автордың кітабын онлайн тегін оқу За гранью видимого. Инструменты связи с потусторонним миром
Артем Михеев
За гранью видимого. Инструменты связи с потусторонним миром
© Михеев Артем, текст, илл., 2024
© ООО «Издательство АСТ», оформление, 2024
* * *
Предупреждение
Материалы, содержащиеся в этом издании, имеют исключительно научно-исследовательское и образовательно-просветительское назначение. Автор и его коллеги не занимаются религиозной деятельностью и не оказывают услуг оккультно-магического характера, в том числе по связи с ушедшими родными и близкими. Идеи и методы, изложенные в работе, относятся к неортодоксальной категории и, несмотря на их эмпирическую достоверность, разделяются не всеми представителями академической науки. Мнение приведенных здесь источников не всегда совпадает с мнением автора. Цитирование допускается при указании ссылки на данную книгу.
© Ольга Куцык, фотографии, 2018
© Рина Константинова, фотографии, 2018
© Лада Потеряева, фотографии, 2018
© Ита Асеева, фотографии, 2018
© Вячеслав Калюпанов, фотографии, 2018
© Андрей Руденко, фотографии, 2018
© Мария Стрекоз, фотографии, 2018
© Инна Спирочкина, фотографии, 2018
© Джеффри Грин, фотографии, 2018
Благодарности
Хотел бы выразить благодарность и признательность:
моим зарубежным друзьям по переписке, Марку Мэйси и Виктору Заммиту, за их искреннюю деятельность на благо человечества, вдохновившую меня на путь транскоммуникации в конце 90-х годов;
Игорю Коншину, Аркадию Буракову, Владимиру Ефимчуку, Алексею Светлову, Дмитрию Карпову, Виолетте Федотовой, Андрею Яну, Владимиру Ефремову, с кем мы начинали нашу работу на рассвете 2000-х годов, за то, что доселе непаханое поле дало свои всходы и российская транскоммуникация, наконец, стала реальностью;
Алексею Андрианову, Вадиму и Наталье Свитневым, Андрею Воинову, Сергею Хоро, Сергею Зубовичу, Вячеславу Калюпанову, Элине Осадчей, Араму Азатяну, Марии Стрекоз, Алексею Кузнецову, Андрею Руденко за их вклад в развитие и распространение транскоммуникации, без которого не могла бы состояться эта книга;
моим соадминам и единомышленникам Максиму Лисову и Мишелю Андриевскому за дружескую поддержку, преданность нашему общему делу познания Тонкого мира и просвещения людей;
Андрею Лишневскому за дружбу, помощь в исследованиях и весь тот опыт, который мы вместе пережили в этой сфере;
Ирине Потаповой за многолетний труд по переводу литературы, посвященной нашей тематике;
участникам интернет-сообщества РАИТ – Ольге Куцык, Рине Константиновой, Ладе Потеряевой, Ите Асеевой, Марине Малининой, Наталье Ивановой, Ольге Козловой, Ольге Громовой, Ольге Пашиной, Юлии Кузьминой, Миле Копилкиной, Алле Сальниковой, Инне Спирочкиной, Карине Ступиной, Валентине Родиной, Веронике Никулиной, Надежде Лекановой, Евгению Овчинникову, Андрею Емельянову, Руслану Леонтьеву, Николаю Заводину, Михаилу Фрикцину, Денису Немченко, Александру Шушеначеву – за замечательные результаты в ИТК и предоставленные фото- и аудиоматериалы;
Григорию Тельнову, Ярославу Ткаченко, Виталию и Татьяне Тихоплав, Владимиру Данилину, Ивану Чаплину, Наталье Тоотс, Светлане Орловой, Елизавете Крицкой, Любови Гординой, Софии Бланк за бескорыстную помощь в распространении знаний о связи между мирами и жизни за чертой;
многим другим интересным, неравнодушным людям, встретившимся мне на пути за эти годы.
Для подготовки издания использованы материалы, представленные автором в лекции «На границах непознанного. Аномальные явления в современной технике», прочитанной в Центральном доме ученых РАН (Москва, 20 апреля 2010 года), в докладе на XIX Международном научном симпозиуме «Перестройка естествознания и науки – 2010» (29 апреля 2010 года), и в выступлении «Инструментальная транскоммуникация – техническая связь с Тонким миром. Исследования, проблемы, перспективы» на международной конференции «От смерти к бессмертию, от нереального к реальному» (Санкт-Петербург, 26 октября 2013 года), а также материалы участников интернет-сообщества РАИТ.
Российская ассоциация инструментальной транскоммуникации (РАИТ)
Основной сайт: itc.org.ru
Группа РАИТ «ВКонтакте»: vk.com/itc_russia
E-mail: artem_miheev@vk.com
«Вполне возможно, что за пределами восприятия наших чувств скрываются миры, о существовании которых мы и не подозреваем».
Альберт Эйнштейн, физик
«Эдисон и я убеждены, что в области психических исследований еще будут открыты факты, которые окажутся имеющими более великое значение для человеческой мысли, чем все когда-либо сделанные изобретения в сфере электричества».
Д-р Миллер Хатчинсон, ассистент изобретателя Томаса Эдисона
«То, что мы обычно зовем „смертью”, есть лишь переключение в образе жизни или уровне сознания, но ни в коем случае не конец».
Франклин Меррелл-Вольф, математик, философ-трансценденталист
«Если вникнуть в суть дела, то именно наши представления о смерти определяют ответы на все вопросы, которые ставит жизнь».
Даг Хаммаршельд, Генеральный секретарь ООН с 1953 по 1961 г.
«Психические исследования располагают некоторыми данными о жизни после смерти, и с научной точки зрения соответствующая процедура доказательства может быть в принципе корректной. В этой области существуют факты столь убедительные, что ни один человек с научным складом ума не станет их отрицать».
Бертран Рассел, математик, философ, общественный деятель
«Все, чему учила меня наука, подкрепляет мою убежденность в продолжении нашего духовного существования после смерти. Я верю в бессмертие души. Наука доказала, что ничто существующее не исчезает бесследно. Точно так же жизнь и душа не могут превратиться в ничто, и потому бессмертны».
Вернер фон Браун, конструктор ракетно-космической техники, один из основоположников современного ракетостроения
«Я абсолютно убежден, что люди, оставившие земной мир, могут общаться с нами. Едва ли можно внушить неискушенному уму достоверную идею о силе и совокупной значимости фактов».
Уильям Барретт, физик, член Британской Королевской академии наук
«Впервые за 8000 лет документированной истории можно с уверенностью сказать, что наши разум, память, индивидуальность и душа переживут физическую смерть».
Джордж Мик, инженер, изобретатель, руководитель Metascience Foundation
«Я не исключаю такой возможности в будущем: какой-то мальчик на Земле нажимает кнопку прибора, очень похожего на портативную рацию. Я принимаю сигнал и включаю свое внимание. Привет, сынок! – дружески обращаюсь я к нему. И мой дальний потомок, узнав меня, улыбается в ответ».
Роберт Монро, вице-президент Mutual Broadcasting System, автор книги «Путешествия вне тела»
«Сознание человека имеет „расширенную” природу, которая позволяет ему преодолевать обычные границы пространства и времени. Это говорит о том, что существует другое измерение за пределами материального мира».
Эдгар Митчелл, астронавт, участник миссии «Аполлон-14»
«У нереального нет бытия, реальное же не перестает быть: эту конечную истину постигли прозревшие в суть вещей».
Бхагавад-Гита, 2:16
«По невежеству живое существо принимает материальное тело, состоящее из пяти элементов, за себя. Эти ложные представления заставляют его считать временные вещи своей собственностью».
Шримад-Бхагаватам, 3:31:30
Введение
Для каждого человека вопрос о том, продолжится ли его индивидуальное существование после физической смерти, встает почти неизбежно. Это может произойти после потери члена семьи или близкого друга либо, рано или поздно, на закате собственной жизни. Представления о переходе в иную плоскость бытия, отличную от земной, являются неотъемлемой частью наследия всех человеческих культур и мировых религий, но в нашу эпоху большинство людей не может удовлетворить одна лишь вера. Как и во всякой области, здесь необходимы опытные, экспериментально проверенные факты. В этой книге пойдет речь об области исследований, которая, увы, все еще остается малоизвестной за пределами узкого круга профильных специалистов и энтузиастов-практиков. Потому я советую всем читателям хотя бы на время отбросить материализм, скептицизм, а также любые предрассудки и предубеждения относительно того, какой «должна быть» реальность.
Долгие годы большинство из нас приучали к однобокой и примитивной идее о том, что человек – это лишь физическое тело, состоящее из плоти и крови, что «живешь один раз», что чувства, мысли, эмоции, память – все то, что принято называть нашим «внутренним миром» – генерируется исключительно деятельностью мозга и нервной системы. И даже сейчас, в век интернета и относительно свободного распространения информации мы все еще не можем избавиться от этих рудиментов поверхностного, невежественного мышления и грубого материализма, отрицающего существование духовного, трансцендентного аспекта нашей личности и нашего «я», не исчезающего вместе с земным телом и имеющего совсем иную, отличную от него судьбу. Хочется надеяться, что к концу прочтения этой книги почти у каждого читателя, как минимум, возникнут сомнения в справедливости вышеупомянутого мировоззрения, а для кого-то приведенная здесь информация сможет стать серьезной поддержкой в тяжелой жизненной ситуации или даже настоящим окном в новое восприятие окружающей действительности.
Для понимания некоторых имеющихся здесь разделов не требуется специальной подготовки, а некоторые разделы предполагают определенный уровень образования, культуры и мышления. Я надеюсь, что, познакомившись с данной монографией, самые разные люди – специалисты по философии, теологии, когнитивным и инженерным наукам, служители разных конфессий, исследователи непознанного и просто интересующиеся – смогут составить достаточно полное и многостороннее представление о феномене инструментальной транскоммуникации. В главе 15 («ИТК как персональный опыт») дается подробный тематический отчет о сообщениях, полученных мной за период с 2003 по 2018 год, а также о результатах участников нашего сообщества. Все сообщения разбиты по темам, и к ним даются необходимые пояснения. Издание снабжено обилием ссылок на литературу и интернет-источники, позволяющим углубиться в обсуждаемую тематику настолько детально, насколько есть желание и возможность.
Основные определения и сокращения
Прежде чем перейти к изложению представленного здесь тематического материала, необходимо дать определения базовых понятий, а также условиться о сокращениях (аббревиатурах), которые будут достаточно часто употребляться в тексте. Итак…
Плотный (физический) мир (ПМ) – реальность, доступная для восприятия посредством пяти земных чувств, включающая в себя наш мир и все возможные миры в пределах наблюдаемой Вселенной.
Проводником сознания для обитателей ПМ является плотное (физическое) тело.
Тонкий мир (ТМ) – обобщенное наименование среды обитания, недоступной для земного восприятия, в которую переходят сознание и личность индивидуума после оставления им своего физического тела (физической смерти). В различных источниках ТМ может также называться «духовным», «этереальным», «астральным», «моронтийным», «запредельным», «загробным» или «потусторонним» миром. Из имеющейся информации предполагается, что он разделен на различные уровни («слои» или «страты») согласно градации развития сознания его обитателей.
Часто этим уровням даются отдельные названия в зависимости от той или иной духовной традиции. Понятие «Тонкий мир» восходит к традициям Древней Индии (sūksma, санскр. – «тонкий»).
Оно употреблялось в работах Е. И. Рерих и ее учеников, а позднее перекочевало в разряд устоявшейся научной терминологии во многом благодаря исследованиям профессора В. Н. Волченко (см. главу 1).
Воплощенная личность – личность, живущая в плотном (физическом) теле.
Развоплощенная личность (дух, этереал) – индивидуум, более не выражающий себя посредством физического тела. Другими словами, это ушедший человек, покинувший физический мир и являющийся жителем ТМ.
Тонкое тело (санскр. sūksma-šarīra) – проводник сознания и личности индивидуума в ТМ.
Медиум (от английского medium, «посредник») – человек, способный к двустороннему обмену информацией между воплощенными и развоплощенными личностями. Медиумы разделяются на такие категории, как, например, телепатические, пишущие, психоакустические («прямого голоса»), материализационные и т. д.
Несмотря на наличие некоторых недобросовестных людей, печально прославившихся на данном поприще, существует большое количество изученных и подтвержденных наукой примеров, связанных с медиумизмом.
Подробнее с этим можно ознакомиться в книгах[1],[2],[3].
Феномен электронного голоса (ФЭГ, ЭГФ, EVP) – явление, при котором на различных регистрирующих устройствах, как бытовых (магнитофоны, диктофоны, радио, ноутбуки, ПК), так и специально сконструированных, возникают осмысленные сообщения, часто отождествляющие себя с развоплощенными личностями.
Инструментальная транскоммуникация (ИТК) – развернутый двусторонний информационный обмен между обитателями ТМ и представителями ПМ с использованием технических средств. Информация, принимаемая в ИТК, может быть закодирована в цифровой или аналоговой форме и представлена в виде голоса, подвижных и неподвижных изображений, а также в текстовом формате.
Оператор – личность, непосредственно участвующая в ИТК и задействованная как в работе с оборудованием, так и в соответствующих процедурах ментального/психологического порядка, обеспечивающих подобные контакты.
ОС – операционная система.
ПК – персональный компьютер.
РАИТ – Российская ассоциация инструментальной транскоммуникации, общественная научно-исследовательская и опытно-конструкторская организация, созданная в России в 2004 году. История развития отечественной ИТК приводится в главах 10 и 15.
Бетти, Стэффорд. Открытие жизни за чертой: что говорят ушедшие о своем мире / Перевод И. Потаповой. – Текст: электронный // Российская ассоциация инструментальной транскоммуникации (РАИТ). – РАИТ, 2016. – URL: http://itc.org.ru/books/Afterlife_discovery.pdf (дата обращения 26.01.24).
Хоган, Крэйг. Ваше вечное «я» / Перевод И. Потаповой. – Текст: электронный // Российская ассоциация инструментальной транскоммуникации (РАИТ). – РАИТ, 2015. – URL: http://itc.org.ru/books/Your_Eternal_Self.pdf (дата обращения 26.01.24).
Заммит, Виктор. Адвокат Тонкого мира. – Текст: электронный // Российская ассоциация инструментальной транскоммуникации (РАИТ). – СПб.: Крылов, 2007. – URL: http://itc.org.ru/books/Zammit_book.pdf (дата обращения 26.01.24).
Глава 1. Научные теории ТМ
К сожалению, в настоящее время, несмотря на обилие эмпирических фактов, среди ученых, изучающих Тонкий мир, все еще отсутствует его модель, которая стала бы общепринятой или которую, по крайней мере, разделяло бы большинство исследователей. Начиная со второй половины XIX века и по настоящее время были предложены различные физические теории, неотъемлемой частью которых являлось признание существования рядом с нами невидимой и неосязаемой реальности в той или иной форме, и, более того, рассматривался вопрос наличия разумных ее обитателей, способных к взаимодействию с земным человечеством.
Одним из первых в естествознании такую теорию выдвинул британский ученый сэр Оливер Лодж[4] (1851–1940). Среди его научного наследия имеется несколько монографий, посвященных проблеме ТМ и жизни после смерти, таких как «Выживание человека»[5], «Почему я верю в личное бессмертие»[6], «Реймонд, или Жизнь и Смерть»[7]. В своих рассуждениях он опирался на популярную тогда теорию «мирового эфира» – неуловимой и всепроникающей субстанции, являющейся проводником электромагнитных волн, в том числе видимого света. В его лекции «Форма будущего существования»[8], в частности, говорится:
«Химики и биохимики склонны чрезмерно сосредотачиваться на материальных аспектах вещей. Химик имеет дело с веществом в его различных формах, это его работа, и от него не требуется выходить за ее рамки. Физик принимает во внимание эфир, хотя он, возможно, предпочитает называть его «пространством». Он не ограничивается лишь материальными частицами, но изучает поля силы, которые связывают их друг с другом и делают активными. Психолог идет еще дальше – он изучает действие разума. Я мог бы сказать, что биолог изучает жизнь, но в настоящий момент тенденция такова, что он работает только с вещественными организмами и их поведением, ограничиваясь наблюдениями над материальными проявлениями жизни и не задумываясь над тем, что жизнь существует отдельно от инструмента, позволяющего ей проявляться. Мы никогда не постигнем Вселенную, если будем обращать внимание только на материю, игнорируя то, что делает ее активной и содержательной. Мы даже не сможем понять, как сгибается стальная пружина или как падает поднятое над землей тело, если не будем принимать во внимание эфир. Мы постоянно проводим эксперименты с эфиром и осознаем результаты его многочисленных свойств. Если мы предположим, что он является физическим проводником жизни и разума, то мы расширим наши обобщения в этом направлении. Становится возможной дополнительная полуфизическая трактовка выживания после смерти, трактовка, которая может заменить наши старые материалистические представления о том, что у нас есть только физическое тело и что, когда это тело умирает и начинает разлагаться, личность перестает существовать. Она также в состоянии исправить распространенные идеалистические представления о душе как о бестелесной субстанции, никак не связанной с физической Вселенной…
Хотя умершие, возможно, не до конца понимают, из чего состоит их тело и как оно действует, их затруднения, по сути, аналогичны нашим, поскольку мы и сами не знаем, каким образом мы контролируем наше материальное тело и какова природа связи между разумом и материей. Мы знаем только, что имеем мышцы, нервы и мозговые центры. Мы можем выделить и описать эти части механизма. Но как наш физиологический инструмент может думать и чувствовать, строить планы, желать, помнить, надеяться и любить – этого мы объяснить не можем и, возможно, никогда не сможем. Истина в том, что мы сами (как нематериальные личности. – Прим. авт.) совершаем все эти вещи и используем наше тело в качестве инструмента для регистрации и передачи наших мыслей, а также для осуществления мышечного воздействия на материю. Само тело не думает, не хочет, не видит и не чувствует. Оно является инструментом, каналом, проводником.
Несмотря на то, что до полного объяснения механизма контроля над телом еще далеко – как на этой стороне, так и на той – тем не менее на другой стороне готовы принять предположение, что их тела, которые они воспринимают как совершенно материальные, и все окружение, в котором они существуют, связаны с тем, что мы называем эфиром, точно так же, как раньше они были связаны с материей».
Профессор, д-р технических наук В. М. Запорожец (1910–2007), посвятивший последние тридцать лет своей земной жизни изучению спиритических явлений и разработавший уникальный алгоритм подтверждения личностей собеседников, выходящих на связь из ТМ, в книге «Контуры мироздания. Тайна смерти: жизнь продолжается!»[9] также рассматривает теорию эфира, но уже на новом уровне и с опорой на актуальные сегодняшние факты. В своем исследовании он вводит понятие «психического сопространства», параллельного трехмерному пространству материальной Вселенной, где взаимодействие между первым и последним имеет место лишь при определенных условиях.
Стоит отметить, что идея о дополнительных пространственных измерениях, выдвинутая для объяснения медиумических явлений, по всей видимости, изначально принадлежит профессору Лейпцигского университета, астрофизику Фридриху Цолльнеру (1834–1882). Опираясь на факты многомерной геометрии, Цолльнер провел ряд экспериментов по развязыванию нетривиальных узлов с участием медиума Генри Слэда. Полученные результаты он изложил в монографии «Трансцендентальная физика»[10].
Рисунок 1.1. Двухщелевой эксперимент, грид-структура[11]
Рисунок 1.2. Взаимодействие мозга и разума
Еще один автор, предложивший обновленную теорию эфира – британский физик Рональд Пирсон. Он постулировал существование так называемой субквантовой грид-структуры (рисунки 1.1, 1.2), лежащей в основе функционирования Вселенной и обеспечивающей соответствующий физический базис для субъективной компоненты человеческого существа и ее бессмертия[12]. Взгляды Пирсона также разделяет другой физик, популяризатор науки Майкл Ролл[13].
В начале 1950-х годов немецкий физик Буркхард Хайм[14], ученик Вернера Гейзенберга, создал теорию, примиряющую уравнения теории относительности с квантовой физикой. В честь ученого она была названа теорией Хайма[15]. В ней четыре известные координаты Минковского дополняются еще как минимум двумя метафизическими координатами, наличие которых обеспечивает субъективный опыт и взаимодействие нематериальной интрапсихической компоненты с биологическими структурами[16]. Хайм также является автором монографии «Постмортальные состояния»[17], где вопрос выживания сознания после физической смерти рассматривается более детально.
Многомерная физическая теория с привлечением алгебраической топологии, подразумевающая существование множества скрытых слоев реальности, недоступных для непосредственного наблюдения, но определяющих регистрируемые нами физические процессы, была также опубликована И. Л. Герловиным[18].
В 1988 году профессор А. Ф. Охатрин предложил так называемую микролептонную концепцию мироздания[19][20], из которой вытекало существование образований из сверхлегких частиц – микролептонов, пронизывающих видимый физический мир и отвечающих за значительную часть явлений парапсихологии. Позднее она была развита в несколько иной форме профессором Б. И. Искаковым[21].
Еще один подход рассмотрен Г. Н. Шиповым и А. Е. Акимовым в их фундаментальном труде «Теория физического вакуума»[22], где за основу Тонкого мира взяты первичные торсионные поля.
Рисунок 1.3. Диаграмма – модель информационно-энергетического пространства витальности Вселенной
В 1996 году вышла статья профессора В. Н. Волченко «Неизбежность, реальность и постижимость Тонкого мира»[23], а позже и другие его работы[24][25], в которых он вводит понятия «энергетичности» и «информативности», а также «витальности» – их отношения, обеспечивающего переход от грубоматериальных структур к тонкоматериальным (рисунок 1.3).
В 2004 году д-р Александр Кацман (Технион, Израиль) создал модель взаимопроникающих миров с различными значениями постоянной Планка[26]. В ней вводится понятие «этереального мира», по своей сути совпадающее с понятием ТМ. В своей работе «Физическая модель параллельного этереального мира»[27] он пишет следующее:
«Волновая природа физического мира, постулируемая многими современными теориями, может быть использована для объяснения существования параллельных миров. Эти параллельные миры материальны в такой же степени, как и мир, ощущаемый нами: они имеют такую же волновую природу и подчиняются таким же (или подобным) физическим законам. Используя вышеприведенные представления, можно попытаться развить физическую квантово-механическую модель параллельного (этереального) мира, который построен на более высоких частотах и обычно невидим для нас и наших приборов».
Весьма плодотворные методы описания множественных реальностей восприятия и бессмертной природы индивидуума дает квантовая механика. С этой целью американский автор Джон Климо в своей статье «Квантовый идеализм: идеалистическая модель сознания для коллапсирования квантовой волновой функции»[28] акцентирует внимание на фундаментальной роли наблюдателя (сознания, «я») при рассмотрении эволюции квантовой системы.
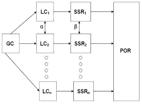
Более детально модель квантового идеализма была развита в моей статье «Квантово-информационная концепция сознания и реальности»[29], где сознание наблюдателя (LC) рассматривается как онтологически самобытный аспект мироздания, реализующий непрерывный процесс квантового выбора из вселенской информационной базы данных (POR). Данный процесс приводит к образованию персональной реальности (SSR), согласованной или несогласованной между различными наблюдателями, в зависимости от того, пребывают они на одном или разных «уровнях бытия»[30].
Диаграмма отношений между «внутренними» и «внешними» аспектами Реальности, представленная на рисунке 1.4, принимает во внимание наличие множества живых существ (локальных сознаний LC):
«Чтобы наглядно проиллюстрировать эту диаграмму, приведем следующий простой пример. Предположим, у нас есть помещение с расположенными в нем предметами, в которое мы одновременно поместили, скажем, человека, собаку, стрекозу и летучую мышь. Они являются субъектами (локальными сознаниями) LC1, LC2, LC3, LC4. Восприятие каждого из них порождает свою субъективную реальность SSR1, SSR2, SSR3, SSR4. Однако их органы чувств и диапазон ощущений принципиально различны, поэтому следует ожидать, что картины этих субъективных реальностей значительно отличаются друг от друга. Тем не менее можно сказать, что в некотором смысле они все же живут в одном мире. Например, человек может потрогать или увидеть ту же стрекозу или летучую мышь. Они, в свою очередь, также имеют возможность воспринять находящегося в помещении человека, хоть и в своей собственной субъективной реальности, отличной от человеческой. Этот фактор согласования их восприятий мы обозначили за β».
Рисунок 1.4. Диаграмма интерсубъективных информационных связей, где GC – глобальное сознание; LC1, LC2, …, LCn – его локальные аспекты (сознания живых существ); SSR1, SSR2, …, SSRn – вторичные субъективные реальности восприятия LC1, LC2, …, LCn соответственно; POR – первичная объективная (квантово-информационная) реальность; α – информационная связь в POR между группой субъектов LC1, LC2, …, LCn, порождающая согласование реальностей β
Еще один немаловажный момент – что говорит данная концепция о выживании индивидуального сознания после физической смерти:
«Поскольку локальное сознание наблюдателя LC по своей природе отлично от POR и первично по отношению к последней, после диссоциации LC с физическим телом и мозговой структурой оно продолжает свое непрерывное функционирование в качестве оператора POR в одной из других ее подпрограмм, конструируя иную SSR, по большей части не интерсубъективную по отношению к LC, восприятие которых погружено в земную, „физическую” реальность. Таким образом, единственное качественное различие между „воплощенными” и „развоплощенными” LC состоит в том, что они функционируют в разных субъективных реальностях, внешние законы которых могут отличаться друг от друга в большей или меньшей степени. Это относится как к реальностям „развоплощенных” LC, так и к рассмотренным выше „физическим” параллельным мирам. Однако данный факт ни в коем случае не означает невозможность обмена информацией между ними – как через общее сознание GC, так и посредством единой информационной структуры POR. Такой обмен информацией известен как „ченнелинг”, „медиумизм”, а также „инструментальная транскоммуникация”, в которой в качестве вспомогательных средств приема и записи информации используются технические устройства».
Модели и теории, использующие аппарат квантовой механики для описания взаимоотношений между сознанием и физической реальностью, были развиты Р. Пенроузом[31][32], А. Госвами[33], К. Поппером, Д. Экклсом[34], А. Букаловым[35][36][37].
После продолжительных исследований американский медик и биолог Роберт Ланца (личный сайт – robertlanza.com) пришел к модели биоцентризма, весьма сильно напоминающей авторскую квантово-информационную концепцию[38], [39].
Весьма хорошими научно-популярными работами, посвященными связи квантово-механических концепций с сознанием, а также наличию тонких миров, являются книги российских ученых: Михаила Заречного «Невидимая глубина Вселенной»[40] и Сергея Доронина «Квантовая магия»[41].
Детально разработанная квантовая парадигма субъективной физики также была предложена д-ром Верноном Неппе в его работе «Реальность начинается с сознания»[42].
В качестве инструмента, помогающего внести ясность в данную тематику, многими авторами привлекается модель виртуальной реальности. Так, в 2001 году д-р Ричард Томпсон выпустил монографию «Мир как виртуальная реальность»[43], где он подробно анализирует вопрос как с позиции современной науки, так и исходя из древних учений Востока. Тот же вопрос поднимают М. Талбот[44], С. Томияма[45], В. Ефремов[46], А. Паллакен[47].
Профессор Сет Ллойд в книге «Программируя Вселенную»[48] излагает свое понимание Вселенной как глобального квантового вычислительного комплекса и на этой основе пытается объяснить эволюцию всех ее иерархий и структур. Значительную часть книги автор посвящает энтропии, термодинамике и химическим законам, но, к сожалению, практически ничего не говорит о таких феноменах, как квантовая нелокальность и запутанные состояния, первостепенных для понимания рассматриваемой проблемы.
В моей короткой статье «О физической природе посмертного существования: информационная модель субъективных феноменов на основе нелокальных квантовых корреляций»[49] дается набросок теории, отвечающей на вопрос о том, как вычислительные ресурсы Вселенной могут быть задействованы для обеспечения бессмертия человеческой личности и внетелесной (асоматической) обработки информации, где деятельность мозга является лишь ее коррелятом, а не источником.
Pearson, Ronald. Survival physics: a brief summary. – Текст: электронный // The Campaign for Philosophical Freedom: [сайт] – URL: http://www.cfpf.org.uk/articles/rdp/s_rdp/summary-rdp.html (дата обращения 23.01.24).
Roll, Michael. The scientific proof of survival after death. – Текст: электронный // The Campaign for Philosophical Freedom: [сайт] – URL: http://www.cfpf.org.uk/articles/background/scientificproof/scientificproof1.html (дата обращения 23.01.24).
Хайм, Буркхард. – Текст: электронный // Википедия – свободная энциклопедия: [сайт] – URL: https://ru.wikipedia.org/wiki/Хайм,_Буркхард (дата обращения 23.01.24).
Heimsche Theorie – Heim Theory [Электронный ресурс]: English Publications by or about Burkhard Heim. – Электрон. дан. – Режим доступа: http://heim-theory.com, свободный. – Загл. с экрана. – Яз. англ.
Transcendental physics. An account of experimental investigations from the scientific treatises of Johann Carl Friedrich Zöllner. – Текст: электронный // Российская ассоциация инструментальной транскоммуникации (РАИТ). – Boston: Banner of light publishing co., 1901. – 225 c. – URL: http://itc.org.ru/books/Transcendental_Physics.pdf (дата обращения 25.01.24).
Pearson, Ronald. Consciousness as a subquantum phenomenon. – Текст: электронный // The Campaign for Philosophical Freedom: [сайт] – URL: http://www.cfpf.org.uk/articles/rdp/caasqp/caasqp.html (дата обращения 23.01.24).
D-22 GENERAL FIELD THEORY. // INSTRUMENTAL TRANSCOMMUNICATION by Ernst Senkowski: [сайт] – URL: http://www.worlditc.org/c_07_senki_d_22.htm (дата обращения 23.01.24).
Heim, Burkhard. Postmortale Zustände? Die televariante Area integraler Weltstrukturen. – Текст: непосредственный // Amazon: [сайт] – Innsbr.: Resch, 2000. – 122 c. – URL: https://www.amazon.de/Postmortale-Zustände-televariante-integraler-Weltstrukturen/dp/3853820131 (дата обращения 23.01.24).
Герловин И. Л. Основы единой теории всех взаимодействий в веществе. – М.: Энергоатомиздат, 1990.
Охатрин А. Ф. Микролептонная концепция и биолокационный эффект. Непериодические быстропротекающие явления в окружающей среде / Тезисы докладов междисциплинарной научно-технической школы-семинара 18–24 апреля 1988 г. – 1988.
Волченко В. Н. Неизбежность, реальность и постижимость Тонкого мира // Сознание и физическая реальность. – 1996. – № 1–2.
Волченко В. Н. Миропонимание и экоэтика XXI века. – М.: МГТУ им. Н. Э. Баумана, 2001.
Волченко В. Н. В поисках тонкого мира // Научно-технический вестник информационных технологий, механики и оптики. – 2007. – № 35. – С. 9–10.
Кацман А. Этереальный мир. – Текст: электронный // Журнал «Самиздат»: [электронный журнал] – URL: http://samlib.ru/e/etkin_w/eterealnyimir-1.shtml (дата обращения 23.01.24).
Охатрин А. Ф. Макрокластеры и сверхлегкие частицы / Доклады Академии наук СССР. – 1989. – № 4. Вып. 4. – Т. 304.
Искаков Б. И. Лептонная концепция мироздания – синтез науки и религии // Наука и религия. – М.: Знание. – 1992. – № 3.
Шипов Г. И. Теория физического вакуума. – М.: Наука, 1996.
Кацман А. Физическая модель параллельного этереального мира. – Текст: электронный // Российская ассоциация инструментальной транскоммуникации (РАИТ). – URL: http://itc.org.ru/books/Eter_World.pdf (дата обращения 23.01.24).
Klimo, John. Quantum idealism: an idealist consciousness model for collapsing the quantum wave function. – Текст: электронный // INTERNET ARHIVE: [файлообменник] – URL: https://web.archive.org/web/20120119075341/http://www.jonklimo.com/Papers/2006Draft_USPApaper.pdf (дата обращения 23.01.24).
Михеев А. В. Квантово-информационная концепция сознания и реальности. – Текст: электронный // Российская ассоциация инструментальной транскоммуникации (РАИТ): [сайт] – URL: http://itc.org.ru/qic-conception.htm (дата обращения 23.01.24).
Лодж, Оливер Джозеф. – Текст: электронный // Википедия – свободная энциклопедия: [сайт] – URL: https://ru.wikipedia.org/wiki/Лодж,_Оливер_Джозеф (дата обращения 23.01.24).
Lodge, Oliver. Why i believe in personal immortality. – Текст: электронный // Российская ассоциация инструментальной транскоммуникации (РАИТ). – Methuen, 2001. – 70 c. – URL: http://itc.org.ru/books/Lodge_Immortality.pdf (дата обращения 23.01.24).
Lodge, Oliver. The survival of man. – Текст: электронный // Российская ассоциация инструментальной транскоммуникации (РАИТ). – Мethuen, 2001. – 240 c. – URL: http://itc.org.ru/books/Lodge_Survival_of_Man.pdf (дата обращения 23.01.24).
Lodge, Oliver. The mode of future existence. – Текст: электронный // The Campaign for Philosophical Freedom: [сайт] – URL: https://www.cfpf.org.uk/articles/scientists/lodge/lodge-mofe-2007.html (дата обращения 23.01.24).
Lodge, Oliver. Raymond or life and death. – Текст: электронный // Российская ассоциация инструментальной транскоммуникации (РАИТ). – URL: http://itc.org.ru/books/Lodge_Raymond.doc (дата обращения 23.01.24).
Запорожец В. М. Контуры Мироздания. Тайна смерти: жизнь продолжается! – Текст: электронный // Российская ассоциация инструментальной транскоммуникации (РАИТ). – М.: Скорина, 1994. – 370 c. – URL: http://itc.org.ru/books/Vemz.pdf (дата обращения 25.01.24).
Popper K., Eccles J. The self and its brain. – New York: Springer-Verlag, 1977.
Букалов А. В. О возможности существования полевых форм жизни. – Текст: электронный // Физика сознания и жизни, космология и астрофизика: [сайт] – 2001. – № 4. – URL: http://physics.socionic.info/for2015/01–4/as-pole.html (дата обращения 23.01.24).
Букалов А. В. Физика сознания, мышления и жизни. – Текст: электронный // Физика сознания и жизни, космология и астрофизика. – 2007. – № 1. – URL: http://physics-life.narod.ru/pdfs/as-f107.pdf (дата обращения 23.01.24).
Букалов А. В. Физика ноосферы: иерархия квантовых структур живых организмов и эволюционное развитие человечества. – Текст: электронный // Физика сознания и жизни, космология и астрофизика. – 2007. – № 2. – URL: http://physics-life.narod.ru/pdfs/as-f207.pdf (дата обращения 23.01.24).
Михеев А. В. Понятие «уровня бытия». – Текст: электронный // Российская ассоциация инструментальной транскоммуникации (РАИТ): [сайт] – URL: http://itc.org.ru/planes_of_existence.htm (дата обращения 23.01.24).
Пенроуз Р. Новый ум короля. О компьютерах, мышлении и законах физики. – М., Едиториал УРСС, 2005.
Пенроуз Р. Тени разума: в поисках науки о сознании. – Москва; Ижевск: Институт компьютерных исследований, 2005.
Госвами, Амит. Физика души. Квантовая книга жизни, умирания, перевоплощения. – М.: Постум, 2013.
Ланца, Роберт. Биоцентризм. Как жизнь создает Вселенную. – СПб.: Питер, 2015.
Beyond Biocentrism / Robert Lanza, MD [Электронный ресурс]: Beyond biocentrism: rethinking time, space, consciousness, and the illusion of death. / авт. Lanza, Robert. – BenBella Books, 2016. – Электрон. дан. – Режим доступа: https://beyondbiocentrism.com/, свободный. – Загл. с экрана. – Яз. англ.
Заречный М. Невидимая глубина Вселенной. – Текст: электронный // Квантовая магия: [сайт] – СПб.: Весь, 2009. – URL: http://quantmagic.narod.ru/volumes/VOL612009/p1301.html (дата обращения 23.01.24).
Томияма, Сиех. Логические основания жизни после смерти. – Текст: электронный // Российская ассоциация инструментальной транскоммуникации (РАИТ): [сайт] – URL: http://itc.org.ru/afterlife_framework.htm (дата обращения 23.01.24).
Ефремов В. Г. Здесь и там: исследования и размышления. – Текст: электронный // Российская ассоциация инструментальной транскоммуникации (РАИТ): [сайт] – URL: http://itc.org.ru/research_beyond.htm (дата обращения 23.01.24).
A.W. Memetics of the computer universe based on the quran. – Текст: электронный // Российская ассоциация инструментальной транскоммуникации (РАИТ). – Pallacken Software Engineering &. Applications, 2010, no. 3, pp. 728–735. – URL: http://itc.org.ru/Memetics_Quran.pdf (дата обращения 23.01.24).
Ллойд, Сет. Программируя Вселенную. Квантовый компьютер и будущее науки. – М.: Альпина нон-фикшен, 2013.
Доронин С. Квантовая магия. – Текст: электронный / Квантовая магия: [сайт] – СПб.: Весь, 2016. – URL: http://quantmag.ppole.ru/QuantumMagic/Doronin/ (дата обращения 23.01.24).
Neppe, Vernon. Reality begins with consciousness: a paradigm shift that works. – Текст: электронный // Российская ассоциация инструментальной транскоммуникации (РАИТ). – URL: http://itc.org.ru/books/Neppe.pdf (дата обращения 23.01.24).
Thompson, Richard. Maya: the world as virtual reality. – Alachua, FL: Govardhan Hill Publishing, 2003.
Талбот, Майкл. Голографическая Вселенная. – М.: София, 2004.
Михеев А. В. О физической природе посмертного существования: информационная модель субъективных феноменов на основе нелокальных квантовых корреляций. – Текст: электронный // Российская ассоциация инструментальной транскоммуникации (РАИТ): [сайт] – URL: http://itc.org.ru/nonlocal_mind.htm (дата обращения 23.01.24).
Глава 2. Предсказания о развитии ИТК
С середины XIX столетия стало появляться все больше изобретений, использующих принципы электромагнетизма для связи между людьми. Попутно начали рождаться предположения о возможности применения подобных же принципов для коммуникаций с миром иным. Большое количество сообщений, принятых на спиритических сеансах, содержали ссылки на возможность подобной коммуникации, а иногда – инструкции по созданию устройств.
Попытки развития технических средств для контактов с потусторонним миром обычно были тесно связаны с анонсами, многократно принятыми через медиумов, а позднее – через сами устройства. Вероятно, самое раннее из таких сообщений принадлежит барону Хелленбаху[50]. В 1885 году он акцентировал внимание на развитии электромеханических устройств, но предостерег от избыточного оптимизма, поскольку, по его мнению, первые контакты столкнутся с проблемой преодоления пропасти, лежащей между двумя измерениями.
В сообщении, принятом женой д-ра Карла Викланда[51], содержится предсказание:
«Скоро придет время, когда на Земле изобретут инструмент, через который все желающие смогут услышать величайших учителей Духовного мира. Над этим мы будем работать вместе. Не сейчас, но скоро».
В одной из записей[52], сделанных медиумом Стейнтоном Мозесом во второй половине XIX века, говорится:
«Будет создан инструмент, который сделает фактом контакт между двумя мирами, так, что даже наибольшие скептики убедятся в существовании жизни после смерти. Придет время, и все стоящие ныне барьеры будут устранены».
Вопросы жизни после смерти и возможности контактов с ушедшими глубоко интересовали известного изобретателя Томаса Алву Эдисона, родители которого были спиритуалистами. В журнале Scientific American от 30 октября 1920 года он писал:
«Если наша личность переживает смерть, тогда строго логично и научно будет допустить, что она сохраняет память, интеллект, а также другие способности и знания, приобретенные на Земле. Поэтому, если человек продолжает существовать после того, что мы называем „смертью”, разумно предположить, что люди, покинувшие этот мир, будут иметь желание вступить в контакт с теми, кого они оставили здесь. Я склонен верить, что та личность, которой мы станем после перехода в мир иной, будет иметь возможность воздействовать на материю. Коль скоро эта аргументация корректна, если мы сможем разработать инструмент настолько чувствительный, чтобы на него мог воздействовать субъект, выживший после смерти, то такой инструмент, будучи доступным, должен зарегистрировать что-либо».
В 1935 году медиум Эдит Эллис из Нью-Йорка цитирует сообщение от Вилфреда Брандона в своей книге «Открой дверь!»[53]:
«Все же наука находится на грани открытия секрета жизни после смерти. Она может все, но только не в состоянии связаться с нашим планом. Маркони и те, кто исследует чудеса эфира, со временем найдут соединяющую длину волны, и затем мы будем связаны общим пониманием Закона Жизни… Мы говорим, и звук остается навсегда. Мы также постоянно запечатляемся на космической фотографической пластине. Ваше радио уже сделало это понятным для вас. Каждый звук находится в пространстве. Нужно лишь механическое приспособление для того, чтобы связать тонкий мир с материальным. Как? Открытием универсальных законов вибраций, которые связывают три плана материи и даже, возможно, выходят за их пределы. Все медиумы – это лишь временное средство, к которому мы вынуждены прибегать для работы с вашими радиоинженерами до тех пор, пока не будет создан механизм, которым мы сможем управлять автоматически. Это возможно, и, вне всяких сомнений, станет следующим шагом после телевидения…
Вы находитесь между двумя полюсами: просветлением и самоуничтожением. Если вы направите время и деньги, которые вы сейчас вкладываете в оборону и развитие военной промышленности, на создание устройства для контакта с нами, то оно вскоре появится».
В 1936 году редактор Пауль Леймари опубликовал книгу Сюзанны Макс Геттинг «Сообщения освобожденного духа»[54]. В двадцать шестом сообщении, датированном 2 февраля 1930 года, говорится:
«Спиритуалистическое движение начинает распространяться. Мы будем говорить с вами посредством фонографа, и вы увидите нас на кинопленке… в будущем медиум станет играть пассивную роль… Во многих случаях устройства заменят медиумов… Медиум будет присутствовать лишь как источник энергии, создавая благотворную атмосферу посредством своих вибраций… Мы сможем воздействовать на ролик фонографа через вибрации наших волн. В этой форме наши мысли будут перехвачены как звуковые волны человеческого голоса, которые вы сегодня записываете. Когда вы их обнаружите, наши вибрации будут полностью идентичны речи. Это – работа адаптации… Волны, исходящие от сущностей, не обладают теми же самыми тонами, которые продуцируются человеческим голосовым аппаратом. Поэтому необходим очень утонченный продукт, на который можно воздействовать с чрезвычайной легкостью. Это даст нам возможность диктовать в фонограф точно так же, как мы диктуем медиуму… Это изобретение, естественно, еще не готово, но уже находится на стадии исследования в некоторых сверхземных мирах. Я подвожу итог:
1. Регистрация волн будет подобна радиоприему, за исключением того, что волны, которые мы пошлем вам, не будут звучать подобно человеческому голосу.
2. Оборудование будет трансформировать эти неразличимые волны в слышимые для человека звуки. В дальнейшем будет существовать адаптация визуальных средств, которая позволит удаленным сущностям быть сфотографированными. Это процесс, который даст великолепные результаты. Изображение и звук, исходящие от тех, кто „исчез с Земли”, дадут равным образом интересные озвученные изображения. Телевидение будет примером этого процесса. Мы применим ту же самую процедуру, с модификациями…
Медиумы подвергаются насмешкам, спиритуалисты очерняются. Будущая наука восторжествует в их оправдании, даже если сейчас она вопит в ужасе и злопыхательстве при упоминании о коммуникации между Землей и следующим миром».
В 1937 году философ, общественный деятель, создательница учения Живой Этики Елена Рерих писала[55]:
«Всем, желающим ближе подойти к явлениям надземным, можно посоветовать ознакомиться с обширнейшей литературой всех веков и народов, трактующих о мире потустороннем. Ведь большинство даже не подозревает, какое огромное количество трудов на эти темы существует в мире! Мир никогда не был лишен зрячих, которые, обладая более усовершенствованным организмом, могли видеть то, что скрыто от грубого физического глаза. Кто же отважится сейчас утверждать, что только потому, что он не видит X или Y лучей, или не ощущает наполнения пространства звуками, скажем, радиоволнами, то все это и не существует? Кто же отважится налепить на себя ярлык невежества такими утверждениями? Наука уже открыла лучи, которые могут делать физического человека невидимым. Кто возьмется утверждать, что в будущем не будет найден аппарат, который даст возможность заглядывать в Мир потусторонний так же просто, как мы видим и слышим человека посредством телевизии, хотя он находится за тысячи миль от нас? Почему люди так стремятся ограничить все возможности и, прежде всего, самих себя? Если уже рождаются дети, которые физическим зрением видят через самые плотные вещества, что было многократно доказано, то почему не верить тем, кто могут видеть мир тонкий и тоже физическим зрением? Это ограничение допущения или недостаток воображения нужно изжить, ибо иначе никакой прогресс в знании невозможен».
В книге «Эзотерическое целительство»[56], впервые увидевшей свет в 1952 году и переданной духовным наставником Тибетцем через теософа, писательницу, контактера, основательницу организации «Люцис Траст» Алису Бейли, можно прочесть:
«К концу двадцатого столетия для контакта с отошедшими душами будут использоваться электронные устройства, вместе с фотографированием мыслеформ, и это откроет новую эру духовной фотографии… Астральное тело будет доступным для фотографирования, но никогда – ментальное… Все же первая демонстрация существования после смерти, такая, которая может быть зарегистрирована на физическом плане, придет через радио… Сегодня не существует радио, которое было бы достаточно чувствительным, чтобы принимать звуки с астрального плана».
В книге «Большая проблема» английского ученого Л. Джонсона, изданной перед Второй мировой войной, приводится цитата из сообщения, переданного через одного из английских медиумов по имени Теннер. В этом сообщении, в частности, говорится:
«Исследуйте все возможные способы радиокоммуникации! Мы [мертвые] готовимся связаться с вами этим путем. Это зависит лишь от длины волны».
Бейли А. Эзотерическое целительство. Трактат о Семи Лучах. – В 4 т., Амрита-Русь, 2012.
Meek, George. After we die, what then? – London: Ariel Press Edition, 1987.
Ellis, Edith and Brandon, Wilfred. Open the door! – Literary Licensing, LLC, 1935.
Suzanne Max Getting. Messages d’un esprit libéré. Extraits de dictées médianimiques. – Reliure inconnue, 1936.
Рерих Е. И. Письма Елены Рерих 1929–1938. – В 2 т., Белорусский фонд Рерихов, Минск, ПРАМЕБ, 1992. – Т. 2. – 432 с. – запись за 03.12.37.
Hellenbach, Lazar von. Geburt und Tod als Wechsel der Anschauungsform. – Wien: Nabu-Press, 1885.
Викланд, Карл. Тридцать лет среди мертвых. – М.: Райхль, 2013.
Глава 3. Первые опыты исследователей
С самого начала эпохи электромагнитных коммуникаций было задокументировано огромное количество аномальных сигналов. В силу массы причин только малая доля из них получила широкую огласку, и они все еще вдохновляют исследователей по всему миру.
Первую коммуникационную систему, основанную на законах электромагнетизма, создал Сэмюэл Морзе в 30-х годах XIX века. Он продемонстрировал ее в 1844 году. Это была, разумеется, телеграфная линия связи, сообщения по которой передавались в виде последовательности коротких и длинных сигналов, раскодировавшихся в буквы алфавита. В исходном варианте системы батарея и ключ Морзе на передающей станции приводились в действие находящимся на удаленной приемной станции электромеханическим преобразователем, соединенным длинным кабелем с передающей станцией. К другому выходу электромеханического устройства был подключен кабель обратного канала для возврата тока к батарее на передающей станции. Чтобы эти два кабеля никому не мешали, их закопали в землю.
Но вскоре оказалось, что можно обойтись без обратного кабеля, а вместо него использовать заземление. В новой системе остался только один кабель, а прохождение обратного тока, создающего замкнутую цепь, обеспечивалось с помощью воткнутых в землю металлических колышков. Такое решение получило известность как обратный ток через землю.
Как только эта система была задействована, начали поступать сообщения об аномальных всплесках мощности в цепи, настолько сильных, что, по словам операторов, между контактами телеграфных ключей проскакивали крупные голубые искры. В конце концов было решено, что больше нет необходимости применять в системе электрическую батарею, и телеграфные линии стали эксплуатироваться с использованием внутренней электроэнергии земли.
Чуть позже, начиная со второй половины XIX столетия, тот же самый принцип использовался на спиритических сеансах, когда буквы алфавита передавались собеседниками из Тонкого мира в виде последовательности ударов. Термин «духовный телеграф» широко применялся в те годы и даже был употреблен в качестве названия одного из периодических журналов спиритуалистов, основанного Самуэлем Байроном и Чарльзом Пэтриджем в 1852 году.
В 1849 году Александр Бейн изобрел электрохимический самописец, способный благодаря химическим процессам принимать и наглядно фиксировать поступающую информацию. Вскоре многие компании заменили свои старые электромеханические устройства этими более чувствительными электрохимическими агрегатами. Благодаря низкому потреблению тока они работали еще лучше, получая естественную электроэнергию из земли. Однако, когда многие телеграфисты по утрам возвращались на свои рабочие места, они обнаруживали, что самописцы ночью нарисовали какие-то обрывки фраз и странные геометрические узоры. Могло ли это быть первым контактом с разумом из другого измерения?
Всемирно известный изобретатель Никола Тесла, создавший электрические машины переменного тока, много времени посвятил изучению высоковольтной и высокочастотной электрической структуры нашей планеты. В процессе исследований, которые он проводил на своей научно-исследовательской станции в Колорадо-Спрингс, Тесла заметил, что его приборы воспринимают какие-то необычные сигналы. Вот что он написал об этом 19 февраля 1901 года в статье «Разговор с планетами»[57]:
«Я никогда не смогу забыть первые впечатления, которые я испытал, когда мне начало становиться ясным, что я наблюдал нечто, могущее, возможно, иметь неисчислимые последствия для всего человечества. Я чувствовал себя так, словно присутствовал при зарождении нового знания или откровения, содержащего великую истину… Мои первые наблюдения просто-напросто испугали меня, поскольку в них содержалось нечто загадочное, если не сказать сверхъестественное, а я тем вечером был один в своей лаборатории. Но в тот момент мысль о том, что эти возмущения представляют собой сигналы, посылаемые чьим-то разумом, еще не приходила мне в голову. Изменения, которые я заметил, имели периодический характер и содержали явное указание на то, что в них фигурируют число и порядок, поэтому я не мог соотнести их ни с одним известным мне случаем.
Разумеется, мне были известны электрические возмущения, возникающие под воздействием Солнца, полярных сияний и земных токов, но я был уверен так, как мог быть уверен в любом факте, что данные возмущения не были порождены ни одним из упомянутых явлений. Характер моих экспериментов предотвращал возможность появления изменений, вызываемых атмосферными помехами, о чем поспешно заявили некоторые.
Прошло определенное время, прежде чем меня осенило, что те возмущения, которые я наблюдал, могли быть следствием некоего разумного воздействия. И хотя я не мог расшифровать их смысла, для меня стало невозможным думать о них как о совершенно случайных событиях. Меня все больше охватывает чувство, что я оказался первым, кто услышал приветствие, направленное от одной планеты к другой. За этими электрическими сигналами скрывалась определенная цель…».
За несколько часов до разрушительного землетрясения в Сан-Франциско в 1906 году были зафиксированы сигналы бедствия. В 1918 году Гелдерт принял длинные сообщения через радио, принадлежавшее его умершему сыну, который при жизни был радиолюбителем[58].
Секретарь известного автора детективных романов Эдгара Уоллеса вскоре после его смерти в 1932 году, проигрывая на фонографе собственную пластинку, к своему изумлению обнаружил запечатленные на ней слова своего ушедшего шефа. В этом событии можно увидеть предзнаменование будущего «феномена электронного голоса»[59].
Самые ранние и многие последующие технические новшества также нашли свое отражение в области спиритуализма. Наиболее известные аналогии:
• постукивания в виде кода Морзе, использовавшиеся на спиритическом сеансе в 1881 году в присутствии компетентных наблюдателей[60];
• усилители слабых голосов, часто применявшиеся спиритуалистами вместо рупоров.
Первая из зафиксированных в истории успешных попыток построения специальных устройств для ИТК, по всей видимости, относится к опытам голландских физиков д-ра Матлы и д-ра ван Зельста, начавшимся в 1904 году. Их результаты[61] были опубликованы спустя восемь лет. Взяв за основу предположение о том, что ушедшие люди все еще существуют в некоторой материальной форме, они провели эксперимент по изменению давления в закрытом сосуде с водой после вхождения в него предполагаемой духовной сущности. Также этот эффект мог выборочно вызываться в одном из двух имевшихся в наличии одинаковых сосудов. Полученные результаты и их интерпретация привели ученых к изобретению прибора под названием динамистограф (рисунок 3.1), который представлял из себя колесо с нанесенным на него алфавитом, пробелом и точкой, вращающееся со скоростью 0,5 об/мин. При замыкании чувствительного электрического контакта лента перемещалась до нужного положения, и на ней отпечатывалась текущая буква. Само устройство вместе с источником питания находилось в стеклянном ящике размерами 1×0.8×2,4 м3. Даже при отсутствии оператора эта машина, чье функционирование весьма зависело от атмосферных условий, печатала осмысленные тексты. Эксперимент Матлы и ван Зельста так и не был повторен другими исследователями, однако он оказал весьма значительное влияние на развитие парапсихологии того времени.
Рисунок 3.1. Динамистограф Матлы и ван Зельста. Фото из книги: Matla, J.L.P.W., Zaalberg von Zelst, G.J.: Le Mystère de la Mort. Dynamistographie. Paris, 1912. Автор неизвестен
В 1915 году адвокат и радиолюбитель Дэвид Вилсон опубликовал несколько отчетов о своих экспериментах[62]. Незадолго до этого, в 1913 году, он принял через свою радиосистему при отсутствии антенны странные сигналы. Содержание сообщений касалось непосредственно его личной жизни. Вилсон использовал комбинацию батареи, детектора и гальванометра, показывающего спорадические отклонения. Путем исключений случайных флуктуаций он пришел к выводу, что это был код Морзе. Первое послание содержало следующий текст: «Большие трудности. Жди сообщения. Пять дней, шесть ночей». Ночью в присутствии независимых свидетелей он принял послание: «Попробуй удалить вибрацию». Позже Вилсон добавил к устройству ключ Морзе, управляемый живым оператором. Осмысленные слова и фразы приходили тогда, когда волновой детектор принимал паранормальные пульсации синхронно с импульсами, генерируемыми рукой оператора. Система позволяла принимать сообщения на множестве языков. В конце концов Вилсон заменил гальванометр тональным генератором. В эксперименте «Лондон – Париж» были приняты два идентичных сообщения на русском языке через два одинаковых устройства с разницей в 6 минут. Он так и не сделал официального заявления и позднее ушел в тень.
В ходе Первой мировой войны радиооператор Джордж Мелтон получил несколько странных сообщений, источником которых, как он заподозрил, были ушедшие персоны[63][64].
Рисунок 3.2. Психотелефон Мелтона, где F – пружина, B – надувной баллон, E – батарея, K – выход на наушники, M – мембрана
В 1920 году Мелтон открыл в себе медиумические способности. В ходе одного из сеансов он получил инструкции по постройке «телефона на тот свет». Первая его версия состояла из алюминиевого рупора в форме усеченного конуса длиной 60 см, с диаметрами оснований 7,5 и 20 см, внутри которого располагался микрофон, подсоединенный к источнику питания и идущий к наушникам. Это устройство позволяло усиливать слабые голоса, возникающие вблизи медиума, до приемлемого уровня слухового восприятия. Дальнейшая модификация (рисунок 3.2) представляла из себя ящик, внутри которого располагался микрофон, диафрагма которого была соединена с надувным баллоном.
Примерно в то же самое время появился «психотелефон» медиума Ф. Гриерсона[65]. Он был «музыкальным медиумом», известным под псевдонимом Джесси Шеппард, предшественником Розмари Браун.
В 1925 году бразильский исследователь Оскар Д’Аргонел написал книгу «Голоса из потустороннего мира по телефону»[66], в которой рассказал о длинных телефонных диалогах с духовными друзьями, включая множество интересных подтверждений и объяснений того, как именно его собеседники звонили ему. С подобным же явлением «звонков с того света» столкнулся д-р Шернус в конце 40-х годов. Исследователи Скотт Рого и Рэймонд Бэйлесс задокументировали большое количество случаев такого рода. Фундаментальная возможность телефонных контактов ИТК была продемонстрирована в последнее десятилетие XX века в виде записей диалогов и голосов на автоответчике.
31 июля 1929 года Генри Вандермюлен скончался в возрасте 15 лет. 16 декабря того же года он передал своему отцу через спиритическую планшетку данные для построения акустической системы, предназначенной для контакта с ушедшими[67], [68]. Это устройство, запатентованное в Бельгии 1 января 1931 года, состояло из двух стеклянных призм высотой 15 см и шириной 3 см с треугольными основаниями. Они располагались на ровной поверхности на расстоянии 5 см друг от друга (рисунок 3.3). Поверхность одной из призм была покрыта слоем смолы и подсоединялась к подвижному контакту, при замыкании которого срабатывал звонок. Согласно сообщениям, данное устройство неоднократно успешно использовалось во многих местах, и каждый раз, когда срабатывал звонок, происходили медиумические контакты.
Рисунок 3.3. Устройство Вандермюлена, где P – стеклянная призма, H – стеклянная призма, покрытая смолой, D – проволочная треугольная рамка, K – к звонку, B – батарея
В 1941 году медиумам Райту и Гарднеру предположительно удалось вступить в контакт с изобретателем Томасом Эдисоном, оставившим земной мир в 1931 году, и получить чертеж его устройства, на основе которого группа заинтересованных экспериментаторов предприняла попытки контакта[69].
Рисунок 3.4. Вариант «аппарата Эдисона», полученный Райтом и Гарднером, где T – корпус, A – антенна, I – внутренний электрод, M – микрофон, K – раствор перманганата калия
Согласно рисунку 3.4, в кубическом ящике высотой 10 см располагался микрофон. Из верхней грани ящика выходила алюминиевая труба длиной 45 см, запертая с одной стороны деревянной заглушкой. Через центр трубы наружу выводилась внешняя антенна, которая вместе со стенкой и емкостью трубы, наполненной раствором перманганата калия, играла роль электролитического источника тока для питания микрофона.
Сотрудничество между двумя исследователями, Райтом и Гарднером, а также сообщения, принятые медиумическим путем от Томаса Эдисона и другого изобретателя, инженера Карла Штейнмеца, привели к созданию конфигурации из громкоговорителя и микрофона. Микрофон находился в ящике из звуконепроницаемого материала, который вдобавок был покрыт тонким слоем металлического порошка и силикона, «чтобы скомбинировать электростатические, магнитные и специальные акустические свойства материала» (Райт изобрел силиконовый каучук в лаборатории «Дженерал Электрик», где раньше работал Штейнмец). Микрофон подсоединялся к усилителю, а через него – к громкоговорителю, который воспроизводил с достаточной ясностью голоса, едва слышимые в присутствии медиума. Похожее изобретение построил Б. К. Торогуд, директор Франклинского технологического института (Бостон). Микрофон был покрыт несколькими слоями звукоизолирующего материала и не записывал никаких внешних звуков. Тем не менее голоса, произведенные медиумом, находящимся тремя этажами ниже, были отчетливо слышны через динамик.
Голландский экспериментатор Н. Зваан в 1953 году опубликовал статью в журнале Psychic News, в которой утверждал, что в 1947 году он медиумически принял указания для построения устройства, состоящего из высоковольтной батареи, переменного конденсатора (1 нФ) и кварцевой трубки. Внутри располагалась другая, более тонкая трубка из кварца, на которую было намотано 3–4 слоя проволоки по 1500 витков каждый. По просьбе главного редактора британского журнала The Two Worlds Зваан продемонстрировал свое изобретение 17 мая 1949 года в Манчестере перед широкой аудиторией[70].
В 1949 году Марчелло Баччи из Гроссето (Италия), начал эксперименты в области ФЭГ. Вскоре через его ламповое радио стали приходить отдельные сообщения. Длительность и качество контактов постепенно возросли. Вокруг его работы в ТМ сформировалась духовная группа, и им удавалось поддерживать двусторонний диалог на протяжении десятилетий. Люди, приходившие в лабораторию Баччи, часто узнавали голоса своих ушедших друзей и родственников[71]. Стоит отметить, что в начале 2000-х годов группой ученых была проведена серия тестов с его участием, которая завершилась выходом официального отчета[72]. По итогам исследований был сделан вывод об отсутствии следов каких-либо фабрикаций и подтверждалась реальность голосов. Итальянское телевидение сняло ряд документальных фильмов о работе Баччи и его коллег. Также им была написана книга «Тайна голосов из потустороннего мира»[73]. В итальянском языке феномен ИТК получил название «психофония» (Psicofonia).
Рисунок 3.5. Марчелло Баччи в своей психофонической лаборатории в г. Гроссето (Италия). Фото с сайта: The Instrumental Transcommunication Work Of Marcello Bacci 09/ 2016 by Paolo Presi atransc.org/pressi-bacci/. Автор неизвестен
В начале 1950-х годов два католических священника – Агостино Джемелли и Пелегрино Эрнетти (рисунок 3.6) – проводили исследования в области звукозаписи. Эрнетти был всемирно признанным ученым, физиком и философом, а также любителем музыки. Джемелли был президентом Папской академии. 15 сентября 1952 года, когда Джемелли и Эрнетти записывали григорианские песнопения, проволока на их магнитофоне постоянно рвалась. Выведенный из себя, Джемелли поднял взгляд наверх и попросил своего ушедшего отца о помощи. К изумлению обоих, голос его отца, записавшийся на магнитофон, ответил: «Конечно, я помогу тебе. Я всегда с тобой». Они повторили эксперимент, и на этот раз очень ясный голос, наполненный чувством юмора, сказал: «Но Кабачок, это же очевидно, ты не знаешь, что это я?» Джемелли был поражен. Никто не знал прозвища, которым отец дразнил его в детстве. Только затем он, наконец, понял, что действительно говорил со своим отцом. Однако радость от неожиданного «воскресения» отца была смешана со страхом. Имел ли он право говорить с мертвыми? В конце концов оба участника этих событий нанесли визит папе римскому Пию XII в Риме. Джемелли, глубоко взволнованный, рассказал ему о своем опыте. К его удивлению, папа похлопал его по плечу и сказал:
Рисунок 3.6. Священники Агостино Джемелли (слева) и Пелегрино Эрнетти (справа). Агостино Джемелли: фото из «Википедии»: en.wikipedia.org/wiki/Agostino_Gemelli. Автор неизвестен. Пелегрино Эрнетти: фото из энциклопедии Alchetron: alchetron.com/Pellegrino-Ernetti. Автор неизвестен
«Дорогой отец Джемелли, вам действительно не нужно об этом беспокоиться. Существование голосов – строго научный факт, и не имеет ничего общего со спиритизмом. Магнитофон абсолютно объективен. Он принимает и записывает только звуковые волны, откуда бы они ни исходили. Этот эксперимент, возможно, может стать краеугольным камнем для проведения будущих научных исследований, которые усилят веру людей в жизнь после смерти».
К Джемелли вновь вернулась уверенность, но он договорился, что данный эпизод не будет обнародован до последних лет его жизни. Первые статьи[74] об этом появились лишь в 1990 году.
Tesla, Nikola. Talking with the planets. – Текст: электронный // UNITED STATES EARLY RADIO HISTORY articles and extracts about early radio and related technologies, concentrating on the United States in the period from 1897 to 1927 Thomas H. White: [сайт] – URL: http://earlyradiohistory.us/1901talk.htm (дата обращения 24.01.24).
Geldert, L. N. Thy son livith. – Boston: Little Brown Co., 1918.
Rogo, Scott and Bayless, Raymond. Phone calls from the dead. The results of a two-year investigation into an incredible phenomenon. NEL 47628. – London: Prentice-Hall, 1980.
Holms, A. Campbell. The facts of psychic science. – NewYork: University Books, 1969. – 512 s. – S. 146; N.B. Wolfe durch das Medium Hollis.
Matla, J. L. P. W., Zaalberg von Zelst, G. J. Le Mystère de la mort. Dynamistographie. – Paris: 1912.
Wilson, David. // Light. – 1915. – 13 марта.
Evans, Wainwright. Scientists research machine to contact the dead. // Fate. – 1963. – April. – S. 38–42.
Vandermeulen signaling device. // Supplement to bulletin du conseil de recherches metapsychique de belgique. – 1931. – 1 янв.
Wright, Gilbert. Two inventors return // Journal of Borderland Res. – 1949. – May. – S. 14 ff.
Melton, F. R. Telegraphic communication with the next world. // Light. – 1921. – 20 авг.
Melton F. R. A psychic telephone: its construction, the laws and conditions that govern its use. – Nottingham: E. Brown & Co., 1921.
Shepard, Jesse. Psychophone messages. – Los Angeles: 1921.
D’Argonel, Oscar. Vozes do além pelo telephone. – Текст: электронный // Российская ассоциация инструментальной транскоммуникации (РАИТ). – 1925. – URL: http://itc.org.ru/books/Oscar_D_Argonnel.pdf (дата обращения 23.01.24).
Schwarz, Rudolf: Geisterfunk im Werden. // Okkulte Welt. – 1949. – № 3.
Преси, Паоло. Марчелло Баччи и его работа в области транскоммуникации. – Текст: элетронный // Российская ассоциация инструментальной транскоммуникации (РАИТ): [сайт] – URL: http://itc.org.ru/bacci_work.htm (дата обращения 24.01.24).
Кардозо Анабела, Феста Марио, Фонтана Дэвид, Преси Паоло / Специальный отчет: реальность голосов ИТК научно доказана в ходе экспериментов с Марчелло Баччи 5 декабря 2004 года в Гроссето, Италия. – Текст: электронный // Российская ассоциация инструментальной транскоммуникации (РАИТ): [сайт] – Гросетто, 2004. – URL: http://itc.org.ru/special_report.htm (дата обращения 24.01.24).
Bacci, Marcello. Il mistero delle voci dell’aldilà // Edizioni Mediterranee. – 1985.
Журнал Astra. – 1990. – Июнь.
Глава 4. Краткая история зарубежной ИТК во второй половине XX века
Хотя, как рассказывалось в предыдущей главе, ранние эксперименты по технической коммуникации с Тонким миром начались в первой половине XX века, широко известная публичная история ИТК берет свое начало в 1959 году. Именно тогда всемирно известным художником и режиссером из Швеции Фридрихом Юргенсоном было открыто явление, позднее получившее официальное наименование «феномен электронного голоса» (ФЭГ).
Среди звуковых записей, сделанных Юргенсоном, как нередко бывает в таких случаях, встречалась информация личного характера. Один из голосов на магнитной ленте, назвавший его имя, предположительно принадлежал ушедшей матери Юргенсона. Некоторые из полученных сообщений были продемонстрированы им на международной пресс-конференции, состоявшейся в 1964 году. Юргенсон издал несколько книг, перевод на русский язык одной из которых вышел в свет под названием «Радиоконтакт с потусторонним миром»[75].
Одним из ученых, повторивших эксперимент Юргенсона, был д-р Константин Раудив, профессор университета Упсалы, собравший коллекцию из более чем 72 тыс. сообщений с других уровней бытия. Один из первых голосов, записанных Раудивом, принадлежал его ушедшей секретарше Маргарет Петроцки. Голос произнес: «Bedenke, ich bin! (Подумай, я существую!)» После ухода Раудива коллекция его записей была передана гимназии в Мюнстере, где он преподавал некоторое время. По итогам своих исследований Раудив написал книгу «Прорыв», которая доступна для ознакомления в интернете[76].
В 1971 году австрийским инженером Францем Зайдлем было изобретено устройство «Психофон» на основе широкополосного радиоприемника с дополнительным генератором электромагнитных колебаний, позволившее улучшить качество и продолжительность сообщений. Зайдль также участвовал в расследовании случая с исчезновением девушки по имени Сильвия Реннер, которое произошло в туристическом лагере в районе озера Гарда. Для всех желающих познакомиться с его наследием доступна схема «Психофона»[77] и электронное издание его книги «Феномен трансцендентальных голосов»[78].
В 1982 году Джордж Мик, руководитель Фонда метанауки, обнародовал свое изобретение, названное им «Спириком». Аппарат представлял собой транслятор тринадцати базовых частот, на основе которых собеседник из ТМ по имени д-р Мюллер мог синтезировать ответы на вопросы оператора устройства, электронщика Уильяма О’Нила. Подробности истории со «Спирикомом» изложены в книге журналиста Джона Фуллера «Призрак из 29 мегациклов»[79]. Детальный отчет о проекте «Спириком» дан также в интернет-версии Spiricom Report[80]. С транскриптом[81] диалогов, проведенных при помощи «Спирикома», а также и с некоторым критическим анализом[82] данного проекта вместе с документальными материалами можно ознакомиться.
В 1982 году исследователем Клаусом Шрайбером из г. Аахен (Германия) впервые были получены телевизионные изображения с иных уровней реальности, в частности его ушедшей дочери Карин, а также его матери и жены Гертруды, умершей еще в 1960 году (рисунок 4.1). Имеются подробности[83] истории Шрайбера и архив[84] некоторых изображений.
Рисунок 4.1. Изобр ажения, полученные Клаусом Шрайбером. Коллекция снимков из книги: Хильдегард Шефер. Мост между мирами. Теория и практика электронного общения с Тонким миром. Невская Перспектива, Рипол Классик, 2005. Автор фото: Klaus Schreiber (Клаус Шрайбер)
В 1983 году инженер-электронщик Ганс-Отто Кениг из г. Мёнхенгладбах (Германия) представил устройство, названное им генератором, состоявшее из нескольких источников постоянных и переменных ультразвуковых частот. Кениг применил электронные фильтры, чтобы устранить слышимые помехи и их гармоники во время записи голосов. Он полагал, что духовные сущности «говорят» преимущественно в ультразвуковом диапазоне. Их собственные сигналы гетеродинируются набором частот, испускаемым генератором, и, таким образом, голоса из ТМ транспонируются (переносятся) в слышимую область. В качестве доказательств своей теории Кениг приводил неоднократные результаты измерений в ультразвуковом диапазоне в присутствии разных людей (операторов). По его мнению, «специальные комбинации частот могут создавать благоприятный резонанс для контактов между земным и духовным мирами».
В 1984 году Кениг основал «Объединение исследователей магнитофонных голосов» (FGT) и выпустил первое издание ежеквартального бюллетеня Parastimme («Паранормальные голоса»). Во время «Пси-дней», проходивших в Базеле (Швейцария) в 1985 году, Кениг провел семинар, который посетили около трехсот человек. С помощью принимающего устройства он установил контакт и организовал двусторонний сеанс связи с Тонким миром, за которым могла следить аудитория. Беседа продолжалась около шести минут. С работой Кенига и примерами принятых им сообщений можно познакомиться на его персональном сайте hansottokoenig.de.
С 1985 года супруги Мэгги и Жюль Харш-Фишбах из г. Эсперанж (Люксембург) установили контакт посредством радиомоста с ушедшим исследователем транскоммуникации Константином Раудивом (рисунок 4.2). Среди их собеседников с «другой стороны» также были: первооткрыватель ИТК Фридрих Юргенсон, ученая по имени Свен Сальтер, известный путешественник Ричард Фрэнсис Бартон и многие другие. Подробности полученных ими результатов приведены в книгах д-ра Тео Лочера и Мэгги Харш-Фишбах «Прорывы в электронном общении с Тонким миром»[85], а также Хильдегард Шефер «Мост между мирами»[86].
Рисунок 4.2. Изображение ученого Константина Раудива, полученное исследователями ИТК из Люксембурга Мэгги и Жюлем Харш-Фишбах. Фото из книги: Хильдегард Шефер. Мост между мирами. Теория и практика электронного общения с Тонким миром. Невская Перспектива, Рипол Классик, 2005. Авторы фото: Maggy and Jules Harsh-Fischbach (Мэгги и Жюль Харш-Фишбах)
Рисунок 4.3. К а толическая святая Анна де Гинь: слева – прижизненное фото; справа – изображение, полученное на телеэкране исследователем Адольфом Хомсом. Фото из книги: Хильдегард Шефер. Мост между мирами. Теория и практика электронного общения с Тонким миром. Невская Перспектива, Рипол Классик, 2005. Автор фото: Adolf Homes (Адольф Хомс)
Рисунок 4.4. Элиза Хомс, мать исследователя ИТК Адольфа Хомса. Фото из книги: Хильдегард Шефер. Мост между мирами. Теория и практика электронного общения с Тонким миром. Невская Перспектива, Рипол Классик, 2005. Автор фото: Adolf Homes (Адольф Хомс)
С 1989 по 1995 год результаты Харш-Фишбахов во многом были воспроизведены исследователями из Германии Адольфом Хомсом и Фридрихом Малькхоффом. Кроме прочего, им удалось получить голоса по радио и телевидению, изображения на экране (рисунки 4.3, 4.4), телефонные звонки и текстовые сообщения через компьютер. С работами Хомса и Малькхоффа можно познакомиться в их публикациях[87][88], [89].
С 1993 по 1998 год в небольшой деревне Скоул в Норфолке, на севере Англии, была проведена серия весьма ярких и убедительных контактов с ТМ, которая получила название «Скоулзские эксперименты». В опытах участвовали медиумы Робин и Сандра Фой, Алан и Диана Беннетт, ведущие ученые и исследователи, в том числе профессора Дэвид Фонтана и Артур Эллисон, а также Монтегью Кин. За эти годы к ним присоединились и многие другие эксперты. На сеансах, проходивших в США, также присутствовали многие ученые, целый ряд ведущих специалистов космического агентства НАСА и Института ноосферных наук, а также представители Стэнфордского университета. В результате было получено большое количество уникальных результатов, в том числе физических явлений, аудио- и видеозаписей, изображений на фотопленке. Материалы данных экспериментов можно найти в книге[90] и на официальном сайте Скоулзской экспериментальной группы thescoleexperiment.com.
Seidl, Franz. Das Phaenomen der Transzendental-stimmen. // Verein für Transkommunikations-Forschung (VTF) e. V.: [сайт] – Stuttgart: Frech-Ferlag, 1971. – URL: http://www.vtf.de/seidlbrosch.shtml (дата обращения 24.01.24).
Fuller, John. Ghost of 29 megacycles. – Souvenir Press, 1985.
Юргенсон, Фридрих. Радиоконтакт с потусторонним миром. – М.: Эксмо, 2011.
Raudive, Konstantin. Breakthrough – an amazing experiment in electronic communication with the dead. Colin Smythe, Gerrards Cross. – Текст: электронный // Российская ассоциация инструментальной транскоммуникации (РАИТ). – 1971. – URL: http://itc.org.ru/books/Breakthrough.pdf (дата обращения 24.01.24).
Franz Seidl. Das Psychophon nach Ing. – Текст: электронный // Verein für Transkommunikations-Forschung (VTF) e. V.: [сайт] – URL: http://www.vtf.de/psych1.shtml (дата обращения 24.01.24).
Meek, George. A transcript of the recording SPIRICOM – Its Development & Potential. – Текст: электронный // World ITK: [сайт] – URL: http://www.worlditc.org/h_07_meek_transcript_spiri.htm (дата обращения 24.01.24).
A twist оf FATE – Spiricom or SpiriCon. – Текст: электронный // iDigital MEDIUM: [сайт] – URL: https://idigitalmedium.com/twist-fate-spiricom-spiricon (дата обращения 24.01.24).
Холбе, Райнер. Диалог с иным миром. – Текст: электронный // Российская ассоциация инструментальной транскоммуникации (РАИТ): [сайт] – URL: http://itc.org.ru/schreiber_dialog.htm (дата обращения 24.01.24).
Михеев А. В. Снимки Клауса Шрайбера. – Изображение: фото // «ВКонтакте»: [социальная сеть] – URL: https://vk.com/album-122256_202708234 (дата обращения 24.01.24).
Meek, George. Spiricom report. – Текст: электронный // World ITK: [сайт] – URL: http://www.worlditc.org/h_07_meek_spiri_000_ 007.htm (дата обращения 24.01.24).
Compiled by dr. Senkowski. Transinformations received by Adolf Homes. – Текст: электронный // World ITK: [сайт] – URL: http://www.worlditc.org/h_03_homes_tk_sonder1999_0_register.htm (дата обращения 25.01.24).
Лочер Т., Харш-Фишбах М. Прорывы в электронном общении с Тонким миром / Перевод И. Потаповой. – Текст: электронный // Российская ассоциация инструментальной транскоммуникации (РАИТ). – 2015. – URL: http://itc.org.ru/books/BreakthroughsRUS.pdf (дата обращения 25.01.24).
Шефер, Хильдегард. Мост между мирами. – Текст: электронный // Российская ассоциация инструментальной транскоммуникации (РАИТ). – СПб.: Невская перспектива, 2007. – URL: http://itc.org.ru/books/Bridge_between_worlds.doc (дата обращения 25.01.24).
Вирговски, Дитер. Мосты на тот свет. – Текст: электронный // Аномалия. – 1990. – № 4. – URL: http://itc.org.ru/bridges_to_beyond.htm (дата обращения 25.01.24).
Малькхофф, Фридрих. Обзор результатов, полученных на станции в Швайхе / Доклад на конгрессе в Сан-Паулу 16–17 августа 1997 года. – Текст: электронный // Российская ассоциация инструментальной транскоммуникации (РАИТ): [сайт] – Сан-Паулу, 1997. – URL: http://itc.org.ru/malkhoff_report.htm (дата обращения 25.01.24).
Соломон, Гранд и Джейн. Скоулзский эксперимент. Научные доказательства жизни после жизни. – Текст: электронный // Российская ассоциация инструментальной транскоммуникации (РАИТ): [сайт] – СПб.: Будущее Земли, 2004. – URL: http://itc.org.ru/books/Scole_experiment.doc (дата обращения 25.01.24).
Глава 5. Признаки голосов ИТК и доказательства их реальности
Один из ключевых вопросов, который в особенности стоял в первые годы исследований ФЭГ и ИТК – это доказательство реальности наблюдаемых явлений. Люди, не знакомые с историей и феноменологией ИТК, и по сей день спешат объявить ее «приемом случайных радиотрансляций» или «иллюзией восприятия». Однако подобные поверхностные объяснения прямо опровергаются конкретными экспериментами и практическим опытом.
В 1971 году издатель Колин Смит, непосредственно перед выходом в свет англоязычного перевода книги д-ра Константина Раудива «Прорыв», заказал проведение контрольного эксперимента в звукозаписывающей компании Pye Records, Ltd. Тест проводился в лаборатории, экранированной от звуковых и электромагнитных сигналов. После изучения магнитофонной ленты на ней тем не менее было обнаружено более двухсот голосовых сообщений. Отчет об эксперименте был опубликован в конце той же книги в качестве приложения.
В 2002 году исследователь из «Космопоиска» Влад Гуща написал скептичную и достаточно пессимистичную статью «Голоса Раудива – мистификация?»[91] Однако спустя девять лет факты и личный опыт заставили его изменить свою точку зрения. В 2011 году во вступлении к своей новой статье «Феномен электронных голосов: анализ»[92] он пишет:
«В первой части материала, изданной в 2002 году на базе серии опытов, я сделал предположение, говорящее в пользу того, что в некоторых случаях монотонные раздражители («белый шум») непременно становятся причинами неосознанного поиска речевых закономерностей, основанных на таких психофизических явлениях, как апофения и парейдолия. Однако за минувшее десятилетие нам удалось собрать достаточно убедительные доказательства того, что в отдельных случаях все же удается сделать достоверные записи загадочных голосов, отнюдь не требующих никаких усилий для их интерпретации».
В самой статье[93] отмечается:
«…Итак, если обобщить все рассматриваемые нами случаи получения записей с ФЭГ, то можно с уверенностью сказать, что данный феномен спорадически регистрируется на абсолютно любых технических средствах, обладающих программными или аппаратными возможностями записи звука. Сюда входят как самые обычные диктофоны, так и мобильные телефоны, включая видеокамеры и фотокамеры с функцией записи видео (со звуком)».
В 2004 году группа ученых и инженеров, в течение ряда лет наблюдавшая работу исследователя ИТК Марчелло Баччи в области радиоголосов, выпустила специальный отчет, с русским переводом которого можно ознакомиться на странице сайта РАИТ itc.org.ru/special_report.htm. В выводах отчета, в частности, говорится следующее:
«По общему мнению авторов отчета и других ученых, присутствовавших в качестве наблюдателей, данный эксперимент имеет исключительную важность в истории психических исследований, поскольку сохранение голосов при отсутствии радиоламп и даже после выключения лампового приемника окончательно опровергает любую возможность обмана или приема случайных радиотрансляций. Эксперимент проводился в присутствии и при участии ученых, имевших многолетний опыт как в области ИТК, так и в других областях парапсихологии. Это не оставляет места для обвинений в некорректном проведении наблюдений или в других формах экспериментальных ошибок. Результаты этого эксперимента при рассмотрении их вместе с теми, что были получены профессорами Марио Феста и Франко Санти в 2002 году, дают твердое доказательство подлинности голосов, получаемых Баччи».
Анализ голосов ИТК, принятых разными практикующими, приводится в статьях «Методика аппаратурной оценки параметров электронных голосов, полученных методом транскоммуникации»[94] и «Компьютерный анализ гипотетических „паранормальных голосов”, их обнаружение и идентификация»
