автордың кітабын онлайн тегін оқу Рынок облигаций: Анализ и стратегии
Перевод А. Левинзон
Научный редактор А. Дзюра
Редактор Е. Дронова
Руководитель проекта М. Шалунова
Технический редактор А. Бохенек
Корректоры И. Васильева, Е. Дронова
Компьютерная верстка С. Соколов, Ю. Юсупова
Художник обложки М. Соколова
© Pearson Education, Inc., 2007.
All rights reserved.
© Издание на русском языке, перевод, оформление.
ООО «Альпина Бизнес Букс», 2007
© Электронное издание. ООО «Альпина», 2012
Фабоцци Ф.Д.
Рынок облигаций: Анализ и стратегии. 2-е изд., испр. и доп. / Фрэнк Дж. Фабоцци; Пер. с англ. — М.: Альпина Бизнес Букс, 2007.
ISBN 978-5-9614-2207-8
Все права защищены. Никакая часть электронного экземпляра этой книги не может быть воспроизведена в какой бы то ни было форме и какими бы то ни было средствами, включая размещение в сети Интернет и в корпоративных сетях, для частного и публичного использования без письменного разрешения владельца авторских прав.
Предисловие к русскому изданию
Уважаемые коллеги!
Изменения, происходящие на рынке, повышают уровень профессиональных требований, предъявляемых к активным участникам рынка. В настоящий момент российский рынок облигаций стремительно развивается не только количественно, за счет роста объемов, но и качественно.
Банк ЗЕНИТ был и остается одним из наиболее активных участников российского рынка fixed income, начиная с самых первых дней его становления. Мимо нас не прошли ни эйфория на рынке ГКО в середине 90-х, ни печальный опыт дефолта в 1998, ни первые робкие попытки российских эмитентов восстановить доверие инвесторов и выйти на публичный долговой рынок в 1999–2000 годах. Все это время рынок рос, изменялся и взрослел. И вместе с рынком (а иногда и опережая) рос и профессионально развивался коллектив нашего Банка.
В настоящий момент, на наш взгляд, можно утверждать, что российский рынок, как самостоятельный сегмент мирового рынка, состоялся. Более того, в 2000-е годы наблюдается наиболее быстрый рывок в его развитии. Рынок применяет новые, сложно структурированные инструменты. За счет внедрения новых технологий и совершенствования законодательства происходит эволюция рынка облигаций к рынку инструментов с фиксированной доходностью. СLN, LPN, СDO, производные инструменты, ипотечные и залоговые облигации — все это становится неотъемлемой частью рынка.
Следовательно, все более востребованным становится серьезное специализированное образование, понимание не только сиюминутных тенденций, но глубоких фундаментальных сил, влияющих на рынок. В условиях высокой конкуренции процесс самообразования становится неотъемлемой частью жизни любого профессионала, а изучение специальной литературы — одним из обязательных атрибутов современной бизнес-культуры.
Мы сочли необходимым принять участие в совместном проекте с издательством Альпина Бизнес Букс по выпуску новой дополненной редакции монографии Фрэнка Дж. Фабоцци «Рынок Облигаций: Анализ и Стратегии». Доктор Ф. Фабоцци — один из самых авторитетных специалистов в мире в области финансового анализа, структурных продуктов и инструментов с фиксированной доходностью, адъюнкт-профессор Школы менеджмента Йельского университета и редактор Journal of Portfolio Management. Помимо активного участия в исследовательской и публицистической деятельности, Ф. Фабоцци является активным участником фондового рынка и входит в совет директоров ряда инвестиционных фондов. Это послужило для нас мотивом выбора работы Ф. Фабоцци в качестве книги, которая может стать прекрасным подарком, как для профессионалов рынка — портфельных менеджеров, трейдеров, аналитиков, так и для тех, кто только начинает свою карьеру в сфере fixed income.
Мы уверены, что эта книга способна дать широкому кругу читателей возможность развиваться «быстрее рынка», осваивая известные на Западе, и постепенно находящие все более широкое применение на российском рынке разнообразные финансовые инструменты.
Роман Викторович Пивков,
начальник инвестиционного департамента ОАО Банк ЗЕНИТ
Предисловие
Первое издание книги Bond Markets, Analysis and Strategies (Рынок облигаций: анализ и стратегии) было опубликовано в 1989 году. Цель книги — описание финансовых инструментов облигационного рынка, аналитических методов оценки облигаций и их чувствительности к изменениям процентных ставок, а также портфельных стратегий, отвечающих различным инвестиционным целям. В последующих трех изданиях и в настоящем издании каждая тема, затронутая в первом издании, была уточнена и дополнена. В части книги, посвященной финансовым инструментам, дополнения в основном касались новых видов ипотечных ценных бумаг, а также ценных бумаг, обеспеченных активами. В части аналитических методов был дополнен материал, посвященный оценке облигаций со встроенными опционами, а также методам определения риска процентных ставок для сложных финансовых инструментов. В каждом издании также был уточнен и дополнен материал, посвященный стратегиям достижения определенных инвестиционных целей, особенно с использованием производных инструментов.
В новом издании были учтены пожелания и замечания читателей и преподавателей высших учебных заведений, использующих книгу в своих курсах. Кроме того, в работе над книгой оказались весьма полезными многочисленные беседы с управляющими портфелями и аналитиками и мой опыт в качестве консультанта и члена совета директоров нескольких фондов. Новый материал перед включением в книгу «обкатывался» на различных презентациях для групп институциональных инвесторов в разных странах, а также в курсе по рынку фиксированного дохода, который я читаю в Йельской Школе менеджмента.
Я уверен, что шестое издание, продолжая традицию пяти предыдущих, снабдит читателя самой свежей информацией о рынке облигаций и инструментах управления портфелем облигаций.
ДОБАВЛЕНО В ШЕСТОЕ ИЗДАНИЕ
• Три новые главы:
• Модели процентных ставок (Глава 16)
• Анализ кредитного качества корпоративных облигаций (Глава 20)
• Моделирование кредитного риска (Глава 21)
• Доработан и добавлен материал в главы:
• Ценные бумаги, обеспеченные активами (Глава 14)
• Сквозные ипотечные ценные бумаги (Глава 11) — содержит подробное описание моделирования досрочного погашения
• Производные кредитные инструменты (Глава 29) — рассматривает единичный дефолтный своп и дефолтный своп индекса.
С сайта издательства «Альпина Бизнес Букс» (www.alpina.ru) можно скачать дополнительные приложения к Главе 20 «Анализ кредитного качества корпоративных облигаций» с реальными примерами.
ДЛЯ ПРЕПОДАВАТЕЛЕЙ
Для преподавателей доступны дополнительные ресурсы. Для получения информации обращайтесь на сайт www.prenhall.com/fabozzi.
Центр ресурсов для преподавателей (IRC)
Зарегистрируйтесь. Получите логин и пароль для доступа к дополнительным материалам.
С сайта Центра ресурсов для преподавателей (www.prenhall.com/irc) можно скачать дополнительные материалы для занятий.
Помощь
Технические специалисты (http://247prenhall.com) готовы ответить на вопросы по загрузке медиаприложений к данной книге.
БЛАГОДАРНОСТИ
Я благодарен Орену Чейетту и Алексу Левину, просмотревшим и прокомментировавшим главу 16, и Тиму Бэкшеллу за его комментарии к главе 21. Некоторые из материалов главы 20 я почерпнул из работы с Джейн Хауи.
Я благодарю компанию Wachovia Securities за то, что она позволила мне включить в качестве Приложения А к главе 20 отчет об исследовании, составленный Эриком Селом и Стефани Ренегар, а также Мартина Фридсона, позволившего включить в качестве Приложения В к той же главе рекомендации «дорого/дешево» из своих еженедельных публикаций Leverage World. Дональд Смит (Boston University) указал на ошибку в оценке нижних и верхних границ процентной ставки, допущенную в предыдущем издании. Я благодарен ему за то, что он нашел время указать на ошибку и сообщить правильный метод.
Я глубоко признателен коллегам, поделившимся со мной своими идеями относительно материала, составляющего содержание данной книги: Марку Энсону (British Telecommunications Pension Scheme and Hermes Pensions Management Ltd.), Уильяму Берлинеру (Countrywide Securities), Ананду Бхаттачарья (Countrywide Securities), Джону Карлсону (Fidelity Management and Research), Мураду Чаудри (KBC Financial Products), Дуайту Черчиллю (Fidelity Management and Research), Сильвэну Фелдстайну (Guardian Life), Майклу Ферри (George Mason University), Серджио Фокарди (The Intertek Group), Лори Гудман (UBS), Дэвиду Горовицу (Morgan Stanley), Фрэнку Джоунзу (San Jose State University), Эндрю Кэлотэю (Andrew Kalotay Associates), Драгомиру Кржину (Morgan Stanley), Мартину Лейбовицу (Morgan Stanley), Джеку Мэлви (Lehman Brothers), Стивену Манну (University of South Carolina), Лайонелу Мартеллини (EDHEC), Яну Мэйлу (TIPS), Уильяму Маклелланду, Кристиану Мену (Cornell University), Эду Мерфи (Merchants Mutual Insurance), Уизли Фоа (The Capital Group Companies), Марку Питтсу (White Oak Capital Management), Филиппу Приоле (HSBC and University of Evry Val d’Essonne), Скотту Ричарду (Morgan Stanley), Рону Риану (Ryan ALM), Ричарду Уилсону, Дэвиду Юэну (Franklin Advisors), Полу Жао (TIAA-CREF) и Ю Шу (China Europe International Business School and Fore Research & Management).
Я также получил много чрезвычайно полезных отзывов о книге от моих коллег из академической среды и хотел бы особенно поблагодарить за помощь при подготовке предыдущих изданий:
Сенай Агса (George Washington University);
Майкла Дж. Алдерсона (St.Louis University);
Джона Эдмундса (Babson College);
Р. Филиппа Джилса (Columbia University);
Мартина Хо (Columbia University);
Дебору Лукас (Northwestern University);
Давиндера К. Малхотру (Philadelphia University);
Джона Х. Спитцера (University of Iowa);
Джоэла М. Вандена (Dartmouth College);
Расселла Р. Вермера (University of Colorado at Boulder);
Ксиаокуинг Элеонор Ксу (Seton Hall University).
ОБРАТНАЯ СВЯЗЬ
Автор будет рад получить от Вас мнение о книге. Вы можете отправить свой отзыв по адресу college_finance@prenhall.com. В теме сообщения укажите «Feedback about Fabozzi 6e».
Глава
1
ВВЕДЕНИЕ
В этой главе читателю будут представлены сведения:
• о фундаментальных характеристиках облигаций;
• о типах эмитентов;
• о сроках погашения облигаций и их значимости;
• о ценных бумагах с фиксированной и плавающей ставкой;
• об облигациях с встроенными опционами и влиянии встроенных опционов на денежный поток облигаций;
• о типах встроенных опционов;
• о конвертируемых облигациях;
• о видах рисков, которым подвергается инвестор, осуществляющий вложения в ценные бумаги с фиксированным доходом;
• о вторичном рыноке облигаций;
• о некоторых способах классификации финансовых инноваций.
Облигация — это долговой инструмент, обязывающий эмитента (называемого также должником или заемщиком) в течение установленного промежутка времени выплатить кредитору/инвестору взятую взаймы сумму плюс процент. Для типичного («plain vanilla» — «без затей») облигационного выпуска США устанавливаются: 1) фиксированная дата возврата долга (номинала) и 2) установленный размер процентных выплат, осуществляемых, как правило, раз в полгода. Дата, определенная для возврата номинала, носит название даты погашения. Если эмитент не объявил дефолт или не погасил выпуск раньше, чем предполагалось, инвестору, планирующему держать облигацию до даты погашения, обеспечен заранее известный денежный поток.
Целый ряд причин (подробнее о них речь пойдет далее в этой главе) обусловил в 1980-х — 1990-х годах развитие многочисленных структур облигационных займов. В частности, существенные изменения претерпел рынок ипотечного кредитования, на котором появились неизвестные ранее типы облигаций. В настоящее время заметно расширилась практика слияния индивидуальных ипотечных кредитов для образования особого рода ценных бумаг с фиксированным доходом. Используя базовые инструменты рынка ипотечного кредитования, эмитенты создают разнообразные деривативы, удовлетворяющие нуждам широкого круга институциональных инвесторов. Среди производных инструментов подобного рода особой популярностью пользуются долговые обязательства, обеспеченные ипотеками, а также стрипы данных ценных бумаг.
СЕКТОРЫ РЫНКА ОБЛИГАЦИЙ США
Американский рынок облигаций — это крупнейший мировой рынок ценных бумаг с фиксированным доходом. Его принято делить на шесть секторов: сектор казначейских облигаций США, сектор правительственных агентств[1], муниципальный сектор, корпоративный сектор, сектор ценных бумаг, обеспеченных активами, и, наконец, сектор ипотечного кредитования. Сектор казначейских облигаций включает ценные бумаги, выпущенные правительством США. Это казначейские векселя, ноты и облигации. Казначейство США — крупнейший мировой эмитент ценных бумаг. Данный сектор исполняет ключевую роль в оценке облигаций и установлении процентных ставок по всему миру.
Сектор правительственных агентств включает ценные бумаги, выпущенные организациями, имеющими федеральный статус, а также предприятиями, получающими спонсорскую помощь от государства. Разница между двумя типами эмитентов описана в главе 6. Ценные бумаги такого рода не обеспечены каким-либо залогом — они носят название необеспеченных облигаций правительственных агентств (agency debenture securities). Данный сектор является наименьшим на рынке облигаций.
Муниципальный сектор служит для привлечения денежных средств в бюджет правительств штатов и местных органов власти. Два наиболее значимых сектора внутри данной категории облигаций — сектор необеспеченных облигаций и сектор облигаций, обеспеченных бюджетными поступлениями. Облигации, принадлежащие муниципальному сектору, как правило, освобождены от федеральных налогов на прибыль. Соответственно, муниципальный сектор принято также называть безналоговым.
Корпоративный сектор включает ценные бумаги, выпущенные американскими корпорациями, а также неамериканскими корпорациями в США. Ценные бумаги второго типа принято именовать «янки-бонды» (Yankee bonds). На корпоративном рынке эмитенты выпускают облигации, среднесрочные ноты, структурированные ноты и коммерческие бумаги. Корпоративный (коммерческий) сектор поделен на сферы инвестиционного класса и неинвестиционного класса. Часть индексов, оценивающих рынок облигаций в целом (все они представлены в этой книге), называют коммерческий сектор «кредитным сектором».
Альтернативой корпоративному сектору, цель которого — сбор средств на нужды коммерческих предприятий, является сектор ценных бумаг, обеспеченных активами. В данном секторе корпоративный эмитент объединяет в пул выданные им самим кредиты или свою дебиторскую задолженность и использует эти пулы активов в качестве обеспечения для выпуска облигаций. Типы ценных бумаг, обеспеченных активами, подробно описаны в главе 14.
Сектор ипотечного кредитования — это ценные бумаги, обеспеченные ипотеками. Ипотечные кредиты могут быть взяты частными лицами на покупку жилья или юридическими лицами на приобретение коммерческой недвижимости (т.е. недвижимости, генерирующей доход). Таким образом, сфера ипотечного кредитования поделена на два сектора, а именно: сектор жилищного ипотечного кредитования и сектор коммерческого ипотечного кредитования. Организации, занятые составлением классификаций секторов рынка облигаций, дают различные дефиниции сектора ипотечного кредитования жилья. Так, создатели индексов облигаций включают в сектор жилищного ипотечного кредитования только обеспеченные ипотечными пулами ценные бумаги, выпущенные организациями, имеющими федеральный статус, или предприятиями, получающими финансовую помощь от государства. Ценные бумаги, обеспеченные ипотеками на приобретение жилья, эмитентами которых являются корпорации, специалисты часто относят к группе ценных бумаг, обеспеченных активами. Жилищное ипотечное кредитование и ценные бумаги, обеспеченные этими ипотеками, обсуждаются в главах 11 и 12. Коммерческое ипотечное кредитование и ценные бумаги, обеспеченные коммерческими ипотеками, составляют тему главы 13.
Неамериканский рынок облигаций включает рынок евробондов и национальные рынки облигаций. Речь о них пойдет в главе 9.
ОСНОВНЫЕ ХАРАКТЕРИСТИКИ ОБЛИГАЦИЙ
Предлагаем читателю обзор наиболее существенных из присущих облигациям черт. Более подробное описание каждой из характеристик можно найти в тексте последующих глав. Тип обязательств, принимаемых на себя эмитентом, закрепляется в контракте (indenture), который заключают между собой сторона, выпускающая облигации, и держатель ценной бумаги.
Типы эмитетов
Свойства каждой облигации определяются, в первую очередь, типом ее эмитента. Эмитенты облигаций делятся на три группы: федеральное правительство и его агентства, муниципальные органы власти, а также корпорации (американские и иностранные). Внутри муниципального и корпоративного рынков различают множество более мелких подгрупп, каждая из которых обладает характерными свойствами, позволяющими ей особым образом исполнять обязательства перед кредиторами.
Срок до погашения
Сроком до погашения принято называть число лет, в течение которых эмитент обязался исполнять закрепленные контрактом требования. Датой погашения считается день, в который долг перестает существовать, т.е. дата, установленная для выкупа облигации путем выплаты ее номинальной стоимости. На рынке облигаций срок до погашения принято называть просто длительностью (maturity) облигации или ее сроком (term). Мы покажем в дальнейшем, что контракт может включать положения, позволяющие либо эмитенту, либо держателю облигации менять ее длительность.
Облигации, срок до погашения которых варьирует в промежутке от одного до пяти лет, считаются краткосрочными. Облигации с длительностью от 5 до 12 лет называются среднесрочными, и наконец, облигации, срок до погашения которых превышает 12 лет, носят название долгосрочных.
Срок до погашения имеет первостепенную важность при оценке любой облигации. Во-первых, он ограничивает временной период, в течение которого держатель предполагает получать купонные выплаты, и обозначает число лет, оставшееся до полного возвращения долга. Во-вторых, доходность облигации напрямую зависит от ее длительности. В главе 5 приводится кривая доходности, наглядно демонстрирующая связь этих двух параметров. И наконец, изменения доходности, происходящие в течение срока жизни облигации, заставляют колебаться ее цену. В главе 4 подробно рассказано о том, какое влияние на волатильность цены оказывает срок до погашения. Заметим, что при прочих равных, чем больше длительность облигации, тем больше волатильность ее цены, обусловленная изменением рыночных доходностей.
Номинальная стоимость и купонная ставка
Номинальная стоимость (или попросту номинал) облигации — это сумма, которую эмитент обязуется выплатить держателю облигации в день погашения. Это количество денег называется иногда основным долгом или лицевой стоимостью.
Купонная ставка, известная также как номинальная ставка, представляет собой процентную ставку, которую ежегодно обязуется выплачивать эмитент. Ежегодная сумма процентных выплат, получаемых владельцем облигации в течение срока ее жизни, носит название купона. Купонная ставка, помноженная на номинал, дает размер купона в денежной форме. Скажем, облигация с купонной ставкой, равной 8%, и номинальной стоимостью $1000, обеспечит держателю ежегодные процентные выплаты в размере $80. В Соединенных Штатах и Японии широко распространена практика выплат купона двумя порциями раз в шесть месяцев. Облигации, выпущенные на некоторых европейских рынках, предполагают осуществление выплаты раз в год.
Заметим, что периодические купонные выплаты присущи всем типам облигаций, кроме одного. Держатель облигации с нулевым купоном получает свой «процент» за счет покупки облигации по цене более низкой, чем ее номинальная стоимость. «Процент» выплачивается в этом случае в момент погашения: его размер равен разнице между номиналом и ценой, по которой облигация была приобретена. Причины, побуждающие эмитентов выпускать облигации с нулевым купоном, объясняются в главе 3.
Облигации с плавающей ставкой — это облигационные выпуски, купонная ставка которых периодически (в назначенную дату) пересчитывается в соответствии с установленной формулой. Используемая формула носит название формулы перерасчета купона и выглядит следующим образом:
референсная ставка + котируемый спред.
Под референсной ставкой здесь подразумевается доходность определенного финансового инструмента или рынка. Котируемый спред — это дополнительная процентная ставка, которую эмитент согласен выплачивать вдобавок к референсной ставке. Допустим, например, что в качестве референсной была выбрана месячная ставка предложения лондонского межбанковского рынка (LIBOR) — процентная ставка, свойства которой мы подробнее опишем в следующих главах. Допустим также, что котируемый спред составляет 150 базисных пунктов. Подставим указанные значения в формулу перерасчета купона:
месячная LIBOR + 150 базисных пунктов.
Таким образом, если в дату перерасчета купона месячная LIBOR равна 3,5%, купонная ставка на этот период составит 5,0%.
Референсной ставкой для большинства ценных бумаг с плавающими купонными ставками является процентная ставка или индекс процентных ставок. Существует, однако, несколько облигационных выпусков, сконструированных иначе. Референсной ставкой для них является определенный финансовый индекс, скажем Standard & Poor’s 500, или нефинансовый индекс, такой как цена на товар. Методы финансового инжиниринга позволяют эмитенту структурировать ценные бумаги с плавающими ставками на основе референсных ставок самых разных видов. В ряде стран существуют облигации, купонная формула для которых привязана к индексу инфляции.
Купонные ставки облигаций с плавающим купоном, привязанным к процентным ставкам, как правило, растут с ростом выбранного в качестве эталона инструмента или рынка и падают, если такой инструмент или рынок падают. Между тем существуют облигации, купонные ставки которых движутся в направлении, обратном направлению движения процентных ставок, принятых в качестве референсных. Такие облигации получили название облигаций с обратными плавающими купонными ставками.
В 1980-х годах на рынке высокодоходных (бросовых) облигаций появились новые структуры, позволившие изменить привычный порядок осуществления купонных платежей. Одной из причин возникновения новых форм стали жесткие ограничения денежных потоков, дававшие себя знать в ходе поглощений компаний с помощью привлечения заимствованных средств или рекапитализаций, финансируемых за счет выпуска высокодоходных облигаций, требующих затем обременительных процентных выплат. Для ослабления нежелательного эффекта корпорации, вовлеченные в описанные процессы, начали выпуск облигаций с отсроченными купонными платежами — финансовый инструмент, позволяющий эмитенту в течение некоторого количества лет не тратить наличные средства на выплату процентов. Существует три типа структур, предполагающих отсрочку платежей: 1) облигации с отсроченными купонными платежами; 2) облигации с повышающимся купоном и 3) облигации с выплатой натурой. Еще одна распространенная на рынке высокодоходных облигаций структура предполагает перерасчет купонной ставки, совершаемый таким образом, чтобы облигация торговалась по установленной цене. Структуры облигаций с высокой доходностью составляют предмет главы 7.
Купонная ставка указывает не только на размер купонных платежей, которые держатель рассчитывает получать в течение срока до погашения облигации, — она обозначает также степень влияния на цену облигации изменений процентных ставок. Как явствует из материалов главы 4, при прочих равных более высокая купонная ставка предполагает меньшую зависимость цены от изменения рыночной доходности. Таким образом, купонная ставка оказывает на волатильность цены облигации действие, обратное действию длительности.
Амотизация
Выплата номинальной стоимости облигационного выпуска может осуществляться одним из двух способов: либо целиком в дату погашения, либо по частям в течение жизни облигации. Во втором случае предполагается существование графика выплат основного долга. Такой график получил название графика амортизации. Некоторые виды кредитов, например кредиты на покупку автомобилей и жилья для частных лиц, также имеют график амортизации основного долга.
Далее в книге будут подробно описаны ценные бумаги, созданные на основе кредитов, имеющих график амортизации. Ценные бумаги с графиком периодических выплат номинала принято называть амортизируемыми ценными бумагами. Ценные бумаги, не имеющие графика периодических выплат номинальной стоимости, называют неамортизируемыми.
Длительность облигации в случае амортизируемой ценной бумаги не является значимым параметром, поскольку дата погашения всего лишь указывает на момент последней выплаты части номинала. Возвращение долга производится в течение всего срока жизни такой облигации. Именно поэтому к амортизируемым ценным бумагам применяется особая мера, получившая название средневзвешенной продолжительности жизни или просто средней продолжительности жизни. Формула подсчета данной величины будет приведена ниже, после того как читатель познакомится с двумя основными типами амортизируемых ценных бумаг: ценными бумагами, обеспеченными ипотеками, и ценными бумагами, обеспеченными активами.
Встроенные опционы
Выпуск облигации нередко сопровождают записанные в контракте положения, дающие держателю и/или эмитенту возможность (option — выбор, право выбора) совершать действия, противоречащие интересам другой стороны. Наиболее распространенный тип опционов, встроенных в облигации, — колл-опционы. Они позволяют эмитенту полностью или частично вернуть долг до момента, обозначенного датой погашения. Колл-опцион дает стороне, выпустившей облигацию, возможность заменить старый выпуск новым, с более низкими купонными ставками, — право, которым эмитенту выгодно воспользоваться в случае падения процентных ставок на рынке. Колл-опцион позволяет эмитенту с выгодой для себя изменить дату погашения облигации. Как будет показано ниже, опцион такого рода крайне невыгоден держателю облигации.
Право отзыва (выкупа) долга действительно для большинства кредитов и, соответственно, большинства ценных бумаг, созданных на основе таких кредитов. Напомним, что заемщику, как правило, разрешено отдать долг — целиком или частично — в любое удобное для него время до даты погашения. Таким образом, заемщик имеет право по своему усмотрению менять график амортизации амортизируемых ценных бумаг.
Облигационный выпуск может также быть снабжен положением, позволяющим держателю менять длительность облигации. Облигация с встроенным пут-опционом гарантирует инвестору право продажи ценной бумаги эмитенту по номинальной стоимости в указанную дату. Такое право выгодно кредитору, поскольку в ситуации повышения процентных ставок на рынке и соответствующего уменьшения цены данной облигации, он может заставить эмитента выкупить облигацию по номиналу.
Конвертируемой облигацией называют облигацию, дающую держателю право обменять ее на указанное число обыкновенных акций, что позволяет инвестору извлекать выгоду из благоприятного движения цен на акции эмитента. Облигация, подлежащая обмену, может быть обменена держателем на указанное число акций корпорации, не являющейся эмитентом. Этот тип облигаций описан в главе 19.
Часть облигационных выпусков предусматривает для эмитента или держателя право выбора валюты, в которой будет осуществляться поступление денежного потока от облигации. Этот опцион позволяет стороне, наделенной правом выбора, получить выгоду от благоприятного движения обменных курсов валют. Облигации данного типа описаны в главе 9.
Существование встроенных опционов заметно усложняет оценку облигации. Инвестору следует иметь представление о базовых принципах оценки опционов. Речь о них пойдет в главе 17 (облигации со встроенными колл- и пут-опционами) и главе 18 (облигации, обеспеченные ипотеками, и облигации, обеспеченные активами). Оценить облигацию со встроенным опционом бывает особенно трудно в случае, когда одна облигация связана с несколькими опционными правами. Скажем, облигационный выпуск может включать колл-опцион, пут-опцион и в то же время быть конвертируемым — характеристики, значение которых варьирует в зависимости от типа инвестиционного сценария.
РИСКИ, СВЯЗАННЫЕ С ИНВЕСТИЦИЯМИ В ОБЛИГАЦИИ
Совершая вложения в облигации, инвестор подвергает свой капитал одному или нескольким из перечисленных ниже типов риска: 1) риск, связанный с процентными ставками; 2) риск, связанный с реинвестициями; 3) риск, связанный с колл-опционом; 4) кредитный риск; 5) риск инфляции; 6) риск, связанный с курсами валют; 7) риск ликвидности; 8) риск волатильности и 9) риск риска. Ниже приведен краткий обзор каждого из видов риска (более подробное описание содержится в одной из следующих глав). В тексте книги читатель найдет также информацию о других типах риска, скажем, риске кривой доходности, событийном риске и налоговом риске.
Риск, связанный с процентными ставками
Цена типичной облигации будет двигаться в направлении, противоположном движению процентных ставок: рост процентных ставок обусловливает падение цены облигации; при падении процентных ставок цена на облигацию растет. Данное свойство облигации проиллюстрировано нами в главе 2. Если инвестор вынужден продать облигацию раньше даты ее погашения, рост процентных ставок приведет к фиксации убытка (продажа облигации будет совершена по цене более низкой, чем цена покупки). Такой тип риска принято обозначать как риск процентных ставок или рыночный риск. Рыночный риск — основной вид риска, связанный с инвестициями в рынок облигаций.
Мы уже отмечали, что чувствительность цены каждого конкретного выпуска к изменениям рыночных процентных ставок зависит от параметров облигации, а именно ее купона и длительности. Немаловажную роль в установлении степени риска играют также опционы (пут и колл), поскольку, как будет ясно из дальнейшего, движение процентных ставок на рынке может вызвать исполнение таких опционов.
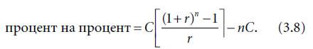
Доход от реинвестиций и риск, связанный с реинвестициями
В главе 3 мы покажем, что вычисление доходности облигации проводится исходя из предположения о том, что получаемый денежный поток реинвестируется. Доход, приносимый реинвестициями (его принято называть процент на процент), зависит как от преобладающего на рынке в момент реинвестиции уровня процентных ставок, так и от самой стратегии реинвестирования. Колебание реинвестиционных ставок, связанное с изменением процентных ставок, носит название риска реинвестиций: инвестор рискует реинвестировать промежуточный денежный поток по более низким процентным ставкам. Риск реинвестиций более высок для долгосрочных облигаций, равно как и для облигаций с крупным промежуточным денежным потоком, т.е. для облигаций с высокими купонными ставками. Более детально этот тип риска рассмотрен в главе 3.
Следует заметить, что риск процентных ставок и риск реинвестиций, в принципе, способны сбалансировать друг друга. Риск процентных ставок — это риск роста процентных ставок, ведущий к понижению цен на облигации. Напротив, риск реинвестиций — это риск падения процентных ставок. Стратегия, основанная на эффекте взаимовлияния двух показателей, носит название иммунизации (ее описание читатель найдет в главе 24).
Риск, связанный с колл-опционом
Мы уже писали о том, что облигационный контракт может давать эмитенту возможность погасить (call — отозвать) весь выпуск или его часть раньше, чем истечет установленный срок жизни облигации. Это право нужно эмитенту для обеспечения гибкого рефинансирования облигаций в условиях, когда процентные ставки начнут падать и опустятся ниже уровня купонной ставки.
С точки зрения инвестора, колл-опцион неудобен в нескольких отношениях. Во-первых, кредитор не может заранее точно установить величину денежного потока, который принесет ему облигация со встроенным колл-опционом. Во-вторых, поскольку эмитент погасит выпуск в момент, когда процентные ставки упадут, капиталу инвестора грозит риск реинвестиций (инвестор вынужден будет реинвестировать полученную сумму по более низким ставкам). И наконец, потенциальный прирост капитала держателя такой облигации может быть невелик, так как цена облигации со встроенным колл-опционом часто не поднимается выше цены колл-опциона (причины этого объяснены в главе 17).
Несмотря на то что риск, связанный с колл-опционом, как правило, компенсируется более низкой ценой облигации или более высокой ее доходностью, инвестору не всегда легко определить, насколько размер компенсации удовлетворителен. В любом случае, прибыль от облигации со встроенным колл-опционом может разительно отличаться от обычной облигации со сходными прочими характеристиками. Размер риска зависит как от различных параметров колл-соглашения, так и от ситуации на рынке. Риск, связанный с колл-опционами, настолько существенно влияет на организацию стратегии управления портфелем, что многие участники рынка склонны видеть в нем второй по значению риск, уступающий только риску процентных ставок. Техники анализа облигаций со встроенными колл-опционами приводятся в главе 17.
Кредитный риск
Кредитный риск принято определять как риск невыполнения эмитентом взятых на себя при выпуске облигации обязательств своевременной выплаты процента и полного возвращения долга. Данная форма кредитного риска получила название риска дефолта. Участники рынка определяют степень риска дефолта данной облигации, сверяясь с кредитными, или дефолтными, рейтингами, присвоенными облигации рейтинговыми компаниями — Standard & Poor’s, Moody’s или Fitch. Рейтинговые системы этих компаний (называемых также рейтинговыми агентствами) мы описываем в главах 7 и 20.
Кредитный риск, которому подвергает свой капитал инвестор, делающий вложения в облигации, не ограничивается риском дефолта. Даже если эмитенту не грозит дефолт, инвестора подстерегает опасность сделать вложения в ценные бумаги, рыночная стоимость которых упадет и/или цена окажется более низкой по сравнению с другим видом облигаций. Доходность облигационного выпуска складывается из двух параметров: 1) доходность казначейских облигаций аналогичной длительности и 2) премия, компенсирующая риски, нехарактерные для казначейских облигаций, — величина, называемая спредом. Часть премии за риск или часть спреда, получаемая инвестором как компенсация риска дефолта, получила название кредитного спреда.
Изменение цены неказначейского долгового обязательства и приносимая им прибыль на некотором инвестиционном горизонте зависит, в частности, от того, как меняется кредитный спред облигации. Если кредитный спред растет (инвесторы говорят, что он «расширяется»), рыночная цена облигационного выпуска падает. Риск, связанный с падением цены на облигацию, вызванным ростом кредитного спреда, принято называть риском кредитного спреда. Данный риск характерен для отдельных облигационных выпусков, для выпусков облигаций в определенной индустрии или экономическом секторе, а также для всех облигаций, эмитентом которых не является Казначейство США.
Установив кредитный рейтинг облигации, рейтинговое агентство проводит мониторинг кредитного качества эмитента, чтобы при необходимости изменить кредитный рейтинг. Улучшение кредитных показателей эмитента приводит к присвоению более престижного рейтинга — происходит так называемое повышение рейтинга; ухудшение кредитного качества приводит к более низкой рейтинговой оценке — рейтинг падает. Непредвиденное падение рейтинга эмитента или облигационного выпуска увеличивает рыночный кредитный спред, приводя к падению цен на данное долговое обязательство. Данный риск носит название риска снижения рейтинга.
Кредитный риск, таким образом, включает три основных компонента: риск дефолта, риск кредитного спреда и риск снижения рейтинга.
Риск инфляции
Риск инфляции, или риск покупательной способности, возникает в связи с возможностью изменения стоимости денежного потока, поступающего от вложений в ценную бумагу, т.е. в связи с возможностью инфляции, рассматриваемой в категориях покупательной способности. Скажем, инвестор приобретает облигацию, приносящую доходность в размере 7%. Если при этом уровень инфляции равен 8%, то покупательная способность денежного потока снижается. Риск инфляции значим для всех облигаций, кроме облигаций с плавающей купонной ставкой: только для них процентные ставки, устанавливаемые эмитентом, не фиксируются раз и навсегда для всего срока жизни облигационного выпуска. Облигации с плавающей ставкой в меньшей степени подвержены риску инфляции при условии, что изменение их купонной ставки отражает предполагаемое изменение инфляции.
Риск, связанный с курсами валют
Облигации, деноминированные не в американских долларах (т.е. облигации, выплаты по которым производятся в иностранной валюте), приносят инвестору денежный поток, размер которого в долларах заранее неизвестен. Долларовая величина денежного потока зависит от курса валюты в момент осуществления платежа. Допустим, например, что инвестор приобрел облигацию, выплаты по которой производятся в японских иенах. Если иена упадет по отношению к доллару, сумма в долларах окажется меньше. Риск подобного нежелательного события носит название риска курсов валют или валютного риска. Очевидно, что рост иены относительно доллара США позволит инвестору получить бóльшую сумму в долларах.
Риск ликвидности
Риск рыночной ликвидности зависит от того, насколько легко будет инвестору продать облигацию по цене, близкой к ее справедливой стоимости. Основная мера ликвидности — это величина котируемого дилером спреда между ценой предложения и ценой спроса. Чем больше дилерский спред, тем выше риск ликвидности. Для индивидуального инвестора, планирующего держать акцию до погашения и имеющего возможность осуществить свое намерение, риск ликвидности не имеет значения. Напротив, институциональным инвесторам периодически приходится переоценивать свои позиции по рынку. Переоценивать позицию по рынку — значит определять рыночную стоимость каждой облигации в портфеле. Получить цену, соответствующую справедливой стоимости, портфельный менеджер может только в ситуации, когда облигация торгуется достаточно активно.
Риск волатильности
В главе 17 мы покажем, что на цены облигаций с определенного рода встроенными опционами влияют как уровень процентных ставок, так и факторы, определяющие стоимость самих опционов. Один из таких факторов — ожидаемая волатильность процентных ставок. Так, стоимость опциона растет, если повышается ожидаемая волатильность процентных ставок. В случае облигации со встроенным колл-опционом или облигации, обеспеченной ипотеками, цена облигации с ростом цены опциона падает. Риск негативного воздействия изменения волатильности процентных ставок на цену облигации принято называть риском волатильности.
Риск риска
На рынке облигаций постоянно появляются новые финансовые инструменты. К сожалению, далеко не все управляющие портфелями имеют ясное представление о характерных для многих инноваций соотношениях риск/прибыль. Риск риска возникает в случае, когда инвестору неизвестны степень и характер риска, связанного с вложением в данные ценные бумаги. Отчеты о финансовых скандалах пестрят признаниями портфельных менеджеров и членов советов директоров, заявляющих, что «они понятия не имели, что такое возможно». Несмотря на то что ни управляющий портфелем, ни даже член совета директоров не в состоянии предсказать будущее, им, безусловно, должны быть заранее известны возможные последствия принятых инвестиционных решений.
Риск риска может быть уменьшен или упразднен двумя способами. Первый путь — изучать современную специальную литературу, посвященную описанию методов анализа ценных бумаг. Чтение этой книги — первый шаг в нужном направлении. Второй способ — избегать ценных бумаг, внутренняя структура которых вам неясна. К сожалению, в наши дни наиболее интересные инвестиционные стратегии и наибольшая прибыль связаны именно с использованием сложных финансовых инструментов, а это значит, что инвестору выгоднее двигаться по первому пути.
ВТОРИЧНЫЙ РЫНОК ОБЛИГАЦИЙ
Вторичным рынком называют рынок, где торгуются уже выпущенные ценные бумаги. Вторичная торговля обыкновенными акциями осуществляется в США либо через централизованные биржи и на внебиржевом рынке. Централизованные биржи включают основные национальные (Нью-Йоркская фондовая биржа и Американская фондовая биржа) и региональные фондовые биржи, организованные и регулируемые рынки, расположенные в конкретных географических пунктах. Внебиржевой рынок представляет собой группу географически рассредоточенных дилеров, связанных друг с другом через телекоммуникационные системы. Основным внебиржевым рынком акций в США является Nasdaq. Кроме того, существует два других вида вторичных рынков обычных акций: электронные торговые системы и системы кроссинга[2].
Вторичные рынки облигаций в США и во всем мире отличаются от вторичных рынков акций[3]. Вторичные рынки облигаций являются не централизованными биржами, а внебиржевыми рынками, которые представляют собой сеть нецентрализованных (часто называемых разрозненными) дилеров, каждый из которых предлагает «цену покупки» и «цену продажи» (обобщенно «котировки») для каждой из сделок, в которых они участвуют. Таким образом, покупку или продажу от имени инвестора осуществляет отдельный дилер по объявленной цене, которая не исходит от какой-либо централизованной организации, например, биржи.
ФИНАНСОВЫЕ ИННОВАЦИИ И РЫНОК ОБЛИГАЦИЙ
С начала 1960-х годов и по настоящее время на финансовом рынке, и в частности на рынке облигаций, появилось огромное число инноваций. Обозреватели финансовых рынков предлагают несколько классификаций таких инноваций. Например, Экономический совет Канады разделяет финансовые инновации на три основные категории[4]:
• Инструменты расширения рынка, увеличивающие ликвидность рынков и доступность фондов посредством привлечения новых инвесторов и предложения новых возможностей заемщикам.
• Инструменты управления риском, служащие распределению финансовых рисков среди инвесторов, либо более терпимых к рискам, либо имеющих позиции в финансовых инструментах, хеджирующих эти риски.
• Инструменты арбитража, позволяющие инвесторам и заемщикам получать прибыль за счет существующей между рынками разницы в затратах и прибылях; функционирование данных инструментов возможно благодаря неодинаковому отношению участников рынка к риску, а также благодаря разной степени информированности, разным системам налогообложения и типам юридической регламентации.
Еще одну, основанную на более специфических характеристиках систему классификации финансовых инноваций предложил Bank for International Settlements: инновации, перераспределяющие ценовые риски; инструменты перераспределения кредитных рисков; инновации, обеспечивающие увеличение ликвидности; инновации, генерирующие кредитную базу; инновации, генерирующие акционерный капитал[5]. Инновации, перераспределяющие ценовые риски, предлагают участникам рынка более эффективные способы защиты от риска падения цены или нежелательного изменения курса валют. Инструменты перераспределения кредитного риска позволяют справиться с риском дефолта. Инновации, обеспечивающие увеличение ликвидности, ставят перед собой три задачи: 1) увеличение ликвидности рынка; 2) использование заемщиком новых источников фондирования и 3) возможность обойти ограничения по движению капитала, наложенные регулирующими органами. Инновации, генерирующие кредитную базу и акционерный капитал, с одной стороны, увеличивают размер фондов, из которых заемщик может черпать кредиты, с другой — укрепляют капитал финансовых и нефинансовых организаций.
Стивен Росс предлагает делить финансовые инновации на две основные подгруппы: 1) новые финансовые продукты (финансовые активы и производные инструменты), наилучшим образом отвечающие требованиям времени (учитывающие уровень инфляции и волатильность процентных ставок); 2) стратегии, позволяющие успешно использовать данные финансовые продукты[6].
Одна из задач этой книги — дать подробное и понятное описание финансовых инноваций, встречающихся в настоящее время на рынке облигаций. Мы не советовали бы читателю переходить к тексту каждой последующей главы, прежде чем он не убедится в том, что действительно уяснил механизмы, лежащие в основе инноваций, определяющих функционирование различных секторов рынка облигаций и различных стратегий управления портфелем.
ОБЗОР СОДЕРЖАНИЯ КНИГИ
Следующие четыре главы содержат базовые аналитические сведения, необходимые для понимания принципов ценообразования облигаций, а также инвестиционных характеристик различных облигационных выпусков. Процесс установления цены на облигацию описан в главе 2. Критический обзор способов измерения получаемой от облигации прибыли приводится в главе 3; затем в главе 4 предлагается объяснение ценовых характеристик облигации, а также вводится понятие волатильности. В главе 5 читатель найдет перечень факторов, влияющих на доходность облигации. Здесь же обсуждается роль временной структуры процентных ставок (т.е. связь между длительностью и доходностью).
Главы с 6 по 15 посвящены описанию различных секторов рынка долговых обязательств. Ориентиром, служащим для оценки всех типов облигаций, являются казначейские облигации — именно поэтому любой инвестор должен располагать самой подробной информацией о рынке казначейских ценных бумаг. Глава 6 содержит сведения о казначейских облигациях и производных казначейских ценных бумагах (казначейские ценные бумаги с нулевым купоном или «стрипы» казначейских ценных бумаг), а также о ценных бумагах федеральных агентств. В главах 7, 8 и 9 соответственно обсуждаются инвестиционные характеристики и специфические черты американских корпоративных долговых обязательств, муниципальных ценных бумаг и неамериканских облигаций.
Главы 10, 11 и 12 призваны осветить положение дел на американском рынке ценных бумаг, обеспеченных ипотеками. Глава 10 представляет описание различных типов финансовых инструментов, связанных с жилищным ипотечным кредитованием. Ценные бумаги, обеспеченные пулами ипотек (pass-through securities), обсуждаются в главе 11, а производные инструменты, созданные на основе этих ценных бумаг (долговые обязательства, обеспеченные ипотеками, и стрипы ценных бумаг, обеспеченных ипотеками), — в главе 12. Глава 13 посвящена ипотечному кредитованию коммерческой недвижимости и ценным бумагам, обеспеченным коммерческими ипотеками. Ценные бумаги, обеспеченные активами, и относительно недавно созданные на их основе производные инструменты — тема глав 14 и 15.
В следующих четырех главах будут объяснены методики оценки облигаций. В главе 16 даются основы моделирования процентных ставок. Применение методики решеток для оценки облигаций с встроенными опционами объясняется в главе 17, а имитационное моделирование Монте-Карло для ценных бумаг, обеспеченных пулом ипотек, и ценных бумаг, обеспеченных активами, а именно обеспеченных ипотечными кредитами — в главе 18. Побочным продуктом этих моделей оценки является спред с учетом опциона. Анализ конвертируемых облигаций приводится в главе 19. Главы 20 и 21 посвящены кредитному риску корпоративных облигаций. В главе 20 описан традиционный кредитный анализ. В главе 21 даны основы моделирования кредитного риска, в ней описываются два основных типа моделей: структурные и модели упрощенной формы.
Главы 22–25 посвящены портфельным стратегиям. В главе 22 объясняются цели управления портфелем облигаций и различные типы портфельных стратегий, активные и структурированные, последняя из которых предназначена для достижения уровня заранее установленного эталона. Стратегии включают стратегию индексирования, о которой рассказывается в главе 23, и стратегию финансирования обязательств (иммунизация и сопоставление денежных потоков), о которой пойдет речь в главе 24. Измерение и оценка инвестиционной деятельности менеджера портфеля с фиксированной доходностью рассматривается в главе 25.
Последние четыре главы посвящены различным инструментам, которые можно использовать для контроля портфельного риска. В главе 26 рассматриваются фьючерсные контракты на процентную ставку, в главе 27 — процентные опционы и в главе 28 — процентные свопы и соглашения о процентной ставке (верхние и нижние границы, «воротники» и сложные опционы). Речь пойдет о ценообразовании на эти контракты и их роли в управлении портфелем облигаций. Тема главы 29 — производные кредитные инструменты.
Вопросы
1. Какой сектор рынка облигаций США принято называть безналоговым?
2. Что входит в понятие ценной бумаги, обеспеченной ипотеками?
3. Перечислите основных эмитентов долговых обязательств в США.
4. Вычислите денежный поток облигации с номинальной стоимостью $100 000, длительностью 10 лет, выплачивающей купонную ставку, равную 7% годовых, раз в полгода.
5. Вычислите денежный поток бескупонной семилетней облигации номинальной стоимостью $10 000.
6. Почему инвестору важно знать длительность облигации? Назовите три причины.
7. Уточните количество лет, соответствующее понятиям «краткосрочная», «среднесрочная» и «долгосрочная» облигация.
8. Может ли инвестор, купивший облигацию с плавающей купонной ставкой, вычислить ее будущий денежный поток?
9. Предположим, формула перерасчета купона такова:
1-месячная LIBOR + 220 базисных пунктов.
а. Что является референсной ставкой?
b. Что является котируемым спредом?
с. Допустим, что в момент перерасчета купона месячная LIBOR составляет 2,8%. Какой будет купонная ставка на ближайший период?
10. Какие ценные бумаги называются облигациями с обратной плавающей ставкой?
11. Что такое облигация с отсроченным купонным платежом?
12. а. Что означает амортизация облигаций?
b. Почему для амортизируемых ценных бумаг не релевантно понятие длительности?
13. Что такое облигация со встроенным опционом?
14. Какие права получает эмитент облигации со встроенным колл-опционом?
15. а. Чем выгоден колл-опцион эмитенту?
b. Почему колл-опцион невыгоден держателю облигации?
16. Какие права получает держатель облигации со встроенным пут-опционом?
17. Какие облигации называются конвертируемыми и какие — подлежащими обмену?
18. Каким образом участники рынка оценивают риск дефолта эмитента облигаций?
19. В чем суть следующего высказывания: «Кредитный риск не сводится к риску дефолта эмитента»?
20. Грозит ли риск реинвестиций инвестору, приобретающему облигации с нулевым купоном?
21. Каким видам риска подвергает свой капитал инвестор, купивший французские корпоративные облигации с денежным потоком, деноминированным во французских франках?
22. Каким образом управляющий переоценивает позиции по рынку?
23. Почему институциональные инвесторы, даже если они планируют держать облигацию до даты погашения, подвергают свой капитал риску ликвидности и риску процентных ставок?
24. Что такое риск риска?
25. Объясните, чем отличается вторичный рынок обыкновенных акций от вторичного рынка облигаций.
26. Какова задача инноваций, перераспределяющих ценовые риски?
5 Bank for International Settlements, Recent Innovations in International Banking (Basel: BIS, April 1986).
4 Globalization and Canada’s Financial Markets (Ottawa, Ontario, Canada: Supply and Services Canada, 1989), p. 32.
6 Stephen A. Ross, «Institutional Markets, Financial Marketing, and Financial Innovation», Journal of Finance, July 1989, p. 541.
1 Здесь и далее в скобках приводятся американские термины. — Прим. пер.
3 Однако некоторые корпоративные облигации зарегистрированы на NYSE (торгуются в так называемом «зале облигаций» NYSE).
2 Электронные торговые системы (ECN) — это частные брокерско-дилерские компании, выступающие в качестве участников рынка в системе Nasdaq. Системы кроссинга — системы, разработанные с целью позволить организациям-инвесторам кроссировать ордера, т.е. напрямую подбирать пары покупателей и продавцов, обычно с помощью компьютера.
Глава
2
ЦЕНООБРАЗОВАНИЕ ОБЛИГАЦИЙ
В этой главе читателю будут представлены сведения:
• о временнóй стоимости денег;
• о способах вычисления цены облигации;
• о том, что для установления цены облигации необходимо определить размер предполагаемых денежных потоков и величину доходности, с помощью которой должны быть дисконтированы предполагаемые денежные потоки;
• о том, почему цена облигации меняется в направлении, противоположном изменению требуемой доходности;
• о выпуклой кривой, выражающей соотношение между ценой и доходностью безопционной облигации;
• о взаимосвязи купонной ставки, требуемой доходности и цены;
• об изменении цены облигации по мере приближения к дате погашения;
• о причинах изменения цены облигации;
• о сложностях, связанных с ценообразованием облигаций;
• о ценообразовании облигаций с плавающей купонной ставкой и с обратной плавающей купонной ставкой;
• о понятии накопленного купонного дохода и котировках цен на облигации.
В этой главе мы объясняем механизм ценообразования облигаций, в следующей — описываем способы измерения доходности. Понимание моделей ценообразования, а также мер доходности невозможно без уяснения основополагающего принципа функционирования финансового рынка, а именно — временнóй стоимости денег. Мы, таким образом, начинаем главу с объяснения этого базового положения.
ВРЕМЕННАЯ СТОИМОСТЬ ДЕНЕГ
Понятие временнóй стоимости денег — важнейший принцип, лежащий в основе анализа любого финансового инструмента. Деньги обладают временнóй стоимостью, поскольку могут быть инвестированы на некий срок под некий процент.
Будущая стоимость
Определить будущую стоимость любой суммы денег, инвестированной в настоящий момент, можно по формуле:
Pn = P0(1 + r)n, (2.1)
где:
n — число периодов;
Pn — будущая стоимость через n периодов, считая с настоящего момента (в долларах);
P0 — номинальная стоимость (в долларах);
r — процентная ставка на один период (в десятичных дробях).
Выражение (1 + r)n представляет будущую стоимость одного доллара, инвестированного в настоящий момент на n периодов под процентную ставку r.
Предположим, что менеджер пенсионного фонда инвестирует $10 млн в финансовый инструмент, который в течение шести лет должен приносить 9,2% ежегодно. Будущая стоимость $10 млн будет равна $16 956 500, поскольку:
P6 = $10 000 000 × 1,0926 = $10 000 000 × 1,69565 = $16 956 500.
Из приведенного примера видно, как подсчитывать будущую стоимость в случае, когда процент выплачивается один раз в год (т.е. величина периода равна числу лет). Если процент выплачивается чаще, чем раз в год, то как величина процентной ставки, так и число периодов, используемых для расчета будущей стоимости, должны быть уточнены следующим образом:
Допустим, что портфельный менеджер из первого примера инвестирует свои $10 млн в финансовый инструмент, который в течение шести лет должен приносить 9,2% ежегодно, однако процентные выплаты осуществляются раз в шесть месяцев (т.е. дважды в год). В этом случае:
и
P12 = $10 000 000 × 1,04612 = $10 000 000 × 1,71546 = $17 154 600.
Обратите внимание на то, что будущая стоимость $10 млн в ситуации, когда процент выплачивается раз в полгода ($17 154 600), больше, чем в случае процентных выплат раз в год ($16 956 500), несмотря на то что обе инвестиции осуществляются под один и тот же годовой процент. Более высокая будущая стоимость суммы, вложенной под процент, выплачиваемый раз в полгода, отражает более выгодные возможности реинвестирования получаемых процентных платежей.
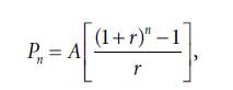
Будущая стоимость обычного аннуитета
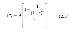
Периодически инвестируемая неизменная сумма денег носит название аннуитета. Если первая инвестиция осуществляется через один период, считая от настоящего момента, принято говорить об обычном аннуитете. Будущая стоимость обычного аннуитета может быть найдена путем вычисления будущей стоимости каждой из инвестиций в момент окончания инвестиционного горизонта, а затем сложения полученных будущих стоимостей. Будущую стоимость обычного аннуитета легче, однако, рассчитать по формуле:
где А — размер аннуитета (в долларах). Выражение в скобках — это будущая стоимость обычного аннуитета, равного $1, на момент окончания n периодов.
Применение формулы хорошо иллюстрирует следующий пример: допустим, что портфельный менеджер приобретает облигации номинальной стоимостью $20 млн, которые в течение 15 лет должны приносить 10% годовых. Эмитент осуществляет купонные выплаты раз в год, первый платеж будет совершен через год. Сколько получит портфельный менеджер при условии, что он: 1) останется держателем облигации до даты погашения, т.е. все 15 лет, и 2) будет инвестировать ежегодные купонные выплаты под годовую ставку 8%?
Через 15 лет портфельный менеджер станет обладателем:
1) $20 млн в момент погашения облигации;
2) 15 ежегодных купонных выплат по $2 млн каждая (0,10 × $20 млн);
3) процента, полученного от инвестирования ежегодных купонных выплат под 8% годовых.
Сумму пунктов 2 и 3 можно вычислить, применив формулу (2.2). В нашем примере аннуитет составляет $2 000 000 в год. Таким образом:
A = $2 000 000;
r = 0,08;
n = 15
и
Будущая стоимость обычного аннуитета, равного $2 000 000 в год, в течение 15 лет инвестируемого под 8%, составляет $54 304 250. Поскольку $30 000 000 (15 × $2 000 000) этой будущей стоимости представляют собой ежегодные купонные выплаты (в долларах), осуществляемые эмитентом и инвестируемые портфельным менеджером, баланс в размере $24 304 250 ($54 304 250 – $30 000 000) — это процент, полученный от реинвестирования данных ежегодных купонных выплат. Таким образом, общая сумма (в долларах), которую портфельный менеджер получит через 15 лет от совершенных инвестиций, окажется равна:
В главе 3 мы объясним, почему для определения относительной стоимости облигаций необходимо совершать подсчет общей будущей суммы в долларах на момент окончания установленного портфельным менеджером инвестиционного горизонта.
Давайте снова проведем анализ данной облигации, предположив на этот раз, что при той же годовой ставке купонные выплаты осуществляются раз в шесть месяцев; первая выплата произойдет через полгода и будет немедленно реинвестирована. Допустим, что получаемые раз в полгода купонные выплаты могут быть реинвестированы под 8% годовых.
Купонные выплаты, получаемые раз в полгода, составляют $1 000 000 каждая. Будущая стоимость 30 полугодовых купонных выплат по $1 000 000 плюс процент, получаемый от инвестирования купонных выплат, подсчитывается следующим образом:
Поскольку купонные выплаты составляют $30 000 000, процент, получаемый от реинвестирования купонных выплат равен $26 085 000. Возможность более часто совершать реинвестирование купонных выплат — причина того, что полученная от реинвестиций сумма ($26 085 000) оказалась больше, чем сумма ($24 304 250), принесенная реинвестированием купонных выплат, осуществляемых раз в год.
Таким образом, общая сумма (в долларах), которую портфельный менеджер получит через 15 лет от предпринятого инвестирования, окажется равна:
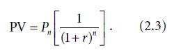
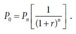
Приведенная стоимость
Мы показали, как можно вычислить будущую стоимость инвестиций. Объясним теперь обратный процесс, а именно: как определить количество денег, которые надо вложить сегодня для получения определенной стоимости в будущем. Такая сумма денег получила название приведенной стоимости. Поскольку, как будет сказано далее в этой главе, цена любого финансового инструмента — это приведенная стоимость его предполагаемого денежного потока, понятие приведенной стоимости необходимо уяснить всякому инвестору, желающему разобраться в механизме ценообразования инструментов с фиксированным доходом.
Итак, мы хотим узнать, каким образом определить размер денежной суммы, которую надо инвестировать сегодня под процент r, выплачиваемый раз в период в течение n периодов, чтобы получить заданную будущую стоимость. Формула вычисления может быть получена из формулы (2.1), предназначенной для подсчета будущей стоимости инвестиции (Р0):
Заменим Р0 на приведенную стоимость (PV):
Выражение в скобках — это приведенная стоимость одного доллара. Оно показывает, сколько должно быть вложено сегодня, для того чтобы через n периодов получить $1 при условии существования процентных ставок, равных r, в течение каждого периода.
Процесс вычисления приведенной стоимости носит название дисконтирования. Приведенная стоимость, таким образом, иногда называется дисконтированной стоимостью, а процентные ставки — дисконтными ставками.
Продемонстрируем действие формулы (2.3) на конкретном примере. Допустим, что портфельный менеджер может приобрести финансовый инструмент, который через семь лет принесет $5 млн при отсутствии промежуточных денежных потоков. Портфельный менеджер хочет получать на свои инвестиции 10% годовых. Приведенная стоимость инвестиций должна быть подсчитана как:
Оказывается, что инвестирование в настоящий момент суммы $2 565 791 под 10% годовых через семь лет принесет $5 млн. Допустим, что данный финансовый инструмент продается дороже, чем за $2 565 791. Это значит, что, купив его по цене, превышающей $2 565 791, портфельный менеджер получит от своих инвестиций меньше, чем 10% годовых. И наоборот: если финансовый инструмент продается дешевле, чем за $2 565 791, портфельный менеджер получит от своих инвестиций больше, чем 10% годовых.
Существуют два основных свойства приведенной стоимости, которые читатель должен себе уяснить. Во-первых, для данной будущей стоимости в установленный момент времени в будущем, чем выше процентные (или дисконтные) ставки, тем ниже приведенная стоимость. Причина падения приведенной стоимости с ростом процентных ставок легко объяснима: чем больше процентные ставки, под которые совершаются в настоящий момент инвестиции, тем меньшая сумма денег должна быть вложена, чтобы получить заданную будущую стоимость.
Второе свойство приведенной стоимости: при данных процентных (дисконтных) ставках, чем длиннее временной горизонт, по окончании которого должна быть получена будущая стоимость, тем ниже приведенная стоимость. Описанный эффект объясняется следующим образом: на более продолжительном отрезке времени успевает накопиться бóльшая сумма процентных выплат. Таким образом, начальная инвестируемая сумма может быть меньше.
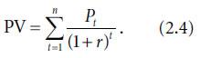
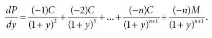
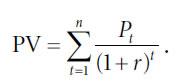
Приведенная стоимость серии будущих стоимостей
В большинстве встречающихся в ходе управления портфелем ситуаций финансовый инструмент генерирует серию будущих стоимостей. Определить приведенную стоимость серии будущих стоимостей можно, если подсчитать сначала приведенную стоимость каждой из будущих стоимостей. Затем, для вычисления приведенной стоимости всей серии в целом, следует сложить полученные значения будущих стоимостей.
Формула в этом случае будет выглядеть так:
Предположим, например, что портфельный менеджер собирается купить финансовый инструмент, от которого следует ожидать следующих выплат:
Допустим, что портфельный менеджер хотел бы инвестировать под 6,25% годовых. Приведенная стоимость данной инвестиции может быть вычислена следующим образом:
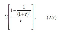
Приведенная стоимость обычного аннуитета
Неизменная сумма денег (в долларах), получаемая через равные промежутки времени или выплачиваемая раз в год, называется аннуитетом. Если первую выплату инвестор получает через один период, считая с настоящего момента, аннуитет называется обычным. Существует также форма немедленной выплаты, которую, однако, мы не будем здесь рассматривать — в данной книге речь пойдет только об обычном аннуитете.
Вычисление приведенной стоимости обычного аннуитета производится следующим образом: сначала подсчитываются приведенные стоимости каждой из будущих стоимостей, затем все полученные значения суммируются. Возможно также использование следующей формулы:
где А — размер аннуитета (в долларах). Выражение в скобках — это приведенная стоимость обычного аннуитета, равного $1, для n периодов.
Предположим, что от своих инвестиций инвестор в течение восьми лет рассчитывает получать по $100 в конце каждого года; дисконтная ставка, используемая для дисконтирования, равна 9%. Приведенная стоимость такого обычного аннуитета составит:
Приведенная стоимость в случае выплат, производимых чаще одного раза в год
Вычисляя приведенную стоимость, мы предполагали, что будущая стоимость будет выплачена или получена раз в год. В реальной практике, между тем, будущую стоимость инвестор может получать чаще, чем раз в год. В подобной ситуации формулу, принятую нами для установления значения приведенной стоимости, следует уточнить. Во-первых, годовая процентная ставка делится на количество выплат в год. (В действительности такой метод уточнения величины процентной ставки не является корректным. Научно обоснованный метод уточнения данного значения приводится в главе 3.) Так, если будущие стоимости выплачиваются раз в полгода, годовая процентная ставка делится на 2; если они выплачиваются раз в квартал, годовую процентную ставку следует делить на 4. Во-вторых, число периодов, в течение которых инвестор будет получать будущую стоимость, должно быть уточнено путем умножения числа лет на количество выплат в год.
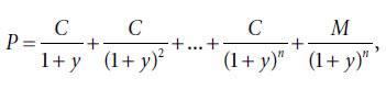
ЦЕНООБРАЗОВАНИЕ ОБЛИГАЦИИ
Цена любого финансового инструмента равна приведенной стоимости предполагаемого денежного потока от данного финансового инструмента. Таким образом, для определения цены следует знать:
1) размер предполагаемых денежных потоков;
2) величину подходящей требуемой доходности (требуемой ставки).
Предполагаемые денежные потоки для одних финансовых инструментов вычисляются легко, для других — с большей сложностью. Требуемая доходность — это величина, отражающая доходность финансовых инструментов со сравнимым риском, иными словами — доходность альтернативных инвестиций.
Первый шаг, который мы делаем, приступая к определению цены облигации, — определение ее денежных потоков. Денежные потоки от облигации, которую эмитент не имеет права погасить до установленной даты погашения (т.е. облигация без встроенного колл-опциона)[7], состоят из:
1) периодических купонных выплат, осуществляемых вплоть до даты погашения;
2) номинальной стоимости (стоимости погашения), получаемой в момент погашения облигации.
Для упрощения анализа механизма ценообразования облигаций, договоримся считать действительными три утверждения:
1. Купонные выплаты осуществляются раз в полгода (по большинству американских облигаций купон действительно выплачивается раз в шесть месяцев).
2. Ближайшая выплата купона состоится ровно через шесть месяцев.
3. Купонная ставка фиксирована на весь срок до погашения облигации.
Итак, денежный поток облигации без встроенного колл-опциона состоит из аннуитета фиксированных купонных выплат, получаемых раз в полгода, и номинальной стоимости. 20-летняя облигация с купонной ставкой 10% и номиналом $1000 от купонных выплат получит следующий денежный поток:
купонная выплата за год = $1 000 × 0,10 = $100;
купонная выплата за полгода = $100/2 = $50.
Таким образом, существует 40 денежных потоков по $50, получаемых каждые полгода, и денежный поток, равный $1000, который будет получен через 40 полугодовых периодов. Обратите внимание на описание номинальной стоимости. Мы не говорим, что получим ее через 20 лет — номинал описывается в тех же терминах, что и купон, выплачиваемый раз в шесть месяцев.
Требуемая доходность выясняется после изучения рыночных доходностей облигаций, сравнимых с нашей. Под сравнимыми понимаются облигации без встроенного колл-опциона, имеющие то же кредитное качество и тот же срок до погашения[8].
Требуемая доходность, как правило, выражается в процентах годовых. В ситуации, когда денежные потоки поступают раз в полгода, в качестве процентной ставки для дисконтирования денежных потоков принято использовать половину годовой процентной ставки.
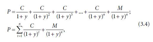
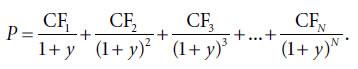
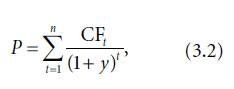
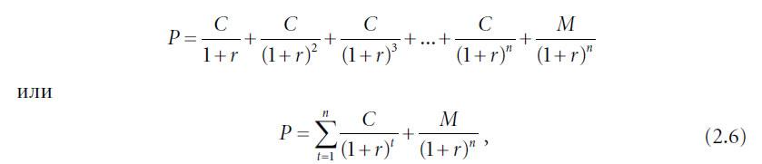
Размеры денежных потоков и требуемая доходность — аналитические данные, достаточные для вычисления цены облигации. Поскольку ценой облигации является приведенная стоимость денежных потоков, ее значение вычисляется путем сложения следующих двух величин:
1) приведенной стоимости полугодовых купонных выплат;
2) приведенной стоимости номинала в момент погашения.
В общих чертах формула подсчета цены выглядит следующим образом:
где:
P — цена (в долларах);
n — число периодов до погашения (число лет, умноженное на 2);
C — полугодовая купонная выплата (в долларах);
r — процентная ставка, соответствующая периоду (требуемая годовая доходность, деленная на 2);
M — стоимость номинала;
t — количество периодов, оставшихся до получения платежа.
Полугодовые выплаты купона представляют собой обычный аннуитет, поэтому, используя формулу (2.5) для вычисления приведенной стоимости обычного аннуитета, получаем приведенную стоимость купонной выплаты, равную:
Для того чтобы читатель понял, как на практике осуществляется вычисление цены облигации, рассмотрим 20-летнюю облигацию с купоном, равным 10%, и номинальной стоимостью $1000. Допустим, что требуемая доходность для этой облигации составляет 11%. Данная облигация приносит следующие денежные потоки:
1) 40 полугодовых купонных выплат по $50 каждая;
2) $1000 через 40 полугодовых периодов.
Полугодовая (соответствующая периоду) процентная ставка (или соответствующая периоду требуемая доходность) равна 5,5% (11% поделить на 2).
Приведенная стоимость 40 полугодовых купонных выплат по $50, дисконтированная по 5,5%, согласно результатам приведенных ниже вычислений, составляет $802,31:
Приведенная стоимость номинала в $1000, который будет получен через 40 полугодовых периодов, дисконтированная по 5,5%, равна, как видно из расчетов, приведенных ниже, $117,46:
Цена облигации, таким образом, равна сумме двух приведенных стоимостей:
Предположим теперь, что требуемая доходность составляет не 11%, а 6,8%. Цена облигации в этом случае окажется равной $1347,04 (процесс вычисления значения цены описан ниже).
Приведенная стоимость купонных выплат при соответствующей периоду процентной ставке 3,4% (6,8% /2) равна:
Приведенная стоимость номинала в $1000, который будет получен через 40 полугодовых периодов, дисконтированная по 3,4%, равна:
Цена облигации, таким образом, составит:
Если требуемая доходность равна купонной ставке 10%, цена облигации будет равна ее номинальной стоимости, т.е. $1000. Действительно, приведенная стоимость купонных выплат при соответствующей периоду процентной ставке 5% (10%/2) равна:
Приведенная стоимость номинала в $1000, который будет получен через 40 полугодовых периодов, дисконтированная по 5%, равна, согласно формуле:
Цена облигации, таким образом, составит:
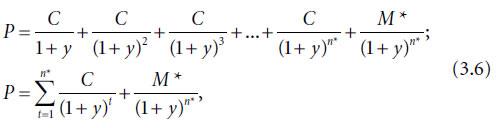
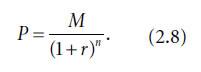
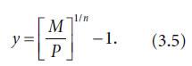
Ценообразование облигаций с нулевым купоном
Некоторые облигации не предполагают никаких периодических купонных выплат. Инвестор получает процентный доход за счет разницы между номинальной стоимостью и ценой покупки. Облигации этого типа носят название облигаций с нулевым купоном. Цена облигации с нулевым купоном вычисляется путем подстановки нуля вместо С в формулу (2.6):
Формула (2.8) показывает, что цена облигации с нулевым купоном — это приведенная стоимость номинала. Заметим, однако, что при подсчетах такой приведенной стоимости число периодов, используемое для дисконтирования, равно не количеству лет до погашения облигации, а количеству лет, умноженному на 2. Дисконтная ставка в этом случае равна половине требуемой годовой доходности. Так, цена облигации с нулевым купоном и сроком до погашения 15 лет, номинал которой равен $1000, а требуемая доходность — 9,4%, составит $252,12:
Связь цены и доходности
Одно из фундаментальных свойств облигации заключается в том, что цена всегда меняется в направлении, противоположном изменению требуемой доходности. Объяснение этому феномену следует искать в том факте, что цена облигации — это приведенная стоимость денежных потоков. Если требуемая доходность увеличивается, то приведенная стоимость денежных потоков падает; соответственно, падает и цена. И наоборот: падение требуемой доходности означает рост приведенной стоимости денежных потоков, а значит, и рост цены. Проверим справедливость этого утверждения на примере цены 20-летней 10%-ной облигации в случаях, когда требуемая доходность составляет 11%, 10% и 6,8%. В табл. 2.1 приводятся цены 20-летней облигации с 10%-ным купоном при разных требуемых доходностях.
Таблица 2.1. Связь цены и доходности для 20-летней облигации с 10%-ным купоном
| Доходность |
Цена (долл.) |
Доходность |
Цена (долл.) |
| 0,045 0,050 0,055 0,060 0,065 0,070 0,075 0,080 0,085 0,090 0,095 0,100 0,105 |
1 720,32 1 627,57 1 541,76 1 462,30 1 388,65 1 320,33 1 256,89 1 197,93 1 143,08 1 092,01 1 044,41 1 000,00 958,53 |
0,110 0,115 0,120 0,125 0,130 0,135 0,140 0,145 0,150 0,155 0,160 0,165 |
919,77 883,50 849,54 817,70 787,82 759,75 733,37 708,53 685,14 663,08 642,26 622,59 |
Изобразив связь цены и доходности любой облигации без встроенного колл-опциона графически, мы обнаружим, что график имеет характерную изогнутую форму, показанную на рис. 2.1.
Кривая такой формы носит название выпуклой. Выпуклость кривой цена/доходность имеет важное значение при оценке инвестиционных характеристик облигации (подробнее об этом сообщается в главе 4).
Связь между купонной ставкой, требуемой доходностью и ценой
Рыночным доходностям свойственно меняться; единственная переменная, которая меняется, чтобы соответствовать новой требуемой доходности, — это цена облигации. Если купонная ставка равна требуемой доходности, цена акции будет равна ее номиналу — мы показали это на примере 20-летней облигации с купонной ставкой в 10%.
Как только в данный момент времени рыночная доходность поднимается выше купонной ставки, цена облигации приспосабливается к новым условиям таким образом, чтобы инвестор, приобретающий облигацию, мог получить от покупки некую дополнительную выгоду. Если бы цена не менялась, инвесторы отказались бы от приобретения облигации, предлагающей доходность ниже рыночной. Таким образом, недостаток спроса приводит к падению цены и росту доходности облигации. Именно так на практике происходит падение цены ниже уровня номинала.
Прирост капитала, реализуемый путем удерживания облигации до даты погашения, — форма компенсации, предлагаемой инвестору, владеющему облигацией с купонной ставкой ниже требуемой доходности. Если облигация продается по цене более низкой, чем ее номинальная стоимость, говорят, что облигация была продана с дисконтом. Из приведенных выше расчетов видно, что в ситуации, когда требуемая доходность превышает купонные ставки, цена облигации всегда ниже номинала ($1000).
Если требуемая рыночная доходность меньше купонной ставки, облигация должна продаваться по цене более высокой, чем номинальная стоимость. Это происходит потому, что инвестор, приобрети он облигацию по номиналу, получил бы купонную ставку, превышающую справедливую рыночную доходность. В результате цена на облигацию со столь привлекательной доходностью пошла бы вверх. Цена может расти до тех пор, пока доходность облигации не совпадет с требуемой доходностью рынка. Про облигацию, цена которой превышает ее номинальную стоимость, говорят, что она продается с премией. Отношения между купонной ставкой, требуемой доходностью и ценой в общем виде можно записать следующим образом:
купонная ставка < требуемая доходность ↔ цена < номинал (облигация торгуется с дисконтом)
купонная ставка = требуемая доходность ↔ цена = номинал
купонная ставка > требуемая доходность ↔ цена > номинал (облигация с торгуется премией).
Связь между ценой облигации и временем при неизменных процентных ставках
Что происходит с ценой облигации, если в течение периода между приобретением облигации и датой погашения требуемая доходность не меняется? Для облигации, продающейся по номиналу, купонная ставка равна требуемой доходности. Дата погашения будет приближаться, но облигация по-прежнему будет продаваться по номинальной стоимости. Ее цена по мере приближения к дате погашения не изменится.
Цена облигации не останется прежней в случае, если облигация продается с дисконтом или с премией. В табл. 2.2 приведены данные о временнóм движении цены 20-летней облигации с купонной ставкой 10%, продающейся с дисконтом, а также данные о той же самой облигации, продающейся с премией. Заметим, что цена облигации, продающейся с дисконтом, при условии неизменной требуемой доходности растет. Обратный процесс происходит с ценой облигации, продающейся с премией. Цена обеих облигаций в момент погашения равняется номинальной стоимости.
Причины изменения цены облигации
Изменение цены облигации можно объяснить одной или несколькими из приведенных ниже причин.
1. Наблюдается изменение требуемой доходности, связанное с изменением кредитного качества эмитента.
2. Цена облигации, продающейся с премией или с дисконтом, меняется не под влиянием требуемой доходности, остающейся неизменной, а растет или падает по мере приближения даты погашения.
3. Наблюдается изменение требуемой доходности, связанное с изменением доходности сравнимых облигаций (т.е. изменение доходности, требуемое рынком).
Причины 2 и 3 подробно описаны в этой главе. Умение предсказать изменение кредитного качества эмитента (причина 1) до того, как это изменение будет признано рынком, — одна из важных составляющих успешного управления инвестициями.
СЛОЖНОСТИ ПРИ ОПРЕДЕЛЕНИИ ЦЕНЫ ОБЛИГАЦИИ
Описывая ценообразование облигаций, мы исходили из предположений о том, что:
1) следующая выплата купона состоится ровно через шесть месяцев;
2) денежные потоки известны;
3) соответствующая требуемая доходность может быть определена;
4) все денежные потоки дисконтируются по одной ставке.
Рассмотрим каждое из приведенных положений применительно к реальной практике.
Таблица 2.2. Данные о временнóм движении цены на 20-летнюю облигацию с купонной ставкой 10%, продающуюся с дисконтом и с премией
| Срок до погашения (годы) |
Цена облигации с дисконтом, доходность 12% (долл.) |
Цена облигации с премией, доходность 7,8% (долл.) |
| 20,0 19,5 19,0 18,5 18,0 17,5 17,0 16,5 16,0 15,5 15,0 14,5 14,0 13,5 13,0 12,5 12,0 11,5 11,0 10,5 10,0 9,5 9,0 8,5 8,0 7,5 7,0 6,5 6,0 5,5 5,0 4,5 4,0 3,5 3,0 2,5 2,0 1,5 1,0 0,5 0,0 |
849,54 850,51 851,54 852,63 853,79 855,02 856,32 857,70 859,16 860,71 862,35 864,09 865,94 867,89 869,97 872,17 874,50 876,97 879,58 882,36 885,30 888,42 891,72 895,23 898,94 902,88 907,05 911,47 916,16 921,13 926,40 931,98 937,90 944,18 950,83 957,88 965,35 973,27 981,67 990,57 1 000,00 |
1 221,00 1 218,62 1 216,14 1 213,57 1 210,90 1 208,13 1 205,24 1 202,25 1 199,14 1 195,90 1 192,54 1 189,05 1 185,43 1 181,66 1 177,74 1 173,67 1 169,45 1 165,06 1 160,49 1 155,75 1 150,83 1 145,71 1 140,39 1 134,87 1 129,13 1 123,16 1 116,97 1 110,53 1 103,84 1 096,89 1 089,67 1 082,16 1 074,37 1 066,27 1 057,85 1 049,11 1 040,02 1 030,58 1 020,78 1 010,59 1 000,00 |
Следующая выплата купона состоится раньше, чем через шесть месяцев
Если инвестор приобретает облигацию, купонная выплата по которой должна состояться раньше, чем через полгода, цена облигации может быть вычислена следующим образом:
где:
Обратите внимание на то, что при v = 1 (т.е. в случае, когда следующая выплата купона состоится ровно через шесть месяцев) формула (2.9) сводится к формуле (2.6).
Денежные потоки могут быть неизвестны
Для облигаций без встроенного колл-опциона, эмитент которых не потерпел дефолта, денежные потоки известны. Между тем для большинства облигаций размер денежных потоков не может быть установлен с точностью. Причина — возможность отзыва облигаций эмитентом до наступления даты погашения. Для облигаций со встроенным колл-опционом денежный поток в первую очередь зависит от уровня текущих процентных ставок в сравнении с величиной купонной ставки. Так, эмитент, скорее всего, воспользуется своим правом на досрочное погашение облигаций, если процентные ставки упадут существенно ниже купонных и ему будет выгоднее выкупить облигационный выпуск, не дожидаясь даты погашения, а затем выпустить новые облигации с более низкой купонной ставкой. (Другой пример — ценные бумаги, обеспеченные ипотеками, подробно описанные в главах 11 и 12; индивидуальный заемщик имеет право предоплаты всех ипотечных обязательств или их части вне установленного графика.)
Таким образом, денежные потоки облигаций, которые могут быть выкуплены до даты погашения, зависят от текущих рыночных процентных ставок.
Выяснение соответствующей требуемой доходности
Для всех требуемых доходностей эталоном являются доходности, предлагаемые казначейскими ценными бумагами, речь о которых пойдет в главе 5. Аналитический принцип, которым мы руководствуемся в книге, — разложение требуемой доходности облигации на составляющие, описание которых читатель найдет в следующих главах.
Одна дисконтная ставка для всех денежных потоков
Анализируя ценообразование облигаций, мы до сих пор исходили из предположения о том, что все денежные потоки дисконтируются с помощью одной дисконтной ставки. В главе 5 мы покажем, что любая облигация может рассматриваться как пакет облигаций с нулевым купоном, причем в каждом случае для определения приведенной стоимости конкретного денежного потока должна использоваться особая дисконтная ставка.
ЦЕНООБРАЗОВАНИЕ ОБЛИГАЦИЙ С ПЛАВАЮЩЕЙ КУПОННОЙ СТАВКОЙ И ОБЛИГАЦИЙ С ОБРАТНОЙ ПЛАВАЮЩЕЙ КУПОННОЙ СТАВКОЙ
Ни для ценной бумаги с плавающей ставкой, ни для ценной бумаги с обратной плавающей ставкой денежный поток заранее неизвестен: он зависит от поведения референсной ставки в будущем.
Цена облигации с плавающей ставкой
Купонная ставка ценной бумаги с плавающей ставкой равна сумме референсной ставки и некоторого спреда или маржи. Купонная ставка облигации с плавающей ставкой может быть получена, например, при сложении ставки трехмесячного казначейского векселя (референсная ставка) и 50 базисных пунктов (спред).
Цена облигации с плавающей ставкой определяется двумя факторами: 1) величиной спреда и 2) ограничениями, которые могут быть наложены на перерасчет купона. Так, облигация с плавающей купонной ставкой может иметь максимальную купонную ставку, называемую верхней планкой (cap), или минимальную купонную ставку — нижнюю планку (floor). Цена облигации с плавающей ставкой будет приближаться к номинальной стоимости, если: 1) справедливый рыночный спред остается неизменным и 2) не достигается ни верхняя, ни нижняя планка[9].
Если требуемый рыночный спред будет увеличиваться (уменьшаться), цена облигации будет опускаться ниже (подниматься выше) номинала. Если купонная ставка не будет равна сумме референсной ставки и спреда из-за ограничений, налагаемых верхней планкой, облигация с плавающей ставкой будет торговаться по цене более низкой, чем номинал.
Ценообразование облигации с обратной плавающей купонной ставкой
Как правило, облигация с обратной плавающей ставкой создается на основе ценной бумаги с фиксированной ставкой[10].
Ценная бумага, с помощью которой создается облигация с обратной плавающей ставкой, носит название обеспечения. На основе обеспечения создаются две облигации: одна — с обычной плавающей купонной ставкой, другая — с обратной плавающей купонной ставкой. Процесс образования таких облигаций представлен на схеме внизу (рис. 2.2).
Две облигации создаются таким образом, что: 1) общая купонная выплата по обеим облигациям в каждый из периодов меньше или равна купонной выплате обеспечения в тот же период и 2) общая номинальная стоимость двух облигаций меньше или равна номинальной стоимости обеспечения. Облигация с плавающей ставкой и облигация с обратной плавающей ставкой должны быть структурированы таким образом, чтобы денежный поток, поступающий от обеспечения, был достаточен для удовлетворения обязательств по обеим ценным бумагам.
Рассмотрим 10-летнюю облигацию с купоном, выплачиваемым раз в полгода и равным 7,5%. Допустим, что такие облигации в объеме $100 млн используются в качестве обеспечения для создания облигации с плавающей ставкой номинальной стоимостью $50 млн и облигации с обратной плавающей ставкой номинальной стоимостью $50 млн. Предположим, что купон пересчитывается каждые шесть месяцев в соответствии со следующей формулой:
купон облигации с плавающей ставкой = референсная ставка + 1%;
купон с обратной плавающей ставкой = 14% – референсная ставка.
Напомним, что общая номинальная стоимость облигаций с обычной плавающей и обратной плавающей ставками равна номиналу обеспечения, т.е. $100 млн. Взвешенное среднее купонной ставки комбинации обеих облигаций равно:
0,5 × (референсная ставка + 1%) + 0,5 × (14% – референсная ставка) = 7,5%.
Итак, вне зависимости от размера референсной ставки, комбинированная купонная ставка для двух облигаций равна купону обеспечения, т.е. 7,5%.
Приведенная формула страдает одним недостатком. Предположим, что референсная ставка превышает 14%. В этом случае результат, полученный при подсчете купона облигации с обратной плавающей ставкой, будет отрицательным числом. Чтобы этого не произошло, на купонную ставку облигации с обратной плавающей ставкой налагаются ограничения. Как правило, нижняя планка устанавливается на нуле. Существование такой нижней планки приводит к необходимости ограничения купона облигации с обычной плавающей ставкой, поскольку купонные выплаты по обеим облигациям не должны превышать процентные выплаты обеспечения. В нашей гипотетической структуре максимальной процентной ставкой облигации с плавающей ставкой может быть 15%. Таким образом, при создании на основе обеспечения облигаций с плавающей и обратной плавающей ставками, для одной из них (облигации с обратной плавающей ставкой) существует нижняя планка, а для другой (с обычной плавающей ставкой) — верхняя.
Влияние верхней и нижней планки на ценообразование облигации пока нами не рассматривается. Для нас важно, что цена облигации с обратной плавающей ставкой определяется исходя из цены обеспечения и цены облигации с плавающей ставкой. Процесс можно записать в виде следующей формулы:
цена обеспечения = цена облигации с плавающей ставкой + цена облигации с обратной плавающей ставкой,
а значит:
цена облигации с обратной плавающей ставкой = цена обеспечения – цена облигации с плавающей ставкой.
Заметим, что референсная ставка влияет на цену облигации с обратной плавающей ставкой постольку, поскольку она ограничивает процентную ставку облигации с плавающей ставкой. Этот вывод чрезвычайно важен для нас. Некоторые инвесторы ошибочно полагают, что при росте купонной ставки цена облигации с обратной плавающей ставкой будет расти, если референсная ставка падает. Это неверно. Для ценообразования облигации с обратной плавающей ставкой существенно влияние процентных ставок на цену обеспечения. Референсная ставка имеет значение только в качестве фактора, ограничивающего купон облигации с плавающей ставкой.
ОБОЗНАЧЕНИЕ (КОТИРОВКА) ЦЕНЫ И НАКОПЛЕННЫЙ КУПОННЫЙ ДОХОД
Обозначение цены
В этой главе мы выбрали в качестве образца для анализа облигацию с номиналом, равным $1000. Очевидно, что облигация может иметь номинал более высокий или более низкий, нежели $1000. Соответственно, обозначая цену, трейдеры котируют ее как процент от номинала.
Облигация, продающаяся по номиналу, котируется по 100, т.е. ее цена составляет 100% номинальной стоимости. Котировка облигации, торгующейся с дисконтом, обозначается числом меньше 100; облигация, которая торгуется с премией, котируется выше 100. В приведенной ниже таблице показано, каким образом котировка цены может быть переведена в цену в долларах.
Накопленный купонный доход
Инвестор, приобретающий облигацию в момент между датами выплат купона, должен компенсировать продавцу купонный доход, накопленный за время, прошедшее со дня последней выплаты купона до дня сделки[11].
Эта сумма носит название накопленного купонного дохода. Вычисление накопленного купонного дохода проводится в зависимости от типа облигации. Для казначейских ценных бумаг (речь о них пойдет в главе 6) накопленный купонный доход рассчитывается исходя из реального числа дней, в течение которых продавец являлся держателем облигации. В случае корпоративных и муниципальных ценных бумаг вычисление накопленного купонного дохода ведется из расчета 360-дневного года и 30-дневного месяца.
Сумма, которую покупатель выплачивает продавцу, включает в себя как назначенную цену, так и накопленный купонный доход. Данная сумма часто называется полной ценой или грязной ценой. Цена облигации без учета накопленного купонного дохода носит название чистой цены.
Резюме
В этой главе мы рассмотрели, как установить цену облигации без встроенного колл-опциона. Цена такой облигации — это приведенная стоимость ее предполагаемых денежных потоков. Дисконтная ставка равняется доходности, предлагаемой сравнимыми облигациями на рынке. Для облигации без встроенного колл-опциона денежные потоки состоят из купонных выплат и номинальной стоимости, выплачиваемой в дату погашения. В случае облигации с нулевым купоном купонные выплаты отсутствуют. Цена, таким образом, будет равна приведенной стоимости номинала, причем число периодов, используемое для вычисления приведенной стоимости, — это удвоенное число лет, а дисконтная ставка — доходность за полгода.
Чем выше (ниже) требуемая доходность, тем ниже (выше) цена облигации. Очевидно, что цена облигации меняется в направлении, противоположном изменению требуемой доходности. Если купонная ставка равна требуемой доходности, облигация будет продаваться по номиналу. Если купонная ставка ниже (выше) требуемой доходности, облигация будет продаваться по цене более низкой (высокой), чем номинал; в этом случае говорят, что она торгуется с дисконтом (премией).
С течением времени цена облигации, торгующейся с премией или дисконтом, будет меняться, даже если требуемая доходность останется неизменной. При условии, что кредитное качество эмитента не меняется, ценовые изменения всякой облигации частично зависят от колебаний требуемой доходности, частично — от приближения даты погашения.
Цена облигации с плавающей купонной ставкой будет близка к номиналу, если требуемый рынком спред остается неизменным и на купонную ставку не налагаются ограничения. Цена облигации с обратной плавающей купонной ставкой зависит, во-первых, от цены обеспечения, на основе которого облигация была создана, и, во-вторых, от цены облигации с обычной плавающей ставкой.
Вопросы
1. Фондовый менеджер пенсионного фонда инвестирует $10 млн в долговое обязательство, которое в течение четырех лет должно приносить по 7,3% ежегодно. Какова будущая стоимость этих $10 млн?
2. Предположим, что компания страхования жизни гарантировала пенсионному фонду выплату $14 млн через 4,5 года. Страховая компания получает от пенсионного фонда премию в размере $10,4 млн, которую может инвестировать на 4,5 года под годовой процент 6,25%. Будут ли средства, полученные от данной инвестиции, достаточны для исполнения обязательства по выплате обещанных $14 млн?
3. а. Управляющий портфелем фонда, не подлежащего налогообложению, собирается инвестировать $500 000 в долговой инструмент, который в течение четырех лет будет выплачивать по 5,7% годовых. По окончании четырехлетнего срока управляющий планирует реинвестировать полученные средства еще на три года и надеется, что в эти три года годовые процентные ставки для его инвестиции составят 7,2%. Какова будущая стоимость данной инвестиции?
b. Предположим, что управляющий портфелем из вопроса а получает возможность инвестировать свои $500 000 на семь лет в долговой инструмент, который раз в полгода должен выплачивать процентную ставку в 6,1% годовых. Является ли эта инвестиция более выгодной, чем инвестиции из вопроса а?
4. Предположим, что управляющий портфелем приобретает восьмилетнюю облигацию с номиналом $10 млн и купоном 7%, выплачиваемым раз в год. Первая выплата купона состоится через год. Какую сумму получит управляющий, если додержит облигацию до даты погашения и будет реинвестировать ежегодные купонные выплаты под годовой процент, равный 6,2%?
5. а. Что происходит с ценой долгового обязательства, если дисконтная ставка, используемая для вычисления приведенной стоимости денежного потока облигации, растет?
b. Пусть дисконтная ставка, используемая для вычисления приведенной стоимости денежного потока долгового обязательства, равна х %. Допустим, денежные потоки для данного долгового обязательства представляют собой $200 000 через четыре года и $200 000 через пять лет. Для какого из денежных потоков приведенная стоимость будет больше?
6. Обязательство корпоративного пенсионного фонда рассчитывается как приведенная стоимость будущих денежных выплат бенефициарам. Почему для проведения вычислений важно значение используемой для дисконтирования процентной ставки?
7. Управляющий пенсионным фондом знает, что у его фонда есть следующие обязательства по выплатам пенсий:
Предположим, что управляющий пенсионным фондом хочет инвестировать некую сумму денег, достаточную для исполнения обязательств фонда. Известно, что любая сумма денег, инвестированная в настоящий момент, может принести 7,6% годовых. Сколько следует инвестировать сегодня, для того чтобы удовлетворить поток долговых обязательств?
8. Для каждой из облигаций вычислите цену номинальной стоимости, равной $1000, при условии купонных выплат, осуществляемых раз в полгода:
9. Рассмотрим облигацию, торгующуюся по номиналу $100 с купонной ставкой 6% и сроком до погашения 10 лет.
а. Какова цена облигации, если требуемая доходность равна 15%?
b. Какова цена облигации, если требуемая доходность с 15% возросла до 16%, и каково в этом случае процентное изменение цены?
с. Какова цена облигации, если требуемая доходность равна 5%?
d. Какова цена облигации, если требуемая доходность возрастет с 5% до 6%, и каково в этом случае процентное изменение цены?
е. Проанализируйте результаты, полученные в пунктах b и d, и опишите волатильность цены облигации на рынке с высокими процентными ставками относительно ее волатильности на рынке, где процентные ставки низки.
10. Предположим, что три года назад вы приобрели долговое обязательство по номиналу в $100 000, причем срок до погашения составлял девять лет. Рыночная цена этого долгового обязательства в настоящее время равна $90 000. Назовите возможные причины падения цены, произошедшие в течение последних трех лет.
11. Вы просматриваете список цен облигаций и видите следующие значения цен (на $100 номинальной стоимости):
Вам кажется, что в таблице есть несколько ошибок. Не подсчитывая точное значение цены каждой облигации, скажите, цены каких облигаций указаны неверно и почему.
12. Что такое максимальная цена облигации?
13. Что такое «грязная» цена облигации?
14. Вы согласны со следующим утверждением: «Цена облигации с плавающей купонной ставкой всегда равна номинальной стоимости»? Обоснуйте свой ответ.
15. Вы согласны со следующим утверждением: «Цена облигации с обратной плавающей ставкой растет, если референсная ставка падает»? Обоснуйте свой ответ.
7 Ценообразование облигаций со встроенными колл-опционами описано в главе 17.
9 В промежутке между датами перерасчета купона облигация с обратной плавающей ставкой может торговаться ниже или выше номинала.
11 Исключение составляют облигации, находящиеся в дефолте. Такие облигации котируются без учета накопленного купонного дохода.
10 Облигация с обратной плавающей ставкой может также создаваться на основе свопа процентных ставок — в этом случае отпадает нужда в создании облигации с обычной плавающей ставкой.
Глава
3
ИЗМЕРЕНИЕ ДОХОДНОСТИ
В этой главе читателю будут представлены сведения:
• о способах подсчета доходности любой инвестиции;
• о подсчете текущей доходности, доходности к погашению, доходности к пут-опциону, доходности к колл-опциону, а также доходности денежного потока;
• о вычислении доходности портфеля в целом;
• о вычислении дисконтного спреда для ценной бумаги с плавающей ставкой;
• о трех возможных источниках прибыли от облигации;
• о сущности риска реинвестиций;
• о недостатках традиционных способов измерения доходности;
• о вычислении общей прибыли от облигации;
• о преимуществах использования меры общей прибыли вместо традиционных мер доходности;
• об анализе временных горизонтов как способе установления потенциальной прибыли от облигации.
• о способах измерения изменений доходности.
В главе 2 мы выяснили принципы ценообразования облигаций и описали взаимоотношения между ценой и доходностью. В настоящей главе речь пойдет о различных мерах доходности и об их значимости в процессе выбора наиболее выгодной с инвестиционной точки зрения облигации, а также о способах измерения изменений доходности. Обсуждение этой темы мы начнем с описания способов подсчета доходности любой данной инвестиции.
ВЫЧИСЛЕНИЕ ДОХОДНОСТИ, ИЛИ ВНУТРЕННЕЙ СТАВКИ ДОХОДНОСТИ, ЛЮБОЙ ИНВЕСТИЦИИ
Доходность (yield) любой инвестиции — это процентная ставка, которая позволит уравнять приведенную стоимость денежных потоков данной инвестиции с ценой (стоимостью) инвестиции. Таким образом, доходность инвестиции — это процентная ставка у, удовлетворяющая следующему уравнению:
В кратком виде эта формула может быть записана как:
где:
CFt — денежный поток в год t;
P — цена инвестиции;
N — количество лет.
Доходность, полученная из данного равенства, называется также внутренней ставкой доходности (internal rate of return).
Определение доходности y в данном случае проходит методом проб и ошибок, иными словами, путем подбора. Цель процесса — нахождение значения процентной ставки, при котором приведенная стоимость денежных потоков будет равна цене. Приведем пример такой процедуры.
Предположим, что финансовый инструмент, продающийся по $903,10, обещает в будущем следующие годовые выплаты:
Вычисление доходности сводится к поиску такой процентной ставки, при которой приведенная стоимость денежных потоков окажется равной $903,10 (т.е. цене данного финансового инструмента). Подстановка процентной ставки 10% дает следующий результат:
Приведенная стоимость, вычисленная исходя из процентной ставки, равной 10%, превышает цену ($903,10). Таким образом, для уменьшения приведенной стоимости процентная ставка должна быть увеличена. Предположим, что она составляет 12%. В этом случае, как видно из таблицы, приведенная стоимость окажется равной $875,71:
Мы видим, что при процентной ставке в 12% приведенная стоимость денежного потока меньше цены финансового инструмента. Для увеличения значения приведенной стоимости следует выбрать более низкую процентную ставку. Возьмем процентную ставку, равную 11%, и получим:
При процентной ставке 11% приведенная стоимость денежного потока оказывается равной цене финансового инструмента. Таким образом, доходность в данном случае составляет 11%.
Представленная выше формула вычисления доходности основана на величине денежных потоков, поступающих раз в год, однако она может быть уточнена в соответствии с количеством совершаемых ежегодно периодических выплат. Обобщенная формула выглядит следующим образом:
где:
CFt — денежный поток в период t;
n — число периодов.
Напомним, что доходность, вычисляемая с помощью этой формулы, — это доходность в расчете на период. При поступлении денежных потоков раз в полгода мы получим полугодовую доходность. При поступлении денежных потоков раз в месяц речь пойдет о месячной доходности. Для вычисления обычной годовой процентной ставки доходность для периода умножается на число периодов в году.
Особый случай: инвестиция с единственным денежным потоком
Долгой и трудоемкой процедуры подбора при определении доходности удается избежать в единственном случае, а именно: если от инвестиции в будущем предполагается всего один денежный поток. Если инвестиция характеризуется одним денежным потоком в период n (CFn), формула (3.2) сводится к следующему равенству:
Доходность у, таким образом, оказывается равной:
Продемонстрируем действие формулы на конкретном примере. Допустим, что финансовый инструмент, цена которого в настоящий момент составляет $62 321,30, должен через шесть лет принести $100 000. Доходность данной инвестиции, согласно формуле (3.3), будет равна 8,20%, поскольку:
Обратите внимание на то, что отношение денежного потока в период n к цене финансового инструмента (т.е. CFn /P) представляет собой будущую стоимость инвестиции в $1.
Вычисление годовых доходностей
В главе 2 мы получали значение годовых процентных ставок, умножая доходность для периода на число периодов в году. Напомним, что данный результат носит название обычной годовой процентной ставки. Так, например, полугодовая доходность переводится в годовую умножением на 2. И наоборот: из годовой процентной ставки, поделив ее на 2, можно получить ставку для шести месяцев.
Такая упрощенная процедура вычисления годовой процентной ставки на основании данных о процентной ставке для периода (недели, месяца, квартала, полугода и т.д.) дает достаточно приблизительный результат. Для получения точного значения годовой доходности из имеющейся доходности для периода должна быть использована следующая формула:
точная годовая доходность = (1 + процентная ставка для периода)m – 1,
где m — количество выплат в год. Предположим, например, что процентная ставка для периода составляет 4%, а выплаты совершаются дважды в год. Тогда:
точная годовая доходность = 1,042 – 1 = 1,0816 – 1 = 0,0816, или 8,16%.
Если процент выплачивается раз в квартал, а процентная ставка для периода равна 2% (8%/4), точная годовая доходность составит 8,24%, поскольку:
точная годовая доходность = 1,024 – 1 = 1,0824 – 1 = 0,0824, или 8,24%.
Процентная ставка для периода, соответствующая данной годовой ставке, может быть получена из преобразования приведенной выше формулы. Преобразуем формулу вычисления точной годовой доходности и получим:
процентная ставка для периода = (1 + точная годовая доходность)1/m – 1.
Так, при точной годовой доходности, равной 12%, квартальная процентная ставка определяется следующим образом:
процентная ставка для периода = 1,121/4 – 1 = 1,0287 – 1 = 0,0287, или 2,87%.
ТРАДИЦИОННЫЕ МЕРЫ ДОХОДНОСТИ
Существует несколько мер доходности, традиционно используемых дилерами и портфельными менеджерами. В этом разделе мы опишем суть каждой из величин и продемонстрируем способ вычисления ее значения. Следующий раздел посвящен критическому анализу разных мер доходности и значимости их применения в процессе выбора наиболее выгодной для инвестирования облигации.
Текущая доходность
Текущая доходность — это отношение годовой купонной ставки к рыночной цене. Формула вычисления текущей доходности записывается следующим образом:
Так, текущая доходность 15-летней облигации с 7%-ным купоном, номиналом $1000 и ценой $769,40 равна 9,10%, поскольку:
При вычислении текущей доходности в расчет принимаются только купонные выплаты. Никакие другие источники прибыли, поступающей от облигации, не рассматриваются. Не учитывается, например, прирост капитала, осуществляемый инвестором, приобретающим облигацию с дисконтом и держащим ее до погашения; в то же время не описывается и убыток, который терпит инвестор в случае, если он додержал до погашения облигацию, купленную с премией. Временная стоимость денег также не принимается в расчет.
Доходность к погашению
В начале этой главы мы показали, как вычисляется доходность или внутренняя ставка доходности любой инвестиции. Доходность определяется как процентная ставка, при которой приведенная стоимость денежных потоков равна цене (начальной инвестированной сумме). Доходность к погашению вычисляется так же, как и рассмотренная выше доходность (внутренняя ставка доходности); учитываются те денежные потоки, которые получает инвестор, держащий облигацию до погашения. Для того чтобы вычислить доходность к погашению облигации с купоном, выплачиваемым раз в полгода, прежде всего определяется у — значение процентной ставки для периода, удовлетворяющей следующему требованию:
где:
P — цена облигации;
C — полугодовая купонная ставка (в долларах);
M — номинальная стоимость (в долларах);
n — число периодов (число лет × 2).
Для облигации с купоном, выплачиваемым раз в полгода, доходность к погашению должна быть получена удвоением процентной ставки для периода или дисконтной ставки (у). Напомним, однако, тезис, обсуждавшийся нами в разделе, посвященном вычислению годовых доходностей: умножение процентной ставки для периода на число периодов не дает точного представления о годовой доходности. Впрочем, на рынке принято считать доходностью к погашению именно такую, умноженную на два, процентную ставку у, удовлетворяющую равенству (3.4). Доходность к погашению, полученную с учетом этого рыночного соглашения, называют доходностью, эквивалентной облигационной (bond-equivalent yield).
Вычисление доходности к погашению проводится методом подбора. Продемонстрируем процедуру поиска значения на примере облигации, для которой выше была подсчитана текущая доходность. Денежный поток данной облигации представляет собой: 1) 30 купонных выплат по $35, производимых каждые шесть месяцев, и 2) $1000 — сумма, которая будет выплачена через 30 полугодовых периодов.
Для получения необходимого результата в формулу (3.4) подставляются разные значения у до тех пор, пока не будет найдено число, при котором приведенная стоимость денежных потоков окажется равной рыночной цене облигации, т.е. $769,42. Приведенные стоимости денежных потоков облигации при разных процентных ставках для периодов показаны в таблице:
При полугодовой процентной ставке, равной 5%, приведенная стоимость денежных потоков составляет $769,42. Таким образом, у равно 5% и доходность к погашению (доходность, эквивалентная облигационной) — 10%.
Доходность к погашению для облигации с нулевым купоном подсчитать проще, поскольку в вычислениях может быть использована формула (3.3). Денежный поток за период n равен номинальной стоимости М, а значит, формула (3.3) будет выглядеть следующим образом[12]:
Так, для 10-летней облигации с нулевым купоном и номинальной стоимостью $1000, торгующейся по цене $439,18, у равно 4,2%, поскольку:
Обратите внимание на то, что число периодов равно 20. Речь идет о полугодовых периодах, количество которых получается умножением числа лет на 2. Полугодовые периоды были выбраны для того, чтобы полученная доходность могла сравниваться с доходностью купонных облигаций. Получить годовую доходность, эквивалентную облигационной, можно, если удвоить у. В нашем случае результат составит 8,4%.
Доходность к погашению — это мера, которая позволяет оценить не только текущий купонный доход, но и размер прибыли или убытка, ожидающих капитал инвестора, остающегося владельцем облигации до погашения. Кроме того, доходность к погашению принимает в расчет временные параметры денежных потоков. Отношения между купонной ставкой, текущей доходностью и доходностью к погашению приведены в таблице:
Доходность к колл-опциону
В главе 1 мы писали о том, что эмитент может иметь возможность отозвать (выкупить) облигацию, не дожидаясь установленной даты погашения. Сроки отзыва и его цена устанавливаются в момент выпуска облигации. Цена исполнения колл-опциона носит название цены отзыва или колл-цены (call price). Для одних облигационных выпусков цена отзыва остается постоянной вне зависимости от даты, в которую отзыв будет совершен. Для других облигаций со встроенным колл-опционом цена отзыва меняется в соответствии с моментом отзыва, т.е. существует регламент отзыва, устанавливающий цену отзыва для каждой конкретной даты.
Для облигаций со встроенным колл-опционом наряду с доходностью к погашению традиционно вычисляется значение доходности к колл-опциону. Вычисления строятся на основании предположения о том, что эмитент в одну из установленных дат выкупит облигацию по установленной регламентом цене. Как правило, инвесторы подсчитывают значения доходности к первому отзыву или доходности к следующему отзыву, доходности к первому отзыву по номиналу и доходности к рефинансированию. Доходность к первому отзыву — мера, актуальная для облигационного выпуска, который не может быть выкуплен в настоящий момент, тогда как доходность к следующему отзыву вычисляется для облигации, колл-опцион на которую в настоящий момент может быть приведен в действие. Доходность к рефинансированию подсчитывается исходя из предположения о том, что, как только облигация станет рефинансируемой, она немедленно будет отозвана. (В главе 7 мы покажем, что облигационный выпуск может содержать встроенный колл-опцион, однако в определенный период времени его нельзя отозвать за счет привлечения более дешевого финансирования, чем процентная ставка самой облигации. В этот период времени выпуск называется нерефинансируемым.)
Процедура вычисления доходности к любой из дат отзыва проходит так же, как подсчет любой другой доходности, а именно: определяется процентная ставка, при которой приведенная стоимость предполагаемых денежных потоков будет равна цене облигации. В случае доходности к первому отзыву предполагаемые денежные потоки представляют собой купонные выплаты, произведенные до первой даты отзыва, а также установленную в регламенте цену отзыва. При вычислении доходности к первому отзыву по номиналу денежными потоками считаются купонные выплаты, совершенные до первой даты, в которую эмитент может выкупить облигацию по номиналу, а также последний денежный поток в размере номинальной стоимости.
Формула вычисления доходности к колл-опциону выглядит следующим образом:
где:
M* — цена отзыва (в долларах);
n* — число периодов до предполагаемой даты отзыва (число лет × 2).
Для облигации с купоном, выплачиваемым раз в полгода, удвоение процентной ставки для периода (у) дает доходность к колл-опциону, эквивалентную облигационной.
Рассмотрим 18-летнюю облигацию с купоном, равным 11%, номинальной стоимостью $1000 и ценой $1169. Предположим, что первый отзыв может быть произведен через 8 лет с настоящего момента, причем цена отзыва — $1055. Денежные потоки от такой облигации, отозванной через 13 лет, представляют собой: 1) 26 купонных выплат по $55 и 2) $1055 через 16 шестимесячных периодов с настоящего времени.
При подстановке искомого значения у в формулу (3.6) должно выполняться равенство правой и левой частей, т.е. приведенная стоимость денежных потоков до первой даты отзыва должна быть равна цене облигации ($1169). Процедура определения значения доходности к первому отзыву аналогична вычислению доходности к погашению. Приведенные стоимости при разных процентных ставках для периодов даются в таблице:
Процентная ставка для периода, составляющая 4,2675%, соответствует приведенной стоимости денежных потоков, равной цене облигации, а это значит, что у, или доходность к первому отзыву, — это 4,2675%. Таким образом, доходность к первому отзыву, эквивалентная облигационной, равна 8,535%.
Предположим, что первая дата отзыва по номиналу для этой облигации — это момент, наступающий через 13 лет с настоящего времени. Тогда доходность к первому отзыву по номиналу — это процентная ставка, при которой приведенная стоимость $55, выплачиваемых каждые полгода в течение следующих 26 периодов, плюс номинальная стоимость $1000, которая будет получена через 26 полугодовых периодов, окажется равной цене, а именно $1169. Предлагаем читателю самостоятельно провести продемонстрированную нами на примерах процедуру подбора и надеемся, что полученный результат совпадет с нашим: полугодовая процентная ставка, при которой приведенная стоимость денежных потоков равна цене, составляет 4,3965%, а доходность к первому отзыву по номиналу равна, соответственно, 8,793%.
Доходность к пут-опциону
В главе 1 мы обсуждали облигации со встроенным пут-опционом, суть которого состоит в следующем: держатель облигации имеет право заставить эмитента приобрести выпуск по установленной цене. Для облигации со встроенным пут-опционом, так же как и для облигации с колл-опционом, может существовать регламент продаж. В регламенте обозначается дата вынужденной покупки облигации эмитентом и цена покупки — так называемая пут-цена (put price).
Для облигаций со встроенным пут-опционом рассчитывается доходность к пут-опциону. Доходность к пут-опциону — это процентная ставка, при которой приведенная стоимость денежных потоков, поступающих до предполагаемой даты вынужденной покупки выпуска эмитентом, а также пут-цена на эту дату, обозначенная в регламенте, в сумме равны цене облигации. Формула вычисления этой величины аналогична формуле (3.6): за М* в данном случае принимается пут-цена, а за n* — число периодов до предполагаемой даты продажи выпуска эмитенту. Вычисления проводятся по той же схеме, что и при определении значений доходности к погашению и доходности к колл-опциону.
Рассмотрим, например, ту же 18-летнюю облигацию с 11%-ным купоном, торгующуюся по $1169. Предположим, что ее можно продать эмитенту по номиналу ($1000) через пять лет. Доходность к пут-опциону — это процентная ставка, при которой $55, регулярно выплачиваемых в течение 10 полугодовых периодов, а также приведенная стоимость пут-цены, составляющей $1000, равны в сумме $1169. Предоставляем читателю самостоятельно убедиться в том, что искомый результат равен 3,471%. Удвоив это значение, получаем 6,942% — доходность к пут-опциону.
Доходность к наихудшему
На рынке облигаций принято вычислять доходность к погашению, доходность ко всем возможным датам отзыва (к колл-опционам) и ко всем возможным датам продажи выпуска эмитенту (к пут-опционам). Наименьшее из полученных значений доходностей носит название доходности к наихудшему.
Доходность денежного потока
В следующих главах мы будем обсуждать ценные бумаги с фиксированным доходом, денежные потоки которых включают частичные выплаты номинальной стоимости, осуществляемые до даты погашения. В каждый период денежный поток таких бумаг состоит как из процентных платежей, так и из части номинала. Ценные бумаги такого типа получили название амортизируемых. Примером ценных бумаг этого рода могут служить ценные бумаги, обеспеченные ипотеками, или ценные бумаги, обеспеченные активами. Кроме того, часть номинала, которую заемщик выплачивает в установленную дату, может превышать сумму, определенную регламентом. Разница между выплаченной частью номинала и размером выплаты, установленной регламентом, называется предоплатой. Таким образом, для амортизируемой ценной бумаги денежный поток в каждый период включает: 1) купонные платежи, 2) выплату части номинала, предусмотренную регламентом, и 3) предоплату.
Оценивая доходность амортизируемой ценной бумаги, инвесторы подсчитывают доходность ее денежного потока. Эта величина представляет собой процентную ставку, при которой приведенная стоимость предполагаемых денежных потоков будет равна рыночной цене. Трудность в данном случае состоит прежде всего в выяснении возможного размера предоплаты для каждого периода. Подробное обсуждение этой темы читатель найдет в главе 11.
Доходность (внутренняя ставка доходности) портфеля в целом
Доходность портфеля облигаций — это не просто среднее или взвешенное среднее доходностей к погашению отдельных облигационных выпусков, входящих в портфель. Для ее вычисления следует определить размер поступающих от портфеля денежных потоков, а затем подобрать процентные ставки, при которых приведенная стоимость этих денежных потоков будет равна рыночной цене портфеля[13].
Рассмотрим портфель, в который входят три следующие облигации:
Для упрощения вычислений предположим, что купонные выплаты по всем облигациям совершаются в один и тот же день. Общая рыночная стоимость портфеля составляет $57 259 000. Денежные потоки для каждой из облигаций в портфеле, а также для портфеля в целом суммированы в таблице:
Доходность (внутренняя ставка доходности) такого состоящего из трех облигаций портфеля определяется через нахождение процентной ставки, при которой приведенная стоимость денежных потоков из последней колонки таблицы будет равна $57 259 000 (общая рыночная цена портфеля). Приведенная стоимость денежных потоков будет равна $57 259 000 при процентной ставке 4,77%. Умножаем 4,77% на два и получаем 9,54%, т.е. эквивалентную облигационной доходность портфеля в целом.
Спред доходности для ценных бумаг с плавающей купонной ставкой
Купонная ставка ценной бумаги с плавающей купонной ставкой периодически пересчитывается по формуле перерасчета купона, основанной на значениях референсной ставки и котируемого спреда. Будущее значение референсной ставки заранее неизвестно, а это значит, что величина денежных потоков также не может быть определена. Таким образом, инвестор оказывается не в состоянии подсчитать доходность к погашению облигаций этого типа. Для ценных бумаг с плавающей ставкой участниками рынка традиционно используются меры спреда доходности, а именно: спред на время жизни, или простой спред (spread for life, или simple margin), уточненный простой спред (adjusted simple margin), уточненный общий спред (adjusted total margin) и дисконтный спред (discount margin)[14].
Наиболее популярной величиной является дисконтный спред — именно его достоинства и недостатки мы собираемся обсудить. Данная величина — средний спред относительно референсной ставки, который инвестор может рассчитывать получить в течение жизни ценной бумаги. Дисконтный спред вычисляется следующим образом:
Этап 1. Определяется размер денежных потоков в случае, если референсные ставки останутся постоянными на все время жизни ценной бумаги.
Этап 2. Выбирается спред.
Этап 3. Денежные потоки, размер которых определен на этапе 1, дисконтируются на величину, равную сумме текущего значения референсной ставки и выбранного на этапе 2 спреда.
Этап 4. Приведенная стоимость денежных потоков, полученная на этапе 3, сравнивается с ценой. Если приведенная стоимость равна цене, то дисконтный спред равен спреду, найденному на этапе 2. Если приведенная стоимость отличается от цены, следует вернуться на этап 2 и выбрать другое значение спреда.
Для ценной бумаги, торгующейся по номиналу, дисконтный спред определяется просто — это используемый при пересчете купона котируемый спред.
В качестве примера рассмотрим шестилетнюю ценную бумагу с плавающей купонной ставкой, торгующуюся по 99,3098; купон расчитывается исходя из значения референсной ставки плюс 80 базисных пунктов. Пересчет купона совершается каждые полгода. Предположим, что текущее значение референсной ставки — 10%. В табл. 3.1 приведены данные, позволяющие вычислить для этой ценной бумаги дисконтный спред. В первой колонке мы видим текущее значение референсной ставки. Вторая колонка представляет денежные потоки, получаемые от ценной бумаги. Денежный поток в первые 11 периодов равен умноженной на 100 сумме половины текущего значения референсной ставки (5%) и полугодового спреда в 40 базисных пунктов. В двенадцатый полугодовой период денежный поток составляет 5,4 плюс номинальная стоимость 100. Верхний ряд последней (пятой) колонки демонстрирует выбранное значение спреда. В строках под выбранным спредом приводятся значения приведенных стоимостей для каждого денежного потока. Последний ряд — это суммарная приведенная стоимость денежных потоков.
Таблица 3.1. Вычисление дисконтного спреда ценной бумаги с плавающей ставкой
Ценная бумага с плавающей ставкой:
длительность — шесть лет;
купон = референсная ставка + 80 базисных пунктов;
перерасчет каждые полгода.
Анализируя все пять выбранных спредов доходностей, обнаруживаем, что приведенная стоимость равна цене облигации с плавающей ставкой (99,3098) при спреде в 96 базисных пунктов. Таким образом, дисконтный спред для полугодового периода составляет 48 базисных пунктов, для года — 96 базисных пунктов. (Заметим, что в случае, когда облигация торгуется по номиналу, дисконтный спред равен котируемому спреду — 80 базисным пунктам.)
Недостаток дисконтного спреда как меры потенциальной прибыли от инвестиций в ценную бумагу с плавающей ставкой связан с лежащим в основе вычислений предположением о том, что референсная ставка не изменится за время жизни ценной бумаги. Кроме того — и это второй существенный недостаток описываемой величины, — не принимается в расчет существование верхних или нижних границ величины купона, характерных для ряда облигаций с плавающим купоном.
ПОТЕНЦИАЛЬНЫЕ ИСТОЧНИКИ ПРИБЫЛИ ОТ ОБЛИГАЦИИ
Инвестор, приобретающий облигацию, может рассчитывать получить прибыль из одного или нескольких перечисленных ниже источников:
1. Периодические купонные выплаты, осуществляемые эмитентом.
2. Прирост капитала (или убыток — отрицательная прибыль) в момент, когда облигация погашается, выкупается эмитентом или продается.
3. Процентный доход, получаемый от реинвестиций периодически поступающих денежных потоков.
Последний компонент потенциальной прибыли носит название дохода от реинвестиций. Для стандартной облигации, по которой во время, предшествующее дате погашения, осуществляются только купонные выплаты и не предполагается выплат номинала, промежуточные денежные потоки состоят исключительно из купонных выплат. Для таких облигаций доход от реинвестиций — это процент, получаемый от реинвестирования процентных выплат. Описывая третий источник денежной прибыли от этих облигаций, принято говорить о «проценте на процент» (сложные проценты). Для амортизируемых ценных бумаг доход от реинвестиций — это процентная прибыль от реинвестирования как купонных выплат, так и производимых до даты погашения выплат части номинала. В дальнейшем обзоре мы обратимся к описанию источников прибыли для неамортизируемых ценных бумаг (т.е. облигаций, по которым до даты погашения не предусмотрены периодические выплаты частей номинала).
Очевидно, что мера потенциальной доходности облигации должна принимать в расчет все три источника возможной прибыли. Напомним, однако, что текущая доходность учитывает только периодические выплаты купона, при этом не учитывается ни прирост капитала (или убыток), ни процент на процент. Доходность к погашению подсчитывается исходя из размера купонных выплат, а также возможного прироста (потерь) капитала. В расчет принимается также процент на процент. Между тем, как мы покажем в дальнейшем, в основе вычислений доходности к погашению лежит предположение о том, что купонные выплаты могут быть реинвестированы под ту же самую доходность. Доходность к погашению является, таким образом, обещанной доходностью: она станет реальностью, только если: 1) инвестор додержит облигацию до погашения и 2) купонные выплаты будут реинвестированы под данную доходность к погашению. Если либо первое, либо второе условие не соблюдается, доходность облигации в действительности оказывается больше или меньше доходности к погашению.
Доходность к колл-опциону также учитывает все три возможных источника прибыли от облигации со встроенным колл-опционом. В этом случае предполагается, что купонные выплаты могут быть реинвестированы под доходность к колл-опциону. Таким образом, доходность к колл-опциону — мера, страдающая тем же недостатком, что и доходность к погашению. Кроме того, доходность к колл-опциону оказывается реальной величиной только в ситуации, когда эмитент действительно выкупает облигационный выпуск в установленную дату.
При вычислении доходности денежного потока (об этой величине мы подробно поговорим в главе 11), так же как и при подсчете доходности к погашению, учитываются все три источника прибыли. В этом случае процедура поиска значений строится на двух следующих предположениях: во-первых, периодические выплаты номинала должны быть реинвестированы под данную доходность денежного потока; во-вторых, предполагаемые предоплаты на самом деле обязаны осуществиться.
Определение размера прибыли за счет сложных процентов
Рассмотрим неамортизируемые ценные бумаги. Процент на процент может являться заметной частью прибыли, ожидаемой от облигации. В абсолютном выражении потенциальная прибыль от всех купонных выплат и процента на процент подсчитывается по формуле вычисления будущей стоимости аннуитета, приведенной в главе 2. Допустим, что r — полугодовая ставка реинвестиций, тогда сумма процента на процент и всех купонных выплат равна:
Величина (денежная) всех купонных выплат находится умножением полугодовой купонной выплаты на число периодов:
величина всех купонных выплат = nC.
Процент на процент представляет собой разницу между суммой купонных выплат и процента на процент и величиной всех купонных выплат. Результат выглядит следующим образом:
Напомним, что вычисление доходности к погашению строится на предположении о возможности реинвестировать купоны под данную доходность к погашению.
Рассмотрим теперь 15-летнюю облигацию с купоном 7% (мы анализировали ее, говоря о текущей доходности и доходности к погашению). Если цена облигации при номинале $1000 составляет $769,40, то ее доходность к погашению равна 10%. Примем за годовую ставку реинвестиций 10%. Соответственно, полугодовая ставка составит 5%. Тогда сумма процента на процент и купонных выплат, согласно формуле (3.7), равна:
А процент на процент по формуле (3.8) составит:
процент на процент = $2 325,36 – 30 × $35 = $1 275,36.
Доходность к погашению и риск реинвестиций
Представим теперь, что инвестор додержал такую облигацию до погашения. Как было указано выше, общая прибыль от данной инвестиции поступает из трех источников:
1. Все купонные выплаты в размере $1050 (купонная выплата по $35 каждые полгода в течение 15 лет).
2. Сложные проценты в размере $1275,36, полученные от осуществляемого каждые шесть месяцев реинвестирования полугодовых купонных выплат под 5%.
3. Прирост капитала, равный $230,60 ($1000 минус $769,40).
Таким образом, при условии реинвестирования купона под доходность к погашению 10% потенциальная общая денежная прибыль составит $2555,96.
Заметим, что инвестор, помести он деньги, потраченные на приобретение облигации ($769,40), на сберегательный счет, дающий по 5% каждые полгода в течение 15 лет, имел бы сбережения будущей стоимостью
$769,40 × 1,0530 = $3325,30.
При начальной стоимости инвестиций $769,40 общая прибыль составит $2555,90.
Итак, человек, инвестирующий $769,40 на 15 лет под 10% годовых (5% в полгода), рассчитывает по окончании 15 лет получить вложенный капитал в размере $769,40 плюс $2555,90. Именно эту цифру (без учета ошибок округления) мы получили, анализируя денежную прибыль от облигации, предположив, что ставка реинвестиций будет равна доходности к погашению 10%. Очевидно, что доходность облигации составит 10%, только если $1275,36 будут получены от реинвестирования купонных выплат. Это значит, что доходность к погашению 10% возможна лишь в ситуации, когда почти половина ($1275,36 / $2555,96) общей прибыли от облигации поступает от реинвестирования купонных выплат.
Доходность к погашению, предполагаемая в момент покупки ценной бумаги, сможет стать реальностью, если инвестор додержит облигацию до погашения и если купонные выплаты будут реинвестированы под данную доходность к погашению. Существует риск, связанный с тем, что будущие ставки реинвестирования могут оказаться ниже, чем доходность к погашению в момент покупки облигации. Риск этого рода принято называть риском реинвестиций.
Значимость процента на процент как компонента прибыли и, соответственно, степень риска реинвестиций определяются двумя характеристиками облигации: ее длительностью и купоном. При одинаковых доходностях к погашению и одинаковых купонах общая денежная прибыль облигации, длительность которой выше, в большей степени зависит от величины процента на процент. Иными словами, чем больше длительность, тем выше риск реинвестиций. Очевидно, таким образом, что доходность к погашению — величина, малозначимая для участника рынка, инвестирующего в долгосрочные купонные облигации, поскольку плохо описывает потенциальную прибыль, которую реализует инвестор, додержавший ценную бумагу до погашения. Для долгосрочных облигаций третья составляющая прибыли — процент на процент — может доходить до 80% от общего размера прибыли.
При одинаковых длительностях и одинаковых доходностях к погашению облигации с более высокой купонной ставкой демонстрируют бóльшую зависимость общей прибыли от результатов реинвестиций купонных выплат. Таким образом, при равных длительностях и доходностях к погашению облигации, торгующиеся с премией, в большей степени, чем облигации, продаваемые по номиналу, зависят от величины процента на процент. Облигация, торгующаяся с дисконтом, зависит от величины процента на процент меньше, чем облигация, которую приобрели по номиналу. Общая прибыль от облигаций с нулевым купоном никак не связана с величиной процента на процент — это значит, что додержанные до погашения облигации с нулевым купоном характеризуются нулевым риском реинвестиций. Таким образом, доходность облигации с нулевым купоном на момент погашения соответствует обещанной доходности к погашению.
Доходность денежного потока и риск реинвестиций
Для амортизируемых ценных бумаг риск реинвестиций характерен в большей степени, чем для ценных бумаг, не подверженных амортизации. Объяснение простое: владельцу амортизируемой облигации приходится реинвестировать не только периодические купонные платежи, но и периодически выплачиваемые части номинала. Кроме того, подробнее этот феномен мы опишем в главах, посвященных двум основным типам амортизируемых ценных бумаг — ценным бумагам, обеспеченным ипотеками, и ценным бумагам, обеспеченным активами. Денежные потоки от таких облигаций поступают раз в месяц, а не раз в шесть месяцев, как это принято в других случаях. Инвестору, во-первых, приходится в придачу к купонным выплатам реинвестировать периодически выплачиваемые части номинала; во-вторых, процедура реинвестирования повторяется чаще. Очевидно, что в такой ситуации риск реинвестиций растет.
Существует еще одно свойство амортизируемых ценных бумаг, благодаря которому может увеличиваться риск реинвестиций. Как правило, заемщик имеет право ускорить периодические выплаты номинала, т.е. совершать предоплату. Заемщик, скорее всего, совершит предоплату, если процентные ставки упадут. Инвестор, таким образом, рискует оказаться перед необходимостью реинвестировать предоплату на рынке, где процентные ставки низки.
ОБЩАЯ ПРИБЫЛЬ
В предыдущем разделе мы уже отмечали, что доходность к погашению является обещанной доходностью. В момент покупки облигация обещает инвестору некую доходность, возможную в будущем при соблюдении двух условий:
1. Облигация держится до погашения.
2. Все купонные выплаты реинвестируются под данную доходность к погашению.
Мы подробно обсудили второе условие и показали, что размер процента на процент может существенно влиять на общую прибыль от облигации. Таким образом, реинвестирование купонных выплат под ставку более низкую, чем доходность к погашению, сделает реальную доходность облигации ниже, чем доходность к погашению.
По-видимому, инвестору не следует рассчитывать на то, что купонные выплаты будут реинвестированы под доходность к погашению. Ему стоило бы на основании собственных рассуждений сделать заключение о будущих ставках реинвестирования. Общая прибыль (total return) — это мера доходности, строящаяся на основе эксплицитных предположений инвестора о будущих ставках реинвестирования.
Рассмотрим теперь первое условие: необходимость держать облигацию до момента погашения. Предположим, что инвестор, решивший вложить капитал на пять лет, выбирает одну из четырех облигаций:
| Облигация |
Купон (%) |
Длительность (годы) |
Доходность к погашению (%) |
| А В С D |
5 6 11 8 |
3 20 15 5 |
9,0 8,6 9,2 8,0 |
Какая из облигаций — при условии, что их кредитное качество не различается — является наиболее выгодной для инвестора? Инвестор, выбравший облигацию С из-за ее наиболее высокой доходности к погашению, закрывает глаза на тот факт, что через пять лет облигация должна быть продана по цене, зависящей от доходности, которую в тот момент рынок потребует от 10-летней облигации с 11%-ным купоном. Очевидно, что в этой ситуации возможен либо прирост капитала, либо убыток, благодаря которым прибыль окажется выше или ниже обещанной в настоящий момент доходности к погашению. Кроме того, более высокий, по сравнению с прочими облигациями, купон облигации С, означает, что бóльшая часть прибыли будет зависеть от реинвестиций получаемых купонных выплат.
Облигация А предлагает вторую по величине доходность к погашению. На первый взгляд, именно эта ценная бумага кажется наиболее привлекательной, поскольку ее владелец не рискует реализовать убыток в момент продажи облигации до даты погашения. Более того, в этом случае, как кажется, невысок риск реинвестиций: купонная ставка этой облигации ниже купонной ставки трех остальных. Между тем риск реинвестиций для владельца такой облигации существует: через три года сумма, полученная при погашении, должна быть реинвестирована еще на два года. Доходность, которую получит инвестор, зависит от процентных ставок, которые установятся через три года на двухлетние облигации.
Похоже, что доходность к погашению не лучший критерий для выбора ценной бумаги. Как же совершить выбор? Ответ зависит от ожиданий инвестора и, в первую очередь, от его инвестиционного горизонта. Кроме того, в случае облигаций, длительность которых превышает инвестиционный горизонт, он зависит от того, какие предположения строит инвестор относительно требуемой рыночной доходности в момент окончания инвестиционного горизонта. Таким образом, любая из четырех облигаций может стать наилучшей: инвестору важно лишь определить свою точку зрения на ставки реинвестиций и будущую требуемую доходность. Величина общей прибыли определяется исходя из сделанных предположений и позволяет, в соответствии с персональными ожиданиями инвестора, выявить лучший объект для вложения капитала.
Мера доходности к колл-опциону страдает теми же недостатками, что и мера доходности к погашению. Во-первых, ее значение отражает действительное положение вещей только в случае, если инвестор додерживает облигацию до первой даты отзыва. Во-вторых, предполагается, что купонные выплаты могут быть реинвестированы под доходность к колл-опциону. Если инвестиционный горизонт участника рынка является более коротким, чем временной отрезок до первой даты отзыва, облигацию, возможно, придется продать по цене меньшей, чем цена покупки. Если же, напротив, инвестиционный горизонт длиннее отрезка времени до даты отзыва, участник рынка может оказаться перед необходимостью реинвестировать полученную в результате отзыва сумму на период, оставшийся до окончания временного горизонта. Таким образом, величина доходности к первой дате отзыва мало помогает инвестору, анализирующему облигацию. Мера общей прибыли, в свою очередь, является чрезвычайно полезным аналитическим инструментом, в том числе при работе с облигациями, имеющими встроенный колл-опцион.
Вычисление общей прибыли от облигации
Гипотеза, положенная в основу меры общей прибыли, проста. Цель вычислений — узнать, прежде всего, денежную сумму, которую в будущем принесут инвестиции в данную облигацию, при условии существования на рынке определенных ставок реинвестирования. Далее общая прибыль выражается в виде годового процента, т.е. ставки, позволяющей начальному капиталовложению возрасти до требуемой денежной суммы.
Процедура подсчета общей прибыли от облигации на некоем временном горизонте может быть вкратце описана следующим образом. Инвестор делает предположение относительно будущей ставки реинвестирования, а затем на основании ее значения подсчитывает денежную прибыль, которую в момент окончания временного горизонта принесут как купонные выплаты, так и сложные проценты. Кроме того, по окончании запланированного временного горизонта инвестор должен получить либо номинальную, либо другую стоимость облигации (стоимость облигации в случае продажи вычисляется исходя из предположений о будущей требуемой рыночной доходности). Общая прибыль — это процентная ставка, при которой сумма, инвестированная в облигацию (т.е. ее текущая рыночная стоимость плюс накопленный купонный доход), возрастет до денежной величины, ожидаемой в конце временного горизонта.
Ниже приводим краткий план действий, которым следует руководствоваться при вычислении общей прибыли от облигации на запланированном временном горизонте:
Этап 1. На основании сделанного предположения о размере будущей ставки реинвестиций подсчитайте величину общих купонных выплат плюс процент на процент. Сумма купонных выплат и процента на процент может быть вычислена с помощью формулы (3.7). В этом случае в качестве ставки реинвестиций следует принять половину годовой ставки, под которую инвестор рассчитывает вложить купонные выплаты.
Этап 2. Определите цену продажи на момент окончания временного горизонта. Предполагаемая цена продажи будет зависеть от предполагаемой требуемой доходности в конце планируемого отрезка времени. Предполагаемая цена будет равна приведенной стоимости оставшихся денежных потоков облигации, дисконтированных по предполагаемой требуемой доходности.
Этап 3. Сложите величиґны, полученные на этапах 1 и 2. Результатом явится общее будущее количество денег, которое может быть получено от инвестиций при условии наличия в момент окончания запланированного временного горизонта определенной доходности, а также существования определенных ставок реинвестиций[15].
Этап 4. Для получения полугодовой общей прибыли воспользуйтесь формулой:
где h — количество полугодовых периодов в инвестиционном горизонте. Заметьте, что данная формула — вариант уравнения (3.3), т.е. доходность инвестиции с единственным денежным потоком.
Этап 5. Поскольку обычно предполагается, что процент выплачивается раз в полгода, результат, найденный на этапе 4, следует удвоить. Полученная процентная ставка — это искомая общая прибыль от облигации, выраженная в процентах годовых.
В качестве примера рассмотрим инвестиционный горизонт, равный трем годам. Инвестор рассматривает целесообразность покупки 20-летней облигации с 8%-ным купоном за $828,40. Доходность к погашению такой облигации составляет 10%. Инвестор надеется, что сумеет реинвестировать купонные выплаты под годовую ставку 6% и что в конце запланированного отрезка времени 17-летние облигации будут торговаться с доходностью к погашению 7%. Общая прибыль от облигации подсчитывается так:
Этап 1. Приняв за данность ставку реинвестиций 6% (или 3% на полгода), вычисляем сумму всех купонных выплат и процента на процент. Купонные выплаты равны $40 каждые шесть месяцев в течение трех лет (напомним, что речь идет о запланированном временном горизонте). Применяем формулу (3.7) и подсчитываем сумму всех купонных выплат и процента на процент:
Этап 2. Определяем предполагаемую цену продажи через три года; напомним, что, по нашему допущению, требуемая доходность к погашению 17-летних облигаций в тот момент составит 7%. Вычисляем дисконтированные по 3,5% приведенную стоимость 34 купонных выплат по $40 и приведенную стоимость номинала $1000; результаты суммируем. Предполагаемая цена продажи составит $1098,51[16].
Этап 3. Сложение результатов, полученных на этапах 1 и 2, дает общее будущее количество долларов — $1375,25.
Этап 4. Для получения полугодовой общей прибыли воспользуемся формулой:
Этап 5. Умножим 8,58% на два: общая прибыль равна 17,16%.
При подсчетах подобного рода нет необходимости принимать за данность неизменность ставки реинвестиций в течение всего инвестиционного горизонта. Приведем пример, доказывающий, что мера общей прибыли отлично функционирует и в ситуации предположительного изменения ставок.
Допустим, что инвестор избрал шестилетний инвестиционный горизонт. Рассматривается 13-летняя облигация с купоном 9%, торгующаяся по номиналу. Инвестор делает следующие предположения:
1. Первые четыре полугодовые купонные выплаты можно будет в момент их получения реинвестировать под простую годовую ставку 8% на срок до окончания инвестиционного горизонта.
2. Остальные восемь полугодовых купонных выплат могут быть реинвестированы под простую годовую ставку 10% на срок с момента их получения до окончания инвестиционного горизонта.
3. Требуемая доходность к погашению для семилетних облигаций в момент окончания инвестиционного горизонта составит 10,6%.
Общая прибыль вычисляется на основании этих трех предположений следующим образом:
Этап 1. В течение шести лет (продолжительность инвестиционного горизонта) инвестор каждые шесть месяцев будет получать купонные выплаты в размере $45 каждая. Купонные выплаты плюс процент на процент для первых четырех выплат при условии полугодовой ставки реинвестиций 4% дают:
Результат представляет собой сумму купонных выплат и процента на процент на момент окончания второго года (через четыре периода). Реинвестируем эту сумму под 4% на период до окончания инвестиционного горизонта, т.е. на четыре года (восемь периодов); $191,09 возрастут до:
$191,09 × 1,048 = $261,52.
Для последних восьми купонных выплат сумма купонных выплат и процента на процент, при условии полугодовой ставки реинвестиций 5%, составит:
Купонные выплаты плюс процент на процент для всех 12 периодов составят $691,23 (т.е. $261,52 + $429,71).
Этап 2. Предполагаемая цена продажи облигации при условии требуемой доходности 10,6% равна $922,31[17].
Этап 3. Общее будущее количество денег равно $1613,54 ($691,23 + $922,31).
Этап 4. Проведем следующие вычисления:
Этап 5. Удвоим 4,07% и получим общую прибыль в процентах годовых, равную 8,14%.
Анализ облигации с помощью меры общей прибыли (анализ временных горизонтов)
Мера общей прибыли позволяет, исходя из собственных предположений о будущих ставках реинвестиций и будущей требуемой доходности, оценить эффективность вложения в облигацию на данном временном горизонте. Таким образом, управляющий портфелем получает возможность выбрать из нескольких возможных кандидатов облигацию, которая на запланированном временном горизонте покажет наилучший результат. Еще раз обратим ваше внимание на то, что доходность к погашению не может выполнять аналогичные функции, т.е. не является мерой относительной ценности облигации.
Использование величины общей прибыли при анализе эффективности вложений в облигацию на данном отрезке времени — процедура, лежащая в основе так называемого анализа временных горизонтов. Общая прибыль, вычисленная для данного временного горизонта, получила название прибыли на временнóм горизонте (horizon return). В нашей книге термины «прибыль на временном горизонте» и «общая прибыль» взаимозаменяемы.
Анализ временных горизонтов используется и при изучении инвестиционных характеристик облигационных свопов. Облигационный своп предполагает обмен имеющейся в портфеле облигации на другую облигацию. В ситуации, когда цель облигационного свопа — увеличить прибыль от портфеля на запланированном временном горизонте, управляющий может подсчитать общую прибыль облигации, которую собирается приобрести, и сравнить результат с общей прибылью облигации, имеющейся в портфеле; таким образом производится оценка целесообразности замены. Конкретные стратегии облигационных свопов будут обсуждаться в главе 25.
Противники меры общей прибыли недовольны тем, что, применяя ее, портфельный менеджер вынужден строить предположения относительно ставок реинвестиций и будущих доходностей, а также мыслить в категориях инвестиционного горизонта. К сожалению, часть управляющих портфелями предпочитают работать с доходностью к погашению и доходностью к колл-опциону только потому, что вычисление этих величин не требует от них формулировки собственных прогнозов рынка. Между тем анализ временных горизонтов позволяет оценить облигацию в контексте разных рыночных сценариев, разных ставок реинвестиций и требуемых доходностей. Только изучив несколько сценариев, менеджер может понять, насколько чувствительна облигация к разным типам происходящих на рынке изменений. В главе 20 мы поговорим о том, каким образом включается в анализ информация о предполагаемых изменениях процентных ставок.
Измерение изменений доходности
Когда процентные ставки или доходности меняются между двумя временными периодами, на практике существует два способа представления изменений: в абсолютном выражении и в процентном выражении.
Абсолютное изменение доходности (которое также называют абсолютным изменением ставки) измеряется в базисных пунктах и является абсолютным значением разницы между двумя доходностями. То есть
абсолютное изменение доходности (в базисных пунктах) =[первоначальная доходность – новая доходность] × 100
Например, рассмотрим три следующие доходности за три месяца:
Месяц 1 4,45%
Месяц 2 5,11%
Месяц 3 4,82%
Тогда абсолютное изменение доходности рассчитывается, как показано ниже:
абсолютное изменение доходности с месяца 1 по месяц 2 = [4,45% – 5,11%] × 100 = 66 базисных пунктов
абсолютное изменение доходности с месяца 2 по месяц 3 = [5,11 % – 4,82%] × 100 = 29 базисных пунктов
Процентное изменение доходности рассчитывается как натуральный логарифм изменения доходности, как показано ниже:
процентное изменение доходности = 100 × ln (новая доходность/первоначальная доходность)
где ln — натуральный логарифм.
Для указанных ранее доходностей за три месяца процентные изменения доходности составят:
абсолютное изменение доходности с месяца 1 по месяц 2 = ln(5,11% / 4,45%) – 13,83%
абсолютное изменение доходности с месяца 2 по месяц 3 = ln(4,82% / 5,11%) = –5,84%
Резюме
В этой главе мы описали традиционные меры доходности, широко используемые участниками рынка облигаций: текущую доходность, доходность к погашению, доходность к колл-опциону, доходность к пут-опциону, доходность к наихудшему и доходность денежного потока. Затем мы обратились к трем потенциальным источникам денежной прибыли от инвестирования в облигацию (купонные выплаты, доход от реинвестиций, прирост/потери капитала) и показали, что ни одна из традиционно принятых мер доходности не учитывает корректным образом все три компонента. Текущая доходность не принимает в расчет ни доход от реинвестиций, ни прирост/потери капитала. Доходность к погашению учитывает все три источника дохода, однако строится на безосновательном предположении о том, что купонные выплаты могут быть реинвестированы под данную доходность к погашению. Риск, связанный с реинвестированием купонных выплат под ставки более низкие, чем доходность к погашению, называется риском реинвестиций. Доходность к колл-опциону имеет аналогичные недостатки: предполагается, что купонные выплаты могут быть реинвестированы под доходность к колл-опциону. Величина доходности денежных потоков вычисляется на основании тех же предположений, что и доходность к погашению; кроме того, считается, что, во-первых, периодические выплаты номинала могут быть реинвестированы под доходность денежного потока и, во-вторых, предполагаемые предоплаты действительно будут иметь место. Наконец, нами была представлена еще одна мера доходности — общая прибыль, которая на основании предположений инвестора или портфельного менеджера о будущем состоянии рынка дает более полную информацию об относительной ценности облигации на запланированном временном горизонте.
Изменение доходности между двумя периодами времени можно рассчитать как абсолютное изменение доходности или как процентное изменение доходности.
Вопросы
1. Долговое обязательство обещает следующие выплаты:
Предположим, что цена данного долгового обязательства составляет $7704. Какова доходность или внутренняя ставка доходности, обещанная данным долговым обязательством?
2. Какова точная годовая ставка, если полугодовая процентная ставка равна 4,3%?
3. Что такое доходность к погашению облигации?
4. Что такое доходность к погашению, эквивалентная облигационной?
5. а. Определите размер денежных потоков четырех облигаций, если известно, что каждая из них имеет номинальную стоимость $1000 и купон по ним выплачивается раз в полгода.
b. Вычислите доходность к погашению четырех облигаций.
6. Управляющий портфелем хочет купить одну из двух облигаций. Облигация А будет погашена через три года, купон равен 10% и выплачивается раз в полгода. Облигация В имеет то же кредитное качество; ее срок до погашения — 10 лет, купон (выплачивается раз в полгода) — 12%. Обе облигации торгуются по номиналу.
а. Предположим, что управляющий портфелем планирует держать облигацию три года. Какую из двух ценных бумаг ему лучше купить?
b. Предположим, что менеджер будет держать облигацию не три года, а шесть лет. Какую облигацию ему лучше приобрести в этом случае?
с. Допустим, что менеджер управляет активами страховой компании, которая выпустила пятилетний гарантированный инвестиционный контракт (GIC). Страховая компания обещала своим инвесторам выплачивать по 9% каждые полгода. Какую из двух облигаций менеджер должен купить, чтобы страховая компания осуществила выплаты по GIC и в то же время получила прибыль?
7. Рассмотрим облигацию со следующими параметрами:
Купонная ставка = 11%
Длительность = 18 лет
Номинальная стоимость = $1000
Первый отзыв по номиналу (колл-опцион) — через 13 лет
Единственная дата продажи эмитенту (пут-опцион) — через пять лет; пут-опцион может быть исполнен по номиналу.
Предположим, что рыночная цена этой облигации равна $1169.
а. Докажите, что доходность к погашению этой облигации равна 9,077%.
b. Докажите, что доходность к первому отзыву по номиналу равна 8,793%.
с. Докажите, что доходность к пут-опциону равна 6,942%.
d. Предположим, что регламент отзыва этой облигации таков:
Она может быть выкуплена через восемь лет по $1055.
Она может быть выкуплена через 13 лет по $1000.
Предположим также, что облигация может быть продана эмитенту в единственную дату через пять лет с настоящего времени, а ее доходность к первому отзыву по номиналу составляет 8,535%. Какова доходность к наихудшему этой облигации?
8. а. Что такое амортизируемая ценная бумага?
b. Назовите три компонента денежного потока амортизируемой ценной бумаги.
с. Что такое доходность денежного потока?
9. Как вычисляется внутренняя ставка доходности портфеля?
10. Каковы недостатки внутренней ставки как меры доходности портфеля?
11. Предположим, что купонная ставка ценной бумаги с плавающей ставкой пересчитывается каждые полгода со спредом над референсной ставкой, равным 70 базисным пунктам. Допустим, что облигация торгуется по цене меньшей, чем номинал. Больше или меньше 70 базисных пунктов будет в этом случае дисконтный спред?
12. Инвестор собирается приобрести 20-летнюю облигацию с купоном 7%, торгующуюся по $816 при номинале $1000. Доходность к погашению облигации равна 9%.
а. Каково общее количество денег, полученное от вложения $816 на 20 лет под 9% годовых, с учетом реинвестиций, производимых каждые полгода?
b. Какова сумма всех купонных выплат за время жизни облигации?
c. Каково общее количество денег, которое инвестор получит к моменту окончания 20-летнего срока от купонных выплат и выплаты номинала?
d. Допустим, что инвестор хочет получить общее количество денег, обозначенное в пункте а. Каков в этом случае должен быть размер процента на процент?
e. Вычислите величину процента на процент при условии, что полугодовые купонные выплаты могут быть каждые шесть месяцев реинвестированы под 4,5%; заметим, что результат должен быть тот же, что и в пункте d.
13. Какова общая прибыль 20-летней облигации с нулевым купоном и доходностью к погашению 8% при условии, что облигация додержана до погашения?
14. Объясните, почему величина общей прибыли облигации, додержанной до погашения, — число, располагающееся между значениями доходности к погашению и ставкой реинвестирования.
15. Как вы думаете, к какому из двух значений — доходность к погашению или ставка реинвестирования — окажется ближе общая прибыль долгосрочной высокодоходной купонной облигации, додержанной до погашения?
16. Предположим, что инвестор, запланировавший пятилетний инвестиционный горизонт, собирается купить по номиналу семилетнюю облигацию с 9%-ным купоном. Инвестор считает, что сможет реинвестировать купонные выплаты под годовую ставку 9,4%; кроме того, он полагает, что в момент окончания инвестиционного горизонта двухлетние облигации будут торговаться с доходностью к погашению 12%. Какова общая прибыль облигации?
17. Два портфельных менеджера обсуждают инвестиционные характеристики амортизируемых ценных бумаг. Управляющий А полагает, что такие ценные бумаги выгоднее прочих, поскольку периодические выплаты наряду с купонными включают частичные выплаты номинала. Таким образом, вкладывая капитал в эти облигации, можно получить больший доход от реинвестиций. Кроме того, выплаты, как правило, производятся ежемесячно — доход от реинвестиций, соответственно, возрастает. Управляющий В думает, что необходимость каждый месяц совершать реинвестиции, превышающие купонные выплаты, — недостаток амортизируемых ценных бумаг. С кем вы согласны и почему?
18. Возьмем следующие доходности:
Неделя 1: 3,84%
Неделя 2: 3,51%
Неделя 3: 3,95%
а. Рассчитайте абсолютное изменение доходности и процентное изменение доходности с недели 1 по неделю 2.
б. Рассчитайте абсолютное изменение доходности и процентное изменение доходности с недели 2 по неделю 3.
Подробнее об этих мерах спреда доходности см. Frank J. Fabozzi, Steven V. Mann, Floating Rate Securities (New York: John Wiley & Sons, 2000), глава 3.
В главе 4 мы вводим понятие дюрации. Довольно верное приближение доходности портфеля может быть получено при использовании дюрации для взвешивания доходностей к погашению отдельных облигаций, входящих в портфель.
Напомним, что CFn мы заменяем на М.
Приведенная стоимость купонных выплат, дисконтированная по 5,3%, равна:
Приведенная стоимость 34 купонных выплат, дисконтированная по 3,5%, равна:
Общее будущее количество денег, вычисляемое на этом этапе, отличается от значения общей прибыли в абсолютном (денежном) выражении, подсчитанного нами в предыдущем разделе, где речь шла о значимости размера процента на процент. Общая прибыль, которую мы получили тогда, включала только прирост капитала (или убыток, если он имел место) и не была связана с ценой покупки, учтенной при подсчете общего количества денег. Таким образом:
Глава
4
ВОЛАТИЛЬНОСТЬ ЦЕН НА ОБЛИГАЦИИ
В этой главе читателю будут представлены сведения:
• о связи цены и доходности облигации без встроенных опционов;
• о факторах, определяющих волатильность цен при изменении доходностей;
• об общих выводах относительно волатильности цены облигации без встроенных опционов;
• о способе вычисления ценовой стоимости базисного пункта;
• о вычислении и интерпретации дюрации Маколея, модифицированной дюрации и долларовой дюрации облигации;
• о дюрации как мере чувствительности цены облигации к изменениям доходности;
• об измерении дюрации спреда облигации с фиксированной и плавающей ставкой;
• о вычислении дюрации портфеля и характеристиках портфельной дюрации;
• о недостатках дюрации как меры волатильности цены;
• о поправках, которые вносятся в значение дюрации как меры ценовых изменений с помощью понятия выпуклости;
• об аппроксимации значений дюрации и выпуклости облигации;
• о дюрации облигации с обратной плавающей ставкой;
• об измерении чувствительности портфеля к непараллельным изменениям процентных ставок (дюрации ключевых процентных ставок).
Разработка и использование эффективных стратегий управления портфелем облигаций невозможны без понимания сущности волатильности цен на облигации как реакции на изменения процентных ставок. Цель данной главы — объяснить понятие волатильности цены и представить несколько способов измерения волатильности.
СВЯЗЬ ЦЕНЫ И ДОХОДНОСТИ ДЛЯ ОБЛИГАЦИИ БЕЗ ВСТРОЕННЫХ ОПЦИОНОВ
Как следует из материалов главы 2, фундаментальным свойством облигаций без встроенных опционов является изменение цены в направлении, противоположном изменению требуемой доходности облигации. Феномен объясняется тождеством цены значению приведенной стоимости предполагаемых денежных потоков облигации. Рост (падение) требуемой доходности заставляет падать (расти) приведенную стоимость денежных потоков и тем самым уменьшает (увеличивает) цену. В табл. 4.1 приводятся соотношения доходности и цены шести гипотетических облигаций; цена указана для номинальной стоимости, равной $100, и купона, выплачиваемого раз в полгода.
1. Купон 9%, длительность 5 лет.
2. Купон 9%, длительность 25 лет.
3. Купон 6%, длительность 5 лет.
4. Купон 6%, длительность 25 лет.
5. Нулевой купон, длительность 5 лет.
6. Нулевой купон, длительность 25 лет.
Изобразив зависимость цена — доходность для любой облигации без встроенных опционов графически, мы получим кривую, приведенную на рис. 4.1. Заметим, что при росте требуемой доходности цена облигации без встроенных опционов падает. Это соотношение, однако, не линейно (его график не является прямой линией). Кривую, представляющую зависимость цена — доходность для любой облигации без встроенных опционов, принято называть выпуклой.
Зависимости цена — доходность, описываемые здесь, связаны с мгновенными изменениями требуемой доходности. Напомним (подробнее об этом см. главу 2), что изменения цены с течением времени являются также следствием: 1) изменения представлений о кредитном качестве эмитента, 2) приближения даты погашения (в случае облигации, купленной с дисконтом или премией) и 3) изменения рыночных процентных ставок.
ВОЛАТИЛЬНОСТЬ ЦЕНЫ ОБЛИГАЦИИ БЕЗ ВСТРОЕННЫХ ОПЦИОНОВ
В табл. 4.2 приведены значения процентного изменения цен на шесть гипотетических облигаций из табл. 4.1, связанного с изменениями требуемых доходностей (мы исходили из предположения о том, что начальная доходность всех облигаций составляла 9%). Анализ данных табл. 4.2 позволяет сделать несколько выводов о свойствах волатильности цен на облигации без встроенных опционов.
Свойство 1: Цены всех облигаций без встроенных опционов движутся в направлении, противоположном направлению движения требуемой доходности, однако процентные изменения цен для разных облигаций разнятся.
Таблица 4.2. Мгновенные процентные изменения цен шести гипотетических облигаций
Шесть гипотетических облигаций, цена которых изначально соответствует доходности 9%:
Купон 9%, длительность 5 лет, цена = $100,0000
Купон 9%, длительность 25 лет, цена = $100,0000
Купон 6%, длительность 5 лет, цена = $88,1309
Купон 6%, длительность 25 лет, цена = $70,3570
Купон 0%, длительность 5 лет, цена = $64,3928
Купон 0%, длительность 25 лет, цена = $11,0710
Свойство 2: При небольшом падении требуемой доходности цена (в процентном отношении) меняется так же, как и при небольшом росте требуемой доходности.
Свойство 3: Если требуемая доходность претерпевает заметные изменения, при ее росте цена (в процентном отношении) меняется не так, как при падении аналогичного размера.
Свойство 4: При сильном изменении требуемой доходности на данное количество базисных пунктов процентный рост цены больше, чем ее процентное падение.
Суть свойства 4 на практике сводится к следующему: если инвестор владеет облигацией (т.е. имеет длинную позицию по облигации), а требуемая доходность падает, то прибыль от облигации будет больше, чем убыток, который инвестор потерпит в случае роста требуемой доходности на то же число базисных пунктов. И наоборот: если инвестор открыл по облигации короткую позицию, потенциальный убыток при изменении требуемой доходности на данное число базисных пунктов окажется выше потенциальной прибыли.
Все четыре свойства волатильности цены могут быть объяснены, исходя из выпуклости зависимости цена — доходность. Более подробно данная тема будет рассмотрена в этой главе ниже.
Параметры облигации, определяющие волатильность ее цены
Волатильность цены облигации без встроенного опциона определяют два параметра: купон и длительность.
Параметр 1. При данной длительности и начальной доходности волатильность цены облигации тем выше, чем ниже купонная ставка. Доказательством этого положения может служить сравнение поведения цен облигаций с купоном 9%, 6% и 0%, имеющих одинаковую длительность.
Параметр 2. При данной купонной ставке и начальной доходности, чем дольше срок до погашения, тем выше волатильность цены. Сравните приведенные в табл. 4.2 данные о ценах на пятилетнюю и 25-летнюю облигации с одинаковым купоном.
На практике второе положение может быть расшифровано следующим образом: инвестор, ожидающий падения процентных ставок и желающий нарастить волатильность стоимости портфеля, должен собрать в портфель облигации с более долгим сроком до погашения. В ситуации ожидаемого роста процентных ставок уменьшить волатильность цены портфеля можно, собрав в портфеле облигации с более короткими сроками до погашения.
Влияние на волатильность доходности к погашению
Не следует забывать, что соображения кредитного качества заставляют облигации, имеющие одинаковые купоны и длительности, торговаться с разными доходностями. Каким образом, при прочих равных, влияет на волатильность цены доходность к погашению? Анализ показывает: чем выше доходность к погашению, тем ниже волатильность цены.
В табл. 4.3 приведены данные о 25-летней облигации с 9%-ным купоном, торгующейся с разными уровнями доходности. В первой колонке показан уровень доходности облигации, во второй — стартовая цена. Третья колонка показывает цену при изменении доходности на 100 базисных пунктов. Четвертая и пятая колонки демонстрируют долларовое и процентное изменение цены. Заметим, что чем выше начальный уровень доходности, тем ниже волатильность цены. Таким образом, при данном изменении доходностей волатильность цен выше на рынке, где уровни доходности низки, и наоборот: при высоких уровнях доходности волатильность невелика.
ИЗМЕРЕНИЕ ВОЛАТИЛЬНОСТИ ЦЕНЫ ОБЛИГАЦИИ
Управляющие портфелями, арбитражеры и трейдеры, которые хотят успешно применять разнообразные стратегии хеджирования и торговли, должны уметь измерять волатильность цены на облигацию. Существует три наиболее распространенных меры волатильности: 1) ценовая стоимость базисного пункта, 2) величина изменения доходности, соответствующая изменению цены, и 3) дюрация.
Ценовая стоимость базисного пункта
Ценовая стоимость базисного пункта, известная также как долларовая стоимость 01 (dollar value of 01), — это изменение цены облигации при изменении требуемой доходности на один базисный пункт. Обратите внимание на то, что данная мера волатильности описывает долларовую волатильность цены, в отличие от волатильности процентной (изменение цены как процент от стартовой цены). Как правило, ценовая стоимость базисного пункта выражается в виде абсолютной величины изменения цены. Напомним, что, согласно свойству 2 взаимосвязи цена — доходность, волатильность при росте требуемой доходности на 1 базисный пункт равна волатильности при аналогичном падении требуемой доходности.
Вычисление ценовой стоимости базисного пункта мы продемонстрируем на примере шести облигаций, описанных нами в табл. 4.1. Для каждой облигации приведены значения стартовой цены, цены после увеличения требуемой доходности на 1 базисный пункт (с 9% до 9,01%) и ценовая стоимость базисного пункта (разность между двумя ценами).
Данная мера волатильности цены отражает изменение цены в долларах. Деление ценовой стоимости базисного пункта на стартовую цену даст значение процентного изменения цены при изменении доходности на 1 базисный пункт.
Величина изменения доходности, соответствующая изменению цены
Другая мера волатильности цены облигации, используемая инвесторами, — это величина изменения доходности, соответствующая определенному изменению цены. Для ее вычисления прежде всего подсчитывают доходность к погашению облигации при падении цены облигации на Х долларов. Затем находится разность между начальной доходностью и новой доходностью, т.е. изменение доходности, соответствующее изменению цены на Х долларов. Чем меньше данная величина, тем выше долларовая волатильность цены, поскольку для изменения цены на Х долларов достаточно будет меньшего изменения доходности.
До недавнего времени казначейские ноты и облигации котировались на основе 1/32 процентного пункта. Таким образом, инвесторы рынка казначейских ценных бумаг вычисляли изменение доходности, соответствующее изменению цены на 1/32. Наши две гипотетические облигации с купоном 9% при условии падения цены на 1/32 демонстрируют следующее изменение доходности:
Корпоративные и муниципальные облигации, речь о которых пойдет в главах 6 и 7, торгуются с минимальным изменением цены, равным 1/8 процентного пункта. Таким образом, инвесторы этих рынков вычисляют изменение доходности, соответствующее изменению доходности на 1/8. Две гипотетические облигации с купоном 9% при условии падения цены на 1/8 демонстрируют следующие доходности:
Дюрация
В главе 2 мы писали о том, почему цена облигации, не имеющей встроенных опционов, может быть выражена в виде формулы[18]:
где:
P — цена облигации;
C — полугодовая купонная выплата (в долларах);
y — половина доходности к погашению или требуемой доходности;
n — число полугодовых периодов (число лет × 2);
M — номинальная стоимость (в долларах).
Для выяснения примерного изменения цены при небольшом изменении доходности следует вычислить первую производную выражения (4.1) по требуемой доходности:
Преобразовав формулу (4.2), получаем:
Выражение в скобках — это средневзвешенный срок до погашения денежных потоков облигации (взвешивание производится по приведенной стоимости денежного потока).
Формула (4.3) обозначает приблизительное долларовое изменение цены при небольшом изменении требуемой доходности. Деление обеих частей выражения (4.3) на Р позволяет найти значение примерного процентного изменения:
