автордың кітабын онлайн тегін оқу Использование ускорителей и явлений столкновения элементарных частиц с энергией высокого порядка для генерации электрической энергии. Проект «Электрон». Монография
Ибратжон Хатамович Алиев
Фаррух Муроджонович Шарофутдинов
Использование ускорителей и явлений столкновения элементарных частиц с энергией высокого порядка для генерации электрической энергии. Проект «Электрон»
Монография
Шрифты предоставлены компанией «ПараТайп»
Редактор Боходир Хошимович Каримов
Иллюстратор Ибратжон Хатамович Алиев
Дизайнер обложки Ибратжон Хатамович Алиев
Рецензент, доктор технических наук, профессор Национального Университета Узбекистана Оббосхон Хакимович Кулдашев
Рецензент, доктор физико-математических наук, профессор физико-математического факультета Ферганского Государственного Университета Салим Мадрахимович Отажонов
Рецензент, кандидат физико-математических наук, доцент физико-математического факультета Ферганского Государственного Университета Боходир Хошимович Каримов
Рецензент, кандидат физико-математических наук, доцент физико-математического факультета Ферганского Политехнического Института Султонали Мукарамович Абдурахмонов
Рецензент, доктор философии по физико-математическим наукам, старший преподаватель физико-математического факультета Ферганского Государственного Университета Сапура Маликовна Зайнолобийдинова
Рецензент, старший преподаватель физико-математического факультета Ферганского Государственного Университета Дилшод Кулдошалиевич Юлдошалиев
Дизайнер обложки Фаррух Муроджонович Шарофутдинов
Иллюстратор Фаррух Муроджонович Шарофутдинов
Педагогический консультант по 1 разделу, кандидат философских наук, доцент кафедры социологии Ферганского Государственного Университета Бахромжон Номонжонов
Педагогический консультант по 1 разделу, кандидат педагогических наук, доцент кафедры информационной безопасности Ферганского Филиала Ташкентского Университета Информационных Технологий Иномжон Уктамович Билолов
Корректор Ибратжон Хатамович Алиев
Корректор Гульноза Мухтаровна Собирова
Физический консультант Абдурасул Абдусолиевич Эргашев
Корректор Абдурасул Абдусолиевич Эргашев
© Ибратжон Хатамович Алиев, 2023
© Фаррух Муроджонович Шарофутдинов, 2023
© Ибратжон Хатамович Алиев, иллюстрации, 2023
© Ибратжон Хатамович Алиев, дизайн обложки, 2023
© Фаррух Муроджонович Шарофутдинов, дизайн обложки, 2023
© Фаррух Муроджонович Шарофутдинов, иллюстрации, 2023
В монографии представлена вводная часть в физику ядерных реакций, описано исследование по использованию 6 ядерных реакций на ускорителях как источники энергии. Описана полноценная установка действующая на этом принципе и являющаяся решением проблемы глобального недостатка электрической энергии. Книга адресована всем исследователям в области атомного ядра и элементарных частиц, преподавателям ВУЗов, магистрам, студентам и всем, кого интересует будущее прогресса и науки.
ISBN 978-5-0055-8702-2
Создано в интеллектуальной издательской системе Ridero
Оглавление
Предисловие
Наш мир погружён в огромный океан энергии, мы летим в бесконечном пространстве с непостижимой скоростью. Всё вокруг вращается, движется — всё энергия. Перед нами грандиозная задача — найти способы добычи этой энергии. Тогда, извлекая её из этого неисчерпаемого источника, человечество будет двигаться вперёд гигантскими шагами!
Никола Тесла
Энергия важна для всего человечества ещё с древних времён. С каждым днём человек потребляет всё больше и больше энергии, и если раньше основным источником энергии был огонь, то сегодня его роль всё чаще начинает выполнять электрический ток. При помощи электричества зажигаются лампы, работают компьютеры, печатаются книги, греется пища и уже ездят машины. Электричество вошло во все уголки жизнедеятельности человека и является важнейшим ресурсом.
Впервые работы по генерации электрического тока начинались с экспериментов по исследованию электромагнитной индукции Майклом Фарадеем, но долгое время эти работы не были реализованы в лице промышленных станций и установок. Изначально, использовались лишь паровые машины для выполнения определённой работы Джеймсом Уаттом, и лишь после изобретения обмотки якорей динамоэлектрических машин бельгийцем Зенобом Теофилом Граммом в 1871 году, стало возможно промышленно получать электрический ток.
Таким образом первой электростанций стала гидроэлектростанция, созданная в 1878 году английским инженером, бароном Уильямом Армстронгом в своём поместье Крэгсайд, в Англии. Вырабатываемое электричество применялось для освещения, отопления, горячего водоснабжения и других работ в хозяйстве.
Но для народа и всего человечества, электричество начало служить лишь через 4 года, зимой 12 января 1882 года в Лондоне, когда заработала первая в мире общественная угольная электрическая станция Томаса Эдисона, построенная по его же проекту. С тех пор человечество промышленно использует электрический ток, конечно с тех пор многое уже изменилось, были внедрены технологии знаменитого изобретателя Николы Тесла по использованию генераторов переменного тока, как и в системах электропередач, на той же основе переменного тока.
Но также, чтобы удовлетворить свои потребности человек изобрёл целый ряд способов и технологий для получения и генерации электрического тока в большом масштабе. Но все ли эти способы столь безопасны и удаётся ли им полноценно выполнять свою функцию?
На сегодняшний день для генерации электрического тока и удовлетворения потребностей человечества в данном ресурсе, используются технологии генерации электрической энергии из тепла (давления пара), что ярко выражено в технологиях ТЭС (теплоэлектростанций), где при помощи сжигания каменного угля, природного газа и других горючих ресурсов, имеющих в своей структуре некоторый энергетический потенциал, получают пар создающий достаточное давление для движения турбин парогенератора, который используя явление электромагнитной индукции преобразует кинетическую энергию (энергию движения, в данном случае энергия вращения, турбин под действием силы пара), то есть силу давления пара в электрический ток, который уже передаётся по ЛЭП (линиям электропередач) к потребителям для дальнейшего использования.
Также в качестве источников электрической энергии используются ГЭС (гидроэлектростанции), АЭС (атомные электростанции), ВЭС (ветряные электростанции), СПЭС (солнечные панельные электростанции). Также известны и другие технологии, наподобие методов получения тока из молний, волн и других природных сил, но они не применяются в большом масштабе, по этой причине достаточно рассмотреть только вышеуказанные типы электростанций, со своими методами генерирования большой электрической энергии.
Технология ТЭС, была рассмотрена, если останавливаться на ГЭС, то данная электростанция основана на генерации электрического тока из кинетической, а в случае нахождения на большой высоте потенциальной (энергией, которой обладает объект, находясь на определённой высоте благодаря гравитационной силе или силе тяжести, при этом потенциальная энергия участвует с дальнейшим переходом в кинетическую) энергии воды и вращение турбин генератора на большой скорости и последующей генерацией электрического тока, также с использованием явления электромагнитной индукции, на которой основаны принципы всех электрогенераторов.
Следующий тип электростанции, а именно АЭС, являются станциями, принцип которых основан на одной из самых прогрессирующих и новейших методах получения электрической энергии, а именно — на основе генерации электрического тока из атомной энергии, которая выделяется после распада ядер урана-235 или урана-238 в зависимости от типа станции после их бомбардировки тепловыми (имеющие энергию, которая численно равняется энергии при нормальной температуре) нейтронами. За счёт того, что после каждой последующей реакции, выделяется максимум 3, а чаще по 2 нейтрона дополнительно, возникает цепная реакция с выделением по 200 МэВ, при каждой реакции, со скоростным увеличением общей энергии тела, что приводит к увеличению температуры.
А при этом наступает момент, когда энергии достаточно для передачи её воде, которая облучается и передаёт тепло второму водяному контуру, по которому уже циркулирующая вода вращает парогенераторы, при этом температура не достигает критических температур, за счёт того, что вода находится под давлением, что повышает уровни постоянных температур для данной жидкости.
Описывая ВЭС, стоит отметить, что принцип электромагнитной индукции там также сохранён и используется не один генератор, которые вращаются под силой ветра, хоть они и вращаются с меньшей частотой, соответственно генерируя меньшую мощность.
Завершающим, также и с каждым днём становящий более популярным и актуальным является СПЭС. Этот тип станции по методу генерации электрического тока кардинально отличается от остальных. Этот тип станций основан на явлении фотоэлектронной эмиссии, который происходит при облучении солнечным светом специально изготовленных панелей, электрический заряд, образующийся при этом выводится и переводятся уже к линиям ЛЭП.
Но стоит также заметить, что каждый тип электрических станций имеет существенные минусы, разумеется не в своей конструкции, а в эффекте, оказываемом на природу и на окружающую среду. К примеру, ТЭС [8] генерируют огромное количество карбоната ангидрида, который выбрасывается в атмосферу и вызывает такой эффект, который именуется как глобальное потепление, являющееся следствием так называемого парникового эффекта.
Опишем все данные проблемы для последующих электростанций:
ГЭС [9]:
· Опасность катастроф (трудная конструкция в случае землетрясений и других природных катаклизмов);
· Опасность миграции рыб (могут погибнуть целые виды самых различных рыб);
· Опасность ближайших городов (в случае проблемы с пластиной в радиусе многих километров, города будут затоплены).
АЭС [10]:
· Уран является не возобновляемым ресурсом;
· Не может заменить ископаемое топливо;
· Зависит от ископаемого топлива;
· Добыча урана вредна для окружающей среды;
· Очень стойкие отходы, разлагаемые довольно долго;
· Опасность ядерных катастроф;
· Наличие эффекта изменения планетарного радиоактивного фона;
· Большая взрывоопасность;
· Трудность восстановления, в случае катастрофы.
ВЭС [11]:
· Наличие шума;
· Высокая стоимость построек;
· Большой срок окупаемости в случае реализации;
· Непостоянство и нерегулируемость ветрового потока;
· Малая энергетическая эффективность.
СПЭС [12]:
· Отсутствие добычи энергии ночью;
· Высокие затраты на хранение энергии;
· Относительно высокая цена солнечных элементов;
· Суточная и сезонная изменчивость солнечность радиации;
· Местные климатические изменения, неблагоприятные для использования солнечной энергии;
· Трудности с накоплением и концентрацией энергии;
· Низка дневная плотность потока энергии солнечной радиации;
· Установка занимает большие площади;
· Большие производственные и строительные затраты;
· Малая генерируемая мощность.
Анализируя вышеуказанные факты, становится ясно, что необходима разработка, способная генерировать электрический ток с большей эффективностью, в более большом масштабе, а также более безопасно, чем при помощи технологий, используемых сегодня. И если рассматривать все возможные способы получения электрической энергии, то находятся объяснение тому, по какой причине данное исследование, которое длится уже на протяжении более чем 12 лет, было так названо — «Электрон».
Изначально, поиск нового источника электрической энергии начинался ещё в 2010 году. Первый этап исследования заключался в поиске такого метода в классических механизмах. Было проанализировано более 500 самых различных механизмов, но все они не были эффективными, пока в 2016 году впервые не был презентован первый магнитный вид устройства, который при помощи силы магнитного отталкивания создавал колебания, вызывающий выход 3—4 струй воды, потенциальная энергия которых переходила в электрический ток. Но этот вариант устройства не был достаточно прочен и эффективен, а после экспериментальной проверки нашёлся целый ряд недостатков, что стало причиной отказа и от этой модели.
Далее следовали 34 механизма, которые отличились тем, что шли за первой более удачной версией. Но когда и они не нашли своего подтверждения, то было необходимо отказаться и от них. На протяжении 4 лет, начиная с 2014 года, шла так называемая «электрическая эра», когда исследовались различные механизмы электрического, магнитного и электромагнитного характера. И хотя были разработаны механизмы с электрическими генераторами, солнечными батареями, трансформаторами, диодами, транзисторами и многими другими элементами, но, к сожалению, и они не нашли своего подтверждения. Тогда, начиная с 2019 года началась «квантовая эра».
В марте 2019 года был разработан первый проект с элементарными частицами, и тогда проект сменил собственное название и принял наименование «Электрон», поскольку идея была основана на расщеплении электрона и проведении взаимодействий с созданием особой «конструкции» уже с гипотетическими составляющими частицы электрон. Благодаря чему были подробно исследованы составляющие в лице частиц Умидон и Раънон. Тогда впервые были опубликованы научные статьи на эту тему: «Поведение электрона в атоме», «Частица электрон», «Особенности электрона», «Линейный ускоритель электронов в энергетике» и многие другие. Также было принято участие на международном мероприятии InnoWEEK 2019.
Но после некоторых дебатов было установлено, что и эта модель, как и методы её реализации не могут быть воплощены в реальность. Следующей моделью послужила технология столкновения двух пучков электронов в выходом энергии, как предполагалось из-за некоторой аномалии, которая вытекала из выводов формул. Но появились проблемы, решение которых не было найдено, как и подробный ввод с представлением объяснения этого явления. Поэтому из этой модели нужно было перейти к технологиям по использованию ядерных реакций. На этом этапе с начала 2020 года, началась «Ядерная эра», когда же были исследованы сотни и даже тысячи ядерных реакций. Общее число исследованных ядерных реакций, которые были проанализированы на этом этапе с начала 2021 года до февраля 2021 года, составляет 1 062 реакции.
И благодаря определению ядерных реакций с большим энергетическим выходом, был создан целый комплекс из этих взаимодействий. И хотя технология уже не имела отношения с электроном, но наименование исследования не изменилось и по сей день. И хотя было опубликовано более 10 научных статей, также они были описаны в 2 томах произведения «Конструктор миров», а также презентованы нескольким компаниям, как Acwa Power в феврале и целый ряд энергетических компаний в сентябре 2021 года. Но на сегодняшний день эта технология была улучшена и имеет более упрощённый вид, что открывает целый ряд возможностей.
Именно эта технология описывается в этом исследований, которая считается на данный момент не имеющей аналогов во всём мире. Как можно видеть из истории данного исследования, путь этой технологии был не лёгким, и он является намного лучше своих «собратьев» и «предшественников», что демонстрирует большой опыт и сильное желание в достижении данной цели для всего человечество, что давало силы для преодоления целого ряда самых различных трудностей, и лишь часть из которых была описана выше при пересказе всей истории исследования.
В результате можно сделать вывод, что большего внимания заслуживают ядерные реакции в качестве новейшего источника электрической энергии в огромном масштабе. Конечно, урановые реакции уже активно используются на сегодняшний день, также очень даже популярны термоядерные реакции, для которых всё ещё ведутся поиски по применению их в мирных целях.
Но можно использовать и совершенно новые типы ядерных реакций с более большим выходом и большим сечением ядерной реакции. Но для начала необходимо подробнее разобраться с самих понятиях ядерных реакций. Этот труд повествует о технологии, которая позволит генерировать электрический ток именно с указанными параметрами и данными.
Для лучшего же понимания объясняемого материала, а также для создания удобств описания устройства, изначально в первом разделе подготовлен специальный вводный курс в саму тематику ядерной физики. Но поскольку данный курс не направлен на охват всего материала, указаны лишь необходимые или важные моменты из всего курса ядерной физики и физики высоких энергий.
После того, как читатель заинтригован необъяснёнными понятиями о ядерных реакциях и о цели всего исследования, объяснение начинается с самого объяснения этапов познания человек структуры материи. Первые познания и мысли Аристотеля, Геродота, великих мыслителей Авиценны, Бируни, сэра Ньютона и многих других. А также описывается история классификации.
Внезапная проблема радиоактивности, ещё больше интригующая читателя, становится дополнительной подмогой, после чего всё ведётся к описанию атома. Затем объясняются модели атома, созданные и описанные великими учёными с их экспериментальными подтверждениями, после чего речь плавно переходит к описанию атомного ядра и многих других частиц.
И наконец, наступает один из самых интригующих моментов, а именно описание ядерных реакции, вывод формул, расчётов, моделей и наконец, описание самых различных экспериментов, которые своими масштабами и конструкциями просто завораживают. И когда наш дорой читатель будет полностью подготовлен к исследованию и анализу новой технологии со всеми её сложностями, начинается второй раздел.
Там, приводится полное теоретическое описание, строятся разные предположения и доказательства, полностью поддерживающие основную идею и замысел. А уже в следующих разделах анализируется экспериментальное представление, как и вся картина реализации этого эксперимента в реальности.
Именно таким образом прямо на глазах у читателя формируется и восстаёт полноценная идея, отдельный замысел, который имеет колоссальную важность для всего человечества, обеспечив выработку электрической энергии в огромных масштабах, постройки станут более лёгкими и быстрыми по сравнению с другими электрическими станциями, впрочем, как и затраты на их постройки. Вместе с этим, возрастёт возможность обеспечения электрическим током всего населения. Исчезнет энергетический и информационный голод, уже можно будет не бояться больших потерь в проводах и увеличить переход на передачу электрической энергии без проводов, как это предсказывал Никола Тесла ещё в 1900-х годах.
Увеличится число самых разных экспериментов, проводимых в самых различных исследовательский институтах, которые сейчас находятся в ожидании новейшего источника электрической энергии. Человек сможет продлить время своего пребывания в космосе в несколько раз и даже может замахнуться на казалось бы безумные идеи о создании искусственных атомов из электрической энергии. Вместе с этим, увеличится число самых различных предположений и загадок, которые найдут отражения в произведениях фантастов и писателей. Весь человеческий мир колыхнётся и начнёт двигаться семимильными шагами и наступит великое будущее.
Но чтобы всё это реализовать нужно сделать первый шаг, а именно войти в глубины исследования «Электрон».
Ибратжон Хатамович Алиев
Фаррух Муроджонович Шарофутдинов
Раздел 1. Теоретические выкладки
Глава 1. История атомизма
Всё состоит из частиц… вещи отличаются друг от друга частицами, из которых состоят, их порядком и расположением…
Демокрит
Квантовый мир элементарных частиц и атомного ядра удивителен по своей красоте, структуре и масштабам. И далее также будет рассмотрен этот мир во всех сложностях. Но первоначально необходимо понять саму суть первых шагов в открытии атома, той самой частички с которой всё и начиналось. Первая глава кардинально отличается от остальных глав поскольку она создана специально не только для высших умов, которые уже оперируют с довольно сложными понятиями, но и для юного поколения, только вступающего на путь этой удивительной науки. Поэтому в этой главе всё описано максимально просто и элементарно. Итак, без лишних слов, история величайшей атомной науки начинается…
С самых древних времён люди пытались определить структуру нашего мира, понять из чего же он состоит. Изначально, все эти вопросы были чисто философскими, по этой причине возникло такое понятие как атомизм, по этой теории, все вещества, объекты, тела состояли из неделимых частиц — атомов. Эта идея широко поддерживалась ещё в древности, впервые появившись в самых различных точках нашей планеты от древней Индии до Древней Греции и Восточного мира.
К примеру, в Древней Греции атомизм широко поддерживался также и Демокритом Абдерским, Левкиппом и другими. Противники идей атомизма могли лишь утверждать, что материя делится до бесконечности. Также учение Демокрита было основано и на идее того, что атомы не только неделимы, но их количество бесконечно, они не сотворены, и они вечны, а свойства объектов зависят от атомов. Большой вклад в идею атомизма внёс также, и философ Эпикур, а уже позже поэт Лукреций. Но если с утверждением самого понятия атома всё было ясно, поскольку атом переводится с древнегреческого как «неделимый», то есть атомы не могли делится, то с их формами были проблемы. Впервые идею о формах атома выдвинул Платон, предположив, что атомы имеют формы Платоновских тел или правильных многогранников как куб, пирамида, тетраэдр, додекаэдр, октаэдр и другие, то есть многогранники, грани которых равны между собой. Большого внимания атомизм заслужил после активных ссылок на эту идею самого Аристотеля, после чего эта идея начала распространяться по всему миру.
В восточном же мире, где выдающиеся мыслители и гении проводили свои исследования и совершали великолепные исследования в академии Маъмуна были также отдельные мнения на тему атомизма. В самой академии Маъмуна проводили свои эксперименты такие выдающиеся учёные как Абу Райхан Бируни, ибн Сина, Абу Наср ибн Ирак, Махмуд Худжанди, Ахмад ибн Мухаммад Хорезми, Ахмад ибн Хамид Найсабури и многие другие. Многие из них являются выдающимися учёными, если Абу Али ибн Хусейн ибн Абдаллах ибн Сина, также известный как ибн Сина или Авиценна в Европе создал «Канон врачебной науки и считается отцом медицины, то Абу Райхан Бируни — учёный-энциклопедист, который проводил исследования в области физики, математики, астрономии, естественных наук, истории, хронологии, лингвистики, индологии, наук о Земле, географии, философии, картографии, антропологии, астрологии, химии, медицины, психологии, богословия, фармакологии, истории религии и минералогии. Также он считается создателем первого глобуса, также первый человек измеривший радиус планеты используя тригонометрические закономерности, а также первым кто, предсказал наличие материка Америки.
На сегодняшний день сохранились письма Абу Райхана Бируни и ибн Сины, вместе с их трудами, где учёные вели дебаты также по теме строения материи. По предположению учёных, мир состоял из частиц меньшими чем атом, именно там можно увидеть предположения, что и считавшаяся тогда неделимой частица атома делима, но не до бесконечности. Что же касается их формы, то тогда велись предположения, что атомы имеют сферическую форму, поскольку сфера считалась некой идеальной моделью, следовательно, атомы должны быть такими.
Проходит время и делаются самые различные открытия. Но про идеи Эпикура, впрочем, как и про атомизм забывают, поскольку идеи Эпикура противоречили христианским учениям и церковь запрещала её использование, как и утверждение того, что атомы существуют. Но французский католический священник Пьер Гассенди возродил идею атомизма, несколько изменив понятие того, что атомы были созданы Богом. А уже после защиты атомизма со стороны химика Роберта Бойля — выдающегося химика и автора труда «Скептический химик», а также со стороны сэра Исаака Ньютона, который сам по себе почитался как выдающийся учёный, атомизм был принят к концу 17 века.
Приведём цитаты самого сэра Ньютона на эту тему из перевода его трудов: «Мне представляется, что Бог с самого начала сотворил вещество в виде твёрдых, весомых, непроницаемых, подвижных частиц и что этим частицам он придал такие размеры, такую форму и такие другие свойства и создал их в таких относительных количествах, как ему нужно было для той цели, для которой он их сотворил. Эти первичные частицы абсолютно тверды: они неизмеримо более тверды, чем те тела, которые из них состоят, — настолько тверды, что они никогда не изнашиваются и не разбиваются вдребезги, так как нет такой силы, которая могла бы разделить на части то, что сам Бог создал неразделимым и целым в первый день творения. Именно потому, что сами частицы остаются целыми и неизменными, они могут образовывать тела, обладающие той же самой природой и тем же строением во веки веков; ведь если бы частицы изнашивались или разбивались на части, то зависящая от них природа вещей изменилась бы. Вода и земля, составленные из старых, изношенных частиц и осколков, отличались бы по строению и свойствам от воды и земли, построенных из ещё целых частиц в начале творения. Поэтому, для того чтобы природа могла быть долговечной, все изменения тел природы могут заключаться лишь в перемене расположения, в образовании новых комбинаций и в движений этих вечных частиц… Бог мог создать частицы вещества обладающими разными размерами и может разной формой, поместить их на разных расстояниях друг от друга, наделить их, быть может, разными плотностями и разными действующими силами. Во всём этом я, по крайней мере, не вижу никаких противоречий… Итак, по-видимому, все тела были построены из вышеупомянутых твердых непроницаемых частиц, которые были в первый день творения размещены в пространстве по указанию Божьего разума».
И если тогда были установлены идеи Бойля о том, что существуют «простые тела» (химические элементы) и «совершенные смеси» (химические соединения) и любые «совершенные смеси» можно разделить на «простые тела», то в книге «Новая система химической философии» 1808 года, Джон Дальтон выдвинул первую мысль о том, что из веществ, к какому виду подлежит. Но перед этим, Лавуазье доказал, что масса постоянна, она никуда не исчезает и не появляется из ниоткуда. Также Дэви открыл целый ряд химических элементов: водород, кислород, азот, углерод, сера, фосфор, натрий и калий были открыты им в 1807 году, а уже в 1808 году им же были открыты такие элементы как кальций, стронций, барий и магний. Также были открыты железо, цинк, медь, свинец, серебро, платина, золото и ртуть.
Их открытие не заняло большего труда, поскольку многие из них выделялись из руд, выделялись из химических соединений. А уже вода, аммиак, углекислый газ и многие другие соединения считались уже совершенными смесями. И теперь, Дальтон располагая всем необходимым, решил определить атомные массы всех химических элементов, а также ввести их все в таблицы, то есть классифицировать. Итак, Дальтон ввёл для каждого химического элемента своё обозначение, к примеру, для водорода он ввёл значок круга с точкой в центре, для кислорода был свой знак — обычный круг, а для углерода был знак закрашенного чёрного круга и т. д. Чтобы вычислить массы атомов, Дальтон провёл некоторые эксперименты.
Изначально, он выпаривал воду, а на верхней части устанавливал вещества с которыми лучше реагировал водород, вычислив изменения как в массе вещества, с которым происходило взаимодействие или от объёма пара, Дальтон мог определить какая часть воды состоит из водорода, а какая из кислорода. Таким образом определив, что 1/8 часть от всей массы воды состоит из водорода, а 7/8 из кислорода, Дальтон решил, что кислород тяжелее водорода и присвоил водороду массу, равную 1, а кислороду 7. Такой же анализ аммиака показал для водорода 1, а для азота 5. Именно так проанализировав, Дальтон составил собственную таблицу химических элементов.
Стоит ли говорить, что хоть это и было первым шагом на пути познания, все эти утверждения были не верными. Но она держалась довольно долго и на её основе строились различные предположения. Одна из таких гипотез была опубликована в журнале «Философские анналы» со стороны лондонского врача Уильяма Праута и была посвящена идее того, что все атомы состоят из водорода. Но конечно, эта гипотеза была не верной как многие другие, предположения того времени.
И если тогда, атомная единица массы была взята как масса атома водорода, то сегодня точной единицей, считается 1/12 часть массы атома углерода и названа как а. е. м. или атомная единица массы. А химические элементы сегодня принято обозначать от первых двух или одной буквы их названия на латыни, к примеру, водород обозначается как H благодаря названию Hydrogenium («Порождающий воду» на латыни), Азот — N или Nitrogenium — «Рождающий селитру», железо — Fe или Ferrum, медь — Cu — Cuprum, углерод — C — Carboneum. Эта система была принята 3 сентября 1860 года после того как итальянский химик Станислао Канниццаро на Международном конгрессе в Карлсруэ предложил данной метод на своём выступлении.
После этого, было принято записывать химические соединения при помощи этих символов, а число атомов указывалось в нижнем правом углу, так к примеру соединение углерода и водорода (вода) записывается как H2O, аммиак — NH3, серная кислота H2SO4 и т. д. Данный метод весьма удобен, поскольку создаёт возможности для использования символьной записи и нет необходимости записывать все символы несколько раз, к примеру, для молекулы тростникового сахара — C6H12O6 (6 атомов углерода, 12 атомов водорода и 6 атомов кислорода). Вместо CCCCCCHHHHHHHHHHHHOOOOOO можно легко и просто записать С6Н12О6.
Если с обозначениями уже всё ясно, то остаётся одно очень интересное следствие. При учёте того, что 1 атомная единица массы равняется 1/12 атома углерода, то это даёт возможность вычислить массы всех химических элементов используя соединения с углеродом. Для лучшего объяснения, приведём пример. Пусть имеется некоторое соединение углерода и водорода, если воздействовать на его при помощи электрического тока или нагревать его, то можно, если оно твёрдое расплавить, если жидкое выпарить и получить конечный объём углерода и водорода. Из соотношения их масс и объёмов, можно определить сколько атомов водорода приходится на один атом углерода, а уже из соотношения их масс, можно вычислить массу водорода. Так если разделить соединение метан на составляющий углерод и водород, то получается в 4 раза больше, в объёме, водорода, чем углерода, благодаря чему можно сделать вывод, что на 1 атом углерода, приходится 4 атома водорода и получается соединение CH4. А что касаемо масс, то в данном соотношении получается, что масса 1 атома водорода равна почти 1/12 массы атома углерода или 1,00811 а. е. м. Ровно таким же методом можно определить массы для всех остальных атомов (Табл. 1.1).
Но чему же точно равняется это значение в 1 а. е. м.? Если ответить на этот вопрос, то можно найти массы всех остальных типов атомов, заодно доказать их реальность. Но ни один из атомов, даже самый большой из них невозможно увидеть ни в каком микроскопе на тот момент. Положение спасает открытие, сделанное в 1828 году английским ботаником Робертом Броуном. Когда Роберту Броуну привезли новый микроскоп, он оставил его в саду, а на утро, на «столике» микроскопа образовались капли росы, а сам Броун забыл их протереть и автоматически посмотрел в микроскоп. Какое же было его удивление, когда он увидел, что частички пыльцы, находящиеся в капле росы хаотично двигаются. Частицы не живые и не могут двигаться сами по себе. Этого просто не могло быть. Но затем, когда это движение было зафиксировано появились некоторые предположения и гипотезы, объясняющие это явление.
Возможно, это движение объяснялось тем, что в самой капле имеются потоки из-за разности давлений и температур, как к примеру, движение пылинок в воздухе. Ведь если такое движение есть у микроскопических объектов, значит оно должно быть и у частиц с большим размером, как у пылинок. Ведь движение пылинок объясняется именно потоками воздуха. Но эта идея не подтвердилась, потому что частицы не двигались в одном направлении. Ведь в потоке или течении струи воздуха, воды или другой среды, частицы должны двигаться только в одном направлении, а движение микроскопических частиц в броуновском движении, не зависит друг от друга.
В таком случае, возможно это движение результат окружающей среды? От внешних звуков, сотрясений стола и других объектов? Это утверждение опроверг уже французский физик Гуи. Проведя ряд экспериментов, он сравнил хаотичное броуновское движение с движением в глухом подвале в деревне с движением посреди шумной улицы. Движения, конечно сказывались, но сказывались только на всей капле целиком, а не на самом броуновском движении частиц. Притом, такое же движение было и в газах, как и в жидкостях, ярким примером такого движения являются движения частичек угля в табачном дыме. Для визуального примера можно сравнить две картины. То как образуется и расплывается табачный дым в воздухе и картина в воде, после того как в неё капнуть каплю краски или красителя.
Объяснение всему этому даёт Карбонель, именно он объясняет, что частицы попадают под толчки со всех сторон, что и вызывает их такое хаотичное движение. И чем частицы меньше, тем их движение становится активнее, поскольку толчки отбрасывают их всё сильнее, а если тела большие, то и число толчков со всех сторон так или иначе становится почти равным, поэтому мебель, здания и сами люди не вибрируют сами по себе и не наблюдается броуновского движения. Также выясняется, что насколько температура больше, настолько больше и скорость этих частиц.
Эта картина становится ещё более ясной, когда Рихард Зигмонди, удалось изобрести свой ультрамикроскоп, на основе которого уже можно было увидеть ещё более мелкие частицы. И их движение уже не было простым движением, это было мельканием, прыганьем и всплеском, описал бы сам Зигмонди. Но чтобы лучше разглядеть эту картину, помог метод Сведберга, который уменьшал время прохода света в микроскоп, благодаря чему удавалось зафиксировать именно точно указываемый момент, то есть можно было сфотографировать это движение. И при уменьшении промежутка времени, делая всё меньше и меньше, стало возможно дойти до того момента, когда частицы на фотографии просто застывали на месте.
И наконец, настаёт 1908 год, когда окончательно было установлено, что атомы существуют, имеют массу и являются основными единицами вещества, а соединяясь друг с другом образуют молекулы — частички любого сложного соединения, будь то вода, кислота, человеческое тело и т. д.
Итак, Жан Перрен — французский физик решает изучить атомы и находит очень даже удивительный способ сделать это. Он берёт каплю «гуммигута», кусочки резиновой смолы или жёлтой краски, если угодно. Растерев этот кусок в воде как кусок мыла, он получал желтоватую воду. Но когда он брал каплю и рассматривал её в микроскоп, то получалось, что гуммигут не совсем пропал, а просто разделился на тысячи и тысячи мелких частичек разных размеров. Перрен решил, что если они разных размеров и все это гуммигутовые частички, значит имеют различные массы, следовательно, их можно отделить использовав центрифугу. То есть если вращать эту жидкость, то более тяжёлые частички логично отделят к стенке, а более лёгкие останутся.
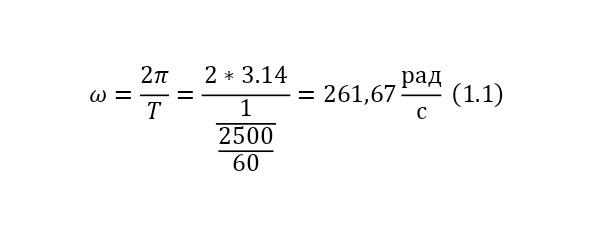
И с увеличением скорости сила увеличивается не дважды, а во столько же раз, во сколько увеличилась скорость, из-за второй степени в формуле центростремительного ускорения. Следовательно, господин Перрен, легко мог утверждать, что может отделить сильным вращением тяжелые частички от лёгких и использовал он для этого центрифугу, тот самый аппарат, который не расплёскивая всю жидкость вращал с определённой частотой. Перрен использовал центрифугу, которая таким образом вращалась 2500 раз в минуту. И даже тогда лишь в маленькой части центра образовывались места с однородными частичками, а остальные отлетали к краям. Поэтому господину Перрену приходилось по нескольку раз так использовать центрифугу. Даже с учётом того, что эта центробежная сила, даже на радиусе в 15 см, уже превосходила силу тяжести (силу притяжения Земли) в 1 000 раз. В чём можно убедиться, учитывая, что сила тяжести определяется произведением (умножением) массы на ускорение падения любого объекта g, которое одинаково для всех объектов и равняется 9,81 м/с2 (метров в секунду в квадрате). А исходя из того, что совершается 2500 оборотов в минуту, можно вычислить, что угловое ускорение по (1.1).
Остаётся лишь вычислить отношение и получить результат (1.2).
Получаемое число действительно больше 1 000, то есть сила на расстоянии всего 15 см уже больше силы притяжении всей планеты в 1 046,9 раз. Таким образом, в конце концов, Перрену удалось получить воду только с указанными диаметром частиц — 0,5 (5 из 10 частей), 0,46, 0,37, 0,21 и 0,14 микрона (1 тысячная доля миллиметра или 10—6 м, что соответствует делению 1/1000000). Ну и наконец, получив такие жидкости только с определённым типом частиц гуммигута (такие жидкости называются эмульсиями), Перрен решил поэкспериментировать и понаблюдать за ними в микроскопе. Наблюдая за ними повернув всю кюветку на бок, Перрен заметил, что эти частички уменьшаются с увеличением высоты. Если вначале они заполняли равномерно или хаотично всю жидкость, то затем они уменьшались с высотой, ровно также как уменьшается воздух в верхних слоях атмосферы. А это уже была мысль! Если это сравнить с уменьшением воздуха на больших высотах, то можно установить закономерность. Но чтобы это проверить Перрен решил сосчитать эти зёрнышки на каждой высоте.
Увы, фотографировать их не получалось, ведь фотографии получались слишком не чёткие из-за малого размера в менее чем 0,5 микрон и Перрен по нескольку раз измерял число частиц гуммигута на разной высоте, поскольку частички двигались, не получалось точного подсчёта, поэтому Перрену приходилось даже на одной высоте считать несколько раз, а потом говорить среднее число. Так в один раз, он провёл расчёт на высоте 5, 35, 65 и 95 микрон. И получалось, что число частиц на высоте 35 микрон было равно почти половине числа частиц на высоте 5 микрон, а высоте 65 — половине 35 и т. д. А это уже прекрасно попадало под закон уменьшение атмосферного давления (силы давления кислорода на нашу планету) с высотой, которую ещё 17 столетии определил Блез Паскаль, знаменитый французский учёный. Он измерял количество кислорода, при помощи барометра Торричелли, устройства для измерения давления, принцип которой состоит в том, что при нормальном давлении воздуха сверху, ртуть в трубке находится на определённой высоте, когда давление становится меньше, ртуть может подниматься, а если давление увеличивается, то наоборот — спадает, если же давления нет, как и притяжения — то это некое подобие невесомости. Вычислив разницу в слоях атмосферы, Паскаль ещё тогда определил, что кислород уменьшается с увеличением высоты на каждые 5 км. Но почему здесь уменьшение частиц гуммигута в 2 раза только с 5 до 35, а в атмосфере с 5 до 10, даже если не учесть масштабы?
А всё дело в частицах, ведь в атмосфере — кислород, а здесь частички гуммигута, насколько причём большие, что их можно увидеть в микроскоп, их диаметр 0,21 микрон. Также закон изменяется и для азота, и для углекислого газа и т. д. из-за разности масс молекул. И если считать э4ту эмульсию как маленькую атмосферу, то уже можно вычислить настоящую массу атома! Проделать этот расчёт не так уж и сложно, высота, на которой плотность кислорода становится в 2 раза меньше — 5 км, а для гуммигута — 30 микрон. А 5 км в 165 000 000 раз больше, чем 30 микрон, следовательно, 1 такой шарик гуммигута с диаметров в 0,21 микрона в 165 000 000 раз больше молекулы воздуха. А подсчитать массу этого гуммигутового шарика проще простого.
Отношение массы 1 кубического метра гуммигута (в объёме куба с размерами в 1 метр ширины, 1 метр высоты и 1 метр длины) на его массу, такое же, как и у этого шарика гуммигута и равно 1 000 кг/м3 (килограмм на кубический метр) или 103 кг/м3 (10 в кубе). А объём сферы для шарика гуммигута, также находится просто. Ведь для того, чтобы вычислить объём сферы, необходимо круг прокружить в пространстве, то есть умножить на его площадь, площадь второго круга и тогда получится и заодно вычесть ту часть круга, где такой «оборот» прошёлся 2 раза. В итоге получается формула, выводимая наподобие формулы для площади круга (1.3).
Такой объём соответствует массе, с учётом силы Архимеда, то есть силой, которая выталкивает из воды, поскольку частички гуммигута находятся в воде, а не в воздухе составляет примерно 10—14 грамм. И если это зерно больше молекулы кислорода в 165 миллионов раз, следовательно, масса атома кислорода составляет 5,33*10—23 грамм. А это уже, как можно узнать из сравнений масс водорода и кислорода (с учётом, что в молекуле кислорода 2 атома, поскольку это газ) в 32 раза больше чем масса водорода, следовательно, масса атома водорода составляет 1,674*10—27 кг, то есть в 1 грамме водорода уже содержится 597 371 565 113 500 597 371 565 114 атомов водорода! И так, можно было уже сравнивать массу атома с а. е. м., получив, что масса атома водорода составляет 1,007825 а. е. м. Именно таким образом Перрен смог сделать казалось бы невозможное — взвесить атомы и молекулы и теперь атомы и молекулы были не сказкой, а настоящей наукой с точными расчётами, формулами и указаниями!
И даже Освальд, ярый противник атомистической теории, в предисловии к своему курсу химии написал: «Теперь я убеждён, что в последнее время мы получили опытное доказательство прерывного, или зернистого, строения материи — доказательство, которого тщетно искала атомистическая гипотеза в продолжении сотен и тысяч лет. Совпадение броуновского движения с требованиями этой гипотезы даёт право самому острожному учёному говорить об опытном доказательстве атомистической теории вещества. Атомистическая гипотеза сделалась, таким образом, научной, прочно обоснованной теорией».
И наконец, можно было смело утверждать, что всё в этой вселенной от планет и звёзд, до нас с Вами, до всего, что видит глаз состоит из атомов, но насколько верным было это утверждение? И возможно, учёным предстояло найти и другие частицы…
Изображения к 1 главе
Глава 2. Внутри атома и особенности ядра
Атом долгое время считали неделимым, само его название означает «неделимый», но со временем, всё же пришлось согласится с тем фактом, что атом делим и имеет структуру, не смотря на то, что прошло достаточно много времени. Описание дальнейших ступеней развития физики атомного ядра и элементарных частиц тесно граничит с разными математическими операциями, подробные описания которых уже не будут приведены, как и многие упрощения к общим теориям, что сильно увеличило бы объём информации, а некоторые «азы» уже были описаны в предыдущей вводной главе. В данной же главе будут описываться явления радиоактивности с использованием анализа при помощи полного математического аппарата.
Мир элементарных частиц, микрообъектов и квантов удивителен по своему строению, образу существования и законам. Познавая структуру материи, неизбежно приходится принять тот факт, что структура любой материи в близи сама по себе представляет собой отдельный мир, как уже говорилось. Сегодня уже широко известна теория атомизма, которая полагала, что все на свете состоит из мельчайших частиц — атомов. И если впервые эти идеи начинались еще со времен Левкиппа, Платона, Аристотеля и многих других ученых древности, во времена которых эти мысли в основном не выходили за пределы философских умозаключений. Впрочем, как во времена таких великих ученых как Абу Райхан Бируни, Абу Али ибн Сина, Аль-Хорезми, Ахмад Аль-Хорезми и других ученых Востока.
Так было даже время, когда атомизм даже был запрещен. И наконец, когда сам сэр Исаак Ньютон наряду с другими учёными защитил эту грандиозную идею, ее начали признавать и начались активные исследования в этой области. Но для полной победы и доказательства действительности существования атомов, нужно было предъявить какие-либо экспериментальные доказательства. Многие ученые как Джон Дальтон, Дмитрий Иванович Менделеев, Жан Перрен и многие другие пытались провести этот эксперимент, пока наконец, Жан Перрен не провел свой эксперимент с гуммигутовой эмульсией. Проведя аналогию изменения числа частичек гуммигута с изменением атмосферного давления по высоте, Перрен смог впервые определить вес атома.
А после того, как атом полностью был признан существующей частицей, начались работы по определению его структуры. И теперь после ряда исследований и экспериментальных подтверждений таких гениальных ученых экспериментаторов и теоретиков как Джон Томпсон, Эрнест Резерфорд, Нильс Бор и многих других была определена структура атома. И сегодня доказано не только при помощи косвенных экспериментов, но и с помощью прямых экспериментальных доказательств, ярким примером которых является сегодня наличие настоящей фотографии атома, что атом имеет четкую и ясную структуру.
Но как же можно прийти к этой структуре? На этом вопросе стоит остановится несколько более подробно. Как известно, все объекты электризуются, обмениваются зарядами, но где же они расположены? Если зарядами обладают все тела, в том числе и диэлектрики (хоть и малыми), следовательно, заряды имеются в структуре вещества. Вещество как уже было доказано состоит из молекул, а те из атомов, следовательно, заряды находятся внутри атомов.
И история открытия структуры атома начинается в 1897 году, когда Джозеф Джон Томпсон открывает электроны, при изучении электрического тока в газах. То есть когда в трубке, в которой имелись два электрода — катод и анод пропускался ток, то катод испускал некоторые лучи, так называемые «катодные лучи», честь точного определения типа этих лучей и принадлежит господину Томпсону, который отклоняя их в магнитном поле, а также ускоряя в электрическом поле, установил, что это ничто иное как некоторые частицы, испускаемые катодом, с отрицательным электрическим зарядом, благодаря чему они и были названы электронами.
И последующие изучения привели к выводу, что электроны являются частью атома и когда они вылетают под действием электрического поля, это приводит к превращению атома в ион. Но обычный атом электрически нейтрален, следовательно, чтобы уравновешивать этот заряд в атоме должна быть часть с положительным зарядом. То есть атом состоит из зарядов, которые каким-то образом взаимодействуют. Как представляется это взаимодействие и является ли это взаимодействие объяснением поведения атомов в химических реакциях, в реакциях с поглощением и излучением света с определёнными длинами волн. Ведь атомы вполне могут быть источниками света, тот же разряженный газ излучает свет с определёнными спектрами, на строгих длинах волн и как это объясняется при помощи этих взаимодействий?
Чтобы это объяснить в 1902 году, господин Уильям Томпсон, более известный как Лорд Кельвин, предложил свою модель строение атома, а уже Джон Томпсон её исследовал более подробно, поэтому эта модель известна как модель Томпсонов. Эта модель была популярна до 1904 года и более известна как «модель пудинга с изюмом». По этой модели атом полностью состоит из положительной материи, а внутри неё находятся электроны, свободно перемещаясь. И при помощи этой модели, вполне получалось описывать некоторые результаты.
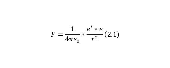
К примеру, можно описать атом водорода. Если представить в такой модели атом водорода, то электрон будет «плавать» в положительном заряде, но его будет тянуть к центру этой положительной «капле», благодаря силе электростатического равновесия. Если допустить, что электрон отходит от центра на некоторый радиус, меньший радиуса самого атома, то его будет притягивает мысленная сфера, образуемая этим радиусом. Но поскольку он заряжен равномерно, то его можно сконцентрировать в центре и просто записать по формуле Кулона (2.1).
А для определения заряда мнимой сферы, образуемой внутри общего большого заряда, можно использовать отношение этой мнимой сферы ко всей сфере, а поскольку заряд общей сферы уже известен и равен с зарядом электрона, чтобы атом был нейтрален, то и получается выражение (2.2), где и выводится заряд мнимой сферы.
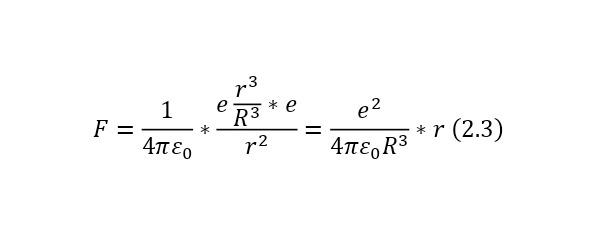
И если уже подставить это значение под силу Кулона, получается (2.3), довольно интересное выражение, которое прямо пропорционально расстоянию, на которое отдаляется электрон от центра.
Также для дальнейшего удобства здесь можно ввести понятие, что коэффициент вне радиуса мнимой сферы, это колебательная жёсткость (2.4), а если записывать с этой жёсткостью уже не саму формулу силы Кулона, а его проекцию на радиус мнимой сферы, то получится выражение (2.5), причём отрицательный, за счёт того, что вектор силы и само расстояние (направление электрона) противоположны.
