Все науки. №12, 2024. Международный научный журнал
Қосымшада ыңғайлырақҚосымшаны жүктеуге арналған QRRuStore · Samsung Galaxy Store
Huawei AppGallery · Xiaomi GetApps

автордың кітабын онлайн тегін оқу  Все науки. №12, 2024. Международный научный журнал

Все науки. №12, 2024

Международный научный журнал

Шрифты предоставлены компанией «ПараТайп»


Авторы: Алиев Ибратжон Хатамович, Qo’ldashov G’olibjon, Abdurakhmonov Sultonali, Abdullayev Jamolitdin, Рустамов Умиджон, Xolmatov Erkinjon, Jurayev Nurmakhamad, Jalilov Mamatisa, Сайитов Шавкатжон Самитдинович, Кабирова Зарифа Мукаддамовна, Юлдашева Фазилат Одилжон кизи, Бекимбетова Интизар Батырбековна, Иброхимова Шахло Акмалжон кизи, Носиров Хожимурод, Нематжонов Жамшидбек Соибжонович, Нематов Хусанбой, Казаков Баходир Солиевич


Главный редактор, Директор НИИ "ФРЯР" Ибратжон Хатамович Алиев

Научный директор Боходир Хошимович Каримов

Технический директор Султонали Мукарамович Абдурахмонов

Экономический директор Ботирали Рустамович Жалолов

Заместитель главного редактора Миродилжон Хомуджонович Баратов

Редактор Гулчехра Ғуламжановна Ғаффарова

Иллюстратор Ибратжон Хатамович Алиев

Иллюстратор Фарходжон Анваржонович Иброхимов

Дизайнер обложки Раънохон Мукарамовна Алиева

Корректор Гулноза Мухтаровна Собирова

Корректор Дилноза Орзиқуловна Норбоева





12+

Оглавление

ФИЗИКО-МАТЕМАТИЧЕСКИЕ НАУКИ

On The Evolutionary Change In The Power Of Solar Radiation On Earth Over Time

UDK: 530.1

Ibratjon Aliyev1, G’olibjon Qo’ldashov2, Sultonali Abdurakhmonov3, Jamolitdin Abdullaev4

1SRI «PRNR», Electron Laboratory LLC, 151100, Republic of Uzbekistan, Ferghana region, Margilan
2National Research Institute of «Renewable Energy Sources» under the Ministry of Energy of the Republic of Uzbekistan, 100000, Republic of Uzbekistan, Tashkent region, Tashkent
3Fergana Polytechnic Institute, 150100, Republic of Uzbekistan, Fergana region, Fergana

4Fergana branch of Tashkent University of Information Technologies named after Mukhammad al-Khwarizmi, 150118, Republic of Uzbekistan, Fergana region, Fergana, Mustaqillik street, 185

Abstract. This study presents the process of theoretical modeling of the current value of the solar radiation energy by means of the Laplace equation, taking the Sun as a radiating object with the setting of appropriate boundary conditions in a spherical coordinate system. For the obtained solution of the equation, through the use of dynamic modeling and time dependence, taking into account thermonuclear processes in the Sun, the method of separation of variables is used. As a result of the study, the function and its graphs are presented, which allow us to observe the indicators of radiated power per square meter of the surface of the planet Earth.

Keywords: Laplace equation, method of separation of variables, thermonuclear fusion, solar radiation.

Аннотация. В данном исследовании представлен процесс теоретического моделирования текущего значения энергии солнечного излучения с помощью уравнения Лапласа, в котором Солнце рассматривается как излучающий объект с заданием соответствующих граничных условий в сферической системе координат. Для полученного решения уравнения, благодаря использованию динамического моделирования и временной зависимости, с учетом термоядерных процессов на Солнце, используется метод разделения переменных. В результате исследования представлены функция и ее графики, которые позволяют наблюдать показатели излучаемой мощности на квадратный метр поверхности планеты Земля.

Ключевые слова: уравнение Лапласа, метод разделения переменных, термоядерный синтез, солнечное излучение.

Introduction

The development of energy and especially solar energy at the moment creates the need for a full-fledged mathematical model capable of determining, in the dynamic case, in the selected coordinate system, the amount of radiation power directed from the Sun to any of the specified coordinates. This simulation will allow you to determine the amount of power at a specified point on Earth at any given time period. However, in order to create a connection between this pattern and the dynamic characteristics of the described system, it is necessary to determine the rate of expenditure of hydrogen fuel from the Sun, taking into account all known characteristics.

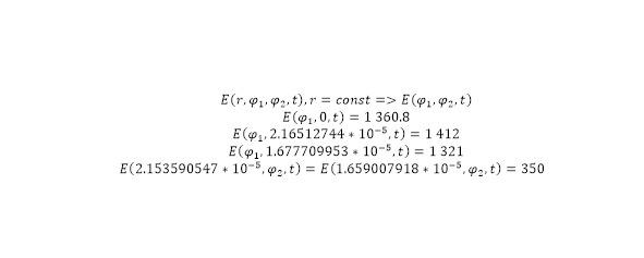
At the moment, it is known that when extrapolating, based on data obtained from probes, including Voyagers, the Sun generates radiation equivalent to 4 million tons of matter at the time of 4.5 billion. The magnitude of the solar constant equal to 1,360.8 W/m2 up to the atmosphere has been established for the years of the star’s existence [1—3; 10—11]. Based on the current model of star formation and the model of mass expenditure, the value is clearly formed that at the time of 5.6 billion years after the formation of the star, the radiation power will increase by 11% and amount to 1,532.47 W/m2, respectively [4; 6—7]. The resulting value may be sufficient to transform the model into a dynamic form.

For further modeling, we will take an equation capable of describing the phenomenon of radiation in the presence of radiation, with the condition that in this case no energy is supplied to the source from the outside or, in comparison with the values of solar radiation, the power of cosmic radiation can be ignored, which is demonstrated in practice. Despite the fact that even taking into account the presence of not a small number of sources of cosmic radiation, the percentage of radiation — the flux of charged particles, even compared with the solar neutrino and the flux of solar charged particles, is extremely small in percentage [5; 7—10]. Based on this, the main radiation energy is transmitted by photonic radiation.

In many works, the processes of radiation formation in the Sun and the process of energy transfer from the Sun to other planets, including to Earth, are considered, but the proposed technology for mathematical analysis of available data and the development of further radiation processes are not considered. Therefore, this study is relevant.

Materials and methods of research

To carry out the research, empirical materials that are well-known, relevant literature on the topic, as well as data obtained from international research papers were used [13—15; 18—19]. Numerous probes have been launched to measure the radiated energy, with the help of which radiation parameters are periodically studied. Within the framework of the ongoing research, methods of theoretical modelling, analysis, classification, the method of separation of variables (Fourier method), the method of using differential equations for modelling, with the resulting methods for determining their solutions, are applied.

Research

At the moment, a dynamic problem has been formed with respect to the Laplace equation (1), with respect to the function (2), with known initial conditions (3—4), proceeding from the phenomenon of thermonuclear fusion.

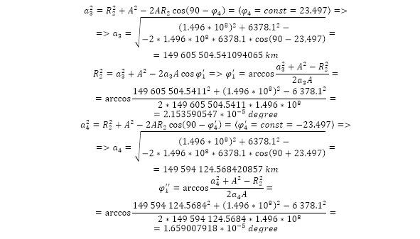
To determine the boundary conditions, it is sufficient to adopt a spherical coordinate system, despite the fact that the coordinate at zero angles at a radius of 1 astronomical unit is the position of the planet Earth on New Year’s Day — the transition from the night of December 31 to January 1. The Sun is also accepted as an absolutely smooth body, spreading uniform radiation over the entire surface, due to which an error for the presence of black spots is initially stipulated, which can be eliminated later. Thus, based on the above, it is necessary to state the fact that, based on the conditions taken, the Earth is located at 0 degrees in the latitude angle of the Sun, also taking into account the deviation of 23.497 degrees of the Earth’s axis, while the maximum deviation to the poles of the planet in the form of the specified angle can be calculated.

Fig. 1. Spherical coordinate system

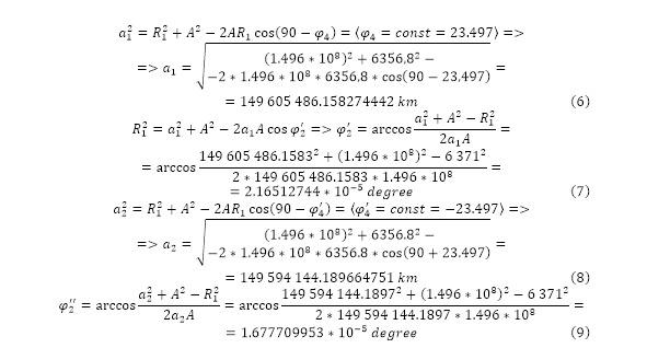
The conditions set lead to the fact that between the center of the Sun, the Earth and one of the poles of the Earth there are 3 imaginary straight lines forming at the time of the vernal equinox a right triangle with legs of 1 astronomical unit (1,496*108 km) and 1 radius of the Earth (for the polar case 6,356.8 km and for the equatorial 6,378.1 km), from where it is possible to calculate the angle according to the Pythagorean theorem (5).

Fig. 2. The modeling schemes

Also, from the same ratio, but in a transformed form, it is possible to obtain the angle of deviation at the time of June 21 and December 21 according to the cosine theorem (6—9).

Similar calculations are used to determine the boundary conditions with respect to the angle of longitude (10—13).

Based on certain data, it is possible to state the change of function (2) to (14) and the problem of the following boundary conditions (15—18), given that the boundary conditions and the dynamic phenomenon are known, the Fourier method of variable separation can be adopted as a solution for it.

Now that the initial and boundary conditions, as well as the corresponding equation, have been determined at the specified moment, it is necessary to pay attention to the effect of the Laplace equation in static form, and it, as a partial equation from the Helmholtz equation, can be interpreted as follows. Namely, for the reason that in this case the phenomenon of energy transfer is observed, and in this case the Laplace equation is used to display in a global sense a model of an emitter or an energy-emitting «charge» in the face of the Sun. Thus, on a more local scale, the harmonic function taken will satisfy, based on these conditions, the homogeneous equation of thermal conductivity or energy conductivity (19), including based on the transformation model for the connection of the Helmholtz equation and the wave equation.

Where, the coefficient of energy conductivity is determined in (20), along with all the determined parameters, including the coefficients of energy conductivity of the vacuum between the Sun and the Earth (21), the specific energy capacity (22) and the available energy density under the circumstances in the specified area (23).

Based on the calculated parameters according to (21—23), expression (20) obtains a numerical indicator (24).

Based on the conditions obtained, it is possible to determine that the problem can be solved by taking the form of an equation of the form (25), where, after substitution, a transformation can be obtained according to (26), with an equated coefficient (27).

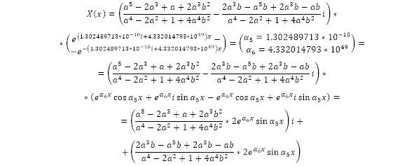
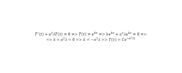
From expression (27), 2 partial differential equations are formed — 1 ordinary with respect to time in the first degree and the second in the square of partial derivatives. The first equation is solved by adopting a general solution with an exponential form, where, after substitution, a characteristic form is presented, from which a general form of the function is formed — the solution of the resulting ordinary differential equation in time (28).

With respect to time, initial conditions (3—4) have already been obtained, which can be substituted to form initially the coefficient value from (27) to (29), the independent variable in (30) and the resulting form of a function with known constants in (31).

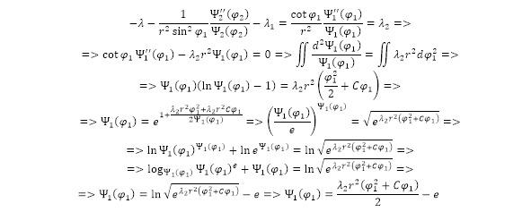
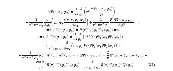
The resulting function is the solution of only one differential equation, the second (32) is formed relative to the Laplacian in a spherical coordinate system with a known constant.

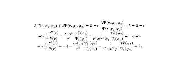
The solution of this equation is presented initially after the disclosure of the Laplacian for the Ψ-function in a spherical coordinate system, where the Fourier variable separation method is applied, which was originally applied in (26). Then subsequently, after substitution, the resulting separation expression is revealed, forming separate groups of derivatives in the specified system (33).

Taking into account the resulting transformation and taking into account the transformation of the original ratio, the Laplacian ratio of the function and the function itself can be substituted into the transformed form after separating the variables, from which a separate additional ratio is created for each function — radius, first and second angles, as well as for the second derivatives of these expressions (34).

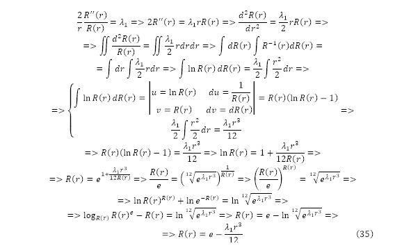
From the first ratio in (34), a second-order differential equation with respect to radius is formed, which can be solved after revealing the ratio and using the integral of the second degree with respect to the radius variable in the second degree. When integrating in both directions, in the right case, a known ratio is obtained, in the left case, the function itself is used as a variable, which allows us to arrive at the resulting equation between the value of the function and the variable of the radius of this function.

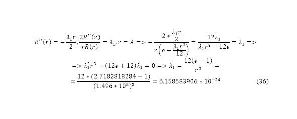
Transformations with respect to double logarithm, followed by further exponentiation after transformations and repeated logarithm in kind, allow us to arrive at a function relation that becomes complete after being reduced in an algebraic transformation (35)

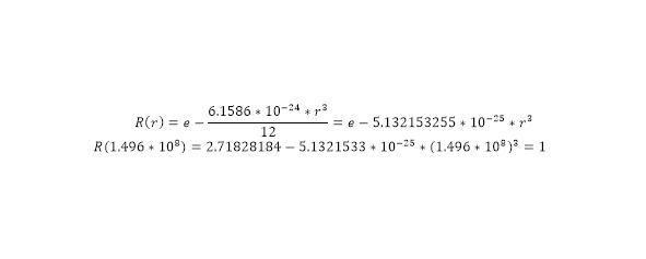
Taking into account the obtained type of function, as well as the known ratio, it can be noted that in (34) an additional second coefficient was introduced, which took part in (35) and the resulting formula of the radius function. The value of this coefficient can be calculated based on the appropriate type of function, taking into account the fact that the radius is a constant equal to a single astronomical unit, calculations become the simplest and most definite (36).

Thus, the function from (35), taking into account the value of the coefficient (36), takes the form (37) with a single value of the function at a given radius in (38).

Since the type and value of the radius function has been determined, the ratio in (35—36) can be used later to operate with the function of the first angle from a given spherical coordinate system. After converting the ratio, a third additional coefficient is introduced, from which, consequently, a new ordinary differential equation of the second degree is created using trigonometric functions. Subsequently, after the transformation, the operation of integration, exponentiation, logarithmization and transformations with logarithms, which were carried out within the framework of calculations in (35), are applied to the function of the first angle using the general form of this function (39).

With respect to the obtained function of the first angle in the spherical coordinate system, which also depends on the independent constant and the introduced constant, there are also boundary conditions derived from the available empirical data (18). The application of each of them creates 3 forms of the function with the specified values of the angle variable and the value of the function as a whole, while the third form causes the variable to be replaced in the first and further transition from a system with 3 equations to 2 equations, and then, after deducing the function for the independent constant into a single equation. The expression formed in this way, after elementary algebraic transformations, leads to the value of the introduced third coefficient (40), its substitution into the formula of the independent constant (41), which can be substituted into the form of a function (42).

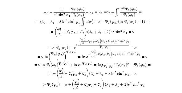
As a result, a uniform form with constants for the first function is obtained, on the basis of which it is possible to continue the given ratio with transformation into the form of an ordinary differential equation of the second degree relative to the second angle. The solution is carried out after the conversion of the function, where all 3 specified constants are enclosed, which are used during the conversion. During the double integration on the left side, due to the fact that the first angle is used as a variable in the square of the sine, double integration relative to the second angle cannot be performed in principle, which is why the first and second independent coefficients appear.

Thus, a relation is created with respect to which natural logarithm is performed, which, after appropriate algebraic operations, leads to a single form of the function with respect to the second angle (43).

Based on the experimental data in (15—17) [1—5; 13—17; 19], boundary conditions can be used [17—19] and, consequently, 3 equations for the second angle, each of which is solvable after converting the third equation and reducing to 2 equations. After applying the substitution method, a single equation is output for the system of equations, after which the value for the first coefficient is calculated, as well as the square of the sine of the first angle relative to the specified boundary conditions, which can then be used in the substitution method, creating a single form of the equation (44).

As a result of the calculations, the function has already been determined in time, the first and second corners, taking into account that the value of the function in radius is equal to one, the general appearance of the function looks according to (45).

The resulting function can describe the energy value taking into account the empirical coefficient, so that a graph of the function (45) can be presented. It is important to note that the function depends on 3 variables — the first and second angles, as well as time, which can be represented as an animation, as well as by a single time.

Results

In this case, the graph is plotted relative to each angle and shape relative to a given time of 4.5 billion. years after the formation of the Sun, which is also used in a given function (Fig. 1—2).

Fig. 1. The first perspective of the constructed three-dimensional graph at the time of 4.5 billion years after the formation of the Sun


Fig. 2. The second perspective of the constructed three-dimensional graph at the time of 4.5 billion years after the formation of the Sun
A similar method leads to the formation of graphsrelative to 5.6 billion. years (Fig. 3—4).


Fig. 3. The first perspective of the constructed three-dimensional graph at the time of 5.6 billion. years after the birth of the Sun
Fig. 4. The first perspective of the constructed three-dimensional graph at the time of 5.6 billion. years after the birth of the Sun

The analysis of the presented three-dimensional graphs indicates that the maximum value of solar radiation energy increases over time. The coverage of the high-energy region of the earth is relatively increasing over time. But, if we take the time value used, the effect of changing the energy of solar radiation can be considered insignificant (within 1 billion the change in years was about 7.46%). As a result, a resulting graph is obtained describing the power of energy over time, taking into account radioactive phenomena in the Sun, as well as in any illuminated coordinate on the Earth’s surface.

Conclusion

The conducted research using elements of mathematical modeling using the Laplace, Helmholtz equations and the equations of thermal conductivity indicate that the energy parameters of solar radiation do not change significantly over time. This statement can be taken into account when designing and building solar power plants. When obtaining this result, radiation is considered without taking into account atmospheric phenomena, as well as the earth and the sun are considered as perfectly smooth bodies.

References

1. Häring, K., Hebbar, A., Karateev, D. et al. Bounds on photon scattering. J. High Energ. Phys. 2024, 103 (2024). https://doi.org/10.1007/JHEP10(2024)103

2. Haque, S.S., Jafari, G. & Underwood, B. Universal early-time growth in quantum circuit complexity. J. High Energ. Phys. 2024, 101 (2024). https://doi.org/10.1007/JHEP10(2024)101

3. Saito, S. Wess-Zumino-Witten terms of Sp QCD by bordism theory. J. High Energ. Phys. 2024, 99 (2024). https://doi.org/10.1007/JHEP10(2024)099

4. de Leeuw, M., Fontanella, A. & García, J.M.N. A perturbative approach to the non-relativistic string spectrum. J. High Energ. Phys. 2024, 96 (2024). https://doi.org/10.1007/JHEP10(2024)096

5. Bilolov, I., Otajonov, J., Isroilov, S., Mavlonova, D., Abdurakhmonov, S., Aliev, I. Analysis of the process of heat transfer in space. E3S Web of Conferences. Volume 508, 5 April 2024, Номер статьи 05005

6. Abdurakhmonov, S.M., Sayitov, Sh., Xaliev, S.I. Mathematical modeling of soldering iron heating process in automated terminal soldering installations. E3S Web of Conferences. Volume 401, 11 July 2023, Номер статьи 05064. DOI: 10.1051/e3sconf/202340105064

7. Yusupova, A., Aliyev, I., Kholmatov, E., Abduraxmonov, S. On the theoretical study of the phenomena of electromagnetism with variable core parameters. E3S Web of Conferences. Volume 538, 14 June 2024, Номер статьи 01020. doi: 10.1051/e3sconf/202453801020

8. Qodirov, X., Rajabova, X., Abdullajonova, N., Otaxonova, Z., Aliev, I., Abdurakhmon, S., Sayitov, S. On analytical study of heat transfer phenomenon in special-shape soldering iron. E3S Web of Conferences. Volume 508, 5 April 2024, Номер статьи 05006 DOI: 10.1051/e3sconf/202450805006

9. Abdurakhmonov, S., Xolmatov, E., Sayitov, S., Otakulov, B., Aliyev, I., Abdullayev, J., Oxunov, D. General Overview of the Device and Physical Component of a DC Electromagnet. AIP Conference Proceedings. Volume 3147, Issue 1, 6 May 2024, Номер статьи 050005. DOI: 10.1063/5.0210579

10. Rajaguru, M., Sengupta, A. & Wrase, T. Fully stabilized Minkowski vacua in the 26 Landau-Ginzburg model. J. High Energ. Phys. 2024, 95 (2024). https://doi.org/10.1007/JHEP10(2024)095

11. Yang, M., Guo, ZQ., Luo, XY. et al. Searching accretion-enhanced dark matter annihilation signals in the Galactic Centre. J. High Energ. Phys. 2024, 94 (2024). https://doi.org/10.1007/JHEP10(2024)094

12. Han, S., Kang, Z. & Zhu, J. Interplay between vector-like lepton and seesaw mechanism: oblique corrections. J. High Energ. Phys. 2024, 91 (2024). https://doi.org/10.1007/JHEP10(2024)091

13. Xiao, M., Ye, Y. & Zhu, X. Prospect of measuring the top quark mass through energy correlators. J. High Energ. Phys. 2024, 88 (2024). https://doi.org/10.1007/JHEP10(2024)088

14. Carballo, J., Withers, B. Transient dynamics of quasinormal mode sums. J. High Energ. Phys. 2024, 84 (2024). https://doi.org/10.1007/JHEP10(2024)084

15. Jan Naumann, Erik Lennart Weerda, Matteo Rizzi, Jens Eisert, Philipp Schmoll. An introduction to infinite projected entangled-pair state methods for variational ground state simulations using automatic differentiation. SciPost Phys. Lect. Notes 86 (2024) · published 10 September 2024. doi: 10.21468/SciPostPhysLectNotes.86

16. Leendert Hayen. Opportunities and Open Questions in Modern Beta Decay. ANNUAL REVIEW OF NUCLEAR AND PARTICLE SCIENCE Volume 74, 2024. https://doi.org/10.1146/annurev-nucl-121423-100730

17. Oluwatomi A. Akindele and Rachel Carr. Concepts for Neutrino Applications. ANNUAL REVIEW OF NUCLEAR AND PARTICLE SCIENCE Volume 74, 2024. https://doi.org/10.1146/annurev-nucl-102122-023751

18. Marc Kamionkowski and Adam G. Riess. The Hubble Tension and Early Dark Energy. ANNUAL REVIEW OF NUCLEAR AND PARTICLE SCIENCE Volume 73, 2023. https://doi.org/10.1146/annurev-nucl-111422-024107

19. J.M. Lattimer. Neutron Stars and the Nuclear Matter Equation of State. ANNUAL REVIEW OF NUCLEAR AND PARTICLE SCIENCE Volume 71, 2021. https://doi.org/10.1146/annurev-nucl-102419-124827

О ЭФФЕКТИВНОСТИ ТЕХНОЛОГИИ КОНТАКТА СОЛНЕЧНЫХ ПАНЕЛЕЙ И ВЕТРЯНЫХ ГЕНЕРАТОРОВ С СИСТЕМОЙ МИКРО-ГИДРОЭЛЕКТРОСТАНЦИИ

УДК: 53.07

1Алиев Ибратжон Хатамович, 2Рустамов Умиджон С.

1НИИ «ФРЯР», ElectronLaboratoryLLC, 151100, Республика Узбекистан, Ферганская обл. г. Маргилан

2Ферганский политехнический институт, 150100, Республика Узбекистан, Ферганская обл., г. Фергана

Аннотация. В исследовании проводиться анализ ветряной и солнечной электростанции, их эффективности. Широкий разбор произведён относительно технологии гидроэлектростанции, вместе с подведением общих итогов и методов их комбинирования. Приведены результирующие выводы и краткая сводка ныне осуществляющихся и осуществлённых исследований в области гидроэнергетики и энергетики в целом. В качестве выводов к исследованию приведены наиболее благоприятные варианты комбинирования относительно различных моделей электростанций различного типа и характера, исходя из результатов физико-математического моделирования.

Ключевые слова: гидроэнергетика, микро-гидроэлектростанций, комбинирований систем, метод генерации, функция распределения мощности.

Annotation. The study analyzes wind and solar power plants and their effectiveness. A wide analysis was made regarding the technology of the hydroelectric power plant, along with a summary of the general results and methods of their combination. The resulting conclusions and a brief summary of ongoing and implemented research in the field of hydropower and energy in general are presented. As conclusions to the study, the most favorable combination options are given for different models of power plants of various types and types, based on the results of physico-mathematical modeling.

Keywords: hydropower, micro-hydroelectric power plants, combinations of systems, generation method, power distribution function.

Совершенствование энергетического комплекса наглядно прослеживается согласно осуществляющимся новым научным исследованиям в данной области. Человечество первоначально использовало силы природы для получения электрической энергии для покрытия своих нужд, для чего создавались различные механизмы. Первыми среди них была сила воды, которая представлялась в извлечении потенциальной энергии водного потока, находящегося изначально на некотором возвышении и превращающий эту энергию в кинетическую при падении [1]. Данная энергия складывалась из разности сил тяжести на различных высотах, что равносильно гравитационному взаимодействию потока и планеты. При создании такого явления при помощи организации каналов, искусственных водопадов, для извлечения из потока энергии применялись конструкции различного характера, к которым относятся водные колёса и турбины отдельно вертикального и горизонтального типа [2].

Каждый из используемых типов конструкций в данном случае представлялись разнообразными, в силу отличительности угла наклона каждого желоба, параметров и размеров всей конструкции, механизма передачи и соответствующего отличия в образующемся коэффициенте полезного действия всей системы [3—4]. Не менее важным был процесс использования в данном случае типа электродвигателя, использующий методы электромагнитной индукции для генерации поступательного движения в электрическую энергию. Однако, разнообразие такого рода конструкций ограничивалось параметрами имеющегося или созданного канала, даже для случаев искусственных каналов оптимальными считались прочие параметры в числе пропускной способности и удобства относительно прочих объектов, но никак не энергетическая ценность [5—6; 8].

Исключением могли быть крупные гидроэлектростанции, не считая тех малых моделей с искусственными малыми водохранилищами, исходя из создания которых эффективность всей системы сильно возрастала в силу сложения нескольких потоков — кинетической энергии приходящего течения, поступающий по дну и потенциальной энергии, направленна перпендикулярно горизонту [7]. Исходя из этого нельзя не отметить среди прочего необходимость дальнейшего рассмотрения непосредственно этого вопроса с определением функции, показывающая оптимальный вариант конструкции при всех использующихся параметрах. Однако, продолжая определение, связанное с электромагнитной генерацией и дальнейшей транспортировки энергии потребителю, в данной области было сделано отдельное нововведение [9].

Кроме гидроэлектростанций и более традиционных направлений использующие в основном силу пара, к коим относятся установки теплоэлектростанций и атомных электростанций, применяются и установки зелёной энергетики. Эффективность такого рода устройств базируется на переменчивых факторах в зависимости от погодных условий. Одними из самых активно использующихся направлений в этой области являются солнечные электростанции, основанные на принципе фотоэлектрического эффекта, зависимый от мощностей направляемые от главного источника света, в данном случае Солнца [8—9]. Но в силу погодных условий, неровностей на планете, угла наклона в зависимости от времени года и прочих факторов, имеет место организация зависимости такой системы от указанных условий и параметров, что наглядно было отражено в отдельно посвящённом этому вопросу исследовании [10] (Рис. 1).

Рис. 1. Трёхмерный график приходящей мощности на поверхность планеты земля на момент 4,5 миллиардов лет после зарождения Солнца [10]

Аналогичным аспектом переменности в различных областях имеет второй тип технологии зелёной энергетики — ветряные генераторы. При том, что ветер представляется явлением возникающий при разности давлений и температур, что в силу неравномерного нагрева планеты, неравномерного распределения водных источников, более тёплых и холодных областей на планете также является неконтролируемым. Но для создания общей закономерности и карты «ветряных коридоров» на поверхности планеты было реализовано также отдельное исследование по теоретическому моделированию [11] (Рис. 2—3)

Рис. 2. Трёхмерная модель графика энергии ветра в сферической системе координат [11]


Рис. 2. Трёхмерная модель графика скорости ветра в сферической системе координат [11]

Исходя из этого, по причине наибольшей в сравнении с указанными системами стабильности, нововведением было комбинирование технологии гидроэлектростанции, солнечной и ветряной электростанции по отдельности. Некоторые системы предполагают контакт между микро-гидроэлектростанциями и ветряными электростанциями, некоторые между солнечными электростанциями и микро-гидроэлектростанциями.

Заключение. Делая вывод из всех представленных графиков осуществлённых исследований, можно прийти к справедливому заключению о том, что комбинирование систем для достижения стабильности является одной из наиболее оптимальных решений поставленной задачи. Однако, в силу утверждения, что наиболее благоприятными являются системы с наибольшей гладкостью функций, можно прийти к заключению, что наиболее эффективными для комбинирования будет технология солнечных электростанций и микро-гидроэлектростанций.

Использованная литература

1. Hu, J.; Lanzon, A. (2019). «Distributed finite-time consensus control for heterogeneous battery energy storage systems in droop-controlled microgrids». IEEE Transactions on Smart Grid. 10 (5): 4751–4761. doi:10.1109/TSG.2018.2868112. S2CID 117469364.

2. Burmester, Daniel; Rayudu, Ramesh; Seah, Winston; Akinyele, Daniel (January 2017). «A review of nanogrid topologies and technologies». Renewable and Sustainable Energy Reviews. 67: 760–775. Bibcode:2017RSERv..67..760B. doi:10.1016/j.rser.2016.09.073. ISSN 1364—0321.

3. Hu, J.; Bhowmick, P. (2020). «A consensus-based robust secondary voltage and frequency control scheme for islanded microgrids». International Journal of Electrical Power & Energy Systems. 116: 105575. Bibcode:2020IJEPE.11605575H. doi:10.1016/j. ijepes.2019.105575. S2CID 208837689.

4. Ton, Dan T.; Smith, Merrill A. (October 2012). «The U.S. Department of Energy’s Microgrid Initiative». The Electricity Journal. 25 (8): 84–94. Bibcode:2012ElecJ..25h..84T. doi:10.1016/j. tej.2012.09.013.

5. Saleh, Mahmoud; Esa, Yusef; Mhandi, Yassine; Brandauer, Werner; Mohamed, Ahmed (2016). «Design and implementation of CCNY DC microgrid testbed». 2016 IEEE Industry Applications Society Annual Meeting. pp. 1–7. doi:10.1109/IAS.2016.7731870. ISBN 978-1-4799-8397-1. S2CID 16464909.

6. Chandrasena, Ruwan P.S.; Shahnia, Farhad; Ghosh, Arindam; Rajakaruna, Sumedha (2015-08-06). «Dynamic operation and control of a hybrid nanogrid system for future community houses». IET Generation, Transmission & Distribution. 9 (11): 1168–1178. doi:10.1049/iet-gtd.2014.0462.

7. Ali, Liaqat; Shahnia, Farhad (June 2017). «Determination of an economically-suitable and sustainable standalone power system for an off-grid town in Western Australia». Renewable Energy. 106: 243–254. Bibcode:2017REne..106..243A. doi:10.1016/j.renene.2016.12.088. S2CID 113534323.

8. Shahnia, Farhad; Moghbel, Moayed; Arefi, Ali; Shafiullah, G. M.; Anda, Martin; Vahidnia, Arash (2017). «Levelized cost of energy and cash flow for a hybrid solar-wind-diesel microgrid on Rottnest island». 2017 Australasian Universities Power Engineering Conference (AUPEC). pp. 1–6. doi:10.1109/aupec.2017.8282413. ISBN 9781538626474. S2CID 44025895.

9. Aliyev I. X., Qo’ldashov G. O., Abdurakhmonov S. M., Abdullaev J (2025). «On The Evolutionary Change In The Power Of Solar Radiation On Earth Over Time». International Scientific Journal «All Sciences». Physic-mathematical sciences. №1, 2025. pp. 23—62.

10. Aliyev I. X., Qo’ldashov G. O., Abdurakhmonov S. M., Abdullaev J (2025). «On The Evolutionary Change In The Power Of Solar Radiation On Earth Over Time». International Scientific Journal «All Sciences». Physic-mathematical sciences. №1, 2025. pp. 23—62.

11. Ergashev S. F., Aliyev I. X., Abdurakhmonov S. M (2025). «On The Theoretical Determination Of The Energy Potential Of Wind In Spherical Coordinates Of The Earth». International Scientific Journal «All Sciences». Technical sciences. №1, 2025. pp. 70—81.

On The Modern Possibilities Of Transmitting A Discrete Signal Between Systems Using The Tunneling Effect

UDK: 53.08

Ibratjon Aliyev1, Sultonali Abdurakhmonov2, Erkinjon Kholmatov2, Nurmakhamad Juraev3, Mamatisa Djalilov3

1SRI «PRNR», Electron Laboratory LLC, 151100, Republic of Uzbekistan, Ferghana region, Margilan
2Fergana Polytechnic Institute, 150100, Republic of Uzbekistan, Ferghana region, Ferghana

3Fergana branch of Tashkent University of Information Technologies named after Mukhammad al-Khwarizmi, 185, Mustaqillik street, Fergana, 150118, Uzbekistan

Abstract. The paper presents a study on modeling the quantum mechanical process of tunneling a beam of charged particles to transmit information over long distances. The Schrodinger equation was used to solve the problem and boundary and initial conditions were formulated in the course of the work. The established initial conditions are the values of the quantum mechanical probability function at a different point in time, depending on the distance. Experimental data were used as data for the calculation, the solution of the problems was carried out using the method of separation of Fourier variables. The parameters of the simulated system with its features and corresponding graphical representations are established. Conclusions on the effect of tunneling in the transmission of information are formulated on the basis of the results obtained.

Keywords: tunneling, Schrodinger equation, Fourier variable separation method, quantum mechanical model.

Аннотация. В статье представлено исследование по моделированию квантово-механического процесса туннелирования пучка заряженных частиц для передачи информации на большие расстояния. Для решения задачи использовалось уравнение Шредингера, а в ходе работы были сформулированы граничные и начальные условия. Установленными начальными условиями являются значения квантовомеханической функции вероятности в разные моменты времени, зависящие от расстояния. В качестве данных для расчета использовались экспериментальные данные, решение задач проводилось с использованием метода разделения переменных Фурье. Установлены параметры моделируемой системы с ее особенностями и соответствующими графическими представлениями. На основе полученных результатов сформулированы выводы об эффекте туннелирования при передаче информации.

Ключевые слова: туннелирование, уравнение Шредингера, метод разделения переменных Фурье, квантово-механическая модель.

Introduction

The development of information technology in the modern industry leads to the need to improve data transmission systems at high speeds. The improvement of technologies for sending electromagnetic signals between different communication systems was initially organized on the principles of interaction through a direct conductor, which was observed in local installations where individual blocks of a particular design interacted with each other transmitting the necessary data [1]. In this case, the speed and volume of data transmission was limited by the network capabilities, in the case of speed, it was the speed depending on the difference in the created potentials or on the speed of charges in the conductor, the volume depended on the quantitative possibility of transferring charges over a certain distance.

Subsequent developments led to the discovery of oscillatory circuit technology, and even taking into account the development of the original technology with the search for combining materials, the method of transmitting information by direct transmission through an electromagnetic field at a speed scale became and remained a priority [2—4]. The boundary value in this case was the velocity of wave propagation, depending on the parameters of the medium, equal to the speed of light in a particular medium. Bandwidth also became the final indicator of volume, but unlike the first option, a significant obstacle appeared in this data transmission technology in the global and local sense — data loss. In this case, the opening of opportunities for third-party perception of information or decryption is not understood, but the direct loss of data due to a decrease in the amplitude and power of the directed electromagnetic signal towards the receiver.

With the development of the basics of technology and the improvement of both methods of information transmission, a third class of technologies was formed [2—3; 5—6] capable of sending signals over long distances with minimal losses and at a speed equal in magnitude to the speed of propagation of an electromagnetic field in a vacuum — fiber optic networks. At the same time, they had all the advantages of conductor technology regarding the possibility of increasing volumes at maximum speed, however, in this case, the speed, even taking into account its extreme indicators with the achievement of the maximum vacuum level, was insufficient with the growing needs of current technological networks. An increase in the volume of data transmission leads to an increase in the scale of installations, which does not meet the requirements of the current time, based on this, there is a need for research and development of technologies with more advanced capabilities.

With the development of quantum theory, the attention of researchers began to be attracted by the effect of quantum tunneling, now used in tunnel diodes, computer networks, tunnel microscope [4; 7], superconducting systems and many other technologies. The study theoretically did not consider new effects associated with the accelerated transfer of information between objects, therefore, the theoretical justification of the tunneling effect in the transmission of information is relevant.

Materials and methods of research

The research materials of the external probes, their parameters, and information about the studies carried out were used for the study. The methods used in the research were the method of analysis, classification, and theoretical modeling using partial differential equations.

Equations and mathematics

Initially, it is important to determine the class of tasks where the use of tunneling technology may be in demand. Due to the fact that the maximum transmission speed when using fiber–optic systems or oscillatory circuits with a transmitting electromagnetic field is the speed of light in the specified medium and in the maximum case, it is 299,792,458 m/s, capable of circumnavigating the planet Earth in 0.134 s — the maximum possible delay in the transmission system, it becomes obvious that the scope of application data transmission systems with high speeds are becoming cosmic in scale. Space probes are already being used by international organizations. The earliest probes are Pioneer 5, 6 (A), 7 (B), 8 (C) and others, the earliest are Helios A, Helios B, ISEE–3, Ulysses, Wind, SOHO, ACE and modern ones are the second exit of Ulysses, Genesis [3—7; 11—12; 14].

Also, among the probes there are Stereo A operating to date since 2006, DSCOVR since 2015, Parker Solar Probe until December 2025, ESA from 2020, ISRO from 2023 and others. Also, each of the probes is divided into different categories — Solar probes aimed at exploring the Sun and located at a comparative distance from Earth up to 1 astronomical unit, which also include Mercury probes — Mariner 10, MESSENGER, BeliKolombo and others and Venus probes — Venus 1, Mariner 1, Sputnik 19, Sputnik 2, Cosmos 27, Zone 1, Venus 8, Mariner 10, Pioneer Venus, Venus 12, Venus 11, Magellan, Galileo, Cassini and others [2—5; 7—14]. But there are also probes directed in the opposite direction, which include the Mars probes — Mars 1B No. 1, Mariner 3, Zone 2, Mars 1969A, Cosmos 419, PrOP-M, Mars 5, Mars 6, Mars 7, Phobos 1 and 2, the 2001 Martian Odyssey, Nozomi, Mars Express not counting a large number of rovers — Mars A «Spirit», Mars B «Opportunity», along with others — Rosetta, Phoenix, Dawn, Marco A «WALL–I», Marco B «Eve», Tianwen-1, Zhuron, Psyche, Hera, Europa Clipper and others [13—14; 15].

These include the probes of the Mars satellite, as well as other satellites and even asteroids — Dawn, Galileo, who visited asteroids 951 Gaspra, 243 Ida, Clementine, who visited 1620 Geographos, among others. Separately, there are probes of the largest planet — Jupiter in the person of Pioneer 10, Pioneer 11, Cassini, Ulysses, New Horizons, Galileo, Juno, SOC, and its satellites, in particular Ganymede. Also, Saturn — Voyager 1, Voyager 2, Cassini, and its moon Titan — Huygens [7—8; 14—15]. And even the most distant planets of the Solar System — Uranus, Neptune, which Voyager 1 was able to reach, and even the dwarf planet Pluto, which the New Horizons probe was able to reach, which continued its journey and was able to reach the Kuiper belt to the space object 486958 Arrokot, located at a distance of 43.4 astronomical units from the Sun [1—8; 9]!

Based on the particular list of space objects of artificial and research origin available in space, it becomes obvious that the most important scientific research data on a wide variety of objects in and outside the Solar System must be transmitted at the highest possible speeds. At the moment, taking into account the available technologies, at a distance of 43.4 astronomical units, taking into account the distance to Earth of 42.4 astronomical units from the farthest probe New Horizons, the signal reaches in 21,157.8 seconds or 5 hours 52 minutes and 37.8 seconds.

In order to be able to transmit a signal over a distance using tunneling technology, it is necessary to initially present the information in the form of a group of charges, a beam, to which additional energy is transmitted. It can be transmitted by means of an electric field in a small portable accelerator, where, upon reaching the required defect, the particle will tunnel at a speed several times higher than the speed of light, according to the nature of the phenomenon of quantum tunneling to Earth at a specified point with a certain error and degree of loss.

But for a better consideration of the issue, it is necessary to proceed to the formulation of the appropriate task.

Setting the task

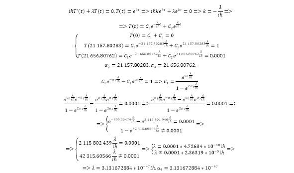
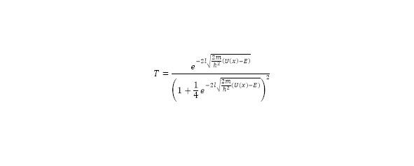
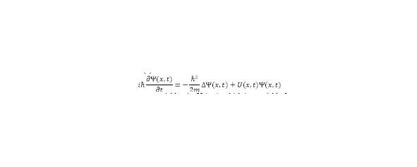
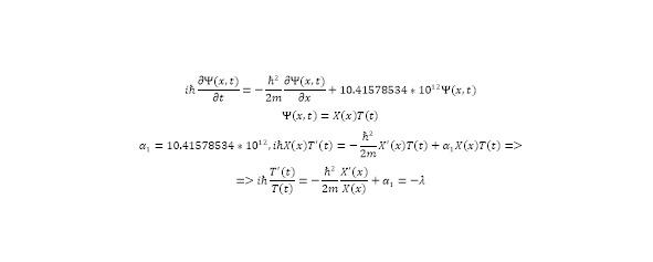
Initially, it is known that the phenomenon is described by the Schrodinger equation in the dynamic representation (1).

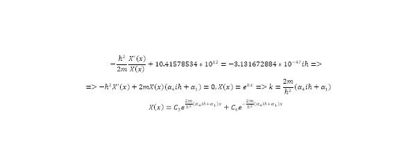
The equation involves a potential barrier U (x, t), which is a variable function and depends on multiple parameters — objects that are located between the source and the receiver, which must be overcome by the guided particle. Most often, vacuum prevails in outer space, but there are also quite a few obstacles, for the initial idea, we define the value of the potential barrier as the amount of energy of the mass of all matter located on the communication channel, with an average density of matter in the Solar system. Thus, the communication channel is an imaginary cylinder with a radius equal to the radius of a beam of 10 microns, 42.4 astronomical units long, from which the corresponding volume and mass are calculated, taking into account the average density of matter in the solar system of 0.931*10—26 kg/m3 (2).

And also, based on the height of the potential barrier, it is possible to determine the boundary and initial conditions for the state function of the quantum mechanical system in (3).

The boundary conditions are formed from several statements. For use, such a system is necessary in which the probability of finding the beam after sending it in the radiator should be zero, at the specified target — on the Ground, should be equal to 100 percent. Despite the fact that with classical propagation at a time, taking into account such distance measurement, it is necessary that after 21,157,80283 seconds-meters, the probability of finding the beam on Earth was 100% and zero when reaching the Sun at 21,656,80762 seconds-meters. Based on the obtained indicators with respect to one dimension and time, equation (1) can be solved with the specified boundary conditions (3).

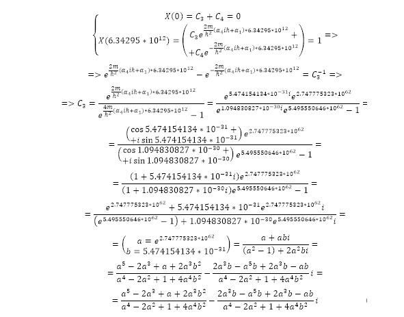
To do this, the Fourier variable separation method will be used, with respect to solving an equation of the form (4), the form of the function (5) will be adopted, where, after substitution, the form (6) is formed, from which 2 separate ordinary differential equations are derived.

The equation is solved in time to the state of the general form, according to (7), but due to the presence of initial conditions in (3), the present form can be solved by means of representation in the form of a system (8), taking into account the finding of the formula-dependence on the independent variables of the general form of the function (9), where after solving the formed equation after substituting the formula of the independent variable, the form of the introduced constant (10) in (6) is formed.

The value of the constant makes it possible to determine the value of the first and, accordingly, the opposite of the second independent constant (11), which, after substituting into the general form of the time function (7), gives its private emerging form (12) and (Fig. 1).

To continue the study, after establishing the actual form of the function in time, it is necessary to solve the formed ordinary differential equation with respect to the coordinate, which was obtained in the ratio (6). Since the value for the constant was also obtained in (10), after substitution, a final form of an ordinary differential equation in coordinate is formed, for which there is a constant from the characteristic of the form (13), and then the general form of the function (14).

When forming the problem, boundary conditions were also indicated, the substitution of which allows us to operate from the conclusions of the expression for the third and also opposite, as can be seen from the boundary conditions, independent constant, which in this case has a large-scale appearance, for which a replacement is introduced (15).

Substituting the resulting replacement allows you to ultimately form a simplified view of the function at the coordinate (16).

The result of the study is the assembled form of the function of the quantum mechanical state of the tunneling system. However, in this case, the desired function is initially a probability distribution function, for which only the square of its module has physical meaning. Based on this, it is possible to form the form of the square of the module of the function, as for the boundary conditions to be set, for the reason that initially the problem required complete preservation of information and in the case of data transition to an imaginary space, the boundary conditions were set to the original form of the function, for which the square of the module is represented in (17—18).

Thus, a full-fledged pattern was derived that predicts the probability distribution of finding a response signal for a given case at the maximum distance from the Earth for the probe.

Results

According to the results of the study, a function depending on 2 variables was obtained, which can be constructed and according to the initial projection, the first graph of the function is formed without an additional power factor. After applying the appropriate processing (18), the function remains the same, but its parameters describe the actual picture (Fig. 2).

Fig. 2. Graph of the probability distribution of finding a signal beam

So, from Figure 2 it is clearly seen that as time passes along the numerical axis in increments of 2.35022802 seconds-meters to 70.51 seconds-meters or along the ordinary axis in increments of the same amount of meters to 30.55296 meters of range, it is possible to state the probability of finding a beam at 11.27337%, which makes it possible to assert, based on The parameter of 70.51 seconds is meters or 21,137,419,062 meters in the usual metric coordinate system, which means that the beam is likely to be found near the Earth and the signal can be received accordingly.

Speaking of losses, it is enough to use the expression for the barrier passage coefficient (18) and its graph (Fig. 3) as the initial beam energy approaches the value of the potential barrier, determined relative to the case under study in (2), where it is also important to note that in all cases the information carrier or The information about matter was electrons, for protons, deuterons, tritons, other ions, quarks, mesons and other particles, such decompositions will have a different character


Fig. 3. Percentage of information loss during tunneling

According to the graph, it is clearly visible that the function is exponential in one variable, as in the previous 2 examples with two variables.

Conclusion

As a result, a technology was obtained that allows transmitting data at an energy of 10.41579 TeV at a speed several times higher than the speed of light with a data transmission accuracy of 67% at a distance of 42.4 astronomical units, which corresponds to the range of the Kuiper belt. Pointing out also that it is problematic to achieve such high performance and capabilities on probes, however, the likelihood of further work of probe spaceports operating not only on the scale of planet Earth, but also on the scale of the Solar System, where a particle accelerator with a similar data transmission technology may be present, is not excluded.

References

1. Paul Marston. Jeremiah Horrocks — young genius and first Venus transit observer (англ.). — University of Central Lancashire, 2004. — P. 14—37.

2. Hinks, Arthur R. Solar Parallax Papers No. 7: The General Solution from the Photographic Right Ascensions of Eros, at the Opposition of 1900 (англ.) // Month. Not. Roy. Astron. Soc.: journal. — 1909. — Vol. 69, no. 7. — P. 544—567. — Bibcode: 1909MNRAS. 69..544H.

3. Iorio L. Secular increase of the astronomical unit and perihelion precessions as tests of the Dvali–Gabadadze–Porrati multi-dimensional braneworld scenario (англ.) // Journal of Cosmology and Astroparticle Physics. — 2005. — Vol. 2005, no. 09. — P. 006. — doi:10.1088/1475—7516/2005/09/006. — arXiv: gr-qc/0508047.

4. Planetary Voyage Archived August 26, 2013, at the Wayback Machine NASA Jet Propulsion Laboratory — California Institute of Technology. March 23, 2004. Retrieved April 8, 2007.

5. «NASA Turns Off Science Instrument to Save Voyager 2 Power». NASA. October 1, 2024.

6. Davies, John (January 23, 1986). «Voyage to the tilted planet». New Scientist. p. 42. [permanent dead link]

7. Laeser, Richard P. (1987). «Engineering the voyager uranus mission». Acta Astronautica. 16. Jet Propulsion Laboratory: 75–82. Bibcode: 1986inns. iafcQ… L. doi:10.1016/0094—5765 (87) 90096—8. Retrieved September 8, 2023.

8. Voyager 2 Mission Team (2012) «1986: Voyager at Uranus» Archived May 24, 2019, at the Wayback Machine NASA Science: Solar System Exploration, December 14, 2012. Accessed December 11, 2018.

9. Karkoschka, E. (2001). «Voyager’s Eleventh Discovery of a Satellite of Uranus and Photometry and the First Size Measurements of Nine Satellites». Icarus. 151 (1): 69–77. Bibcode:2001Icar. 151…69K. doi: 10.1006/icar.2001.6597.

10. Russell, C. T. (1993). «Planetary magnetospheres». Reports on Progress in Physics. 56 (6): 687–732. Bibcode:1993RPPh… 56. 687R. doi:10.1088/0034—4885/56/6/001. S2CID 250897924.

11. Aplin, K.L.; Fischer, G.; Nordheim, T.A.; Konovalenko, A.; Zakharenko, V.; Zarka, P. (2020). «Atmospheric Electricity at the Ice Giants». Space Science Reviews. 216 (2): 26. arXiv:1907.07151. Bibcode:2020SSRv. 216…26A. doi:10.1007/s11214-020-00647-0.

12. Zarka, P.; Pederson, B.M. (1986). «Radio detection of uranian lightning by Voyager 2». Nature. 323 (6089): 605—608. Bibcode: 1986Natur.323. 605Z. doi:10.1038/323605a0.

13. Borucki, W.J. (1989). «Predictions of lightning activity at Neptune». Geophysical Research Letters. 16 (8): 937—939. Bibcode: 1989GeoRL. 16..937B. doi:10.1029/gl016i008p00937.

14. Gurnett, D. A.; Kurth, W. S.; Cairns, I. H.; Granroth, L. J. (1990). «Whistlers in Neptune’s magnetosphere: Evidence of atmospheric lightning». Journal of Geophysical Research: Space Physics. 95 (A12): 20967—20976. Bibcode: 1990JGR…9520967G. doi: 10.1029/ ja095ia12p20967. hdl:2060/19910002329.

15. Witasse, O.; Altobelli, N.; Andres, R.; Atzei, A.; Boutonnet, A.; Budnik, F.; Dietz, A.; Erd, C.; Evill, R.; Lorente, R.; Munoz, C.; Pinzan, G.; Scharmberg, C.; Suarez, A.; Tanco, I.; Torelli, F.; Torn, B.; Vallat, C.; JUICE Science Working Team (July 2021). JUICE (Jupiter Icy Moon Explorer): Plans for the cruise phase. Europlanet Science Congress (EPSC) 2021. doi:10.5194/epsc2021—358. Retrieved 28 August 2021.

АКТУАЛЬНОСТЬ РАЗРАБОТКИ ПАЯЛЬНЫХ УСТАНОВОК СЛОЖНОЙ ФОРМЫ

УДК: 62—03

Алиев Ибратжон Хатамович1, Сайитов Шавкатжон Самитдинович2

1НИИ «ФРЯР», ElectronLaboratoryLLC, 151100, Республика Узбекистан, Ферганская обл., г. Маргилан

2Ферганский политехнический институт, 150100, Республика Узбекистан, Ферганская обл., г. Фергана

Анноатция. Развитие современного производства и индустрии приводит к необходимости использования активно развивающихся технологий и установок, предназначенные для работы с крупными производственными мощностями.

Ключовые слова: дискретный и аналитический метод, физико-математической модели, Основная новизна, научно-технического эффекта, «Установки для Автоматической Пайки»

Annotation. The development of modern production and industry leads to the need to use actively developing technologies and installations designed to work with large production facilities.

Keywords: discrete and analytical method, physical and mathematical model, Basic novelty, scientific and technical effect, «Automatic Soldering Installations»

Одним из наиболее развивающихся направлений в данной области является машиностроительная индустрия [1]. Развитие данной отрасли сопровождается не только организацией новых моделей единиц производства, но также улучшением качества производственного процесса в целом. Таковой результат достигается путём совершенствования научно-технического комплекса предприятий и фабрик [2].

На сегодняшний день, примером такого научно-технического эффекта, является разработка и ввод наиболее эффективных установок, ускоряющие и увеличивающие производительность всего процесса при минимальных затратах. Одним из нынешних примеров эффективных установок является модель «Установки для Автоматической Пайки» («УАП») [3—4], предназначенная для скоростной установки клемм-контактов для действия обогревательной системы автомобиля [5]. Однако, для разработки такой установки была разработана специальная форма паяльника, приспособленная под указанные размеры клемм, с расчётом температурных соответствующих градиентов (Рис. 1) [6—7], выведенные на основе математического моделирования.

Рис. 1. Результат дискретного математического моделирования

При этом для правильности подсчёта использовался дискретный и аналитический метод моделирования [8]. В первом случае модель квантовалась на указанные размерности, во втором случае была выведена функция температуры в зависимости от координат в цилиндрической системе координат для указанной модели. Полученные результаты коррелировали с реальными показателями (Рис. 2) [9], что в свою очередь давало соответствующий рост по эффективности.

Рис. 2. Фотография из тепловизора при нагреве паяльной головки

Основная новизна такого подхода заключалась в организации нужных форм паяльных головой, что в свою очередь обеспечивало достижение оптимальных температур в необходимых областях контакта, что приводило к усилению прочности соединения. Данный случай является одним из наиболее распространённых и актуальных, что приводит к выводу о рассмотрении иных случаев, позволяющие использовать нестандартные формы паяльных головок и иных установок с использованием термического контакта с целью плавления соединительного материала. Однако, при имеющихся возможностях, приспособленной под указанной задачи общей модели, способная приводиться к частному виду более благоприятно в технологическом представлении нет.

Исходя из указанных обстоятельств, можно сделать заключение об актуальности в виде дальнейшего продолжения исследования — разработку указанной полноценной приспособленной под технологические нужны и необходимости физико-математической модели.

Использованная литература

1. Абдурахмонов С. М., Сайитов Ш. С. Автоматизированная конструкция для пайки терминала системы подогрева заднего стекла автомобиля. Scientific-technical journal (STJ FerPI, ФерПИ ИТЖ, НТЖ ФерПИ, 2021, Т.23, спец. Вып. №3), стр. 197—201.

2. Абдурахмонов С. М., Сайитов Г. С., Ощепкова Э. А., Рахмонов Д. Х., Хурибоева М. Ш. Новая конструкция для пайки терминала системы подогрева заднего стекла автомобиля. Актуальная наука. Международный научный журнал. М., 2019 №9 (26), стр. 22—28.

3. Абдурахмонов С. М., Сайитов Ш. С., Юлдашева Ё. Н. Автоматизированная установка пайки для терминала систем подогрева в автостёклах. Scientific-technical journal (STJ FerPI, ФерПИ ИТЖ, НТЖ ФерПИ, 2021, Т.25, №6), стр. 256—259.

4. Абдурахмонов С. М., Сайитов Ш. С. О технологии пайки контакта к системам нагревания автостёкол // Все науки: международный научный журнал. — 2022. — №5, 2022. — С. 95—115.

5. Тойиров Н. С., Холиков А. А., Сайитов Ш. С. Энергосбережение при использовании гибридных солнечных электростанций в нефтегазовой промышленности // Все науки: международный научный журнал. — 2022. — №6, 2022. — C. 253—260.

6. Ахмаджонов А. Э., Холиков А. Х., Сайитов Ш. С. Повышение эффективности использования тепловой энергии за счёт использования энергоэффективных технологий на производственных предприятиях // Все науки: международный научный журнал. — 2022. — №6, 2022. — 387—396 с.

7. Abdurakhmonov S. M., Sayitov Sh. S., Mukhammadzonov H. Work of authorship: Development of a device for tacking tin to the terminal or pouring tin into the terminal. Certificate of copyright. Original Sign of INTEROCO. EC-01-002680. February 10.2020

8. Abdurakhmonov S. M., Sayitov Sh. S. Automated structure for soldeting the terminal of heating systems for the rear window for a car. Scientific-technical journal. STJ FerPI, ФарПИ ИТЖ, НТЖ ФерПИ, 2019, volume 23, special number 3, pp. 105—108.

9. Otajulov O. Kh., Abdurakhmonov S. M., Sayitov Sh. International scientific and practical conference., «Actual problems of the introduction of innovative techniques and technologies at enterprises for the production of building materials, chemical industry and related industries» May 24—25 2019. 1-vol., On the method of soldering the terminal on the car auto glass. Fergana — 2019.

О МАТЕМАТИЧЕСКОМ МОДЕЛИРОВАНИИ ТЕРМИЧЕСКИХ КОНСТРУКЦИЙ СЛОЖНОЙ ФОРМЫ

УДК: 519,8

1Алиев Ибратжон Хатамович, 2Сайитов Шавкатжон Самитдинович

1НИИ «ФРЯР», ElectronLaboratoryLLC, 151100, Республика Узбекистан, Ферганская обл., г. Маргилан

2Ферганский политехнический институт, 150100, Республика Узбекистан, Ферганская обл., г. Фергана

Анноатция. Создание и организация установок, способные оказывать термическое воздействие на тела определённой формы требует на сегодняшний день становиться наиболее актуальным, с учётом усложнения технологий. Так, указанная система состоит из определённого объекта, чаще всего металлического, с увеличивающейся температурой под действием электрического тока.

Ключевые слова: параболические коноид, «Обезьянье седло», Дюпен, сфера и сфероид, конус, цилиндр, эллипсоид, гиперболоид, параболоид, унитарные поверхности.

Annotation. The creation and organization of installations capable of exerting thermal effects on bodies of a certain shape requires today to become the most relevant, taking into account the complexity of technology. So, the specified system consists of a certain object, most often metal, with an increasing temperature under the influence of an electric current.

Keywords: parabolic conoid, «Monkey saddle», Dupin, sphere and spheroid, cone, cylinder, ellipsoid, hyperboloid, paraboloid, unitary surfaces.


И здесь необходимо математическое описание указанного объекта — головки паяльника, в первую очередь — для его правильного изготовления и нахождения подхода к элементу модели и во вторую — для определения его температурного градиента. Поскольку в данном случае, достижение определённых точных величин температуры, с учётом теплопроводности материала, даже при комбинациях элементов при изготовлении объекта из сплава, часто может быть затруднительным, в узконаправленных проектах.

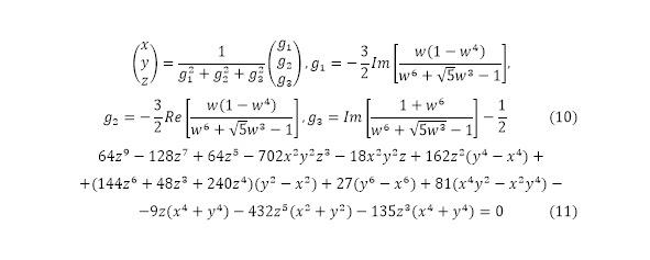
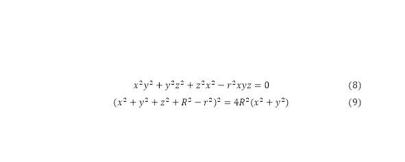
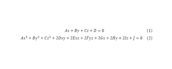
Так, на сегодняшний день, такой элемент может быть представлен в качестве трёхмерной модели, закрытый определённой поверхностью [1]. Чаще всего это может быть поверхность второго порядка (2), но также имеет место рассмотрение первого (1) [2].

При классифицировании таковых поверхностей, образуется алгоритм использования измерений Кодайры, которые позволяют распределить алгебраические поверхности в определённой классификации [3]. И примечательно, что наиболее часто применимыми, в том числе рациональными поверхностями считают алгебраические поверхности с размерностью в минус бесконечность.

К их числу относиться среди простейших — проективная плоскость с обычной формой уравнения, среди четырёхугольных поверхностей — конус, цилиндр, эллипсоид, гиперболоид, параболоид, сфера и сфероид [1; 3—4]. Также существуют рациональные кубические и рациональные квартирные поверхности. Так, к первым относиться кубическая поверхность Кэли с узлами (3), кубическая поверхность Кэли с правильными рёбрами, поверхность Клебша (4) (Рис. 1), кубическая поверхность Ферма (5), поверхность «Обезьянье седло» (6) (Рис. 2), параболические коноид, коноид Плюккера и зонтик Уитни (7) [5—7].


Рис. 1. Поверхность Клебша


Рис. 2. Поверхность «Обезьянье седло»

В число квартирных поверхностей относятся поверхности Шатле, циклиды Дюпена, рог Габриэля, правый круговой коноид, римская Поверхность или поверхность Штайнера (8), а также торы (9) и тороиды [7].

К числу прочих рациональных поверхностей относятся поверхности Боя (10), поверхность Эннепера (11), поверхность Хеннеберга, минимальная поверхность Бура и Ричмондские поверхности [3—4; 7—9].

Однако, существуют отдельные семейства прочих рациональных поверхностей с указанными размерностями Кодайры, к числу которых можно отнести поверхность Кобля, поверхности Дель Пеццо, поверхности Хирцебруха, поверхности Сегре (12) [5], унитарные поверхности, поверхность Веронезе или вложение Веронезе, поверхности Уайтхеда, в множество которых входит поверхности Бордиги [6; 10].

Нерациональные поверхности относительно минус бесконечности при измерении Кодайры исходя из своего определения и представления в комплексном пространстве не могут приниматься в качестве описательных моделей [11]. Дальнейшими примерами являются случаи при нулевом измерении Кодайры, к которым относятся поверхности К3 или компактно-связные поверхности, поверхности Энриквеса и Абелевы поверхности. К группе поверхностей КЗ относятся поверхности Куммера, в том числе тетраэдриды, волновые поверхности (13), отдельно к числу К3 имеются поверхности Плюккера, поверхности Веддела, гладкие поверхности четвёртой степени, а также супер-сингулярные поверхности К3 [3—5; 11—12].

К числу поверхностей Энкирвеса относиться конгруэнтность Рейе, к числу которых в том числе относиться тетраэдрон (14) и фактор-множество поверхности К3.

Рассматривая абелевы поверхности, то в основном относятся поверхности Хоррокса-Мамфорда, существующие в четырёхмерном пространстве, но они являются поверхностями 10-й степени. Прочие плоскости по другим измерениям Кодайры исходя из их математического представления являются больше абстрактными и не подходящими, кроме редких частных случаев для моделирования [5—6; 10—11]. Но в качестве исключений можно представить узловые поверхности, входящие наряду с поверхности разновидностей Шимуры, в которые входят модульные поверхности Гильберта, поверхности Гумберта, модульные поверхности Пикара и прочие, а также эллиптическими поверхностями, Кэлеровыми поверхностями, минимальными поверхностями и фактор-поверхностями в общее число семейств поверхностей с элементами в нескольких классах. В число узловых поверхностей входит узловой куб Кэли, поверхности Куммера с 16 узлами, поверхность Тольятти (Рис. 3), поверхность Барта, поверхность Лабс, поверхность Эндрасса, поверхность Сарти (Рис. 4) [7; 12].

Рис. 1. Поверхность Тольятти
Рис. 2. Поверхность Сарти

В результате настоящего исследования были представлены самые различные поверхности с математическим описанием, возможные для дальнейшего моделирования.

Использованная литература

1. Costa, Celso José da (March 1984). «Example of a complete minimal immersion in ℝ3 of genus one and three embedded ends» (PDF). Boletim da Sociedade Brasileira de Matemática. 15 (1–2): 47–54. doi:10.1007/BF02584707.

2. Hasanov, Elman (2004), «A new theory of complex rays», IMA J. Appl. Math., 69 (6): 521–537, doi:10.1093/imamat/69.6.521, ISSN 1464—3634, archived from the original on 2013-04-15

3. Hadley, Mark J. (2002). «The Orientability of Spacetime» (PDF). Classical and Quantum Gravity. 19 (17): 4565–71. arXiv: gr-qc/0202031v4. Bibcode:2002CQGra..19.4565H. CiteSeerX 10.1.1.340.8125. doi:10.1088/0264—9381/19/17/308.

4. Barth, Wolf P.; Hulek, Klaus; Peters, Chris A.M.; Van de Ven, Antonius (2004), Compact Complex Surfaces, Ergebnisse der Mathematik und ihrer Grenzgebiete. 3. Folge., vol. 4, Springer-Verlag, Berlin, doi:10.1007/978-3-642-57739-0, ISBN 978-3-540-00832-3, MR 2030225

5. Edge, W. L. (1931), The Theory of Ruled Surfaces, Cambridge University Press — via Internet Archive. Review: Bulletin of the American Mathematical Society 37 (1931), 791—793, doi:10.1090/S0002-9904-1931-05248-4

6. Endrass, Stephan (1997), «A projective surface of degree eight with 168 nodes», Journal of Algebraic Geometry, 6 (2): 325–334, arXiv: alg-geom/9507011, Bibcode:1995alg.geom..7011E, ISSN 1056—3911, MR 1489118

7. Breske, Sonja; Labs, Oliver; van Straten, Duco (2007). «Real line arrangements and surfaces with many real nodes». In Jüttler, Bert; Piene, Ragni (eds.). Geometric Modeling and Algebraic Geometry. Springer. pp. 47–54. arXiv: math/0507234. Bibcode:2005math…7234B. ISBN 9783540721857.

8. Miyaoka, Yoichi (1984). «The maximal number of quotient singularities on surfaces with given numerical invariants». Mathematische Annalen. 268 (2): 159–171. doi:10.1007/BF01456083. MR 0744605.

9. Ness, Linda (1978), «Curvature on the Fermat cubic», Duke Mathematical Journal, 45 (4): 797–807, doi:10.1215/s0012-7094-78-04537-4, ISSN 0012—7094, MR 0518106

10. Kusner, Rob (1987). «Conformal geometry and complete minimal surfaces» (PDF). Bulletin of the American Mathematical Society. New Series. 17 (2): 291–295. doi:10.1090/S0273-0979-1987-15564-9..

11. Morin, Bernard (13 November 1978). «Équations du retournement de la sphère» [Equations of the eversion of the sphere] (PDF). Comptes Rendus de l’Académie des Sciences. Série A (in French). 287: 879–882.

12. Goodman, Sue; Marek Kossowski (2009). «Immersions of the projective plane with one triple point». Differential Geometry and Its Applications. 27 (4): 527–542. doi:10.1016/j. difgeo.2009.01.011. ISSN 0926—2245.