All sciences. №8, 2023. International Scientific Journal
Қосымшада ыңғайлырақҚосымшаны жүктеуге арналған QRRuStore · Samsung Galaxy Store
Huawei AppGallery · Xiaomi GetApps

автордың кітабын онлайн тегін оқу  All sciences. №8, 2023. International Scientific Journal

All sciences. №8, 2023

International Scientific Journal

Fonts by «ParaType»


Authors: Aliyev Ibratjon Xatamovich, Maksudov Asatulla Urmanovich, Umaraliyev Nurmamat, Xakimov Murodjon Fozilovich, Abduraxmonov Sultonali Mukaramovich, Sayitov Shavkatjon Samiddinovich, Abdullayev Jamolitdin Solijonovich, Mavlyanov Aminjon, Jamoliddinov Javohir Iqboljonovich, Stultonov Shuxrat Davlatovich, Dadajonov Tulan


Editor-in-Chief Ibratjon Xatamovich Aliyev

Illustrator Ibratjon Xatamovich Aliyev

Illustrator Sultonali Mukaramovich Abduraxmonov

Illustrator Obbozjon Xatamovich Qo'ldashov

Cover design Ibratjon Xatamovich Aliyev

Cover design Ra'noxon Mukaramovna Aliyeva

Acting scientific supervisor Sultonali Mukaramovich Abduraxmonov

Economic manager Farruh Murodjonovich Sharofutdinov

Proofreader Gulnoza Muxtarovna Sobirova





Contents

PHYSICAL AND MATHEMATICAL SCIENCES

ON A BRIEF ANALYSIS AT A CERTAIN INTERVAL OF THE COLLATZ HYPOTHESIS

Aliyev Ibratjon Xatamovich

3rd year student of the Faculty of Mathematics and Computer Science of Fergana State University

Ferghana State University, Ferghana, Uzbekistan

Annotation. Modern research in the field of mathematics, including number theory, is developing quite actively, however, among a large number of very different mathematical models describing various natural phenomena, there are also those that are among the unsolved mathematical problems. Today we can refer to them the so-called Collatz hypothesis, the description of which is directed at the boundaries of this work.

Keywords: mathematics, research, physical and mathematical modeling, number theory, function.

Аннотация. Современные исследования в области математики, в том числе теории чисел развиваются достаточно активно, однако, среди большого количества самых различных математических моделей, описывающие различные явления природы существуют и те, которые находятся в ряду не решённых математических задач. К ним сегодня можно отнести так называемую гипотезу Коллатца, описанию на границах коих и направлена настоящая работа.

Ключевые слова: математика, исследование, физико-математическое моделирование, теория чисел, функция.

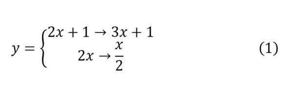
The Collatz hypothesis itself is one of the simplest unsolved problems known to date. It is a statement that let some natural number be taken and if it is not even, then it is multiplied by 3 and then one is added or, more precisely, the function 3x+1 is performed, if the number is even, then it is divided in half. Thus, it turns out the separated form of the function of the Collatz hypothesis (1).

Further, the result obtained in (1) may be repeated. So, the present model can be defined for the number 7, which is not even and the first function is executed, it turns out 22 is an even number. Now the second function is executed and 11 is obtained, etc. In general, this series looks like this (2).

Now you can choose another number, for example 9 (3), 8 (4) or 6 (5).

In all cases, one can observe the same pattern, that in the end a cycle of 4, 2, 1 is obtained, which will be repeated each time indefinitely. And the idea of the Collatz hypothesis is to prove that all natural numbers will lead to a real cycle. But it is noteworthy that the diagram of such a model has an interesting chaotic scheme with its maximum and minimum points. This scientific work is devoted to the analysis of changes in the graphs of the function of the Collatz hypothesis.

Initially, it is worth writing down the model of function (1) in general form (6).

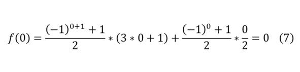
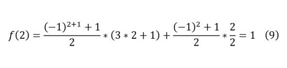
So, you can substitute some numbers to get suitable values for even and non-even numbers (8—9), however, before the study it is worth noting that the exception is the number zero, which contains the only cycle that differs from the cycles of all natural numbers, consisting of 2 elements (7).

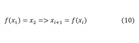
For the general series of the function, we get the representation (10).

So, initially it is worth paying attention to the analysis carried out using 110 stages of repeated operation, and at this interval the initial peaks are clearly visible on the graph of the analysis of natural numbers in the range from 1 to 10 (Graph 1).

Graph 1. Functions for the interval [1; 10] for 110 elements

In this case, it will be possible to observe that with increasing numbers, individual peaks can be observed, the number of which begins to increase each time, becoming chaotic. Some values can already take large indicators of the function at their beginning, reaching a small number of stages, each time coming to a repeated cycle more and more, as can be seen in the continuation of the right part of each of the functions. Further, the analysis of the graph continues in the next interval from 10 to 20, an increase in the height of the peaks of the function can be observed, although the density of the location of each of the functions also increases. This can be seen more clearly when considering the continuation of the function in the right part — against the background of cycles, where the correlation becomes more and more obvious (Graph 2).

Graph 2. Functions for the interval [10; 20] for 110 elements

While continuing the analysis, you can pay attention to an interesting approach in that after 20 functions change and the level of superposition of each one on the other begins to increase more and more each time, leading to the fact that already when analyzing the number from 17 to 27, the correlation level becomes maximum. This can also be clearly seen in Graph 3, where at least some difference is observed only at the beginning of the graphs, and already closer to an increase in the number of operations, all functions are increasingly combined, resulting in small increasing peaks at first, which seem to alternate in increasing and decreasing. Further, this trend increases by one large increase, followed by smaller, but still increasing peaks, coming to two maximum large peaks, ending only with the final peaks, again returning to the form of the cycle, which is more like a straight line against the general background. In this case, it is worth paying more attention to that. That the growth of the graph relative to the central peaks occurs more smoothly than the decline, which surprisingly describes examples of real physical phenomena quite well when presenting their graphs.

Graph 3. Functions for the interval [17; 27] for 110 elements
...