Состояния
Қосымшада ыңғайлырақҚосымшаны жүктеуге арналған QRRuStore · Samsung Galaxy Store
Huawei AppGallery · Xiaomi GetApps

автордың кітабын онлайн тегін оқу  Состояния

Александр Алексеевич Литвинов

Состояния

Шрифты предоставлены компанией «ПараТайп»


Редактор Михаил Титов

Иллюстратор Вадим Аникин





12+

Оглавление

О чем книга?

О трезвении разума.


О том, что мы наблюдаем каждый день, но стараемся не замечать.


О квантовой реальной реальности, искренности и ответственности за Мир.


Книга появилась в результате большой работы с умнейшими людьми по квантовой физике, математике, философии, психологии, самопознанию и музыке, сочетания с невероятными иллюстрациями сотен моих заметок о ясности и реальной реальности. Благодаря сильнейшей любви и добрым намерениям окружающих меня людей.


Книга научно-популярная. Физические формулировки соответствуют научным определениям.


Определения всех незнакомых терминов можно найти в Интернете.


Это «практическая философия» и квантовая психология.


Чтобы лучше понять суть, рекомендую прочитать книгу пятьдесят раз.


Для простоты понимания можно начать чтение с главы «Реальная реальность».

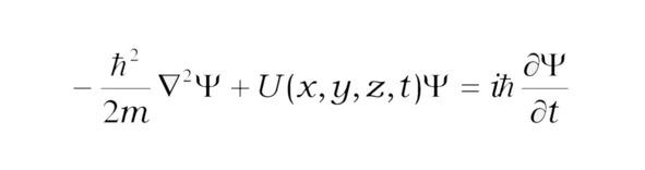
Немного физики

Уравнение Шрёдингера описывает изменение в пространстве и во времени состояния, задаваемого волновой функцией ψ. Состояние поля определяется потенциальной энергией U, которая означает наличие и геометрию объектов, создающих потенциал.
На рисунках изображены состояния электрона возле ядра атома.

Состояния электрона определены наличием ядра.
Ядро, электрон и весь атом — это состояния.

Любая частица — это состояние, всё из них состоит.
...