автордың кітабын онлайн тегін оқу Гравиполи. ТРИЗ
Владимир Петров
Гравиполи
ТРИЗ
12+
Оглавление
- Гравиполи
- 1. Введение
- 2. Основные физические принципы
- 3. Управление полем
- 3.1. Управление силой тяготения
- 3.2. Управление силой тяжести
- 3.3. Управление весом
- 4. Управление веществом
- 4.1. Способы управления веществом
- 4.2. Виды управления веществом
- 5. Гравиполи для измерения и обнаружения
- 5.1. Измерение
- 5.2. Обнаружение
- 6.Заключение
- 7. Способы управления весом
1. Введение
[5] Альтшуллер Г. Магия магнитных жидкостей. Техника и наука, №3, 1981, С. 13—14. Альтшуллер Г. C. Феполи могут все. — Дерзкие формулы творчества/ (Сост. А. Б. Селюцкий). — Петрозаводск: Карелия, 1987. — 269 с. (Техника — молодежь — творчество). — С. 103—109.
[5] Альтшуллер Г. Магия магнитных жидкостей. Техника и наука, №3, 1981, С. 13—14. Альтшуллер Г. C. Феполи могут все. — Дерзкие формулы творчества/ (Сост. А. Б. Селюцкий). — Петрозаводск: Карелия, 1987. — 269 с. (Техника — молодежь — творчество). — С. 103—109.
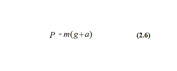
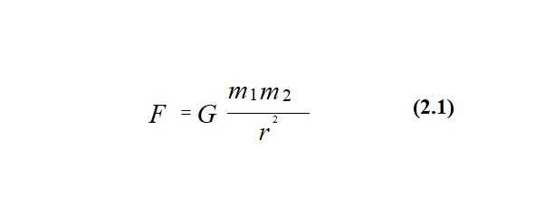
2. Основные физические принципы
