Все науки. №9, 2024. Международный научный журнал
Қосымшада ыңғайлырақҚосымшаны жүктеуге арналған QRRuStore · Samsung Galaxy Store
Huawei AppGallery · Xiaomi GetApps

автордың кітабын онлайн тегін оқу  Все науки. №9, 2024. Международный научный журнал

Все науки. №9, 2024

Международный научный журнал

Шрифты предоставлены компанией «ПараТайп»


Авторы: Алиев Ибратжон Хатамович, Ибрагимов Дониёр Давронбекович, Абдурахмонов Султонали Мукарамович, Кулдашов Голибжон Оббозжонович, Абдуллаев Жамолитдин Солижанович, Нурманов Сувонкул Эрханович, Якубов Юлдош Юсуфбоевич, Иброхимов Жохонгир Анваржонович, Икрамов Фарход Актамович, Илясов Шаҳруҳ Бурҳанович, Қулдошева Шаҳризода Нурали қизи, Сабриддинова Кибриё, Гаффарова Гулчеҳра Гуламжановна, Беркинов Ойбек Тоҳир ўғли


Главный редактор Ибратжон Хатамович Алиев

Редактор Миродилжон Хомуджонович Баратов

Редактор Гулчехра Ғуламжановна Ғаффарова

Иллюстратор Фарходжон Анваржонович Иброхимов

Дизайнер обложки Раънохон Мукарамовна Алиева

Дизайнер обложки Ибратжон Хатамович Алиев

Технический директор Султонали Мукарамович Абдурахмонов

Экономический директор Ботирали Рустамович Жалолов

Корректор Гулноза Мухтаровна Собирова

Корректор Дилноза Орзиқуловна Норбоева





12+

Оглавление

ФИЗИКО-МАТЕМАТИЧЕСКИЕ НАУКИ

О ВОЗДЕЙСТВИИ ПУЧКОВ ЭЛЕКТРОНОВ И ГАММА-КВАНТОВ НА СОЛНЕЧНЫЕ ЭЛЕМЕНТЫ НА ОСНОВЕ КРИСТАЛЛИЧЕСКОГО КРЕМНИЯ В КОСМИЧЕСКИХ УСЛОВИЯХ

УДК: 51—71

1Ибрагимов Дониёр Давронбекович, 2Алиев Ибратжон Хатамович, 3Абдурахмонов Султонали Мукарамович

1Андижанский машиностроительный институт, 170019, Республика Узбекистан, Андижанская обл., г. Андижан
2НИИ «ФРЯР», ElectronLaboratoryLLC, 151100, Республика Узбекистан, Ферганская обл., г. Маргилан

3Ферганский политехнический институт, 150100, Республика Узбекистан, Ферганская обл., г. Фергана

Аннотация. В работе описано исследование взаимодействия солнечного элемента на основе кристаллического кремния с потоком электронов и гамма-квантов. Для описания взаимодействия использовалась модель анализа резонансных ядерных реакций с расширенной формой анализа. Согласно произведённому теоретическому и эмпирическому исследованию, доказано, что изменений в структуре исследуемых материалов не наблюдаются, как и проявлений с точки зрения фотоэффекта. В заключении приведено описание полученных теоретических результатов.

Ключевые слова: облучение, уравнение ядерной реакции, состав космического излучения, квант, энергия гамма-кванта.

Введение. Космическое излучение, состоящее из целого спектра различных составляющих, в фотонном виде — из инфракрасного, видимого, ультрафиолетового излучения, в волновом спектре — из рентгеновского излучения и гамма-квантов с различными энергиями и в корпускулярном формате — из частиц различных типов: протонов, электронов, дейтронов, тритонов, альфа-частиц, различных ионов и других с различными энергиями, является на сегодняшний день одним из важных объектов для изучения [1, 3]. Проблемы структуры и состояния космических лучей исследуется со стороны многих научно-исследовательских центров, для этого разработаны и размещены на космических орбитах различные научно-исследовательские конструкции в виде спутников, космической станции или зонтов [2; 4—5].

В каждом из представленных конструкций используются в качестве источника энергии солнечные батареи на основе различных технологий. Известно, что солнечные элементы изготавливаются в различных технологиях, их разделяют по структуре на состоящие из кристаллического кремния, аморфного кремния и арсенида галлия. В основном в космических конструкциях используются кремниевые кристаллические солнечные элементы, так как их эффективность более высокая, чем у остальных вариантов. Солнечные элементы, изготовленные на основе арсенида галлия, имеют наиболее высокую КПД, но являются дорогостоящими [3—5; 8—9; 12].

На сегодняшний день, исследования, проведённые на орбите, дали не мало информации о воздействии космического излучения к используемым конструкциям. В этих работах осуществлены исследования по определению степени опасности космического излучения для человеческого организма. [5—8; 10—11]. Также имеются определённые исследования по возможному отражению космического излучения, создавая электромагнитные зеркала при помощи отдельного подбора соответствующей конструкции [12; 17]. Однако, солнечные панели присутствуют в космосе без дополнительных систем защиты и ограничителей, поскольку каждое ограждение или защита не только требует дополнительной энергии, также воздействует на эффективность солнечных панелей [13—15].

Для сравнения, по результатам проведённого исследования 2011—2013 года, доза излучения, набираемая человеком на протяжении его полёта в 180 дней на Марс, что экспериментально было определено посредством направления зонда, составило критические 500 мЗв, что сопоставимо с 500 днями проживания на Марсе. На космической станции, на протяжении работы в 6 месяцев, что также было установлено в ходе этого исследования, облучение составляет чуть больше 90 мЗв, что для сравнения в 4,5 раза больше, чем доза излучения, получаемая сотрудниками в радиационной промышленности, поскольку она составляет 20 мЗв [16; 19—22].

Не маловажным является изучение вопроса о степени отрицательного влияния, наносящаяся различным конструкциям, в том числе энергетическим установкам со стороны космического излучения. Отрицательно влияние на параметры солнечных панелей со стороны корпускулярного излучения в лице тяжёлых ядер — протонов, дейтронов, альфа-частиц и иных установлен теоретически и экспериментально. Поскольку вероятность начала с их стороны одного или нескольких каналов ядерной реакции весьма велики, что также доказывают эксперименты на ускорителях [5; 6—8]. Дополнительным подтверждением этому служат работы, посвящённые вопросам экранирования космических аппаратов [19; 22].

Остаётся на данный момент открытым вопрос степени воздействия на солнечные батареи и энергетические установки быстрых, а также заторможённых электронов, гамма-квантов различной энергии, в том числе фотонов с малыми энергиями на солнечные батареи [3]. Определение степени их влияния позволит изучить процентное соотношение различных типов излучения, где в преобладающем большинстве являются гамма-кванты различных энергий, далее идут протоны, затем электроны и завешают структуру в малой дозе, дейтроны, тритоны, нейтроны, альфа-частицы и прочие тяжёлые ионы [23—24]. Исходя из представленного, можно сделать заключение о том, что задача установления степени воздействия в отличие от корпускулярного тяжёлого излучения, электронов и гамма-квантов с различными энергиями является актуальным.

Методы и материалы исследования

В ходе исследования использован метод анализа литературы, анализа резонансных ядерных реакций, а также метод анализа взаимодействия гамма-квантов с мишенью. В качестве материалов исследования использованы общедоступные данные относительно масс использованных во взаимодействии частиц, энергий, результатов эмпирических исследований.

Исследование

Исследования основывается на анализе облучения мишени быстрыми электронами и гамма-квантами. Постановка задачи запускается с первоначального рассмотрения ситуация облучения потоком электронов с различными энергиями, в том числе приближёнными к резонансным, а позже множества гамма-квантов пластины из кристаллического кремния.

1. Облучение пучком электронов кристаллического кремния

Для исследования, необходимо представить форму выражения (картежа) ядерной реакции облучения (1).

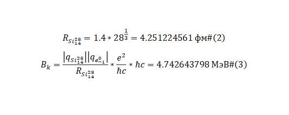
Из выражения наглядно видно, что в реакции участвуют ядра кремний-28 с массой в 27,976926535055 а. е. м., магний-27 с атомной массой в 26,984340655 а. е. м., магний-28 в 27,983875432828 а. е. м., алюминий-27 — 26,98153841555 а. е. м., магний-26 — 25,98259297333 а. е. м., магний-25 — 24,98583697555 а. е. м., натрий-24 — 23,9909630121818 а. е. м. и алюминий-28 — 27,98191009888 а. е. м. Для продолжения анализа первоначально необходимо определение радиуса ядра-мишени (2), откуда возможно вычисление кулоновского барьера ядра (3) — минимальной энергии, необходимая для запуска ядерной реакции всех каналов от второго номера, по причине, что первый канал — канал рассеяния Резерфорда.

Исходя из определённых параметров стало возможно вычисление критической скорости пучка электронов (4), которая достаточно близка к скорости света и составляет 99,52272948% от скорости света

Электроны с указанными энергиями, являются идеальным для проведения ядерной реакции во всех каналах. Среди каналов наглядно наблюдается анализируемый канал рассеяния Резерфорда, частицы, как правило при бомбардировке действуют по нему с определённой вероятностью, то есть часть пучка рассеивается на ядре. Остальная часть частиц могут запустить один из каналов реакции, либо несколько каналов, в редком случае, если пучок не подошёл ни к одному из каналов в отличие от рассеяния Резерфорда, то устанавливается утверждение, что пучок проходит пластину насквозь, без взаимодействия.

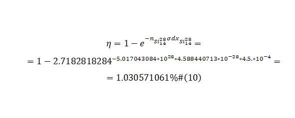
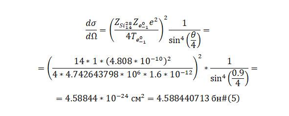
На данный момент, необходимо определить вероятность первого канала — рассеяния Резерфорда, для чего вычисляется его ядерное дифференциальное эффективное сечение (5).

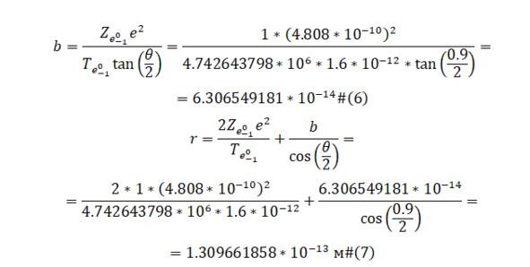
Одним из аспектов неупругого взаимодействия, которым является первый канал является степень приближения пучка к ядру. Для вычисления расстояния приближения определяется коэффициент приближения (6), а после минимальная дистанция между пучком и ядром на момент достижения критической скорости (7).

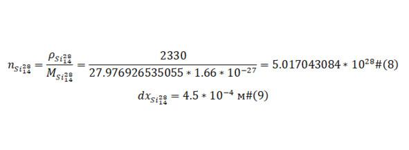
Из полученного значения наглядно видно, что критического приближения по крайней мере до радиуса действия ядерных сил в 10—15 м не наблюдается. Для вычисления процентного соотношения частиц, действующие согласно кулоновскому рассеяния могут быть определены исходя из свойств пластины, а именно из плотности ядер кристаллического кремния (8), а также толщины пластины (9).

Заданные параметры становятся основной для вычисления указанного процентного соотношения (10).

Из всего количества налетающих частиц, вне зависимости от тока 1,030571061% подвластны рассеянию Резерфорда. Для рассмотрения канала, действующее в данном случае, необходимо проведение анализа выхода отдельно взятого канала (11—17).

Исходя из анализа стало наглядно видно, что ни в одном из случаев вылета протона, позитрона, нейтрона, дейтрона, тритона и альфа-частицы, а также в случае слияния электрона с ядром кристаллического кремния с образованием ядра алюминия-28 не являются возможными и де

...