Все науки. №5, 2023. Международный научный журнал
Қосымшада ыңғайлырақҚосымшаны жүктеуге арналған QRRuStore · Samsung Galaxy Store
Huawei AppGallery · Xiaomi GetApps

автордың кітабын онлайн тегін оқу  Все науки. №5, 2023. Международный научный журнал

Все науки. №5, 2023

Международный научный журнал

Шрифты предоставлены компанией «ПараТайп»


Авторы: Алиев Ибратжон Хатамович, Каримов Боходир Хошимович, Кулдашов Оббозжон Хокимович, Комилов Абдуллажон Одилжонович, Жумаев Жавохир Абдурасулович, Кучкоров Ахлиддин Мирзохидович, Хайитов Саиджон Бахтиёржонович, Хайитова Мафтуна Рахматиллаевна, Хайитов Саиджон Бахтиёрович, Обидов Фозилжон Орипович, Усмонова Шахло Норкозиевна


Главный редактор Ибратжон Хатамович Алиев

Иллюстратор Ибратжон Хатамович Алиев

Иллюстратор Оббозжон Хокимович Кулдашов

Иллюстратор Султонали Мукарамович Абдурахмонов

Дизайнер обложки Ибратжон Хатамович Алиев

Дизайнер обложки Раънохон Мукарамовна Алиева

И. О. Научного руководителя Султонали Мукарамович Абдурахмонов

Экономический руководитель Фаррух Муроджонович Шарофутдинов

Экономический консультант Ботирали Рустамович Жалолов

Корректор Гульноза Мухтаровна Собирова

Корректор Абдурасул Абдусолиевич Эргашев





12+

Оглавление

ФИЗИКО-МАТЕМАТИЧЕСКИЕ НАУКИ

КОНСТРУКЦИЯ И ОСОБЕННОСТИ ПРОЦЕССА СОЗДАНИЯ ГЕЛИЕВОГО ЛАЗЕРА

УДК 621.373.8

Алиев Ибратжон Хатамович

Студент 3 курса факультета математики-информатики Ферганского государственного университета

Ферганский государственный университет, Фергана, Узбекистан

Аннотация. Изготовление большого количества устройств самого различного характера сводиться к возможности взаимодействия современной техники с самыми различными типами материалов, в том числе и тугоплавкими. По этой причине, с целью создания устройства трёхмерного принтера способного воздействовать на вольфрам, кварц и некоторые другие материалы, путём регулирования силы плавящего элемента и была разработана конструкция гелиевого ультрафиолетового лазера.

Ключевые слова: лазер, гелий, ультрафиолет, вольфрам, трёхмерных принтер, конструкция, устройство.

Annotation. The manufacture of a large number of devices of a very different nature is reduced to the possibility of interaction of modern technology with a variety of types of materials, including refractory ones. For this reason, in order to create a three-dimensional printer device capable of acting on tungsten, quartz and some other materials, by regulating the strength of the melting element, the design of a helium ultraviolet laser was developed.

Keywords: laser, helium, ultraviolet, tungsten, three-dimensional printer, design, device.

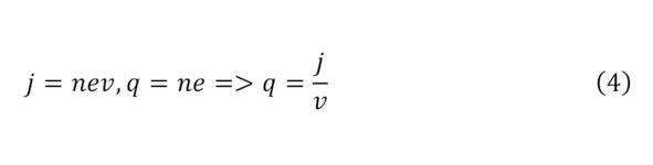
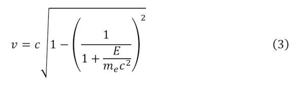
Устройство лазера представляет собой стеклянную колбу цилиндрической формы с установленным диаметром и внутренним подобным относительно радиуса делением. Толщина такой колбы выбрана специально, для решения проблемы разгерметизации конструкции. В такой колбе, во внешней части введён гелий, а также по обе стороны установлены катушки, одна из коих представляет катод прямого накала, а вторая — анод. Благодаря тому, что катод начинает нагреваться, то между ним и анодом начинает возникать плотность тока, определяемая по (1) и из которой можно вычислить от значения температуры кинетическую энергию молекул катода (2), а уже после и скорость молекул (3), откуда в свою очередь вычисляется из значения определённой плотности тока заряд (4).

Далее из, приведённых вычислений, можно определить и напряжение, то есть кинетическую энергию долетающих до анода зарядов, откуда проявляется их напряжение (5), а поскольку известно значение плотности тока в самом катоде (6), то в зависимости от соотношения этой плотности тока и плотности вылетающего заряда можно найти процент выхода зарядов из катода (7) или своего рода катодную эффективность.

После того, как заряды с установленной энергией, при заданном напряжении вылетают из катода, они начинают воздействовать на находящийся между электродами гелий, который начинает возбуждаться и переходить на следующий энергетический уровень и после спуска с него, что занимает микросекунды, начинает испускать фотоны ультрафиолетового света. Вокруг внешней части колбы находиться отражающая фольга, которая отражает все эти разнонаправленные лучи и сводит их к единой точке. К тому же зеркала или та же фольга находиться на концах сторон этой трубки, что ещё более увеличивает эффект.

Затем отражённые ультрафиолетовые лучи начинают двигаться в сторону центральной части, но эта центральная часть должна быть изготовлена из кварцевого стекла, который в отличие от обычного проводит ультрафиолет. А в центральной колбе также присутствует гелий с той же энергией возбуждения, что приводит к тому, что гелий поглощает налетевшие на него фотоны и выпускает в удвоенном количестве.

С одной стороны центральной части конструкции находиться также отражающее зеркало, а с другой — кварцевое стекло, которое и выпускает поток концентрированных ультрафиолетовых фотонов с большой энергией. Таким образов генерируя поток с энергией не менее 28—30 Вт, которую можно концентрировать в достаточно малых площадях используя для этого мощные линзы и воздействуя на необходимый объект. Для сравнения, при использовании линзы с возможностью увеличения в 5,5—6 тысяч раз и уменьшении площади пучка до 1 мкм, температура вольфрама достигает 4,5 тысяч градусов, что в разы больше температуры его плавления. Благодаря этому можно создать конструкцию подобного рода трёхмерного принтера, который с большой точностью будет воздействовать на материал, вызывая его плавление в определённой точке с точностью до микрометра и послойно вызывая формирование необходимой детали любого масштаба с достаточно большой прочностью!

Использованная литература

1. Баграмов, Р. Лазеры в стоматологии, челюстно-лицевой и реконструктивно-пластической хирургии / Р. Баграмов, М. Александров, Ю. Сергеев. — М.: Техносфера, 2010. — 608 c.

2. Бертолотти, М. История лазера. Научное издание / М. Бертолотти. — М.: Интеллект, 2015. — 336 c.

3. Богданов, А. Д. Гироскопы на лазерах / А. Д. Богданов. — М.: Воениздат, 1975. — 731 c.

4. Васильев, Г. М. Кинетические и транспортные процессы в молекулярных газовых лазерах / Г. М. Васильев, С. А. Жданок. — М.: Беларуская Навука, 2010. — 206 c.

5. Гамалея, Н. Ф. Лазеры в эксперименте и клинике / Н. Ф. Гамалея. — Л.: Медицина, 2013. — 232 c.

6. Застрогин, Ю. Ф. Контроль параметров движения с использованием лазеров. Методы и средства: моногр. / Ю. Ф. Застрогин. — Л.: Машиностроение, 1981. — 176 c.

7. Зуев, В. Е. Лазер-метеоролог / В. Е. Зуев. — М.: Гидрометеоиздат, 2001. — 180 c.

8. Индуцируемые лазером химические процессы. — М.: Мир, 1984. — 312 c.

9. Лазеро- и светолечение. Том 1. Сосудистые нарушения. Гиперпигментация. Рубцы. Кожные болезни. Эпиляция (+ DVD-ROM). — М.: Рид Элсивер, 2010. — 188 c.

10. Лазеро- и светолечение. Том 2. Омоложение кожи. Лазерная шлифовка. Лазерная терапия у пациентов с темной кожей. Лечение целлюлита (+ DVD-ROM). — М.: Рид Элсивер, 2010. — 152 c.

11. Лазеры в авиации. — М.: Воениздат, 1982. — 160 c.

12. Лазеры в эндоскопии / Н. Е. Чернеховская и др. — М.: МЕДпресс-информ, 2011. — 144 c.

13. Лазеры. — М.: Издательство иностранной литературы, 1996. — 472 c.

14. Мэйтленд, А. Введение в физику лазеров / А. Мэйтленд, М. Данн. — Москва: Мир, 1978. — 598 c.

15. Насретдинов, Алексей Вуайеризм и боевые лазеры / Алексей Насретдинов. — М.: Бослен, 2007. — 128 c.

16. Очкин, В. Н. Волноводные газовые лазеры / В. Н. Очкин. — М.: Знание, 1988. — 282 c.

ТЕХНОЛОГИЯ СОЗДАНИЯ ДОЗИМЕТРА ПРИ ПОМОЩИ ARDUINO

УДК 551.521

Каримов Боходир Хошимович

Кандидат физико-математических наук, доцент кафедры «Технологического образования» физико-технического факультета Ферганского государственного университета

Ферганский государственный университет, Фергана, Узбекистан

Аннотация. Радиация во всех её проявлениях является неотъемлемой частью всей ядерной промышленности, наряду с прочими её действиями на ускорителях заряженных частиц, а также в повседневной жизни, при учёте общей фоновой радиации, либо при поиске радиоактивных ископаемых, коих достаточно много. И при этом важно масштабирование этого процесса с использованием большего количества оборудований, однако, для достижения поставленных целей, необходимо организовывать благоприятную почву в лице более доступных дозиметров, как примера одного из типов оборудования на основе плат Arduino.

Ключевые слова: радиация, дозиметр, Arduino, определение, радиоактивный фон, определение и констатация данных измерительных приборов, измерительные приборы.

Annotation. Radiation in all its manifestations is an integral part of the en

...