автордың кітабын онлайн тегін оқу Математические головоломки
Яков Перельман
Математические головоломки
Глава первая
Пятое математическое действие
Пятое действие
Алгебру называют нередко «арифметикой семи действий», подчеркивая, что к четырем общеизвестным математическим операциям она присоединяет три новых: возведение в степень и два ему обратных действия.
Наши алгебраические беседы начнутся с «пятого действия» – возведения в степень.
Вызвана ли потребность в этом новом действии практической жизнью? Безусловно. Мы очень часто сталкиваемся с ним в реальной действительности. Вспомним о многочисленных случаях вычисления площадей и объемов, где обычно приходится возводить числа во вторую и третью степени. Далее: сила всемирного тяготения, электростатическое и магнитное взаимодействия, свет, звук ослабевают пропорционально второй степени расстояния. Продолжительность обращения планет вокруг Солнца (и спутников вокруг планет) связана с расстояниями от центра обращения также степенной зависимостью: вторые степени времен обращения относятся между собою, как третьи степени расстояний.
Не надо думать, что практика сталкивает нас только со вторыми и третьими степенями, а более высокие показатели существуют только в упражнениях алгебраических задачников. Инженер, производя расчеты на прочность, сплошь и рядом имеет дело с четвертыми степенями, а при других вычислениях (например, диаметра паропровода) – даже с шестой степенью. Исследуя силу, с какой текучая вода увлекает камни, гидротехник наталкивается на зависимость также шестой степени: если скорость течения в одной реке вчетверо больше, чем в другой, то быстрая река способна перекатывать по своему ложу камни в 46, т. е. в 4096 раз более тяжелые, чем медленная.
С еще более высокими степенями встречаемся мы, изучая зависимость яркости раскаленного тела – например, нити накала в электрической лампочке от температуры. Общая яркость растет при белом калении с двенадцатой степенью температуры, а при красном – с тридцатой степенью температуры («абсолютной», т. е. считаемой от минус 273°). Это означает, что тело, нагретое, например, от 2000° до 4000° (абсолютных), т. е. в два раза сильнее, становится ярче в 212, иначе говоря, более чем в 4000 раз. О том, какое значение имеет эта своеобразная зависимость в технике изготовления электрических лампочек, мы еще будем говорить в другом месте.
Астрономические числа
Никто, пожалуй, не пользуется так широко пятым математическим действием, как астрономы. Исследователям Вселенной на каждом шагу приходится встречаться с огромными числами, состоящими из одной-двух значащих цифр и длинного ряда нулей. Изображение обычным образом подобных числовых исполинов, справедливо называемых «астрономическими числами», неизбежно вело бы к большим неудобствам, особенно при вычислениях. Расстояние, например, до туманности Андромеды, написанное обычным порядком, представляется таким числом километров:
95 000 000 000 000 000 000.
При выполнении астрономических расчетов приходится к тому же выражать зачастую небесные расстояния не в километрах или более крупных единицах, а в сантиметрах. Рассмотренное расстояние изобразится в этом случае числом, имеющим на пять нулей больше:
9 500 000 000 000 000 000 000 000.
Массы звезд выражаются еще бóльшими числами, особенно если их выражать, как требуется для многих расчетов, в граммах. Масса нашего Солнца в граммах равна:
1 983 000 000 000 000 000 000 000 000 000 000.
Легко представить себе, как затруднительно было бы производить вычисления с такими громоздкими числами и как легко было бы при этом ошибиться. А ведь здесь приведены далеко еще не самые большие астрономические числа.
Пятое математическое действие дает вычислителям простой выход из этого затруднения. Единица, сопровождаемая рядом нулей, представляет собой определенную степень десяти:
100 = 102, 1000 = 103, 10 000 = 104 и т. д.
Приведенные раньше числовые великаны могут быть поэтому представлены в таком виде:
первый. . . . . 95 · 1023
второй. . . . . 1983 · 1030
Делается это не только для сбережения места, но и для облегчения расчетов. Если бы потребовалось, например, оба эти числа перемножить, то достаточно было бы найти произведение 95 · 1983 = 188 385 и поставить его впереди множителя 1023 +30 = 1053:
950 · 1023 · 1983 · 1030 = 188 385 · 1053.
Это, конечно, гораздо удобнее, чем выписывать сначала число с 21 нулем, затем с 30 и, наконец, с 53 нулями, – не только удобнее, но и надежнее, так как при писании десятков нулей можно проглядеть один-два нуля и получить неверный результат.
Сколько весит весь воздух
Чтобы убедиться, насколько облегчаются практические вычисления при пользовании степенным изображением больших чисел, выполним такой расчет: определим, во сколько раз масса земного шара больше массы всего окружающего его воздуха.
На каждый кв. сантиметр земной поверхности воздух давит, мы знаем, с силой около килограмма. Это означает, что вес того столба атмосферы, который опирается на 1 кв. см, равен 1 кг. Атмосферная оболочка Земли как бы составлена вся из таких воздушных столбов; их столько, сколько кв. сантиметров содержит поверхность нашей планеты; столько же килограммов весит вся атмосфера. Заглянув в справочник, узнаем, что величина поверхности земного шара равна 510 млн кв. км, т. е. 51·107 кв. км.
Рассчитаем, сколько квадратных сантиметров в квадратном километре. Линейный километр содержит 1000 м, по 100 см в каждом, т. е. равен 105 см, а кв. километр содержит (105)2 = 1010 кв. сантиметров. Во всей поверхности земного шара заключается поэтому:
51 · 107 · 1010 = 51 · 1017 кв. сантиметров.
Столько же килограммов весит и атмосфера Земли. Переведя в тонны, получим:
51 · 1017: 1000 = 51 · 1017: 103 = 51 · 1017–3 = 51 · 1014.
Масса же земного шара выражается числом:
6 · 1021 тонн.
Чтобы определить, во сколько раз наша планета тяжелее ее воздушной оболочки, производим деление:
6 · 1021: 51 · 1014» 106,
т. е. масса атмосферы составляет примерно миллионную долю массы земного шара.
Разнообразие погоды
ЗАДАЧА
Будем характеризовать погоду только по одному признаку, – покрыто ли небо облаками или нет, т. е. станем различать лишь дни ясные и пасмурные. Как вы думаете, много ли при таком условии возможно недель с различным чередованием погоды?
Казалось бы, немного: пройдет месяца два, и все комбинации ясных и пасмурных дней в неделе будут исчерпаны; тогда неизбежно повторится одна из тех комбинаций, которые уже наблюдались прежде.
Попробуем, однако, точно подсчитать, сколько различных комбинаций возможно при таких условиях. Это – одна из задач, неожиданно приводящих к пятому математическому действию.
Итак: сколькими различными способами могут на одной неделе чередоваться ясные и пасмурные дни?
РЕШЕНИЕ
Первый день недели может быть либо ясный, либо пасмурный; имеем, значит, пока две «комбинации».
В течение двухдневного периода возможны следующие чередования ясных и пасмурных дней:
ясный и ясный
ясный и пасмурный
пасмурный и ясный
пасмурный и пасмурный.
Итого в течение двух дней 22 различного рода чередований. В трехдневный промежуток каждая из четырех комбинаций первых двух дней сочетается с двумя комбинациями третьего дня; всех родов чередований будет
22 · 2 = 23.
В течение четырех дней число чередований достигнет
23 · 2 = 24.
За пять дней возможно 25, за шесть дней 26 и, наконец, за неделю 27 = 128 различного рода чередований.
Отсюда следует, что недель с различным порядком следования ясных и пасмурных дней имеется 128. Спустя 128 · 7 = 896 дней непременно должно повториться одно из прежде бывших сочетаний; повторение, конечно, может случиться и раньше, но 896 дней – срок, по истечении которого такое повторение неизбежно. И обратно: может пройти целых два года, даже больше (2 года и 166 дней), в течение которых ни одна неделя по погоде не будет похожа на другую.
Замóк с секретом
ЗАДАЧА
В одном советском учреждении обнаружен был несгораемый шкаф, сохранившийся с дореволюционных лет. Отыскался и ключ к нему, но чтобы им воспользоваться, нужно было знать секрет замка; дверь шкафа открывалась лишь тогда, когда имевшиеся на двери 5 кружков с алфавитом на их ободах (36 букв) устанавливались на определенное слово. Так как никто этого слова не знал, то, чтобы не взламывать шкафа, решено было перепробовать все комбинации букв в кружках. На составление одной комбинации требовалось 3 секунды времени.
Можно ли надеяться, что шкаф будет открыт в течение ближайших 10 рабочих дней?
РЕШЕНИЕ
Подсчитаем, сколько всех буквенных комбинаций надо было перепробовать.
Каждая из 36 букв первого кружка может сопоставляться с каждой из 36 букв второго кружка. Значит, двухбуквенных комбинаций возможно
36 · 36 = 362.
К каждой из этих комбинаций можно присоединить любую из 36 букв третьего кружка. Поэтому трехбуквенных комбинаций возможно
362 · 36 = 363.
Таким же образом определяем, что четырехбуквенных комбинаций может быть 364, а пятибуквенных 365 или 60 466 176. Чтобы составить эти 60 с лишним миллионов комбинаций, потребовалось бы времени, считая по 3 секунды на каждую,
3 · 60 466 176 = 181 398 528
секунд. Это составляет более 50 000 часов, или почти 6300 восьмичасовых рабочих дней – более 20 лет.
Значит, шансов на то, что шкаф будет открыт в течение ближайших 10 рабочих дней, имеется 10 на 6300, или один из 630. Это очень малая вероятность.
Тремя двойками
Всем, вероятно, известно, как следует написать три цифры, чтобы изобразить ими возможно большее число. Надо взять три девятки и расположить их так:
999,
т. е. написать третью «сверхстепень» от 9.
Число это столь чудовищно велико, что никакие сравнения не помогают уяснить себе его грандиозность. Число электронов видимой Вселенной ничтожно по сравнению с ним. В моей «Занимательной арифметике» (гл. десятая) уже говорилось об этом. Возвращаюсь к этой задаче лишь потому, что хочу предложить здесь по ее образцу другую.
Тремя двойками, не употребляя знаков действий, написать возможно большее число.
РЕШЕНИЕ
Под свежим впечатлением трехъярусного расположения девяток вы, вероятно, готовы дать и двойкам такое же расположение:
222.
Однако на этот раз ожидаемого эффекта не получается. Написанное число невелико – меньше даже, чем 222. В самом деле: ведь мы написали всего лишь 24, т. е. 16.
Подлинно наибольшее число из трех двоек – не 222 и не 222 (т. е. 484), а
222 = 4 194 304.
Пример очень поучителен. Он показывает, что в математике опасно поступать по аналогии; она легко может повести к ошибочным заключениям.
Тремя тройками
ЗАДАЧА
Теперь, вероятно, вы осмотрительнее приступите к решению следующей задачи.
Тремя тройками, не употребляя знаков действий, написать возможно большее число.
РЕШЕНИЕ
Трехъярусное расположение и здесь не приводит к ожидаемому эффекту, так как
333, т. е. 327, меньше чем 333.
Последнее расположение и дает ответ на вопрос задачи.
Тремя четверками
ЗАДАЧА
Тремя четверками, не употребляя знаков действий, написать возможно большее число.
444,
РЕШЕНИЕ
Если в данном случае вы поступите по образцу двух предыдущих задач, т. е. дадите ответ
444,
то ошибетесь, потому что на этот раз трехъярусное расположение
как раз дает большее число. В самом деле, 44 = 256, а 4256 больше чем 444.
Тремя одинаковыми цифрами
Попытаемся углубиться в это озадачивающее явление и установить, почему одни цифры порождают числовые исполины при трехъярусном расположении, другие – нет. Рассмотрим общий случай.
Тремя одинаковыми цифрами, не употребляя знаков действий, изобразить возможно большее число.
Обозначим цифру буквой а. Расположению
222, 333, 444
соответствует написание
а10а+а, т. е. а11а.
Расположение же трехъярусное представится в общем виде так:
aaa.
Определим, при каком значении а последнее расположение изображает большее число, нежели первое. Так как оба выражения представляют степени с равными целыми основаниями, то бóльшая величина отвечает большему показателю. Когда же
аа > 11а?
Разделим обе части неравенства на а. Получим:
аа–1 > 11.
Легко видеть, что аа–1 больше 11 только при условии, что а больше 3, потому что
44–1 > 11,
между тем как степени
32 и 21
меньше 11.
Теперь понятны те неожиданности, с которыми мы сталкивались при решении предыдущих задач: для двоек и троек надо было брать одно расположение, для четверок и бóльших чисел – другое.
Четырьмя единицами
ЗАДАЧА
Четырьмя единицами, не употребляя никаких знаков математических действий, написать возможно большее число.
РЕШЕНИЕ
Естественно приходящее на ум число – 1111 – не отвечает требованию задачи, так как степень
1111
во много раз больше. Вычислять это число десятикратным умножением на 11 едва ли у кого хватит терпения. Но можно оценить его величину гораздо быстрее с помощью логарифмических таблиц.
Число это превышает 285 миллиардов и, следовательно, больше числа 1111 в 25 с лишним млн раз.
Четырьмя двойками
ЗАДАЧА
Сделаем следующий шаг в развитии задач рассматриваемого рода и поставим наш вопрос для четырех двоек.
При каком расположении четыре двойки изображают наибольшее число?
РЕШЕНИЕ
Возможны 8 комбинаций:
Какое же из этих чисел наибольшее?
Займемся сначала верхним рядом, т. е. числами в двухъярусном расположении.
Первое – 2222, – очевидно, меньше трех прочих.
Чтобы сравнить следующие два —
2222 и 2222,
преобразуем второе из них:
2222 = 222-11 = (222)11 = 48411.
Последнее число больше, нежели 2222, так как и основание, и показатель у степени 48411 больше, чем у степени 2222.
Сравним теперь 2222 с четвертым числом первой строки – с 2222. Заменим 2222 бóльшим числом 3222 и покажем, что даже это большее число уступает по величине числу 2222. В самом деле,
3222 = (25)22 = 2110
– степень меньшая, нежели 2222.
Итак, наибольшее число верхней строки – 2222. Теперь нам остается сравнить между собой пять чисел – сейчас полученное и следующие четыре:
Последнее число, равное всего 216, сразу выбывает из состязания. Далее, первое число этого ряда, равное 224 и меньшее, чем 324 или 220, меньше каждого из двух следующих. Подлежат сравнению, следовательно, три числа, каждое из которых есть степень 2. Больше, очевидно, та степень 2, показатель которой больше. Но из трех показателей
222, 484 и 220 + 2 (= 210 · 2 · 22 ≈ 106 · 4)
последний – явно наибольший.
Поэтому наибольшее число, какое можно изобразить четырьмя двойками, таково:
Не обращаясь к услугам логарифмических таблиц, мы можем составить себе приблизительное представление о величине этого числа, пользуясь приближенным равенством
210 ≈ 1000.
В самом деле,
Итак, в этом числе – свыше миллиона цифр.
Глава вторая
Язык алгебры
Искусство составлять уравнения
Язык алгебры – уравнения. «Чтобы решить вопрос, относящийся к числам или к отвлеченным отношениям величин, нужно лишь перевести задачу с родного языка на язык алгебраический», – писал великий Ньютон в своем учебнике алгебры, озаглавленном «Всеобщая арифметика». Как именно выполняется такой перевод с родного языка на алгебраический, Ньютон показал на примерах. Вот один из них.
Чтобы определить первоначальный капитал купца, остается только решить последнее уравнение.
Решение уравнений – зачастую дело нетрудное; составление уравнений по данным задачи затрудняет больше. Вы видели сейчас, что искусство составлять уравнения действительно сводится к умению переводить «с родного языка на алгебраический». Но язык алгебры весьма немногословен; поэтому перевести на него удается без труда далеко не каждый оборот родной речи. Переводы попадаются различные по трудности, как убедится читатель из ряда приведенных далее примеров на составление уравнений первой степени.
Жизнь Диофанта
ЗАДАЧА
История сохранила нам мало черт биографии замечательного древнего математика Диофанта. Все, что известно о нем, почерпнуто из надписи на его гробнице – надписи, составленной в форме математической задачи. Мы приведем эту надпись.
РЕШЕНИЕ
Решив уравнение и найдя, что x = 84, узнаем следующие черты биографии Диофанта; он женился 21-го года, стал отцом на 38-м году, потерял сына на 80-м году и умер 84-х лет.
Лошадь и мул
ЗАДАЧА
Вот еще несложная старинная задача, легко переводимая с родного языка на язык алгебры.
«Лошадь и мул шли бок о бок с тяжелой поклажей на спине. Лошадь жаловалась на свою непомерно тяжелую ношу. «Чего ты жалуешься? – отвечал ей мул. – Ведь если я возьму у тебя один мешок, ноша моя станет вдвое тяжелее твоей. А вот если бы ты сняла с моей спины один мешок, твоя поклажа стала бы одинакова с моей».
Скажите же, мудрые математики, сколько мешков несла лошадь и сколько нес мул?»
РЕШЕНИЕ
Мы привели задачу к системе уравнений с двумя неизвестными:
Решив ее, находим: х = 5, y = 7. Лошадь несла 5 мешков и 7 мешков – мул.
Четверо братьев
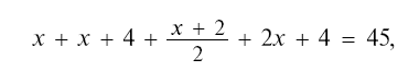
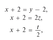
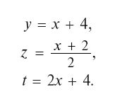
ЗАДАЧА
У четырех братьев 45 рублей. Если деньги первого увеличить на 2 рубля, деньги второго уменьшить на 2 рубля, деньги третьего увеличить вдвое, а деньги четвертого уменьшить вдвое, то у всех окажется поровну. Сколько было у каждого?
РЕШЕНИЕ
Расчленяем последнее уравнение на три отдельных:
откуда
Подставив эти значения в первое уравнение, получаем:
откуда х = 8. Далее находим: y = 12, z = 5, t = 20. Итак, у братьев было:
8 руб., 12 руб., 5 руб., 20 руб.
Птицы у реки
ЗАДАЧА
У одного арабского математика XI века находим следующую задачу.
На обоих берегах реки растет по пальме, одна против другой. Высота одной – 30 локтей, другой – 20 локтей; расстояние между их основаниями – 50 локтей. На верхушке каждой пальмы сидит птица. Внезапно обе птицы заметили рыбу, выплывшую к поверхности воды между пальмами; они кинулись к ней разом и достигли ее одновременно.
Рис. 1
На каком расстоянии от основания более высокой пальмы появилась рыба?
РЕШЕНИЕ
Из схематического чертежа (рис. 2), пользуясь теоремой Пифагора, устанавливаем:
AB2 = 302 + x2, AC2 = 202 + (50 – x)2.
Рис. 2
Но АВ = АС, так как обе птицы пролетели эти расстояния в одинаковое время. Поэтому
302 + x2 = 202 + (50 – x)2.
Раскрыв скобки и сделав упрощения, получаем уравнение первой степени
100x = 2000,
откуда х = 20.
Рыба появилась в 20 локтях от той пальмы, высота которой 30 локтей.
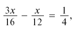
Прогулка
ЗАДАЧА
– Зайдите ко мне завтра днем, – сказал старый доктор своему знакомому.
– Благодарю вас. Я выйду в три часа. Может быть, и вы надумаете прогуляться, так выходите в то же время, встретимся на полпути.
– Вы забываете, что я старик, шагаю в час всего только 3 км, а вы, молодой человек, проходите при самом медленном шаге 4 км в час. Не грешно бы дать мне небольшую льготу.
– Справедливо. Так как я прохожу больше вас на 1 км в час, то, чтобы уравнять нас, дам вам этот километр, т. е. выйду на четверть часа раньше. Достаточно?
– Очень любезно с вашей стороны, – поспешил согласиться старик.
Молодой человек так и сделал: вышел из дому в три четверти третьего и шел со скоростью 4 км в час. А доктор вышел ровно в три и делал по 3 км в час. Когда они встретились, старик повернул обратно и направился домой вместе с молодым другом.
Только возвратившись к себе домой, сообразил молодой человек, что из-за льготной четверти часа ему пришлось в общем итоге пройти не вдвое, а вчетверо больше, чем доктору.
Как далеко от дома доктора до дома его молодого знакомого?
РЕШЕНИЕ
Обозначим расстояние между домами через х (км).
Молодой человек всего прошел 2х, а доктор вчетверо меньше, т. е.
Имеем уравнение
откуда x = 2,4 км.
От дома молодого человека до дома доктора 2,4 км.
Артель косцов
Известный физик А.В. Цингер в своих воспоминаниях о Л.Н. Толстом рассказывает о следующей задаче, которая очень нравилась великому писателю:
«Артели косцов надо было скосить два луга, один вдвое больше другого
