автордың кітабын онлайн тегін оқу Новый сборник статей по физике пространства. Наука будущего
Анатолий Трутнев
Новый сборник статей по физике пространства
Наука будущего
Шрифты предоставлены компанией «ПараТайп»
© Анатолий Трутнев, 2017
В сборнике изложены статьи, в которых на основании смоделированной системы представлен новый взгляд на сущность физических законов, процессов явлений, по которым у традиционной физики много неясностей и сомнений. В частности дано объяснение механизма гравитационных взаимодействий между материальными телами, удаленными на большие расстояния друг от друга, а также физической сущности постоянства скорости света. Предложены новые пути поиска источников энергии.
12+
ISBN 978-5-4483-8297-0
Создано в интеллектуальной издательской системе Ridero
Оглавление
- Новый сборник статей по физике пространства
- Предисловие
- Образование химических элементов в недрах звезд — результат взаимодействия материи и пространства
- К вопросу о проблеме закона сохранения энергии в общей теории относительности Эйнштейна
- Новый взгляд на античастицы и их аннигиляцию
- Механизм гравитационного взаимодействия материальных тел
- Механизм фундаментальных взаимодействий
- Физические поля — результат взаимодействия материи и пространства
- Поиск новых путей получения источников энергии
- К вопросу о природе магнитного поля Земли
- К вопросу о природе магнетизма
- Ещё раз о физической сущности энергии
- Фотосинтез — результат перехода энергии материи в энергию пространства
- Загадки массы
- Свет и тени Вселенной
- Есть ли у скорости света альтернатива?
- Изменение гравитационного поля материальных тел с течением времени
- Соотношение смоделированной системы взаимодействия материи и пространства с СТО Эйнштейна
- Ещё раз о природе электромагнитных излучений
- Есть ли долгоживущие изотопы сверхтяжелых элементов в природе и можно ли их получить в лаборатории?
- Светоносный эфир: миф это или реальность?
- Загадки скорости света и звука при их распространении в различных физических средах
- Круговорот энергии во Вселенной
- Гравитационная эффективность материальных тел
- Грозовой разряд — беспроводная передача энергии в пространстве
Предисловие
Важное место в современном понимании физических реалий занимает понятие о созидательной роли взаимодействия противоположностей в организации и формировании окружающего нас мира. Именно этот фактор имеет главенствующее значение в его развитии, стабильности и равновесии. Множество тому примеров можно найти в живой и не живой природе, а также в духовном плане.
Так в результате взаимодействия положительных и отрицательных зарядов возникает электрическая энергия, а борение холода и тепла порождает климатические разнообразия планеты.
Многообразие форм в современном понимании живых организмов существовавших и существующих на Земле — это продукт соединения женских и мужских начал, а рождение и смерть, лежащие в основе бесконечной череды смен поколений, является гарантией стабильности и процветания биологических видов.
Столкновение различных мировоззрений и взглядов рождает истину, а показатель борьбы добра и зла является мерилом моральных устоев человеческого общества.
Однако следует отметить, что доминирующей основой в созидательной роли взаимодействия противоположностей в глубинных процессах физического мира является взаимодействие его основных компонент — материи и пространства.
Настоящий сборник состоит из статей, написанных в соответствии с базовыми принципами единства взаимодействия материи и пространства, изложенных в предыдущих работах по физике пространства
В них на основе анализа многочисленных материалов, опубликованных в научных журнала (Журнал экспериментальной и теоретической физики), научных обозрениях (Пространство, время, гравитация под ред. Ю.С Владимирова), учебных пособиях (Общая и неорганическая химия под ред. А.Я Угай) и других источниках выявлен ряд физических и химических процессов, явлений, закономерностей, на которые у современных теорий традиционной физической и химической науки нет однозначных исчерпывающих ответов, а в механизме их действия много неясностей и сомнений.
При сравнении оказалось, что смоделированная система единства взаимодействия материи и пространства не противоречит основным фундаментальным физическим и химическим законам. В её рамках снимается проблема закона сохранения энергии в ОТО Эйнштейна. По новому, исходя из реального распределения химических элементов в пределах солнечной системы, объясняется механизм образования их в недрах звезд. Сделаны прогнозы по изменению гравитационного поля материальных тел с течением времени, по разработке методов получения в будущем новых источников энергии, а также освоению каналов по информационному общению землян с другими цивилизациями на принципиально новой основе.
Физика наука, основанная на опытах, экспериментах, достоверно установленных фактах. Смоделированная система, которая положена в основу данной работы, базируется на предположении существования силовых линий пространства, объективную реальность которых экспериментально невозможно установить. В то же время следует отметить, что в подобных случаях для подтверждения теоретических обоснований процессов, протекающих в недоступных для их измерения местах, используются косвенные доказательства. Например, недра звезд. Этот прием использован и в данной работе. Так, например, результаты моделирования находят косвенное подтверждение в реально протекающих физических процессах и явлениях. Смоделированная система позволяет внести определенную ясность в сущность физических процессов, явлений и в поведение отдельных элементарных частиц, о которых в науке до сих пор нет однозначных ответов. Выводы моделирования позволяют сделать прогнозы решения проблем и путей развития познания физических свойств материальных тел, процессов и их взаимодействий в свете современных о них представлениях
В настоящем сборнике представлены статьи с позиции смоделированной системы единства взаимодействия материи и пространства. Их новизна заключается в том, что в них физические поля, законы, явления и процессы рассматриваются с базовых принципов смоделированной системы, согласно которых материя и пространство взаимосвязаны и находятся в непрерывном взаимодействии. Формой взаимосвязи материи и пространства является время, а взаимодействие между ними осуществляется с помощью энергии материи и энергии пространства, которые не могут существовать отдельно, а непрерывно переходят друг в друга, именно в этом и состоит фундаментальность закона сохранения энергии
Переход одной энергии в другую осуществляется с помощью протона и электрона. Двигаясь по силовым линиям пространства протон сжимает их, затрачивая на это свою энергию движения (энергию материи). При этом сжатии происходит перевод энергии материи в энергию пространства путем её консервации за счет сжатия силовых линий пространства. Электрон при движении по силовым линиям пространства расширяет их. при этом высвобождается затраченная на их сжатие энергии материи Этим и объясняется тот факт, что электрон продолжает движение при температурах близких к абсолютному нулю, когда все элементарные частицы останавливаются, а также то. Что у фотона нет античастицы. Хотя, с точки зрения, смоделированной системы у фотона есть» своеобразная античастица антифотон». Дело в том, что фотон единица измерения энергии материи, а «антифотон» единица измерения энергии пространства. Фотон это часть световой электромагнитной волны, на неё приходится максимум энергии матери и минимум энергии пространства, которая воспринимается органами наших чувств и фиксируется различными физическими приборами. «Антифотон» это часть световой волны, на которую приходится минимум материи энергии и максимум энергии пространства. Она не воспринимается органами наших чувств, поэтому она невидима и для её фиксации в настоящее время нет соответствующих физических приборов.
Все статьи опубликованы в сборниках конференций, которые проходили в 013—2015 гг. в США, Канаде, Германии России (Москва, Санкт — Петербург).
Образование химических элементов в недрах звезд —
результат взаимодействия материи и пространства
По современным представлениям образование новых химических элементов происходит в недрах звезд, где с повышением температуры резко возрастают скорости хаотично движущихся отдельных протонов и нейтронов. Скорости достигают таких величин, что появляется значительная доля вероятности их сближения до расстояний, при которых они объединяются. В результате появляются ядра различных элементов от гелия до железа. Это происходит в недрах звезд, масса которых не более массы Солнца. Звезды у которых масса более двух масс Солнца коллапсируют, при этом происходит перемешивание веществ, находящихся в разных областях звезды. В таких условиях интенсивность и количество ядерных реакций увеличивается. В результате появляются медленно движущиеся нейтроны, способные проникать в ядра химических элементов. Ядра с избытком нейтронов не стабильны. Один из нейтронов распадается на протон и электрон, который вылетает из ядра, У ядра увеличивается заряд и оно становится ядром более тяжелого элемента. Таким способом образуются элементы от кобальта до урана. Составляющие 72% ПСЭ. При таком варианте вероятность образования химических элементов в количественном выражении должно быть одинаковой у всех элементов вплоть до железа, однако в реальности это далеко не так. Химический анализ состава планет, их спутников, комет, астероидов, населяющих солнечную систему, показывает. что в них доминируют O, N, Si, S, Ca, K, Fe. Доля остальных элементов в разы меньше. А для образования всей их массы количество сверхточных «слияний» и «застреваний» должно составлять 1033 в 1 секунду, что весьма и весьма проблематично. Следовательно, наряду, с этими способами существуют и другие более эффективные способы.
Таким способом, по мнению автора, может быть образование химических элементов в результате взаимодействия материи и пространства. Суть его заключается в следующем.
ПРИНЦИПЫ МОДЕЛИРОВАНИЯ
Реалии (R) окружающего нас мира можно представить как:
R = W + P где W — материя, P — пространство
Т — время форма взаимодействия материи и пространства.
ЕS — энергия форма взаимосвязи материи и пространств
В смоделированной системе, чтобы глубже понять роль каждой из компонент, материя и пространство были разделены до последних неделимых (гипотетических) частиц и обозначены следующим образом:
g — положительно заряженная частица — гравитон
p –отрицательно заряженная частица пространства — простон.
Гравитон это («горячий») сгусток энергии материи, а простон это («холодный») сгусток энергии пространства Оба сгустка образовались в начальной стадии образования Вселенной.
Частицы одинаковы по модулю и обратны по знаку.
Пространство в смоделированной системе представлено совокупностями простонов, собранных в «силовые линии», которые, в свою очередь, образуют своеобразную «сеть», равномерно напряженную во всех направлениях за счет сил отталкивания одноименных зарядов.
Материя в смоделированной системе представляет собой совокупность гравитонов, размещенных определенным образом между силовыми линиями пространства. Способами этих размещений определяется все многообразие физического мира.
Все материальные тела (от частиц до галактик) движутся в силовых линиях пространства и деформируют их. Протон сжимает, а электрон расширяет силовые линии пространства В этом их фундаментальное сходство и различие. Несмотря на то, что протон тяжелее электрона в 1840 раз, у обоих частиц одинаковые по величине, но разные по знаку заряды.
Энергия является формой связи между материей и пространством. Здесь она выступает в двух ипостасях — энергии материи и энергии пространства. В современном мире все физические, химические, биологические, ядерные процессы, явления, взаимодействия происходят при непосредственном участии обоих видов энергии Они взаимно переходят друг в друга и служат основой для формирования всего многообразия различных видов материальной энергии и способов их перехода одного вида в другой.
РЕЗУЛЬТАТЫ МОДЕЛИРОВАНИЯ
С ростом гравитационного сжатия в недрах звезд увеличивается степень деформации (сжатия) силовых линий внутри звездного пространства. И как только она превысит степень деформации силовых линий во внутриатомном пространстве атома водорода, электрон преодолевает притяжение ядра (он движется в направлении более высокой степени сжатия) и «вылетает» из атома, В результате получается «бульон» из высоко энергичных и высоко скоростных протонов и электронов. При дальнейшем увеличении степени сжатия силовых линий пространства протоны поглощают электроны и превращаются в нейтроны. Протоны объединяются с нейтронами и образуются дейтроны. Два дейтрона сливаются и образуют первый энергетический слой ядер химических элементов (ядро гелия) с выделением ядерной энергии
Таким образом, гелий является первым элементом, образовавшимся из ядер водорода в недрах звезд.
Рис. 1 Схема ядра гелия
Согласно общепринятой классификации электронного строения атомов электронная конфигурация атома гелия обозначается 1s2. Атом гелия в нормальном состоянии представляет собой ядро, состоящее из двух протонов и двух нейтронов, образующих первый ядерный слой (α — слой α — слой) всех химических элементов ПСЭ (Рис.1), вокруг которого движутся два электрона с антипаралельными спинами. Оба электрона находятся на наинизшей по энергии орбитали 1s, граничная поверхность которой является симметрично-сферической. Внутри этой поверхности силы сжатия уравновешиваются силами расширения на граничной поверхности, где электронная плотность достигает своего максимального значения, поэтому степень деформации (сжатие) силовых линий пространства до граничной поверхности высока и однородна, а за ней (то есть вокруг эффективного радиуса атома) очень незначительна, что делает химическую связь гелия с другими элементами трудно доступной. Так, например, для атома гелия промотирование электрона с орбитали 1s на орбиталь s требует затрат энергии 1672 кДж/ моль, что в обычных реакциях не отмечается, поэтому гелий не образует валентно-химических соединений.
Рис. 2 Схема ядра лития
Атомом гелия заканчивается I период ПСЭ. У него полностью сформирован первый ближайший от ядра электронный слой (K-слой). Такой же слой присутствует в атомах всех остальных элементов ПСЭ.
Рис. 3 Схема ядра кислорода
По мере усиления степени деформации силовых линий пространства в недрах звезды к ядру гелия, состоящему из двух дейтронов, присоединяются третий дейтрон и свободный нейтрон и образуют второй ядерный слой всех последующих за гелием элементов, при этом свободный нейтрон выполняет роль «буфера», не давая слоям слиться воедино. Это ядро лития первого химического элемента второго периода ПСЭ (Рис.2) Присоединившийся к ядру гелия, дейтрон изменяет конфигурацию его электронного облака. Литий первый элемент, с которого формируется второй электронный слой (L — слой, n=2). Его третий электрон не может находится на орбитали 1s, так как там уже находятся два электрона, а согласно запрета Паули на одной орбитали могут находится только два электрона, поэтому третий электрон заполняет с более высоким значением энергии орбиталь s. L — слой является внешним электронным слоем атома лития. Незначительная степень деформации силовых линий пространства внешнего электронного слоя в наличие небольшого по эффективности заряда ядра, делают внешний электрон лития легко доступным для образования ковалентной химической связи с другими химическими элементами.
Рис. 4 Схема ядра неона
Бериллий (Be) образуется в результате присоединения очередного дейтрона к ядру лития во втором энергетическом слое. Его электронная формула 1s2 s2, Каждый дейтрон оказывает деформирующее влияние на определенное количество силовых линий пространства, поэтому присоединившийся дейтрон увеличивает объём внутри атомного пространства во внешнем электронном слое и повышает степень деформации силовых линий во внешнем электронном слое Деформированные (сжатые) им силовые линии частично перекрещиваются (накладываются) с силовыми линиями пространства, деформированными предыдущим. дейтроном. Так как, силовые линии пространства состоят из простонов, представляющих собой волну-частицу, то при наложении происходит их интерференция. Там, где фазы волн совпадают происходит повышение степени деформации силовых линий пространства и с ней вместе увеличивается вероятность пребывания электронов, а где не совпадают их понижение и, следовательно, уменьшение вероятности пребывания электронов, поэтому. электронное облако атома бериллия состоит из сгущений и разреживаний
Рис. 5 Схема ядра аргона
Как и литий, бериллий химически активный элемент, хотя несколько ему уступает.
Бор пятый элемент периодической системы. Электронная структура бора 1s2 s2 p1.
Во втором ядерном слое ядра бора, формирующем конфигурацию электронного облака атома бора три дейтрона
По химической активности бор не уступает бериллию. Деформации силовых линий пространства во внешнем электронном слое его имеет пространственную направленность Из-за кайносимметричности атома бора его валентные электроны менее экранированы от заряда ядра, его ионизационный потенциал составляет 8,3 эВ, а ОЭО—2,0, сам атом имеет небольшие размеры. Всё это определяет неметаллическую природу бора.
Углерод первый элемент IV группы периодической системы. Он образуется в недрах звезд путем слияния трёх ядер гелия с выделением энергии 0,80% от энергии покоя. Электронная формула атома углерода 1s2 s2 p2. Второй ядерный слой составляют 4 дейтрона Присоединившийся четвертый дейтрон, сжимая силовые линии внутри атомного пространства, расширяет пространственную ориентацию внешнего электронного облака (орбиталь p) и тем самым увеличивает его возможности для перекрещивания с электронными облаками с другими элементами. Это и определяет химические свойства атома углерода. Так электрон, уравновешивающий силы сжатия четвертого дейтрона, заполняет орбиталь p и делает углерод двухвалентным элементом, но пространственная ориентация внешнего электронного слоя при возбуждении атома делает возможным промотирование одного из спаренных электронов c орбитали s на орбиталь p, что делает его четырехвалентным
Азот первый элемент V — группы ПСЭ. Электронная формула азота 1s2 s2 p3,. Во втором ядерном слое азота 5 дейтронов Новый (пятый) дейтрон сжимает силовые линии пространства во внешнем электронном слое, а притянутый им электрон заполняет орбиталь p и тем самым продолжает расширять его пространственную ориентацию, то есть формировать его химические свойства. Пространственная направленность валентных орбиталей p в совокупности с высокой степенью деформации силовых линий пространства внешнего электронного слоя, делает азот одним из активнейших химических элементов.
Кислород восьмой элемент ПСЭ и с него начинается VI группа. Он, как и углерод, образуется в недрах звезд путем слияния двух ядер углерода. Электронная формула кислорода 1s2 s2 p4Второй ядерный слой кислорода состоит из шести дейтронов (Рис.3). Шестой (новый) дейтрон, сжимает силовые линии пространства во внешнем электронном слое. Притянутый им электрон не может заполнить вакантную новую орбиталь (3d), так как она пространственно недоступна для деформации силовых линий дейтронами второго энергетического ядерного слоя, поэтому новый электрон заполняет орбиталь p с находящимся там электроном. Высокая степень деформации силовых линий пространства внешнего электронного слоя в совокупности с пространственной направленностью валентных орбиталей, делает кислород одним из самых агрессивных химических элементов. По химической активности кислород уступает только фтору.
Кислород самый распространенный элемент на Земле и образует огромное количество соединений с другими элементами.
Фтор возглавляет VII — группу элементов ПСЭ. Его электронная формула 1s2 s2 p5 У него 7 дейтронов во втором ядерном слое. Фтор довольно распространенный элемент в природе. Высокая степень деформации (сжатия) силовых линий пространства и наивысший показатель по ОЭО (4,0) делают фтор самым химически активным элементом периодической системы.
Неоном заканчивается II — ой период ПСЭ и завершается заполнение дейтронами второго ядерного слоя (Рис.4). Он образовывается в недрах звезд слиянием двух ядер кислорода. Электронная формула неона 1s2 s2 p6. У атома неона нет свободных (валентных) электронов. Восьмой электрон с антипаралельным спином, притянутый восьмым дейтроном второго энергетического слоя ядра, заполняет орбиталь p, с находящимся там электроном, поэтому все электроны у атома неона спаренные. Из-за отсутствия во внешнем электронном слое свободных орбиталей промотирование одного из спаренных электронов невозможно. Пространственная ориентация деформации (сжатия) силовых линий пространства внешнего электронного слоя атома неона, осуществляемая восьмым дейтроном, смыкается с таковой, осуществляемой первым дейтроном, и теряет направленность. При этом степень деформации силовых линий вокруг атомного пространства становится одинаковой, поэтому атом неона химически инертен.
С ядра следующего за неоном элемента натрия начинается формирование третьего ядерного слоя химических элементов ПСЭ. Как и второй ядерный слой он состоит из восьми дейтронов и каждое последовательное присоединение нового дейтрона означает возникновение более массивного следующего элемента третьего периода ПСЭ. Na, Mg, Al, Si, P, S, C l, Ar. Заканчивается формирование третьего ядерного слоя у ядра аргона (Рис. 5), а вместе с ним и химических элементов третьего периода ПСЭ. Из-за тех же условий, что у неона. аргон инертный газ.
Дальнейшее нарастание деформации (сжатия) силовых линий пространства внутри звезд приводит к образованию четвертого и пятого ядерных слоев, а вместе с ним химических элементов четвертого периода и пятого периодов ПСЭ. В них содержится по 18 дейтронов и они также заканчивается формированием ядер инертных газов криптона и ксенона.
Шестой ядерный слой содержит 32 дейтрона. Здесь, как и в предыдущих периодах, последовательное присоединение, происходящее в результате степени сжатия силовых линий пространства, заканчивается возникновением нового химического элемента, но в отличие от них, где все химические элементы находятся в основном (нормальном) состоянии, здесь все элементы от полония до радона радиоактивны. Последний стабильный элемент в шестом периоде висмут. Его электронная формула (Xe) 4f14 5d10 6s2 6p3, в ядерном σ —слое ядра находится 9 дейтронов. Дейтроны сжимают силовые линии пространства во внешнем P — электронном слое, а притянутый электрон заселяется на орбиталь 6p. На этих орбиталях у висмута находится три свободных электрона, поэтому формальная валентность его равна 3.
Полоний первый радиоактивный элемент после висмута. Его электронная формула (Xe) 4f14 5d10 6s2 6p., в шестом ядерном слое находится 30 дейтронов. Радиоактивность химических элементов с позиции единства взаимодействия материи и пространства обусловлена нестабильностью их ядер, которая является результатом перенасыщенности их нуклонами (протонами и нейтронами). Дело в том, что, как известно, нуклоны обладают спином (собственный механический момент движения частицы), поэтому каждый энергетический слой ядра имеет тоже спин, который является результатом сложения составляющих их нуклонов. В свою очередь ядра атомов также обладают спином, который слагается из спинов их энергетических слоев. У висмута ядро состоит из 6 энергетических слоев и все они стабильны. Ядро полония также состоит из 6-ти энергетических. слоев, но, в отличие от висмута, 5 из них стабильны (они представляют собой ядро стабильного ксенона), а шестой энергетический слой не стабилен. Его нестабильность обусловлена тем, что он перенасыщен нуклонами, потому что во всех энергетических слоях ядер стабильных элементов, начиная от водорода и кончая последним стабильным висмутом, количество нуклонов в отдельном энергетическом слое ядра не превышает 78 нуклонов. Такое количество нуклонов находится в шестом энергетическом слое висмута, а он является последним стабильным элементом ПСЭ, у него соотношение N / Z =126/ 83 = 1,518. У полония соотношение N / Z =126 / 84 =1,50, но висмут стабилен, а полоний радиоактивен. Следовательно его радиоактивность обусловлена не общим соотношением N / Z, а нестабильностью шестого ядерного слоя, потому что в нем у полония находится 79 нуклонов, а висмута их 78. Этот вывод подтверждается тем. что все последующие за ним элементы тоже радиоактивны, так как у них в шестом ядерном слое количество нуклонов выше предельного (78 нуклонов). Перегруженность нуклонами делает спин шестого ядерного слоя нестабильным, а следовательно становится нестабильным общий спин ядра, что приводит к его разрыву центробежными силами и оно распадается на изотопы.
Дальнейший рост гравитационного сжатия силовых линий пространства внутри коллапсирующей звезды приводит к образованию ядер химических элементов, содержащих семь ядерных слоев — Fr, Ra, Ac, Th, Pa, U/ Все они радиоактивны.
Уран последний радиоактивный элемент ПСЭ, встречающийся в природе в естественном виде. Все остальные радиоактивные элементы ПСЭ искусственного происхождения. Электронная формула урана (Rn) 7s2 6d1 5f3, седьмой τ — слойядра состоит из 6 дейтронов.
ХИМИЧЕСКАЯ СВЯЗЬ
По современным представлениям природа всех веществ определяется их химическим строением, характеризующимся следующими параметрами:
— энергетическими, геометрическими и квантово-механическими:
— пространственной направленностью электронных облаков и
— эффективностью зарядов атомов.
Определяющая роль в химическом строении любого вещества принадлежит химической связи между частицами, составляющими данное вещество: атомами, молекулами. Она характеризуется энергетическими и геометрическими параметрами. Всякое химическое взаимодействие это взаимодействие валентных электронов, поэтому многие исследователи считают теорию химической связи, прежде всего, как электронную теорию (С.А Кутолин, Г.М Писиченко)
Анализ многочисленных материалов о химических связях свидетельствует о том, что в их образовании доминирующую роль играют пространственная направленность и максимальное перекрытие электронных облаков взаимодействующих атомов и молекул в совокупности с воздействием на них эффективных ядерных зарядов атомов. В тоже время следует отметить, что сам механизм воздействия ядерных зарядов атомов на эти параметры до сих пор не изучен.
С позиции единства взаимодействия материи и пространства механизм воздействия ядерных зарядов атомов химических элементов на пространственную направленность и максимальное перекрытие электронных облаков взаимодействующих атомов выглядит следующим образом
В качестве примеров рассмотрим образование молекул двух разнородных атомов H2 O
Молекула воды H2 O образуется из двух разнородных атомов — одного атома кислорода и двух атомов водорода. Атом водорода имеет один валентный s-электрон, а его ядро содержит один протон, который сжимает силовые линии пространства вокруг себя с одинаковой степенью деформации во всех направлениях.
У атома кислорода во внешнем электронном находится два валентных p-электрона, а его ядро состоит из двух энергетических слоев (α и β). Второй энергетический слой, который деформирует силовые линии пространства во внешнем электронном слое и придает ему пространственную направленность, находится 6 дейтронов. Степень сжатия силовых линий пространства во внешнем электронном слое атома кислорода в значительной степени превосходит степень их сжатия протоном ядра атома водорода, поэтому при сближении атомов максимальная степень сжатия силовых линий межатомного пространства сдвигается в сторону атома кислорода (Рис 6).
Рис. 6 Схема образования молекулы воды со сдвигом максимального сближения силовых линий межатомного пространства в сторону атома кислорода
Опираясь на базовые принципы смоделированной системы можно сделать следующие выводы:
1. Ображование химических элементов происходит в результате повышения степени деформации (сжатия) силовых линий пространства в недрах звезд, обусловленной гравитационным сжатием их масс
2. Ядра химических элементов имеют слои, соответствующие периодам ПСЭ.
3. Возникновение новых ядер химических элементов, находящихся в основном (нормальном) состоянии, происходит при условии равновесия степени сжатия силовых линий окружающего ядро пространства с таковой внутри самого ядра.
4. Ядро нового химического элемента образуется путем присоединения определенного количества нуклонов к незавершенному слою ядра предыдущего элемента.
5. Присоединение дополнительных нуклонов к завершенному слою ядра формирует новый ядерный слой, вместе с ним формируется соответствующий период ПСЭ. При этом присоединяющиеся нейтроны выполняют роль «буфера», не дающего ядерным слоям слиться воедино.
6. В природе не существуют химические элементы (кроме атома легкого водорода), ядра которых бы состояли из одних протонов.
7. способность химических элементов определяет количество дейтронов, находящихся в ядерном слое, осуществляющих деформацию силовых линий пространства во внешнем валентным электронном слое и вокруг атомного пространства.
8. Наибольшей химической активностью обладают химические элементы II — го и III-го периодов. Это связано с тем, что первый ядерный слой у них плотно экранирован, а деформирующие усилия ядерных слоев, осуществляющих деформацию силовых линий во внешнем электронном слое и вокруг атомного пространства,. полностью не экранируются соответствующими электронными облаками и имеют определенную пространственную направленность.
9. При соединении химических элементов, обладающих различной степенью деформации силовых линий пространства, происходит сдвиг электронных облаков, осуществляющих это соединение, в сторону химического элемента с большей степенью деформации. Яркий пример этому структурное строение молекулы воды. Атом кислорода имеет в активном ядерном слое 6 дейтронов, деформирующих силовые линии во внешнем электронном слое и вокруг атомного пространства в определенном пространственном направлении. Атом водорода содержит один протон, который деформирует силовые линии вокруг атомного пространства с одинаковой степенью во всех направлениях. При соединении этих атомов деформирующие усилия их ядер накладываются друг на друга. В результате возникают пространства с повышенной степенью деформации силовых линий пространства В них и сдвигаются электронные облака, осуществляющие химическую связь атомов кислорода и водорода, так как электроны движутся в направлении наибольшей степени деформации.
10. Количество образующихся химических элементов в недрах звезд определяется длительностью периода нарастания степени деформации силовых линий пространства. Наибольшее распространение имеют элементы, у которых он наиболее продолжителен.
СПИСОК ЛИТЕРАТУРЫ
1. Кутолин С.А, Писиченко Г.М Общая и неорганическая химия Новосибирск — 1998. с.456.
К вопросу о проблеме закона сохранения энергии в общей теории относительности Эйнштейна
ВВЕДЕНИЕ
Одной из самых загадочных природных явлений, к которому приковано внимание ученых всего мира на протяжении многих столетий, является свойство материальных тел взаимно притягиваться друг к другу. Первым по — настоящему осознавшим, что в основе этого явления лежит масса тела, был Иссак Ньютон. Он попытался решить эту проблему, описав её математическими законами. Согласно его теории все гравитационные эффекты обусловлены силами взаимодействия материальных тел. По Ньютону масса тела обладает двояким свойством. В первом случае она инертна (mi) и представляет собой отношение негравитационной силы к ускорению, а во втором гравитационная (mg) и определяет силу притяжения тела другими телами, а также притяжение самим телом других тел Обе эти величины тождественны друг другу, хотя и получены экспериментально в ходе разных экспериментов и имеют принципиально разную физическую природу.
mi = mg
Теория гравитации Ньютона базируется на силах тяготения, которые являются дальнодействующими и распространяются мгновенно. Она получила всеобщее признание с момента опубликования и продержалась до 1905 года, когда была замена теорией относительности Эйнштейна.
Необходимость такой замены привело осознание противоречий в основных принципах классической механики — несовместимости принципа относительности закона распространения света.
Как считал Эйнштейн [5],. это связано с тем, что классическая механика опирается на неоправданные гипотезы: промежуток времени между двумя событиями не зависит от движения тела отсчета, не зависит также от него и пространственное расстояние между двумя точками твердого тела, а это означает, что время и пространство абсолютны и разделены между собой.
Противоречия классической механики Эйнштейн разрешил в разработанной им специальной теории относительности/, в основу которой положил два постулата:
— Принцип относительности Эйнштейна, который утверждает, что все физические процессы и явления в одних и тех же условиях в инерциальных системах отсчета протекают одинаково. Все эти ИСО совершенно равноправны и физические законы в них инвариантн
— Скорость света в пустоте постоянна и не зависит от движения источника или приемника света, одинакова во всех направлениях и во всех инерциальных системах отсчета. Она предельна и ни какое материальное тело или информация ни могут двигаться быстрее света.
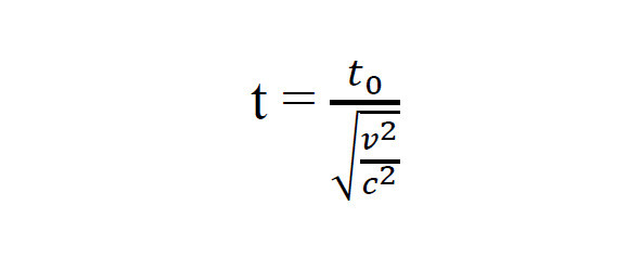
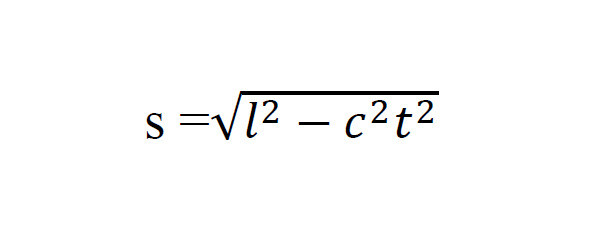
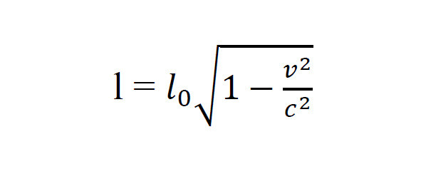
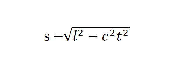
В соответствии с этими постулатами совершенно изменились представления о пространстве и времени Если в классической механике они рассматриваются как абсолютные величины, то в СТО они изменяются при переходе от одной системы отсчета к другой. Так, длина тела в движущейся системе отсчета будет несколько меньше, чем длина того же тела в покоящейся системе отсчета, по формуле
где l — длина тела в движущейся системе отсчета со скоростью v по отношению к покоящейся системе отсчета.
lo — длина тела в покоящейся системе отсчета.
Время же в движущейся системе будет, наоборот, течь медленнее, чем в покоящейся системе, по формуле:
где t — время, текущее в движущейся системе отсчета.
to — время, текущее в покоящейся системе.
И только единое четырехмерное пространство — время обнаруживается, как абсолютная величина, которая выражается в, так называемом, пространственно-временном интервале (s), по формуле
Главным теоретическим следствием СТ О Эйнштейна является новое понимание массы и энергии физических тел и их систем. Масса в ней определяется энергией тела, а не через силу и ускорение как в механике Ньютона, по формуле:
E = mc2
В СТО также раскрывается возможностьпревращения энергии покоя в другие виды энергии, здесь закон сохранения массы и закон сохранения энергии объединяются в единый закон сохранения массы — энергии.
Специальная теория относительности получила широкое экспериментальное подтверждение и многие её следствия используются на практике.В настоящее время она является краеугольным камнем современной физики, занимает свою область применения. В ней не учитывается гравитационное воздействие на хотя как и всякая теория она пространство — время, поэтому ее выводы применимы для локальных участков пространства –времени, а в масштабах Вселенной они не приемлемы. Для описания Вселенной используются общая теория относительности (ОТО). — геометрическая теория гравитации,
Главное различие этих теорий заключается в том, что в СТО связаны воедино пространство и время (пространство — время), а в ОТО установлена триединая связь: пространство — время — масса.
В СТО пространство-время рассматривается плоским, имеющим нулевой тензор кривизны, а в ОТ О оно искривлено, с тензором кривизны больше нуля. В ОТ О гравитационный эффект обусловлен не силовым взаимодействием тел и полей, находящихся в пространстве — времени, а деформацией самого пространства, — времени, которая связана с присутствием в ней массы.
В настоящее время построено много альтернативных ОТО теорий, Это гравитации — теория струн, петлевая квантовая гравитация, теория мембран, которые позволяют квантовать гравитацию, но все они обладают существенным недостатками, которые не позволяют считать их физическими теориями [3].
В отличие от них ОТО завершенная физическая теория, предсказания которой подтверждены наблюдениями и экспериментами, включающие в себя гравитационное замедление времени, гравитационное красное смещение, задержание сигнала в гравитационном поле [1]. С помощью ОТО объяснены аномальная прецессия перигелия Меркурия и причины отклонения лучей света в гравитационном поле Солнца.
Несмотря на всеобщее признание и ошеломляющий успех, общая теория относительности, как и всякая физическая теория имеет свою область применения и, по мнению, многих физиков [4] имеет существенные недостатки.
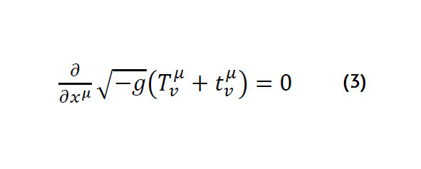
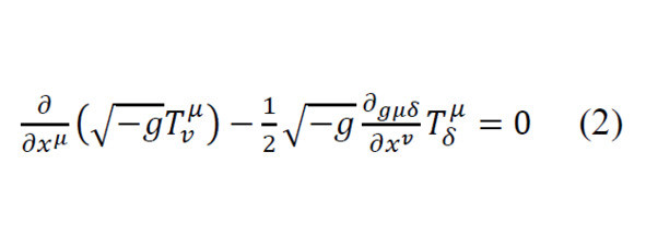
Основным из них считается нарушение главного закона физики — закона сохранения энергии. Дело в том, что, с точки зрения математической физики, в ОТО из-за неоднородности времени закон сохранения энергии является следствием уравнений Эйнштейна и может быть выражен только локально по формуле:
где точка с запятой обозначает взятие ковариантной производной.
Переход от него к глобальному закону невозможен, потому что в ОТО нет величины эквивалентной энергии, чтобы интегрировать от неё сохранялся при движении по времени Это видно, если переписать выше приведенное уравнение в следующем виде:
Но в искривленном пространстве, где второй член не равен нулю данное выражение не может представлять закон сохранения энергии. В тоже время ряд физиков считает [2], что в полную энергию, кроме энергии материи, можно включать и энергию гравитационного поля. Тогда соответствующий закон сохранения можно записать в следующем виде:
где Т μυэнергия-импульс материи
tμ υэнергия-импульс гравитационного поля.
Но величина представляет собой псевдотензор и приписываемый ему отрицательный вклад гравитационного поля в общую энергию не состоятелен. На самом деле он положителен, а это лишает смысла саму идею. Некоторые физики определяют тензор энергии-импульса гравитационного поля как тензор Эйнштейнаи и она точно уравновешивает энергию — импульс материи в любом объеме, тогда их сумма тождественно равна нулю, но это утверждение не нашло всеобщего признания.
Таким образом, выше приведенный литературный обзор проблемы закона сохранения энергии в ОТО, о не разрешимости которой ещё в одной из последних работ в 1946 году писал Эйнштейн [5], несмотря на усилия многих ученых, остаётся неразрешимой до сих пор.
Для более глубокого осмысления взаимосвязи материи и пространства была смоделирована система, в основу которой были положены утверждения Эйнштейна:
— Если исчезнет материя, то исчезнет и пространство;
— Все в физическом мире держится на взаимном отталкивании и притяжении.
ПРИНЦИПЫ МОДЕЛИРОВАНИЯ
Изложены в статье «Образование химических элементов в недрах звезд-результа взаимодействия материи и пространства.
РЕЗУЛЬТАТЫ МОДЕЛИРОВАНИЯ
В соответствии с базовыми принципами смоделированной системы энергия является формой взаимосвязи материи и пространства. В всех процессах, протекающих в физическом мире, имеет место обмен энергиями между материей и пространством. При этом энергия матери (Em) переходит в энергию пространства ( — Ep) и наоборот, а их общая сумма (Es) равна нулю. В этом и заключается фундаментальность закона сохранения энергии или вернее превращение одних видов энергии в другие.
Примеры.
1. Тело с массой m движется вертикально вверх, совершая работу (А) против силы тяжести.
A = mgh
На это затрачивается сообщенная телу кинетическая энергия (Ek)
При движении тела вертикально вверх оно движется в силовых линиях пространства деформированных (сжатых) массой Земли, при этом кинетическая энергия, а это энергия материи, переходит в энергию пространства и расширяет силовые линии пространства в направлении действия сил тяжести, В результате силовые линии пространства деформируются (сжимаются) в направлении противоположном действию сил тяжести и тело движется от Земли. Как только степени деформации (сжатия) впереди и сзади тела сравниваются, а это происходит в момент полного перехода энергии материи (Ek) в энергию пространства (EP), тело начинает движение по силовым линиям пространства в обратном направлении, то есть к Земле
Em + ( — Ep) = 0
При движении тела по силовым линиям пространства по направлению к Земле также происходит сжатие их в этом направлении с выделением энергии материи, затраченной массой Земли на их сжатие. В результате энергия пространства переходит в энергию материи и тело приобретает кинетическую (механическую) энергию движения к центру Земли. В следствие того, что степень деформации (сжатия) силовых линий пространства увеличивается по мере приближения к Земле, возрастает и величина выделяющейся энергии. В результате тело движется с ускорением.
В процессе фотосинтеза энергия света (E) переходит в энергию пространства (E). При этом 70% её затрачивается на образование сложных молекул органических веществ (глюкоза) из молекул простых неорганических веществ (вода, углекислый газ), а 30% её запасается в химических связях молекул органических веществ (Рис.1).
3. В процессе дыхания молекулы кислорода вступают в химические реакции с молекулами органических веществ и окисляют их. При этом внешние (валентные) электроны атомов кислорода расширяют силовые линии пространства в химических связях в сложных молекулах органических веществ, связи разрываются, атомы кислорода присоединяются к атомам, составляющим молекулу органических веществ. В результате энергия пространства переходит в энергию матери и в виде тепловой энергии.
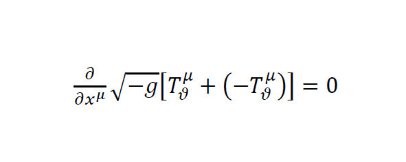
Таким образом, исходя из утверждения одного из основных принципов смоделированной системы о том, что формой взаимосвязи материи и пространства является обмен между ними энергиями (E и –E), которые одинаковые по модулю и противоположны по знаку, формулу (3) можно переписать в следующим виде:
где T μυ— энергия — импульс материи
— T μ υ— энергия –импульс пространства.
Вследствие того, что энергия — импульс материи эквивалентна энергии — импульсу пространства, они уравновешивают друг друга, поэтому в любом объеме их сумма всегда тождественно равна нулю.
В этом случае проблема выполнения закона сохранения энергии в искривленном пространстве снимается полностью.
ЗАКЛЮЧЕНИЕ
На основании выше изложенного можно сделать следующие выводы:
В относительной теории Эйнштейна материя, присутствующая в пространстве — времени, деформирует (искривляет) её и все гравитационные эффекты обусловлены деформацией пространства — времени, представленной через её кривизну.
В смоделированной системе гравитационные эффекты материи, присутствующие в пространстве, также обусловлены деформацией (искривлением) пространства, но искривление пространства в ней представлено через деформацию (сжатие и расширение) силовых линий.
Рис. 1 Схема перехода энергии материи в энергию пространства при фотосинтезе. a — степень сжатия (S
1) силовых линий пространства в светособирающем комплексе и в реакционном центре фотосинтетического аппарата зеленых растений до начала фотосинтеза. b — тоже после начала фотосинтеза.
ФС — фотосистема, — энергия материи — энергия пространства.
Фактически обнаружить в настоящее время отрицательно заряженные силовые линии пространства ни экспериментами, ни наблюдениями невозможно, ибо на данный момент ни каких измерительных приборов для этого не существует Однако косвенных доказательств правомерности существования силовых линий пространства в реальности можно привести значительное количество. Вот некоторые из них:
— Материя находится в непрерывном движении. Источником этого движения является энергия, выделяемая при движении гравитонов в силовых линиях пространства.
— Материальное тело обладает свойством притягивать другие материальные тела и сопротивляться их притяжению. Мерой притяжения является величина энергии, выделяемая при движении материального тела в силовых линиях пространства, а мерой сопротивления — степень деформации силовых линий, окружающего это тело пространства.
— Все материальные тела ведут се6я так, как будто их масса сосредоточена в центре. Это следствие того, что внутри материального тела деформация силовых линий нарастает от периферии к центру, где и находится самый высокий ее показатель.
— Крупные небесные тела — звезды, планеты и их спутники вращаются вокруг своей оси и имеют сферическую форму. Мелкие — астероиды, кометы при движении совершают хаотические перевороты. Источником вращения и переворотов небесных тел являются силы, возникающие при взаимодействии гравитонов массы этих тел с силовыми линиями пространства. Они универсальны и их результирующая направлена от периферии к центру. При достаточном объеме массы общая результирующая достигает величины, способной придать телу сферическую форму и вращение. При недостаточном объеме массы она способна лишь создать опрокидывающий момент.
— Скорость падения материального тела не зависит от массы. Масса тела — это совокупность гравитонов. Скорость тела при падении — это не результат сложения скоростей всех гравитонов, а скорость движения отдельно взятого гравитона, которая определяется степенью деформации силовых линий пространства
— Свет проявляет себя и как волны, и как частица. Свет состоит из отдельных порций (квантов) или фотонов. Фотон образуется при переходе электрона с орбиты высокоэнергетического уровня на орбиту с низкоэнергетическим уровнем. Электрон содержит внутри себя определенное количество силовых линий пространства, поэтому их столько же и у фотона. Фотон это волна, но движется по силовым линиям пространства, поэтому проявляет себя как частица.
— Фотоны различных энергий движутся с одинаковой скоростью постоянной для данной среды. При этом изменяется лишь соотношение длины волны с частотой. Это свидетельствует о том, что фотоны переносят энергию по силовым линиям пространства, скорость колебания которых постоянна для данной среды.
— В природе нет химических элементов, (кроме ядра легкого водорода), ядра — которых содержали бы одни протоны, хотя, именно, они определяют эффективный заряд ядра Это обусловлено тем, электроны, входящие в состав нейтронов расширяют силовые линии пространства внутри ядра. В результате не происходит через мерного сжатия ядра, поддерживается определенный порядок нуклонов, входящих в состав ядра обеспечивается его геометрически пространственное положение, от которого зависит форма и пространственная направленность действия электронных облаков. Все это в совокупности и определяет физические и химические свойства элементов
— Электрон продолжает движение даже при температурах близких к абсолютному нулю, когда все элементарные частицы прекращают всякое движение. Движущей силой электронов является энергия пространства, тогда как движущей силой других элементарных частиц является энергия материи, поэтому электроны продолжают движение при нулевом значении материальной энергии. то есть при температуре близкой к абсолютному нулю.
— Скорость света — предельная скорость движения массы (материи), потому что она определяется скоростью колебаний силовых линий пространства по которым происходит перенос энергии материи (движущейся массы), а эта скорость для каждой среды постоянна.,
— Световые волны несут энергию, на максимум её амплитуды приходится максимум энергии, а в минимуме амплитуды ее нет вообще, происходит это от того. что максимум амплитуды световой волны приходится на максимум энергии материи, которая фиксируется наблюдателями, на минимум амплитуды приходится максимум энергии пространства, а её в настоящее время не может зарегистрировать ни один физический прибор.
— Солнце деформирует (сжимает) силиовые линии пространства вокруг себя. Материальные тела, выходящие из солнечной системы при своем движении сжимают силовые линии пространства в направлении своего движения. За пределами солнечноой системы силовые линии пространства менее деформированы (сжаты), то есть более расширены, поэтому космические аппараты при выходе из солнечной системы должны затрачивать определенное количество энергии на дополнительное сжатие силовых линий пространства в напрвлении своего движения, а это должно вызывать снижение их скорости.
ЛИТЕРАТУРА
1. Гинзбург В.Л О теории относительности –М., Наука, 006 с.376
2. Ландау Л.Д, Лифшиц Е.М Теория поля — М., Наука, 1979. с.148
3. Петров А.З Новые методы в общей теории относительности — М., Наука 1966, с.382
4. Тарасов Л.В Современная физика — М., Просвещение, 009, с. 86
5. Эйнштейн А Сущность теории относительности — М. из-во ин. лит. 1955, с.156
Новый взгляд на античастицы и их аннигиляцию
ВВЕДЕНИЕ
Впервые вывод о существовании античастиц был сделан английским физиком П. Дираком на основании выведенного им уравнения, описывающего поведение электрона на скоростях близких к скорости света. При этом оказалось, что для каждого значения импульса (p) электрона имеется два решения, соответствующих двум различным значениям полной энергии (E) электрона.
Это означало, что у отрицательно заряженного электрона имеет право на существование с такой же массой положительно заряженный двойник. Так был предсказан [2,с.88] положительно заряженный аналог электрона позитрон, экспериментально обнаруженный впоследствии в космических лучах американским физиком К. Андерсоном. Измерения его параметров показали, что он имеет тождественную электрону массу, одинаковый спин, но противоположные электрический заряд и магнитный момент. Затем в космических лучах, также были обнаружены частицы и античастицы положительного и отрицательного мюона (μ+, μ-), которые возникали в результате распада более тяжелых частиц π-мезонов (+π). В 1955 году были обнаружены антипротон и антинейтрон в результате столкновения протонов высоких энергий с ядрами меди.
В настоящее время экспериментально обнаружены античастицы большинства известных частиц. Античастицы имеют такую же массу, спин и время жизни как и частицы, но у них противоположные знаки электрических зарядов, магнитных моментов, барионных и лептонных зарядов. Однако среди них имеются, так называемые, истинно нейтральные частицы, у которых все характеристики совпадают. К ним относятся фотон (γ-квант) и π0-мезон. По современным представлениям [5,с.149] характерной особенностью поведения пар частица-античастица является тот факт, что при столкновении они аннигилируют. Процессы аннигиляции идут с сохранением энергии, импульса, электрического и других зарядов.
Рис. 1 Два вида аннигиляция электронпозитронных пар
Так, при столкновении пары электрон-позитрон низких энергий (e-,e+), при нулевом спине (J = 0) испускается, вследствие закона сохранения зарядовой четности, четные числа γ-квантов (практически два фотона. При средних энергиях сталкивающихся частиц происходит взаимопревращение пар частиц в более легкие частицы, а при столкновении высокоэнергичных частиц, легкие частицы могут аннигилировать с образованием более тяжелых частиц. Так, например, в экспериментах со встречными пучками электрон — позитронных пар с энергией в 1 Гэв наблюдались два вида процессов аннигиляции (Рис.1).
При столкновении протон-антипротонных пар они могут аннигилировать следующим образом:
Следует отметить, что наряду с аннигиляцией, трансформацией вещества в излучение, также широко известен и обратный процесс, рождение пар частица-античастица из энергии Проведенные расчеты показали, что для возникновения пар частица — античастица необходима энергия, значительно превышающая удвоенную энергию покоя пары. Так, для создания пары протон — антипротон, масса покоя которых составляет не более Гэв, необходимо затратить энергию в размере около 4,4 Гэв. Аннигиляция [1,с.183] является лидером по выделению энергии по сравнению с другими аналогичными процессами существующими в природе. К примеру, при аннигиляции 1 грамма антивещества выделяется 1014 джоулей, в то время как при делении 1 грамма урана выделяется 1011 джоулей.
Выше приведенный литературный обзор свидетельствует о том, что в настоящее время накоплен богатый материал о рождении пар частица-античастица и их аннигиляции [4,с.224] Материалы о существовании в природе античастиц и их взаимодействии с частицами подтверждены экспериментально и всесторонне теоретически обоснованы, но вместе с тем оставляют и ряд нерешенных вопросов и проблем. Вот некоторые из них В чем заключается физический смысл аннигиляции и почему при этом выделяется такое огромное количество энергии? Какие факторы влияют на внутреннюю перестройку легких аннигилирующих части при образовании из них более тяжелых? На эти вопросы, по мнению автора, определенный физически осмысленный ответ можно получить с помощью смоделированной системы взаимодействия материи и пространства, базирующейся на следующих принципах.
ПРИНЦИПЫ МОДЕЛИРОВАНИЯ
Изложены в статье «Образование химических элементов в недрах звезд-результат взаимодействия материи и пространства.
РЕЗУЛЬТАТЫ МОДЕЛИРОВАНИЯ
В рамках смоделированной системы механизмы взаимодействия аннигилирующих части и их рождение представляются следующим образом:
1. Аннигиляция свободных низкоэнергетических пар частица-античастица
Электрон представляет собой «конструкцию» из отрицательно заряженных частиц (простонв), вытянутых в силовые линии пространства, а позитрон из положительно заряженных частиц (гравитонов), также вытянутых, за счет отталкивания одноименных зарядов, в силовые линии. При движении электрон расширяет силовые линии пространства, а позитрон их сжимает. В первом случае выделяется энергия материи, затраченная на их сжатие, а во втором выделяется энергия пространства, затраченная на преодоления их отталкивание. Если скорость движения обоих частиц значительно ниже субсветовой скорости, то величина их кинетической энергии лежит в пределах, при которых считается, что частицы обладают низкой энергией. Столкновение свободных низкоэнергетических, обладающих энергией 511 кэВ, электрона и позитрона приводит к разрушению их «конструкций». При этом разрываются связи между частицами, составляющими их, простонами и гравитонами, с выделением энергии связи –энергии материи и пространства. Так как, кинетическая энергия электрона и позитрона при их столкновении переходит энергию пространства, то соотношение её в общем балансе энергий имеет некоторое преимущество перед энергией материи. Но его недостаточно, чтобы потерявшие связи свободные простоны и гравитоны перестроить в новые частицы. В итоге вся выделившаяся энергия переходит в энергию двух квантов. Разлетающихся в противоположные стороны (Рис.2)
2. Аннигиляция свободных высокоэнергетических пар частица-античастица
Столкновение высокоэнергетических электрон-позитронных пар. Движущихся с субсветовыми скоростями и обладающих энергией в 1 Гэв. Также вызывает разрушение связей между составляющими их простонами и гравитонами, с выделением соответствующих объемов энергии матери и пространства. При этом объем выделившейся энергии пространства становится достаточным для перестройки свободных простонов и гравитонов в другие виды пар частица-античастица, в частности, в положительно и отрицательно заряженные мюоны (и Выделившаяся энергия материи переходит в кинетическую энергию новых частиц. которые лазлетаются в разные стороны (Рис.3).
3. Рождение электрон-позитронных пар в результате взаимодействия фотона с внешним электрическим полем.
Кроме процессов аннигиляции пар частица-античастица, также известен обратный процесс рождения фотоном электрон-позитронных пар. Происходит это под воздействием на фотон внешнего электрического поля или другого фотона. Хорошо изучен этот процесс в кулоновском поле атомного ядра. Влетающий в это поле высокоэнергетический фотон электрона взаимодействует (интерферирует) с фотонами (переносчиками материальной энергии) этого поля. Рождение электрон –позитронной пары происходит лишь в том случае, если энергия фотона не менее суммы масс покоя обоих частиц.
Ef = mc2 = 1,02Мэв.
Согласно базовым принципам смоделированной системы фотон представляет собой энергетический пакет материальной энергии, который переносится силовыми линиями пространства При взаимодействии (интерференции) фотонов материальная энергия высокоэнергетического фотона трансформируется в энергию пространства. В результате из силовых линий пространства образуется электрон, а из гравитонов, образовавшихся вследствие обратного перехода остатка энергии пространства, формируется позитрон (Рис 4).
Рис 2. Схема аннигиляции электрон-позитронной пары с энергией 511 кэВ
Рис. 3 Схема аннигиляции электрон-позитронной пары с энергией 1Гэв
Рис 4. Схема рождения электрон-позитронной пары фотоном с энергией 1,02 Мэв.
ЗАКЛЮЧЕНИЕ
В заключении можно сделать следующие выводы:
1. При аннигиляции происходит разрушение связей между неделимыми частицами (простонами и гравитонами) составляющими аннигилирующие частицы. Из которых затем воссоздаются новые формы частиц и античастиц. Основным «архитектором» перестройки является энергия пространства.
2. Многократное превышение выделяющейся при аннигиляции энергии над другими процессами выделения объясняется тем, что даже при самом высокоэнергетическом процессе выделения термоядерном синтезе, её выделяется не более 1% от массы ядра, а при аннигиляции вся энергия, затраченная на связь между простонами и гравитонами обоих частиц выделяется в виде свободной энергии.
3. Фактически обнаружить в настоящее время отрицательно заряженные силовые линии пространства ни экспериментами, ни наблюдениями невозможно, ибо на данный момент ни каких измерительных приборов для этого не существует Однако косвенных доказательств правомерности существования силовых линий пространства в реальности можно привести значительное количество. Вот некоторые из них:
— Материя находится в непрерывном движении. Источником этого движения является энергия, выделяемая при движении гравитонов в силовых линиях пространства.
— Скорость падения материального тела не зависит от массы. Масса тела — это совокупность гравитонов. Скорость тела при падении — это не результат сложения скоростей всех гравитонов, а скорость движения отдельно взятого гравитона, которая определяется степенью деформации силовых линий пространства
— В природе нет химических элементов, ядра которых (кроме ядра легкого водорода) содержали бы одни протоны, хотя, именно. они определяют эффективный заряд ядра. Это обусловлено тем. что электроны, входящие в состав нейтронов, расширяют силовые линии пространства внутри ядра. В результате не происходит через мерного сжатия ядра, поддерживается определенный порядок нуклонов, входящих в состав ядра, обеспечивается его геометрически пространственное положение, от которого зависит форма и пространственная направленность действия электронных облаков Все это в совокупности и определяет физические свойства элементов.
— Солнце сжимает силовые линии пространствавокруг себя на расстоянии более 50 а. е. Материальные тела, удаляющиеся от Солнца при своем движении сжимают силовые линии пространства в направлении своего движения. За пределами солнечной системы силовые линии пространства менее формированы (сжаты), то есть более расширены, поэтому космические аппараты, выходя из солнечной системы должно затрачивать определенное количество энергии на дополнительное затрачивать определенное количество энергии на дополнительное сжатиесиловых линий пространства в направлении своего вижения, а это должно вызывать снижение их скорость
— Нейтрино беспрепятственно пронизывает земной шар потому, что он, как и другие материальные тела имеет силовые линии пространства свободные от гравитонов.
— При боковом освещении зеленых растений их листья принимают такое пространственное положение, при котором угол падения на них световых лучей максимально приближен к 90 градусам. Это объясняется тем, что в этом случае энергии большинства фотонов становится достаточным, чтобы сжать силовые линии пространства до величины, достаточной для фотолиза воды. При значительных отклонениях угла падения количество таких фотонов уменьшается и интенсивность фотосинтеза падает. По этой же причине листья зеленых растений имеют плоскую форму.
ЛИТЕРАТУРА
1. Власов Н.А Антивещество М.; Атомиздат,.1966, с.184
2. Дирак П. Пути физики Пер. с анг. М.; Энергоиздат 1983, с.88
3. Марков М.А О природе материи. М.; Наука, 1977, с.199
4. Окунь Л.Б Физика элементарных частиц. М.; Наука, 1984, с.224
Механизм гравитационного взаимодействия материальных тел
ВВЕДЕНИЕ
Одной из самых загадочных природных явлений, к которому приковано внимание ученых всего мира на протяжении многих столетий, является свойство материальных тел взаимно притягиваться друг к другу. Было выдвинуто много предположений, гипотез, разработано теорий. Вершиной всех исследований стало создание классической теории гравитации Ньютона [4] и общей теории относительности Эйнштейна [2].
Первым, осознавшим, что в основе этого явления лежит масса тела, был Ньютон. Он попытался решить эту проблему, описав её математическими законами. Согласно его теории все гравитационные эффекты обусловлены силами взаимодействия материальных тел. По Ньютону масса тела обладает двояким свойством. В первом случае она инертна (mi) и представляет собой отношение негравитационной силы к ускорению, а во втором гравитационная (mg) и определяет силу притяжения тела другими телами, а также притяжение самим телом других тел Обе эти величины тождественны друг другу, хотя и получены экспериментально в ходе разных экспериментов и имеют принципиально разную физическую природу.
Теория гравитации Ньютона базируется на силах тяготения, которые являются дальнодействующими и распространяются мгновенно. Она получила всеобщее признание с момента опубликования и продержалась до 1905 года, когда была замена теорией относительности Эйнштейна.
Необходимость такой замены привело осознание противоречий в основных принципах классической механики — несовместимости принципа относительности закона распространения света. Как считал Эйнштейн [6],. это связано с тем, что классическая механика опирается на неоправданные гипотезы: промежуток времени между двумя событиями не зависит от движения тела отсчета, не зависит также от него и пространственное расстояние между двумя точками твердого тела, а это означает, что время и пространство абсолютны и разделены между собой.
Противоречия классической механики Эйнштейн разрешил в специальной теории относительности, в её основу положил два постулата:
— Принцип относительности, который утверждает, что все физические процессы и явления в одних и тех же условиях в инерциальных системы отсчета протекают одинаково. Все эти ИСО совершенно равноправны, физические законы в них инвариантны.
— Скорость света в пустоте постоянна и не зависит от движения источника света, одинакова во всех направлениях и во всех инерциальных системах отсчета. Она предельна и ни какое тело или информация не могут двигаться быстрее света.
В соответствии с этими постулатами совершенно изменились представления о пространстве и времени [1] Если в классической механике они рассматриваются как абсолютные величины, то в СТО они изменяются при переходе от одной системы отсчета к другой. Так, длина тела в движущейся системе отсчета будет несколько меньше, чем длина того же тела в покоящейся системе отсчета, по формуле
где l — длина тела в движущейся системе отсчета со скоростью v по отношению к покоящейся системе отсчета
lo — длина тела в покоящейся системе отсчета.
Время же в движущейся системе будет, наоборот, течь медленнее, чем в покоящейся системе, по формуле:
где t — время, текущее в движущейся системе отсчета.
to— время, текущее в покоящейся системе.
И только единое четырехмерное пространство — время обнаруживается, как абсолютная величина, которая выражается в, так называемом, пространственно-временном интервале (s), по формуле
Главным теоретическим следствием СТ О является новое понимание массы и энергии физических тел и их систем. Масса в ней определяется энергией тела, а не через силу и ускорение как в механике Ньютона, по формуле:
E = mc2
В СТО также раскрывается возможностьпревращения энергии покоя в другие виды энергии, здесь закон сохранения массы и закон сохранения энергии объединяются в единый закон сохранения массы — энергии…
Она получила широкое экспериментальное подтверждение и многие её следствия используются на практике.В настоящее время она занимает свою область применения. В ней не учитывается гравитационное воздействие на пространство — время, поэтому ее выводы применимы для локальных участков пространства –времени, а в масштабах Вселенной они не приемлемы. Для описания Вселенной используются общая теория относительности (ОТО) — геометрическая теория гравитации. Главное различие этих теорий заключается в том, что в СТО связаны воедино пространство — время, а в ОТО установлена триединая связь: пространство — время — масса. В СТО пространство-время рассматривается плоским, имеющим нулевой тензор кривизны, а в ОТ О оно искривлено, с тензором кривизны больше нуля. В ОТО гравитационный эффект обусловлен не силовым взаимодействием тел и полей, находящихся в пространстве — времени, а деформацией самого пространства — времени, которая связана с присутствием в ней массы. В настоящее время построено много альтернативных ОТО теорий, Это теория струн, петлевая квантовая гравитация, теория мембран, которые позволяют квантовать гравитацию, но все они обладают существенным недостатками, которые не позволяют считать их физическими теориями [3]. В тоже время следует отметить, что несмотря на глубоко проведенные исследования, ни одна из выше рассмотренных теорий гравитации не раскрывает полностью механизм гравитационного взаимодействия материальных тел и в этом вопросе остается много неясностей и сомнений.
ПРИНЦИПЫ МОДЕЛИРОВАНИЯ
Изложены в статье «Образование химических элементов в недрах звезд-результат взаимодействия материи и пространства.
РЕЗУЛЬТАТЫ МОДЕЛИРОВАНИЯ
Если поместить гравитоны между силовыми линиями пространства, то в силу их разнородности зарядов, последние будут испытывать деформацию (рис. 1.) Деформация (сближение) силовых линий пространства будет сопровождаться выделением энергии, затраченной на их напряжение:
o (ε) = k х Δr2
гдеk — коэффициент выделения энергии;
Δr = ro — rq— уменьшение расстояния между силовыми линиями пространства до (ro) и после (rq) их деформации.
При этом совершается работа по перемещению гравитона в силовых линиях пространства: A = F хd, где F — силы, действующие на гравитон, d — расстояние
С позиции смоделированной системы наибольшей деформации подвержены силовые линии, находящиеся в их центральной части (Рис.2).
Рис. 1 Схема взаимодействия гравитона (g) с силовыми линиями (S) пространства
Рис. 2 Нарастание деформации силовых линий пространстваот периферии к центру — материального тела
Степень деформации силовых линий пространства, окружающего материальное тело эквивалентна массе тела, а ее величина (u) пропорциональна количеству гравитонов.
При этом будет проявляться эффект мнимости, то есть как будто вся масса материального тела сосредоточена в его центре.
Приходящихся на одну силовую линию пространства внутри материального тела и нарастает от периферии к центру.
U — степень деформации силовых линий окружающего тела пространства.
k — количество гравитонов в 1 грамме вещества;
n — количество силовых линий пространства в 1 см
В соответствии с базовыми принципами смоделированной системы рассмотрим механизмы взаимодействия материальных тел на следующх примерах:
1. Механизм гравитационного взаимодействия между частями, составляющими материальное тело.
А. Материальное тело с незначительной массой.
Согласно базовым принципам смоделированной системы гравитоны, составляющие материальное тело, сжимают силовые линии пространства, при этом возникают силы действующие в направлении сжатия, поэтому материя всегда находится в непрерывном движении. Силы сжатия универсальны, поэтому их результирующая, есть сумма этих сил. Если тело имеет не симметричную форму, то величина результирующая части тела, где сосредоточена большая часть её массы, будет доминировать над величинами результирующих сил остальных её частей и тело будет совершать переворот в направлении своего движения (Рис.3).
Рис. 3 Схема переворота тела не симметричной формы под действием
результирующей силы в направлении своего движения
по силовым линиям пространства.
F
s— результирующая сила
.Б. Материальное тело с большой массой
По современным представлениям физиков Солнце возникло из пылегазового облака, образовавшегося в результате взрыва сверхновой протозвезды. В рамках смоделированной системы это происходило в три этапа.
На первом этапе гравитоны, составляющие хаотично движущиеся частицы пыли и газов, поступательно движутся в силовых линиях пространства, деформируют (сжимают) в направлении своего движения, поэтому степень их сжатия вокруг частиц увеличивается. В результате частицы начинают сближаться, а затем сливаются воедино. При этом силовые линии пространства вокруг них накладываются друг на друга и степень их сжатия значительно возрастает. А так как, гравитоны движутся в направлении повышенной степени сжатия силовых линий пространства, находящиеся рядом частицы присоединятся к ним, в результате чего образуется местное уплотнение пыле газовой смеси, Таких уплотнений на ранней стадии развитии звезды великое множество, которые затем объединяются в одно единое уплотнение. Степень сжатия силовых линий пространства вокруг этого уплотнения и дальность его распространения многократно увеличивается, при этом масса его многократно возрастает, а форма динамично изменяется. Динамическое изменение формы уплотнения влечет за собой изменение величин результирующих сил, приложенных к различным частям уплотнения. При достижении массы уплотнения критической величины доминирующая из всех результирующих сил совершает поворот всей массы уплотнения в направлении своего действия, в результате уплотнение начинает вращаться по или против часовой стрелки. У нашего Солнца оно совершило поворот против часовой стрелки (Рис.4).
Рис. 4 Схема начала вращения на ранней стадии развития Солнца
На втором этапе развития молодого Солнца с увеличением скорости вращения началось формирование сферической формы. Оно быстро обрастало гравитационной массой за счет притяжения частиц из окружающего звезду пыле газовой смеси. Одновременно с этим возрастала степень сжатия силовых линий внутри звездного и окружающего её пространства на все большее и большее от него пространства.
С ростом гравитационного сжатия в недрах звезд увеличивается степень деформации (сжатия) силовых линий внутри звездного пространства. И как только она превысит степень деформации силовых линий во внутриатомном пространстве атома водорода, электрон преодолевает притяжение ядра (он движется в направлении более высокой степени сжатия и «вылетает» из атома, В результате получается «бульон» из высоко энергичных и высоко скоростных протонов и электронов. При дальнейшем увеличении степени сжатия силовых линий пространства протоны поглощают электроны и превращаются в нейтроны. Протоны объединяются с нейтронами и образуются дейтроны
На третьем этапе развития Солнце принимает форму газового шара, вращающегося против часовой стрелки и «натягивающего» силовые линии окружающего пространства в направлении своего вращения При этом степень эффективного сжатия силовых линий окружающего его пространства простирается на расстояние более 50 а. е. Степень сжатия силовых линий пространства в недрах звезды продолжает неуклонно расти и при достижении её равной степени сжатия силовых линий пространства во внутри ядерном пространстве гелия протоны объединяются с нейтронами и образуются дейтроны. Два дейтрона сливаются и образуют первый энергетический слой ядер химических элементов (ядро гелия) с выделением ядерной энергии.
Механизм гравитационного взаимодействия материальных тел, удаленных на значительное расстояние друг от друга
Рассмотрим этот механизм на взаимодействии Земли и Солнца
Масса Солнца составляет х 1030 кг, а масса Земли — 6 х 1024 кг. Расстояние между ними составляет 1,6 х 108 км.
Масса Солнца в 330 тысяч раз больше массы Земли, следовательно ее гравитационно-пространственный потенциал значительно превышает аналогичный потенциал Земли, а это означает, что Солнце в большей степени и на более дальнее расстояние деформирует силовые линии окружающего его пространства, чем Земля.
Рис. 5 Гравитационное взаимодействие Земли и Солнца
L — точка Лагранжа, FS — движущая сила, F3 — поперечная сила
Точка, где силы деформации силовых линий пространства двух взаимодействующих материальных тел уравновешиваются, носит название точки Лагранжа, в частности для тандема Земля — Солнце она находится на расстоянии 1 миллиона километров от Земли.
Силы, действующие в гравитационно-пространственных полях всех материальных тел универсальны, потому что первоисточником их действия являются взаимодействия положительно заряженных гравитонов с отрицательно заряженными простонами. Их действия суммируются в одну результирующую силу и в зависимости от направления их действия они усиливают или ослабляют друг друга.
Так, с освещенной стороны Земли вектор напряженности силовых линий пространства в гравитационно-пространственных полях Земли и Солнца имеют положительное направление и здесь они будут ослаблять друг друга. Их результирующая, хотя и будет направлена к центру Земли, но по величине она будет значительно уступать результирующей векторов с темной стороны Земли, где они совпадают по направлению.
В итоге в направлении центра Земли действуют две противоположные силы, одна из которых, действующая с теневой стороны, значительно превосходит противоположную (Рис. 6).
Рис. 6 Действие движущих сил на земную ось в зависимости
от ориентации к Солнцу поверхности земного шара
а — с освещенной стороны в — с теневой стороны
Под действием этой силы Земля падает на Солнце, но из-за наличия у нее поперечной скорости она движется по эллиптической орбите, совершая обороты вокруг Солнца. В результате вращения Земли её освещенная и теневая стороны постоянно меняются местами. Плотность же сложения земного шара неравномерна, поэтому движение силы в основном зависит от массы сосредоточенной на теневой стороне Земли, также постоянно меняется по величине. поэтому движение Земли по орбите происходит хаотично и орбита у нее не замкнута
ЗАКЛЮЧЕНИЕ
На основании выше изложенного можно сделать следующие выводы:
Фактически обнаружить в настоящее время отрицательно заряженные силовые линии пространства ни экспериментами, ни наблюдениями невозможно, ибо на данный момент ни каких измерительных приборов для этого не существует Однако косвенных доказательств правомерности существования силовых линий пространства в реальности можно привести значительное количество. Вот некоторые из них:
— Крупные небесные тела — звезды, планеты и их спутники вращаются вокруг своей оси и имеют сферическую форму. Мелкие — астероиды, кометы при движении совершают хаотические перевороты. Источником вращения и переворотов небесных тел являются силы, возникающие при взаимодействии гравитонов массы этих тел с силовыми линиями пространства. Они универсальны и их результирующая направлена от периферии к центру. При достаточном объеме массы общая результирующая достигает величины, способной придать телу сферическую форму и вращение. При недостаточном объеме массы она способна лишь создать опрокидывающий момент.
— Свет проявляет себя и как волны, и как частица. Свет состоит из отдельных порций (квантов) или фотонов. Фотон образуется при переходе электрона с орбиты высокоэнергетического уровня на орбиту с низкоэнергетическим уровнем. Электрон содержит внутри себя определенное количество силовых линий пространства, поэтому их столько же и у фотона. Фотон это волна, но движется по силовым линиям пространства, поэтому проявляет себя как частица.
— Фотоны различных энергий движутся с одинаковой скоростью постоянной для данной среды. При этом изменяется лишь соотношение длины волны с частотой. Это свидетельствует о том, что фотоны переносят энергию по силовым линиям пространства, скорость колебания которых постоянна для данной среды.
— В природе нет химических элементов, ядра которых (кроме ядра легкого водорода) содержали бы одни протоны, хотя, именно. они определяют эффективный заряд ядра. Это обусловлено тем. что электроны, входящие в состав нейтронов расширяют силовые линии пространства внутри ядра. В результате не происходит через мерного сжатия ядра, поддерживается определенный порядок нуклонов, входящих в состав ядра, обеспечивается его геометрически пространственное положение, от которого зависит форма и пространственная направленность действия электронных облаков Все это в совокупности и определяет физические свойства элементов.
— Скорость света — предельная скорость движения массы (материи), потому что она определяется скоростью колебаний силовых линий пространства по которым происходит перенос энергии материи (движущейся массы), а эта скорость для каждой среды постоянна.
— Световые волны несут энергию, на максимум её амплитуды приходится максимум энергии, а в минимуме амплитуды ее нет вообще, происходит это от того. что максимум амплитуды световой волны приходится на максимум энергии материи, которая фиксируется наблюдателями, на минимум амплитуды приходится максимум энергии пространства, а её в настоящее время не может зарегистрировать ни один физический прибор
— Солнце деформирует (сжимает) силиовые линии пространства вокруг себя. Материальные тела, выходящие из солнечной системы при своем движении сжимают силовые линии пространства в направлении своего движения. За пределами солнечноой системы силовые линии пространства менее деформированы (сжаты), то есть более расширены, поэтому космические аппараты при выходе из солнечной системы должны затрачивать определенное количество энергии на дополнительное сжатие силовых линий пространства в напрвлении своего движения, а это должно вызывать снижение их скорости.
— Электрон продолжает движение даже при температурах близких к абсолютному нулю, когда все элементарные частицы прекращают всякое движение. Движущей силой электронов является энергия пространства, тогда как движущей силой других элементарных частиц является энергия материи, поэтому электроны продолжают движение при нулевом значении материальной энергии. то есть при температуре близкой к абсолютному нулю.
ЛИТЕРАТУРА
1. Владимиров Ю.С Системы отсчета в теории гравитации М; Энергоиздат, 1982, с.192
2. Гинзбург В.Л О теории относительности –М., Наука, 006,с.376
3. Петров А.З Новые методы в общей теории относительности — М. Наука 1966, с.382
4. ХоКинг С, Израэль В Общая теория относительности — М;1983 1955, с.15
5. Фок В.А Теория пространства, времени, тяготения — М; Гос, лит. изд, физ-мат, лит, 1961, с.286
6. Эйнштейн А Сущность теории относительности — М. из-во ин
Механизм фундаментальных взаимодействий
ВВЕДЕНИЕ
По современным представлениям все процессы, явления, закономерности, протекающие и существующие в природе, основываются на четырёх фундаментальных взаимодействиях.
1. Гравитационное взаимодействие осуществляется между материальными телами в соответствии с законом тяготения:
где F — сила тяготения,
а r — расстояние между телами m1 и m2,
G — гравитационная постоянная.
Закон всемирного тяготения не раскрывает самого механизма взаимодействия между телами, а устанавливает зависимость силы тяготения от масс материальных тел и расстояния между ними Многие. физики считают, что гравитационное взаимодействие материальных тел осуществляется посредством полей тяготения, которые они возбуждают в окружающем их пространстве. Поле тяготения это силовое поле, основное свойство которого состоит в том, на точку с единичной массой (m) действует сила притяжения F пропорциональная m.
где вектор напряженности поля тяготения:
Вектор напряженности представляет собой силовую характеристику гравитационного поля. Он изменяется при переходе от одной точки к другой. Гравитационное поле — центральное сферически симметричное поле, так как все векторы напряженности во всех его точках направлены вдоль прямых, пересекающих в одной точке (центр сил), а численные значения векторов определяются только расстоянием до центра сил. При гравитационном взаимодействии материальных тел, их поля тяготения накладываются друг на друга и напряженность их результирующего поля определяется, как векторная сумма напряженностей всех полей (принцип суперпозиции). Переносчики гравитационного взаимодействия экспериментально до сих пор не установлены.
Электромагнитное взаимодействие обусловлено наличием в природе положительных и отрицательных зарядов. Взаимодействие этих зарядов порождает электромагнитные силы, которые определяются с помощью закона Кулона:
гдеk — к оэффициент пропорциональности;
q1,q2 — электрические заряды;
r — расстояние между ними.
Если заряды одноименны, то при их взаимодействии возникают отталкивающие силы, а если разноименные, то действуют силы притяжения.
Любой электрический заряд окружен электрическим полем, силовой количественной характеристикой которого является векторная величина напряженность электрического поля — Е
E=F/q
где F — сила, действующая на заряд
q — пробный положительный заряд
Напряженность электрического поля характеризуется силовыми линиями, которые начинаются на положительных зарядах и заканчиваются на отрицательных.
Кроме векторной характеристики электрического поля, существует и его скалярная величина потенциал — φ :
где П — потенциальная энергия положительного прообного заряда
q — пробный положительный заряд.
Каждой точке электрического поля соответствует свой потенциал. Изменение потенциала поля называется разностью потенциалов или напряжением:
φ 1 — φ 2— разность потенциалов;
U — напряжение.
Упорядоченное движение электрических зарядов называется электрическим током. В электрическом поле оно происходит под действием кулоновских сил, но может происходить и под действием неэлектрических сил, которые называются сторонними силами. Движущиеся электрические заряды по характеру взаимодействия резко отличаются от взаимодействий неподвижных зарядов. Если неподвижные электрические заряды окружены электростатическими электрическими полями, где действуют кулоновские силы, то вокруг подвижных электрических зарядов наряду с электрическими формируются магнитные поля и при их взаимодействии проявляются дополнительные магнитные силы. Перекносчиками электромагнитных взаимодействий являются фотоны.
3. Сильное взаимодействие проявляется только у адронов (мезонов и барионов). Его частным случаем является ядерное взаимодействие. Ядерные силы — короткодйствующие силы. Радиус их дйствия r ~ (1—2) 10 — 15 м. Это очень интенсивные силы, поэтому ядерное взаимодействие называется сильным. Каждый нуклонядра взаимодействует не со всеми нуклонами, а только с соседними.
Ядерное взаимодействие зависит от ориентации спина нуклонов. Протон и нейтрон могут образовать ядро (дейтрон) только в случае, если их спины параллельны, при антипараллельном спине интенсивность ядерных сил уже недостаточна.
В процессе ядерного взаимодействия протон и нейтрон могут обмениваться электрическими зарядами. В результате чего протон превращается в нейтрон, а нейтрон, наоборот, в протон. Этот процесс происходит с помощью мезонов, которые являются квантами ядерного взаимодействия, при этом один нуклон испускает мезон, а другой его поглощает.
Нуклоны не являются точечными объектами, а состоят из кварков. В настоящее время установлено шесть разновидностей кварков — u,d,s,c,b,t и соответствующих им шесть антикварков. Они имеют дробный электрический заряд в следующей последовательности. Кварки — u, c, t имеют заряд, равный /3 заряда электрона, кварков — d, s, b заряд составляет — 1/3 от заряда электрона. Протон состоит из трех кварков u, u, d, а нейтрон из u, d, d — кварков. Взаимодействуют между собой кварки путем обмена бозонами (глюонами). Глюоны безмассовые частицы. Они находятся внутри адронов и в свободном состоянии не существуют.
4. Слабое взаимодействие наиболее слабое из всех фундаментальных взаимодействий. Оно сосредоточено внутри ядра и связано с Играет важную роль в термоядерных реакциях и в процессах превращения элементарных частиц. Описывает процессы в ядерной физике и физике элементарных частиц. Характерным временем для слабого взаимодействия считается время протекания 10 — 12 с, что в значительно меньше соответственно сильного 10 — 23 с и электромагнитного 10 — 20 с В нем участвуют кварки и лептоны, включая нейтрино.
Как и ядерные силы, силы слабого взаимодействия являются короткодействующими. Радиус их действия rсл = r10—18 м. Это в 600 раз меньше радиуса действия ядерных сил.
Слабое взаимодействие считается распадным взаимодействием По этому взаимодействию происходит β-распад нейтрона.
n → p + e- + v
где n — нейтрон,
p — протон,
e — электрон,
v — электронное антинейтрино
При β-распаде общая масса продуктов распада меньше массы (энергии покоя) исходной частицы. Избыток энергии покоя (энергия связи) освобождается в форме кинетической энергии продуктов распада. Спектр β-распада непрерывен из-за испускания при этом распаде нейтральных частиц с нулевой массой нейтрино и антинейтрино. В результате распада нейтрона один из его кварков d — кварк превращается в u — кварк.
Переносчиками слабого взаимодействия являются +W, -W, 0Z — бозоны, с массами соответственно 80 mp и 90 mp протонов.
Литературный обзор сведений о фундаментальных взаимодействиях свидетельствует о том, что основные свойства природы обусловлены этими взаимодействиями. Каждый из четырех фундаментальных взаимодействий имеет свою физическую область применения, где соответствующие им элементарные частицы переносят взаимодействие от одной элементарной частицы к другой. Помимо качественных различий фундаментальные взаимодействия различаются и в количественном отношении по силе воздействия (интенсивности), которая возрастает от гравитационного до сильного взаимодействия. В настоящее время всё больше и больше приобретает значение идея объединение всех четырёх фундаментальных взаимодействий в единое фундаментальное взаимодействие. Уже успешно решается задача создания объединенной теории слабого и электромагнитного взаимодействия. Кроме того, и дет работа по развитию единой теории слабого, электромагнитного и сильного взаимодействия (теории Великого Объединения). Предпринимаются попытки найти принципы объединения всех фундаментальных взаимодействий в одно единое объединение.
В тоже время следует отметить, что на этом пути много неясностей и противоречий. Главным здесь, по мнению автора, является вопрос о механизме взаимодействия частиц между собой. Так, в гравитационном взаимодействии до сих пор нет однозначного ответа на механизм силового взаимодействия материальных тел. Нет экспериментальных данных о частицах переносчиках этих взаимодействий, хотя высказываются предположения, что ими могут быть гипотетические частицы — волны гравитоны. Слабое взаимодействие содержит больше вопросов, чем ответов. Оно позволяет лептонам и кваркам путем обмена квантовыми числами, энергией, массой превращаться в античастицы. Его переносчиками являются W+, W — и 0Z –бозоны. По слабому взаимодействию с помощью тяжелого W+ бозона происходит распад нейтрона на протон, электрон и электронное нейтрино. При этом кварк d переходит в кварк u и появляется бозон W — с отрицательным зарядом, но кварк d тяжелее кварка u на 3,5 эВ, при этом меняется заряд с –1/3 на /3 эВ. Затем, виртуальный W— бозон распадается на реальные элементарные частицы — электрон и электронное нейтрино. В электромагнитном взаимодействии участвуют заряженные тела и элементарные частицы. Переносчиками этого взаимодействия являются фотоны, при этом одна заряженная частица испускает фотон, а другая его поглощает. Например, считается, что связь электронов с протонами в ядрах обеспечивается путем обмена между ними виртуальными фотонами, но как это происходит большой вопрос. Сильное взаимодействие обеспечивает устойчивую связь между нуклонами атомных ядер. Его принято рассматривать в двух форма, когда радиус взаимодействия (r) меньше радиуса нуклона (rn), и когда r rn. В первом случае происходит обмен пионом (квантом ядерного поля) между нуклонами, а во втором обмен глюонами между кварками, входящими в состав нуклонов. В обоих случаях за счет испускания и поглощения нуклоны взаимно влияют друг на друга. Но такое объяснение механизма сильного взаимодействия, ставит много вопросов ни на что не отвечая. Например, взаимное влияние элементарных частиц (протонов и нейтронов) путем обмена напрямую виртуальными частицами (пионами, глюонами) нарушает закон сохранения энергии и каков механизм этого обмена, если кварки не могут вылетать из нуклонов ни в каких реакциях.
В целях, получения глубокого физического осмысления вопроса механизма фундаментальных взаимодействий была смоделирована система взаимодействия материи и пространства, базирующаяся на следующих принципах.
ПРИНЦИПЫ МОДЕЛИРОВАНИЯ
Изложены в статье «Образование химических элементов в недрах звезд-результат взаимодействия материи и пространства.
РЕЗУЛЬТАТЫ МОДЕЛИРОВАНИЯ
В рамках этой системы механизмы фундаментальных взаимодействий представляются следующим образом
1. Механизм гравитационного взаимодействия материальных тел удаленных на значительное расстояние друг от друга.
Согласно базовым принципам смоделированной системы гравитоны, составляющие материальное тело, деформируют (сжимают) силовые линии окружающего тело пространства, при этом степень сжатия (U) и дальность распространения (Rэф.) этого сжатия определяется массой материального тела (M).
где M — масса тела в г.,
N — количество силовых линий у поверхности в окружающем тело пространстве,
g — масса гравитона
R=U/r2
где U — степень сжатия силовых линий пространства у поверхности тел
Рассмотрим этот механизм на взаимодействии Земли и Солнца. Масса Солнца составляет х 1030 кг, а масса Земли — 6 х 1024 кг. Расстояние между ними составляет 1,6 х 108 км.
Масса Солнца в 330 тысяч раз больше массы Земли. Эффективная степень сжатия силовых линий окружающего Землю пространства простирается на расстоянии 1,5 108 км (1 а.е.), а у Солнца на расстоянии более 50 а. е. При гравитационном взаимодействии Солнца и Земли их гравитационно-пространственные поля накладываются друг на друга. В силу того, что гравитационно-пространственный потенциал Солнца выше, чем у Земли, вектор напряженности их общего поля направлен к центру звезды, но не на всей протяженности разделяющего их пространства (Рис.2)
Рис. 2 Гравитационное взаимодействие Земли и Солнца
L — точка Лагранжа, FS— движущая сила, F3— поперечная сила
Точка, где силы деформации силовых линий пространства двух взаимодействующих материальных тел уравновешиваются, носит название точки Лагранжа, в частности для тандема Земля — Солнце она находится на расстоянии 1 миллиона километров от Земли.
Силы, действующие в гравитационно-пространственных полях всех материальных тел универсальны, потому что первоисточником их действия являются взаимодействия положительно заряженных гравитонов с отрицательно заряженными простонами. Их действия суммируются в одну результирующую силу и в зависимости от направления их действия они усиливают или ослабляют друг друга.
Так, с освещенной стороны Земли вектора сжатия силовых линий пространства в гравитационно-пространственных полях Земли и Солнца, имеют противоположное направление и здесь они будут ослаблять друг друга. Их результирующая, хотя и будет направлена к центру Земли, но по величине она будет значительно уступать результирующей векторов с темной стороны Земли, где вектора совпадают по направлению.
В итоге в направлении центра Земли действуют две противоположные силы, одна из которых, действующая, с теневой стороны значительно превосходит противоположную. Под действием этой силы Земля падает на Солнце, но из-за наличия у нее поперечной скорости она движется по эллиптической орбите, совершая обороты вокруг Солнца. В результате вращения Земли её освещенная и теневая стороны постоянно меняются местами. Плотность же сложения земного шара неравномерна, поэтому движение силы в основном зависит от массы сосредоточенной на теневой стороне Земли, также постоянно меняется по величине. поэтому движение Земли по орбите происходит хаотично и орбита у нее не замкнута
С позиции смоделированной системы распад нейтрона происходит следующем порядке. Нейтрон вместе с протоном обеспечивает стабильную устойчивость ядра. Он играет важную роль в образовании химических элементов в недрах звезд. В природе нет химических элементов, кроме ядра легкого водорода, ядра которых состояли бы только из одних протонов, хотя эффективный заряд ядра обеспечивают именно протоны. Дело в том, что нейтрон это протон поглотивший электрон. В ядрах нейтроны объединены с протонами в, так называемые, дейтроны. Объединение частиц происходит, если они имеют одинаковый спин. В этом случае электрон оказывается между двумя протонами. Протоны сжимают силовые линии пространства, а электрон их расширяет. При сжатии силовых линий пространства выделяется энергия пространства ( — Ep), затраченная на отталкивание одноименных зарядов, а при расширении их выделяется энергия материи (Em), затраченная на их сжатие, которые периодически переходят друг в друга. В результате полная энергия (E) тандема p + n, а вместе с ним, так как ядра атомов состоят из наборов дейтронов, будет нулевой.
E = Em + (-Ep) =0
При вылете из ядра нейтрон оказывается в свободном состоянии. Входящие в его состав протон и электрон продолжают сжимать и расширять силовые линии пространства с выделением соответствующих энергий, причем энергии пространства выделяется меньше, чем энергии материи. В результата дисбаланса выделяющихся энергии через 15 минут нейтрон распадается на протон и электрон, а разница в энергиях преобразуется в электронное нейтрино.
.Электромагнитное взаимодействие происходит только между заряженными частицами. Вокруг них образуются электрические поля, свойства которых определяют знаки заряда и их состояние, то есть движутся они или находятся в покое. Так. покоящаяся положительно зараженная частица (заряд), окружена статическим электрическим полем, а движущаяся электромагнитным полем, Положительный заряд сжимает силовые линии окружающего его пространства, а отрицательный, наоборот, расширяет их. Если внести в электрическое поле положительного заряда точечный положительный заряд, то он будет дополнительно сжимать уже сжатые основным зарядом силовые линии пространства. При этом будет выделяться энергия пространства и возникнет сила, действующая в направлении от основного заряда. В результате точечный заряд будет выталкиваться из электрического поля основного заряда с силой обратно пропорциональной квадрату расстояния. Если в это поле внести отрицательно заряженный точечный заряд, то он будет расширять сжатые силовые линии пространства. При этом будет выделяться энергия материи и возникнет сила, действующая в направлении основного заряда. Движущийся заряд деформирует силовые линии окружающего его пространства не только в плоскости своего движения, но и в плоскости перпендикулярной этому движению. При этом выделяются энергия материи и энергия пространства, которые периодически переходят друг в друга
3. Наибольшим проявлением сильного взаимодействия являются ядерные силы, которые обеспечивают стабильную устойчивость ядра. В смоделированной системе механизм ядерного взаимодействия проявляет себя следующим образом Ядра атомов химических элементов, состоят из нуклонов (протонов и нейтронов), собранных в энергетические слои и каждому слою соответствует период химических элементов ПСЭ. Отдельно взятый нуклон взаимодействует не со всеми нуклонами ядра, а только с соседними. Это взаимодействие осуществляется с помощью электронов, входящих в состав нейтронов, Свободные протоны и протоны, входящие в состав нейтронов, разделены в ядрах электронами, входящими в состав нейтронов. Протоны сжимают силовые линии пространства. а электроны их расширяют. При этом выделяются энергия пространства и энергия материи, которые взаимно переходят друг в друга, вызывая колебательные движения отдельных дейтронов и всего ядра в целом. В результате ядро приобретает стабильную устойчивость При столкновении с ядром быстрых нейтронов с кинетической энергией 300 МэВ его кинетическая (материальная) энергия переходит внутри нейтрона в энергию пространства и преобразуется в массу покоя π-мезона, который после рождения вылетает и поглощается протоном. В результате нейтрон становится протоном, а протон нейтроном.
ЗАКЛЮЧЕНИЕ
В итоге можно сделать следующие выводы
Согласно базовым принципам смоделированной системы в основе всех четырех типах фундаментальных взаимодействий лежат одни и те же физические процессы, движение гравитонов в силовых линиях пространства. Это дает основания сделать предположение о том, что теория объединения всех четырех фундаментальных взаимодействий может быть разработан на основе взаимодействия материи пространства
Фактически обнаружить в настоящее время отрицательно заряженные силовые линии пространства ни экспериментами, ни наблюдениями невозможно, ибо на данный момент ни каких измерительных приборов для этого не существует Однако косвенных доказательств правомерности существования силовых линий пространства в реальности можно привести значительное количество. Вот некоторые из них:
— Материальное тело обладает свойством притягивать другие материальные тела и сопротивляться их притяжению. Мерой притяжения является величина энергии, выделяемая при движении материального тела в силовых линиях пространства, а мерой сопротивления — степень деформации силовых линий, окружающего это тело пространства.
— Материя находится в непрерывном движении. Источником этого движения является энергия, образующаяся при движении гравитонов в силовых линиях пространства
— Скорость падения материального тела не зависит от массы. Масса тела — это совокупность гравитонов. Скорость тела при падении — это не результат сложения скоростей всех гравитонов, а скорость движения отдельно взятого гравитона, которая определяется степенью деформации силовых линий пространства
— Фотоны различных энергий движутся с одинаковой скоростью постоянной для данной среды. При этом изменяется лишь соотношение длины волны с частотой. Это свидетельствует о том, что фотоны переносят энергию по силовым линиям пространства, скорость колебания которых постоянна для данной среды.
— Скорость света — предельная скорость движения массы (материи), потому что она определяется скоростью колебаний силовых линий пространства по которым происходит перенос энергии материи (движущейся массы), а эта скорость для каждой среды постоянна
— В природе нет химических элементов, ядра которых (кроме ядра легкого водорода) содержали бы одни протоны, хотя, именно. они определяют эффективный заряд ядра. Это обусловлено тем. что электроны, входящие в состав нейтронов расширяют силовые линии пространства внутри ядра. В результате не происходит через мерного сжатия ядра, поддерживается определенный порядок нуклонов, входящих в состав ядра, обеспечивается его геометрически пространственное положение, от которого зависит форма и пространственная направленность действия электронных облаков Все это в совокупности и определяет физические свойства элементов
