автордың кітабын онлайн тегін оқу The use of accelerators and the phenomena of collisions of elementary particles with high-order energy to generate electrical energy. The «Electron» Project. Monograph
Ibratjon Xatamovich Aliyev
Farruh Murodjonovich Sharofutdinov
The use of accelerators and the phenomena of collisions of elementary particles with high-order energy to generate electrical energy. The «Electron» Project
Monograph
Fonts by «ParaType»
Editor Boxodir Xoshimovich Karimov
Editor Farruh Murodjonovich Sharofutdinov
Illustrator Ibratjon Xatamovich Aliyev
Cover design Ibratjon Xatamovich Aliyev
Cover design Farruh Murodjonovich Sharofutdinov
Reviewer, Doctor of Technical Sciences, Professor of the Scientific Research Institute "Physics of Semiconductors and Microelectronics" at the National University of Uzbekistan Obbozjon Xokimovich Qo'ldoshev
Reviewer, Doctor of Physical and Mathematical Sciences, Professor and Head of the Department of "Technological Education" of the Faculty of Physics and Technology of Fergana State University Salim Madraximovich Otajonov
Reviewer, Candidate of Physical and Mathematical Sciences, Associate Professor of the Department of "Technological Education" of the Faculty of Physics and Technology of Fergana State University Boxodir Xoshimovich Karimov
Reviewer, Candidate of Physical and Mathematical Sciences, Associate Professor of the Faculty of Computer Design Systems of the Fergana Polytechnic Institute Sultonali Mukaramovich Abduraxmonov
Reviewer, Doctor of Philosophy in Physical and Mathematical Sciences, Senior Lecturer at the Faculty of Physics and Mathematics of Ferghana State University Sapura Malikovna Zaynolobidinova
Reviewer, lecturer at the Faculty of Physics and Mathematics of Fergana State University Dilshod Quldoshaliyevich Yuldoshaliyev
Pedagogical consultant on the 1st section, Candidate of Philosophical Sciences, Associate Professor of the Department of Sociology of Fergana State University Baxromjon Nomonjonov
Pedagogical consultant on the 1st section, Candidate of Pedagogical Sciences, Associate Professor of the Department of Information Security of the Fergana Branch of the Tashkent University of Information Technologies Inomjon Uktamovich Bilolov
Consultant in Physical Sciences Abdurasul Abdusoliyevich Ergashev
Proofreader Ibratjon Xatamovich Aliyev
Proofreader Gulnoza Muxtarovna Sobirova
Proofreader Abdurasul Abdusoliyevich Ergashev
© Ibratjon Xatamovich Aliyev, 2023
© Farruh Murodjonovich Sharofutdinov, 2023
The monograph presents an introductory part to the physics of resonant nuclear reactions, describes a study on the use of 6 nuclear reactions on accelerators as an energy source. A installation operating on this principle and being a solution to the problem of a global shortage of electrical energy is described. The book is addressed to all researchers in the field of the nuclear reactions, university teachers, masters, students and anyone interested in the future of progress and science.
ISBN 978-5-0059-5377-3
Created with Ridero smart publishing system
Contents
Preface
Our world is immersed in a huge ocean of energy, we are flying in infinite space at an incomprehensible speed. Everything is spinning, moving — all the energy. We have a huge task ahead of us — to find ways to extract this energy. Then, extracting it from this inexhaustible source, humanity will move forward with giant strides!
Nikola Tesla
Energy has been important for all mankind since ancient times. Every day a person consumes more and more energy, and if earlier the main source of energy was fire, today its role is increasingly being performed by electric current. With the help of electricity, lamps are lit, computers work, books are printed, food is heated and cars are already driving. Electricity has entered into all corners of human life and is an essential resource.
For the first time, work on the generation of electric current began with experiments on the study of electromagnetic induction by Michael Faraday, but for a long time these works were not implemented in the face of industrial plants and installations. Initially, only steam engines were used to perform certain work by James Watt, and only after the invention of the armature winding of dynamoelectric machines by the Belgian Zenob Theophil Gram in 1871, it became possible to obtain electric current industrially.
Thus, the first power station was a hydroelectric power station, created in 1878 by an English engineer, Baron William Armstrong at his estate Cragside, in England. The generated electricity was used for lighting, heating, hot water supply and other household work.
But for the people and all mankind, electricity began to serve only 4 years later, in the winter of January 12, 1882, in London, when the world's first public coal-fired electric power station by Thomas Edison, built according to his own project, started working. Since then, mankind has been industrially using electric current, of course, a lot has already changed since then, the technologies of the famous inventor Nikola Tesla have been introduced to use alternators, as in power transmission systems, on the same basis of alternating current.
But also, in order to satisfy their needs, man has invented a number of methods and technologies for obtaining and generating electric current on a large scale. But are all these methods so safe and do they manage to fully perform their function?
To date, to generate electric current and meet the needs of mankind in this resource, technologies for generating electric energy from heat (steam pressure) are used, which is clearly expressed in the technologies of thermal power plants (thermal power plants), where by burning coal, natural gas and other combustible resources having some energy potential in their structure, they receive steam that creates sufficient pressure for the movement of steam generator turbines, which, using the phenomenon of electromagnetic induction, converts kinetic energy (energy of motion, in this case, the energy of rotation, turbines under the action of steam force), that is, the force of steam pressure into an electric current that is already transmitted through power lines (power lines) to consumers for further use.
Also, hydroelectric power plants (hydroelectric power plants), nuclear power plants (nuclear power plants), wind farms (wind farms), SPES (solar panel power plants) are used as sources of electric energy. Other technologies are also known, such as methods of obtaining current from lightning, waves and other natural forces, but they are not used on a large scale, for this reason it is enough to consider only the above types of power plants, with their own methods of generating large electrical energy.
The TPP technology was considered, if we stop at the HPP, then this power plant is based on generating an electric current from kinetic, and in the case of being at a high altitude, potential (energy that an object possesses, being at a certain height due to gravitational force or gravity, while potential energy is involved with a further transition to kinetic) energy water and rotation of the generator turbines at high speed and subsequent generation of electric current, also using the phenomenon of electromagnetic induction, on which the principles of all electric generators are based.
The next type of power plant, namely nuclear power plants, are stations whose principle is based on one of the most progressive and newest methods of generating electric energy, namely, on the basis of generating electric current from atomic energy, which is released after the decay of uranium—235 or uranium-238 nuclei, depending on the type of station after they are bombarded with thermal (having an energy that is numerically equal to the energy at normal temperature) by neutrons. Due to the fact that after each subsequent reaction, a maximum of 3, and more often 2 additional neutrons are released, a chain reaction occurs with the release of 200 MeV, with each reaction, with a rapid increase in the total energy of the body, which leads to an increase in temperature.
And at the same time, there comes a moment when there is enough energy to transfer it to water, which is irradiated and transfers heat to the second water circuit, through which the already circulating water rotates steam generators, while the temperature does not reach critical temperatures, due to the fact that the water is under pressure, which increases the levels of constant temperatures for this liquid.
Describing the wind farm, it is worth noting that the principle of electromagnetic induction is also preserved there and more than one generator is used, which rotate under the force of the wind, although they rotate with a lower frequency, respectively generating less power.
The final one, also becoming more popular and relevant every day, is the SPES. This type of station by the method of generating electric current is radically different from the others. This type of stations is based on the phenomenon of photoelectronic emission, which occurs when specially manufactured panels are irradiated with sunlight, the electric charge generated in this case is output and transferred already to the transmission lines.
But it is also worth noting that each type of power plants has significant disadvantages, of course not in its design, but in the effect exerted on nature and the environment. For example, thermal power plants [8] generate a huge amount of anhydride carbonate, which is released into the atmosphere and causes such an effect, which is referred to as global warming, which is a consequence of the so-called greenhouse effect.
We will describe all these problems for the following power plants:
hydroelectric power plants [9]:
· Disaster risk (difficult construction in case of earthquakes and other natural disasters);
· Danger of fish migration (whole species of various fish may die);
· Danger of nearby cities (in case of a problem with the plate within a radius of many kilometers, cities will be flooded).
NPP [10]:
· Uranium is a non-renewable resource;
· Cannot replace fossil fuels;
· Depends on fossil fuels;
· Uranium mining is harmful to the environment;
· Very persistent waste, decomposed for a long time;
· The danger of nuclear disasters;
· The presence of the effect of changing the planetary radioactive background;
· High explosion hazard;
· Difficulty of recovery, in the event of a disaster.
WES [11]:
· Presence of noise;
· High cost of buildings;
· Long payback period in case of implementation;
· Inconstancy and unregulated wind flow;
· Low energy efficiency.
SPES [12]:
· Lack of energy extraction at night;
· High energy storage costs;
· Relatively high price of solar cells;
· Daily and seasonal variability of solar radiation;
· Local climatic changes unfavorable for the use of solar energy;
· Difficulties with accumulation and concentration of energy;
· The daily energy flux density of solar radiation is low;
· Installation takes up large areas;
· High production and construction costs;
· Low generated power.
Analyzing the above facts, it becomes clear that a development is needed that can generate electric current with greater efficiency, on a larger scale, and also more safely than with the help of technologies used today. And if we consider all possible ways of obtaining electrical energy, then there is an explanation for why this study, which has been going on for more than 12 years, was so called — "Electron".
Initially, the search for a new source of electrical energy began back in 2010. The first stage of the study was to search for such a method in classical mechanisms. More than 500 different mechanisms were analyzed, but all of them were not effective until the first magnetic type of device was presented for the first time in 2016, which, using the force of magnetic repulsion, created vibrations that caused the output of 3—4 water jets, the potential energy of which was converted into electric current. But this version of the device was not strong enough and effective enough, and after an experimental test, a number of shortcomings were found, which caused the rejection of this model.
This was followed by 34 mechanisms, which distinguished themselves by following the first more successful version. But when they did not find their confirmation, it was necessary to abandon them. For 4 years, since 2014, the so-called «electric era» has been going on, when various mechanisms of an electric, magnetic and electromagnetic nature were investigated. And although mechanisms with electric generators, solar panels, transformers, diodes, transistors and many other elements have been developed, but, unfortunately, they have not found their confirmation. Then, starting in 2019, the «quantum era» began.
In March 2019, the first project with elementary particles was developed, and then the project changed its own name and adopted the name "Electron", since the idea was based on splitting an electron and conducting interactions with the creation of a special "structure" already with hypothetical components of the electron particle. Due to this, the components in the face of Umidon and Raanon particles were studied in detail. Then for the first time scientific articles on this topic were published: "Behavior of an electron in an atom", "Electron particle", "Electron features", "Linear Electron Accelerator in Power engineering" and many others. They also took part in the international event InnoWeek 2019.
But after some debate, it was found that this model, as well as the methods of its implementation, cannot be translated into reality. The next model was the technology of collision of two electron beams in the energy output, as it was assumed due to some anomaly that followed from the conclusions of the formulas. But there were problems, the solution of which was not found, as well as a detailed introduction with an explanation of this phenomenon. Therefore, it was necessary to move from this model to technologies for the use of nuclear reactions. At this stage, from the beginning of 2020, the "Nuclear Era" began, when hundreds and even thousands of nuclear reactions were investigated. The total number of studied nuclear reactions, which were analyzed at this stage from the beginning of 2021 to February 2021, is 1,062 reactions.
And thanks to the definition of nuclear reactions with a large energy yield, a whole complex of these interactions was created. And although the technology no longer had a relationship with the electron, but the name of the study has not changed to this day. And although more than 10 scientific articles were published, they were also described in 2 volumes of the work "Constructor of Worlds", as well as presented to several companies, such as Acwa Power in February and a number of energy companies in September 2021. But today this technology has been improved and has a more simplified look, which opens up a number of possibilities.
It is this technology that is described in this research, which is currently considered to have no analogues in the whole world. As can be seen from the history of this study, the path of this technology was not easy, and it is much better than its "brothers" and "predecessors", which demonstrates a lot of experience and a strong desire to achieve this goal for the whole of humanity, which gave strength to overcome a number of very different difficulties, and only a part of which it was described above when retelling the entire history of the study.
As a result, it can be concluded that nuclear reactions deserve more attention as the newest source of electrical energy on a huge scale. Of course, uranium reactions are already actively used today, thermonuclear reactions are also very popular, for which searches are still underway for their use for peaceful purposes.
But it is also possible to use completely new types of nuclear reactions with a larger yield and a larger cross section of the nuclear reaction. But first it is necessary to understand in more detail the concepts of nuclear reactions themselves. This work tells about the technology that will allow generating electric current with the specified parameters and data.
For a better understanding of the material being explained, as well as to create the convenience of describing the device, initially a special introductory course in the very topic of nuclear physics was prepared in the first section. But since this course is not aimed at covering all the material, only the necessary or important points from the entire course of nuclear physics and high-energy physics are indicated.
After the reader is intrigued by unexplained concepts about nuclear reactions and about the purpose of the entire study, the explanation begins with the very explanation of the stages of human cognition of the structure of matter. The first knowledge and thoughts of Aristotle, Herodotus, the great thinkers Avicenna, Biruni, Sir Newton and many others. And also describes the history of classification.
The sudden problem of radioactivity, even more intriguing to the reader, becomes an additional help, after which everything is led to the description of the atom. Then the models of the atom created and described by great scientists with their experimental confirmations are explained, after which the speech smoothly proceeds to the description of the atomic nucleus and many other particles.
And finally, one of the most intriguing moments comes, namely, the description of nuclear reactions, the derivation of formulas, calculations, models, and finally, the description of a variety of experiments that simply fascinate with their scales and designs. And when our dear reader is fully prepared for the research and analysis of the new technology with all its complexities, the second section begins.
There, a complete theoretical description is given, various assumptions and proofs are built that fully support the main idea and intent. And already in the following sections, the experimental representation is analyzed, as well as the whole picture of the implementation of this experiment in reality.
It is in this way that a full-fledged idea, a separate idea, is formed and rises right in front of the reader, which is of enormous importance for all mankind, ensuring the generation of electric energy on a huge scale, buildings will become easier and faster compared to other electric power stations, however, as well as the costs of their construction. At the same time, the possibility of providing electric current to the entire population will increase. The energy and information hunger will disappear, it will be possible not to be afraid of large losses in wires and to increase the transition to the transmission of electrical energy without wires, as Nikola Tesla predicted back in the 1900s.
The number of various experiments conducted in various research institutes, which are now waiting for the latest source of electrical energy, will increase. A person will be able to extend the time of his stay in space several times and may even take a swing at seemingly insane ideas about creating artificial atoms from electrical energy. At the same time, the number of various assumptions and riddles that will be reflected in the works of science fiction writers and writers will increase. The whole human world will sway and begin to move with leaps and bounds and a great future will come.
But in order to realize all this, you need to take the first step, namely, to enter into the depths of the Electron research.
Ibratjon Xatamovich Aliyev
Sharofutdinov Farroh Murodjonovich
Section 1. Theoretical calculations
Chapter 1. The History of Atomism
Everything consists of particles... things differ from each other by the particles they consist of, their order and location…
Democritus
The quantum world of elementary particles and the atomic nucleus is amazing in its beauty, structure and scale. And then this world will also be considered in all its difficulties. But initially it is necessary to understand the very essence of the first steps in the discovery of the atom, the very particle with which everything began. The first chapter is radically different from the rest of the chapters because it was created specifically not only for higher minds who are already operating with rather complex concepts, but also for the young generation just entering the path of this amazing science. Therefore, in this chapter everything is described as simply and elementary as possible. So, without further ado, the history of the greatest atomic science begins…
Since the most ancient times, people have been trying to determine the structure of our world, to understand what it consists of. Initially, all these questions were purely philosophical, for this reason there was such a thing as atomism, according to this theory, all substances, objects, bodies consisted of indivisible particles — atoms. This idea was widely supported in ancient times, first appearing in various parts of our planet from ancient India to ancient Greece and the Eastern world.
For example, in Ancient Greece atomism was also widely supported by Democritus of Abder, Leucippus and others. Opponents of the ideas of atomism could only claim that matter divides indefinitely. Democritus' teaching was also based on the idea that atoms are not only indivisible, but their number is infinite, they are not created, and they are eternal, and the properties of objects depend on atoms. A great contribution to the idea of atomism was also made by the philosopher Epicurus, and later by the poet Lucretius. But if everything was clear with the statement of the very concept of the atom, since the atom is translated from ancient Greek as "indivisible", that is, atoms could not be divided, then there were problems with their forms. For the first time, the idea of the shapes of the atom was put forward by Plato, assuming that atoms have the shapes of Platonic bodies or regular polyhedra like a cube, pyramid, tetrahedron, dodecahedron, octahedron and others, that is, polyhedra whose faces are equal to each other. Atomism deserved a lot of attention after active references to this idea by Aristotle himself, after which this idea began to spread around the world.
In the Eastern world, where outstanding thinkers and geniuses conducted their research and performed excellent research at the Mamun Academy, there were also separate opinions on the topic of atomism. Such outstanding scientists as Abu Rayhan Biruni, ibn Sina, Abu Nasr ibn Iraq, Mahmud Khujandi, Ahmad ibn Muhammad Khorezmi, Ahmad ibn Hamid Naisaburi and many others conducted their experiments at the Mamun Academy itself. Many of them are outstanding scientists, if Abu Ali ibn Husayn ibn Abdallah ibn Sina, also known as ibn Sina or Avicenna in Europe created the "Canon of Medical Science and is considered the father of medicine, then Abu Rayhan Biruni is an encyclopedic scientist who conducted research in physics, mathematics, astronomy, natural sciences, history, chronology, linguistics, indology, earth sciences, geography, philosophy, cartography, anthropology, astrology, chemistry, medicine, psychology, theology, pharmacology, history of religion and mineralogy. He is also considered the creator of the first globe, also the first person to measure the radius of the planet using trigonometric patterns, as well as the first who predicted the presence of the continent of America.
To date, the letters of Abu Rayhan Biruni and ibn Sina have been preserved, along with their works, where scientists also debated on the topic of the structure of matter. According to the assumption of scientists, the world consisted of particles smaller than an atom, it is there that one can see the assumptions that the atom particle, which was then considered indivisible, is divisible, but not to infinity. As for their shape, then it was assumed that the atoms have a spherical shape, since the sphere was considered a kind of ideal model, therefore, the atoms should be like this.
Time passes and a variety of discoveries are made. But about the ideas of Epicurus, however, as well as about atomism, they forget, because the ideas of Epicurus contradicted Christian teachings and the church forbade its use, as well as the assertion that atoms exist. But the French Catholic priest Pierre Gassendi revived the idea of atomism, somewhat changing the notion that atoms were created by God. And after the defense of atomism by the chemist Robert Boyle — an outstanding chemist and author of the work "The Skeptical Chemist", as well as by Sir Isaac Newton, who himself was revered as an outstanding scientist, atomism was adopted by the end of the 17th century.
Let us quote Sir Newton himself on this topic from a translation of his works: "It seems to me that from the very beginning God created matter in the form of solid, weighty, impenetrable, mobile particles and that he gave these particles such dimensions, such shape and such other properties and created them in such relative quantities as he needed it was for the purpose for which he created them. These primary particles are absolutely solid: they are immeasurably harder than the bodies that consist of them — so hard that they never wear out and do not break into pieces, because there is no such force that could divide into parts what God himself created inseparable and whole on the first day of creation. Precisely because the particles themselves remain intact and unchanged, they can form bodies that have the same nature and the same structure forever and ever; for if the particles were worn out or broken into pieces, the nature of things depending on them would change. Water and earth, made up of old, worn-out particles and fragments, would differ in structure and properties from water and earth, built from still whole particles at the beginning of creation. Therefore, in order for nature to be durable, all changes in the bodies of nature can consist only in a change of location, in the formation of new combinations and in the movements of these eternal particles… God could create particles of matter with different sizes and can have different shapes, place them at different distances from each other, endow them, perhaps, with different densities and different acting forces. In all this, at least, I do not see any contradictions… So, apparently, all bodies were built from the above-mentioned solid impenetrable particles, which were placed in space on the first day of creation at the direction of God's mind."
And if at that time Boyle's ideas were established that there are "simple bodies" (chemical elements) and "perfect mixtures" (chemical compounds) and any "perfect mixtures" can be divided into "simple bodies", then in the book "The New System of Chemical Philosophy" of 1808, John Dalton put forward the first idea about which of the substances, to which type is subject. But before that, Lavoisier proved that mass is constant, it does not disappear anywhere and does not appear out of nowhere. Davy also discovered a number of chemical elements: hydrogen, oxygen, nitrogen, carbon, sulfur, phosphorus, sodium and potassium were discovered by him in 1807, and in 1808 he also discovered such elements as calcium, strontium, barium and magnesium. Iron, zinc, copper, lead, silver, platinum, gold and mercury were also discovered.
Their discovery did not take much more work, since many of them were isolated from ores, isolated from chemical compounds. And already water, ammonia, carbon dioxide and many other compounds were already considered perfect mixtures. And now, Dalton, having everything he needed, decided to determine the atomic masses of all chemical elements, and also enter them all into tables, that is, classify them. So, Dalton introduced his own designation for each chemical element, for example, for hydrogen he introduced a circle icon with a dot in the center, for oxygen there was a sign — an ordinary circle, and for carbon there was a sign of a painted black circle, etc. To calculate the masses of atoms, Dalton conducted some experiments.
Initially, he evaporated water, and on the upper part he installed substances with which hydrogen reacted better, calculating changes in both the mass of the substance with which the interaction took place or from the volume of steam, Dalton could determine which part of the water consists of hydrogen and which of oxygen. Thus, having determined that 1/8 of the total mass of water consists of hydrogen, and 7/8 of oxygen, Dalton decided that oxygen is heavier than hydrogen and assigned a mass equal to 1 to hydrogen and 7 to oxygen. The same analysis of ammonia showed 1 for hydrogen and 5 for nitrogen. After analyzing it in this way, Dalton compiled his own table of chemical elements.
Needless to say, although this was the first step on the path of knowledge, all these statements were not true. But it lasted for quite a long time and various assumptions were based on it. One of these hypotheses was published in the journal "Philosophical Annals" by the London physician William Prout and was devoted to the idea that all atoms consist of hydrogen. But of course, this hypothesis was not true like many other assumptions of that time.
And if then, the atomic unit of mass was taken as the mass of a hydrogen atom, then today the exact unit is considered to be 1/12 of the mass of a carbon atom and is named as an A. E. M. or atomic unit of mass. And chemical elements today are usually designated from the first two or one letter of their name in Latin, for example, hydrogen is designated as H due to the name Hydrogenium («Generating water» in Latin), Nitrogen — N or Nitrogenium — «Giving birth to saltpeter», iron — Fe or Ferrum, copper — Cu — Cuprum, carbon — C — Carboneum. This system was adopted on September 3, 1860 after the Italian chemist Stanislao Cannizzaro at the International Congress in Karlsruhe proposed this method in his speech.
After that, it was customary to record chemical compounds using these symbols, and the number of atoms was indicated in the lower right corner, so for example, the compound of carbon and hydrogen (water) is written as H2O, ammonia — NH3, sulfuric acid H2SO4, etc. This method is very convenient because it creates opportunities for using symbolic notation and not there is no need to write down all the symbols several times, for example, for a cane sugar molecule — C6H12O6 (6 carbon atoms, 12 hydrogen atoms and 6 oxygen atoms). Instead of CCCCCCHHHHHHHHHHHOOOOOO, you can easily and simply write C6H12O6.
If everything is already clear with the notation, then there remains one very interesting consequence. Taking into account the fact that 1 atomic unit of mass is equal to 1/12 of a carbon atom, this makes it possible to calculate the masses of all chemical elements using compounds with carbon. For a better explanation, let’s give an example. Suppose there is a certain compound of carbon and hydrogen, if you act on it with an electric current or heat it, then it is possible, if it is solid, to melt, if the liquid is evaporated and to obtain a finite volume of carbon and hydrogen. From the ratio of their masses and volumes, it is possible to determine how many hydrogen atoms account for one carbon atom, and already from the ratio of their masses, it is possible to calculate the mass of hydrogen. So if we divide the methane compound into carbon and hydrogen, we get 4 times more hydrogen than carbon in volume, so we can conclude that for 1 carbon atom, there are 4 hydrogen atoms and the CH4 compound is obtained. And as for the masses, in this ratio it turns out that the mass of 1 hydrogen atom is almost 1/12 of the mass of a carbon atom or 1.00811 am. Exactly the same method can be used to determine the masses for all other atoms (Table 1.1).
But what exactly is this value equal to 1 A. E. M.? If you answer this question, you can find the masses of all other types of atoms, at the same time prove their reality. But none of the atoms, even the largest of them, can be seen in any microscope at that time. The situation is saved by the discovery made in 1828 by the English botanist Robert Brown. When a new microscope was brought to Robert Brown, he left it in the garden, and in the morning, dew drops formed on the "table" of the microscope, and Brown himself forgot to wipe them and automatically looked into the microscope. What was his surprise when he saw that the pollen particles in the dew drop were randomly moving. The particles are not alive and cannot move by themselves. It just couldn't be. But then, when this movement was recorded, some assumptions and hypotheses appeared to explain this phenomenon.
Perhaps this movement was explained by the fact that there are flows in the drop itself due to pressure and temperature differences, such as, for example, the movement of dust particles in the air. After all, if microscopic objects have such a movement, then it must also be in particles with a large size, like dust particles. After all, the movement of dust particles is explained precisely by air flows. But this idea was not confirmed, because the particles did not move in the same direction. After all, in the flow or flow of a jet of air, water or other medium, particles should move only in one direction, and the movement of microscopic particles in Brownian motion does not depend on each other.
In that case, perhaps this movement is the result of the environment? From external sounds, table shakes and other objects? This statement has already been refuted by the French physicist Gui. After conducting a series of experiments, he compared the chaotic Brownian motion with the movement in a remote basement in the village with the movement in the middle of a noisy street. The movements, of course, affected, but they affected only the entire drop as a whole, and not the Brownian motion of the particles itself. Moreover, there was the same movement in gases as in liquids, a striking example of such a movement is the movement of coal particles in tobacco smoke. For a visual example, you can compare two pictures. The way tobacco smoke forms and spreads in the air and the picture in the water, after a drop of paint or dye is dropped into it.
The explanation for all this is given by Carbonel, it is he who explains that the particles fall under the tremors from all sides, which causes their chaotic movement. And the smaller the particles, the more active their movement becomes, since the shocks throw them away more and more, and if the bodies are large, then the number of shocks from all sides somehow becomes almost equal, so furniture, buildings and people themselves do not vibrate by themselves and Brownian motion is not observed. It also turns out that as much as the temperature is higher, so is the velocity of these particles.
This picture becomes even clearer when Richard Sigmondi managed to invent his ultramicroscope, on the basis of which even smaller particles could already be seen. And their movement was no longer a simple movement, it was flickering, jumping and splashing, as Sigmondi himself would describe. But in order to better see this picture, the Svedberg method helped, which reduced the time of the passage of light into the microscope, thanks to which it was possible to fix exactly the specified moment, that is, it was possible to photograph this movement. And with a decrease in the time interval, doing less and less, it became possible to reach the moment when the particles in the photo simply froze in place.
And finally, the year 1908 comes, when it was finally established that atoms exist, have mass and are the basic units of matter, and combining with each other form molecules — particles of any complex compound, be it water, acid, the human body, etc.
So, Jean Perrin, a French physicist, decides to study atoms and finds a very amazing way to do it. He takes a drop of gummigut, pieces of rubber resin or yellow paint, if you like. By rubbing this piece in water like a bar of soap, he got yellowish water. But when he took a drop and examined it with a microscope, it turned out that the gummigut was not completely gone, but simply divided into thousands and thousands of small particles of different sizes. Perrin decided that if they are of different sizes and all these are gummigut particles, then they have different masses, therefore, they can be separated using a centrifuge. That is, if you rotate this liquid, then the heavier particles will logically separate to the wall, and the lighter ones will remain.
And with increasing speed, the force increases not twice, but as many times as the speed increased, due to the second degree in the centripetal acceleration formula. Consequently, Mr. Perrin could easily claim that he could separate heavy particles from light particles by strong rotation and he used a centrifuge for this, the same device that rotated with a certain frequency without spilling all the liquid. Perrin used a centrifuge, which thus rotated 2500 times per minute. And even then, only in a small part of the center, places with homogeneous particles were formed, and the rest flew to the edges. Therefore, Mr. Perrin had to use the centrifuge like this several times. Even taking into account the fact that this centrifugal force, even at a radius of 15 cm, already exceeded the force of gravity (the force of gravity of the Earth) by 1,000 times. What can be seen, given that gravity is determined by the product (multiplication) of mass by the acceleration of the fall of any object g, which is the same for all objects and is equal to 9.81 m/ s2 (meters per second squared). And based on the fact that 2500 revolutions per minute are performed, it can be calculated that the angular acceleration according to (1.1).
It remains only to calculate the ratio and get the result (1.2).
The resulting number is indeed more than 1,000, that is, the force at a distance of only 15 cm is already greater than the force of attraction of the entire planet by 1,046.9 times. Thus, in the end, Perrin managed to obtain water only with the specified particle diameters — 0.5 (5 out of 10 parts), 0.46, 0.37, 0.21 and 0.14 microns (1 thousandth of a millimeter or 10-6 m, which corresponds to a division of 1/1000000). And finally, having obtained such liquids only with a certain type of gummigut particles (such liquids are called emulsions), Perrin decided to experiment and observe them in a microscope. Watching them, turning the entire cuvette on its side, Perrin noticed that these particles decrease with increasing height. If at first they filled the entire liquid evenly or randomly, then they decreased with height, just as the air in the upper layers of the atmosphere decreases. And that was already a thought! If we compare this with the decrease in air at high altitudes, then we can establish a pattern. But in order to check it, Perrin decided to count these grains at each height.
Alas, it was not possible to photograph them, because the photos were not too clear due to the small size of less than 0.5 microns, and Perrin measured the number of gummigut particles several times at different heights, since the particles were moving, it was not possible to accurately count, so Perrin had to count several times even at the same height, and then say the average number. So at one time, he carried out the calculation at a height of 5, 35, 65 and 95 microns. And it turned out that the number of particles at a height of 35 microns was equal to almost half of the number of particles at a height of 5 microns, and at a height of 65 — half of 35, etc. And this already perfectly fell under the law of reducing atmospheric pressure (the force of oxygen pressure on our planet) with an altitude that was determined by Blaise Pascal, the famous French scientist, back in the 17th century. He measured the amount of oxygen using the Torricelli barometer, a pressure measuring device, the principle of which is that at normal air pressure from above, the mercury in the tube is at a certain height, when the pressure becomes less, the mercury can rise, and if the pressure increases, then vice versa — decreases, if there is no pressure, like gravity, it is a kind of weightlessness. Having calculated the difference in the layers of the atmosphere, Pascal even then determined that oxygen decreases with increasing altitude for every 5 km. But why is there a 2-fold decrease in gummigut particles only from 5 to 35, and in the atmosphere from 5 to 10, even if we do not take into account the scale?
And it's all about the particles, because there is oxygen in the atmosphere, and here the gummigut particles are so large that they can be seen in a microscope, their diameter is 0.21 microns. The law also changes for nitrogen, carbon dioxide, etc. due to the difference in the masses of the molecules. And if we consider the e4tu emulsion as a small atmosphere, then it is already possible to calculate the real mass of the atom! It is not so difficult to make this calculation, the height at which the oxygen density becomes 2 times less is 5 km, and for gummigut — 30 microns. And 5 km is 165,000,000 times larger than 30 microns, therefore, 1 such gummigut ball with a diameter of 0.21 microns is 165,000,000 times larger than an air molecule. And it's easier to calculate the mass of this gummigut ball.
The ratio of the mass of 1 cubic meter of gummigut (in the volume of a cube with dimensions of 1 meter wide, 1 meter high and 1 meter long) to its mass is the same as that of this gummigut ball and is equal to 1,000 kg/m3 (kilograms per cubic meter) or 103 kg/m3 (10 in a cube). And the volume of the sphere for the gummigut ball is also simple. After all, in order to calculate the volume of the sphere, it is necessary to circle the circle in space, that is, multiply by its area, the area of the second circle, and then it will turn out and at the same time subtract the part of the circle where such a «revolution» went 2 times. As a result, a formula is derived similar to the formula for the area of the circle (1.3).
This volume corresponds to the mass, taking into account the force of Archimedes, that is, the force that pushes out of the water, since the gummigut particles are in the water, and not in the air, is about 10-14 grams. And if this grain is 165 million times larger than the oxygen molecule, therefore, the mass of the oxygen atom is 5.33 * 10-23 grams. And this is already, as can be learned from comparisons of the masses of hydrogen and oxygen (taking into account that there are 2 atoms in the oxygen molecule, since it is a gas) 32 times more than the mass of hydrogen, therefore, the mass of the hydrogen atom is 1,674 * 10-27 kg, that is, 1 gram of hydrogen already contains 597,371,565,113,500 597 371 565 114 hydrogen atoms! And so, it was already possible to compare the mass of the atom with A. E. M., having obtained that the mass of the hydrogen atom is 1.007825 A. E. M. It was in this way that Perrin was able to do the seemingly impossible — to weigh atoms and molecules, and now atoms and molecules were not a fairy tale, but a real science with precise calculations, formulas and instructions!
And even Oswald, an ardent opponent of the atomistic theory, wrote in the preface to his chemistry course: "Now I am convinced that recently we have received experimental proof of the discontinuous, or granular, structure of matter — proof that the atomistic hypothesis has been searching in vain for hundreds and thousands of years. The coincidence of Brownian motion with the requirements of this hypothesis gives the right to the most cautious scientist to talk about experimental proof of the atomistic theory of matter. The atomistic hypothesis has thus become a scientific, well-grounded theory."
And finally, one could safely say that everything in this universe, from planets and stars, to you and me, to everything that the eye sees, consists of atoms, but how true was this statement? And perhaps scientists had to find other particles…
Images for Chapter 1
Chapter 2. Inside the atom and the features of the nucleus
The atom was considered indivisible for a long time, its very name means "indivisible", but over time, I still had to agree with the fact that the atom is divisible and has a structure, despite the fact that a lot of time has passed. The description of the further stages of the development of the physics of the atomic nucleus and elementary particles closely borders on various mathematical operations, detailed descriptions of which will no longer be given, as well as many simplifications to general theories, which would greatly increase the amount of information, and some "basics" have already been described in the previous introductory chapter. In the same chapter, the phenomena of radioactivity will be described using analysis using a complete mathematical apparatus.
The world of elementary particles, micro-objects and quanta is amazing in its structure, way of existence and laws. Knowing the structure of matter, one inevitably has to accept the fact that the structure of any matter in the vicinity itself is a separate world, as already mentioned. Today, the theory of atomism is already widely known, which believed that everything in the world consists of the smallest particles — atoms. And if for the first time these ideas began since the time of Leucippus, Plato, Aristotle and many other scientists of antiquity, in whose time these thoughts mostly did not go beyond philosophical conclusions. However, as in the days of such great scientists as Abu Rayhan Biruni, Abu Ali ibn Sina, Al-Khorezmi, Ahmad Al-Khorezmi and other scientists of the East.
So there was even a time when atomism was even banned. And finally, when Sir Isaac Newton himself, along with other scientists, defended this grandiose idea, it began to be recognized and active research in this area began. But for a complete victory and proof of the reality of the existence of atoms, it was necessary to present some experimental evidence. Many scientists like John Dalton, Dmitry Ivanovich Mendeleev, Jean Perrin and many others tried to conduct this experiment, until finally Jean Perrin conducted his experiment with gummigut emulsion. By drawing an analogy of the change in the number of gummigut particles with the change in atmospheric pressure in height, Perrin was able to determine the weight of an atom for the first time.
And after the atom was fully recognized as an existing particle, work began to determine its structure. And now, after a series of studies and experimental confirmations by such brilliant experimental scientists and theorists as John Thompson, Ernest Rutherford, Niels Bohr and many others, the structure of the atom has been determined. And today it is proved not only with the help of indirect experiments, but also with the help of direct experimental evidence, a vivid example of which is the presence of a real photograph of an atom today, that the atom has a clear and clear structure.
But how can we come to this structure? It is worth dwelling on this issue in a little more detail. As you know, all objects are electrified, exchange charges, but where are they located? If all bodies have charges, including dielectrics (albeit small), therefore, charges are present in the structure of matter. Matter, as has already been proven, consists of molecules, and those of atoms, therefore, charges are inside atoms.
And the story of the discovery of the structure of the atom begins in 1897, when Joseph John Thompson discovered electrons while studying electric current in gases. That is, when a current was passed in a tube in which there were two electrodes — the cathode and the anode, the cathode emitted some rays, the so-called «cathode rays», the honor of accurately determining the type of these rays belongs to Mr. Thompson, who, by deflecting them in a magnetic field, as well as accelerating them in an electric field, established that this nothing else but some particles emitted by the cathode, with a negative electric charge, which is why they were called electrons.
And subsequent studies have led to the conclusion that electrons are part of an atom and when they fly out under the influence of an electric field, this leads to the transformation of an atom into an ion. But an ordinary atom is electrically neutral, therefore, in order to balance this charge, there must be a part with a positive charge in the atom. That is, an atom consists of charges that interact in some way. How does this interaction appear and is this interaction an explanation of the behavior of atoms in chemical reactions, in reactions with absorption and emission of light with certain wavelengths. After all, atoms may well be light sources, the same discharged gas emits light with certain spectra, at strict wavelengths, and how is this explained with the help of these interactions?
To explain this, in 1902, Mr. William Thompson, better known as Lord Kelvin, proposed his model of the structure of the atom, and already John Thompson studied it in more detail, so this model is known as the Thompson model. This model was popular until 1904 and is better known as the «raisin pudding model». According to this model, the atom consists entirely of positive matter, and electrons are inside it, moving freely. And with the help of this model, it was quite possible to describe some of the results.
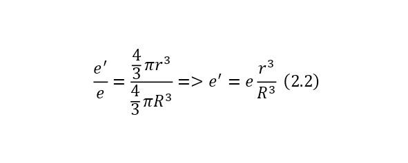
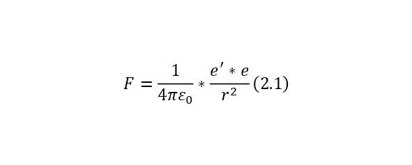
For example, you can describe a hydrogen atom. If we imagine a hydrogen atom in such a model, then the electron will «float» in a positive charge, but it will be pulled to the center of this positive «drop», due to the force of electrostatic equilibrium. If we assume that the electron departs from the center by a certain radius smaller than the radius of the atom itself, then it will be attracted by the mental sphere formed by this radius. But since it is charged uniformly, it can be concentrated in the center and simply written using the Coulomb formula (2.1).
And to determine the charge of an imaginary sphere formed inside a common large charge, you can use the ratio of this imaginary sphere to the entire sphere, and since the charge of the common sphere is already known and equal to the charge of the electron so that the atom is neutral, then the expression (2.2) is obtained, where the charge of the imaginary sphere is derived.
And if we already substitute this value for the Coulomb force, we get (2.3), a rather interesting expression that is directly proportional to the distance by which the electron moves away from the center.
