автордың кітабын онлайн тегін оқу Рождение сложности. Эволюционная биология сегодня: неожиданные открытия и новые вопросы
Александр Марков
Рождение сложности. Эволюционная биология сегодня: неожиданные открытия и новые вопросы
Предисловие
Бесконечный лабиринт
Эта книга рассказывает о неожиданных и удивительных открытиях, сделанных в последние годы биологами. Наверное, не будет преувеличением сказать, что на протяжении последних пятидесяти лет биология развивается заметно быстрее всех остальных наук. Революция в биологии началась в 50-х – начале 60-х годов ХХ века, когда после долгих трудов и усилий ученые наконец сумели понять материальную природу наследственности. Расшифровка структуры ДНК и генетического кода поначалу была воспринята как разгадка Главной Тайны Жизни, разгадка полная и окончательная. В каком-то смысле так оно и было. Но история показала, что великие открытия середины прошлого века вовсе не дали окончательных ответов на все вопросы, стоявшие перед биологией. Они стали скорее волшебным "золотым ключиком", открывшим таинственную дверь, за которой обнаружились новые лабиринты неведомого. Окрыленные успехом, биологи ринулись в эти лабиринты, надеясь быстро пройти их, но за каждым поворотом их ждали все новые коридоры и развилки, и каждая разгаданная тайна порождала сотни новых вопросов. Так продолжается и поныне, и, хотя каждый пройденный шаг приносит нам новые знания, никаких признаков скорого постижения Жизни пока не заметно.
Поток новых открытий не иссякает. Наши представления об устройстве и развитии живой материи по-прежнему несовершенны и неполны. Теоретики не успевают осмыслить новые факты просто потому, что те слишком быстро накапливаются. Многие открытия, несмотря на необычайную скорость освоения информации в современном мире, оказываются неожиданными для самих ученых. Нам редко удается на основе уже имеющихся данных предсказать, что ждет нас за очередным поворотом, а это значит, что целостного понимания Жизни у нас пока нет, единая теория отсутствует.
И все же нельзя сказать, что мы совсем заблудились и потерялись в лабиринте знаний. Напротив, с каждым годом его карта становится все подробнее, а многие участки уже вполне прояснились. Только вот для теоретиков сейчас не лучшие времена: никто ведь не собирается ждать, пока они осмыслят полученные знания и разработают оптимальную стратегию дальнейшего поиска. Экспериментаторы мчатся вперед, не оглядываясь, а теоретики ковыляют в хвосте, спотыкаясь о груды добытых фактов и проклиная свою нелегкую долю. Кстати, это неизбежно ведет к некоторому снижению авторитета биологов-теоретиков по сравнению с героями сегодняшнего дня – биологами-экспериментаторами. Разумеется, это не более чем естественная "болезнь роста". Научное сообщество осознает, что сейчас время великих Экспериментов, накопления фактов, а время великих Теорий придет чуть позже, когда поток новых данных хоть немного начнет иссякать.
Новых знаний так много, что почти все теоретические конструкции – рабочие гипотезы, обобщения, правила, законы – то и дело приходится пересматривать и совершенствовать. Правда, классические концепции редко отбрасываются полностью. Обычно речь идет о расширениях и уточнениях пределов применения. Примерно так же в физике теория относительности вовсе не отменила ньютоновскую картину мира, а уточнила, дополнила и расширила ее. Как показывает опыт, лишь очень малая часть биологических теорий совсем не содержит в себе здравого зерна – конечно, если говорить о теориях, разработанных профессионалами, а не профанами.
У стороннего наблюдателя происходящее сейчас в биологии "бурление идей" может создать впечатление хаоса, полной ненадежности всех теорий. Но это впечатление обманчиво. Под кажущимся хаосом скрывается закономерный процесс развития науки, который, как и сама биологическая эволюция, часто идет методом проб и ошибок. Одна из задач этой книги – попытаться показать, как из хаоса фактов и идей постепенно выстраивается прочное и строгое здание теоретической биологии. Ну, может быть, не все целиком, но хотя бы ощутимыми блоками, которые в будущем непременно соединятся в нечто целостное.
Наверное, читатель уже догадался, что мы в этой книге не будем "опровергать дедушку Дарвина", равно как и других уважаемых и заслуженных "дедушек". В последнее время это стало слишком модно (правда, не столько в научном мире, сколько за его пределами). Что само по себе должно служить предостережением. Мода – не лучший ориентир для ученого. К тому же сами опровергающие порой весьма смутно себе представляют, какую именно из идей основоположника дарвинизма они опровергают и высказывал ли он вообще такую идею. Доходит до смешного: под броским заголовком "Дарвин был не прав" или "Теория Дарвина опровергнута" можно прочесть о том, что не все мутации случайны, или что приобретенные признаки, возможно, иногда наследуются, или что человек умелый (Homo habilis) мог и не быть прямым предком современного человека. Между тем Дарвин знать не знал ни о человеке умелом (его тогда еще не нашли), ни о мутациях в нынешнем понимании этого слова (генетики еще не было), а наследование приобретенных признаков Дарвин полагал вполне вероятным и даже очевидным. Подобные "опровержения" не свидетельствуют ни о чем, кроме дурного вкуса авторов подобных броских заголовков.
Все люди, и ученые в том числе, сильно различаются по степени толерантности, терпимости к чужим взглядам, мыслям и достижениям. Вот характерный пример. На одну статью российского палеонтолога, отправленную в западный журнал, пришло две рецензии. Первый рецензент утверждал, что статья плохая и публиковать ее можно только после кардинальной переработки. Далее шел список конкретных замечаний. Во второй рецензии говорилось, что статья превосходная, отлично написана и практически не требует никаких переделок, за исключением двух-трех мелочей. Затем, как и в первой рецензии, следовал список замечаний. Так вот: оба списка при ближайшем рассмотрении оказались абсолютно одинаковыми.
Смысл и результат, как видите, один и тот же (замечания были учтены и статья опубликована), но лично мне гораздо симпатичнее реакция второго рецензента. Если результат один, а разница только в эмоциях, то пусть лучше эмоции будут добрыми.
Как я уже говорил, теоретическая биология захлебывается в потоке новых фактов, в том числе совершенно неожиданных. Осмысление, обобщение, объяснение этой лавины открытий придет в свой черед, но случится это не в нынешнем году и не в следующем. Стоит ли тратить силы и время на выпячивание и эмоциональное переживание неизбежно возникающих противоречий между разными идеями и интерпретациями?
Теоретик-эволюционист Ю. В. Чайковский (известный, кстати, своими нетрадиционными взглядами на развитие органического мира) в своей последней книге[1] выделяет четыре основных направления эволюционной мысли:
1. ламаркизм (наследование приобретенных признаков, возможность передачи информации от фенотипа к генотипу);
2. жоффруизм[2] (изменение под прямым воздействием среды, в особенности изменение ранних зародышевых стадий);
3. дарвинизм (естественный отбор случайных отклонений);
4. номогенез (развитие на основе закономерностей, а не случайностей).
Яростные споры между ортодоксальными сторонниками этих направлений и по сей день время от времени сотрясают научную атмосферу, но ускоряют ли они развитие науки? Выдающийся палеонтолог С. В. Мейен, работавший над объединением учений № 3 и 4, говорил, что в спорах рождается только склока, а истина рождается в работе. Точнее не скажешь!
И Жан-Батист Ламарк, и Этьен Жоффруа Сент-Илер, и Чарльз Дарвин, и Лев Семенович Берг (автор теории номогенеза), и большинство их последователей были, право же, не глупее нас с вами. В чем-то каждый из них ошибался, но в главном они все были правы. Потому что опирались в первую очередь на научные факты, во вторую – на логику, а идеология и "партийная принадлежность" получающихся выводов интересовала их значительно меньше. В наши дни фактов стало больше, и на них тем более следует полагаться, так что мне совершенно непонятен ход мысли тех ученых, которые, услышав рассказ о результатах какого-нибудь эксперимента, заявляют: "Да вы хоть понимаете, что это чистейший ламаркизм?!" (дарвинизм, кладизм, полифилизм… нужное подчеркнуть).
Эволюция – факт. В этом отношении биологи вполне единодушны. То, что эволюция идет самопроизвольно, без контроля со стороны разумных сил, по естественным (а не сверхъестественным) причинам, – это общепринятая, отлично работающая гипотеза, отказ от которой крайне нежелателен (пока не обнаружены факты, требующие этого), потому что он сделал бы живую природу в основном непознаваемой. Детали, механизмы, движущие силы, закономерности, пути эволюции – вот главный предмет исследований биологов-теоретиков в наши дни.
Пытаться запихнуть весь гигантский массив биологических фактов и обобщений, накопленных к сегодняшнему дню, в какой-то отдельно взятый "-изм" (один из вышеперечисленных или любой другой) – исключительно неблагодарное занятие.
Последняя серьезная и даже весьма успешная попытка такого рода была предпринята в начале – середине XX века, когда в результате объединения классического дарвинизма с классической генетикой сформировалась так называемая "синтетическая теория эволюции" (СТЭ), иначе называемая неодарвинизмом. Но вскоре она затрещала по швам, распираемая изнутри новыми данными молекулярной биологии и других бурно развивающихся биологических дисциплин.
Величайшие открытия середины прошлого века – расшифровка структуры ДНК и генетического кода – произвели такое сильное впечатление на научное сообщество, что многим стало казаться, будто главный секрет жизни уже разгадан и пришла пора формулировать основополагающие законы биологии. Но новые факты продолжали сыпаться как из рога изобилия (о многих из них мы поговорим в этой книге), и вскоре стало ясно, что и эти законы совсем не так всеобъемлющи и абсолютны, как поначалу казалось.
Что представляет из себя сегодня совокупность принятых научным сообществом представлений об эволюции, какому "-изму" она соответствует, как ее вообще называть – все это весьма непростые вопросы. Часто ее по инерции называют "дарвинизмом", но на исходное учение Дарвина уже наложилось столько уточнений, дополнений и переосмыслений, что такое наименование только сбивает с толку. Иногда эту совокупность пытаются приравнять к СТЭ, что тоже кажется мне не очень хорошей идеей. Сегодня и классический дарвинизм, и классическая СТЭ образца середины прошлого века похожи скорее на музейные экспонаты, чем на живые рабочие теории. Нет, их не опровергли, и не было никакого "краха дарвинизма", о котором так любят толковать далекие от биологии журналисты и писатели, но многочисленные последующие модификации существенно изменили наши представления об эволюции. Это нормальный процесс развития науки, так и должно быть, и ничего тут не поделаешь. Любителям постоянства, абсолютных истин и нерушимых догм лучше держаться подальше от биологии, да и вообще от естественных наук. Парадокс состоит в том, что, чем лучше и полнее биологи понимают устройство живой природы и законы ее развития, тем противоречивее выглядят их идеи для внешнего наблюдателя. Особенно если этому наблюдателю неохота разбираться.
В научной среде постоянно идут разговоры о необходимости "нового эволюционного синтеза". Многие считают, что развитие биологии сдерживается отсутствием адекватной теоретической базы, всеобъемлющей новой теории, которая смогла бы сделать поиск новых знаний более осмысленным и конструктивным. В каком-то смысле это верно, но, думается, всерьез пытаться сформулировать такую теорию пока еще рановато. Лучше повременить с этим хотя бы до того момента, когда перестанут совершаться ежегодно абсолютно неожиданные, никем не предсказанные открытия. Ведь это говорит о том, что мы многого еще просто не понимаем!
Книга, которую вы держите в руках, отличается от большинства других толстых книг по эволюции, довольно часто издаваемых в последние годы, прежде всего тем, что в ней не делается попытка "нового эволюционного синтеза" и не предлагается очередная всеобъемлющая теория. Читатели, склонные всюду искать различия и противоречия, сочтут одни разделы книги махрово-дарвинистскими, другие – ламаркистскими (глава 8), третьи – номогенетическими (глава 6), в четвертых заметят некий жоффруистский уклон (главы 4–5), и так далее. Те же из читателей, которые умеют видеть общее в частностях и единство в многообразии, надеюсь, получат полезную пищу для размышлений.
Современная биология – это даже не лоскутное одеяло, скорее, это стремительно растущий ворох лоскутков, в котором будущее "одеяло" только начинает угадываться – да и то никогда не знаешь наперед, что угадалось правильно, а что потом придется перешивать.
Задача этой книги – ввести читателя в мир современной биологии, показав эту необычайно быстро развивающуюся науку, что называется, без прикрас – не как статичный свод установленных истин, а как головокружительную погоню за новыми знаниями, в которой не всегда находится время даже для того, чтобы остановиться и подумать.
От имени французского натуралиста Этьена Жоффруа Сент-Илера (Eґtienne Geoffroy Saint-Hilaire, 1772–1844).
Ю. В. Чайковский, Наука о развитии жизни, 2006. http://rogov.zwz.ru/Macroevolution/chaik2006.djvu Должен оговориться, что с некоторыми идеями этой книги я категорически не согласен, что, в прочем, не лишает их права на существование
Немного политики, или Популяризация науки как средство выживания человечества
Не секрет, что многие ученые считают популяризаторскую деятельность ниже своего достоинства. Мы, дескать, серьезную науку делаем ("паря в пространствах, мыслим о судьбе светил", как говаривал, лежа в гамаке, аристофановский Сократ[3]), а просвещение профанов есть метание бисера перед свиньями. Многие ученые отказываются от участия в популярных теле– и радиопередачах, опасаясь, что их выступления будут искажены при монтаже или поданы в неадекватном контексте и это повредит их репутации в глазах других ученых. Опасения эти полностью оправданы, но, спасая свою репутацию, такие ученые жертвуют чем-то большим.
К счастью, так рассуждают не все. Многих тревожит растущий отрыв фундаментальной науки от массового сознания. В биологии, самой быстроразвивающейся науке, этот отрыв особенно хорошо заметен. Это один из парадоксов современного общества. С одной стороны, за последние полвека биология достигла неслыханных успехов. С другой – чем глубже проникают биологи в тайны жизни, тем сильнее искажаются их открытия в СМИ и, как следствие, в общественном сознании. Это опасная тенденция, которая может в итоге привести к тому, что общество окончательно перестанет понимать, чем занимаются ученые и зачем они нужны.
Академик С. В. Шестаков, заведующий кафедрой генетики биологического факультета МГУ, недавно рассказывал на одном из семинаров, как его студенты провели мини-опрос общественного мнения по поводу генно-модифицированных продуктов. По словам академика, один из самых распространенных ответов был таким: "Генно-модифицированные продукты очень опасны и должны быть запрещены. Ведь в них есть гены!"
Конечно, можно отделаться снисходительной усмешкой: мы-то с вами, дорогие читатели, прекрасно знаем, что генов полным-полно почти во всех пищевых продуктах, кроме разве что соли, сахара, соды и тому подобных очищенных химических веществ. Но, однако, отсутствие у многих людей элементарной биологической грамотности вовсе не так безобидно. Ведь в современном демократическом обществе право голоса имеет каждый, вне зависимости от уровня образования.
Разумеется, у людей есть потребность в понимании происходящего вокруг них, и от ученых ждут ответов на ключевые вопросы об устройстве мироздания – но ответов простых, понятных и окончательных, не требующих чрезмерных интеллектуальных усилий. И к тому же соответствующих общественным ожиданиям. Беда в том, что мир (как выясняется именно благодаря достижениям науки) устроен гораздо сложнее, чем нам хотелось бы. Поэтому для того, чтобы современная научная картина мира проникла в массовое сознание, нужны целенаправленные усилия. Информационный вакуум неизбежно заполняется псевдонаучными измышлениями, мифами и верованиями. Проблема усугубляется полным отсутствием материальной заинтересованности многих СМИ в достоверности сообщаемых ими сведений. В ситуации, когда статьи или телепередачи служат лишь броскими "прокладками" между блоками рекламы, любые шарлатанские бредни оказываются гораздо более ходовым и выгодным товаром, чем серьезная наука.
Похоже, наука сама своими достижениями роет себе могилу: ведь чем успешнее деятельность ученых, тем сложнее научная картина мира и тем ниже конкурентоспособность науки на "свободном рынке информационных услуг". В конце концов ученые могут просто вымереть, как динозавры, – и хорошо еще, если своей смертью, а не на кострах инквизиции. Что будет дальше, какая судьба ждет вооруженное ядерным оружием человечество, впавшее в мистицизм и Средневековье, – об этом читатель может сам пофантазировать на досуге.
Поэтому популяризаторская деятельность для ученых в современном мире (и в России особенно) – это никакая не благотворительность, а общественный долг и необходимое средство самосохранения.
Ученые обычно настолько увлечены своей наукой, что не замечают многого из происходящего вокруг и только когда за ними уже пришли, начинают что-то взволнованно бормотать, подобно Архимеду с его сакраментальным "не испорти мои чертежи".
Неприятие научного знания уходит корнями в детскую психологию. Надо сказать, что проблема растущего отрыва науки от общества актуальна отнюдь не только для России. В других странах положение ничуть не лучше, а порой и хуже. Об этом свидетельствуют, в частности, результаты исследований американских психологов, опубликованные в 2007 году в журнале Science. Надо сказать, что данная проблема – соотношение научных знаний и их восприятия общественным сознанием, – как и многие другие подобные проблемы, вполне поддается естественно-научному исследованию с применением различных тестов, статистического анализа и других научных методик.
По мнению американских исследователей, одной из важных причин массового неприятия научных знаний и распространения суеверий в обществе является несоответствие многих выводов современной науки врожденным свойствам и наклонностям человеческой психики и устоявшимся стереотипам общественного сознания. В результате развивается феномен, получивший название "сопротивление науке".
Согласно недавно проведенным опросам, 42 % взрослых американцев убеждены, что люди и животные существуют в своем нынешнем виде с начала времен. Среди меньшинства, признающего эволюцию и естественный отбор, лишь очень малая часть в состоянии внятно объяснить, что это такое. Как правило, наивные эволюционисты полагают, что эволюция – это некий загадочный закон природы, в силу которого дети лучше приспособлены к среде обитания, чем их родители. "Сопротивление науке" затрагивает не только эволюцию: огромное число людей верит в научно не подтвержденные "медицинские" практики, в привидения, в астрологию и т. д.
Казалось бы, пусть себе верят! В конце концов, благодаря научному прогрессу большая часть народонаселения в развитых странах имеет полную возможность комфортно жить, вообще ничего не зная и не понимая в науке. Но ведь есть еще и политическая сторона вопроса. В современном демократическом обществе именно от этих невежественных налогоплательщиков зависит в конечном счете государственная политика в таких наукоемких областях, как изменения климата, генетически модифицированные организмы, стволовые клетки, клонирование, вакцинация и т. д.
Исследования последних лет показали, что определенные аспекты "сопротивления науке", по-видимому, являются общими для всех народов и культур и проистекают из двух базовых особенностей детской психики. Первая связана с тем, что дети знают "изначально", вторая – с тем, каким образом они усваивают новые знания.
Даже годовалый младенец – отнюдь не "чистый лист", он обладает по-своему весьма глубоким пониманием физического мира и человеческих отношений. Малышам прекрасно известно, что материальные объекты обладают плотностью, устойчивостью во времени (продолжают существовать, даже если их не видно), что без поддержки они падают. Они понимают также, что поступки окружающих людей осмысленны и целенаправленны, что их эмоции отражают отношение к разным ситуациям. Эти исходные представления служат необходимой основой для дальнейшего обучения, но они же порой и затрудняют восприятие научных идей.
Например, детская убежденность в том, что без поддержки предметы падают, мешает поверить в шарообразность Земли (ведь тогда все люди, которые "с той стороны", попадали бы вниз). Эта научная концепция полностью принимается американскими детьми обычно лишь в возрасте 8–9 лет, а до этого в нее вносятся систематические искажения. Например, ребенок может верить, что Земля шарообразная, но при этом считать, что люди живут только на "верхнем" полушарии, а снизу не живут, сваливаются.
Некоторые детские предрассудки оказываются настолько неистребимыми, что даже школьное образование не может их преодолеть. Например, многие студенты американских колледжей полагают, что шарик, выкатившийся из кривой трубки, будет продолжать двигаться по искривленной траектории.
Большая часть респондентов полагает, что шарик, вылетевший из кривой трубки, будет продолжать "по инерции" двигаться по кривой траектории.
Что же касается массового неприятия теории эволюции (и других достижений биологии), то причины этого кроются в другой особенности детской психики – а именно в присущей маленьким детям склонности видеть во всем, что их окружает, результат чьей-то целенаправленной деятельности. Это называют "неупорядоченной телеологией"[4].
Удивляться не приходится, ведь человеческий мозг изначально развивался именно как приспособление для решения практических задач, то есть для "вычленения" целей и нахождения путей их достижения. Самые насущные задачи для высших приматов, и людей в том числе, всегда были связаны с общественными отношениями – например, с борьбой за положение в общественной иерархии. Для решения этих задач необходима способность понимать мотивы поступков своих соплеменников, способность, которая изначально строилась на рефлексии, на суждении о других "по себе". Что же удивительного в том, что такое понимание распространяется на весь окружающий мир, что ребенок или дикарь, услышав гром, неизбежно будут думать, что этот звук произведен кем-то с некоей вполне определенной целью.
Например, специальное исследование показало твердую убежденность четырехлетних детей в том, что все на свете существует "для чего-то" (львы – чтобы смотреть на них в зоопарке, тучи – чтобы шел дождик). Специальные исследования также подтвердили склонность детей к креационистскому[5] объяснению происхождения объектов окружающего мира (все вокруг кем-то сделано с какой-то целью).
Привлекательность подобных идей не слабеет с возрастом. Детям вторят поэты: "Если звезды зажигают – значит, это кому-нибудь нужно".
Эти интуитивные представления мешают людям принять идею эволюции точно так же, как изначальные наивные представления о физических законах мешают усвоить идею о шарообразности Земли.
Другое интуитивное представление, свойственное детям, – это дуализм, или идея о принципиальном различии между материальным и духовным (телом и душой, мозгом и сознанием). Американские дошкольники знают, что мозг нужен для осуществления некоторых ментальных функций, таких как решение математических задач. Но эти же дошкольники отказываются верить, что мозг нужен и для таких вещей, как игра в прятки или любовь к брату. Когда их спрашивали, что будет, если мозг мальчика пересадить поросенку, дошкольники отвечали, что получится очень умный поросенок, но все желания и знания у него останутся поросячьими.
Склонность к дуалистическому миропониманию препятствует восприятию достижений современной нейробиологии, которые убедительно показывают, что все "духовное" в человеке целиком определяется вполне материальными процессами, происходящими в мозге. Противоречие между изначальным дуализмом человеческого мировосприятия и современными научными взглядами порождает причудливые социальные проблемы. Например, дебаты вокруг допустимости экспериментов с животными, человеческими эмбрионами и стволовыми клетками часто сводятся к проблеме наличия у этих объектов "души". Более того, применение магнитно-резонансной томографии для изучения мозга преступников привело к появлению новых, весьма оригинальных веяний в адвокатском деле. Появились утверждения, что если антисоциальные поступки человека определяются работой его мозга, то, следовательно, человек ни в чем не виноват, просто "его мозг заставил его так поступить". Таким образом, не только дети, но и вполне взрослые люди, адвокаты, наотрез отказываются воспринимать научные данные о природе мозга и психики.
Многое в "сопротивлении науке" определяется врожденными свойствами человеческой психики, но кое-что зависит и от культурной среды. Об этом свидетельствуют, в частности, национальные различия в степени сопротивления тем или иным научным идеям. Скажем, неприятие эволюции у американцев выражено намного сильнее, чем в большинстве других развитых стран.
В разных странах считаются "общеизвестными" и не требующими доказательств разные наборы "истин". Такие идеи обычно усваиваются детьми без всякого критического анализа. Типичные примеры – "вера" в микробов и электричество. В развитых странах существование микробов никем не подвергается сомнению – и дети, нисколько не задумываясь, проникаются искренней верой в существование этих невидимых тварей. Микробы, правда, не противоречат никаким "врожденным интуициям", а наоборот, помогают вполне телеологическим образом объяснить болезни и протухание продуктов.
Однако большая часть знаний все-таки не принимается без доказательств ни детьми, ни взрослыми. Причем когда дело касается знаний научных, то даже взрослые люди – о детях и говорить нечего – почти ничего не могут проверить сами по причине некомпетентности. В этом случае (то есть почти всегда) мы заменяем непосредственную оценку достоверности знаний оценкой их источника. Если источник кажется заслуживающим доверия и если в нем самом чувствуется уверенность, мы принимаем новое знание на веру, даже если не поняли толком, о чем речь. Типичный пример – вышеупомянутые американцы, которые верят в естественный отбор, но не могут объяснить, что это такое.
Это касается не только науки. В другом американском исследовании людям предложили оценить различные политические программы, о которых испытуемым сообщили, что они исходят от той или иной политической партии (республиканцев или демократов). Испытуемые дали программам с виду вполне осмысленные, аргументированные оценки. Однако статистический анализ показал, что в действительности оценки определялись не содержанием программы и не личным отношением человека к каким-то конкретным законам или действиям правительства, а исключительно "партийной принадлежностью". Например, сторонники демократов поддерживали и совершенно "недемократические" проекты, если им говорили, что проект исходит от их любимой партии.
Дети, в точности как и взрослые (и даже в еще большей степени), склонны оценивать достоверность информации по "весомости" и "солидности" ее источника. Уже четырех-пятилетние отлично знают, что взрослым известно больше, чем сверстникам. Если взрослый и ребенок говорят противоположное, дети верят взрослому. Они уже знают, что среди взрослых есть специалисты разного профиля и что в болезнях лучше разбирается доктор, а в сломанных велосипедах – механик. Кроме того, дети гораздо охотнее верят тому "источнику знаний", который демонстрирует полную уверенность в себе и своих словах. Мямли-ученые с их вечными сомнениями и фразами типа "разумеется, пока это лишь предположение…" никакого доверия у детей не вызывают.
В связи с этим нельзя не отдать должное дальновидности российских наукоборцев, которые мечтают в учебниках биологии после каждой главы добавить сносочку о том, что "есть, однако, и другая точка зрения…" и вдобавок ввести в школах изучение религиозной картины мира. Конечно, учитель биологии, опутанный "сносочками", не сможет так же уверенно изложить тему, как преподаватель "альтернативного предмета". Кому из них поверят дети, сомневаться не приходится.
Исследователи делают вывод, что "сопротивление науке" зарождается из противоречий между интуитивными представлениями маленьких детей и тем, чему их учат; "сопротивление" переходит из детства во взрослую жизнь, когда соответствующие научные идеи не имеют всеобщей поддержки в обществе. В таком обществе оно становится особенно сильным, если существует ненаучная альтернатива этим идеям, не противоречащая "элементарному здравому смыслу" и опирающаяся на солидные, уважаемые и очень уверенные в себе "источники". В США именно так обстоит дело с эволюционной биологией и нейробиологией: выводы этих наук противоречат и детской интуиции, и высказываниям многих солидных политиков и религиозных деятелей.
Что уж говорить о ситуации в России. Утешает лишь, что креационисты, фоменковцы и прочие астрологи, конечно, ни в чем не виноваты. Просто "мозг заставляет их так думать".
(Источник: Paul Bloom, Deena Skolnick Weisberg. Childhood Origins of Adult Resistance to Science // Science. 2007. V. 316. P. 996–997.)
Телеология – представление о том, что природные объекты существуют или созданы с определенной “целью”.
Аристофан. Облака. Перевод А. Пиотровского.
Креационизм – учение о возникновении живой природы путем творения, а не в результате естественного развития.
Биология, эволюция и креационизм
Читатель, наверное, уже заметил, что я почти не делаю различий между понятиями "биология", "эволюционная биология" и "учение об эволюции". Это неспроста. Отделить современную биологию от эволюционных представлений невозможно. Как сказал один из крупнейших биологов-теоретиков XX века Феодосий Григорьевич Добржанский (1900–1975), "ничто в биологии не имеет смысла иначе как в свете эволюции". "Nothing in biology makes sense except in the light of evolution" – так было озаглавлено его эссе, опубликованное в 1973 г[6].
Отвлечься от эволюции биолог может только уткнувшись носом в очень узкую, маленькую задачу – например, изучая строение ротового аппарата какого-нибудь жука. Но стоит хоть немного шире взглянуть на проблему – например, начать сравнивать этого жука с другими, чтобы определить его место в жучиной классификации, – и тотчас оказывается, что без эволюционных представлений уже не обойтись. Нужно понять, как, почему и зачем у данного жука сформировался именно такой ротовой аппарат; чем объясняется его сходство с другими жуками – родством (происхождением от общего предка) или параллелизмом, то есть формированием сходных приспособлений под действием отбора в сходных условиях существования, и так далее.
Мировое научное сообщество считает, что имеющиеся на сегодняшний день доказательства эволюции являются настолько неопровержимыми и всеобъемлющими, что эволюция – это уже давно не "гипотеза" и не "теория", а твердо установленный научный факт. Отрицать его, оставаясь в рамках науки, сегодня невозможно. Перечислять отдельные доказательства эволюции нет смысла: многие из них общеизвестны и очевидны, другие мы рассмотрим ниже по мере необходимости. В действительности вся совокупность фактов и открытий, о которых рассказано в этой книге, является хорошим подтверждением реальности эволюции. К каждому отдельному примеру всегда можно при желании придраться (этим и занимаются креационисты – люди, отрицающие реальность эволюции), но сила эволюционного учения в том, что с ним согласуются миллионы фактов. Главное же как раз очень удачно и выразил Добржанский в вышеприведенном афоризме: эволюция придает смысл, логику и стройность всему гигантскому массиву накопленных биологией знаний. Попробуйте выкинуть из биологии эволюционное учение – и биология превратится в бессмысленную и бесполезную кучу разрозненных, необъясненных фактов.
К сожалению, креационистская пропаганда продолжает находить отклик в сердцах многих далеких от биологии людей. Помимо психологических причин, о которых говорилось выше, этому способствует и такая в общем-то хорошая вещь, как демократизация общественного сознания. Как это часто бывает, люди начинают применять законы и правила, справедливые и уместные в рамках определенного круга явлений, далеко за пределами области их применимости. Что хорошо для политики и социальных отношений, не обязательно хорошо для науки. В науке нельзя ни решать вопросы голосованием, ни беспристрастно рассматривать любые точки зрения как изначально равноправные.
Очень хорошо об этом сказал недавно выдающийся филолог А. А. Зализняк на церемонии вручения ему литературной премии имени Солженицына. Он обратил внимание на то, что в наши дни, к сожалению, вышли из моды две старые, банальные идеи: 1. истина существует, и целью науки является ее поиск; 2. в любом обсуждаемом вопросе профессионал в нормальном случае более прав, чем дилетант. Им сегодня противостоят новые, гораздо более модные положения: 1. истины нет, есть множество мнений; 2. ничье мнение не весит больше, чем мнение кого-то иного. "Девочка-пятиклассница имеет мнение, что Дарвин не прав, и хороший тон состоит в том, чтобы подавать этот факт как серьезный вызов биологической науке"[7].
Дальнейшее утверждение этих "новых идей" грозит науке полным крахом. Особенно не повезло в этом отношении биологии, сегодня целиком основанной на фактах и идеях, которые не являются психологически выгодными и противоречат врожденным склонностям нашей психики. Кроме того, из всех наук именно биология вступает в самое сильное противоречие с религией. С гелиоцентрической системой и спутниками Юпитера в свое время тоже были проблемы, но тут церковь отступила. Смириться с эволюцией – и особенно с происхождением человека от обезьян – большинству конфессий намного труднее.
Конечно, любому приятнее думать, что он не от обезьяны, а от Бога. Поэтому какой эффект могут дать, к примеру, "равноправные" и "демократичные" публичные дискуссии ученых с креационистами? Только один (и это многократно подтверждено на практике): зритель или читатель приходит к выводу, что эволюция – это не строго установленный научный факт, а лишь теория, по которой есть мнения как "за", так и "против". Это неизбежно подталкивает зрителя в сторону креационизма. Таким образом, подобные дебаты под маской "объективности и беспристрастности" в действительности служат интересам только одной из сторон.
Сам факт серьезного обсуждения, серьезных споров, особенно с участием настоящих ученых, выгоден креационистам, и только им, потому что это дает им право сказать: "Мы дискутируем с учеными-эволюционистами, значит, наша креационистская теория имеет такое же право на существование, как и теория эволюции, ничем не хуже". А им только этого и надо – ведь общенародное мнение, глубинная психология любого Homo sapiens, уже и так на их стороне. Это вам не гелиоцентрическая система: эволюция хватает за живое, "покушается на самое святое" и "вызывает естественное чувство отторжения".
Креационизм на сегодняшний день не является научной теорией (хотя вполне мог рассматриваться в качестве таковой еще 100–150 лет назад). Ни в одном приличном научном журнале ни в одной стране мира, где такие журналы издаются, сегодня нельзя найти не только креационистских статей, но и никаких дискуссий о реальности факта эволюции. Почему? Да по той же причине, по которой физические журналы не принимают к рассмотрению статьи с описаниями вечных двигателей, а географические или геологические издания не рассматривают рукописи, основанные на идее о плоской Земле, покоящейся на трех слонах.
Именно поэтому в этой книге не будет прямой дискуссии с креационистами. Однако сам по себе беспристрастный рассказ о новейших научных открытиях в разных областях биологии – практически о любых открытиях – уже служит превосходным доказательством правоты эволюционистов и ошибочности взглядов креационистов. Читателям, желающим подробнее ознакомиться с доводами креационистов и с ответами ученых на эти доводы, я могу порекомендовать следующие ссылки:
http://evolbiol.ru/paperlist.htm#creatio – большая подборка материалов по дискуссии креационистов с эволюционистами;
http://evolbiol.ru/religion.htm – обзор "Эволюция и религия" с сайта "Проблемы эволюции";
Николай Борисов. Неполитические дебаты: у науки нрав неробкий? http://www.humanism.al.ru/ru/articles.phtmlPnum=000482 – рассказ о первом в России телевизионном диспуте креационистов с эволюционистами.
American Biology Teacher. 1973. V. 35. P. 125–129. http://en.wikipedia.org/wiki/Nothing_in_Biology_Makes_Sense_Except_in_the_Light_of_Evolution Между прочим, Добржанский, в 1927 году эмигрировавший в США, был верующим человеком (православным), регулярно ходил в церковь, причащался, постился и прочее. Что опровергает утверждение о том, что эволюционное учение якобы несовместимо с религией. Просто нужно держать науку и религию на разных “полочках” в голове: наука – тут, а религия – там. Это не очень легко, но у многих получается. Пример Добржанского далеко не единичен.
Полный текст выступления А. А. Зализняка см. по адресу: http://elementy. ru/lib/430463/430464.
Как возникла эта книга
Понимание важности научной популяризации открылось мне в тот момент, когда я случайно обнаружил в Интернете огромное количество креационистской пропаганды. До этого момента я наивно полагал, что в наши дни, когда мы так много знаем об устройстве и историческом развитии органического мира, быть креационистом может только идиот. Я испытал шок, когда осознал, что быть идиотом для этого не обязательно – достаточно просто не знать биологии.
Существует довольно много способов добиться по-настоящему полного и глубокого незнания биологии. Самим биологам в этом иногда хорошо помогает узкая специализация. Людям, далеким от биологии, рекомендованы внимательный и вдумчивый просмотр низкосортных телепередач и чтение газетных статей, написанных малограмотными журналистами.
К счастью, в последние годы ситуация в России начала немного меняться к лучшему. Появился целый ряд довольно качественных источников научно-популярной биологической информации: журналы, радиопрограммы, сайты в Интернете. Главное, стал расти интерес людей к достоверной научной информации. Гороскопами и чудо-целителями общество уже пресытилось.
Эта книга отчасти является итогом моего пятилетнего участия в трех научно-популярных проектах. Это (в хронологическом порядке) мой собственный сайт "Проблемы эволюции" http://evolbiol.ru, отдел науки и образования на радио "Свобода" http://www.svobodanews.ru/section/science/583.html и сайт "Элементы большой науки" http://elementy.ru/. Участие в популяризаторской работе познакомило меня с многими выдающимися биологами, беседы с которыми легли в основу нескольких сотен радиопередач. Работа на "Элементах" требует регулярного чтения бесчисленных новых статей по самым разным направлениям биологии. Все это не могло не сказаться и на тематике моей научной работы в Палеонтологическом институте РАН, где я постепенно перешел от частных проблем, таких как систематика ископаемых морских ежей, к более общим, таким как механизмы видообразования и законы эволюции биоразнообразия.
Изначальный замысел книги состоял в том, чтобы дать как можно более близкий к реальности портрет или мгновенный снимок стремительно развивающейся биологической науки – без попыток преждевременных глобальных обобщений, но с максимальным числом конкретных примеров, рассказов о реальных исследованиях и открытиях последних лет. Поэтому в книге активно используются материалы моих статей, опубликованных на сайте "Элементы" в разделе "Новости науки". Многие из этих статей сразу готовились как кусочки будущей книги.
Поскольку главное содержание современного этапа развития биологии – это безудержная гонка за новыми фактами, гонка во многом стихийная и хаотическая, направляемая не столько теоретическими рассуждениями, сколько разработкой новых приборов и методов исследования, структура книги при всем желании не могла получиться совершенно логичной и стройной. Может быть, оно и к лучшему. Придавать изложению видимость логической завершенности и стройности, пытаться распутать в одну ниточку то, что в действительности является запутанным клубком, значило бы сильно погрешить против объективности. Ведь современная биология меньше всего похожа на логически стройный и завершенный свод знаний. Эволюционное учение – вот, пожалуй, главное, что придает хоть какое-то единство и логику ее разрозненным, стремительно развертывающимся петлям. Не случайно биологи сравнивают эволюцию с ариадниной нитью[8].
Мы сосредоточимся прежде всего на тех направлениях биологических исследований, которые: 1. особенно быстро развиваются в наши дни; 2. дают много неожиданных результатов, заставляющих пересматривать взгляды на устройство и развитие живой материи; 3. имеют наибольшее теоретическое или мировоззренческое значение. Разумеется, выбирая темы, невозможно было полностью избежать субъективности и влияния личных пристрастий, но тут уж ничего не поделаешь.
Очень многие интересные темы просто не поместились в книгу. Изначально я хотел посвятить часть глав достижениям нейробиологии, этологии, экспериментальной психологии и физической антропологии, то есть тех направлений биологических исследований, которые проливают свет на происхождение и природу человека. Вскоре, однако, стало ясно: материалов по этим темам так много и они настолько интересны и важны, что о них лучше или вообще ничего не рассказывать, или посвятить им отдельную книгу – продолжение той, которую вы держите в руках.
Вот почему вы не найдете в этой книге ничего "человеческого".
Книга в значительной мере состоит из рассказов о конкретных научных исследованиях. Почти всегда речь идет о недавних работах. В этом отношении я старался строго следовать принятой в современной биологии "периодизации" истории науки. Рассказывают, как один профессор-биолог, услышав сетования коллег о том, что современные молодые ученые-де ничего не знают об истории науки, сказал: "Отчего же, у них есть очень четкое представление о периодизации. Все статьи они делят на две части: публикации последних двух-трех лет и старые работы". В нашей книге речь пойдет в основном о публикациях последних трех лет. Правда, к тому моменту, когда книгу напечатают, часть материалов рискует перейти в разряд "старых работ". Но тут уж, как говорится, наука бессильна. И я надеюсь, что изложенные здесь идеи не будут выглядеть сильно устаревшими еще хотя бы лет пять-семь.
Ну и последнее. Разные части книги сильно различаются по степени популярности и понятности для неспециалистов. Есть совсем простые куски, а есть и довольно сложные, требующие от читателя определенных интеллектуальных усилий. "Выровнять" текст было невозможно: некоторые факты просто не могут быть упрощены без потери сути, а нарочно усложнять простые вещи было бы и вовсе странно. Все, что покажется вам в этой книге слишком сложным, можно смело пропускать. Дочитав до конца, попробуйте вернуться к пропущенным кускам, и не исключено, что они уже не покажутся такими сложными.
А. М. Гиляров. Ариаднина нить эволюционизма. 2007. http://evolbiol.ru/ ariadna_vestnik.doc.
Слова благодарности
Идея написать большую популярную книгу по эволюционной биологии зародилась у меня несколько лет назад, и я чрезвычайно признателен фонду "Династия", без чьей поддержки я бы мог еще долго откладывать осуществление этого замысла. Многие части книги были обдуманы и созданы в ходе работы над постоянной колонкой "Новости науки" на сайте "Элементы большой науки". Сотрудники этого сайта Елена Мартынова, Валентин Кориневский, Михаил Волович всемерно поддерживали меня и своим высоким профессионализмом способствовали созданию текстов, вошедших в книгу. Пользуясь случаем, с благодарностью и уважением отдаю должное их исключительному профессионализму и доброму отношению к моей работе. Также не могу не выразить благодарность сотрудникам отдела науки и образования радиостанции "Свобода", которые, образно говоря, ввели меня в мир профессиональной научной популяризации: Александру Костинскому, Александру Сергееву, Ольге Орловой, Владимиру Губайловскому. Хочу также выразить глубокую благодарность своей верной соратнице, коллеге, соучастнице всех начинаний, спутнице жизни – Елене Наймарк, которая не только взяла на себя труд по редактированию этой книги, но и написала для нее несколько разделов. Я искренне благодарен своим коллегам – биологам, палеонтологам и представителям других специальностей, общение с которыми в разные периоды не только расширяло мой кругозор, но и часто оказывалось ключевым фактором для формирования многих идей, изложенных в этой книге. Всех их не перечислить, но нескольких своих учителей и коллег я назову: А. А. Бондарев, Н. М. Борисов, Б. Ф. Ванюшин, В. Ю. Веденина, А. М. Гиляров, Л. Е. Гринин, К. Ю. Еськов, В. В. Жерихин, А. Ю. Журавлев, И. А. Захаров-Гезехус, Н. Н. Каландадзе, А. В. Коротаев, В. А. Красилов, А. М. Куликов, Е. Н. Курочкин, В. В. Малахов, Н. С. Мюге, А. М. Оловников, А. С. Раутиан, А. Ю. Розанов, А. Н. Соловьев, М. А. Федонкин, В. В. Черных.
Глава 1. Происхождение жизни
Вопрос о происхождении жизни волнует всех, и очень жаль, что он пока еще далек от разрешения. Основная сложность тут в том, что путь от неорганических молекул к первой живой клетке был долгим и трудным. За один шаг такие превращения не происходят (если, конечно, не привлекать сверхъестественные силы). На этом долгом пути было множество развилок, остановок, временных отступлений, всевозможных промежуточных этапов и "переходных звеньев". Досаднее всего, что эти многочисленные, разнообразные и сложные события не оставили, по-видимому, никаких следов в палеонтологической летописи. Земная кора просто не сохранила столь древних осадочных пород. К тому же есть основания полагать, что какие-то ранние этапы пути могли быть пройдены и вовсе не на Земле, а в протопланетном облаке или на других небесных телах. Что касается "переходных звеньев", то все они благополучно вымерли, не оставив после себя прямых потомков, за исключением одного-единственного – так называемого "последнего универсального общего предка" всех современных живых существ. Специалисты называют его Лукой (Last Universal Common Ancestor, LUCА). Лука был уже довольно сложным организмом, напоминающим бактерию.
Поэтому ученые пока вынуждены довольствоваться разработкой правдоподобных гипотез, описывающих и объясняющих отдельные этапы долгого пути от мертвой материи к живой клетке. Эти гипотезы поддаются экспериментальной проверке, но таким способом можно доказать только принципиальную возможность того или иного хода событий. Гораздо труднее доказать, что все на самом деле именно так и происходило.
Тем не менее даже в этой крайне трудной области исследователи в последние годы добились заметных успехов. Начать, однако, лучше с истории.
Маленькая колба с бульоном порождает большие проблемы
Наши далекие предки и не подозревали, что вопрос о происхождении живого из неживого может стать серьезной проблемой для их потомков. Для них все вокруг было живым, одухотворенным: солнце и воздух, горы и реки, облака и море. Мудрецы Античности и Средневековья тоже не видели непреодолимой грани между живым и неживым. Вслед за Аристотелем вплоть до xvii века все ученые считали зарождение жизни самым обычным, повседневным явлением. В гниющих отходах зарождаются черви и мухи, в старом тряпье – мыши, на подводных камнях и днищах кораблей – моллюски. Могучая "животворная сила" пронизывает мироздание; она-то и заставляет косную материю порождать жизнь. Это учение – витализм – не противоречило и библейской версии космогенеза.
"И сказал Бог: да произрастит земля зелень…"
"И сказал Бог: да произведет вода пресмыкающихся…"
Бог дал стихиям творческие силы. И с тех пор – чему же удивляться? – вода производила, а земля произращивала.
Первым усомнился итальянец Франческо Реди (1626–1698), заявивший, что всякий живой организм происходит только от другого живого организма. Реди доказал, что личинки мух не заведутся в тухлом мясе, если мясо накрыть тряпочкой, сделав его недоступным для взрослых мух. Публика согласилась с Реди, что такие сложные животные, как мухи и мыши, могут рождаться только от соответствующих родителей. Но вот простые одноклеточные организмы – они-то, несомненно, порождаются грязной водой, гниющими отходами и тому подобным. Эта концепция просуществовала в общественном сознании около ста лет, а затем ученый монах Ладзаро Спалланцани, воодушевленный открытиями Левенгука, обнаружил, что микробы тоже размножаются – делятся пополам, давая начало таким же микроорганизмам. Мало того, когда он кипятил бульон и плотно закрывал его крышкой, никаких микробов там не появлялось.
Конечно, это был чисто научный спор о зарождении живых существ, так сказать, исследование начала начал, но и кое-какая практическая польза из этого вышла. Об опытах Спалланцани прознал французский повар по имени Николя Аппер. В микробах, происхождении жизни, витализме и прочих энтелехиях он ничего не понимал, зато отлично разбирался в мясных подливках и бульонах, которые Спалланцани использовал в качестве питательной среды. А как раз в это время Наполеон ввиду грядущих военных кампаний был обеспокоен вопросами снабжения армии. Ведь армейская кухня вынуждена была вести за собой в обозе целые стада и грабить население – а это для дальновидного военачальника ненадежные и неудобные способы снабжения. Поэтому Наполеон в 1804 г. подал в Сенат прошение об учреждении премии тому, кто изобретет способ долгого хранения продуктов. Сенат, естественно, так и сделал (Наполеон к этому времени уже был пожизненным Первым консулом), учредив внушительную по тем временам премию в 12 тыс. франков. И Аппер решил во что бы то ни стало ее получить. Повар подумал, что ученый монах подкинул неплохую идею: сделать жаркое, прокипятить его, положить в чистую банку и хорошенько закупорить. Так были изобретены консервы, и изобретателем их по сей день считается Аппер. А нам с вами нужно хорошо понимать, что люди с практической сметкой даже из самого отвлеченного теоретического знания могут извлечь пользу – если, конечно, эти теории покоятся на реальных законах природы.
Но вернемся от прикладных применений к теоретическим вопросам происхождения жизни, какими они представлялись после открытий Спалланцани. Стало ясно, что микробы, как и обычные живые существа, размножаются, дают потомство, а вовсе не самозарождаются. Однако многие ученые считали, что для зарождения жизни необходима "жизненная сила". Она не может проникнуть в закрытую банку, именно потому там и не появляются микробы. Как это проверить? Жизненную силу приборами не измерить и руками не ухватить. Луи Пастер в 1865 году хитроумным экспериментом сумел доказать, что никакой жизненной силы нет. Этот опыт, показанный в парижской Академии наук во время знаменитого диспута с Пуше, вошел в школьные учебники всех стран. Пастер предложил не запаивать наглухо прокипяченный бульон, а оставить в стеклянной колбе тонкий, дважды изогнутый открытый носик. Если жизненная сила есть, то даже узкий извилистый проход не помешает ей проникнуть в колбу и породить микробов. Если же такой силы нет, то микробы из воздуха будут оседать на изгибах стеклянного носика, и бульон останется стерильным. Оппонент Пастера Феликс Пуше утверждал, что в колбе с тонким изогнутым носиком в питательном бульоне микробы все равно появятся. И это означало бы присутствие жизненной силы.
Пуше на тот эпохальный диспут не явился. И академики, разумеется, признали поражение Пуше и победу Пастера. Ведь если один из спорщиков не пришел на суд научной общественности, значит, он сам признал свою неправоту. Таким образом, ученый мир удостоверился, что живое порождается только живым.
Результат диспута удовлетворил всех, кроме… самого Пастера. Дело в том, что в хитроумных пастеровских колбах, как ни кипяти питательную среду, какими узкими ни делай изогнутые носики, микробы все-таки появлялись. Не должны были появляться, неоткуда им было взяться, но появлялись, и сам Пастер об этом знал. Хотя появление микроорганизмов в кипяченом бульоне противоречило его обширному опыту и здравому смыслу. Во время диспута Пастер не признался в своих сомнениях, но в течение следующих го лет пытался эту загадку разрешить. И разрешил. Оказалось, что дело тут в специфике того микроба, с которым работал Пуше. Это была сенная палочка, споры которой погибают только при температуре 120 °C. Кипячением эти споры не уничтожаются, и для того, чтобы все же доказать самому себе победу в том давнем диспуте, Пастеру пришлось изобрести автоклав, аппарат для стерилизации при больших давлениях и температурах. Так что, можно сказать, результатом того исторического спора оказалось не только доказательство отсутствия жизненной силы, но и изобретение автоклава. О пользе первого можно спорить, а вот автоклавом люди пользуются до сих пор.
Неотъемлемое свойство науки – самой себе создавать проблемы. С витализмом было покончено, но все дивиденды достались не науке, а… церкви. Живое не может самозарождаться? Превосходно! Но откуда тогда вообще появилась жизнь? Одно из двух: либо она существовала изначально (эту точку зрения позже отстаивал В.И. Вернадский), либо сотворена Богом (так полагал и сам Луи Пастер). Второе, конечно, вероятнее: представить себе "изначальность" жизни (как и вечность Вселенной) довольно трудно. А вот теория божьего творения проста и понятна каждому.
Нелегкая задача встала перед теми учеными, которые не соглашались с Луи Пастером и не хотели привлекать сверхъестественные силы для объяснения природных явлений. После того как была доказана невозможность самозарождения, они должны были теперь долго и мучительно доказывать его возможность. Пусть не здесь и сейчас, а очень давно, и не за час-другой, а за миллионы лет.
Поначалу дело казалось безнадежным, ведь химики еще не умели получать органические вещества из неорганических. Грань между живой и неживой материей казалась непреодолимой. Правда, еще в 1828 г. Фридрих Велер синтезировал мочевину, но это никого не убедило: подумаешь, мочевина! Не органика, а так, "отход жизнедеятельности". Однако в 1854 г. Пьер Эжен Марселей Бертло сумел искусственно получить липиды, а в 1864 г. А. М. Бутлеров открыл реакцию синтеза углеводов из формальдегида. Вскоре химики научились получать и многие другие органические вещества из неорганических.
Стало ясно, что между живой и неживой материей на химическом уровне нет непреодолимой грани. Это был первый крупный успех теории абиогенеза (происхождения живого из неживого естественным путем). Ученые поняли, что, хотя прямое самозарождение живых существ невозможно, жизнь могла появиться постепенно в результате долгой химической эволюции. С тех пор (и до сего дня) усилия ученых направлены на поиски доказательств и развитие этой гипотезы. Что касается идеи об изначальности жизни, то она сейчас практически не имеет сторонников, поскольку наших знаний о Вселенной уже достаточно, чтобы понимать – на первых этапах ее развития синтез даже самых простых органических соединений был невозможен. Третий вариант – божественное сотворение – не имеет проверяемых следствий (поскольку Бог мог придать сотворенной им жизни абсолютно любые свойства, о которых мы ничего не можем знать заранее) и не предлагает никакой исследовательской программы. Поэтому он не является научным и просто-напросто не интересен ученым. Тем не менее ученым пришлось бы отнестись к нему более серьезно, если бы были получены строгие доказательства несостоятельности теории абиогенеза. Эта теория, в отличие от креационизма, является научной, то есть допускающей принципиальную возможность опровержения. Например, если бы оказалось, что органические вещества действительно невозможно получить из неорганических, как думали многие вплоть до опытов Бертло и Бутлерова, то абиогенез пришлось бы признать несостоятельной теорией. Однако этого не происходит. Наоборот, по мере развития науки один за другим проясняются все новые этапы долгого пути от неживой природы к первой клетке.
Рождение Вселенной: первые подступы к жизни
В последние годы развитие Вселенной часто описывают как единый направленный процесс, в ходе которого самопроизвольно и неизбежно возникали все более сложные структуры[9]. Возникло особое междисциплинарное направление исследований – Универсальная История, или Big History. Один из его основоположников – профессор Дэвид Кристиан из университета Сан-Диего, между прочим, специалист по истории России. При взгляде на историю мироздания "с высоты птичьего полета" создается впечатление, что каждый новый шаг в эволюции Вселенной логически вытекал из предыдущего и в свою очередь предопределял следующий. Возникновение жизни предстает уже не случайностью, а закономерным итогом развития. Вселенная словно была изначально спроектирована так, чтобы в ней появилась жизнь, и проект был чрезвычайно точен. Даже небольшое изменение базовых физических констант сделало бы жизнь невозможной (по крайней мере такую жизнь, как наша). Впрочем, в такой Вселенной некому было бы и рассуждать о мудрости ее устройства. Кто знает, может быть, существует много разных Вселенных, и только в нашей все так удачно сложилось? Физики относятся к такой возможности вполне серьезно. И потом, развитие жизни идет по пути приспособления, адаптации, так что вполне естественно, что жизнь в нашей Вселенной соответствует ее законам. В другом мироздании и жизнь была бы другой. С этой точки зрения соответствие земной жизни земным условиям не более удивительно, чем соответствие формы воды, налитой в сосуд, форме сосуда.
Физики утверждают, что Вселенная появилась в результате Большого взрыва из очень малого и очень плотного объекта примерно 14 миллиардов лет назад (цифра пока не окончательная, она продолжает уточняться). В первые мгновения не было даже атомов и молекул. Вселенная стремительно расширялась и остывала. В определенный момент появились элементарные частицы, из них образовались атомы водорода; скопления атомов превратились в звезды первого поколения. В них происходила реакция ядерного синтеза, в ходе которой водород превращался в гелий, а затем и в более тяжелые элементы. Все необходимые для жизни элементы, кроме водорода (углерод, кислород, азот, фосфор, сера и другие), образовались в недрах звезд. Звезды первого поколения стали фабрикой по производству атомов, необходимых для будущей жизни.
Самые крупные звезды после истощения запасов ядерного топлива взрывались (это называют "взрывом сверхновой"). В результате таких взрывов атомы тяжелых элементов рассеивались в пространстве. Из новых скоплений атомов образовались звезды второго поколения, в том числе и наше Солнце. Облака рассеянных частиц, не вошедших в состав центральной звезды, вращались вокруг нее и постепенно разделялись на отдельные сгустки – будущие планеты. Именно на этом этапе и мог начаться синтез первых органических молекул.
Возможность органического синтеза в протопланетном облаке предполагалась давно, но подтверждена была лишь недавно, во многом благодаря работам академика В. Н. Пармона и его коллег из Новосибирского института катализа. При помощи сложных расчетов и компьютерного моделирования было показано, что в газово-пылевых протопланетных облаках имеются необходимые условия для синтеза разнообразной органики из водорода, азота, угарного газа, цианистого водорода и других простых молекул, вполне обычных в космосе. Непременным условием является присутствие твердых частиц-катализаторов, содержащих железо, никель и кремний[10].
Молодая Земля могла иметь в своем составе большое количество органики с самого начала своего существования. Абиогенный синтез органики продолжался уже на Земле. Экспериментально показана возможность синтеза аминокислот и других органических соединений в тех условиях, которые предположительно могли существовать на планете в дни ее молодости[11].
Гидротермальные источники – колыбель жизни на Земле?
Недавно немецким химикам удалось доказать возможность абиогенного синтеза органических веществ в условиях, которые и по сей день существуют на дне океанов. Оказалось, что в подводных горячих вулканических источниках могут происходить химические реакции, в результате которых из неорганических соединений, таких как угарный газ (СО) и цианистый водород (HCN), образуются разнообразные органические молекулы. Катализатором этих реакций служат присутствующие в гидротермальных водах твердые частицы, содержащие железо и никель. Реакции особенно хорошо идут при температуре 80-120 градусов. Условия, в которых проводились эксперименты, были максимально приближены к реальности. По мнению исследователей, такие условия (включая все компоненты реакционной смеси) вполне могли существовать в подводных вулканических источниках на ранних этапах развития Земли.
Основным продуктом реакций были гидроксикислоты и аминокислоты. В небольших количествах были получены и другие органические вещества, в том числе и такие, из которых в несколько иных условиях могут синтезироваться сахара и липиды. В отличие от других известных опытов по абиогенному синтезу органики, где не было железо-никелевых катализаторов и применялись "ударные" воздействия вроде электрических разрядов, в искусственно воссозданных условиях гидротермальных источников реакции протекали без образования "отходов" – инертных углеводородных смесей вроде дегтя или смол, которые в дальнейшем очень трудно превратить в вещества, необходимые для самозарождения жизни.
Открытие немецких химиков – весомый аргумент в пользу гипотезы, согласно которой жизнь на Земле могла зародиться в подводных вулканических источниках.
(Источник: Claudia Huber, Gunter Wachtershauser. a-Hydroxy and a-Amino Acids Under Possible Hadean, Volcanic Origin-of-Life Conditions // Science. 2006. V. 314. P. 630–632.)
В. Снытников, В. Пармон. Жизнь создает планеты? // Наука из первых рук. № 0. 2004. С. 20–31. http://evolbiol.ru/npr_snytnikov.pdf.
См. “Эксперимент Миллера – Юри”, http://elementy.ru/trefil/21169.
Впрочем, эта мода отнюдь не нова: за ней стоит давняя философская традиция.
Преджизнь
Вместе с Землей возник и так называемый "геохимический круговорот". Одни вещества поступали из сдавленных, разогревшихся недр Земли, формируя первичную атмосферу и океаны. Другие приходили из космоса в виде падающих с неба остатков протопланетного облака, метеоритов и комет. В атмосфере, на поверхности суши и в водоемах все эти вещества смешивались, вступая друг с другом в химические реакции, и превращались в новые соединения, которые в свою очередь тоже вступали в реакции друг с другом.
Между химическими реакциями возникала своеобразная конкуренция – борьба за одни и те же субстраты (исходные вещества, необходимые для их проведения). В такой борьбе всегда побеждает та реакция, которая идет быстрее. Так что среди химических процессов начинается настоящий естественный отбор. Медленные реакции постепенно затухают и прекращаются, вытесняемые более быстрыми.
Важнейшую роль в этом соревновании играли катализаторы – вещества, ускоряющие те или иные химические превращения. Огромное преимущество должны были получать реакции, катализируемые своими собственными продуктами. Такие реакции называют автокаталитическими или цепными. Типичный пример автокаталитической реакции – так называемая реакция Бутлерова, в ходе которой из формальдегида образуются сахара, которые сами и являются катализаторами этой реакции. Это значит, что после появления в реакционной смеси первых молекул сахаров процесс превращения формальдегида в сахара начинает самопроизвольно ускоряться и становится лавинообразным[12].
Следующий этап – формирование автокаталитических циклов, в ходе которых происходит не только синтез катализаторов, но и частичное возобновление расходуемых субстратов. От сложного и эффективного автокаталитического цикла уже недалеко и до настоящей жизни, ведь жизнь в основе своей – это самоподдерживающийся, автокаталитический процесс.
Проблема возникает с "затравкой": та же реакция Бутлерова не начнется, если в среде изначально не будет хотя бы небольшого количества углевода-катализатора. Несколько упрощает проблему гипотеза, предложенная А. Д. Пановым из Института ядерной физики. Известно, что небесные тела могут обмениваться веществом: при столкновении планеты с крупным астероидом из ее поверхности выбиваются фрагменты породы, которые могут улететь в космос и попасть на другие планеты. По расчетам Панова, благодаря такому "метеоритному обмену" возникшее в ходе химической эволюции на одной из планет полезное новшество (например, эффективный катализатор) может в течение обозримого времени попасть в другие звездные системы, а за несколько сотен миллионов лет ареал распространения новшества может охватить всю галактику – разумеется, при условии, что запас данного вещества будет возобновляться в цепочке спровоцированных им химических превращений. Гипотеза Панова расширяет масштаб химической "кухни", в которой подготавливались ингредиенты будущей жизни, от планетарного до галактического[13].
Главная молекула жизни
Общепринятого определения жизни не существует (в биологии вообще с определениями трудно – обычно чем строже определение, тем хуже оно работает). Одни ученые полагают, что жизнь – скорее процесс, чем структура, и определяют ее, например, как "процесс сохранения неравновесного состояния органической системы извлечением энергии из среды". Такому определению могут соответствовать и системы, не имеющие четких пространственных границ, – автокаталитические циклы, "живые растворы". Другие подчеркивают обязательную дискретность живых объектов и считают, что понятие "жизнь" неотделимо от понятия "организм". Третьи подчеркивают информационную природу жизни и определяют ее как способность некого фрагмента информации ("репликатора") к самокопированию с использованием ресурсов внешней среды. Под это определение подходят не только биологические вирусы, но и компьютерные и даже распространяющиеся в обществе слухи, верования и т. п[14]. Но это, пожалуй, чересчур широкий взгляд на жизнь.
Нам известна только одна жизнь – земная, и мы не знаем, какие из ее свойств являются обязательными для любой жизни вообще. Рискнем, однако, два таких свойства все-таки назвать. Это, во-первых, наличие наследственной информации, во-вторых – активное осуществление функций, направленных на самоподдержание и размножение, а также на получение энергии, необходимой для выполнения всей этой работы.
Все живое на Земле справляется с перечисленными задачами при помощи трех классов сложных органических соединений: ДНК, РНК и белков[15]. ДНК взяла на себя первую задачу – хранение наследственной информации. Белки отвечают за вторую: они выполняют все виды активных "работ". Разделение труда у них очень строгое. Белки не хранят наследственную информацию, ДНК не совершает активной работы (в биологии почти не бывает правил без исключений, в данном случае исключения тоже есть, но очень редкие и не делающие погоды).
Молекулы третьего класса веществ – РНК – служат посредниками между ДНК и белками, обеспечивая считывание наследственной информации. При помощи РНК осуществляется синтез белков в соответствии с записанными в молекуле ДНК "инструкциями". Некоторые из функций, выполняемых РНК, очень похожи на функции белков (активная работа по прочтению генетического кода и синтезу белка), другие напоминают функции ДНК (хранение и передача информации). И все это РНК делает не в одиночку, а при активном содействии со стороны белков. На первый взгляд РНК кажется "третьей лишней". В принципе нетрудно представить себе организм, в котором РНК вовсе нет, а все ее функции поделили между собой ДНК и белки. Правда, таких организмов в природе не существует.
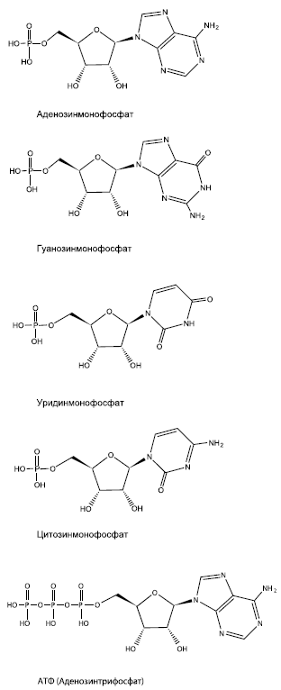
РНК – полимер, состоящий из множества похожих "кирпичиков" – рибонуклеотидов, каждый из которых, в свою очередь, собран из трех частей. Первая из них – фосфорная кислота (фосфат), неорганическое вещество, которого довольно много в земной коре и океанах. Вторая – азотистое основание. В состав РНК входят четыре азотистых основания: А (аденин), У (урацил), Г (гуанин) и Ц (цитозин); соответственно, существует четыре вида рибонуклеотидов. Азотистые основания могли синтезироваться из неорганических молекул (таких как СО, HCN и NHp еще в протопланетном облаке. Их находят и в метеоритах. Третья – сахар рибоза – образуется в ходе автокаталитической реакции Бутлерова.
Четыре составных блока молекулы РНК – нуклеотиды аденозин (аденин + рибоза), гуанозин (гуанин + рибоза), уридин (урацил + рибоза) и цитидин (цитозин + рибоза), к каждому из которых присоединено по одному остатку фосфорной кислоты. АТФ (главная энергетическая молекула живой клетки) представляет собой аденозин с тремя фосфатами.
Какая из трех молекул появилась первой? Одни ученые говорили: конечно, белки, ведь они выполняют всю работу в живой клетке, без них жизнь невозможна. Им возражали: белки не могут хранить наследственную информацию, а без этого жизнь и подавно невозможна! Значит, первой была ДНК!
Ситуация казалась неразрешимой: ДНК ни на что не годна без белков, белки – без ДНК. Получалось, что они должны были появиться вместе, одновременно, а это трудно себе представить. Про "лишнюю" РНК в этих спорах почти забыли. Ведь она, как тогда думали, не может без посторонней помощи ни хранить информацию, ни выполнять работу.
Потом, правда, выяснилось, что у многих вирусов наследственная информация хранится в виде молекул РНК, а не ДНК. Но это посчитали курьезом, исключением. Переворот произошел в 80-х годах XX века, когда были открыты рибозимы – молекулы РНК с каталитическими свойствами. Рибозимы – это РНК, выполняющие активную работу, то есть то, что должны делать белки. Среди рибозимов были найдены и катализаторы репликации (копирования, размножения) молекул РНК – своих собственных или чужих.
В итоге РНК из "почти лишней" стала "почти главной". Оказалось, что она, и только она, может выполнять сразу обе главные жизненные задачи – и хранение информации, и активную работу. Стало ясно, что возможен полноценный живой организм, не имеющий ни белков, ни ДНК, в котором все функции выполняются только молекулами РНК. Конечно, ДНК лучше справляется с задачей хранения информации, а белки – с "работой", но это уже детали. РНК– организмы могли приобрести белки и ДНК позже, а поначалу обходиться без них.
Так появилась теория РНК-мира, согласно которой первые живые существа были РНК-организмами без белков и ДНК. А первым прообразом будущего РНК-организма мог стать автокаталитический цикл, образованный самовоспроизводящимися молекулами РНК – теми самыми рибозимами, которые способны катализировать синтез собственных копий.
Лично я считаю теорию РНК-мира одним из самых выдающихся достижений теоретической мысли в биологии за последние 30 лет, которое можно сравнить разве что с симбио-генетической теорией происхождения эукариот[16] (о которой пойдет речь в главе "Великий симбиоз"). По правде сказать, могли бы до этого додуматься и раньше. Ведь два вида рибозимов были известны еще с 60-х годов XX века, хотя их не называли тогда рибозимами. Это рибосомные РНК (рРНК), из которых сделаны молекулярные "машинки" для трансляции (синтеза белка) – рибосомы, и транспортные РНК (тРНК), которые подносят нужные аминокислоты к рибосомам в ходе трансляции. Оба вида РНК выполняют активную биохимическую работу, это самые настоящие рибозимы, но, пока их было известно только два, теория РНК-мира не была сформулирована.
Трансляция – синтез белка. Осуществляется особыми молекулярными "машинками" – рибосомами, которые состоят из нескольких больших молекул рибосомной РНК и большого числа менее крупных молекул рибосомных белков. Рибосомы синтезируют белок в соответствии с "инструкциями", записанными в молекуле матричной РНК (мРНК). Каждые три нуклеотида мРНК кодируют одну аминокислоту. Аминокислоты присоединяются к синтезируемой молекуле белка по одной. Доставка аминокислот к рибосомам осуществляется транспортными РНК (тРНК).
Теория РНК-мира, вначале чисто умозрительная, очень быстро "обрастает" экспериментальными данными. Химики научились получать рибозимы чуть ли не с любыми желаемыми характеристиками. Делается это так. Например, мы хотим создать молекулу РНК, которая способна безошибочно узнавать вещество X и связываться с ним. Для этого синтезируют большое количество разных цепочек РНК, соединяя рибонуклеотиды друг с другом в случайном порядке. Раствор, содержащий полученную смесь молекул РНК, наливают на поверхность, покрытую веществом X. После этого остается лишь отобрать и исследовать те молекулы РНК, которые прилипли к поверхности. Технология незамысловата, но она действительно работает. Примерно таким способом получены рибозимы, катализирующие синтез нуклеотидов, присоединяющие аминокислоты к РНК и выполняющие множество других биохимических функций. Стирая грань между живым и неживым, уже растут на искусственных средах в лабораториях возмутительнейшие объекты – колонии размножающихся молекул РНК, способные к тому же синтезировать белки (правда, без этих самых белков – ферментов – заставить их расти пока не удается). Весомый вклад в эти исследования вносят ученые из Института химической биологии и фундаментальной медицины (г. Новосибирск) и Института белка (г. Пущино) под руководством академиков В. В. Власова и А. С. Спирина. Любопытно, что многие рибозимы работают лучше всего при низких температурах, иногда даже ниже точки замерзания воды – в крошечных полостях льда, где достигаются высокие концентрации реагентов. Некоторые считают это свидетельством того, что жизнь зарождалась при низких температурах.
Конечно, нельзя сказать, что в теории РНК-мира совсем нет проблем и трудностей. Их очень много. Основная, пожалуй, состоит в том, что большинство рибозимов очень малоэффективны по сравнению со своими белковыми аналогами. Во многих случаях это не принципиально, потому что на ранних этапах становления жизни белков еще не было, рибозимам не с кем было конкурировать, они на тот момент были "последним словом науки и техники". Их эффективности вполне хватало для того, чтобы предоставить химическим циклам, в которых они участвовали как катализаторы, решающее преимущество в скорости. Но некоторые ограничения могли оказаться принципиальными. В первую очередь это относится к вышеупомянутой способности рибозимов катализировать синтез собственных копий. В действительности тут все не так просто и гладко. В ныне живущих организмах таких рибозимов не обнаружено. Методом "искусственной эволюции" (то есть путем синтеза множества случайных последовательностей рибонуклеотидов, последующего отбора удачных вариантов, внесения в них небольших случайных изменений, нового отбора и т. д.) удалось получить рибозимы, которые худо-бедно могут "сшить" друг с другом два рибонуклеотида, но не всякие и не всегда. Осуществить полноценное копирование длинной молекулы РНК (то есть служить настоящими РНК-зависимыми РНК-полимеразами) они не могут. Чтобы изготовить из молекул РНК рибозим, который можно с полным правом назвать РНК-зависимой РНК-полимеразой, ученым пришлось воспользоваться наряду с "искусственной эволюцией" еще и сознательным, разумным планированием. В конце концов это удалось сделать – искомый рибозим был составлен из нескольких разных молекул РНК. Но даже и этот с таким трудом разработанный и изготовленный комплексный рибозим работает из рук вон плохо. В чем же дело?
Схема транспортной РНК. А, G, С, U – стандартные нуклеотиды аденозин, гуанозин, цитидин и уридин, другими буквами отмечены нестандартные (модифицированные) нуклеотиды, в том числе I – инозин. Как и многие другие молекулы РНК, тРНК образует петли за счет того, что рибонуклеотиды попарно "склеиваются друг с другом по принципу комплементарности. Как можно видеть на рисунке, С (цитозин) обычно склеивается с G (гуанином), а А (аденин) – с U (урацилом). Но в биологии, как мы уже знаем, нет правил без исключений: в двух местах этой молекулы, вопреки принципу комплементарности, G соединяется с U.
Не исключено, что дело тут в необходимых кофакторах – ионах металлов, в том числе редких. Известно, что очень многие белковые ферменты используют ионы металлов в качестве своих необходимых составных частей. Такие белки называют металлопротеинами. Похоже, это было справедливо и для рибозимов РНК-мира. До самого недавнего времени эту возможность упускали из виду. Однако недавно было обнаружено, что те самые искусственно полученные рибозимы, которые способны кое-как синтезировать РНК на РНКовой матрице, являются металлорибозимами: в их активном центре присутствует ион магния. Точно так же и проблему взаимодействия РНК с липидными мембранами удалось решить только благодаря объединению РНКовых комплексов с ионами металла, на этот раз – кальция.
Известно, что в древнем океане было гораздо больше, чем теперь, ионов различных тяжелых металлов, в том числе довольно экзотических, таких как вольфрам, молибден или ванадий[17]. Эти ионы до сих пор используются в качестве кофакторов многими белками, особенно у архаичных микроорганизмов. Может быть, дело у исследователей РНК-мира пойдет лучше, если они дадут рибозимам возможность "пользоваться услугами" ионов редких металлов?
У микроба ферроплазмы почти все белки содержат железо.
О важной и еще не до конца понятой роли металлов в жизни примитивных клеток свидетельствуют результаты изучения необычного микроба, обнаруженного в 2000 году в биореакторе металлургического завода в Туле.
Этот микроб, относящийся к надцарству архей (Archaea), получил название Ferroplasma acidiphilum. В отличие от большинства других архей и бактерий ферроплазма лишена жесткой клеточной стенки и размножается почкованием.
Ферроплазма живет в очень кислых водах, насыщенных растворенным железом и другими металлами. В природе такие условия встречаются в окрестностях месторождений сульфидных руд (например пирита). Ферроплазма сама производит органику из углекислого газа (подобно растениям), а питаться готовыми органическими веществами не может. В отличие от растений источником энергии для синтеза органики из СO2 ферроплазме служит не солнечный свет, а химическая реакция окисления двухвалентного железа (Fe2+=>Fe3+).
Ферроплазма в процессе почкования (почки показаны стрелками). По фотографии из статьи с первоописанием микроба (О. V. Golyshina et.al., 2000).
В ходе дальнейших исследований у ферроплазмы обнаружилось еще несколько необычных особенностей. В частности, оказалось, что один из ее ферментов (альфа-глюкозидаза) является железосодержащим металлопротеином, в то время как у всех остальных организмов ферменты этого класса никакого железа не содержат. Это побудило команду микробиологов – первооткрывателей ферроплазмы проверить и остальные белки странного микроорганизма на предмет содержания в них железа и других металлов.
Результат оказался более чем удивительным. Из 189 белков, которые ученым удалось выделить из ферроплазмы, лишь 26 не содержали железа. Остальные 163 (86 %) оказались железосодержащими металлопротеинами. Самое удивительное, что аналоги большинства из этих белков, встречающиеся у других организмов, не содержат железа.
Железо в белках ферроплазмы не является какой-то необязательной или второстепенной примесью. Исследователи показали, что аккуратное удаление железа из этих белков приводит к сильному изменению их структуры (денатурации) и потере функциональной активности. Похоже на то, что почти все белки ферроплазмы, по образному выражению авторов статьи, держатся на "железных заклепках".
Естественно, сразу возник вопрос о причинах такого обилия железосодержащих металлопротеинов у ферроплазмы. Возможно, это общее свойство всей группы микроорганизмов, к которой относится ферроплазма? Или, может быть, оно характерно именно для микробов, обитающих в кислых, насыщенных растворенным железом водах? Для ответа на этот вопрос исследователи выделили теми же методами металлосодержащие белки из ближайшего родственника ферроплазмы – архей Picrophilus torridus, а также из неродственного, но обитающего в таких же условиях микроорганизма – бактерии Acidithiobacillus ferrooxidans. Из этих микробов удалось выделить лишь 29 и 28 металлопротеинов соответственно, из которых только половина содержала железо. Самое главное, что все железосодержащие металлопротеины этих двух микробов оказались обычными, широко распространенными металлопротеинами, которые и у многих других организмов тоже содержат железо.
Тогда исследователи высказали дерзкую гипотезу. Они предположили, что ситуация, наблюдаемая у ферроплазмы, является случайно сохранившимся отголоском древнейших этапов развития жизни. Жизнь могла зародиться в микрополостях кристаллов пирита, в условиях, очень близких к тем, в которых ныне обитает ферроплазма. Главными отличиями этих микрополостей являются кислая среда и изобилие растворенного железа, которое в других, менее экзотических местообитаниях обычно в большом дефиците.
Древнейшие формы жизни поначалу активно использовали для осуществления необходимых химических реакций простые неорганические катализаторы, в первую очередь соединения железа и серы. Постепенно эти катализаторы замещались более эффективными органическими – то есть белками, и вполне естественно предположить, что первые белки включали в себя атомы железа как неотъемлемые структурные и функциональные компоненты. В дальнейшем, когда живые организмы стали осваивать другие местообитания, они сразу же столкнулись с резким дефицитом доступного железа, и отбор стал способствовать замене старых железосодержащих белков другими, не нуждающимися в железе для выполнения своих функций. В конце концов железо сохранилось только в тех белках, которые без него совсем уж никак обойтись не могут.
По мнению исследователей, обилие железосодержащих металлопротеинов у ферроплазмы объясняется тем, что предки этого микроба никогда не покидали кислых, богатых железом вод, и вся их эволюция протекала в условиях железного изобилия. Другие микроорганизмы, обитающие сегодня в похожих условиях, вероятно, попали туда вторично и на каких-то этапах своей эволюции сталкивались с дефицитом железа. Те немногочисленные белки ферроплазмы, в которых железа все-таки нет, возможно, достались ей от этих новых соседей в результате горизонтального (межвидового) обмена генами, что у микробов – обычное дело (см. главу "Наследуются ли приобретенные признаки").
Впрочем, есть одно обстоятельство, заставляющее усомниться в столь глубокой древности ферроплазмы и ее металлопротеинов. Дело в том, что этот микроорганизм является аэробным, для окисления железа ему необходим кислород, тогда как древнейшие этапы эволюции жизни протекали в бескислородных условиях (см. главу "Планета микробов").
(Источник: Manuel Ferrer, Olga V. Golyshina, Ana Beloqui, Peter N. Golyshin, Kenneth N.Timmis. The cellular machinery of Ferroplasma acidiphilum is iron-protein-dominated // Nature. 2007. V. 445. P. 91–94.)
Как РНК решала энергетический вопрос. Чтобы два рибонуклеотида соединились вместе, образовав маленькую молекулу РНК, к одному из них должен быть присоединен дополнительный фосфат (или сразу два). Получившаяся молекула – рибонуклеотид с лишним фосфатом – обладает большим количеством энергии, которая при наличии подходящих катализаторов может быть использована для выполнения разных полезных "работ". В том числе для соединения двух рибонуклеотидов в одну молекулу – маленькую РНК. Рибонуклеотиды с дополнительными фосфатами первоначально использовались, скорее всего, только как "строительные кирпичики" при синтезе РНК. Кирпичики, надо сказать, очень удобные – ведь они включают в себя не только строительный материал, но еще и энергию, необходимую для выполнения строительных работ! Впоследствии они стали использоваться для тысяч других важных дел – везде, где для выполнения какой-то работы требуется энергия. Все живое и по сей день пользуется фосфорилированными рибонуклеотидами как универсальными поставщиками энергии при выполнении энергоемких задач. Самая известная из этих "энергетических" молекул – АТФ (аденозинтрифосфат). Это обычный рибонуклеотид, к которому присоединены два дополнительных фосфата. АТФ одновременно и источник энергии для множества энергоемких реакций, и один из кирпичиков для синтеза РНК. Так земная жизнь нашла универсальное решение сразу двух задач: запасания энергии в удобной форме и синтеза РНК – главных молекул жизни.
НАД (никотинамид-аденин-динуклеотид) – важнейший участник энергетического метаболизма клетки, используемый как универсальный переносчик протонов и электронов. Представляет собой два соединенных рибонуклеотида: обычный (аденозин) и "нестандартный" (никотинамид). Структура этого вещества – еще одно "напоминание* об эпохе РНК-мира.
В. Пармон. Естественный отбор среди молекул // Наука из первых рук. № 0. 2004. С. 33–40. http://evolbiol.ru/npr_parmon.pdf.
А. Д. Панов. Эволюция и проблема SETI. 2006. http://evolbiol.ru/panov.pdf.
Ричард Докинз. Вирусы мозга, http://elementy.ru/lib/164594
Те из читателей, кто совсем позабыл школьный курс биологии и напрочь не помнит, что такое транскрипция, трансляция, рибосомы, каково химическое строение белков и к какому классу биополимеров относится словосочетание “двойная спираль”, могут подсмотреть необходимую информацию, например, вот здесь: http://www.fizhim.ru/student/files/biology/biolections/lection05.html или здесь: http://vadim-blin.narod.ru/axiomatica/main.htm. Я старался напоминать азы по ходу изложения, но для тех, кто начинает совсем “с нуля”, этого может оказаться недостаточно.
Дорогие читатели! Если в тексте вам встречается незнакомый термин, поищите его в “Словаре терминов” в конце книги. Там все подробно объясняется.
М.А. Федонкин Сужение геохимического базиса жизни и эвкариотизация биосферы: причинная связь. // Палеонтологические журнал 2003, № 6 с. 33–40 http://evolbiol.ru/fedonkin2003.htm
Оболочка
Все организмы дискретны в пространстве и имеют наружную оболочку. Трудно представить себе живое существо в виде туманного облачка или раствора (разве что в фантастическом романе). Однако поначалу преджизнь существовала именно в виде растворов. Чтобы не раствориться окончательно, не рассеяться в водах древних водоемов, "живые растворы" должны были ютиться в крошечных полостях, которые часто встречаются в минералах. Это тем более удобно, что некоторые минералы (например, пирит) являются неплохими катализаторами для многих биохимических реакций. Кроме того, поверхность минералов могла служить своеобразной матрицей, осно
