Все науки. №10, 2024. Международный научный журнал
Қосымшада ыңғайлырақҚосымшаны жүктеуге арналған QRRuStore · Samsung Galaxy Store
Huawei AppGallery · Xiaomi GetApps

автордың кітабын онлайн тегін оқу  Все науки. №10, 2024. Международный научный журнал

Все науки. №10, 2024

Международный научный журнал

Шрифты предоставлены компанией «ПараТайп»


Авторы: Алиев Ибратжон Хатамович, Отажонов Салим Мадрахимович, L. Garrido-Gómeza, J. P. Fernández-Garcíaa, A. Vegas-Díaza, B. Fernándeza, F. J. Ferrera, D. Lopez-Airesc, Билалов Иномжон Уктамович, Иброхимов Фарходжон Анваржонович, Sabriddinova Kibriyo, Хусанов Жамолиддин, Berkinov Oybek Tohir o‘g‘li, Yuldoshev Avazbek Abdurashid o‘g‘li, Норбоева Дилноза Oрзиқуловна


Главный редактор. Директор НИИ "ФРЯР" Ибратжон Хатамович Алиев

Научный директор Боходир Хошимович Каримов

Технический директор Султонали Мукарамович Абдурахмонов

Экономический директор Ботирали Рустамович Жалолов

Редактор Миродилжон Хомуджонович Баратов

Редактор Гулчехра Ғуламжановна Ғаффарова

Иллюстратор Ибратжон Хатамович Алиев

Иллюстратор Фарходжон Анваржонович Иброхимов

Дизайнер обложки Раънохон Мукарамовна Алиева

Корректор Гулноза Мухтаровна Собирова

Корректор Дилноза Орзиқуловна Норбоева





18+

Оглавление

ФИЗИКО-МАТЕМАТИЧЕСКИЕ НАУКИ

О ВЫВЕДЕНИИ УРАВНЕНИЯ ЭЛЕКТРОПРОВОДНОСТИ И МАТЕМАТИЧЕСКОГО МОДЕЛИРОВАНИЯ ПОЛУПРОВОДНИКОВОГО ЭЛЕМЕНТА НА ОСНОВЕ ТЕЛЛУРИДА КАДМИЯ, ОКСИДА КРЕМНИЯ И КРИСТАЛЛИЧЕСКОГО КРЕМНИЯ

УДК: 519.712 / 53.023

Отажонов Салим Мадрахимович1, Алиев Ибратжон Хатамович2

1Ферганский государственный университет, 150100, Республика Узбекистан, Ферганская обл., г. Фергана, 2НИИ «ФРЯР», 151100, Республика Узбекистан, Ферганская обл., г. Фергана

Аннотация. В статье представлено исследование по выведению общего динамического уравнения электропроводности с учётом дополнительных внешних факторов с созданием различного стороннего поля. Также представлен наглядный пример на основе полупроводников CdTe и Si, организующие единый элемент. Для вывода соответствующего уравнения затронут метод непосредственного выведения уравнения теплопроводности от частичного прообраза уравнения Гельмгольца с последующим его сведением от уравнения Лапласа в электростатическом моделировании. В заключении приводиться само уравнение, граничные условия по указанной модели и эмпирические данные полученные при реализации модели.

Ключевые слова: электростатика и теория электромагнетизма, электропроводность, уравнение Лапласа, динамическое дифференциальное уравнение в частных производных.

Введение

Увеличение разнообразия имеющихся материалов с различными проводящими свойствами, переменной концентрацией свободных зарядов в них различного характера открывает большие возможности перед современной технической наукой. Среди числа подходящий под выше представленное определение попадают полупроводники с различной структурой, с использованием легирования на смежных материалах [1—2; 11]. Вместе с этим, существует также технология использования полупроводников для создания одноимённых элементов, где также может выступать кремний, с его примесями, среди которых может выступать чистый кристаллический кремний, смесь кремния и бора, кремния и фосфора, а также прочие комбинации полупроводников [2—4; 7—12; 15—16].

При использовании нескольких элементов типа p-n, n-p, p-n-p и n-p-n необходимо моделировать ситуацию, которая могла бы описывать выбранный случай при помощи соответствующих уравнений. На сегодняшний день активно применялись эмпирические работы в данном ключе [5—10; 12—16], в том числе с непосредственным использованием систем квантового моделирования, где учитываются эффекты туннелирования, частичного создания запутанных электронов и прочие квантовые эффекты, следующие из известных закономерностей [2; 7—11; 14—15]. Аналогичные работы осуществлялись ранее также в рамках исследований по CdTe-SiO2-Si [2—6; 8] о чём также упоминается в настоящем исследовании. Однако, в каждом из представленных случаев исследование не были исследованы аналитическим образом с применением соответствующих дифференциальных уравнений в частных производных [17—21].

Известный на данный момент математический аппарат является дискретным, что исключает возможность учёта всех необходимых параметров, благодаря чему образуется проблема, согласно которой могут быть неопределенны слепые зоны в том или ином случае, где анализируется отдельно взятое явление. Исходя из всех указанных утверждений настоящее явление является актуальным.

Материалы и методы исследования

В ходе исследования были использованы методы математического преобразования, формирования дифференциальных уравнений в частных производных, использования аналитического моделирования с переведением в аналитическую форму дискретных выражений. В качестве материалов исследования принят нынешний математический аппарат по исследованию соответствующих явлений, эмпирические и дискретные данные, полученные в ходе исследований анализируемого класса.

Исследование

Выведение дифференциального уравнения того или иного типа основывается на преобразовании имеющихся дискретных данных с использованием общей методологии смежного дифференциального уравнения. В данном случае необходимо выведение уравнения электропроводности под действием стороннего электромагнитного поля, для чего необходимо выведение уравнения электропроводности в первоначальной форме.

1. Уравнение электропроводности

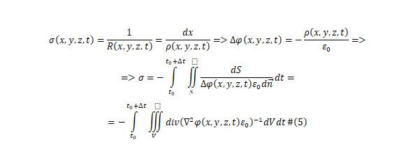
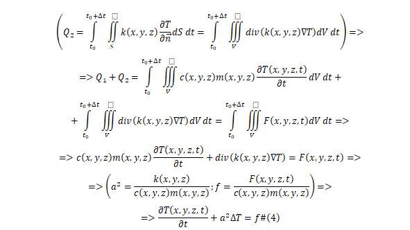
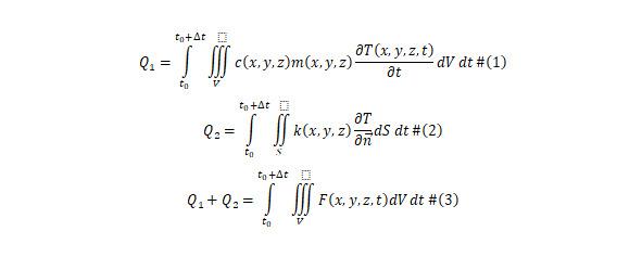
Для этого применяется модель смежного уравнения — уравнения теплопроводности, для вывода которого используется трижды интегральная форма теплоёмкости (1) и дважды интегральная форма теплопроводности (2), для которых действует выражение (3).

Сформированное выражение (3) может быть сведено до формы уравнения теплопроводности в (4).

Исходя из преобразования (4) аналогичная формулировка может быть выведена для динамической формы уравнения электропроводности. Для этого используется преобразование изначально для формы электропроводности в дважды интегральной форме (5).

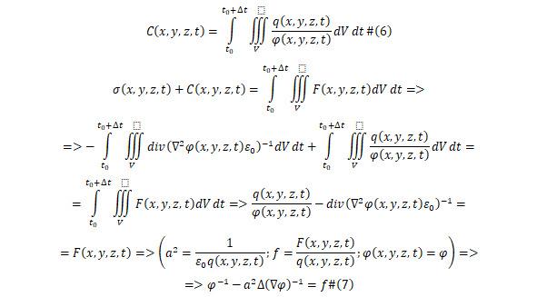
В данном случае изначально принимается динамическая характеристика, относительно электропроводности в силу того, что изначальная задача по определению динамическая, что делает выведенное выражение отличным от классической задачи электропроводности в статическом виде. Также в данном случае использовано преобразование лапласиана относительно оператора Набла и градиента, как это было использовано ранее в случае теплопроводности. Следующей стадией является определение электроёмкости (6) и приведение аналогичного выражения для суммы электроёмкости и электропроводности (7).

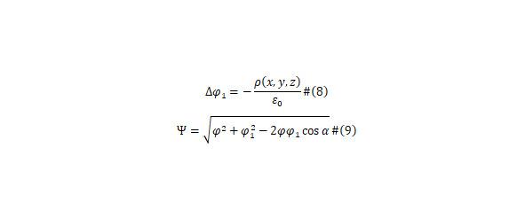
Таким образом было сформулировано дифференциальное уравнение в частных производных, описывающее явление электропроводности, которое может быть преобразован в последующем. Для явлений электромагнитного поля используется уравнение Пуассона для электростатического поля (8), которое будет оказывать влияние на уравнение (7) и поскольку каждый из функций описывает явление в векторном пространстве со своими единичными элементами, то по определению функционального анализа относительно них может быть использован метод векторного сложения (9), что также лишний раз подтверждается участием оператора Набла в (7) таким образом выведя результирующий вид функции относительно заданного явления, при чём каждый из функций в (9) является решением динамических дифференциальных уравнений в частных производных (7) и (8), соответственно.

При том, что в (8) под углом понимается взаимный угол взаимодействия между функциями-векторами. Для решения представленного уравнения необходимо использование метода Фурье разделения переменных для каждого из избранных случаев, что может быть представлено в расширенном виде, с учётом использования отдельно взятых функций. В реальном представлении указанное уравнение может быть использовано относительно описания электрического перехода в полупроводниковом элементе, построенный согласно слоям CdTe-SiO2-Si, в данном случае между теллуридом кадмия и кремнием будут находиться источники тока, куда направлено напряжение порядка 100—200 В. Также, имеется внешний источник поля, приближённый к слою CdTe, разделённый с слоем кремния посредством оксидной плёнки. Известны размерности каждого из слоёв (Табл. 1).

Таблица 1. Размерности слоёв полупроводникового элемента

В последующем необходимо обратить внимание на каждый из элементов слоя по отдельности для выведения соответствующих функций.

1. Теллурид кадмия

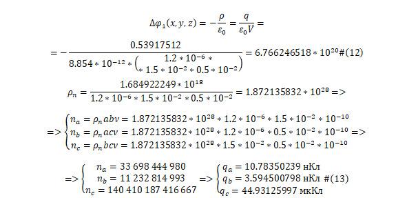
Первоначально для понимания типа полупроводника теллурида кадмия необходимо составление картины электронных оболочек каждого из элементов (10).

Из полученной картины наглядно видно, что кадмий, используемый в соединении, имеется 2 электрона на внешней оболочке, однако на внешней оболочке теллура, которым он легируется имеется 4 электрона, к тому же до заполнения внешней орбиты теллура не хватает 2 электронов относительно p-орбитали, благодаря чему всё соединение имеет 2 внешних электрона. В силу этого, в соединении имеется большое количество свободных электронов, общее число которых может быть вычислено через (11), в том числе в силу вычисляемого заряда.

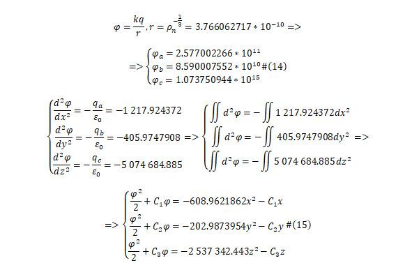
Полученное выражение может быть использовано для уравнения Пуассона электростатики с электронной плотностью (12), но при этом, настоящее уравнение используется в трёхмерном пространстве, благодаря чему необходимо вычислить численность свободных электронов в каждой из проекций общей формы (13).

Значения зарядов относительно каждой плоскости могут перевести в значения потенциалов, согласно (14), откуда определяются потенциалы непосредственно в каждой из плоскостей, но для перевода полученных констант в вид функции необходимо использовать отдельно взятые электростатические уравнения Пуассона по каждому из измерений (15).

В результате образованные общие виды функции могут быть приведены к единичной форме, на момент, когда введённые три константы могут получить значения, используя заданные в (14) значения в качестве граничных условий в (16).

...