Элементы комбинаторики, теории вероятностей и математической статистики
Қосымшада ыңғайлырақҚосымшаны жүктеуге арналған QRRuStore · Samsung Galaxy Store
Huawei AppGallery · Xiaomi GetApps

автордың кітабын онлайн тегін оқу  Элементы комбинаторики, теории вероятностей и математической статистики

Николай Морозов

Элементы комбинаторики, теории вероятностей и математической статистики

Шрифты предоставлены компанией «ПараТайп»






12+

Оглавление

1. Основные формулы комбинаторики

Комбинаторика занимается различного вида соединениями, которые можно образовать из элементов конечного множества. Все разнообразие комбинаторных формул может быть выведено из двух основных утверждений, касающихся конечных множеств — правило суммы и правило произведения [1,6].

1.1.Правило суммы

Если конечные множества не пересекаются, то число элементов X U {или} Y равно сумме числа элементов множества X и числа элементов множества Y.

То есть, если на первой полке стоит X книг, а на второй Y, то выбрать книгу из первой или второй полки, можно X+Y способами.

Примеры задач

№1


Ученик должен выполнить практическую работу по математике. Ему предложили на выбор 17 тем по алгебре и 13 тем по геометрии. Сколькими способами он может выбрать одну тему для практической работы?

Решение: X=17, Y=13

По правилу суммы X U Y=17+13=30 тем.

Ответ: 30 способов.


№2


Имеется 5 билетов денежно-вещевой лотереи, 6 билетов спортлото и 10 билетов автомотолотереи. Сколькими способами можно выбрать один билет из спортлото или автомотолотереи?

Решение: всего 6+10=16 вариантов.

Ответ: 16 способов.

1.2.Правило произведения

Если элемент X можно выбрать k способами, а элемент Y — m способами, то пару (X,Y) можно выбрать k*m способами.

То есть, если на первой полке стоит 5 книг, а на второй 10, то выбрать одну книгу с первой полки и одну со второй можно 5*10=50 способами.

Примеры задач

№1


Переплетчик должен переплести 12 различных книг в красный, зеленый и коричневые переплеты. Сколькими способами он может это сделать?

Решение: Имеется 12 книг и 3 цвета, значит по правилу произведения возможно 12*3=36 вариантов переплета.


№2

Сколько существует пятизначных чисел, которые одинаково читаются слева направо и справа налево?

Решение: В таких числах последняя цифра будет такая же, как и первая, а предпоследняя — как и вторая. Третья цифра будет любой. Это можно представить в виде XYZYX, где Y и Z -любые цифры, а X — не ноль. Значит по правилу произведения количество цифр одинаково читающихся как слева направо, так и справа налево равно 9*10*10=900 вариантов.


Очень часто для наглядного решения таких задач применяются круги Эйлера.


Пример 1. Из 100 туристов, отправляющихся в заграничное путешествие, немецким языком владеют 30 человек, английским — 28, французским — 42. Английским и немецким одновременно владеют 8 человек, английским и французским — 10, немецким и французским — 5, всеми тремя языками — 3. Сколько туристов не владеют ни одним языком?


Решение: Выразим условие этой задачи графически (см. рис.1). Обозначим кругом тех, кто знает английский, другим кругом — тех, кто знает французский, и третьим кругом — тех, кто знают немецкий.

Рис.1.


Рис.2.

Всеми тремя языками владеют три туриста, значит, в общей части кругов вписываем число 3. Английским и французским языком владеют 10 человек, а 3 из них владеют еще и немецким. Следовательно, только английским и французским владеют 10—3 = 7 человек.

Аналогично получаем, что только английским и немецким владеют 8—3 = 5 человек, а немецким и французским 5—3 = 2 туриста. Вносим эти данные в соответствующие части рисунка 2.


Определим теперь, сколько человек владеют только одним, из перечисленных языков. Немецкий знают 30 человек, но 5 +3 +2 = 10 из них владеют и другими языками, следовательно, только немецкий знают 20 человек. Аналогично получаем, что одним английским владеют 13 человек, а одним французским — 30 человек (см. рис.3).

Рис.3.

По условию задачи всего 100 туристов. 20+13+30+5+7+2+3=80 туристов знают хотя бы один язык, следовательно, 20 человек не владеют ни одним из данных языков.

Ответ: 20 человек не владеют ни одним из данных языков.

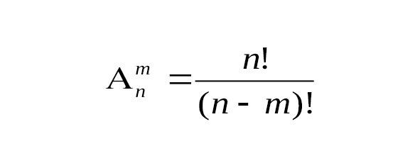
1.3. Размещения без повторений

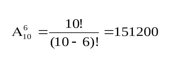
Пример1. Сколько можно составить телефонных номеров из 6 цифр каждый, так чтобы все цифры были различны?

Это пример задачи на размещение без повторений. Размещаются здесь 10 цифр по 6. А варианты, при которых одинаковые цифры стоят в разном порядке считаются разными.

Если X-множество, состоящие из n элементов, m≤n, то размещением без повторений из n элементов множества X по m называется упорядоченное множество А, содержащее m элементов из m элементов.


Количество всех размещений из n элементов по m обозначают (см. рис.4):

Рис.4.

Где n! — n-факториал (factorial анг. сомножитель) произведение чисел натурального ряда от 1 до какого либо числа n. n!=1*2*3*…*n. 0!=1.

Значит, ответ на выше поставленную задачу будет следующим (см. рис.5):

Рис.5.

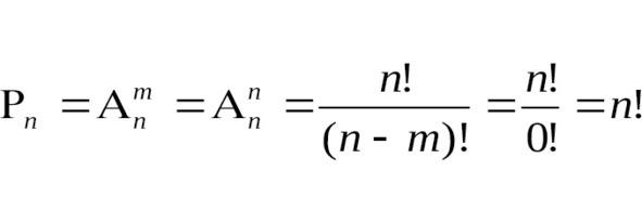
1.4. Перестановки без повторений

В случае n=m (см. размещения без повторений) А из n элементов по m называется перестановкой множества x.

Количество всех перестановок из n элементов обозначают Pn.

Pn=n!

Действительно при n=m (см. формулу на рисунке 6):

Рис.6.

Пример 2. Сколько различных шестизначных чисел можно составить из цифр 0, 1, 2, 3, 4,5, если цифры в числе не повторяются?

Таким образом, количество вариантов при сочетании будет меньше числа вариантов размещений.

Число сочетаний из n элементов по m обозначается (см. рис.7).

Рис.7.

Решение:

Найдем количество всех перестановок из этих цифр: P6=6!=720.

Ответ: 720.

Пример 3.


«Проказница Мартышка, Осел, Козел, Да косолапый Мишка

Затеяли играть квартет…

Стой, братцы стой! — Кричит Мартышка, — погодите!

Как музыке идти? Ведь вы не так сидите…

И так, и э так пересаживались — опять музыка на лад не идет.

Тут пуще прежнего пошли у них раздоры.

 И споры, Кому и как сидеть…»

Вероятно, крыловские музыканты так и не перепробовали всех возможных мест. Однако способов не так уж и много. Сколько?


Решение

Здесь речь идет о перестановке из четырех элементов,

Значит, возможно, P4=4!=24 варианта перестановок.

Ответ: 24.

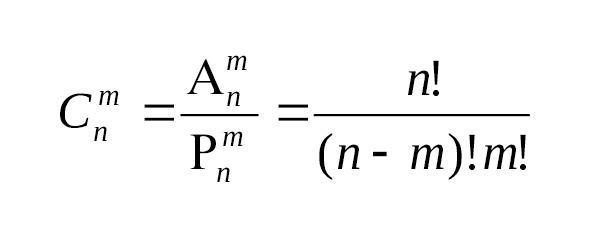
1.5. Сочетания без повторений

Сочетанием без повторений называется такое размещение, при котором порядок следования элементов не имеет значения [2]

Всякое множество X состоящее из m элементов, называется сочетанием из n элементов по m.

Таким образом, количество вариантов при сочетании будет меньше числа вариантов размещений.

Число сочетаний из n элементов по m обозначается (см.рис.7).

Рис.7.

Формула для числа сочетаний из n элементов по m показана рис.8.

Рис.8.

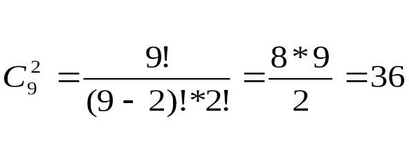
Пример 1. У одного человека 7 книг по математике, а у второго — 9. Сколькими способами они могут обменять друг у друга две книги на две книги.

Решение:

Так как порядок следования книг не имеет значения, то выбор 2 книг — сочетание.

Первый человек может выбрать 2 книги способами (как это показано на рис.9).

Второй человек может выбрать 2 книги способами (как это показано на рис.10).

Значит всего по правилу произведения возможно 21*36=756 вариантов.

Ответ: 756 вариантов.

Рис.9.
Рис.10.

2. Решение типовых задач

Задача 1. Ученик должен выполнить практическую работу по математике. Ему предложили на выбор 17 тем по алгебре и 13 тем по геометрии. Сколькими способами он может выбрать одну тему для практической работы?

Решение: X=17, Y=13

...

Ұқсас кітаптар