Путешествие в квантовую механику
Қосымшада ыңғайлырақҚосымшаны жүктеуге арналған QRRuStore · Samsung Galaxy Store
Huawei AppGallery · Xiaomi GetApps

автордың кітабын онлайн тегін оқу  Путешествие в квантовую механику

Игорь А. Мерзляков

Путешествие в квантовую механику






12+

Оглавление

1. Введение

Квантовая механика — фундаментальная теория, лежащая в основе нашего понимания микромира. С момента своего возникновения в начале XX века она претерпела бурное развитие, оказав влияние не только на физику, но и на химию, информационные технологии, философию и многие другие области знания. Однако, несмотря на свою математическую строгость и экспериментальную подтверждённость, квантовая механика продолжает оставаться вызовом для интуитивного восприятия, а её интерпретации порождают глубокие вопросы о природе реальности.

Цель данной книги — предложить читателю систематическое и доступное «путешествие» в мир квантовой механики, от её базовых принципов до современных приложений. Мы начнём с разбора фундаментальных концепций, таких как корпускулярно-волновой дуализм, и шаг за шагом выведем уравнение Шрёдингера — основное уравнение нерелятивистской квантовой механики. Далее мы сосредоточимся на методах его решения, как аналитических, так и численных, и исследуем, как эти решения описывают поведение частиц в различных потенциалах.

Особое внимание в книге уделяется связи математического аппарата с физической интерпретацией. Мы рассмотрим такие ключевые явления, как квантовая суперпозиция, коллапс волновой функции и квантовая запутанность, проиллюстрировав их на известных мысленных экспериментах (кот Шрёдингера) и реальных опытах (двухщелевой эксперимент).

Отдельные разделы посвящены приложениям квантовой механики в химии, где мы обсудим строение атомов и молекул, а также в информатике, где познакомимся с основами квантовых вычислений и алгоритмом Шора. В заключительных главах мы затронем вопросы, находящиеся на переднем крае науки: проблему квантовой гравитации, сверхпроводимость и перспективы создания квантовых компьютеров.

Книга написана для студентов старших курсов, аспирантов и всех, кто интересуется глубоким пониманием квантовой механики. Она предполагает знакомство читателя с основами математического анализа и линейной алгебры, но стремится минимизировать формальные сложности, делая акцент на ясности изложения и физической интуиции.

Мы надеемся, что это «путешествие» не только обогатит ваши знания, но и вдохновит на дальнейшее изучение одной из самых удивительных и красивых теорий в истории науки.


Приятного чтения!

2. О фундаментальных законах физики

Во второй главе этой работы рассматриваются две концепции, с помощью которых возможно сформулировать физические законы, предназначенные для описания окружающей действительности. Первый подход направлен на исследование дифференциальных соотношений, позволяющих обобщить широкий круг явлений и процессов. Второй подход связан с определением корреляций в заранее заданном наборе функций f1 (x1),…,fN`` (xN``). Эти функции могут быть получены путём экстраполяции частного аналитического решения того или иного дифференциального уравнения или найдены экспериментально.

Следует отметить, что достоверность любого численного метода, основанного на анализе экспериментальных данных, изначально может вызывать сомнения. Тем не менее, применяя эмпирический подход на практике, в большинстве случаев можно теоретически обосновать значительную часть наблюдаемых фундаментальных взаимодействий в линейных или линеаризованных физических системах. Далее мы начнём данный раздел с вывода одномерного нестационарного линейного уравнения Шрёдингера.

2.1 Вывод уравнения Шрёдингера

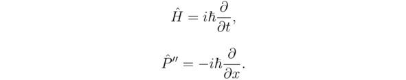
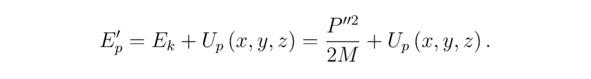
В 1924 году французский физик Луи де Бройль выдвинул гипотезу об универсальном характере корпускулярно-волнового дуализма. Согласно этой гипотезе, всякая материальная частица обладает волновыми свойствами, причём равенства (2.1) — (2.4), связывающие волновые и корпускулярные характеристики частицы (например, фермиона), аналогичны соотношениям для электромагнитного излучения. А именно, полную энергию Ep` и импульс P`` элементарной частицы возможно выразить через частоту ν и длину волны де Бройля λ соответственно:

здесь h` — постоянная Планка; k`= 2π/λ; ħ=h`/ (2*π).

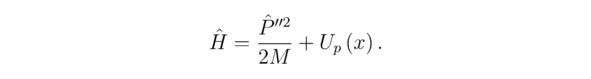
Сформулируем закон сохранения энергии для волны де Бройля. Полная энергия Ep` представляет собой сумму кинетической энергии Ek и потенциальной энергии Up (x,y,z):

Кроме того, частота ν связана с периодом T0 соотношением

а длину волны λ удобно выразить через скорость v (v= dx/dt):

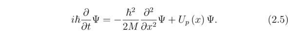
где M — масса частицы (в дальнейшем — электрона, лептона или фермиона); Up (x) — потенциальная энергия; t — время; x — координата.

Введём операторы:

Используя представленные выше формулы, найдём тождество:

Применим эти операторы к волновой функции Ψ. Итого:

Полученное выражение (2.5) называется одномерным линейным нестационарным уравнением Шрёдингера.

2.2 Эмпирический метод

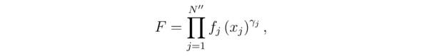
Изучая школьный курс физики, редко приходится ставить под сомнение исходные положения, на основе которых выводятся фундаментальные законы. В данном параграфе мы обобщим сведения о соотношении между некоторым физическим параметром F и набором математически независимых выражений f1 (x1),…,fN`` (xN``).

Если исходить из предположения о существовании корреляций между величиной F и функциями f1 (x1),…,fN`` (xN``), распределёнными вдоль соответствующих осей x1,…,xN``, то эти функции можно перемножать друг с другом только в случае их статистической независимости. Иными словами, изменение заранее известного аналитического решения fj (xj), полученного для некоторого дифференциального уравнения, происходит без взаимного влияния его значений fj (min (xj)),…,fj (max (xj)) на другие множители f1 (x1),…, fo (xo),…,fN`` (xN``), здесь o≠j.

Тогда величину F возможно выразить в виде алгебраического произведения

где N`` — число независимых функций f1 (x1),…,fN`` (xN``), а коэффициенты γ1,…,γN`` являются вещественными константами (+1 или -1), определяющими степень, в которую возводится каждая функция.

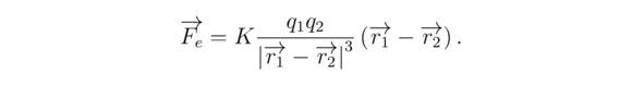
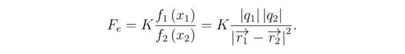
Характерным примером применения эмпирического подхода служит закон Кулона для силы электростатического взаимодействия Fe двух точечных зарядов. В этом случае можно выделить три независимых параметра:

f1 (x1) =|q1||q2| — произведение модулей зарядов;

f2 (x2) = |r1-r2| 2 — квадрат расстояния между зарядами;

K — постоянная, зависящая от выбора системы единиц.

Здесь r1 и r2 — радиус-векторы, проведённые из начала координат (0,0,0) к точкам расположения зарядов q1 и q2 соответственно.

Сила Fe прямо пропорциональна f1 (x1) (γ1=1) и обратно пропорциональна f2 (x2) (γ2=-1). Поэтому закон Кулона для двух зарядов q1, q2 принимает вид

В векторной форме это выражение записывается как

Если величины g3 (x3) и g3` (x3) оказываются взаимно зависимыми, то вместо произведения используется их сумма:

Функции g3 (x3) и g3` (x3) могут иметь более сложный вид, чем степенные выражения f1 (x1) γ1 и f2 (x2) γ2.

Заметим, что эмпирический метод не всегда позволяет описать тот или иной закон природы. В таких случаях учёные переходят к составлению дифференциальных уравнений — линейных или нелинейных. Решение нелинейных уравнений в частных производных часто представляет значительные вычислительные трудности, поскольку современные персональные компьютеры не всегда обладают достаточной производительностью для таких задач. В подобных ситуациях исследователи прибегают к использованию суперкомпьютеров.

В дальнейшем мы сосредоточимся на проблеме поиска общего аналитического решения дифференциальных уравнений с частными производными.

3. К вопросу о разрешимости дифференциальных уравнений в частных производных

Методика, рассматриваемая в третьем разделе данного пособия, позволяет численно решить практически любое дифференциальное уравнение с частными производными и исследовать эволюцию искомой величины Q`` во времени t.

3.1 Интерполяция и ряды Фурье

Представим набор заданных значений F0,…,FRx/Δx—1 как

где Δx — размер каждого из интервалов, содержащих заранее известные величины F0,…,Fk,…,FRx/Δx—1; k — индекс интервала.

Ниже приведён график одного из вариантов кусочно-линейного отображения F (x):

Рисунок 3.1. Визуализация кусочно-заданной функции F (x).

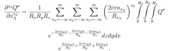
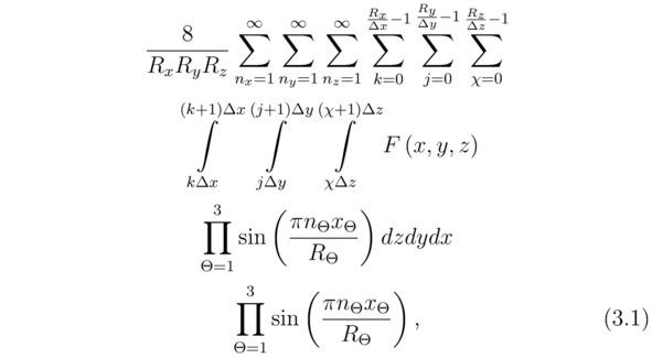
Тригонометрический ряд (3.1), построенный для совокупности всех значений F (0,0,0),…,F (Rx, Ry, Rz), распределённых на отрезках (kΔx, (k+1) Δx), (jΔy, (j+1) Δy) и (χΔz, (χ+1) Δz), принимает вид

здесь x∈ [0,Rx]; y∈ [0,Ry]; z∈ [0,Rz]; Θ — индекс, идентифицирующий координатную ось xΘ; RΘ/ΔxΘN.

3.2 Общее решение дифференциальных уравнений с частными производными

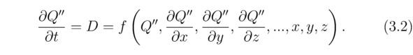
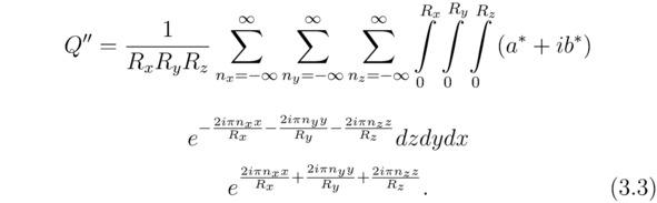
Обозначим через Q``∈C некоторое аналитическое решение произвольного дифференциального уравнения в частных производных. Выделим вещественную a*=Re (Q``) и мнимую b*=Im (Q``) части тождества Q``=a*+ib*. Для численного решения большинства дифференциальных уравнений с частными производными требуется найти закон изменения функции Q`` во времени t. Следует отметить, что излагаемая ниже теория не является единственной, однако она позволит лучше усвоить материал данной книги.

Многие параболические уравнения могут быть записаны в форме

Разложим искомое решение Q`` в ряд Фурье:

Вычислим частные производные ∂sdQ``/∂xΛsd,…, входящие в равенство (3.2):

где sd — порядок дифференцирования, а xΛ — координата.

...