О.С. Басаргин
Ядерная физика и Сфиральная модель Времени
Шрифты предоставлены компанией «ПараТайп»
© О.С. Басаргин, 2025
Книга Олега Сергеевича Басаргина «Ядерная физика и Сфиральная модель Времени» предлагает эволюционный подход к изучению материи и времени через призму фрактальной структуры, зеркальной антисимметрии и S-образных переходов. Автор объединяет ядерную физику, квантовую механику и молекулярную биологию, раскрывая универсальные принципы, лежащие в основе электронов, атомных ядер и ДНК. Книга предназначена для учёных, студентов и всех, кто интересуется передовыми концепциями в науке и технологиях.
ISBN 978-5-0067-2357-3
Создано в интеллектуальной издательской системе Ridero
Оглавление
Предисловие
Современная наука стоит на пороге фундаментального переосмысления концепции Времени, структуры материи и динамики процессов, происходящих на всех уровнях реальности — от квантовой механики до биологических систем. Настоящая книга посвящена исследованию Сфиральной модели Времени, объединяющей в себе традиционные и новаторские подходы к изучению элементарных частиц, атомных ядер и генетической информации.
Сфиральная модель предлагает новый взгляд на процессы, происходящие в природе, используя универсальные принципы зеркальной антисимметрии, S-образных переходов и фрактальной структуры. Это позволяет интегрировать разрозненные модели, такие как оболочечная и капельная модели ядра, квантовые представления об электроне, а также классические концепции двойной спирали ДНК, в единое целостное описание.
Настоящая книга основана на глубоком анализе фундаментальных работ в области ядерной физики, квантовой механики и молекулярной биологии, а также на оригинальных исследованиях, посвящённых Сфиральной модели Времени. В ней читатель найдёт детальный разбор существующих научных теорий, математическое описание новых моделей и перспективные направления их применения в самых разных областях науки и техники.
Труд предназначен для исследователей, учёных, студентов и всех, кто интересуется передовыми теориями в области физики, математики, биологии и квантовых вычислений. Её цель — предложить новый подход к описанию окружающего мира и заложить основу для дальнейших научных и технологических прорывов.
Введение
Современная наука предлагает множество моделей строения материи, начиная от электронов и кварков и заканчивая атомными ядрами и их взаимодействиями. Однако в этих моделях отсутствует единое представление о Времени как организующей структуре. В данной книге мы рассматриваем концепцию Сфирали как универсальной модели Времени, позволяющей связать известные физические модели с новыми подходами к описанию квантовой и ядерной динамики.
Опираясь на официальную науку, а также на материалы из библиотеки Николая Колтового (Книга 5. Часть 12. Новая ядерная физика), мы проведём сопоставление Сфирали с моделями элементарных частиц, атомов, ядра и его кристаллической структуры. Теоретическая основа нашей работы берёт начало из книги» Временные коды и грядущее: Простое о сложном» (ISBN 978-5-0065-3188-8), в которой заложены фундаментальные принципы Сфирали, такие как зеркальная антисимметрия, S-образные переходы и фрактальная структура Времени.
Глава 1. Электрон как сфиральная структура
1.1 Введение в проблему электрона
Электрон представляет собой одну из фундаментальных элементарных частиц, играющих критическую роль во многих процессах, происходящих в физическом и химическом мире. Эта частица является центральным элементом не только в физике элементарных частиц, но и во всех дисциплинах, изучающих структуру материи, её поведение и свойства. На протяжении последнего столетия исследования электрона радикально повлияли на развитие современной науки и технологий, формируя целые научные направления и области прикладных разработок.
Роль электрона в физике
В физике электрон является основным объектом исследования в нескольких ключевых направлениях:
— Квантовая механика. Электрон стал первой частицей, для которой были сформулированы основные положения квантовой механики. Благодаря исследованиям электрона было сформулировано понятие квантовых состояний, волновой функции и принцип неопределённости Гейзенберга. Электрон выступает как образец квантово-механической системы, демонстрируя корпускулярно-волновую дуальность.
— Электродинамика и электромагнетизм. Электроны играют решающую роль в электрических и магнитных явлениях. Их движение создает электрический ток, генерирует магнитные поля и лежит в основе таких технологий, как электродвигатели, генераторы и различные электронные устройства.
— Физика твёрдого тела. Свойства материалов, такие как проводимость, полупроводниковые свойства и сверхпроводимость, определяются поведением электронов в кристаллических решётках. Электронная структура твёрдых тел объясняет их электрические, тепловые и оптические свойства.
— Элементарные частицы и физика высоких энергий. Электрон активно участвует в процессах, исследуемых в области физики высоких энергий, в частности, в столкновениях частиц, происходящих на ускорителях. Изучение электронов помогает уточнить фундаментальные законы природы и структуру Вселенной.
Роль электрона в химии
В химии электрон играет не менее значимую роль:
— Химические реакции и химическая связь. Поведение электронов на внешних орбиталях атомов определяет механизмы химических реакций и типы химических связей (ионная, ковалентная, металлическая). Это делает электрон главным актором в химическом взаимодействии веществ.
— Спектроскопия и квантовая химия. Исследования электронных состояний и переходов лежат в основе спектроскопических методов анализа. Эти методы используются для определения состава веществ, изучения структуры молекул и реакционных механизмов.
— Материаловедение и нанотехнологии. Электронные свойства материалов и их способность взаимодействовать с электромагнитным излучением формируют основу для создания новых материалов с уникальными характеристиками и устройств на их основе, таких как полупроводники, светодиоды, солнечные батареи.
История исследования электрона
История изучения электрона начинается в конце XIX века, когда в 1897 году Джозеф Джон Томсон впервые экспериментально доказал существование электрона как отдельной элементарной частицы. Этот эксперимент показал, что катодные лучи состоят из заряженных частиц, которые были названы электронами.
Дальнейшие исследования привели к разработке различных моделей, стремящихся объяснить природу и поведение электрона:
— Модель Томсона (1897 г.) предполагала, что электрон является частью атома, в котором он равномерно распределён в положительно заряженной массе («сливовый пудинг»).
— Модель Резерфорда-Бора (1913 г.) представляла электрон как частицу, вращающуюся вокруг положительно заряженного ядра по фиксированным орбитам, что объясняло стабильность атомов и их спектральные свойства.
— Модель Луи де Бройля (1924 г.) предложила рассматривать электрон как волну, описываемую волновой функцией, заложив основы волновой механики.
— Развитие квантовой механики (1920-е гг.) такими учёными как Шрёдингер, Гейзенберг и Борн, позволило понять поведение электрона в атоме через математические уравнения и операторы.
С тех пор понимание природы электрона постоянно углубляется, раскрывая всё более сложную и многогранную его структуру. Сфиральная модель, предлагаемая в данной книге, является следующим шагом в понимании электрона, позволяющим объединить накопленные знания в единую гармоничную концепцию, объясняющую его фундаментальные свойства и поведение.
1.2 Анализ официальных моделей электрона
В процессе научного исследования природы электрона сформировалось несколько значимых моделей, каждая из которых по-своему описывает его свойства и поведение. В этой подглаве подробно рассматриваются наиболее признанные официальные физические модели электрона и их вклад в развитие науки.
Волновая модель Луи де Бройля
В 1924 году французский физик Луи де Бройль выдвинул революционную гипотезу о волновой природе электрона. Согласно его предположению, каждой частице соответствует волна, длина которой обратно пропорциональна импульсу частицы. Это утверждение легло в основу волновой механики и квантовой теории, став важнейшим шагом на пути к пониманию корпускулярно-волнового дуализма.
Математически эта идея представлена формулой де Бройля:
где:
— λ — длина волны электрона;
— h — постоянная Планка;
— p — импульс электрона.
Эксперименты, подтвердившие существование дифракции электронов на кристаллических решётках, подтвердили гипотезу де Бройля и заложили основу современной квантовой механики.
Кольцевая модель электрона (Антонов В. М.)
Советский физик В. М. Антонов предложил кольцевую модель электрона, согласно которой электрон описывается в виде вихревого кольца. Данная модель подчёркивает динамический характер электрона и объясняет его стабильность через вихревые свойства среды, в которой он существует.
Антоновская модель предоставляет объяснение:
— Стабильности электрона;
— Формированию электромагнитного поля электрона;
— Возможности взаимодействия электрона с окружающей средой через вихревые процессы.
Спиральная модель электрона (Кушелев А. Ю.)
А. Ю. Кушелев представил электрон как частицу, движущуюся по спиральной траектории вокруг ядра атома. Эта модель подчёркивает корпускулярно-волновой дуализм электрона и позволяет наглядно представить его траекторию и свойства в виде волнообразного движения. Она открывает перспективы объяснения спектральных характеристик и энергетических уровней атомных электронов.
Тороидальная модель электрона (Ацюковский В. А.)
В. А. Ацюковский предложил тороидальную модель электрона, в которой электрон представлен вихревым кольцом, стабилизируемым магнитными и электромагнитными полями. Данная модель подчёркивает:
— Стабильность и устойчивость электрона;
— Возможность существования электрона в различных энергетических состояниях;
— Способность электрона взаимодействовать с другими частицами и полями через вихревые эффекты.
Каждая из перечисленных моделей привносит уникальные аспекты в понимание электрона, однако ни одна из них в отдельности не охватывает всю полноту его свойств и поведения.
Сфираль как интегральная модель электрона
Концепция Сфирали объединяет достоинства рассмотренных выше моделей, предлагая интегральный подход, способный более полно и глубоко раскрыть природу электрона. Сфиральная модель позволяет рассматривать электрон не просто как частицу или волну, а как динамическое образование, обладающее одновременно волновыми, вихревыми и фрактальными свойствами.
Эта интеграция предоставляет следующие преимущества:
— Возможность математически описывать многоуровневые взаимодействия электрона.
— Единое объяснение корпускулярно-волновой дуальности через S-образные переходы.
— Использование принципов зеркальной антисимметрии и топологической защиты для объяснения стабильности и устойчивости электронных состояний.
Таким образом, анализ официальных моделей электрона показывает необходимость и перспективность дальнейшего развития и использования интегральной сфиральной модели, объединяющей различные подходы и обеспечивающей более глубокое и целостное понимание природы электрона.
1.3 Сфиральная модель электрона: Принципы и математическое описание
Концепция Сфирали предлагает новый взгляд на электрон, объединяя различные традиционные и современные модели в целостную, комплексную и многоуровневую структуру. В основе сфиральной модели лежат принципы зеркальной антисимметрии, S-образных переходов и фрактальной структуры времени, которые позволяют глубже и точнее объяснить природу и поведение электрона.
Фундаментальные принципы Сфиральной модели:
— Зеркальная антисимметрия — фундаментальный принцип, обеспечивающий устойчивость электронных состояний. В этой модели антисимметрия проявляется в парных состояниях электрона, которые взаимно отражаются в зеркальном пространстве-времени и компенсируют друг друга, обеспечивая стабильность и защищенность от внешних воздействий.
— S-образные переходы — ключевой механизм переходов электрона между разными состояниями. Эти переходы обеспечивают плавность и непрерывность изменения состояний электрона, связывая волновые и корпускулярные аспекты его поведения.
— Фрактальная вложенность — электрон рассматривается как фрактальная структура, включающая несколько уровней, где каждый уровень повторяет и отражает структурные и функциональные свойства предыдущего уровня на ином масштабе.
Математическое описание Сфиральной модели электрона:
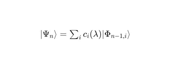
Состояния электрона в сфиральной модели могут быть представлены в виде:
где:
— ∣Ψn⟩ — состояние электрона на уровне n;
— ci (λ) — коэффициенты, зависящие от параметра эволюции λ\lambda, регулирующего интенсивность и направление переходов;
— ∣Φn−1,i⟩ — состояния электрона на предыдущем уровне вложенности.
Эта математическая формулировка позволяет:
— Описать электрон как многоуровневую иерархическую систему.
— Определить динамическую устойчивость и переходы между состояниями.
Математическая модель топологической защиты:
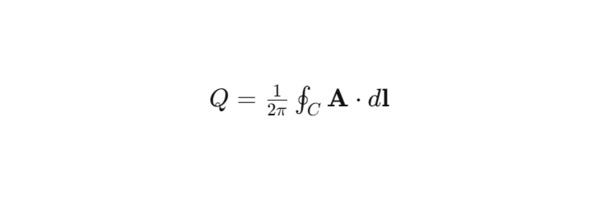
Топологическая защита электронных состояний выражается через топологический инвариант Q, который математически представлен следующим образом:
где:
— Q — топологический инвариант, определяющий устойчивость состояния электрона;
— A — потенциал, связанный с зеркальной антисимметрией и фрактальной организацией.
Этот подход позволяет существенно увеличить стабильность состояний электрона в присутствии внешних возмущений, что имеет важное практическое значение в квантовых технологиях.
Физическая интерпретация сфиральной модели электрона:
Сфиральная модель объясняет корпускулярно-волновую дуальность электрона через последовательность S-образных переходов, которые связывают его волновые и корпускулярные проявления. Электрон рассматривается не как статичная частица, а как динамический процесс, отражающий единство материи и энергии.
В рамках Сфиральной модели электрона:
— Заряд и масса определяются особенностями структуры и динамики фрактальных уровней.
— Электронные орбитали и энергетические уровни объясняются через фрактальную и антисимметричную организацию энергетических состояний.
Преимущества Сфиральной модели:
— Интегрированность — объединяет все существующие модели электрона.
— Универсальность — применима не только в физике элементарных частиц, но и в других областях физики и биологии.
— Точность — позволяет описывать явления, которые ранее требовали отдельных подходов.
Таким образом, Сфиральная модель электрона предоставляет уникальные инструменты для описания его структуры и поведения, открывая широкие возможности для новых теоретических и экспериментальных исследований.
1.4 Математическое описание сфиральной модели электрона
Сфиральная модель электрона представляет собой комплексную и многомерную систему, описываемую математическим аппаратом, который позволяет детально исследовать и моделировать поведение и свойства электрона на разных уровнях его фрактальной структуры. В данном разделе мы подробно раскроем математические аспекты сфиральной модели электрона.
Фрактальная вложенность состояния электрона
Фрактальная природа сфиральной структуры предполагает, что электрон можно представить в виде множества вложенных состояний, где каждое последующее состояние является результатом динамического взаимодействия и отражает свойства предыдущих уровней. Математически это выражается следующим образом:
где:
— ∣Ψn⟩ — состояние электрона на уровне фрактальной вложенности n;
— ci (λ) — коэффициенты, зависящие от параметра эволюции λ, регулирующие интенсивность и вероятность переходов;
— ∣Φn−1,i⟩ — состояния электрона на предыдущем уровне n−1.
Это выражение позволяет отразить многомерность и динамичность состояния электрона, учитывая многоуровневые корреляции и переходы.
S-образные переходы и их математическое выражение
S-образные переходы играют центральную роль в динамике Сфирали и описывают плавные изменения между состояниями. Эти переходы обеспечивают интеграцию корпускулярных и волновых характеристик электрона в рамках единой динамической структуры. Их математическая модель может быть представлена в виде операторов перехода:
где:
— U (λ) — оператор S-образного перехода, отвечающий за изменение состояния электрона при изменении параметра λ;
— S — оператор, характеризующий зеркальную антисимметрию и фрактальные свойства переходов.
Данный оператор действует на состояния электрона, обеспечивая непрерывность и контролируемость динамики процесса.
Топологическая защита сфиральных состояний
Одной из ключевых особенностей Сфиральной модели является топологическая защита электронных состояний, что выражается математически через топологический инвариант Q:
где:
— Q — топологический инвариант, отражающий устойчивость состояния;
— A — потенциал, связанный с зеркальной антисимметрией и фрактальной организацией пространства состояний.
Эта модель позволяет объяснить устойчивость и стабильность состояний электрона при внешних возмущениях, минимизируя эффекты декогеренции.
Динамическая эволюция состояний электрона
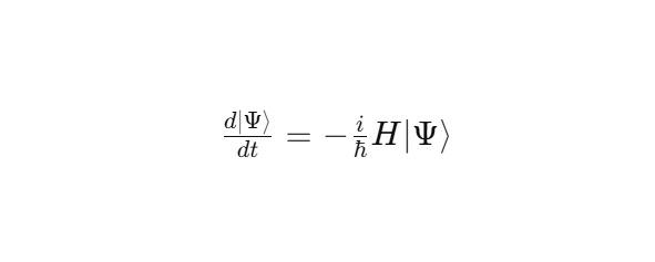
Для описания динамики состояний электрона в сфиральной модели используется уравнение Шрёдингера в обобщённой форме:
где:
— ∣Ψ (t) ⟩ — волновая функция, характеризующая состояние электрона;
— H — гамильтониан, включающий кинетическую и потенциальную энергии, а также учитывающий взаимодействия в рамках фрактальной структуры.
Таким образом, в рамках Сфиральной модели гамильтониан учитывает не только традиционные энергетические вклады, но и динамические взаимодействия между разными уровнями структуры, обеспечивая точность описания процессов.
Заключение по математическому описанию
Математическое описание Сфиральной модели электрона предоставляет мощный инструмент для точного анализа и моделирования поведения электрона на различных уровнях организации и взаимодействий. Оно объединяет в себе элементы квантовой механики, топологии и фрактальной геометрии, открывая путь к более глубокому пониманию фундаментальных явлений и процессов в физике и биологии.
1.5 Преимущества и перспективы сфиральной модели электрона
Сфиральная модель электрона представляет собой интегральный подход, объединяющий элементы волновой механики, топологии и фрактальной геометрии. Этот подход обладает рядом существенных преимуществ, обеспечивая новый уровень понимания и анализа фундаментальных процессов и явлений. В данном разделе подробно рассмотрены основные преимущества и перспективы использования сфиральной модели электрона.
Комплексность и интегративность
Одно из ключевых преимуществ сфиральной модели состоит в её способности интегрировать различные ранее разрозненные представления о природе электрона в единую, непротиворечивую структуру. Это позволяет устранить существующие противоречия и ограничения отдельных моделей, предоставляя целостную картину, объясняющую:
— Корпускулярно-волновую дуальность;
— Квантовые и электродинамические свойства электрона;
— Вихревые и топологические эффекты, связанные с поведением электрона.
Устойчивость состояний электрона и топологическая защита
Одним из ключевых преимуществ Сфиральной модели является её способность описывать электронные состояния как устойчивые структуры, защищённые от внешних воздействий благодаря зеркальной антисимметрии и топологической защите. Это свойство выражается через топологический инвариант:
Такое описание позволяет:
— Минимизировать эффекты декогеренции в квантовых вычислениях;
— Повысить стабильность электронных состояний в условиях внешних помех;
— Улучшить точность измерений и эффективность квантовых устройств.
Фрактальная структура и многоуровневая организация
Сфиральная модель электрона вводит понятие многоуровневой фрактальной структуры, в рамках которой поведение электрона рассматривается на разных масштабах. Такая организация позволяет:
— Описать динамические переходы и состояния электрона через единый универсальный механизм;
— Учитывать многоуровневые корреляции и взаимодействия в рамках квантовых систем;
— Создавать новые методы анализа и моделирования сложных систем, таких как квантовые компьютеры и биологические структуры.
Перспективы применения в квантовых технологиях
Благодаря высоким показателям стабильности и устойчивости состояний, обеспечиваемых топологической защитой и зеркальной антисимметрией, сфиральная модель электрона обладает большим потенциалом для применения в современных квантовых технологиях:
— Создание новых архитектур квантовых компьютеров и кубитов;
— Разработка эффективных методов коррекции квантовых ошибок;
— Повышение точности квантовых измерений и квантовых алгоритмов.
Междисциплинарность и универсальность
Сфиральная модель электрона выходит за рамки исключительно физической теории и становится универсальным инструментом междисциплинарных исследований. Её можно успешно использовать в таких направлениях, как:
— Биофизика и молекулярная биология (моделирование молекулярных и генетических структур);
— Материаловедение (анализ свойств материалов и создание новых структур с заданными характеристиками);
— Нанотехнологии и наноматериалы (описание и прогнозирование поведения частиц и наноструктур).
Заключение по преимуществам сфиральной модели
Сфиральная модель электрона открывает широкие перспективы для развития современной науки и технологий, обеспечивая:
— Целостное и непротиворечивое описание природы электрона;
— Высокую степень устойчивости и защиты квантовых состояний;
— Мощный аппарат для анализа и прогнозирования поведения электронов и связанных с ними процессов в разных областях знания.
Таким образом, дальнейшее развитие и использование сфиральной модели электрона является перспективным направлением, способным радикально улучшить наше понимание фундаментальных законов природы и создать основу для новых научных и технологических прорывов.
1.5 Итоговые выводы по Сфиральной модели электрона
Анализ и интеграция различных моделей электрона с использованием концепции Сфирали позволяют сформулировать следующие фундаментальные выводы:
— Универсальная интеграция моделей:
— Сфиральная модель успешно объединяет волновую (Луи де Бройль), кольцевую (Антонов В. М.), спиральную (Кушелев А. Ю.) и тороидальную (Ацюковский В. А.) модели, создавая единое, целостное представление электрона как многоуровневой динамической структуры.
— Фрактальная структура и динамическое поведение:
— Электрон рассматривается как фрактальная структура, характеризуемая иерархической вложенностью состояний, обеспечивающих его динамическое поведение и стабильность.
— S-образные переходы в этой структуре описывают плавные и контролируемые изменения состояний электрона, объясняя его корпускулярно-волновые свойства.
— Топологическая защита и устойчивость состояний:
— Применение зеркальной антисимметрии и топологических инвариантов значительно повышает стабильность и устойчивость электронных состояний к внешним возмущениям.
— Математически это описывается через топологический инвариант Q, обеспечивающий минимизацию декогеренции в квантовых системах.
— Перспективы применения Сфиральной модели в технологиях:
— Высокая степень защиты квантовых состояний открывает широкие перспективы использования сфиральной модели в разработке новых поколений квантовых устройств и квантовых компьютеров.
— Возможность более точного описания и предсказания свойств материи на атомном и субатомном уровнях предоставляет ценные инструменты для развития новых материалов и технологий.
— Междисциплинарность и универсальность подхода:
— Сфиральная модель демонстрирует потенциал применения в широком круге дисциплин, включая биофизику, молекулярную биологию и материалы, благодаря универсальности своих принципов.
Таким образом, использование Сфиральной модели электрона представляет собой новый шаг в понимании фундаментальных основ физики, способный оказать значительное влияние на развитие науки и технологий в ближайшем будущем.
Глава 2. Кластерная модель атомного ядра и Сфираль
2.1 Введение в проблему структуры атомного ядра
Атомное ядро является центральной частью атома, определяющей его массу и основные физические свойства. С момента открытия ядра Эрнестом Резерфордом в 1911 году представления о его строении и свойствах постоянно развивались, приводя к появлению множества моделей и теорий. Эти модели помогают объяснить наблюдаемые явления, такие как радиоактивность, процессы ядерных реакций и стабильность атомных ядер.
В данной главе будут подробно рассмотрены как официальные, так и альтернативные подходы к описанию структуры ядра, а также предложена интеграция этих моделей с использованием концепции Сфирали. В центре внимания — кластерная организация ядра и её согласование с фрактальной и топологической природой Сфирали.
Основные проблемы и задачи:
— Как объяснить стабильность и разнообразие ядерных структур?
— Почему определённые конфигурации ядер (например, «магические числа») проявляют особую устойчивость?
— Каким образом взаимодействуют между собой нуклоны, формируя устойчивые кластеры?
В следующих подглавах будет представлен детальный обзор официальных моделей ядра (протон-нейтронной, оболочечной, капельной) и кластерных подходов, а затем будет предложено математическое описание и интеграция этих представлений с принципами Сфиральной модели Времени.
2.2 Подробное рассмотрение официальных моделей атомного ядра
Атомное ядро является важнейшим объектом исследований в ядерной физике, и за время её развития были предложены различные модели, объясняющие структуру и свойства ядер. В данной подглаве подробно описаны наиболее признанные официальные модели ядра, а также выделены их сильные и слабые стороны.
Протон-нейтронная модель ядра
Протон-нейтронная модель представляет собой простейшее и наиболее распространённое описание атомного ядра, где ядро рассматривается как система, состоящая из двух типов нуклонов: протонов и нейтронов. Взаимодействие между этими частицами описывается сильными ядерными силами, которые обладают малым радиусом действия, но большой интенсивностью.
Эта модель объясняет такие фундаментальные явления, как:
— Ядерные реакции и радиоактивный распад;
— Изотопическое разнообразие химических элементов;
— Энергетические уровни и спектральные линии ядер.
Однако протон-нейтронная модель не способна объяснить некоторые явления, связанные с устойчивостью и структурными особенностями определённых ядер, что вызвало развитие более сложных моделей.
Оболочечная модель ядра (Мария Гёпперт-Майер)
Оболочечная модель, разработанная Марией Гепперт-Майер, рассматривает ядро по аналогии с электронной оболочкой атома. В рамках данной модели протоны и нейтроны размещаются на дискретных энергетических уровнях, называемых оболочками. Нуклоны заполняют эти уровни согласно принципу Паули, формируя структуры с повышенной устойчивостью, если количество протонов или нейтронов соответствует «магическим числам» (2, 8, 20, 28, 50, 82, 126).
Основные достижения оболочечной модели:
— Объяснение наличия «магических чисел», характеризующих повышенную стабильность ядер;
— Предсказание структуры и поведения ядер при радиоактивном распаде и возбуждении;
— Точное описание спектральных характеристик ядер.
Капельная модель (Бора-Моттельсона)
Капельная модель, предложенная Нильсом Бором и Оге Моттельсоном, представляет ядро как каплю несжимаемой жидкости, характеризуемую поверхностным натяжением, объёмной энергией и кулоновским отталкиванием между протонами. Эта модель успешно объясняет многие явления, связанные с поведением ядра:
— Деление тяжёлых ядер;
— Ядерные реакции и образование новых элементов;
— Общие закономерности в зависимости массового числа и заряда ядер.
Сильной стороной капельной модели является её простота и наглядность, однако она не способна объяснить тонкие детали структуры ядра и его спектральные особенности, для чего требуется использование более сложных моделей.
Критический анализ моделей и необходимость интеграции
Каждая из описанных моделей обладает сильными и слабыми сторонами:
— Протон-нейтронная модель чётко объясняет основные характеристики ядра, но не охватывает его внутреннюю структуру и стабильность.
— Оболочечная модель успешно объясняет энергетические уровни и «магические числа», но сталкивается с трудностями при описании ядерных реакций и структурных изменений.
— Капельная модель превосходно справляется с объяснением реакций и деления ядер, но упрощает их внутреннюю структуру.
В связи с этим возникает необходимость интеграции этих моделей в единую, более универсальную и комплексную концепцию, которой может выступать Сфиральная модель Времени. В следующей подглаве будет показано, как Сфираль позволяет объединить преимущества указанных официальных моделей и преодолеть их ограничения, предложив новый, интегративный взгляд на строение атомного ядра.
2.3 Сфиральная модель атомного ядра: интеграция официальных и кластерных моделей
Сфиральная модель атомного ядра предлагает уникальный подход к интеграции официальных и кластерных моделей, рассматривая ядро как динамическую и многоуровневую структуру, основанную на принципах зеркальной антисимметрии, фрактальности и S-образных переходах. В данной подглаве подробно изложены основные принципы и механизмы, обеспечивающие единство различных подходов в рамках Сфирали.
Фрактальная структура ядра в Сфиральной модели
В рамках Сфиральной модели ядро рассматривается как фрактальная структура, где каждый уровень вложенности повторяет структуру предыдущих уровней на различных масштабах. Такое представление позволяет описать:
— Альфа-кластеры и другие устойчивые группировки нуклонов как проявления фрактальной структуры;
— Энергетические уровни и стабильность ядерных состояний через вложенные динамические структуры;
— Плавные и непрерывные переходы между состояниями, обеспечивающие стабильность и устойчивость ядерных структур.
Математическое описание сфиральной кластерной структуры ядра
Состояния ядра в Сфиральной модели можно описать следующим математическим выражением:
где:
— ∣Ψn⟩ — состояние ядра на уровне n фрактальной структуры;
— ci (λ) — коэффициенты, зависящие от параметра эволюции λ, определяющие интенсивность переходов;
— ∣Φn−1,i⟩ — состояния на предыдущем уровне структуры.
Эта математическая формулировка позволяет эффективно моделировать и анализировать процессы, происходящие в ядре, такие как переходы между различными кластерными состояниями.
Топологическая защита ядерных состояний
Устойчивость ядерных состояний и кластерных структур в Сфиральной модели обеспечивается через зеркальную антисимметрию и топологическую защиту. Топологическая защита описывается через топологический инвариант Q:
где оператор A связан с зеркальной антисимметрией и определяет степень защищённости ядерных состояний от внешних возмущений.
Динамическая стабильность и S-образные переходы
S-образные переходы играют важную роль в описании динамики и стабильности ядерных состояний. Эти переходы можно математически представить через дифференциальные уравнения:
где гамильтониан H включает взаимодействия между кластерами и отражает топологические и фрактальные свойства сфиральной структуры.
S-образные переходы обеспечивают:
— Плавность и непрерывность изменений энергетических состояний ядра;
— Устойчивость ядерных состояний при внешних воздействиях;
— Объяснение динамических и статических аспектов поведения ядра.
Преимущества интегративного подхода Сфиральной модели
Использование Сфиральной модели позволяет:
— Интегрировать разные подходы и объяснить противоречия между традиционными и альтернативными моделями;
— Создать универсальный математический аппарат для описания структуры и поведения ядра;
— Разработать новые методики анализа и моделирования ядерных реакций и процессов, включая образование и распад кластеров;
— Повысить точность прогнозирования свойств и поведения атомных ядер.
Заключение по интегративной модели ядра
Таким образом, Сфиральная модель предоставляет перспективный и мощный инструмент для интеграции различных подходов к исследованию атомного ядра, позволяя более глубоко понять его природу и открывая пути к новым фундаментальным и прикладным исследованиям.
2.4 Математическое описание Сфиральной модели атомного ядра
В данной подглаве подробно раскрывается математический аппарат, используемый для описания и анализа Сфиральной модели атомного ядра, интегрирующей официальные и кластерные подходы. Фрактальная структура, зеркальная антисимметрия и S-образные переходы, составляющие основу Сфирали, требуют чёткого и точного математического описания, что открывает возможности для глубокого понимания ядерных взаимодействий и устойчивости ядерных состояний.
Фрактальная структура ядра
Фрактальная структура Сфирали предполагает иерархическую вложенность состояний ядра, где каждое состояние является комбинацией состояний предыдущего уровня. Это может быть математически выражено следующим образом:
где:
— ∣Ψn⟩ — состояние ядра на фрактальном уровне n;
— ci (λ) — коэффициенты, зависящие от параметра эволюции λ, характеризующие переходы и корреляции;
— ∣Φn−1,i⟩ — состояния на предыдущем уровне.
Эта формула позволяет описывать ядерные процессы, такие как кластеризация, распад и формирование ядерных структур с высокой точностью и прогнозируемостью.
S-образные переходы и их динамика
S-образные переходы являются важнейшим механизмом динамической эволюции состояний в Сфиральной модели. Они могут быть представлены системой дифференциальных уравнений:
где:
— ∣Ψ⟩ — вектор состояния ядра;
— H — гамильтониан, описывающий энергетические взаимодействия, включая как традиционные (электромагнитные и ядерные силы), так и фрактальные и топологические компоненты.
Топологическая защита и зеркальная антисимметрия
Состояния ядра, стабилизируемые топологической защитой, математически описываются с помощью топологического инварианта Q:
где:
— A — векторный потенциал, характеризующий зеркальную антисимметрию состояний и отвечающий за устойчивость системы;
— Контур C охватывает область пространства-времени, занимаемую ядром.
Эта топологическая характеристика определяет:
— Устойчивость ядерных кластеров и энергетических уровней;
— Минимизацию влияния внешних воздействий и декогеренции;
— Повышенную долговечность состояний ядра.
Динамические и статистические характеристики Сфиральной модели
Для анализа динамики и статистических свойств ядерных состояний в Сфиральной модели используются интегральные и дифференциальные уравнения, которые связывают макро- и микроскопические характеристики системы:
где:
— P (λ,t) — вероятность нахождения ядра в определённом состоянии;
— ∣Ψn (λ,t) ∣2 — плотность вероятности состояния ядра на уровне n и параметре эволюции λ.
Эти математические формулировки позволяют не только описывать, но и предсказывать поведение ядра в различных энергетических и структурных состояниях, а также моделировать ядерные реакции и распады с высокой точностью.
Заключение по математическому аппарату Сфиральной модели
Представленный математический аппарат Сфиральной модели атомного ядра предоставляет мощный и универсальный инструмент для анализа и моделирования процессов в ядерной физике. Использование этой модели позволяет объединить в единую систему различные подходы, открывая возможности для углубления фундаментальных знаний и разработки инновационных решений в области ядерных технологий и материаловедения.
2.5 Итоговые выводы по Сфиральной модели атомного ядра
Сфиральная модель атомного ядра представляет собой инновационный интегративный подход, объединяющий официальные и альтернативные представления о строении и динамике атомных ядер. Рассмотренные в данной главе теоретические основы и математическое описание позволяют сформулировать следующие основные выводы:
1. Универсальность и интеграция моделей
— Сфиральная модель успешно интегрирует традиционные модели (протон-нейтронную, оболочечную Гепперт-Майер и капельную Бора-Моттельсона) с кластерными подходами, создавая более полное и внутренне непротиворечивое представление структуры и динамики ядра.
2. Фрактальная структура и кластеризация ядра
— Ядро рассматривается как многоуровневая фрактальная система, где устойчивые кластеры (например, альфа-частицы) являются выражением повторяющихся структурных паттернов, наблюдаемых на разных уровнях.
— Фрактальная организация позволяет объяснить многие аспекты поведения ядер, включая стабильность и динамику различных ядерных состояний.
2. Топологическая защита и стабильность ядерных состояний
— Применение зеркальной антисимметрии и топологической защиты значительно повышает понимание механизмов, обеспечивающих долговременную стабильность и устойчивость ядерных состояний.
— Использование топологического инварианта Q предоставляет эффективный инструмент для количественной оценки устойчивости состояний ядра к внешним воздействиям и внутренним возмущениям.
3. S-образные переходы как фундаментальный механизм
— S-образные переходы, описываемые системой дифференциальных уравнений, позволяют эффективно объяснять динамику изменений состояний ядра и обеспечивать плавность и непрерывность таких переходов.
— Эти переходы связывают энергетические уровни и структурные состояния ядра, играя важную роль в формировании и трансформации кластерных и оболочечных структур.
4. Математическая точность и прогнозная способность
— Математический аппарат Сфиральной модели, основанный на дифференциальных уравнениях и топологических инвариантах, предоставляет высокую точность описания и прогнозирования поведения атомных ядер.
— Это открывает перспективы для более точного и глубокого моделирования и понимания ядерных процессов, что может найти применение в ядерной энергетике, физике высоких энергий, материаловедении и ядерной медицине.
5. Междисциплинарность и инновационность подхода
— Сфиральная модель атомного ядра является мощным инструментом междисциплинарных исследований, объединяющим физику, математику, химию и биологию.
— Инновационные подходы, разработанные на основе Сфиральной модели, могут быть использованы для создания новых технологий и решения комплексных научных и инженерных задач.
Таким образом, Сфиральная модель атомного ядра открывает перспективы для радикального переосмысления существующих представлений о ядерных структурах и взаимодействиях, предоставляя фундаментальные инструменты и новые возможности для дальнейших исследований и разработок.
Глава 3. Временные коды и топология ядра
3.1 Введение в концепцию временных кодов
Время является одной из самых загадочных и сложных категорий, исследуемых в науке, философии и культуре. Несмотря на долгую историю изучения и множества теорий, природа времени до сих пор представляет собой одну из самых загадочных и трудных для понимания проблем в науке. В этой главе рассматривается новая концепция временных кодов, предложенная в рамках Сфиральной модели, и её связь с топологическими свойствами атомных ядер.
Что такое временные коды?
Временные коды — это информационные структуры, которые описывают последовательность и динамику событий на разных уровнях материи и взаимодействий. Они могут быть поняты как фундаментальные элементы, кодирующие пространственно-временные отношения, переходы состояний и динамику систем, в том числе атомных ядер.
Использование временных кодов позволяет:
— Описать эволюцию систем во времени с высокой степенью точности;
— Выделить и анализировать структурные и динамические закономерности, повторяющиеся на разных масштабах;
— Сформировать более глубокое понимание процессов, происходящих на ядерном и субатомном уровнях.
Задачи и цели исследования главы:
— Подробно раскрыть природу и свойства временных кодов;
— Исследовать взаимосвязь временных кодов с топологическими и фрактальными свойствами ядра;
— Показать роль временных кодов в обеспечении устойчивости и динамической стабильности ядерных систем;
— Описать перспективы практического применения временных кодов в современной физике и технологиях.
В последующих разделах данной главы будут подробно рассмотрены теоретические основы и математическое представление временных кодов, их связь с топологическими инвариантами и конкретные примеры их применения в исследовании ядерных структур и процессов.
3.2 Сфираль как универсальная модель Времени
Концепция Сфирали представляет собой принципиально новый подход к пониманию природы Времени, предлагая универсальную структуру, способную объединить различные области знания: физику, математику, биологию и философию. В этой подглаве подробно раскрываются основные принципы сфиральной модели, её математические основания и области применения, демонстрируя её универсальность и потенциал для интеграции разнообразных научных представлений о времени и материи.
Основные принципы Сфирали
— Фрактальная структура Времени: Время рассматривается как структура с вложенными уровнями, каждый из которых представляет собой повторение и масштабирование общих закономерностей. Эта многоуровневая фрактальность позволяет объяснить повторяемость и цикличность явлений, а также их эволюцию и изменения.
— Зеркальная антисимметрия: Сфиральная модель опирается на зеркальную антисимметрию, обеспечивающую баланс противоположных процессов и состояний во времени. Это принципиально важно для понимания устойчивости и динамической гармонии природных систем.
— S-образные переходы: Динамические изменения состояний систем происходят через S-образные переходы, которые обеспечивают плавность и непрерывность процессов. Эти переходы объясняют важнейшие события и изменения состояний в физике, химии и биологии.
Математическое описание Сфиральной структуры Времени
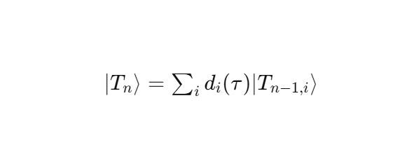
Состояния системы во времени в рамках Сфиральной модели можно представить следующим образом:
где:
— ∣Tn⟩ — состояние системы на уровне временной структуры n;
— di (τ) — коэффициенты, зависящие от параметра времени τ;
— ∣Tn−1,i⟩ — состояния на предыдущем временном уровне.
Это математическое представление даёт возможность:
— Анализировать динамические процессы и переходы между различными состояниями;
— Выявлять закономерности в изменениях системы на разных временных масштабах;
— Проводить расчёты и моделирование временной эволюции сложных систем.
Топологическая защита и устойчивость временных состояний
Топологическая защита временных состояний является важнейшим аспектом, который обеспечивает стабильность и устойчивость процессов во времени. Эта защита математически выражается топологическим инвариантом Q:
где:
— Q — топологический инвариант, отражающий устойчивость временных состояний;
— A — потенциал, связанный с зеркальной антисимметрией, описывающий особенности взаимодействий и корреляций во времени.
Таким образом, топологическая защита позволяет поддерживать структурную целостность системы и минимизировать эффекты внешних возмущений.
Физический смысл Сфирали как модели Времени
Сфиральная модель Времени открывает новую перспективу понимания физических и биологических процессов, демонстрируя, что время не является простым линейным параметром, а представляет собой многоуровневую, динамически устойчивую структуру. Это позволяет:
— Объяснить устойчивость систем и их способность адаптироваться к изменениям;
— Понять механизмы саморегуляции и самоорганизации природных систем;
— Использовать эти принципы для создания новых технологий и подходов в науке.
Перспективы применения Сфиральной модели Времени
Концепция Сфирали предлагает широкие возможности для междисциплинарных исследований и разработок в следующих областях:
— Квантовая физика и квантовые вычисления (топологическая защита кубитов, оптимизация квантовых процессов);
— Биология и генетика (понимание динамики генетических и биологических структур);
— Материаловедение и нанотехнологии (моделирование и создание новых материалов с заданными характеристиками).
В заключение можно отметить, что сфиральная модель Времени представляет собой универсальный и мощный инструмент, способный объединить различные аспекты науки, расширяя горизонты научного познания и технологических инноваций.
3.3 Топологическая защита и устойчивость ядерных состояний в рамках Сфиральной модели
В данной подглаве подробно раскрывается концепция топологической защиты, её роль в обеспечении устойчивости ядерных состояний и применение в рамках Сфиральной модели Времени.
Понятие топологической защиты
Топологическая защита представляет собой физический принцип, обеспечивающий повышенную устойчивость и защищенность квантовых и физических систем от внешних и внутренних возмущений. В физике эта концепция широко применяется для объяснения долговечности и стабильности квантовых состояний, что особенно важно для систем с высоким уровнем сложности и взаимосвязанности, таких как атомные ядра.
Топологический инвариант Q
Топологическая защита в Сфиральной модели выражается через топологический инвариант Q, математически представленный интегральным выражением:
где:
— Q — топологический инвариант, количественно отражающий степень защищённости состояний системы;
— A — топологический потенциал, связанный с зеркальной антисимметрией;
— контур C охватывает пространство состояний, характеризующих систему.
Значение топологического инварианта Q напрямую связано с устойчивостью ядерных состояний: более высокие значения Q соответствуют состояниям с повышенной защитой от внешних возмущений и меньшей вероятностью распада.
Зеркальная антисимметрия и её роль в топологической защите
Зеркальная антисимметрия является ключевым фактором, обеспечивающим топологическую защиту в Сфиральной модели. Она описывает свойства системы, при которых состояния находятся в зеркально симметричном соотношении друг с другом. Это обеспечивает баланс и минимизацию энергетических возмущений, увеличивая стабильность и долговечность ядерных состояний.
S-образные переходы и топологическая защита
В рамках Сфиральной модели S-образные переходы играют важную роль в обеспечении топологической защиты и динамической стабильности ядерных систем. Математически они описываются следующим образом:
где:
— ∣Ψ (t) ⟩ — волновая функция состояния в момент времени t;
— H — гамильтониан, включающий топологические и энергетические параметры системы.
Использование этого подхода позволяет точно моделировать и предсказывать динамическое поведение ядерных состояний при внешних воздействиях и внутренних процессах.
Применение топологической защиты в физике и технологиях
Использование принципов топологической защиты и сфиральных состояний открывает перспективы для разработки новых технологий:
— Создание квантовых систем и устройств с повышенной устойчивостью к помехам;
— Разработка новых типов ядерных реакторов и материалов с заданными свойствами;
— Использование топологических свойств для управления процессами на атомном и молекулярном уровнях.
Топологическая защита позволяет значительно увеличить надежность и стабильность ядерных и квантовых систем, минимизируя ошибки и потери информации, что критически важно в современных научных и инженерных приложениях.
Заключение по топологической защите в Сфиральной модели
Таким образом, концепция топологической защиты, реализуемая в рамках Сфиральной модели, предоставляет уникальные возможности для обеспечения стабильности и устойчивости ядерных и квантовых состояний. Этот подход объединяет математическую строгость, физическую интуитивность и практическую эффективность, предлагая новый уровень понимания и управления природными и технологическими процессами.
3.4 Динамическая стабильность ядерных состояний в Сфиральной модели
Динамическая стабильность атомных ядер является ключевым вопросом в современной ядерной физике, от понимания которого зависит не только объяснение фундаментальных процессов материи, но и развитие новых технологических решений. В рамках Сфиральной модели динамическая стабильность ядерных состояний обеспечивается благодаря фрактальной организации, зеркальной антисимметрии и S-образным переходам. В данной подглаве подробно рассмотрены механизмы, обеспечивающие эту стабильность, и их математическое описание.
Фрактальная природа динамической стабильности
В Сфиральной модели ядро рассматривается как фрактальная структура, в которой каждое состояние является следствием взаимодействия и корреляций с состояниями других уровней. Фрактальность определяет:
— Возможность структурного самоподобия, обеспечивающего устойчивость при переходах между состояниями;
— Плавные и контролируемые изменения состояний без разрушения структуры;
— Повторяемость паттернов поведения на разных масштабах.
Математически фрактальная стабильность описывается через последовательность состояний:
где каждый уровень n формируется из состояний предыдущего уровня n−1, обеспечивая структурную устойчивость и динамическое равновесие.
S-образные переходы как механизм стабильности
S-образные переходы в Сфиральной модели представляют собой плавные и контролируемые изменения состояний, позволяющие системе переходить из одного стабильного состояния в другое без потери информации и энергии. Математически эти переходы описываются дифференциальными уравнениями:
где гамильтониан H включает в себя компоненты, отражающие взаимодействие между нуклонами, топологические и фрактальные аспекты, обеспечивая высокую точность и предсказуемость ядерной динамики.
Топологическая защита как фактор стабильности
Топологическая защита является фундаментальным принципом, обеспечивающим дополнительную устойчивость ядерных состояний к внешним и внутренним возмущениям. Математически это выражается топологическим инвариантом Q:
где:
— Q — показатель степени устойчивости ядерного состояния;
— A — векторный потенциал, характеризующий антисимметричное взаимодействие в ядерной структуре.
Высокие значения Q указывают на высокую устойчивость и долгосрочную стабильность состояния, минимизируя влияние внешних и внутренних возмущений.
Применение сфиральной модели для анализа динамической стабильности
Использование сфиральной модели позволяет проводить точный и глубокий анализ ядерной динамики, предлагая:
— Более точное и полное понимание поведения атомных ядер;
— Возможность прогнозирования устойчивых и неустойчивых состояний, что важно для экспериментальной и практической деятельности в ядерной физике;
— Создание новых технологий, основанных на управлении стабильностью ядерных состояний (например, разработка безопасных ядерных реакторов и устройств).
Заключение по динамической стабильности в Сфиральной модели
Динамическая стабильность ядерных состояний, обеспечиваемая фрактальными, топологическими и S-образными принципами Сфирали, представляет собой важнейшее преимущество этой модели. Такой подход открывает широкие перспективы для новых исследований и разработок, которые могут существенно улучшить наши знания о структуре материи и технологии её использования.
3.5 Итоговые выводы по временным кодам и топологии ядра в Сфиральной модели
Подробное рассмотрение концепций временных кодов и топологии атомного ядра в рамках Сфиральной модели позволяет сформулировать ряд важных выводов, подтверждающих значимость и перспективность предлагаемого подхода.
Универсальность временных кодов
Концепция временных кодов, представленная в Сфиральной модели, обладает широкой универсальностью, позволяющей описывать процессы на различных уровнях организации материи:
— Временные коды применимы как к элементарным частицам, так и к биологическим системам, что подчеркивает их универсальность и междисциплинарность.
— Возможность кодирования и анализа временной структуры процессов обеспечивает высокий уровень точности и прогностических возможностей.
Фрактальная и многоуровневая природа Времени
Сфиральная модель представляет Время как фрактальную многоуровневую структуру, характеризуемую иерархической вложенностью и зеркальной антисимметрией. Такой подход позволяет:
— Объяснять устойчивость и динамическое равновесие природных систем;
— Анализировать и предсказывать поведение сложных и многоуровневых систем;
— Углубить понимание взаимодействий и переходов между различными состояниями материи на разных временных масштабах.
Топологическая защита и устойчивость ядерных состояний
Сфиральная модель Времени вводит топологическую защиту как основной механизм стабилизации состояний материи, в том числе атомного ядра:
— Топологический инвариант Q позволяет математически оценивать и прогнозировать устойчивость состояний ядра;
— Зеркальная антисимметрия, лежащая в основе топологической защиты, обеспечивает баланс и минимизацию энергетических возмущений, что ведёт к стабильности и долговечности состояний.
Роль S-образных переходов в динамике ядра
S-образные переходы в Сфиральной модели выполняют роль универсального механизма, связывающего различные состояния и уровни организации материи:
— Они обеспечивают плавность и непрерывность динамических процессов;
— Позволяют моделировать процессы изменения состояний, такие как распады, возбуждения и трансформации, с высокой точностью;
— Дают возможность описать и предсказать динамическое поведение систем на атомном и субатомном уровнях.
Практическое значение Сфиральной модели
Использование временных кодов и топологической защиты в Сфиральной модели открывает новые перспективы практического применения:
— Повышение устойчивости квантовых состояний и квантовых устройств, что крайне актуально в квантовых вычислениях и информационных технологиях;
— Возможности улучшения методов управления процессами в ядерной энергетике и материаловедении;
— Новые подходы в биофизике и генетике, где временные коды помогают понять механизмы регуляции биологических систем.
Заключение главы
Таким образом, концепция временных кодов и топологической защиты, развиваемая в рамках Сфиральной модели Времени, представляет собой уникальный и многообещающий подход, способный существенно улучшить наше понимание структуры и динамики сложных физических и биологических систем. Эта интегративная модель имеет потенциал оказать глубокое влияние на развитие фундаментальной науки и стать основой для новых технологий в широком спектре приложений.
Глава 4. Биологическая связь: ДНК как сфиральная структура
4.1 Введение в биологическую роль ДНК
Дезоксирибонуклеиновая кислота (ДНК) является одной из самых удивительных и сложных молекул в природе, отвечая за хранение, передачу и реализацию генетической информации в живых организмах. ДНК выступает центральным элементом во многих фундаментальных процессах, таких как наследственность, развитие, функционирование и адаптация живых систем. Исследование структуры и функций ДНК является важнейшим направлением современной биологии и биофизики.
Исторически открытие структуры ДНК, сделанное Джеймсом Уотсоном и Фрэнсисом Криком в 1953 году, стало настоящим научным прорывом, положившим начало современной молекулярной биологии. Их модель двойной спирали наглядно продемонстрировала механизмы хранения и репликации генетической информации. Однако с момента этого открытия наука значительно продвинулась вперед, обнаруживая всё больше аспектов сложности и многоуровневости структуры ДНК.
Современные исследования показывают, что ДНК не только статическая структура, но и динамическая система, способная к сложным изменениям и перестройкам в ответ на внешние и внутренние сигналы. Это открывает путь к новым моделям, способным лучше объяснить её поведение в реальных биологических условиях.
Основные задачи данной главы:
— Провести анализ современной структуры и функций ДНК;
— Показать ограничения классической модели двойной спирали;
— Предложить и обосновать применение сфиральной концепции для более глубокого понимания структуры и динамики ДНК;
— Описать перспективы междисциплинарного подхода, включающего физические, математические и биологические аспекты сфиральной модели.
В последующих подглавах будет представлен детальный анализ гармоничной модели ДНК, её математическое описание и применение сфиральных принципов к объяснению важнейших биологических процессов.
4.2 Гармоничная модель ДНК: Сфиральная структура и информационные уровни
В рамках Сфиральной модели структура и функции дезоксирибонуклеиновой кислоты (ДНК) рассматриваются с позиций гармонии и баланса, предлагая новое понимание её строения, устойчивости и информационной ёмкости. Фрактальная и зеркально-антисимметричная организация позволяет преодолеть ограничения традиционной модели двойной спирали и предложить интегральный подход к исследованию и использованию ДНК в различных областях науки.
Фрактальная организация ДНК
Сфиральная модель ДНК предполагает наличие фрактальной структуры, в которой каждый уровень организации воспроизводит общие принципы структуры и динамики на разных масштабах:
— Первичный уровень: Этот уровень представлен последовательностью нуклеотидов (аденин, тимин, гуанин, цитозин), определяющей аминокислотный состав белков и регулирующей генетическую информацию.
— Вторичный уровень — классическая двойная спираль, раскрывающаяся как пространственное выражение зеркальной антисимметрии и обеспечивающая структурную стабильность ДНК.
— Третичный уровень — описывает упаковку ДНК в более компактные структуры (хроматин и хромосомы), обеспечивающие эффективное хранение и управление генетической информацией в процессе клеточного деления.
— Четвертичный уровень — организация ДНК в ядре клетки, её взаимодействие с белками и РНК, регулирующими экспрессию генов и клеточное поведение.
Каждый из этих уровней связан друг с другом посредством фрактальной структуры, обеспечивающей согласованность и целостность генетической информации.
Зеркальная антисимметрия в структуре ДНК
Зеркальная антисимметрия является фундаментальным принципом сфиральной организации ДНК. В традиционной модели двойной спирали, открытой Уотсоном и Криком, эта антисимметрия проявляется через комплементарность оснований двух цепей ДНК (аденин с тимином, гуанин с цитозином).
Сфиральная модель расширяет это представление, включая:
— Возможность сосуществования и взаимодействия правозакрученных и левозакрученных форм ДНК (например, Z-ДНК);
— Баланс и гармонию различных состояний, обеспеченных зеркальной антисимметрией, что ведёт к повышенной стабильности генетических структур и возможности адаптивных изменений.
S-образные переходы как механизм информационных переходов
Важнейшим элементом Сфиральной модели являются S-образные переходы, обеспечивающие плавные изменения состояний и регуляцию генетических процессов на всех уровнях:
— На уровне первичной структуры S-образные переходы могут регулировать активацию и подавление генов, изменяя доступность участков ДНК для транскрипции;
— На вторичном и третичном уровнях они обеспечивают процессы репликации и транскрипции, позволяя плавно и непрерывно изменять конфигурацию ДНК;
— На четвертичном уровне эти переходы помогают клетке динамически адаптироваться к изменениям окружающей среды и внутренним сигналам.
Перспективы использования гармоничной модели ДНК
Применение гармоничной модели ДНК открывает новые возможности в биологии, медицине и биотехнологиях:
— Разработка новых методов генетического анализа и диагностики заболеваний;
— Улучшение методов генетической инженерии и терапии;
— Создание новых подходов к моделированию и предсказанию биологических и молекулярных процессов, способствующих развитию персонализированной медицины.
Таким образом, Сфиральная гармоничная модель ДНК представляет собой перспективный и инновационный подход, способный значительно углубить понимание структуры и функций генетического материала и открыть путь к новым научным открытиям и технологическим решениям.
4.3 S-образные переходы в биофизике и генетике: роль в Сфиральной модели ДНК
S-образные переходы являются ключевым компонентом Сфиральной модели и играют фундаментальную роль в биологических и генетических процессах. В этой подглаве подробно рассмотрены их биофизическое значение, механизмы реализации и перспективы практического применения.
Что такое S-образные переходы?
S-образные переходы представляют собой непрерывные и плавные изменения состояний системы, характерные для Сфиральной модели. В биофизике и генетике эти переходы могут описывать различные процессы, такие как:
— Активация и репрессия генов;
— Изменения пространственной конфигурации ДНК;
— Динамическое поведение биологических структур на молекулярном и клеточном уровнях.
Эти переходы обеспечивают возможность согласования различных состояний и функций, помогая биологическим системам адаптироваться к изменениям внешних условий и внутренним сигналам.
Математическое описание S-образных переходов
В математическом виде S-образные переходы описываются дифференциальными уравнениями, отражающими динамику состояний:
где:
— xx — переменная, характеризующая состояние биологической системы или гена;
— коэффициенты a и b отражают интенсивность регуляторных процессов и обратных связей, которые управляют переходом из одного состояния в другое.
Эта математическая формулировка позволяет точно анализировать и предсказывать поведение биологических систем.
Роль S-образных переходов в генетических процессах
S-образные переходы в генетике играют важную роль в регуляции экспрессии генов:
— Они обеспечивают возможность точной регуляции активации или подавления генов, отвечающих за клеточную дифференцировку и развитие организмов;
— S-образные переходы могут управлять процессами транскрипции и репликации, регулируя динамические изменения структуры ДНК;
— Эти переходы помогают минимизировать ошибки при передаче генетической информации, обеспечивая устойчивость биологических систем.
Примеры S-образных переходов в биологии и генетике
— Регуляция экспрессии генов: S-образные переходы помогают переключать гены между активным и неактивным состояниями, управляя сложными процессами, такими как эмбриональное развитие и регенерация тканей.
— Динамика структуры хроматина: Переходы между разными состояниями хроматина (эухроматин и гетерохроматин) могут быть представлены через S-образные механизмы, что обеспечивает точную регуляцию доступности генов для транскрипции.
— Репликация и репарация ДНК: S-образные переходы играют ключевую роль в плавном и точном протекании процессов репликации и ремонта повреждений ДНК, минимизируя ошибки и поддерживая стабильность генетической информации.
Перспективы применения S-образных переходов
Использование S-образных переходов в биологии и генетике открывает новые возможности для:
— Разработки методов диагностики и терапии генетических заболеваний, связанных с нарушением регуляции генов;
— Создания инновационных подходов в генетической инженерии, где плавные переходы позволяют точнее управлять модификациями генома;
— Моделирования сложных биологических систем и процессов, улучшая точность предсказаний и эффективность исследований.
Таким образом, S-образные переходы, реализуемые в рамках Сфиральной модели, представляют собой мощный инструмент анализа и управления биологическими и генетическими системами, способный существенно расширить возможности современной науки и медицины.
4.4 Сфиральные принципы репликации и передачи генетической информации
Сфиральная модель ДНК предоставляет новую перспективу для анализа и понимания процессов репликации и передачи генетической информации. Она предполагает рассмотрение этих ключевых биологических процессов через призму фрактальной структуры, зеркальной антисимметрии и S-образных переходов, что позволяет предложить более комплексную и точную модель, отражающую динамическую природу генетических механизмов.
Репликация ДНК в контексте Сфирали
Репликация ДНК является фундаментальным процессом, обеспечивающим удвоение генетического материала клетки перед её делением. В традиционной биологии этот процесс представлен как разрыв двойной спирали с последующим синтезом новых цепей на матрицах старых.
В Сфиральной модели репликация рассматривается как:
— Плавный и непрерывный процесс, реализуемый через S-образные переходы;
— Фрактальный механизм, при котором структурные элементы и последовательности повторяются на разных масштабах, что позволяет эффективно и с минимальными ошибками реализовывать передачу информации;
— Процесс, использующий зеркальную антисимметрию для повышения точности копирования и минимизации мутаций.
Математическое описание репликации в Сфиральной модели
Репликация в рамках Сфирали может быть описана через систему дифференциальных уравнений:
где:
— ∣Ψ (t) ⟩ — вектор состояния репликационной структуры ДНК;
— Гамильтониан H учитывает как биохимические, так и фрактально-топологические компоненты, отражающие регуляцию и динамику процесса репликации.
Зеркальная антисимметрия и точность репликации
Принцип зеркальной антисимметрии в Сфиральной модели обеспечивает:
— Повышенную точность процесса репликации благодаря симметричному взаимодействию цепей ДНК;
— Минимизацию ошибок при копировании, что существенно снижает вероятность появления мутаций и генетических повреждений;
— Поддержание стабильности генома на протяжении множества клеточных циклов.
Передача генетической информации и S-образные переходы
В Сфиральной модели процессы транскрипции и трансляции также реализуются через механизмы S-образных переходов:
— Плавные переходы между активными и неактивными состояниями генов;
— Контролируемое изменение доступности генетического материала для транскрипции и трансляции;
— Возможность быстрого и точного реагирования на изменения внешних и внутренних сигналов клетки.
Перспективы использования сфиральной модели в биотехнологиях
Использование сфиральной модели в изучении репликации и передачи информации открывает новые возможности для:
— Разработки эффективных методов контроля и регуляции генетических процессов в биоинженерии;
— Повышения точности диагностики и предотвращения генетических нарушений;
— Создания новых технологий генетической терапии и генетической модификации, минимизирующих риск нежелательных мутаций и побочных эффектов.
Таким образом, Сфиральная модель предоставляет новый, мощный и универсальный инструмент для понимания и моделирования важнейших биологических процессов, таких как репликация и передача генетической информации, способствуя развитию науки и технологий на качественно новом уровне.
4.5 Итоговые выводы по Сфиральной модели ДНК
Подробное рассмотрение структуры, динамики и функций ДНК в контексте Сфиральной модели позволяет сделать ряд важных выводов, подтверждающих перспективность и эффективность данного подхода для биологии и медицины.
1. Универсальность и интегративность сфирального подхода
— Сфиральная модель ДНК успешно интегрирует традиционные биологические представления о структуре и функциях ДНК с новыми физико-математическими подходами, предлагая единое объяснение многих биологических процессов.
2. Фрактальность и многоуровневая организация ДНК
— Фрактальная структура ДНК обеспечивает повторяемость и масштабируемость биологических процессов на всех уровнях организации, от первичного (нуклеотидного) до четвертичного (хромосомного и клеточного).
— Эта многоуровневая организация позволяет точно описывать и анализировать сложные биологические процессы, обеспечивая понимание механизмов регуляции и адаптации.
3. Зеркальная антисимметрия и стабильность структуры
— Применение зеркальной антисимметрии в структуре ДНК повышает её устойчивость и точность передачи генетической информации, минимизируя ошибки и нарушения в процессах репликации и транскрипции.
— Этот принцип играет ключевую роль в поддержании долговременной стабильности и функциональности генетических систем.
4. S-образные переходы как универсальный биологический механизм
— S-образные переходы, предложенные в Сфиральной модели, обеспечивают плавность и контролируемость динамических процессов в ДНК, таких как репликация, транскрипция и регуляция генов.
— Эти переходы обеспечивают минимизацию ошибок и высокую точность передачи и реализации генетической информации, что имеет важное значение для биоинженерии и терапии.
5. Математическое описание и точность прогноза
— Развитый математический аппарат сфиральной модели предоставляет высокую степень точности в описании и прогнозировании поведения генетических систем.
— Этот аппарат позволяет моделировать биологические процессы на различных уровнях сложности и проводить детальный анализ взаимодействий и процессов, что открывает новые возможности для исследований и разработок.
6. Перспективы использования сфиральной модели в биологии и медицине
— Введение сфирального подхода открывает перспективы создания новых технологий диагностики, терапии и биоинженерии.
— Позволяет повысить эффективность управления и регуляции генетических процессов, что может значительно повлиять на развитие персонализированной медицины.
Таким образом, Сфиральная модель ДНК представляет собой перспективный и мощный подход, способный радикально улучшить наше понимание фундаментальных биологических процессов и создать основу для инновационных решений в различных сферах науки и технологии.
