автордың кітабын онлайн тегін оқу Поверь и увидишь: Путь ученого от атеизма к вере
Все права защищены. Данная электронная книга предназначена исключительно для частного использования в личных (некоммерческих) целях. Электронная книга, ее части, фрагменты и элементы, включая текст, изображения и иное, не подлежат копированию и любому другому использованию без разрешения правообладателя. В частности, запрещено такое использование, в результате которого электронная книга, ее часть, фрагмент или элемент станут доступными ограниченному или неопределенному кругу лиц, в том числе посредством сети интернет, независимо от того, будет предоставляться доступ за плату или безвозмездно.
Копирование, воспроизведение и иное использование электронной книги, ее частей, фрагментов и элементов, выходящее за пределы частного использования в личных (некоммерческих) целях, без согласия правообладателя является незаконным и влечет уголовную, административную и гражданскую ответственность.
Посвящается д-ру Райсу Бруксу
Дорогому другу и коллеге, посвятившему свою жизнь поиску истины и понимающему, что она гораздо важнее любого доказательства.
Введение
Почему я написал эту книгу
У меня, как у физика, математика, астронома и христианина, взгляды на мир достаточно широкие, чтобы сочетать в себе научный метод и Библию… рациональное восприятие и веру… Вселенную и Бога.
Я прошел долгий и непростой путь интеллектуального и духовного развития, который привел меня к двум чрезвычайно важным выводам. Во-первых, логика не является вершиной человеческого интеллекта, критического мышления и мудрости, и она не свободна от веры. Во-вторых, наука не является врагом Бога; напротив, это Божий дар человечеству, блестящий способ исследовать Его бесконечную природу и потрясающее творение.
В течение последних лет я езжу по университетским кампусам и отвечаю на вопросы студентов о науке и христианстве — живой интерес к этой теме не пропадает со времен Дарвина. Вопросы охватывают всю гамму человеческого любопытства — от «Вы действительно верите всему, что написано в Библии?» до «Считаете ли вы, что наука может объяснить все без исключения?».
Куда бы я ни попадал — в Рейкьявик или Варшаву, Нью-Йорк или Финикс, — везде меня окружали молодые люди, среди которых были и пылкие христиане, и атеисты, и ньюэйджеры [1], и мусульмане, и буддисты, и неопределившиеся. Как правило, они не отпускали меня до полуночи, хотели получить ответы на вопросы о логике и вере, науке и религии, исключительности и плюрализме, пытались представить, как может выглядеть будущее для каждого из них и для всех вместе.
Эти замечательные встречи позволили мне обрести массу молодых друзей и узнать много нового об их довольно своеобразном поколении Z [2]. Один аспект предельно ясен: традиционная христианская церковь потеряла десятки миллионов молодых людей, даже тех, кто был воспитан набожными родителями-христианами. Когда многие молодые христиане поступают в колледж и оказываются в окружении ярых скептиков, у них возникает соблазн поверить, что Бог, Иисус и Святой Дух — это детские сказки, а сама идея веры — нечто недостойное.
Оказавшись вдали от дома, почувствовав себя брошенными на произвол судьбы и испытывая сомнения, многие из этих молодых людей обратились к науке как высшему авторитету. И это неудивительно. Они выросли, читая о чудесах, творимых наукой и техникой: связь с миром через портативные устройства, создание человекоподобных роботов, лечение болезней, отправка космических кораблей к далеким мирам, расшифровка генома человека, конструирование новых форм жизни и даже возвращение зрения слепым.
Однако наука тоже оттолкнула от себя многих молодых людей. Поколение Z больше других страдает от непредвиденных последствий появления социальных сетей. Его представители с тревогой отмечают, что для их сверстников характерен беспрецедентный уровень депрессии, одиночества и склонности к самоубийству. В тот самый вечер, когда я выступал в Кентуккийском университете, студент одного из общежитий покончил с собой.
И речь идет не только о молодежи. Смею утверждать, что сегодня нет человека, которого бы не волновал, например, интернет вещей — бурно расширяющаяся сеть управляемых через интернет «умных» гаджетов, от помощников с голосовым управлением и телевизоров до кофеварок и пылесосов. Или научные инновации, которые сегодня грозят лишить нас человеческой идентичности, средств к существованию и неприкосновенности личной жизни — такие как генная инженерия, искусственный интеллект и технологии распознавания лиц. Некоторые бунтари пытаются «перерезать пуповину» — отказаться от социальных сетей, отключиться от интернета вещей или жить изолированно, но защита от прямого столкновения свободы и технологий требует более глубоких, широких и продуманных подходов.
Она может потребовать даже полного пересмотра нынешнего мировоззрения.
Что я подразумеваю под мировоззрением? То, как вы видите себя, других, космос и Бога. Это ваша религия, независимо от того, называете вы ее так или нет. Это ваш всемогущий кукловод, живущий в глубинах подсознания, который дергает вас за ниточки и контролирует не только то, как вы все видите, но и то, как на все, включая эту книгу, реагируете.
Вы можете считать себя умным, искушенным, современным человеком с современным мировоззрением, но не стоит обманываться. Ваше мировоззрение опирается вовсе не на логику. Оно основано на вере. Именно на вере. Как и любое другое мировоззрение, включая мое, ваше представление о мире в конечном итоге основано на том, что вы считаете истиной, на идеях и чувствах, которые невозможно рационально обосновать.
Именно поэтому вера гораздо сильнее логики, сильнее фактических доказательств и уж точно сильнее чувств. Вера — это таинственное и непонятное активное начало, которое питает все недоказуемые убеждения вашего мировоззрения. Это гранитный фундамент, на котором держится мировоззрение. Вера определяет, как вы видите, думаете и относитесь ко всему во вселенной и за ее пределами. Ко всему. Другими словами, вера — это видение окружающего.
Атеисты хвастают своим «свободомыслием», но при этом они полагаются на веру в той же мере, что и христиане-фундаменталисты. Все так называемые «свободные мысли» атеистов опираются на предположения, которые невозможно рационально обосновать. Об этом мы поговорим в одной из глав.
Точно так же люди, называющие себя «истинно верующими», хвастают тем, что идут по жизни, полагаясь только на веру. Однако, когда у них начинают допытываться, они не могут объяснить феномен веры. В этой книге вы узнаете, что это такое на самом деле.
Вдобавок ко всему, многие — возможно, и вы тоже — считают логику и веру несовместимыми вещами и полагают, что нужно выбирать что-то одно. При этом они говорят о важности рационального мышления, но имеют крайне туманное представление о том, что это такое.
В ходе недавнего глобального исследования школьникам было предложено задание для проверки умения понимать прочитанное. В среднем менее 9% опрошенных 15-летних школьников смогли отличить факт от мнения [1]. Всего 9%! Хуже того, такая картина характерна не только для подростков — она наблюдается и в современных профессиональных СМИ, где редакционные и пропагандистские материалы регулярно выдаются за фактографическую информацию.
Результаты этого и других опросов подтверждают то, что я воочию наблюдал во время своих выступлений: многие современные молодые люди не только приравнивают мнение к факту, но и считают, что мнения и чувства важнее фактов, а вера — это страшное слово из четырех букв.
Эта распространенная болезнь — очень плохое явление как для науки, так и для религии.
Индивидуальные и социальные последствия такого крайне ошибочного мировоззрения предвещают мрачное будущее для вас, меня и наших близких. Для Соединенных Штатов. Для планеты.
Ведь если ситуация не изменится к лучшему, то сегодняшние беспрецедентные масштабы одиночества, депрессии и самоубийств окажутся лишь преддверием грядущих трагедий. Когда гром грянет, молодые и пожилые люди спохватятся, но будет уже слишком поздно.
Итак: какое у вас мировоззрение? Задумывались ли вы когда-нибудь об этом? Можно с уверенностью сказать, что большинство людей не задумывались.
Если вы не отличаетесь от большинства, то мировоззрение для вас подобно автомобилю. Вы заботитесь, чтобы он находился в рабочем состоянии. Когда что-то не так, вы обращаетесь в автосервис, но ни разу не залезали под автомобиль и не заглядывали под капот, чтобы посмотреть, как он работает.
Даже сейчас, после всего, что я вам уже сказал, вы можете спрашивать: неужели мое мировоззрение и в самом деле имеет такое большое значение?
Да, имеет.
Именно поэтому я написал эту книгу.
Эта книга рассказывает о том, как стать механиком собственного мировоззрения. На примере реальных историй я показываю, как поднять мировоззрение на гидравлический подъемник и осмотреть его снизу. Я показываю, как провести его настройку, а если необходимо, и капитальный ремонт. По окончании работы вы уедете с большим, красивым, новым, основанным на истине мировоззрением, которое будет верно служить вам в жизни, особенно в трудные времена.
Вы узнаете, что происходит с теми, кто не смог провести диагностику своего мировоззрения; как подводит неадекватное мировоззрение в кризисные времена; как внутренний кукловод заставляет людей терять надежду и верить в то, что жизнь не может стать лучше.
Ну а вы сами — с какими неудачами сталкиваетесь сейчас? Проблемы со здоровьем? С работой? Разладились отношения с близким человеком: другом, родственником, супругом, любимым, ребенком?
Осознаете ли вы это или нет, но в трудные времена мировоззрение становится самым ценным вашим достоянием, возможно, единственным. Почему? Потому что это оно дергает вас за ниточки. Оно управляет тем, как вы видите и реагируете на все вокруг.
Достаточно ли масштабно ваше мировоззрение, чтобы в нем нашлось место для Бога? Основано ли оно на просветленной вере? На заблуждениях? В зависимости от ответов на эти вопросы мировоззрение будет либо спасать вас от проблем, либо усугублять их. В конечном счете оно приносит радость или горе. Жизнь или смерть.
Вот что стоит на карте. Вот почему мировоззрение так важно. И именно поэтому от вашего следующего решения зависит, на какую дорогу вы свернете на перепутье.
Бросите ли вы читать на этом месте и будете довольствоваться своим старым, заезженным мировоззрением? Или продолжите и узнаете, как приобрести совершенно новое, эффективное мировоззрение? Такое, которое позволит вам пройти через неизбежные жизненные бури и подняться на самые высокие, самые захватывающие дух вершины человеческого опыта.
Выбор за вами.
Следующее мгновение — это начало вашего будущего.
[1] Ньюэйджеры — представители так называемых «религий нового века», включающих в себя различные культы и секты. — Прим. ред.
[2] Поколение Z — люди, родившиеся с 1995 по 2010 г. — Прим. ред.
1. PISA 2018 Results: What Students Know and Can Do, vol. I (Paris: OECD Publishing, 2019), 3, 15, 87.
1
Калифорнийские мечты… и за их пределами
В стремлениях своих человек должен выходить за пределы возможностей, иначе зачем ему небеса?
Прежде всего я назову три вещи, которые вам нужно знать обо мне: во-первых, я родился в самом сердце восточного Лос-Анджелеса — кровь у меня на пять восьмых мексиканская, на четверть кубинская/испанская и (не поверите!) на одну восьмую австрийская, — а потому обожаю мексиканскую кухню. Во-вторых, я немного бунтарь. С юных лет я иду своим путем, порой демонстративно нестандартным. В-третьих, мне интересно все. Своими вопросами я сводил с ума преподавателей. В младших классах учитель математики ненавидел меня за то, что я постоянно прерывал его. В конце концов я ему так надоел, что он стал называть меня Майклом Гиллионом за мои миллионы вопросов. Но мне было все равно. Я продолжал спрашивать.
В некотором смысле я очень похож на доктора Франкенштейна, хотя и не тем, что тоже собираю из разных частей мертвое тело и пытаюсь оживить его. Больше всего меня привлекает его страстное желание узнать, как устроена Вселенная.
В 1931 г. Карл Леммле-младший экранизировал «Франкенштейна». В этой версии — моей самой любимой — роль ученого-бунтаря исполняет Колин Клайв, симпатичный британский актер. После создания монстра его разносит придерживающийся строгих нравственных принципов доктор Вальдман в исполнении Эдварда Ван Слоуна. На мой взгляд, эта культовая сцена как нельзя лучше отражает душу и сердце ученого.
Д-р Вальдман: Это ваше создание нужно держать под стражей! Попомните мои слова, оно опасно.
Д-р Франкенштейн: Опасно? Бедняга Вальдман. Неужели вам никогда не хотелось сделать что-нибудь опасное? Где бы мы были, если бы никто не пытался узнать, что лежит за пределами известного? Вам никогда не хотелось заглянуть за облака и звезды, узнать, что заставляет деревья распускаться? И что превращает тьму в свет? Конечно, стоит так заговорить, и вас сочтут сумасшедшим. Если бы я смог познать хотя бы что-то из этого, например, что такое вечность, мне было бы все равно, считают ли меня сумасшедшим
Во втором классе я начал мечтать — в буквальном смысле — о том, чтобы стать ученым. Ночью во сне я видел себя в белом халате, работающим в лаборатории, заставленной оборудованием, и получающим Нобелевскую премию — за что, не помню. Знаю только, что я был счастлив, как свинья в помоях.
В погоне за этой блаженной мечтой я поступил в Калифорнийский университет, где получил степень бакалавра по физике и математике. После этого я подал документы в магистратуру физических факультетов нескольких известных университетов. Одним из них был Корнелл.
Прежде чем принять решение, мы с отцом полетели на север штата Нью-Йорк, чтобы посетить университетский городок Корнеллского университета. Был конец марта, и деревья стояли голые. Мы оба подумали, что там случился пожар. Выросшие в Южной Калифорнии, мы никогда не видели ничего подобного.
Я познакомился с преподавателями физического факультета и осмотрел лабораторию Уилсона с ее синхротроном — ускорителем мирового уровня, расположенным прямо на территории университета. Следующим на очереди был Принстон, но я сказал отцу, что ехать туда нет необходимости. У меня не было ни малейших сомнений в том, что Корнелл идеально подходит мне.
Утром, когда мы уезжали домой, нас разбудил телефонный звонок Дэвида Кассела, физика, который должен был стать моим руководителем.
«Доброе утро! — весело сказал он. — Ты уже выглядывал на улицу?»
«Нет», — ответил я, поспешно открывая жалюзи на большом окне нашего номера, за которым открывался заснеженный пейзаж.
«Добро пожаловать в Итаку!» — пропел профессор Кассел.
Выйдя из отеля, мы с отцом не смогли удержаться и принялись играть в снегу, как пара детей-переростков. Девушка за стойкой регистрации с недоумением смотрела на нас, и не без оснований. Как я узнал, к концу марта снег уже порядком надоедал жителям Итаки.
Через несколько месяцев, когда я вернулся в Корнелл один, чтобы приступить к учебе, мне казалось, что я выиграл в лотерею. Подумать только, этот маленький бродяга, взявшийся неизвестно откуда, собирался стать физиком!
Это было начало совершенно новой и совсем другой жизни, чем та, которую я вел прежде.
Я вырос в строгой семье пятидесятников, говорящих на испанском языке. Мой отец и оба деда были пасторами. Более того, на протяжении четырех десятилетий мой дед по отцовской линии, в честь которого меня назвали, был очень уважаемым президентом Concilio Latino Americano de Iglesias Cristianas (CLADIC) — старейшей в стране независимой испаноязычной организации пятидесятников, объединяющей церкви в США, Мексике и Центральной Америке
Когда я рос, моя семья каждый день ходила в церковь, а службы были долгими и шумными. Я помню, как все прихожане, включая мою мать, исступленно подпрыгивали и экстатически говорили незнакомыми языками. Членам CLADIC запрещалось танцевать, смотреть телевизор и делать многое другое, что считалось вредным для психического и физического здоровья.
Библия утверждает, что есть семьи, в которых люди посвящают себя Богу поколение за поколением. Поэтому все мои знакомые ожидали, что я стану пастором и, возможно, когда-нибудь сменю своего деда на посту президента CLADIC.
Но я был предан науке, а не служению церкви и тому, что я считал древними верованиями. Хотя я и рос в строгой семье пятидесятников, мой разум, внимание и любопытство обитали совсем в другом месте. Меня завораживали цифры и логика, явления природы и научный метод. Постепенно я приобщался к научному мировоззрению, пока оно не стало моим собственным. К моменту окончания Калифорнийского университета я телом, разумом и душой принадлежал миру науки и атеизма, которые, как мне казалось, были неразделимы.
Поэтому, когда я уезжал из Лос-Анджелеса в Корнелл, мне было очень грустно прощаться с семьей и друзьями, но я был более чем счастлив оставить позади религию, которую так и не принял. Я также почувствовал облегчение, избавившись от необходимости идти в пасторы и ступить на стезю, которая меня совершенно не интересовала.
Одним словом, это был путь к свободе!
Когда после приезда в Итаку я понял, что там нет ни одной знакомой мне души, меня это вполне устроило. Даже больше чем устроило, поскольку это подчеркивало начало совершенно новой жизни. Моей жизни. Моей мечты. А мечтал я стать своего рода монахом. Ученым монахом.
Вдохновленный страстью и большим количеством кофеина, я проводил дни и ночи либо в аудитории, либо в лаборатории, похожей на подземелье, — прямо как доктор Франкенштейн! Спал я не более трех часов в сутки, как правило, с трех до шести часов утра.
Моя лаборатория ядерных исследований [3] находилась в подвале. В этой просторной пещере без окон я не мог определить, день сейчас или ночь, и мне было все равно. Я почти не ел, а когда все же нужно было подкрепиться, пользовался в основном ближайшими торговыми автоматами. По правде говоря, я был худым, неухоженным супергиком в узких вельветовых джинсах и с шапкой нестриженых вьющихся каштановых волос.
У меня не было ни социальной жизни, ни друзей, а семья находилась за тысячи километров. Но я был вполне доволен. Меня волновала и занимала лишь наука.
На первом году обучения в магистратуре мое любопытство было направлено на то, чтобы узнать, из чего состоит Вселенная. Каковы ее фундаментальные элементы?
Я размышлял: когда вы увеличиваете цифровую фотографию, то видите пиксели, верно? А если увеличить Вселенную, не останавливаясь на электронах, протонах, нейтронах, кварках, глюонах и так далее, если продолжать увеличивать и увеличивать — что в конце концов будет видно? Пиксели материи? Пиксели энергии? Пиксели пространства-времени? Мне не терпелось узнать это.
Однако в один прекрасный день группа астрономов во главе с легендарным Джеймсом Пиблсом из Принстона объявила, что галактики не разбросаны беспорядочно по Вселенной, как мы всегда полагали, а образуют узор, подобный великолепному трехмерному произведению искусства.
Откуда взялся этот узор? Что он означает? Случаен ли он?
Неожиданно возникли глубокие вопросы, на которые мне хотелось ответить. Но это означало бы переход от изучения пикселей — мельчайших объектов Вселенной — к изучению галактик — самых больших объектов Вселенной. Смена специализации в магистратуре — дело непростое, но меня это не волновало. Я был полон решимости идти своим путем. Мне сказали, что необходимо получить разрешение Ханса Бете, легендарного физика-теоретика Корнелла, и я пошел к нему.
В 1940-х гг. Бете возглавлял теоретическое отделение Манхэттенского проекта по созданию атомной бомбы. В 1960-х он получил Нобелевскую премию за объяснение того, почему светит Солнце. Бете был жестким немцем старой закалки, чей кабинет находился на верхнем этаже Лаборатории ядерных исследований. Мы, магистранты, боялись его — и Велмы Рэй, его грозной секретарши, без встречи с которой невозможно было добраться до Бете.
Бете быстро решил мою судьбу. С сильным немецким акцентом он сказал, что я должен прослушать два семестра общей теории относительности — пожалуй, самого трудного предмета в современной физике. Если я справлюсь, он разрешит мне изменить тему. Если нет… то мне придется остаться при своих пикселях.
Курс общей теории относительности читал Сол Тьюколски, блестящий молодой физик, который недавно пришел в Корнелл из Калифорнийского технологического института. Тема была сложной, но я одолел ее и с благословения Бете начал изучать галактики.
Давным-давно, в далекой-далекой галактике
Вскоре я узнал, что галактики медленно вращаются, как огромные карусели. Согласно закону физики, так называемой теоремы о вириале, чем массивнее галактика, тем быстрее она вращается.
Я также узнал, что галактики вращаются гораздо быстрее, чем должны, что является очевидным нарушением теоремы о вириале. Казалось, будто они гораздо массивнее, чем предполагалось, будто они наполнены каким-то невидимым материалом, который заставляет их вращаться аномально быстро. Мои преподаватели астрономии называли эту загадку проблемой недостающей массы.
Сегодня мы называем эту гипотетическую недостающую массу темной материей. Основываясь на том немногом, что нам известно, мы предполагаем, что она может быть совершенно новой, невидимой формой материи, управляемой совершенно иными силами [4]. Но, честно говоря, мы не знаем, что это такое и даже существует ли она на самом деле.
Совсем недавно была обнаружена еще одна странность небес, которая также является абсолютно невидимой: темная энергия. Мы знаем лишь, что она проявляется как отталкивающая сила, заставляющая Вселенную расширяться с возрастающей скоростью.
Да, вот еще что: темная материя и темная энергия вместе составляют 95% всей Вселенной. Именно так: ученые теперь считают, что 95% Вселенной невидимы для нас.
Когда я узнал о проблеме недостающей массы и о том, что мы теперь называем темной материей, это взорвало мой мозг, перевернуло мою реальность и поставило под вопрос мое восприятие всего сущего. (Как и открытие темной энергии, но это произошло уже после окончания университета, когда я преподавал в Гарварде.)
Как благочестивый ученый монах — ничем не стесненный, свободомыслящий атеист, — я жил в соответствии с проверенной временем поговоркой «когда увижу, тогда поверю» и отказывался верить во все, что не мог увидеть и что нельзя было доказать. Но теперь такое мировоззрение потеряло смысл, поскольку с точки зрения науки то, что мы способны «увидеть» — то, существование чего можем доказать, — является лишь малой частью существующего.
Проблема недостающей массы заставила меня понять, что, придерживаясь жесткой позиции, настаивая на необходимости «увидеть, чтобы поверить», я закрываю глаза на 95% существующего во Вселенной. Мое мировоззрение со всей очевидностью было слишком узким для космоса. Оно нуждалось в расширении. Оно должно было включать в себя веру не только в то, что можно увидеть и доказать, но и в то, чего я не могу увидеть, например, в темную материю. В противном случае я не мог, не кривя душой, называть себя ученым.
За пределами самых смелых мечтаний
Погрузившись в изучение галактик, я быстро понял, что мне нужно освоить не одну, не две, а три дисциплины: физику, астрономию и математику. Я снова обратился за разрешением на изменение программы. Это была беспрецедентная просьба, но мне посчастливилось получить разрешение — во многом благодаря непоколебимой поддержке моего руководителя Дэвида Кассела. В итоге у меня появились кабинеты на трех факультетах и три группы замечательных коллег, у которых я многому научился.
Я помню, что меня очень захватила молекулярно-кинетическая теория. Она описывала поведение газов, но я загорелся идеей использовать ее для объяснения поведения галактик и сразу же начал работать над ней. Меня поддержал Ричард Либофф, всемирно известный специалист по молекулярно-кинетической теории, который в итоге стал моим научным руководителем [5]. Через несколько лет после напряженных, безостановочных поисков я достиг цели. Я нашел элегантное математическое объяснение того, почему галактики образуют впечатляющий трехмерный узор в глубоком космосе, и опубликовал его в журнале Monthly Notices of the Royal Astronomical Society [6]. Последствия этого открытия были потенциально революционными, поэтому я представил его в диссертации на соискание степени доктора физики, математики и астрономии.
Я никогда не забуду день защиты диссертации — последнее препятствие, которое мне нужно было преодолеть, чтобы получить «трехмерную» докторскую степень. В небольшой аудитории на верхнем этаже Лаборатории ядерных исследований я стоял у доски перед преподавателями всех трех дисциплин. Согласно правилам они могли задавать мне любые вопросы, независимо от их сложности. И, конечно, мне их задавали!
Экзамен длился четыре изнурительных часа, но я его сдал! И мне не стыдно признаться, что я плакал как ребенок, когда один за другим члены комиссии пожимали мне руку и говорили: «Поздравляю». Наконец-то сбылась моя мечта, большего счастья и быть не могло!
Я даже не подозревал, что очень скоро по пути на север, в Гарвард, меня ожидает еще более захватывающее приключение, о котором невозможно было мечтать. Сейчас я предпочитаю говорить об этом так: «По пути в Кеймбридж со мной произошло нечто удивительное».
Во время поездки я завернул в Музей естественной истории в Вашингтоне, чтобы посетить семинар по роману Джорджа Оруэлла «1984». Семинар проводил Фред Грэм, в то время корреспондент по юридическим вопросам CBS News. После семинара я подошел к Грэму, который разговаривал с какой-то женщиной, и представился. Когда Грэм узнал, что я ученый, он поинтересовался, не могу ли я разрешить его спор с продюсером.
«Конечно, — ответил я. — В чем проблема?»
«Вы видели этот гигантский маятник в ротонде? Мой продюсер говорит, что если его запустить, то он никогда не перестанет качаться. Я с этим не согласен, — сказал он. — На мой взгляд, его нужно время от времени подталкивать, чтобы он не останавливался».
Для меня этот вопрос был совсем не сложным.
«Это маятник Фуко, — пояснил я. — Сопротивления для его замедления не так много — всего лишь небольшое трение в месте крепления стального троса к потолку. Но этого достаточно, чтобы постепенно замедлить движение, поэтому его действительно нужно время от времени подталкивать».
Грэм даже подпрыгнул, услышав такое объяснение. «О-о-о! — произнес он. — А вы хотели бы попасть на телевидение?»
Я думал, он шутит.
«Нет, правда, — сказал он. — CBS News ищет научного репортера. Если вы не против, я бы предложил вашу кандидатуру. Мне нравится, как вы все объясняете». После этого я уехал в Кеймбридж, приступил к преподавательской работе и вскоре начал сомневаться в том, что из встречи с Грэмом что-то получится. Но несколько недель спустя телеканал CBS Morning News предложил мне должность корреспондента по науке и технике.
Меня направили работать к опытному нью-йоркскому продюсеру Гейл Эйзен, которая спустя годы стала продюсером Дайан Сойер в программе 60 Minutes. Гейл посвятила меня в тонкости работы, и через некоторое время я стал регулярно появляться в передачах национального телевидения.
В Гарварде мне довелось преподавать под руководством Роя Глаубера, физика, который впоследствии получил Нобелевскую премию за открытие в области квантовой физики. Преподавательская работа мне нравилась (и нравится до сих пор), и я дважды удостаивался престижной гарвардской премии Данфорта за достигнутые успехи.
После нескольких лет сотрудничества с CBS Morning News меня переманил сначала Фил Бальбони, знаменитый директор новостной программы канала WCVB, филиала ABC в Бостоне, а затем и сама компания ABC News, расположенная в Нью-Йорке [7]. Поначалу я делал научные репортажи только для программы Good Morning America, но вскоре стал появляться и в программах Nightline, 20/20 и World News Tonight. Там мне посчастливилось работать с Барбарой Уолтерс, Хью Даунсом, Тедом Коппелом, Питером Дженнингсом, Джоан Лунден, Дайан Сойер, Опрой Уинфри, Конни Чанг и многими другими профессионалами высочайшего класса.
В те годы я делил свое время между Гарвардом и ABC News. Это была веселая гламурная жизнь, но в то же время неспокойная и полная стресса. Я то читал лекции по физике в Гарвардском научном центре, то летел в Японию для освещения извержения вулкана или на Аляску для подготовки репортажа о разливе нефти. А следом отправлялся на Южный полюс для освещения проблемы озоновой дыры, на Северный полюс для рассказа о первой трансарктической экспедиции на собачьих упряжках или в Англию, чтобы взять интервью у Стивена Хокинга. В этот период я получил три премии «Эмми», стал первым человеком, который вел прямую трансляцию на Северную Америку из Антарктиды, и первым телекорреспондентом, побывавшим на дне Атлантического океана и сделавшим репортаж о затонувшем «Титанике». В 1994 г., после девяти чудесных лет, я с неохотой покинул Гарвард, чтобы полностью посвятить себя работе на телевидении. Мне не хватало связи с академическим учреждением, но я устал от суматошной жизни и необходимости разрываться между учебной аудиторией и студией.
В конце концов после 14 весьма плодотворных лет работы я покинул и ABC News. Мы с женой хотели иметь детей, а работа корреспондентом-новостником не позволяла мне быть хорошим отцом.
Вскоре после этого канал History пригласил меня в качестве ведущего еженедельного прайм-тайм-сериала «Откуда что берется?». А позже Фонд Джона Темплтона выделил мне крупный грант на создание полнометражного фильма, прославляющего человеческую щедрость. Этот фильм, «Маленькая красная тележка», получил множество наград.
Мягко говоря, моя жизнь сложилась совсем не так, как мог себе представить мечтательный мексиканский паренек из восточного Лос-Анджелеса. Более того, как вы увидите, неожиданные повороты, о которых я только что рассказал, были лишь верхушкой айсберга.
7. В разгар этих событий местный телепродюсер выбрал меня ведущим часового специального выпуска программы Time, Tides & Tuning Forks. Программа получила высокий рейтинг и была удостоена премии «Эмми». Это были поистине великие времена.
6. См.: Michael A. Guillen and Richard L. Liboff, "Kinetic Theory of Galaxy Correlations," Monthly Notices of the Royal Astronomical Society 231, no. 4 (April 1988): 957–968, https://doi.org/10.1093/mnras/231.4.957.
5. Трогательное и заслуженное воспоминание о профессоре Либоффе см. в: H. Roger Segelken, "Physicist Richard L. Liboff Dies At 82", Cornell Chronicle, May 22, 2014, https://news.cornell.edu/stories/2014/05/physicist-richard-l-liboff-dies-82.
4. Jackson Ryan, "Scientists Propose a New Type of Dark Matter and How We Can Find It," CNET, June 11, 2019, https://www.cnet.com/news/scientists-propose-a-new-type-of-dark-matter-and-how-we-can-find-it/.
3. В настоящее время она называется Лабораторией физики элементарных частиц.
2
Пробуждение
Есть многое в природе, друг Горацио,
Что и не снилось нашим мудрецам [3].
Во время учебы в Корнелле я узнал, что черные дыры похожи на эдакие Бермудские треугольники в космическом пространстве — все оказывающееся вблизи них засасывается внутрь и исчезает навсегда. Я узнал, что виртуальные частицы — это субатомные призраки квантово-механической сумеречной зоны: они реальны, но не существуют. Я узнал, что пространство и время эластичны — в зависимости от системы отсчета они расширяются и сжимаются, как Эластика и Мистер Фантастик [4].
Как оказалось, галактики в космосе распределены не беспорядочно, а образуют элегантную трехмерную структуру. Вселенная расширяется как сумасшедшая, а все в ней — масса, энергия, пространство, время — является следствием взрыва космического масштаба. И, вдобавок ко всему, 95% «наблюдаемой» Вселенной невидимо для нас, а за ее пределами находится ненаблюдаемая Вселенная, которую мы вообще не можем видеть.
От всего этого у меня перехватило дыхание!
Очень скоро я начал задавать себе простой, но глубокий вопрос: как появилась эта удивительная, в основном невидимая Вселенная?
Мои знания в области физики, астрономии и математики подсказывали ответ: Вселенная возникла случайно, в результате случайного возмущения (или нарушения) квантового вакуума. Хотя считается, что квантовый вакуум абсолютно пуст, на самом деле он заполнен невидимыми силовыми полями, которые в любой момент и без предупреждения могут выплевывать настоящие, реальные атомные частицы. Представьте себе невидимые квантовые поля как призрачные гитарные струны, которые издают звуки разного тона, если их сильно дернуть.
Другими словами, наука говорит нам, что в какой-то произвольный момент времени в прошлом кто-то или что-то дотронулось до невидимых силовых полей в якобы пустом квантовом вакууме и породило звуки музыки — зачатки огромной физической Вселенной.
Эта, по общему признанию, интригующая гипотеза потребовала от меня, как от магистранта, поверить в поразительный парадокс: квантовый вакуум — это абсолютное ничто (поэтому мы и называем его вакуумом), способное быть абсолютно всем, подобно утробе материи, которая одновременно бесплодна и плодородна.
Если это парадоксальное определение звучит сверхъестественно, то так оно и есть. Однако оно подкреплено квантовой физикой, высоко ценимым венцом современной физики. Поэтому, несмотря на кажущуюся мистику, мы, ученые, относимся к нему очень серьезно. У нас даже есть модный интеллектуальный способ описания противоречивости квантового вакуума. Мы говорим, что ничто нестабильно. Согласно этой гипотезе, если подождать достаточно долго, то ничто неизбежно превратится в нечто — даже в целую Вселенную.
Для пущей убедительности мы дали этой фантастической идее трезво звучащее научное название: стандартная космологическая модель. Ее также называют стандартной космологической моделью Большого взрыва, или (по техническим причинам, которые я не буду здесь рассматривать) моделью лямбда-CDM (Cold Dark Matter — холодная темная материя).
Долгое время я, как добросовестный ученый, шел на поводу у толпы. Да, говорил я себе, стандартная космологическая модель полностью отвечает на вопрос, как появилась наша удивительная, в основном невидимая Вселенная.
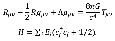
Даже сегодня я подчеркиваю, что стандартная космологическая модель подтверждается убедительными физическими доказательствами и уравнениями, которые я нахожу невероятно красивыми, взять хотя бы эти:
Если вы не любитель математики, не пугайтесь уравнений в этой книге, просто восхищайтесь ими, как восхищаются произведениями искусства, — они являются ярким свидетельством гениального замысла Бога.
Но со временем я понял, что у стандартной космологической модели есть серьезные проблемы, которые с той поры, когда я был магистрантом, лишь усугубились. Фактически космология сегодня находится в состоянии кризиса.
Позвольте мне объяснить.
В широком смысле стандартная космологическая модель — это соединение двух величайших интеллектуальных достижений: общей теории относительности и квантовой физики.
Общая теория относительности дает наилучшее научное объяснение гравитационной силе и всем объектам космического масштаба, которыми она управляет: планетам, звездам, звездным системам, галактикам, скоплениям и сверхскоплениям галактик, квазарам, пульсарам, быстрым радиовсплескам, сверхновым, черным дырам, белым дырам и т.д.
Квантовая физика наилучшим образом объясняет три другие известные силы — электромагнетизм, слабое и сильное взаимодействие, а также все объекты атомного и ядерного размера, в которых они проявляются: химические элементы, электроны, протоны, нейтроны, кварки, глюоны и т.д. и т.п.
Первое красивое уравнение, которое я представил выше, — это уравнение Эйнштейна, центральная часть общей теории относительности. Второе уравнение описывает квантовый вакуум — центральное понятие квантовой физики.
Так в чем же заключается кризис?
Эти два уравнения — как и две теории, общая теория относительности и квантовая физика, — принципиально несовместимы. Так же несовместимы, как огонь и вода. А значит, их брак в рамках стандартной космологической модели — это катастрофа. Лукавство, на самом деле.
Попробую объяснить это по-другому.
В 1994 г. я освещал на канале ABC News историю строительства Евротуннеля. Это 50-километровый туннель (фактически три параллельных туннеля) под Ла-Маншем, по которому курсируют высокоскоростные поезда, соединяющие, грубо говоря, Фолкстон (Англия) и Кокель (Франция).
Используя гигантские проходческие щиты, английские и французские инженеры прокладывали туннель с двух сторон. Потребовалось тщательное планирование, изобретательность и грамотное использование GPS-технологий, чтобы маршруты проходчиков идеально совпали в середине.
Кризис в космологии связан с тем, что две половины стандартной модели — общая теория относительности и квантовая физика — не совпадают. Общая теория относительности и квантовая физика — это своего рода два огромных проходческих щита, работающих на противоположных концах Вселенной: космическом и ядерном. Каждый из щитов прекрасно справляется со своей задачей, но их маршруты катастрофически расходятся.
На протяжении десятилетий мы искали и продолжаем искать разумные пути объединения и гармонизации проблемного брака общей теории относительности и квантовой физики. В качестве одного из решений предлагаются вариации теории струн, утверждающие, что пиксели пространства-времени — это не четырехмерные точки, как их видит общая теория относительности, а многомерные струны.
Эта весьма интригующая идея, похоже, устраняет нестыковку общей теории относительности и квантовой физики. Она также приводит к поразительному выводу о том, что наша Вселенная является лишь одной из бесконечного числа вселенных. Подробнее о гипотезе мультивселенной мы поговорим позже [1].
К сожалению, теории струн имеют собственные огромные проблемы. Поэтому они, хотя и способны разрешить существующий кризис в космологии, в некоторых отношениях только усугубляют ситуацию.
Я размышлял над этими вопросами с их математическим и техническим великолепием, стараясь изо всех сил сохранять верность стандартной космологической модели, но все время упирался в серьезные проблемы. Это заставило меня задуматься: существует ли другая теория, которая лучше объясняет происхождение Вселенной? Претендентов было (и остается) много, но каждый из них, как я обнаружил, имел свой набор нерешенных проблем.
Примерно в это время широкую известность приобрел корнеллский астроном Карл Саган. Он регулярно появлялся в программе Tonight Show, которую вел Джонни Карсон, заядлый астроном-любитель. К тому же довольно большой шум вызвали его инициатива поиска внеземного разума (SETI) и планы запустить на канале PBS мини-се
