается намного выше или ниже уровня, наблюдавшегося в недавнем прошлом. Пик можно распознать только через день, когда торговый диапазон следующего дня оказывается намного ниже (для пиков вверх) или намного выше (для пиков вниз) предыдущего. Легче всего пики найти на тех рынках, которые реагируют на часто выходящие экономические отчеты, например 30-летние казначейские облигации США. На рис. 3.14 показан ряд из трех пиков, удаленных друг от друга примерно на четыре недели.
Рис. 3.14. Ряд пиков на рынке облигаций. С июня по октябрь 2002 г. казначейские облигации США сформировали три пика, ставшие локальными вершинами. Пики представляют четкие уровни сопротивления, придающие уникальную форму восходящему движению
Такие восходящие пики, как на рис. 3.14, всегда являются локальными вершинами, поскольку пик — это день с волатильностью выше средней, с которым должны соседствовать два более низких дня. Их также называют опорными точками (или точками пивот). Во всех трех показанных случаях пик является по меньшей мере недельным максимумом. Поскольку пик представляет собой явную вершину, при росте цены обычно встречают сопротивление на его уровне. Аналитики проводят через вершину пика горизонтальную линию сопротивления и рекомендуют продавать на этом уровне. После каждого пика на графике делается пометка «неудавшийся тест», показывающая уровень цен, на котором уровень сопротивления, основанный на предыдущем пике, замедлил движение цены.
Количественная оценка пиков
У пика есть только одна доминирующая особенность: максимум или минимум, находящийся намного выше или ниже недавних цен. Он, соответственно, должен также иметь высокую волатильность. Восходящий пик легче всего идентифицировать, сравнивая торговый диапазон в день пика с диапазонами предыдущего и следующего дней. Эту операцию можно запрограммировать в TradeStation с помощью функции истинный диапазон (true range), задав условие, что максимум в день пика, high[1], должен быть больше, чем предыдущие и последующие максимумы, на величину k × средний истинный диапазон (average true range) за n дней,
Spike = high[1] — highest(high, n)[2] >
k*average(truerange, n)[2] and high[1] — high >
k*average(truerange, n)[2].
Этот код представляет spike (пик) как логическую переменную (истина-ложь) и тестирует наличие пика в предыдущем дне. Нотация [1] означает вчера, а [2] — позавчера. Этот тест позволяет определить, что вчерашний максимум был больше максимумов предыдущих n дней, больше среднего истинного диапазона за те же n дней в k раз, а также больше сегодняшнего максимума в те же k раз. Заметьте, что использование [2] ограничивает расчет истинного диапазона днем перед пиком. Значение k должно быть больше 0,75. Пики, у которых k > 1, более предпочтительны, но встречаются они реже.
В Excel истинный диапазон рассчитывается как
TRn = Max(Hn – Ln, Hn – Cn – 1, Cn – 1 – Ln),
где n — текущая строка, n – 1 — предыдущая строка, а максимум, минимум и закрытие (H, L и C) находятся в столбцах B, C и D.
Островной разворот
Островной разворот, или островная вершина, представляет собой отдельный ценовой столбик или группу столбиков, находящихся на вершине ценового движения и изолированных гэпом до и после островной модели. Эта модель сопровождается высокой волатильностью и имеет репутацию важной точки разворота. Гэп справа от островной вершины является гэпом истощения. На рис. 3.15, показывающем AMR в начале 2003 г., виден островной разворот в середине апреля. Минимум этого отдельного волатильного дня выше, чем в предыдущий и последующий день. Он остается максимумом в течение всей следующей недели, но в конечном счете уступает новому волатильному росту цен. Может сформироваться также и островное дно, но это довольно редкое событие.
Рис. 3.15. В начале 2003 г. AMR продемонстрирует классический островной разворот, а также примеры других однодневных моделей
Развороты и колебания в опорных точках
Опорная точка представляет собой торговый день, или ценовой столбик, который выше или ниже предыдущих и последующих столбиков. Если весь столбик находится выше и предыдущего, и последующего дня, то разворот в опорной точке идентичен островному развороту. Если это очень волатильный восходящий день, но его минимум находится не выше максимумов окружающих столбиков, то это пик. Если отмечать на графике максимумы и минимумы колебаний, то максимум столбика точки разворота окажется максимумом колебания. Принято определять местонахождение максимума колебания, сравнивая максимум любого дня с двумя или более предшествующими и последующими днями. Модели дней по обе стороны столбика с максимумом не важны при условии, что средний столбик достигает самого высокого максимума. Когда для идентификации опорных точек используется больше дней, развороты считаются более значимыми, однако для их идентификации требуется больше времени.
Колби [16] протестировал торговую систему на опорных точках, используя следующие правила:
- Покупать (и закрывать короткие позиции), когда формируется дно опорной точки, и закрытие происходит выше предыдущего закрытия.
- Продавать (и закрывать длинные позиции), когда формируется вершина опорной точки, и закрытие происходит ниже предыдущего закрытия.
Применение этих правил к данным индекса DJIA за 101 год, по декабрь 2000 г. включительно, дало почти 7000 сделок (70 в год) с существенной прибылью. Другие тесты опорных точек приведены в главе 4.
Чашки и крышки
Еще одна вариация разворотов в опорных точках называется чашками или крышками, которые определяются всего лишь тремя ценовыми столбиками, хотя есть и другая модель с похожим названием — чашка с ручкой, — напоминающая долгосрочное закругленное дно, за которым следует боковое движение или слабый нисходящий тренд, завершающийся прорывом вверх. Для обеих этих краткосрочных моделей используются те же правила торговли, что и для каналов опорных точек применительно к самым коротким масштабам времени. В некоторых публикациях, однако, эти модели используются наоборот: крышка идентифицирует сигнал продажи, когда тренд направлен вверх, в то время как чашка дает сигнал покупки на нисходящем тренде. На ясно определенном восходящем тренде модель «крышка» определяется или по дневным закрытиям, или по дневным минимумам. В ряду любых трех последовательных дней средний день должен иметь высшую цену закрытия или самый высокий минимум. В модели «чашка» средний день должен иметь самый низкий минимум или самое низкое закрытие из трехдневной группы. В обоих случаях расположение максимумов и минимумов двух других дней не важно, если средний день ниже в случае чашки и выше в случае крышки.
Чашка генерирует сигнал покупки, если:
- модель «чашка» является самой низкой точкой нисходящего тренда;
- сигнал покупки (прорыв вверх) появляется в течение трех дней после формирования чашки;
- текущая цена закрывается выше самого высокого максимума чашки (средний столбик).
Сигнал покупки считается ложным, если цены разворачиваются и закрываются ниже минимума чашки, возобновляя предыдущий нисходящий тренд. Эта модель может предсказать только восходящее движение цены в течение двух дней. Однако каждое изменение направления должно где-нибудь начинаться, и эта модель может давать некоторое преимущество. На модели «крышка» торгуют по противоположным правилам.
Дни разворотов и дни ключевых разворотов
День, в котором за новым максимумом следует закрытие на более низком уровне, является днем разворота вниз. В день разворота вверх, соответственно, за новым минимумом следует более высокое закрытие. День разворота представляет собой весьма распространенную модель, как видно на рис. 3.16, где представлены фьючерсы на Russell 2000. Некоторые из этих дней показаны, однако на рис. 3.13–3.16 вы можете найти и другие примеры. Было выполнено много исследований с целью определения значимости дней разворота для торговли, но все они оказались неубедительными. В главе 15 приводится подробное исследование дней разворота, определяющее вероятность последующего движения цены, исходя из этой модели и других комбинаций. День разворота ни о чем не говорит без контекста более крупной ценовой модели, такой как очевидный тренд с резко увеличивающейся волатильностью или разворот на максимуме или минимуме нескольких предшествующих недель.
Рис. 3.16. Russell 2000 во второй половине 2002 г. Видны дн
