Все науки. №6, 2023. Международный научный журнал
Қосымшада ыңғайлырақҚосымшаны жүктеуге арналған QRRuStore · Samsung Galaxy Store
Huawei AppGallery · Xiaomi GetApps

автордың кітабын онлайн тегін оқу  Все науки. №6, 2023. Международный научный журнал

Все науки. №6, 2023

Международный научный журнал

Шрифты предоставлены компанией «ПараТайп»


Авторы: Алиев Ибратжон Хатамович, Насриддинов Отадавлат Усубжонович, Сайитов Шухрат Самидинович, Абдурахмонов Султонали Мукарамович, Рузибаев Навруз Иномжонович, Абдуллаев Жамолиддин Солиджанович, Мавлянов Аминжон, Хамзаев Дилшод Иномджонович, Хамзаев Иномжон Хамзаевич


Главный редактор Ибратжон Хатамович Алиев

Иллюстратор Ибратжон Хатамович Алиев

Иллюстратор Оббозжон Хокимович Кулдашов

Иллюстратор Султонали Мукарамович Абдурахмонов

Дизайнер обложки Ибратжон Хатамович Алиев

Дизайнер обложки Раънохон Мукарамовна Алиева

И. О. Научного руководителя Султонали Мукарамович Абдурахмонов

Экономический руководитель Фаррух Муроджонович Шарофутдинов

Экономический консультант Ботирали Рустамович Жалолов

Корректор Гульноза Мухтаровна Собирова

Корректор Абдурасул Абдусолиевич Эргашев





12+

Оглавление

ФИЗИКО-МАТЕМАТИЧЕСКИЕ НАУКИ

ВОПРОСЫ ОТНОСИТЕЛЬНО РЕШЕНИЯ В СПЕКТРАЛЬНОМ ПЛАНЕ В ОДНОМЕРНОМ СТАЦИОНАРНОМ ЛИНЕЙНОМ ДИФФЕРЕНЦИАЛЬНОМ УРАВНЕНИИ В ЧАСТНЫХ ПРОИЗВОДНЫХ ЭРВИНА РУДОЛЬФА ЙОЗЕФА АЛЕКСАНДРА ШРЁДИНГЕРА

УДК 150.145

Насриддинов Отадавлат Усубжонович

Старший преподаватель кафедры «Естественный наук» факультета компьютерного инжиниринга Ферганского филиала Ташкентского Университета Информационных Технологий

Ферганский филиал Ташкентского Университета Информационных Технологий, Фергана, Узбекистан

Аннотация. Невозможность интуитивного понимания самого различного спектра квантовых явлений сводит к необходимости использования перед всеми эмпирическими и экспериментальными действиями всех физико-математических методов. Одним из самым популярным и важных в данном ключе является линейное дифференциальное уравнение в частных производных, описывающее изменение в пространстве и во времени чистого состояния, задаваемое волновой функцией, в гамильтоновых квантовых системах для фотонных явлений выражаемое в стационарном состоянии.

Ключевые слова: уравнение Шрёдингера, стационарное состояние, спектральные задачи, квантование, дифференциальное уравнение, физико-математическое вычисление и моделирование.

Annotation. The impossibility of intuitive understanding of the most diverse spectrum of quantum phenomena reduces to the need to use all physical and mathematical methods before all empirical and experimental actions. One of the most popular and important in this vein is a linear partial differential equation describing the change in space and time of the pure state, given by the wave function, in Hamiltonian quantum systems for photonic phenomena expressed in a stationary state.

Keywords: Schrodinger equation, stationary state, spectral problems, quantization, differential equation, physical and mathematical calculation and modeling.

Перед представлением самого вопроса, стоит отметить представление самого одномерного стационарного уравнения Шредингера, являющееся линейным обыкновенным дифференциальным уравнением второго порядка (1), которое применяется в том числе и для решения задач спектрального плана при волновом моделировании фотонных явлений.

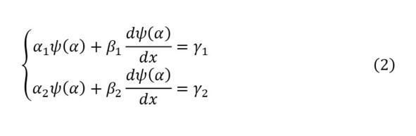
С целью решения такого подхода задач необходимо ввести граничные условия (2), в зависимости от постановки коих можно определить общее описание ситуации и при этом стоит обратить внимание на констатирование показателей (3).

Разумеется, можно было бы постараться определить общее решение, однако, к большому сожалению, это попросту невозможно и необходимо вводить те или иные граничные условия, которые сводятся из тех или иных условий. Яркий пример таких состояний — решение для свободной частицы, которая является по своей сути плоской волной. И если принять потенциальное уравнение для свободной частицы, в том числе и при принятии корпускулярной формы фотонов, можно получить уравнение (4).

Одним из частных решений является функция (5), выводимая через прямое решение дифференциального уравнения второго порядка.

В (4) константа Е может принимать практически все значения выше нуля, именно отсюда можно сделать вывод, что значения относятся к непрерывному спектру. Более того, для определения его границ необходимо использовать интегральное уравнение (6), откуда и получается получаемая константа С из (5).

Отсюда и получается значение (7).

...