All sciences. №7, 2023. International Scientific Journal
Қосымшада ыңғайлырақҚосымшаны жүктеуге арналған QRRuStore · Samsung Galaxy Store
Huawei AppGallery · Xiaomi GetApps

автордың кітабын онлайн тегін оқу  All sciences. №7, 2023. International Scientific Journal

All sciences. №7, 2023

International Scientific Journal

Шрифты предоставлены компанией «ПараТайп»


Авторы: Aliyev Ibratjon Xatamovich, Mavlonov Paxlavon Ibroximovich, Qadirberganov Fozil Kudratovich, Sayitov Shavkatjon Samiddinovich, Saydaliyev Sardorbek Shavkatovich, Mamasodiqov Yusufjon, Ro'zibayev Navruz Doniyorovich


Editor-in-Chief Ibratjon Xatamovich Aliyev

Illustrator Ibratjon Xatamovich Aliyev

Illustrator Sultonali Mukaramovich Abduraxmonov

Illustrator Obbozjon Xokimovich Qo'ldashov

Cover design Ibratjon Xatamovich Aliyev

Cover design Ra'noxon Mukaramovna Aliyeva

Acting Scientific Supervisor Sultonali Mukaramovich Abduraxmonov

Economic Manager Farruh Murodjonovich Sharofutdinov

Economic Consultant Botirali Rustamovich Jalolov

Proofreader Gulnoza Muxtarovna Sobirova

Proofreader Abdurasul Abdusoliyevich Ergashev





12+

Оглавление

PHYSICAL AND MATHEMATICAL SCIENCES

THE RELEVANCE AND NECESSITY OF MODERN DESIGN OF TECHNOLOGIES BASED ON NEUTRON NUCLEAR REACTIONS WITH INCREASED ACCURACY OF MONOCHROMATICITY WHEN CARRIED OUT ON SPECIAL ACCELERATOR TECHNOLOGY

UDC 539.17

Aliyev Ibratjon Xatamovich

CEO of OOO «Electron Laboratory», President of the Electron Scientific School at OOO «Electron Laboratory»

OOO «Electron Laboratory», Scientific School «Electron», Margilan, Uzbekistan

Annotation. The existence of a wide variety of tasks that require their sudden solution on the scale of the planet, the state, regions and cities is not a secret today, so the question of finding new solutions in the energy field is also a very topical issue. It is worth saying that a large number of studies conducted in this direction in various industries for the purpose of searching led to quite interesting results, in the face of which it became possible to find not only the physics of resonant nuclear reactions, but also a completely new physics of neutron reactions. And it is also worth pointing out that the improvement of a large number of aspects of modern energy is reduced to obtaining various aspects along with conducting research in the field of atomic nucleus and elementary particle physics, as well as to conducting various kinds of experiments using accelerator technology. Along with the above, it is worth pointing out that such work is being carried out quite actively and gives certain results, which indicates the great relevance of research in this area, as well as, in particular, in the field of newly created neutron physics.

Keywords: science, neutron nuclear reactions, physics of resonant nuclear reactions, nuclear physics, nuclear reactions, power engineering, technological manifestation, neutron physics, neutron reactions, research, accelerator technology, neutron.

Аннотация. Наличие самых различных задач требующие своего скоропостижного решения в масштабах планеты, государства, областей и городов не является секретом на сегодняшний день, благодаря чему вопрос о нахождении новых решений в энергетической области также является весьма актуальным вопросом. Стоит сказать, что большое количество исследований проводимые в данном направлений по самым различным отраслям с целью поиска привели к достаточно интересным результатам, в лице которых стало возможно нахождение не только физики резонансных ядерных реакций, но и совершенно новой физики нейтронных реакций. А также стоит указать, что улучшение большого количества аспектов современной энергетики сводиться к получению различного рода аспектов наряду с проведением исследованием в области физики атомного ядра и элементарных частиц, а также к тому, что проводиться различного рода эксперименты с использованием ускорительной техники. Наряду с вышеуказанным стоит указать, что подобные работы производятся достаточно активно и дают определённые результаты, что говорит о большой актуальности проведения исследований в данной области, а также, в частности, в области ново созданной нейтронной физики.

Ключевые слова: наука, нейтронные ядерные реакции, физика резонансных ядерных реакций, ядерная физика, ядерные реакции, энергетика, технологическое проявление, нейтронная физика, нейтронные реакции, исследования, ускорительная техника, нейтрон.


There are a large number of very different ways of generating electric energy, through the use of thermal, wind, solar energy, which are already comparatively more popular in society for a long time of their use. There are also exotic ways of extracting this energy, an example of which may be the use of lightning energy, waves or earthquakes, do not forget about nuclear energy, which seemed to stand apart. However, this area, as it may seem, is likely to give quite interesting and promising results. The recently created physics of resonant nuclear reactions, based on the principle of bringing the reaction itself to a state of a certain resonance, which follows from the name, and to speak in more detail, in this case, the degree of monochromatization with the Coulomb barrier of the nucleus increases in the beam, which leads to an increase in the nuclear effective cross section for the entire reaction, as well as the percentage of the beam particles involved in the interaction for a particular exo-energy reaction.

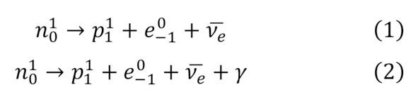
But today, in addition to the above, at least in a theoretical way, the concept of neutron energy is becoming developing, based on a rather simple phenomenon, as it may seem — the decay of a neutron. The neutron itself is a massive particle that is part of all atomic nuclei in a certain amount. When this particle is in a free state, it is capable of decaying in one of two decay lines (1—2), every 80 seconds.

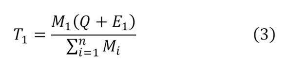
At the same time, it should be said that the first decay line is 98.2% more likely than the second, the probability of which is determined depending on the rest of the part. The kinetic energy of each of the decay reaction products can be determined by using (3), where the inversely proportional energy distribution relative to each of the masses is indicated.

Following the decay, it can be traced from the manifested regularity that a greater amount of all the energy obtained from the nuclear reaction passes to lighter particles. However, this process, as can be seen, is a particular consideration of a certain case, which acquires a larger scale when viewed from the top.

As you know, the atomic nucleus consists of protons and neutrons, but now neutrons are of great interest, if we proceed from this reaction method, which got their name from the Latin neuter — neither one nor the other. This is, in fact, a heavy elementary particle that does not have an electric charge, or more precisely equal to (-0.2 ± 0.8) * 10—27 elementary electric charge, have a relatively large mass of 939.57 MeV or 1.00866 atomic mass units, and also, in addition to other indicators, has a lifetime of 880 ± 0.9 seconds, that is, a half-life of 610 ±0.6 seconds in the free state. In addition, it decays along 2 channels (as indicated above), that is, it divides into a proton, electron and electron antineutrino in 99.7% of cases, or additionally emits a gamma quantum in 0.309% of cases, respectively, for all cases of decay.

Now let's pay attention to the fission products and their charge — a proton and an electron, they attract, that is, they do not have a repulsive Coulomb barrier, here, on the contrary, it connects particles and for a proton with electrons, the energy generated will be 1,028676 MeV. That is, it turns out that a neutron was taken, it decayed into an electron, a proton and an electron antineutrino, which, once in annihilation, immediately turns into a gamm

...