автордың кітабын онлайн тегін оқу Лаборатория химических историй. От электрона до молекулярных машин
Все права защищены. Данная электронная книга предназначена исключительно для частного использования в личных (некоммерческих) целях. Электронная книга, ее части, фрагменты и элементы, включая текст, изображения и иное, не подлежат копированию и любому другому использованию без разрешения правообладателя. В частности, запрещено такое использование, в результате которого электронная книга, ее часть, фрагмент или элемент станут доступными ограниченному или неопределенному кругу лиц, в том числе посредством сети интернет, независимо от того, будет предоставляться доступ за плату или безвозмездно.
Копирование, воспроизведение и иное использование электронной книги, ее частей, фрагментов и элементов, выходящее за пределы частного использования в личных (некоммерческих) целях, без согласия правообладателя является незаконным и влечет уголовную, административную и гражданскую ответственность.
"КНИГИ ПОЛИТЕХА" — партнерский проект ПОЛИТЕХНИЧЕСКОГО МУЗЕЯ, издательств CORPUS, "АЛЬПИНА НОН-ФИКШН" и "БОМБОРА".
В серии выходят лучшие современные и классические книги о науке и технологиях — все они отобраны и проверены учеными и отраслевыми специалистами.
Серия "Книги Политеха" — это пять коллекций, связанных с темами постоянной экспозиции Политехнического музея:
"Человек и жизнь" — мир живого, от устройства мозга до биотехнологий.
"Цифры и алгоритмы" — математика, искусственный интеллект и цифровые технологии.
"Земля и Вселенная" — происхождение мира, небесные тела, освоение космоса, науки о Земле.
"Материя и материалы" — устройство мира с точки зрения физики и химии.
"Идеи и технологии" — наука и технологии, их прошлое и будущее.
Политехнический музей представляет новый взгляд на экспозицию, посвященную науке и технологиям. Спустя столетие для музея вновь становятся важными мысль и идея, а не предмет, ими созданный.
Научная часть постоянной экспозиции впервые визуализирует устройство мира с точки зрения современной науки — от орбиталей электрона до черной дыры, от структуры ДНК до нейронных сетей.
Историческая часть постоянной экспозиции рассказывает о достижениях российских инженеров и изобретателей как части мировой технологической культуры — от самоходного судна Ивана Кулибина до экспериментов по термоядерному синтезу и компьютера на основе троичной логики.
Политехнический музей делает все, чтобы встреча человека и науки состоялась. Чтобы наука осталась в жизни человека навсегда. Чтобы просвещение стало нашим общим будущим.
Подробнее о Политехническом музее и его проектах — на polymus.ru
Предисловие
Для нас большая честь быть авторами предисловия к книге нашего друга и коллеги Михаила Левицкого. К сожалению, Михаила Моисеевича не стало в 2020 году; таким образом, эта книга становится и нашей данью памяти о его насыщенной, интересной жизни. "Лаборатория химических историй" — абсолютное отражение характера автора, его прекрасно узнаваемого стиля. В основе этого стиля, конечно же, блестящее знание химической науки. Упомянем, что профессиональный кругозор Михаила Моисеевича, в частности, позволил подготовить цикл статей для интернет-энциклопедии "Кругосвет" (www.krugosvet.ru) и написать несколько научно-популярных книг, одна из которых была переиздана в Китае (!).
Стоит отметить, что когда к научно-популярному жанру обращается профессиональный ученый, то это совершенно не рядовой случай. А Михаил Левицкий — крупный специалист, хорошо известный научной общественности собственными исследованиями, опубликованными более чем в сотне научных статей. Кроме того, две его монографии — "Металлорганосилоксаны. Современные концепции и методы" и "Металлоксидные кластеры в элементоорганических матрицах" — остаются на настоящий момент единственными книгами, описывающими необычные виды металлокомплексов — каркасные металлосил- и гермсесквиоксаны. Важно подчеркнуть, что впервые эти соединения были описаны именно в работах Левицкого. Читатель увидит несколько замечательных структур этих соединений на страницах "Лаборатории химических историй".
При этом высокий профессиональный уровень отнюдь не делал Михаила Моисеевича скучным и назидательным. Напротив, его тонкая, интеллигентная манера общения очень располагала к себе. И прежде всего научную молодежь, которая в такой благожелательной атмосфере с удовольствием рассказывала о своих первых успехах. Искренний интерес к собеседникам делал эти академические посиделки вокруг Михаила Моисеевича любимой формой отдыха молодых специалистов в перерывах между совершением химических открытий. Неповторимый уют этих "микросеминаров" дополнительно усиливался угощением фирменным кофе (с лимоном!) и разгадыванием приносимых в лабораторию хитроумных головоломок.
Еще одной яркой особенностью научной карьеры Михаила Левицкого было активное участие в международных научных конгрессах. Только на симпозиум "Современная химическая физика" Михаил Моисеевич приезжал более 15 раз, не забывая и про знаменитые на весь химический мир металлорганические конференции на волжском теплоходе. Бархатистый баритон барда Левицкого — замечательный саундтрек вечеров на этих конференциях, памятный очень многим.
Впрочем, Михаил Моисеевич был хорош и без гитары. Изящное чувство юмора и мастерство рассказчика делали свое дело, и прекрасных историй можно вспомнить множество. Чего стоит одна — про то, как в 1965 году Михаил Моисеевич, строго говоря, не самый большой футбольный фанат, ходил на матч СССР — Бразилия. Действительно, в тот летний день в Лужниках, помимо ста тысяч других людей, собралась отличная молодая компания — Пеле, Гарринча и Миша Левицкий.
Увлекательность повествования и включение в книгу про серьезную науку юмористических историй — тоже характерные черты "Лаборатории химических историй", полностью соответствующие портрету автора. К сожалению, к моменту ухода Михаила Моисеевича из жизни книга еще не была полностью подготовлена к выпуску. Потребовался значительный вклад людей, которых мы хотели бы упомянуть отдельно. Это сотрудники ИНЭОС РАН — аспирант Алина Комарова, а также доктора химических наук Дмитрий Перекалин и Алексей Биляченко. Большую работу по подготовке рукописи к изданию проделали специалисты "Альпины нон-фикшн" — корректор Елена Воеводина, руководитель проектов Александра Шувалова, генеральный директор Павел Подкосов, которых мы также хотели бы поблагодарить за то, что эта книга увидела свет.
Елена Соломоновна Шубина,
профессор
Владимир Иосифович Брегадзе,
профессор
Институт элементоорганических соединений им. А. Н. Несмеянова
Российской академии наук (ИНЭОС РАН)
Введение
Эта книга рассказывает в первую очередь о самых выдающихся исследованиях в химии, этапах развития этой науки и главных ее достижениях. Отдельно упомянуты работы, отмеченные Нобелевской премией, — ведь именно эти исследования двигали всю науку вперед, при этом они очень интересны. Конечно, в книге пойдет речь и о самих лауреатах премии, кроме того, представлены интересные и значимые работы, не отмеченные этой премией. И рассказано это отнюдь не сложным научным языком, ведь авторы исследований приложили особые усилия, чтобы сделать полученные результаты понятными широкой аудитории. Кроме того, упомянуты некоторые почти забытые имена ученых, роль которых, с точки зрения автора книги, весьма заметна в развитии химии.
Книга состоит из четырнадцати глав, которые не связаны между собой хронологически, поэтому начинать чтение можно с любой главы. Так как в ряде случаев содержание разделов пересекается, в текст включены пометки, отсылающие к соответствующим другим главам. Некоторые рисунки дополнены ссылками, что позволяет читателю с помощью смартфона увидеть анимацию рисунка.
Первая глава "Империя длинных молекул" знакомит читателя с этапами развития полимерной химии, появившейся в середине ХХ в. и ставшей не просто крупной, а гигантской областью в химической науке. Столетиями полимеры использовались в повседневной жизни, и этот накопленный опыт со временем привел к появлению новой ветви химии.
Вторая глава "Биохимия тоже химия" рассказывает о другой крупной области химии, которая сегодня стала самостоятельной наукой. Достижения в этой сфере за последние годы впечатляют не только ученых-химиков, но и далеких от науки людей: в конечном итоге биохимия — с ее кропотливыми и сложными исследованиями — работает на сохранение здоровья всего человечества.
Одно из самых современных направлений в химии — создание механических устройств, представляющих собой отдельные молекулы. Эти работы приближают эпоху квантовых компьютеров, о чем рассказано в третьей главе "Молекулярные механизмы и машины".
Четвертая глава, которая называется "Самая главная частица и ее жилище", расскажет об электроне — главной элементарной частице в химии, благодаря которой осуществляются все превращения. Каким образом электрон располагается у атомного ядра — не может представить даже самое буйное воображение. Однако об этом смогут рассказать ученые.
О новой науке — квантовой химии, позволяющей вычислить свойства пока не полученного вещества, будет рассказано в пятой главе "От колбы к компьютеру". Современный мир уже немыслим без компьютеров, их успешное объединение с химией произошло при появлении квантовой химии.
Шестая глава — "Ближайшие «родственники» углерода" — познакомит читателя с изящной архитектурой молекул, полученных с участием двух элементов — кремния и германия, которые оказались исключительно значимыми в развитии современной химии.
Седьмая глава — "Тысячелетия спрессованы в минуты" — посвящена процессам, которые в течение тысячелетий происходили в земной коре — но теперь, когда их удалось воспроизвести в лабораторных условиях, все превращения можно наблюдать в течение нескольких минут.
В восьмой главе, которая называется "Новые грани ферроцена", будет рассказано о неизвестных ранее полезных свойствах соединения, полученного в середине ХХ в. Ферроцен обрел громадную популярность и буквально стал эмблемой элементоорганической химии, однако, несмотря на то, что процессы его превращений хорошо изучены, есть нечто, увеличивающее диапазон его использования.
В девятой главе "Озарения, открытия, превратности судьбы" читатель узнает о том, как к исследователю приходит озарение, как совершаются открытия, как они влияют на судьбу самих первооткрывателей и к каким драматическим поворотам могут привести.
Простые расчеты, описанные в десятой главе "Всему своя цена", могут помочь принять правильное решение, найти компромисс между желаемым и достижимым: ведь как в науке, так и в жизни перед человеком постоянно встают сложные задачи, требующие разумных действий.
Химия — наука чистых экспериментов и точных результатов, но жизнь порой любит иронизировать. Иногда важные открытия совершались благодаря присутствию случайных примесей. Примеры приведены в одиннадцатой главе "Всегда ли надо мыть посуду?".
В двенадцатой главе под названием "Лабораторные будни" описаны весьма забавные и необычные ситуации. Это опровергнет ваши представления о том, что рядовые дни химика и окружающая рабочая обстановка внешне малопривлекательны.
Тринадцатая глава "Образный язык химиков" расскажет о том, как ученые демонстрируют свою увлеченность химией, часто создавая образные названия веществ и дополняя их изображением различных бытовых предметов.
А четырнадцатая глава "Вернемся к прочитанному" поможет освежить полученные в процессе прочтения книги знания.
Добро пожаловать в увлекательный мир химии!
Империя длинных молекул
Люди стали использовать полимеры за много столетий до того, как появился сам термин "полимеры". Из шкур животных делали одежду и обувь, мех служил для пошива теплой одежды, а шерстяные, хлопковые, льняные, конопляные (пенька) и джутовые волокна — для производства одежды, мешков и канатов. В этом ряду натуральных материалов упомянем и каучук. Со временем люди стали искать способы улучшить свойства природного сырья, появились новые технологии, что по существу и означает развитие цивилизации. В процессе развития различных ремесел мастера, совершенно не знавшие химии, начинали экспериментировать со всеми подручными материалами подряд — и находили исключительно удачные реагенты. Некоторые из таких рецептов сохранились до нашего времени и успешно используются.
Универсальный материал
Использование шкур животных для изготовления необходимых для жизни предметов началось задолго до того, как люди научились прясть и ткать. Важным было также создание пергамента — материала для письма из тонкой телячьей кожи, употреблявшегося до изобретения бумаги. Рукописи на пергаменте сохраняются в течение столетий.
Некоторые из перечисленных предметов используют и в наши дни. Сделать такие вещи из шкуры животного было совсем не просто. После вымачивания в известковом молоке (водная суспензия Ca(OH)2) удаляли волосяной покров, на внутренней поверхности шкуры соскребали остатки мышечной ткани. Высушенная шкура напоминала лист фанеры. Затем ее снова замачивали и разминали, растирая на камне или на бревне, а позже стали использовать ребристые барабаны. Мастеров называли кожемяками, и, скорее всего, от названия ремесла появилась и распространенная русская фамилия Кожемякин. После обработки кожа становилась рыхлой, мягкой и как будто мыльной с обеих сторон. Далее следовала самая важная стадия в технологическом процессе — дубление, в результате которого кожа становилась упругой, прочной и водостойкой. Для дубления было испробовано множество различных средств: отвары коры различных деревьев, пищевые отходы. Существовало также малоэффективное жировое дубление, которое, благодаря простоте и быстроте, использовалось кочевниками.
В начале XV в. искусство выделки кожи было особенно развито в Турции. Кожа становилась необычайно мягкой за счет того, что вначале ее выдерживали в собачьих и птичьих экскрементах, затем в отрубях, инжире, меде и виноградном соке, после чего обрабатывали известью и растягивали на деревянной раме. Можно себе представить, какое было количество неудачных попыток, прежде чем удалось создать столь непростую технологию. Секреты ремесла хранились в строжайшей тайне. По преданию, знание этого секрета спасло жизнь пленному турку во время войны Турции с Венгрией в середине XV в. Пленного уже вели на повешение, но он уговорил отменить казнь в обмен на секрет, который сулил богатство местным жителям. Возможно, именно таким путем искусство высококачественной выделки кожи пришло в Европу. Невольно вспоминаются похожие истории: известно, что китайцы держали в секрете рецепты изготовления фарфора и шелка, однако европейцам все же удалось раздобыть тайны этих технологий.
Строение кожи сегодня хорошо изучено. Ее основу составляет белок коллаген, имеющий вытянутую нитевидную структуру. Группы из трех сплетенных молекул укладываются параллельно, образуя коллагеновое волокно (рис. 1.1).
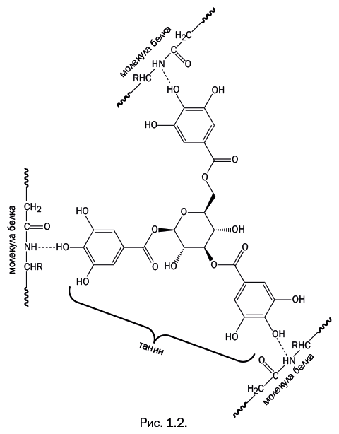
Одно из наиболее эффективных дубильных веществ, употреблявшихся в древние времена, содержалось в коре дуба, а также в чернильных орешках, образующихся иногда на дубовых листьях. Так появилось слово "дубление". Отвары коры или орешков добавляли в чан с вымоченной кожей. В более поздних исследованиях было выявлено и действующее вещество — танины. Эта группа соединений представляет собой связанные бензольные ядра, содержащие гидроксильные группы, то есть фрагменты -С6Н4-ОН. Пример одного из веществ этой группы показан на рис. 1.2.
В молекулах коллагена, как и в любом белке, содержатся пептидные группы –С-NH–C(=O)–C-, и в процессе дубления между ними и молекулами танина образуются связи. В результате возникает пространственная сетка, придающая коже прочность, пластичность, водоустойчивость и износостойкость.
Процесс дубления был длительным — иногда до нескольких месяцев, однако, как это иногда бывает, различные жизненные обстоятельства вынудили мастеров искать более быстрые методы. Французский химик Арман Сеген, работавший некоторое время с великим ученым Лавуазье, во времена французской революции стал поставщиком кожи для обуви армий Наполеона. На обувь был огромный спрос, и возникла острая необходимость сократить продолжительность дубления. Сеген смог решить эту проблему: он стал использовать концентрированные спиртовые экстракты дубовой коры, что позволило сократить время дубления до нескольких дней. Более того, такая кожа превосходила по качеству ту, что была сделана старым методом.
Особо значимым событием стало изобретение немецкого ученого Л. Ф. Кнаппа в 1853 г. В качестве дубителей он предложил соли хрома, которые для тех же целей широко применяют и в наши дни. Механизм дубления приблизительно такой же, что показан на рис. 1.2 с танином — в результате образуются поперечные сшивки между молекулами коллагена.
Отходы кожевенного производства тоже оказались полезны. При умеренном нагревании в водных растворах тройной жгут из полимерных цепей расплетается, образуется желе, сильно набухающее в воде, которое после высушивания становится стекловидной коричневой массой — это всем известный столярный клей. При аналогичной переработке отходов рыбного производства получают желатин, он состоит практически из тех же молекул коллагена. Его используют как пищевую добавку при изготовлении студней и желе. Кроме того, частицы светочувствительного бромида серебра, распределенные в желатине, представляют собой эмульсию, которую наносят на фотопленку и фотобумагу; набухая в воде, желатин позволяет проявителю и закрепителю проникать внутрь светочувствительного слоя. В биологических экспериментах желатин используют как среду для выращивания колоний различных бактерий. По мнению специалистов, желатин — лучший клей при изготовлении деревянных музыкальных инструментов.
Попутно отметим, что технологическая химия имеет свою специфику. Нельзя рассматривать кусочек натуральной кожи как реагент, который можно поместить в колбу и провести реакцию. В современных условиях взаимодействие синтетической и технологической химии складывается следующим образом: химики-синтетики берут в качестве реагента фрагмент молекулы белка, образующего коллаген, и проводят взаимодействие с различными веществами, которые предположительно могут оказаться дубителями — то есть осуществляют сшивание молекул. Часто удается выделить продукт взаимодействия в виде индивидуального соединения и изучить его строение. Иногда химикам удается получить нужный эффект от действия реагентов, которые ранее для этих целей не изучались. По результатам таких работ технологи начинают проводить испытания с образцами натуральной кожи. Результаты обычно представляют в виде таблиц, в которых указывается тип кожи, состав действующего реагента, температура, время выдержки (реагент должен проникнуть внутрь материала), испытания на влагостойкость, прочность и ряд других свойств. Это позволяет выбрать оптимальные реагенты и условия. Для объяснения полученных результатов используются схемы, которые предоставили химики-синтетики. Очень часто такое сотрудничество оказывается плодотворным.
В заключение вспомним, что и в наши дни натуральная кожа остается широко используемым материалом. Возможно, вскоре убой животных, шкуры которых используются для кожевенной промышленности, будет запрещен. Однако есть вероятность, что для изготовления кожаных изделий будут пригодны шкуры животных, выбывших из производства молочных продуктов. Несомненно одно: доведенные до совершенства современные технологии позволяют создавать кожаные изделия исключительной красоты и использовать замечательные возможности этого древнего и всегда популярного материала.
Лидер среди природных полимеров
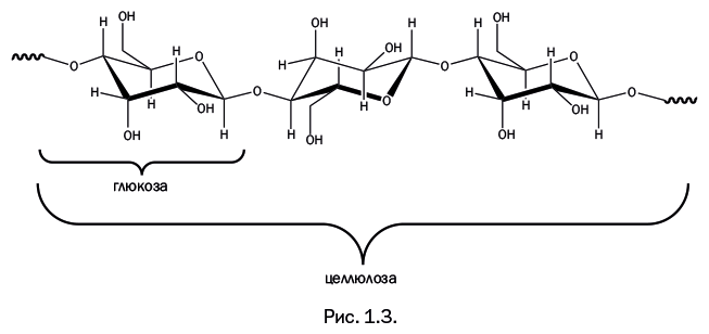
Речь пойдет о целлюлозе. Лидером она названа потому, что это самый распространенный органический полимер на Земле. Кроме того, для него разработано очень много вариантов химической модификации.
Предметы из целлюлозы постоянно окружают нас в повседневной жизни: 40–60% древесины состоит из целлюлозы, в хлопковой вате ее содержание — 96–98%, а ворсинки тополиного пуха — это практически чистая целлюлоза. Линейная полимерная молекула целлюлозы собрана из циклических молекул глюкозы (рис. 1.3), молекулярная масса — от 400 000 до 2 млн, а сама молекула напоминает бусы.
Факт содержания глюкозы в структуре целлюлозы невольно подводит к вопросу: можно ли использовать ее в пищевых целях, поскольку глюкоза — ценный питательный продукт? Вероятно, среди первобытных людей тоже встречались экспериментаторы. Наблюдая, с каким удовольствием пощипывали травоядные животные траву, люди тоже пробовали есть ее, но быстро убеждались, что это не утоляет голод. Все дело в том, что в организме травоядных присутствует фермент (биологический катализатор), который способен расщеплять целлюлозу. В организме человека он отсутствует. И в конце концов люди нашли растения, содержащие глюкозу, крахмал и другие соединения, пригодные в качестве пищевых продуктов, а также научились правильно использовать свойства целлюлозы. Линейное строение ее молекул способствует образованию волокон, которые достаточно прочны. Например, благодаря этим волокнам деревья с тонкими высокими стволами могут противостоять непогоде.
Наиболее распространенное применение волокнистой целлюлозы — изготовление хлопчатобумажных тканей. Хлопковые волокна в силу своих природных свойств идеально подходят для прядения нитей, но хлопок — это культура, которую довольно трудно выращивать: он растет лишь в определенной климатической зоне. Можно ли использовать целлюлозу древесины, чтобы делать из нее волокна и ткани?
Для вытягивания нитей полимер обычно нагревают до размягчения, а затем полученный расплав продавливают сквозь пластину с маленькими отверстиями — фильеру. На выходе из фильеры полимер застывает в виде нитей. Для этого полиэтилен достаточно нагреть до 180–200 оС, а поликапролактам, из которого получают капроновые волокна, нужно нагревать до 250–300 оС. Однако для целлюлозы такой способ неприменим. Известно, что древесина при нагревании не размягчается и не становится текучей — она просто начинает обугливаться. Выражаясь научным языком, температура размягчения целлюлозы выше температуры ее термического разложения.
Есть другой способ получения волокна из полимеров. Отличительная особенность линейных полимеров — способность растворяться в органических растворителях. Таким образом, полимер необходимо растворить, а полученный раствор продавить через фильеру в ванну с осадителем. Осадитель — это жидкость, которая легко смешивается с растворителем, но не растворяет сам полимер. В итоге на выходе из фильеры получаются нити. А далее исследователи столкнулись с очень сложной задачей. Как следует из показанной формулы (рис. 1.4), целлюлоза имеет линейное строение, но в то же время она не растворяется ни в одном из известных растворителей. Причина этого станет понятной, если посмотреть на строение полимерного звена целлюлозы. Каждый циклический фрагмент содержит три гидроксильные группы -ОН. Полярные группы всегда в той или иной степени взаимодействуют, и в данном случае между этими полярными гидроксильными группами соседних полимерных цепей возникает так называемая водородная связь, которая представляет собой электростатическое взаимодействие частичного отрицательного заряда на атоме О и положительного — на атоме Н. На рис. 1.4 эти связи показаны штриховыми линиями.
В результате все молекулы оказываются объединенными в единую структуру, напоминающую сшитый полимер. Водородная связь в 15–20 раз слабее ковалентной связи, однако следует помнить, что водородные связи располагаются по всей длине достаточно протяженной молекулы. Получается, что "много слабых вместе — это сила". Поэтому чрезвычайно трудно отделить одну молекулу от другой и перевести ее в раствор. Молекулы цепляются друг за друга, словно застежки-липучки на одежде и обуви. Несмотря на то что каждый маленький крючок такой застежки держится за противоположную поверхность не очень крепко, невозможно расцепить все крючки разом.
Кажется вполне логичным, что для растворения целлюлозы надо заменить гидроксильные группы другими — такими, которые не образуют сетку поперечных связей. Первое решение этой задачи было найдено давно. В 1885 г. французский химик Л. Шардонне предложил получать искусственное волокно из целлюлозы, заменив в ней гидроксильные группы нитрогруппами, которые образуются при нитровании азотной кислотой. Поскольку побочный продукт — это вода, то для ее связывания в реакционную систему вводили концентрированную серную кислоту, которая реагирует с водой, образуя гидраты (рис. 1.5).
Полимер хорошо растворялся в спиртоэфирной смеси, образуя прядильный раствор, пригодный для формования волокон. Однако полученные волокна были непригодны для прямого использования, поскольку оказались необычайно горючими. Напомним, что нитроцеллюлоза — основное исходное соединение при изготовлении бездымного пороха. Чтобы снизить горючесть, из отформованного волокна нитрогруппы удаляли длительной обработкой гидросульфидом аммония NH4SH. В результате всех этих процедур происходил частичный разрыв макромолекул, и механическая прочность волокна заметно снижалась.
Тем не менее нитроцеллюлоза нашла свое применение: на ее основе был создан первый в истории промышленный пластик — целлулоид, содержащий 75% нитроцеллюлозы и 25% камфары в качестве пластификатора. Пластификатор — это вещество, которое вводят в состав полимерных материалов для повышения его эластичности или пластичности (то есть чтобы полимерный материал стал пластиком). Он был разработан американским изобретателем Д. У. Хайатом в 1869 г. Основная цель изобретения состояла в том, чтобы найти материал, заменяющий дорогую слоновую кость, которую использовали в производстве бильярдных шаров. Целлулоид быстро стал популярным: из него, помимо бильярдных шаров, начали делать линейки, расчески, корпуса музыкальных инструментов, мячи для настольного тенниса и детские игрушки. Огромную роль целлулоид сыграл в развитии кинематографии — он стал прозрачной основой кинопленки.
Целлулоид обладает массой достоинств: изделия из него можно получать отливкой и прессованием, он легок, прочен, отлично полируется, подвергается механической обработке, подобно кости и рогу, легко окрашивается, при нагревании изделия до 120 °С снова становится пластичным и принимает любую форму. Однако все эти достоинства перечеркиваются одним недостатком — целлулоид исключительно пожароопасен и может гореть без воздуха, поскольку по составу близок к бездымному пороху. История помнит жуткие пожары в кинобудках и на складах фотоматериалов. В настоящее время этот пластик на основе природного полимера полностью заменили другие полимеры.
Пожароопасность удалось исключить, когда вместо нитрогрупп в состав целлюлозы ввели ацетатные группы CH3C(=O)O-. В элементарном звене целлюлозы находятся три гидроксильные НО-группы: возможно ацетилирование как двух НО-групп, так и трех (рис. 1.6а, б). Ацетилирование — это химическая реакция, в ходе которой атом водорода замещается на остаток уксусной кислоты CH3CO. Уксусная кислота ацетилирует очень слабо, поэтому используют более активный уксусный ангидрид, а для связывания выделяющейся воды применяют концентрированную серную кислоту, как и в производстве нитроцеллюлозы.
Ацетатцеллюлоза впервые была получена П. Шутценбергером в 1865 г. в Германии. Он сразу отметил, что, в отличие от нитроцеллюлозы, новое соединение плохо загорается и быстро гаснет. Ацетатцеллюлозное волокно оказалось мягким, эластичным, малосминаемым, однако оно обладает невысокой прочностью, поэтому при изготовлении тканей в него добавляют натуральные и синтетические волокна.
Триацетат целлюлозы полностью вытеснил нитроцеллюлозу из кино- и фотопромышленности, а также стал основным материалом при изготовлении магнитофонных лент. Пластмассы на основе триацетата целлюлозы (рис. 1.6б), называемые этролами, используют в производстве трубопроводов, через которые транспортируется природный газ, при изготовлении деталей автомобилей, самолетов, судов (штурвалов, приборных щитков, пригодных для работы в экстремальных условиях Арктики и тропиков). Триацетат целлюлозы — абсолютный лидер среди материалов, применяемых в производстве оправ очков — около 70% всех производимых пластмассовых оправ.
Диацетат целлюлозы (рис. 1.6а) содержит НО-группы и, соответственно, гидрофилен (то есть не отталкивает воду). Его используют в качестве полимера-носителя для лекарственных препаратов продолжительного действия. Диацетатные пленки применяют для остекления теплиц и парников, так как они пропускают УФ-лучи. Если еще уменьшить количество ацетатных групп и, соответственно, увеличить содержание НО-групп, то полимер можно использовать в хирургии — в случаях, когда необходимо накладывать швы с рассасывающимися нитями.
Итак, результаты химической модификации целлюлозы оказались успешными. А можно ли просто растворить целлюлозу, никак не модифицируя, не изменяя ее состав и не разрушая полимерные цепи? Ранее было сказано, что целлюлоза ни в чем не растворялась, однако для химии нет ничего невозможного — за исключением тех случаев, когда требуется нарушить законы природы.
В целом предполагалось, что если на некоторое время разрушить водородные связи и затем получить из раствора волокно, то эти связи восстановятся сами, и мы вновь получим исходную целлюлозу. Разрушить водородные связи можно, если ввести в полимер какое-то высокополярное соединение, которое будет взаимодействовать с гидроксильными группами более интенсивно, чем гидроксильные группы между собой. В этом случае можно рассчитывать на то, что соединение, постепенно проникая внутрь с поверхности, будет размыкать "крючки" водородных связей.
Растворитель для целлюлозы был найден в 1857 г. швейцарским химиком Э. Швейцером. Это было весьма необычное соединение, которое никогда и никем не рассматривалось в качестве растворителя — водный раствор комплексного соединения гидроксида меди с аммиаком [Cu(NH3)n](OH)2, n= 4 ÷ 6 (диапазон в значении "n" указывает на то, что это комплекс переменного состава). Его получают растворением гидроксида меди Cu(OH)2 в водном аммиаке (нам его раствор известен как нашатырный спирт, который в медицине применяют при потере сознания). Целлюлоза растворяется в медно-аммиачном комплексе при комнатной температуре, затем раствор продавливается через фильеру в ванну с проточной водой. Медно-аммиачный комплекс вымывается, а полученное волокно по составу будет представлять собой исходную целлюлозу. Тем не менее при этом происходит некоторая трансформация, немного изменяется пространственное расположение звеньев полимерной молекулы, а полученные волокна совсем не похожи на хлопковое волокно. Они имеют блестящую поверхность и внешне напоминают натуральный шелк, поэтому такое волокно стали называть медно-аммиачным шелком. Оно оказалось непрочным. В 1901 г. работы немецкого химика Ф. Тиле ознаменовали следующий этап в истории этого волокна: формование стали проводить с одновременной вытяжкой, благодаря чему участки полимерных цепей ориентировались вдоль оси волокна, что привело к заметному повышению прочности.
Все описанное выше — поиски растворителя, разрушающего водородные связи между цепями линейного полимера, ориентирование полимерного волокна в процессе формования — воспринимается на первый взгляд как обычная научная работа, опирающаяся на существующие представления о строении и свойствах полимеров. Удивительно, что в то время, когда проводились эти работы, науки о полимерах вообще не существовало: она появилась спустя несколько десятилетий. Соответственно, не было таких понятий, как макромолекула, линейный полимер, "обязанный" в чем-то растворяться, ориентирование полимерных звеньев. Помимо этого, еще даже не было установлено точное строение целлюлозы.
Можно только удивляться необыкновенной интуиции первых химиков-полимерщиков, сумевших настолько грамотно разработать весь процесс получения волокна, что в основных чертах он сохранился неизменным до наших дней.
Интересно, что разрушает водородные связи в целлюлозе не только реактив Швейцера, но и сжиженный аммиак (t кип. –33,5 оС). Если опустить в него на некоторое время спичку или тонкий карандаш, то водородные связи частично разрушатся, поскольку аммиак свяжет атомы водорода гидроксильных групп в ионы аммония NH4+. В итоге дерево станет пластичным, и карандаш можно будет завязать узлом. При комнатной температуре жидкий аммиак быстро испарится, водородные связи восстановятся в деформированной древесине, которая вновь приобретет исходную жесткость. Естественно, такие опыты необходимо проводить в хорошем вытяжном шкафу с использованием резиновых перчаток: пары аммиака при вдыхании вызывают нестерпимую боль.
Был найден еще один способ растворения целлюлозы. Ученым пришлось пойти на небольшую хитрость: на промежуточном этапе химически модифицировали целлюлозу, чтобы ее растворить, а в процессе вытягивания нити удаляли модифицирующую группу и вновь получали исходную целлюлозу. Речь идет об известном процессе получения вискозного волокна. Измельченную древесину обрабатывают водным раствором NaOH, гидроксильные группы –ОН превращаются в –ONa. На следующей стадии применяют жидкий сероуглерод CS2 — это соединение практически является аналогом углекислого газа O=C=O, в котором атомы кислорода заменяются родственным элементом — серой S=C=S. Сероуглерод встраивается между атомами O и Na в группах -ONa (рис. 1.7).
Образуется вязкая водно-щелочная масса (вискоза, от лат. viscosus — "вязкий"), которую продавливают сквозь фильеру в ванну с серной кислотой. Ионы натрия переходят в раствор в форме сульфата, сероуглерод высвобождается и удаляется вместе с сернокислым раствором. Образовавшаяся шелковистая нить представляет собой чистую целлюлозу. Сам процесс в 1891 г. изобрели англичане Ч. Кросс, Э. Беван и К. Бидле, а через год они организовали производство вискозы. Она применяется для изготовления тканей, которые приятны в носке, не препятствуют нормальному воздухообмену, легко окрашиваются и образуют нежные драпировочные складки.
Из той же самой вискозной массы получают продукт, имеющий такой же состав, но внешне совсем не похожий на ткань. Это целлофан — шуршащая прозрачная пленка. Идея производить не волокно, а пленку пришла к швейцарскому химику Ж. Бранденбергеру: он искал способ защитить скатерть от грязных пятен. Он обработал хлопчатобумажную ткань вискозным сырьем, в результате скатерть огрубела и стала жесткой, а само покрытие легко отслоилось в виде прозрачной пленки. Бранденбергер понял, что получил новый пленочный материал — его производство он наладил через несколько лет. Вискозную массу продавливали не через фильеру с множеством отверстий, а через узкую щель. На какое-то время целлофан стал самым популярным упаковочным материалом, сейчас его вытеснил более дешевый полиэтилен. Однако, если проанализировать ситуацию, мы поймем, что это не самая удачная замена. Целлофан исключительно хорош для хранения пищевых продуктов: он позволяет "дышать" упакованному содержимому, надолго сохраняя его свежесть. Также целлофан легко утилизируется естественным образом — разлагается, что особенно актуально в современных условиях, когда остро встает вопрос утилизации отходов.
Подводя итог, отметим, что достоинства природного полимера — целлюлозы — были в полной мере оценены и умело использованы настойчивыми химиками-исследователями.
Когда упорство выше знаний
Помимо описанных выше натуральной кожи и целлюлозы, существует еще один природный полимер, который человечество сумело успешно приспособить к своим нуждам. Это натуральный каучук (заимствование из французского языка: caoutchouc <индейск. каучу, сложение кау — "дерево" и учу — "течь". Каучук буквально — "сок, текущий из дерева"1). Впервые каучук обнаружили в начале XVI в. участники экспедиции Христофора Колумба, прибывшие на Американский континент. Они увидели, что туземцы играют в мяч, сделанный из совершенно неизвестного материала. Мяч отскакивал от земли, легко сжимался и быстро восстанавливал свою первоначальную форму. Долгое время каучук, привезенный из Южной Америки, был просто заморской диковинкой.
В 1735 г. французская экспедиция во главе с исследователем Ч. Кондамином установила, что каучук получают из млечного сока бразильской гевеи, который собирают, делая косые надрезы на коре и прикрепляя к дереву сосуд для сбора сока (рис. 1.8). Млечный сок (научное название — латекс) представляет собой эмульсию со взвешенными в воде мелкими каплями каучука. Содержание каучука — 34–37%. При небольшом нагревании или действии органических кислот латекс "сворачивается" подобно тому, как створаживается нагретое скисшее молоко, и чистый каучук легко отделяется от воды. В 1738 г. Кондамин представил в Парижской академии наук образцы каучука и описание способов его получения в Южной Америке. Новое вещество вызвало научный интерес, однако единственное применение в 1770 г. нашел британский химик Джозеф Пристли — именно он был первооткрывателем кислорода (см. главу "Озарения, открытия, превратности судьбы", рассказ "Открытия не могло не быть"). Пристли обнаружил, что каучук может стирать написанное графитовым карандашом. Такой предмет мы называем ластиком. Попытки использовать каучук продолжил британский химик и изобретатель Чарльз Макинтош. Он поместил тонкий слой каучука между двумя слоями ткани и из этого материала стал шить водонепроницаемые плащи. В 1823 г. он организовал в Глазго мануфактурное производство водонепроницаемой одежды, и с тех пор непромокаемый плащ из прорезиненной ткани носит его имя.
Однако не путайте его с известными однофамильцами. Изначально Макинтоши были представителями древнего шотландского клана. В свое время в Северной Америке был выведен сорт яблок, ставший популярным и получивший название в честь создателя, Джона Макинтоша, а современная линейка персональных компьютеров Macintosh (Mac) корпорации Apple получила название от сорта яблок.
Впрочем, вернемся к прорезиненным плащам. Первые эксперименты оказались неудачными: зимой такие плащи становились твердыми от холода, а летом расползались от жары. Через год вся продукция превращалась в жидкое месиво и издавала отвратительный запах.
Устранить эти недостатки решился американский изобретатель-одиночка Чарльз Гудьир. Он не имел никакого образования и, естественно, никакого представления о том, из чего состоит натуральный каучук. Почему он полагал, что эта задача имеет решение? Может быть, ему что-то подсказывала интуиция, но скорее всего, его привели в изумление свойства каучука, который не имеет аналогов среди всех предметов окружающего нас мира. Он способен увеличивать свою длину в 6–8 раз и возвращаться в исходное состояние после снятия растягивающего усилия — впрочем, мы уже привыкли к каучуку и не удивляемся его высокоэластическим свойствам. Гудьир, вероятно, был поражен уникальными свойствами каучука и решил непременно найти ему применение. Он с фанатичным упорством вводил в каучук различные добавки. С помощью скалки для теста он смешивал с пластинками каучука все, что попадалось под руку: песок, соль, мел, перец, сахар, сыр, чернила, магнезию и даже суп, твердо веря, что решение задачи найдется. Поиски длились не один год. Среди добавок оказалась и порошкообразная сера, которой он припудривал образцы каучука, чтобы они не слипались. Один из образцов случайно оказался у нагретой печи, но не растекся, а сохранил форму. Гудьир, внимательно следивший за результатами экспериментов, мгновенно это заметил. Так в 1839 г. был открыт процесс, названный впоследствии вулканизацией, а полученный продукт стали называть резиной. Происхождение слова "вулканизация" очень романтичное — оно связано с именем древнеримского бога огня Вулкана, покровителя кузнецов и литейщиков. Это одно из знаменательных событий в истории полимерной химии. Слово "резина" означает на латыни просто "смола". Еще при жизни Гудьира в США, Англии, Франции и Германии начали строить заводы по производству резины. Его имя входит в название резинотехнической фирмы Goodyear Tire and Rubber (США), занимающей одно из ведущих мест в производстве шин. Самое удивительное, что найденный Гудьиром способ вулканизации дошел до наших дней практически без изменений, и серу до сих пор считают оптимальным вулканизатором.
Современная химия только подтверждает, что найденный Гудьиром вариант был исключительно удачным. Исходный мономер изопрен содержит две двойные связи, соединенные одинарной. При его полимеризации образуется полиизопрен — натуральный каучук. Это полимер линейного строения с чередующимися двумя простыми и одной двойной связями в цепи (рис. 1.9).
Молекула натурального каучука содержит 20 000–40 000 элементарных звеньев, молекулярная масса — 1 400 000–2 700 000, и он хорошо растворяется в большинстве органических растворителей. При вулканизации кратные связи, присутствующие в цепи полимера, взаимодействуют с серой, при этом возникают поперечные мостики, содержащие несколько атомов серы (рис. 1.10).
В результате вулканизации образуется прочный эластичный материал, нерастворимый в органических растворителях.
Как часто бывает, решение одной проблемы приводит к появлению новых. Резина стала пользоваться огромным спросом, и основным ее потребителем была автомобильная промышленность, особенно после изобретения конвейерного метода сборки. Автор метода — предприимчивый Генри Форд — в 1932 г. купил у Бразилии более миллиона гектаров для создания плантаций гевеи.
В то время Бразилия процветала: она надолго стала монополистом по выращиванию деревьев-каучуконосов и, естественно, старалась беречь источник своего богатства. Вывоз семян гевеи был строго запрещен. Однако, как показывает история, невозможно сохранить технологические секреты и методики. Англичанам удалось вывезти в трюме океанского судна 70 000 семян гевеи, вследствие чего каучуконосные плантации появились в Индии, на острове Шри-Ланка (прежнее название Цейлон), а также на Малайском архипелаге.
В начале ХХ в. в некоторых странах пытались искать местные растения, способные заменить гевею. В Советском Союзе был найден тянь-шаньский одуванчик кок-сагыз, который выращивали на полях России, Украины, Казахстана. Были построены заводы для переработки этого каучука, который по качеству считался не уступающим каучуку из гевеи. В конце 1950-х гг. с увеличением производства синтетического каучука возделывание одуванчика-каучуконоса было прекращено.
Примечательно, что первый метод производства синтетического каучука был разработан в России. В 1910 г. российский химик С. В. Лебедев предложил реакцию дивинила из этилового спирта, она до сих пор носит его имя. Дивинил стал исходным соединением для производства синтетического каучука, однако он не смог полностью вытеснить природный. Мировой объем производства натурального каучука в настоящее время превышает 8 млн тонн в год. Он незаменим при производстве крупногабаритных шин, способных выдерживать большие нагрузки. Лучшие фирмы-производители изготавливают шины для легковых автомобилей из смеси натурального и синтетического каучука, а главной областью применения натурального каучука остается шинная промышленность.
Химия привлекательности
В предыдущих разделах этой главы мы рассказали, что создание поперечных сшивок между линейными молекулами стало одной из задач модификации природных полимеров (натуральной кожи и каучука). Существует природный полимер, в котором белковые цепи уже соединены поперечными мостиками — не слабыми водородными связями, как у целлюлозы, а прочными химическими. Речь идет о волосяном покрове млекопитающих: толщина отдельных ворсинок у мериносовой овцы — основного "поставщика" шерстяной пряжи — 0,02 мм, толщина конского волоса — до 0,2 мм. Известно, что сшитые полимеры при нагревании не размягчаются и ни в чем не растворяются, поэтому их модификация затруднена, но не невозможна. Однако химики всегда находят решение: они сумели разрушить полярные связи в целлюлозе (см. выше — "Лидер среди природных полимеров") и не отступили при поиске метода, который позволял бы разрушить не слабые полярные, а сильные химические связи.
Изменение структуры шерстяных волокон почти не применяется, поскольку их свойства практически оптимальны. Чаще всего для снижения усадки при стирке таких изделий в шерстяную пряжу в процессе изготовления нитей добавляют синтетические волокна. Тем не менее существует один широко известный пример их модификации.
Волосяной покров млекопитающих — материал, отформованный в виде волокна самой природой, но часто естественная форма не устраивает человека. Например, многие люди предпочли бы иметь не прямые, а волнистые волосы. Обычные способы завивки — накручивание в мокром виде на бигуди или завивание горячими щипцами — не слишком эффективны. При первом же воздействии влажного воздуха или воды волосы распрямляются. Все объясняется свойствами сшитой структуры. Полимерные белковые молекулы волос соединены поперечными связями из мостиков с двумя атомами серы (дисульфидных) (рис. 1.11) — почти таких же, которые ранее упоминались при обсуждении вулканизации резины.
