автордың кітабын онлайн тегін оқу Следующие 500 лет: Как подготовить человека к жизни на других планетах
Все права защищены. Данная электронная книга предназначена исключительно для частного использования в личных (некоммерческих) целях. Электронная книга, ее части, фрагменты и элементы, включая текст, изображения и иное, не подлежат копированию и любому другому использованию без разрешения правообладателя. В частности, запрещено такое использование, в результате которого электронная книга, ее часть, фрагмент или элемент станут доступными ограниченному или неопределенному кругу лиц, в том числе посредством сети интернет, независимо от того, будет предоставляться доступ за плату или безвозмездно.
Копирование, воспроизведение и иное использование электронной книги, ее частей, фрагментов и элементов, выходящее за пределы частного использования в личных (некоммерческих) целях, без согласия правообладателя является незаконным и влечет уголовную, административную и гражданскую ответственность.
Посвящается людям и другим существам, сознающим собственную уязвимость
Особая благодарность доктору Мэтью Маккею.
Доктор Мэтью Маккей не только подготовил прекрасные рисунки для этой книги, но и стал верным помощником в проработке деталей того прогноза, который здесь представлен. В ней обрисованы наши надежды и показано, что можно и что необходимо сделать ради нашего вида и всех прочих, за которые мы в ответе (в прошлом, настоящем и будущем). Мэтью безмерно помог мне как редактор, соавтор, собеседник и провидец. Хотя речь идет о будущем биотехнологии, генной инженерии и методах сохранения генетической информации, представленные идеи уходят корнями в опубликованные и пока что необнародованные работы доктора Маккея. Многие концепции для клеточной инженерии, биологических схем и проектов планетарного масштаба уже получили теоретическое обоснование в опубликованных Маккеем статьях и алгоритмах. Эта книга не появилась бы без его путеводных подсказок и научного предвидения.
Введение.
Эмбриогенез человечества
В каждый нейрон человеческого мозга вплетено наше общее наследие — генетический код предков. Он записан в молекуле дезоксирибонуклеиновой кислоты (ДНК), которая успешно защищает и сохраняет всю сложность и красоту, заложенную в живых существах. Именно в ДНК содержится тот рецепт, по которому синтезируются тело и мозг человека. Того самого человека, чьи идеи и технологии позволили дотянуться до других планет и создать космический корабль, вышедший за пределы звездной системы, в которой существует человечество. Вот фундаментальная идея, которая легла в основу этой книги: естественные для человека как биологического вида способности, а именно изобретательность и креативность, позволили нам сконструировать ракеты и космические аппараты, добравшиеся до других планет. Ровно эти же способности потребуются для создания и выращивания организмов, которые могли бы постоянно проживать на других планетах.
Экспедиции к другим планетам, а также идеи глобального преобразования планет — это святая обязанность человечества, логично проистекающая из нашего уникального когнитивного и технологического потенциала. Ни один другой известный вид даже теоретически не может так эффективно извлекать пользу из осознанной неотвратимости смерти и из того, что преемственность сознания возможна только в результате передачи опыта от поколения к поколению. Насколько нам известно, только люди осознают, что наш вид может вымереть и что даже сама Земля не вечна. Следовательно, мы одни в состоянии активно оценивать риск вымирания (и купировать его) и заботиться не только о себе, но и о других живых существах. Это необычно. Большинство обязанностей в жизни можно осознанно брать на себя или не брать, но с этой все иначе. Осознание смертности вида — и необходимость не допустить его вымирания — вот единственная обязанность, превратившаяся в лейтмотив сразу же, как была осмыслена.
Просто дух захватывает от того, какую ответственность, силу и какие возможности мы приобретаем как пастыри Вселенной и охранители всего живого. Ведь наш долг перед мирозданием буквально заключается в сбережении жизни. Иначе говоря, мы должны предотвратить вымирание не только нашего вида, но и всех тех видов, от которых мы зависим, и тех, что оказались или могут оказаться на грани исчезновения. Это касается всех современных, будущих и ранее существовавших видов (нам придется научиться воскрешать их). Такой долг лежит не только на нас, но и на любом виде, который может вмешиваться в собственную биологию. Даже если наш вид не выживет, то этот долг перейдет к другим мыслящим существам, которые, несомненно, возникнут.
Независимо от того, кто будет населять Вселенную миллиарды лет спустя (мы или кто-то другой), жизнь не может ограничиваться пределами Земли, поскольку рано или поздно Солнце поглотит Землю, станет белым карликом и погибнет. Земля пока единственная известная нам планета, на которой можно жить, и если так все и останется, то она же станет нашей могилой. Следовательно, для нас жизненно важно добраться до других планет, обжить их, а далее обжить и планеты в других звездных системах, чтобы долг человечества выполнялся в будущем. Для этого необходимо задействовать всевозможные технологические, физические, фармакологические и медицинские защитные средства, которые известны сейчас и могут быть открыты в будущем. Сейчас — впервые в истории — мы можем прибегнуть к защите и на генетическом уровне. В рамках морального долга защитить и сохранить все живое мы в конечном итоге должны перейти к инженерии организмов. Пока в результате биологической эволюции жизнь существует только в пределах нашей родной планеты. Поэтому мы, равно как и все другие живые существа, нуждаемся в масштабной физической и генетической поддержке, чтобы выжить где-либо еще. Причем чтобы не только выжить, но и просто прибыть к нашему ближайшему пункту назначения.
Если отправить на другую планету любой организм, сформировавшийся на Земле, то он практически наверняка погибнет — и это прямо следует из печального общего вектора эволюции «авось выплывет». Этот путь не самый хороший, и мы не можем им ограничиваться. Сегодня мы знаем достаточно для модифицирования, подстраивания и проектирования жизни таким образом, чтобы повысить шансы на выживание или создать совершенно новые адаптивные возможности и механизмы. Наконец-то эволюция породила организм, способный направлять и проектировать биологическое развитие, причем не только собственное. Данный этап «направленной эволюции» всего живого, опирающийся на ранее существовавшие, имеющиеся и еще не сформировавшиеся генетические субстраты, — важнейший шаг для сохранения жизни как таковой.
Чтобы спасти жизнь, необходимо ее доработать. Кстати, люди уже неосознанно вмешиваются в развитие жизни и направляют эволюцию, пришло время делать это намеренно, видя в этом вектор и цель. Опираясь на уроки генетики, извлеченные из истории всех организмов, в течение миллиардов лет населявших Землю, мы разработали немало технологий, дающих такие возможности. Многие из них описаны в этой книге. Наша собственная ДНК несет в себе обрывочное наследие былой жизни и современный генетический материал, а также постоянно меняется в процессе непрерывной эволюции, ведущей в будущее.
По мере того как синтетическая биология и синтез ДНК становятся дешевле, мы начинаем мечтать даже о возрождении когда-то вымерших видов, а также представлять пути создания химерных или гибридных существ. Эти вопросы также рассматриваются в книге. Более того, изучение экстремофилов (организмов, существующих в крайне суровых экосистемах) позволяет выявлять новые способы адаптации к условиям, напоминающим инопланетные. Такие эксперименты уже ставят в лабораториях, например пытаются получать стабильные культуры клеток человека с генами тихоходок [1] и изучают их свойства. Такие технологии и новые методы должны помочь людям и другим организмам уцелеть в ранее совершенно непригодных для жизни условиях, в частности при запредельных уровнях радиации, давления или при экстремальных температурах.
Этот долг человечества — сохранить жизнь — столь же естественен, как деление клеток. В настоящий момент человечество столь же уязвимо, как одноклеточный эмбрион. Мы — эмбрион с грандиозным потенциалом, но пока находимся в самом начале развития и ограничены пределами своей родной планеты. Наш следующий шаг — переселение на одну из ближайших планет (например, на Марс) и ее освоение с целью заложить основы «запасного плана» для всего живого, включая человечество. Это станет моментом торжества, когда марсианские первопроходцы будут усталым взглядом провожать далекое солнце, садящееся за пыльный горизонт, и наблюдать голубоватые из-за дифракции света в тонкой марсианской атмосфере закатные лучи. Тогда мы наконец сможем считать своим домом не одну, а две планеты в пределах одной звездной системы.
Спустя десятилетия мы обживем многие небесные тела в пределах Солнечной системы. Технический прогресс и возможность проверять теории во множестве миров позволят нам собраться в первую межзвездную экспедицию примерно к 2500 г. Став межзвездным видом, мы фактически сможем перейти к освоению «резервной звездной системы», радикально снизив вероятность одновременного вымирания всего живого. Правда, здесь неизбежно возникают вопросы: сколько будет звезд, к которым мы отправимся? как их выбирать? насколько далеко мы готовы лететь? А будь у нас достаточно времени, хотелось бы ответить и на фундаментальные философские вопросы о бесконечном расширении или неизбежном коллапсе нашей Вселенной, ну и, конечно, предполагает ли широкое толкование нашего долга вмешательство в физическую структуру самой Вселенной. Эти вопросы также будут затронуты в данной книге.
Когда приходится решать, что лучше — искусственная жизнь или неизбежная смерть, выбор очевиден. Чтобы избежать вымирания, нам необходимо освоить инженерию в генетическом, клеточном, планетарном и межзвездном масштабе. Так мы сохраним человечество и прочие организмы, которые в следующей Вселенной могут и не возникнуть. Уникальный моральный долг нашего вида — это долг перед Вселенной и жизнью как она есть. Чтобы сберечь Вселенную, мы должны ее изменить.
Для этого необходим долгосрочный план. В этой книге мы рассмотрим первые 500 лет его реализации, поговорим, что нам известно из жизни бактерий, вирусов и целых планет, а также из опыта первых космонавтов и астронавтов, раздвигавших границы возможностей человека при освоении космоса.
1. Тихоходки — микроскопические беспозвоночные животные, способные оживать после многолетнего анабиоза, в который они впадают, «высушиваясь». — Прим. науч. ред.
1
Генетика и космонавтика: начало
340 дней к моей коже ничего не прикасалось… а сейчас любое прикосновение обжигает.
Скотт Келли,
астронавт
Мы находились в кольце мониторов, пестрящих молекулярными и генетическими данными, а также всевозможной телеметрией, — и все как один недоумевали и волновались. Просто глазам поверить не могли.
«Вы когда-нибудь видели, чтобы показатели у человека так зашкаливали? — спросил доктор Сем Мейдан. — Как он вообще выжил?»
Дело было морозным декабрьским вечером в Нью-Йорке, заканчивался 2017 г. Мы собрались в генетической лаборатории в Медицинском колледже Вейля при Корнеллском университете. Только что был закончен интегрированный анализ всех молекулярных данных (ДНК, РНК, белки, малые молекулы), взятых у капитана Скотта Келли, вернувшегося из самой долгой космической экспедиции в истории NASA. Он провел на орбите почти целый год (340 дней кряду). Долгосрочный космический полет Келли проводился в рамках уникального эксперимента NASA под названием Twins Study, в котором участвовали два астронавта, являющихся однояйцевыми близнецами, — Марк и Скотт Келли. Эксперимент должен был показать отличия состояний человеческого организма до, во время и после годичного космического полета. Эксперимент выполнялся с участием 10 исследовательских команд со всех уголков США. Наша лаборатория занималась анализом генетических, эпигенетических, микробиологических показателей, а еще мы изучали экспрессию генов. У нас были исчерпывающие молекулярные и генетические данные по результатам того времени, что Скотт провел в космосе, и мы могли сравнивать их с аналогичными данными Марка, остававшегося на Земле. Перед нами стояли следующие задачи: 1) оценить, что произошло со Скоттом за время столь долгого полета; 2) изучить изменения, чтобы в дальнейшем ориентироваться на них при подготовке пилотируемой экспедиции к Марсу; 3) спланировать, как снизить для других астронавтов те риски, которые будут выявлены.
Было ясно, что организму Скотта пришлось несладко и он был вынужден заново привыкать к вернувшемуся тяготению. Сам Скотт описал пережитые мытарства в книге «Стойкость: Мой год в космосе» [2]. «Лодыжки у меня распухли, как баскетбольные мячи, — отмечал он в удивительно спокойной манере, — хотелось только в больничку».
Несмотря на желание поскорее попасть в интенсивную терапию, ему была понятна причина таких перемен в организме: еще бы, он ведь только вернулся из космоса! Но иммунитету от этого понимания не легче. Скотт покрылся сыпью, страдал от зуда при прикосновении. Даже обычная одежда казалась ему тяжкой ношей, давящей под действием гравитации и вызывающей раздражение кожи. Мы судили об иммунном ответе по молекулярным показателям его анализов крови. Особенно заметно изменились белки и экспрессия генов (синтез РНК). Тем не менее все в изумлении глядели на мониторы… Может быть, такая реакция — это нормальная обратная адаптация к тяготению? Не придется ли из-за этого менять планы на экспедицию к Марсу?
«Это самые высокие уровни маркеров воспаления и цитокинового стресса, какие я видел, — сказал я, — надо бы еще раз проверить эти данные».
Мы провели проверку вместе с доктором Скоттом Смитом из NASA, который руководит отделом по биохимическому анализу состояния астронавтов (как наших близнецов, так и других), и он подтвердил, что все верно. А также добавил: «Это наивысшие значения, которые я когда-либо видел». Образцы обрабатывались в двух экземплярах для верности, и наши результаты совпали с расчетными. Хотя воспаление — одна из нормальных реакций организма на стресс, в случае капитана Келли возврат в земную гравитацию спровоцировал небывалый всплеск маркеров (рис. 1.1).
Рис. 1.1. Как показал эксперимент Twins Study, у братьев Келли значительно отличалась экспрессия многих цитокинов. Черным цветом показана экспрессия цитокинов у Скотта Келли, а серым — у его брата Марка, остававшегося на Земле. Пунктирными линиями отмечено, когда Скотт отправился на МКС и когда вернулся на Землю. Уровни цитокинов нормализованы по их медианной экспрессии для обоих братьев на всем протяжении полета. Таков, например, CXC-хемокин 5, играющий важную роль при ремоделировании тканей. Всплеск содержания других молекул наблюдался прежде всего по возвращении на Землю — это касается антагониста рецептора интерлейкина-1 (IL-ra1), C-реактивного белка (CRP), участвующего в воспалительных процессах, а также тиреотропного гормона (ТТГ).
В частности, после возвращения на Землю у него фиксировались запредельные уровни антагониста рецептора интерлейкина-1 (IL-ra1) — важнейшего естественного противовоспалительного белка. То же касалось других цитокинов (интерлейкина-6, интерлейкина-10) и C-реактивного белка (CRP). Зашкаливал и цитокин CCL-2 (цитокины — это белки, служащие для передачи сигналов от одних клеток к другим), подтягивающий иммунные клетки к ранам или очагам инфекции.
Мы быстро прошерстили весь массив научной литературы, и в частности медицинские журналы: хотели выяснить, наблюдались ли у кого-нибудь показатели, близкие к этим. В особенности нас интересовал IL-ra1 (у Келли > 10 000 пг/мкл). Ближайшие значения по IL-ra1, которые нам удалось отыскать, наблюдались у пациентов, только что перенесших инфаркт миокарда (статья 2004 г., Patti и др.). Пиковые значения интерлейкина-10 фиксировались у пациентов, выживших после сепсиса.
Несмотря на дискомфорт, вызванный возвращением на Землю, Скотт почти сразу же отправился в бассейн, а в течение нескольких дней вернулся к нормальной жизни. Однако у него радикально изменился не только уровень этих биомаркеров. Изменения наблюдались в разных тканях — костях, крови, а также на уровне ДНК и РНК. Нам выпал беспрецедентный шанс изучить его организм во всех деталях — от каждого нуклеотида в генетическом коде до клеточных реакций во всем теле, вылившихся в фенотипические изменения. Большинство из этих показателей были новыми и ранее не измерялись даже у астронавтов. Келли был первым из астронавтов, которому составили полный генетический профиль (секвенировали геном), а также проверили другие характеристики (рис. 1.2). По этим данным мы старались предположить, что же происходит с человеком, прожившим год в космосе.
Рис. 1.2. Платформа для мультиомиксного отслеживания здоровья астронавтов в клиническом разрезе. Выделены представители четырех когорт, бывших под наблюдением: астронавты, онкобольные, пациенты, получавшие иммунотерапию, и обычные пациенты. В каждом примере подчеркнуты свои омические данные, которые могут использоваться при регулярном мониторинге и дальнейшем отслеживании. Молекулярные взаимодействия между омическими категориями показывают, что все эти измерения необходимо интегрировать в рамках единой платформы.
Ущерб для ДНК
Первым делом мы проверили, как на Скотта повлияла радиация. Жесткое излучение может повреждать ДНК, клетки, белки, а также нарушать работу механизмов, регулирующих функционирование клетки. Галактические космические лучи рождаются в звездах, т.е. за пределами нашей Солнечной системы. Кроме того, есть высокоэнергетические частицы, испускаемые нашим Солнцем. Оба этих потока частиц пронизывали тело Скотта. Подобно микроскопическим пулям, частицы оставляют за собой разрушения. Потоки этих частиц обычно состоят из высокоэнергетических протонов, ядер гелия, а также высокоэнергетических ионов, именуемых HZE-ионами, где H означает «высокий», Z — «атомный номер», а E — «энергия». Вредоносное воздействие таких лучей на организм астронавтов впервые наблюдали в 1969 и 1970 гг., когда Нил Армстронг, слетавший на Луну и обратно, специально обертывал лодыжки фольгой с чувствительным слоем, в котором оставались следы HZE-частиц. Рисунок на этих детекторах напоминал снимки столкновения атомов в ускорителях частиц. Правда, в данном случае «ускоритель» выстреливал HZE-частицы, а мишенью, к сожалению, было человеческое тело.
Как правило, днем HZE-частицы остаются незамеченными, но, когда на МКС Скотт закрывал глаза, погружаясь в сон, он видел вспышки света, будто у него под веками проносились падающие звезды. Истинной причиной такой волшебной иллюминации были как раз HZE-частицы, бомбардировавшие сетчатку и проходившие прямо через глаза. Вместо колыбельной Скотт мог засыпать под такой прекрасный фейерверк, но расплачиваться за это приходилось сетчаткой, на которой не оставалось живого места [3].
Учитывая это, мы волновались, что же обнаружится в организме Скотта после столь долгого полета. Как оказалось, нас ждали сюрпризы. Например, мы ожидали, что его теломеры под действием излучения и стресса, сопряженного с космическим полетом, будут рваться и укорачиваться (теломеры — это концевые участки хромосом, которые, как правило, укорачиваются при старении организма). Кроме того, на длину теломер влияет рацион и уровень стресса. По мере исчезновения теломер хромосомы теряют стабильность, что, в свою очередь, активизирует старение на молекулярном уровне. Доктор Сьюзен Бейли как раз занималась этим вопросом, и мы отправили ей в лабораторию часть анализируемой нами ДНК, а также позаимствовали у нее лабораторные образцы — для контроля.
Неожиданные эффекты космического полета
Как ни странно, теломеры у Скотта за время пребывания в космосе удлинились, что полностью противоречило нашим ожиданиям. Мы перепроверили оба контрольных набора ДНК — из лаборатории Бейли и из нашей — и убедились, что теломеры действительно стали длиннее. Наиболее выраженным это явление оказалось в одном из типов иммунных клеток, так называемых T-клетках (преимущественно в T-клетках категории CD4+, также такие изменения прослеживались в клетках категории CD8+). Менее выраженное удлинение теломер наблюдалось в B-клетках (категория CD19+). Поскольку эти результаты подтвердились на множестве реплицированных образцов, вытяжек, в разных лабораториях и с применением разных методов (флуоресцентная гибридизация in situ, ПЦР, нанопоровое секвенирование), мы сочли результаты корректными.
Однако сразу же возникли вопросы «как?» и «почему?». Мы изучали другие собранные данные, пытаясь осмыслить эту аномалию. Процесс поддержания теломер обычно коррелирует с потерей веса, а Скотт за время экспедиции похудел примерно на 7% — поскольку условия работы на МКС очень суровые. Помимо прочего, он ежедневно делал зарядку, питался продуктами с улучшенными питательными свойствами, не употреблял алкоголь. Можно сказать, что в космосе у него был более здоровый образ жизни, чем на Земле. Кроме того, с поддержанием теломер связан метаболизм фолиевой кислоты, а уровни фолиевой кислоты в крови Скотта за время полета также выросли. За время экспедиции Скотт подрос на 5 см. Кроме того, в космосе скорость его движения была ближе к скорости света, чем на Земле.
Когда мы обнародовали эти результаты, многим они показались захватывающими, и нас спрашивали: «Так что же, в космосе скрыт источник молодости? Можно ли подрасти и омолодиться, если слетать в космос?» В каком-то смысле — да.
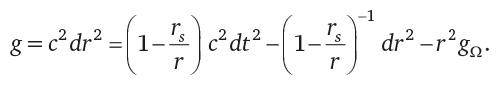
Во-первых, требовалось изолировать все переменные и учесть, а что еще произошло со Скоттом. Взять, например, фактор приближения к скорости света: Скотт во время полета перемещался в среднем со скоростью 7,68 км/c. Это достаточно много, чтобы на человеческом организме начали сказываться эйнштейновские релятивистские эффекты и замедление времени. Чем ближе к скорости света та скорость, с которой движется объект, тем сильнее замедляется время. Для движущегося объекта время течет медленнее, чем для других объектов, находящихся в стационарной системе координат. Это явление зависит от нескольких факторов, которые можно вводить в уравнение Эйнштейна/Шварцшильда, предполагая, что:
- dr = 0 (мы остаемся на окружности с неизменным радиусом) и df = 0 (остаемся в одной и той же орбитальной плоскости);
- МКС движется со скоростью 7,68 км/c, а радиус орбиты МКС составляет 400 км от поверхности Земли;
- Изменения, произошедшие с Марком Келли (dtMK), остававшимся на Земле, относительно изменений со Скоттом Келли (dtSK), находившимся на МКС.
В полном уравнении также содержатся координаты кошироты (тета), скорость света (c), а также гравитационная метрика между двумя сферами. Уравнение в целом выглядит так:
Как следует из этого уравнения, Скотт помолодел примерно на 0,1 сек. относительно всех, кто остался на Земле, в том числе стал моложе своего брата. Скотт родился через 6 мин после Марка, а проведя год в космосе, отыграл у брата еще примерно 0,1 сек. Правда, хотя в буквальном смысле он действительно стал моложе, чем если бы провел это время на Земле, этот фактор вряд ли существенно повлиял на увеличение его теломер.
Мы это знаем, так как наблюдали в его организме изменения еще по многим другим биологическим модальностям, например изменение экспрессии генов (включение или выключение генов либо снижение или увеличение их активности). У нас тысячи генов, экспрессия которых меняется каждый день, поэтому неудивительно, что мы могли наблюдать изменения в работе генов Келли, когда он отправился в космос и когда вернулся на Землю. Эти изменения коснулись, в частности, тех генов, которые отвечают за восстановление ДНК и клеточное дыхание. Иммунная система Келли работала очень активно, в том числе когда впервые в истории он получил прививку от гриппа, находясь на орбите. Кроме того, наблюдались признаки гиперкапнии — это состояние, возникающее при перенасыщении крови диоксидом углерода. При гиперкапнии ощущается головокружение и головная боль — и действительно, в своей книге Скотт упоминает об этом. Он отметил, что у него болела голова из-за того, что в крови прыгал уровень диоксида углерода. Всякий раз, когда на МКС выходили из строя установки для очистки воздуха от углекислоты, Скотт жаловался на усиление головных болей.
Мы проанализировали уровни содержания углекислого газа в воздухе на космической станции. Хотя некоторые флуктуации действительно наблюдались, они были не слишком серьезными и не должны были приводить к физиологическим изменениям. Нам пришлось искать другие причины. Оказывается, дыхание в невесомости происходит не так, как на Земле. В частности, при каждом выдохе на МКС у вас перед лицом образуется небольшое облачко CO2, которое не рассеивается, если только вы не отплывете в сторону или не сдуете его феном. Соответственно, некоторые изменения, которые мы наблюдали в крови Скотта и которые, надо полагать, прослеживаются и в крови других астронавтов и космонавтов, связаны именно с высокой концентрацией CO2 у самого лица. Такая «атмосфера» более напоминает венерианскую, чем земную.
Также мы рассмотрели динамику микробиома у Скотта. Микробиом — это совокупность микроорганизмов (бактерий, вирусов, грибков и других клеток, не являющихся человеческими), обитающих в нашем теле. Нас интересовало, что произошло с микробиомом в ходе космического полета. Мы наблюдали некоторые изменения в соотношении определенных видов, в частности фирмикутов и бактероидов [4] (соотношение F/B). Для этого использовались результаты анализа кала Келли, проведенного докторами Стефаном Грином, Фредом Туреком, Мартой Хотц Витатерной, а также наши собственные результаты анализа мазков с кожи и из полости рта. Общее биоразнообразие в целом сохранилось, и это хорошо. Эти показатели в конце концов вернулись в норму, поэтому никакого «пожара» на уровне микробиома не случилось.
Молекулярный состав крови Скотта имел некоторые особенности. Количество митохондрий, которые обычно находятся внутри клеток и отвечают за клеточное дыхание (т.е. буквально обеспечивают поступление в клетки кислорода и энергии), достигло в крови пиковых значений, когда Скотт оказался в космосе. У здорового человека примерно 500 экземпляров митохондриальной ДНК (мтДНК) на миллилитр крови, а у Скотта этот уровень достигал 6500 экземпляров на миллилитр, по данным докторов Киити Накахиры и Агустина Чхоя. Затем мы совместно со Стейси Хорнер и Нанданом Гокхале из Университета Дьюка исследовали РНК в крови и также выявили многочисленные следы митохондрий.
Это был совершенно новый показатель стресса, зафиксированный у астронавтов, однако такие уровни уже наблюдались в других контекстах. В Колумбийском университете в Нью-Йорке есть лаборатории, в которых изучаются экстремальные перепады в количестве митохондрий и даже митохондриальная психобиология (см. работу докторов Андреа Баккарелли и Мартина Пикара). Эти лаборатории рассматривали изменения концентрации мтДНК в крови у людей на Земле в стрессовых ситуациях. В частности, проводились исследования биоматериала людей, которым приходилось выступать с лекцией перед незнакомой аудиторией. После таких выступлений в крови испытуемых наблюдался всплеск мтДНК. Следовательно, есть убедительные доказательства, что уровень мтДНК может повышаться после общего стресса, например в результате тревоги во время публичных выступлений, а также в других ситуациях, субъективно воспринимаемых как опасность.
Но почему человеческие клетки наращивают производство своих энергетических станций или извергают их? Чтобы выяснить это, проводились и другие исследования, проливающие свет на то, что происходит с организмом после годичного пребывания в космосе. В 2018 г. вышла статья (см. Ингелссон и др.), показавшая, что белые кровяные тельца (лимфоциты) могут извергать свою мтДНК, подогревая таким образом иммунную систему. Эти «сети ДНК» словно предупреждают другие иммунные клетки, что нужно готовиться к борьбе с инфекцией или клеточной угрозой. По-видимому, в космосе эти «сети» работают столь же успешно, как и на Земле. Наши исследования и работа Афшина Бехешти из NASA позволили наблюдать обусловленное стрессом умножение мтДНК в крови у многих астронавтов, а также различные сигнатуры РНК, связанные с пребыванием в космосе (в том числе мелкие РНК-цепочки, именуемые микроРНК). Все эти изменения — со стороны теломер, изменений в экспрессии генов, гипоксии из-за накопления выдыхаемого углекислого газа прямо под носом, иммунного стресса, митохондриальной ДНК и воспаления — происходят быстро и выглядят как стремительный ответ организма на космический полет. Остается надеяться, что впоследствии все вернется в норму.
Возвращение на Землю
К счастью, почти по всем показателям, связанным с реакцией на длительный космический полет, организм отличается пластичностью и приспосабливаемостью. Скотт действительно подрос примерно на 5 см, но это было связано лишь с тем, что его позвоночник долго не испытывал притяжения Земли. Уже через несколько часов после возвращения на Землю нормальный рост восстановился. Кроме того, в течение первых 48 ч теломеры Скотта приобрели обычную длину, большинство физиологических маркеров и показателей крови также вернулись в нормальный диапазон. Что касается экспрессии генов, то 91% изменений, произошедших за время пребывания в космосе, также сгладились до нормальных значений в течение полугода.
Следует отметить, что к нормальным уровням вернулась экспрессия у большинства генов в организме Скотта, но не у всех. В некоторых из них сохранялось «молекулярное эхо» пребывания в космосе: гены продолжали активно ремонтировать ДНК и укреплять ее стабильность. Эти данные согласовывались с другими, которые мы наблюдали, проверяя на «поломки» и изъяны хромосомы Скотта. Даже после возвращения на Землю у него сохранялись следы низкоуровневых инверсий и транслокации — постоянно залечиваемые повреждения хромосом, исправляемые на генетическом уровне и приводящие к замене старых клеток на новые.
Даже шесть месяцев спустя экспрессия некоторых генов оставалась нарушенной — адаптация продолжалась, и эти нарушения мы рассмотрим далее в книге, когда дойдем до долгосрочных планов на генную инженерию. Данные по экспрессии генов показали, как организм адаптируется к пребыванию в космосе и в каких аспектах не удается добиться полного возвращения к норме. Это согласуется с тем, что говорил сам Скотт: по его словам, он не мог «прийти в норму» и через семь-восемь месяцев после возвращения на Землю. Работа доктора Маттиаса Баснера также показала, что когнитивные способности Скотта и точность его движений после полета ухудшились. Мы в рамках собственного исследования, проведенного совместно с Дэвидом Лайденом в Корнеллском университете, обнаружили в крови такие белки, которые в норме должны быть только в мозге. Эта находка коррелировала с изменениями в генах, которые кодируют эти белки, и указывала на изменения в гематоэнцефалическом барьере. В целом такие молекулярные изменения подсказывают, работу каких генов потребуется ускорить, замедлить или изменить каким-то другим образом, чтобы смягчить реакцию на космический полет.
Другие биологические показатели, которые также могут быть нарушены, выводятся по изменениям показателей, связанных с цитокинами, в частности с воспалительными маркерами. Некоторые маркеры воспаления, например интерлейкин-6, в день посадки были повышены в тысячи раз, а в последующие двое суток некоторые из них еще возросли. Анализы крови демонстрировали явный всплеск воспалительных цитокинов — для капитана Келли это было весьма болезненно, и, скорее всего, именно из-за этих белков он покрылся сыпью. Эти данные подтверждаются результатами из работ докторов Теджаса Мишры и Майкла Снайдера из Стэнфорда. При рассмотрении маркеров в совокупности большинство их функций указывало на регенерацию мышц. Короче говоря, Скотту было больно заново привыкать к работе мышц, так как его тело проходило обширную перестройку, а кровь на молекулярном уровне реагировала на этот затратный физиологический процесс. Она словно кричала: «Черт, опять эта гравитация! Опять мускулами ворочать!»
При всей болезненности возвращения на Землю с орбиты следует отметить, что с Марсом все должно быть гораздо легче — ведь там гравитация равна 38% земной. Учитывая эту разницу, соответствующие «чертыхания организма» могут составить всего 38% от тех, что мы наблюдали, а адаптироваться после посадки на Марс также будет гораздо легче. Это позволяет предположить, что человек вполне способен перенести и перелет до Марса, и последующую посадку, чтобы затем начать обживать новый мир в рыжеватых тонах.
Экспедиции будущего
При описании исследования близнецов необходимо учитывать, что в нем участвовали всего два человека, которые развились из одного эмбриона, причем долгое время в космосе провел только один из них. Поэтому экстраполировать эти результаты на других людей можно только в определенных пределах. Более того, на МКС человек не покидает земной магнитосферы, которая простирается примерно на 65 000 км и на орбите МКС все равно служит астронавтам защитным экраном. Чтобы представить масштаб проблем, ожидающих экспедицию на Марс, можно прикинуть ожидаемую дозу радиации, которую космонавты получат по пути: она составляет около 300 миллизивертов (мЗв). А при полете туда и обратно, который займет около 30 месяцев, доза облучения составит примерно 1000 мЗв (рис. 1.3). Суммарно это более чем в шесть раз превышает дозу, полученную Скоттом за весь полет. Хотя такая радиация небезопасна, от нее можно защититься, о чем мы поговорим в следующих главах.
Рис. 1.3. Уровни облучения при разных параметрах экспедиции: оценочные и фактические показатели для различных миссий в мЗв
Действительно, ни к чему идти на риск, связанный с таким облучением, не попытавшись как следует защититься. Помимо физической защиты астронавтов существует еще механизм биологической защиты, который пока не применялся в космосе, но уже опробован на Земле у пациентов в разных состояниях, — это генная инженерия.
Генетическая защита
Необходимо учитывать явные риски долгосрочных экспедиций на другие планеты (например, на Марс), а также вызовы, связанные с экспедициями более отдаленного будущего (например, с межзвездными полетами). При выполнении таких миссий люди окажутся в крайне враждебной среде, подвергнутся гораздо более серьезному облучению, столкнутся с проблемами создания продуктов питания и поддержания нормального метаболизма. Поэтому нам не обойтись без исследования генетических защитных механизмов. Иными словами, если удастся раскрыть секреты жизнестойкости других видов и создать генетические средства защиты, это поможет нам не только выжить, но и выполнить свой долг. Мы делаем все возможное для обеспечения безопасности астронавтов, когда проектируем ракеты и космические корабли, но можно ли защитить их изнутри, модифицировав человеческий организм? Следует ли идти на это? Вправе ли мы генетически модифицировать людей?
Некоторые из этих абстрактных вопросов перешли в практическую плоскость благодаря исследованиям Хэ Цзянькуя, который начал генетически модифицировать человеческие эмбрионы с помощью технологии CRISPR (подробнее об этом в последующих главах). Две такие девочки родились в 2018 г. Эту работу Хэ вел втайне и даже ввел в заблуждение Комитет по биомедицинской этике собственного университета. Решившись дать жизнь генно-модифицированным детям, он столкнулся с острой критикой.
Такой путь внедрения подрывных медицинских технологий в реальную практику (тайно и практически безнадзорно) абсолютно неприемлем, но теперь эта идея больше не является гипотетической. Возникает вопрос: как регулировать создание генетически измененных эмбрионов и убедиться, что это не пойдет во вред? Известны многочисленные примеры точной медицины при лечении заболеваний, но помощь пациентам на Земле и астронавтам, участникам будущих экспедиций, — больше из области прогностической медицины. Может ли ученый модифицировать что-то в организме и предсказать, что в таком случае произойдет? Это лучшая проверка для знаний.
Именно для этого мы опубликовали в 2011 г. на сайте нашей лаборатории первый проект 500-летнего плана, многие идеи которого рассмотрены в этой книге. В том же году мы впервые подали в NASA предложения о геноме и метагеноме и не имели практически никаких данных из тех, что представлены в этой главе. Большинство идей, казавшихся в 2011 г. невозможными, уже реальность. Особенно интересно, с какой легкостью сегодня можно редактировать и модифицировать геном и эпигеном (уровень регулировки генома).
Этот план построен не только в расчете на стремительное развитие науки, он олицетворяет надежду на выживание человечества в долгосрочной перспективе. На мой взгляд, одна из самых замечательных черт людей — способность строить планы на 5, 500 или 5000 лет вперед, которые рассчитаны на много поколений. Практически все люди, которым доведется пожинать плоды этого плана, родятся после смерти его авторов. Но, создавая такие планы, мы надеемся, что они смогут послужить человечеству в качестве межпоколенческого «олимпийского огня».
Оставшаяся часть книги посвящена именно этому плану, который содержит технические, философские и этические принципы, касающиеся преобразования геномов, экосистем и планет. Такие крупномасштабные инженерные начинания могут показаться абстрактными и практически невероятными по охвату, но это не первая наша попытка. На самом деле Марс станет второй планетой, на которой мы будем проводить глобальные измерения, моделирование и преобразования. Сейчас, в 2020-е гг., мы уже занимаемся этим на Земле, чтобы продолжить наше существование на этой планете и оставить ее потомкам в лучшем состоянии, чем сейчас. К сожалению, координация и планирование этой работы недостаточны. Подобные планетарные и биологические преобразования потребуют в будущем гораздо большей точности, чтобы мы могли осуществить важнейшее предназначение нашего вида — стать пастырями и стражами. Сомнений, сможем ли мы видоизменить жизнь, нет, перед нами стоит лишь один вопрос — «как?». Видоизменение жизни — дело нашего поколения, и это искусство будет далее оттачиваться и применяться новыми поколениями, т.е. нашими потомками, которым предстоит жить через 500 лет, 5000 лет и в гораздо более отдаленном будущем.
Преобразование — это неотъемлемый долг человечества, выполнить который необходимо для сохранения жизни как таковой.
4. Два основных типа кишечных бактерий, при этом среди фирмикутов довольно много патогенов, тогда как бактероиды — это в основном бактерии, ответственные за брожение. — Прим. науч. ред.
3. По данным исследований, на МКС проблемы у космонавтов со зрением возникают не из-за воздействия космической радиации, а из-за повышения внутричерепного давления, которое вызывается невесомостью и оттоком крови от ног (https://eyewiki.org/Spaceflight-Associated_Neuro-Ocular_Syndrome_(SANS)). — Прим. науч. ред.
2. Келли С. Стойкость: Мой год в космосе. — М.: Альпина нон-фикшн, 2019.
2
Долг инженера
Планы бесполезны, но планирование — обязательно.
Дуайт Эйзенхауэр
Энтропийные очки
Необходимость заняться планированием будущего лучше всего иллюстрируется с помощью быстрого мысленного эксперимента под названием «энтропийные очки». Первое, что нужно сделать, — осмотреться. Если ничего не видно, то нужно задуматься. Будьте внимательны. Представьте, как мир будет выглядеть через 100 лет. Просуществует ли до той поры хоть одна лестница, стена, потолок или любой другой материальный объект? Задумайтесь: как долго протянет ваша любимая футболка или пара носков, которые на вас надеты? Доживут ли до тех пор какие-либо живые существа, сейчас обитающие рядом с нами, например белки или их потомство? Оцените технологию, которая донесла до вас эти слова, — на бумаге, на светящемся мониторе, в аудиоформате. Существовала ли она вообще 100 лет назад? Как она может измениться через 100 лет? Окиньте взором все, что вас окружает, представьте, как оно может измениться. Дочитав или дослушав этот абзац, ненадолго отвлекитесь и посмотрите, где вы находитесь. Представьте, каким будет мир ровно через 100 лет. Сделайте это прямо сейчас.
Вернувшись к тексту, вы заметите, что стали относиться к настоящему моменту как к гораздо более важному и комфортному, но это первое, к чему нужно отнестись критически. Эта удовлетворенность собственной жизнью и моментом — ненужное ограничение, только начало возможностей человеческого разума. Есть так много того, что можно вообразить: перемены, увядание, ваш собственный неизбежный уход, эволюцию, движение и бренность. Однако каждый может найти утешение в том, что данное мгновение — здесь и сейчас — точно существует. Поэтому в контексте сиюминутного смысла текущий момент может оказаться комфортнее любого момента в будущем. Вас может поразить осознание того, как много всего изменится. Но это хорошо.
Вы, как обладатель разума, только что воспользовались способностью представить мир отдаленного будущего — таким, каким он будет через 100 лет. Скорее всего, сами вы тот мир не застанете. Способность представлять события, находящиеся далеко за рамками ближайшего будущего, — это, насколько известно, уникальное и чисто человеческое умение. Она лежит в основе нашего творчества и изобретательности, равно как и свойственного лишь нам осознания собственной хрупкости и недолговечности любой жизни. У нас много общего с другими обитателями Земли: стремление выжить, инстинктивная реакция «бей/беги» при встрече с опасностью, желание защищать собственное потомство (исключение из этого правила — некоторые животные, поедающие свой молодняк). Но мы уникальны. Мы — единственный вид, сознающий риск собственного вымирания. Видя экзистенциальную угрозу, стремясь отслеживать ее уровни и траекторию, а также испытывая глубокое беспокойство о судьбе далеких потомков, с которыми никогда не встретимся, мы делаем первый необходимый шаг к осознанию риска исчезновения нашего вида и стремимся его избежать. Вымирание перестает быть неизбежностью и переходит в категорию рисков, только если начать что-то предпринимать.
Отказ от нашей уникальной способности заботиться о выживании будущих поколений неизбежно приведет к утрате и уникальных особенностей всех прочих биологических видов. У каждого вида есть свои сильные стороны, но только наш вид может встать на защиту невероятного биоразнообразия Земли, а также жизни во Вселенной. Эта способность может продвинуться еще дальше — вплоть до сохранения той жизни, которую мы, несомненно, найдем за пределами Земли по мере распространения поисков на все более обширную часть Вселенной с ее бесчисленными солнцами. Если вы готовы утешаться лишь тем, что живете сами и не привыкли смотреть в будущее, то просто ограничиваете себя. Отпущенный нам век никогда не должен становиться тем пределом, на который мы заглядываем в будущее. Наша зона комфорта может и должна простираться за пределы ближайшего столетия. Способность каждого из нас задумываться о далеком, очень далеком будущем — это редкостный дар. Его непременно нужно сохранить, защитить и использовать до того, как он исчезнет навеки.
Замысел
Важно, что до настоящего времени наша способность планировать так далеко оставалась неосуществимой. Нынешняя эпоха в истории человечества отличается от предыдущих как по уровню, так и по типу. Сначала поговорим об уровне. Вплоть до конца XX в. у нас отсутствовали фундаментальные инструменты, позволяющие хотя бы приступить к артикуляции плана сохранения человечества путем расселения на другие планеты. Мы едва ли осознавали, насколько велико биоразнообразие живых систем на Земле, — а это необходимо для того, чтобы обжиться в новых, непривычных экосистемах. Лишь в последние два десятилетия мы стали понимать, из чего состоят гены, не говоря уже о том, сколько их в человеческой клетке и клетках других биологических видов. Теперь нам известно, какова динамика работы тысяч генов, мы картировали их и связали с выполняемыми функциями, причем для многих видов. Эта дисциплина называется «функциональная геномика». У нас в распоряжении больше генетических данных, чем когда бы то ни было, и этот массив постоянно растет, а попутно появляются новые данные по смежным научным, культурным, технологическим и вычислительным дисциплинам.
Вторая большая перемена нынешней эпохи связана с ее типом: теперь стало возможно исследовать другие миры. Идеи пилотируемых экспедиций на Луну и Марс были чистой фантастикой еще совсем недавно, например в 1903 г., когда в воздух поднялся первый самолет. Первый человек ступил на Луну в 1969 г. Первый космический аппарат вышел за пределы Солнечной системы только в 2004 г. — это был «Вояджер-1». Когда-то авиаперелеты были редкостью, а сегодня во всем мире ежеминутно отправляются десятки тысяч авиарейсов. Аналогично раньше можно было по пальцам пересчитать космические полеты, а сегодня ширится список стран, планирующих лунные, марсианские и даже более далекие экспедиции (рис. 2.1). Сегодня даже прорабатывается запуск небольшого вертолета Dragonfly для исследования приповерхностных районов Титана (осуществить посадку аппарата на этом спутнике намечено в 2036 г., и примерно в тот же период мы планируем ступить на поверхность Марса). XXI в. — это уникальный период в истории человечества как по типу нынешнего прогресса, так и по уровню планирования.
Рис. 2.1 Ближайшие полеты для исследования космоса и создания внеземных поселений. Экспедиции сгруппированы по их локализации: низкая околоземная орбита, Луна, Марс, астероиды, внешние планеты Солнечной системы и экзопланеты.
Все это примеры того, как человек способен мыслить на 100, 1000, 100 млн лет вперед и даже на гораздо больший срок. Если мы хотим сохранить на Земле собственное разнообразие (в форме музыки, искусства, науки, литературы, техники, хореографии и т.п.), а также разнообразие жизни во всех ее проявлениях, то необходимо вывести весь комплекс земного биоразнообразия за пределы одной обитаемой планеты. Не стоит отказываться от нашего пока единственного корабля — Земли, но стоит увеличить количество кораблей, на которых мы сможем жить. В настоящее время вся известная жизнь существует на утлом суденышке, который дрейфует по обширному океану Вселенной, ежеминутно рискуя утонуть. Обязанность по сохранению жизни не ограничивается только нашим видом и требует более широкого понимания тех организмов, которые мы употребляем в пищу и используем, и того, как различные формы жизни взаимодействуют друг с другом. Такое расширенное понимание зачастую называют метавидом, пангеномом, а иногда холобионтом.
Если мы отводим человечеству роль Пастыря, то должны опираться на уникальную способность нашего вида сохранять все живое и служить заботливым стражем жизни. Чтобы жизнь могла чего-то достичь, ей для начала нужно существовать. Мечта, идея, мораль, произведение искусства, изделие, изобретение, творение, стих, синтезированная молекула, нить или волокно могут возникнуть лишь при условии, что мы сами выживем и сможем все это сохранить. Какими бы ни были приоритеты и цели, для их реализации мы должны существовать. Даже при отсутствии целей нам необходимо существовать, чтобы иметь сам сосуд для идей, хотя и пустой. Таким образом, мы ответственны перед самими собой и несем на своих руках тяжкую ношу. Лишь наши глаза могут распознать опасность на горизонте, и лишь действуя мы способны спасти окружающую нас жизнь.
Принимая ответственность за всех ныне живущих, вымерших и пока не возникших живых существ, мы должны выработать план, который выходит за пределы того срока, что отпущен нашему первому солнцу — у нас в распоряжении не более 4–5 млрд лет. Но такая оптимистичная оценка едва ли нам светит, учитывая известные исторические прецеденты. Значительно раньше могут произойти катастрофические события, которые обернутся для нас апокалипсисом. Например, Земля может столкнуться с астероидом вроде того, что положил конец эпохе динозавров. Согласно современным планетологическим оценкам, мы давно уже могли столкнуться с катастрофой планетарного масштаба — и это даже без учета того вреда, который мы собственноручно наносим нашему родному миру. Так или иначе, у нас в лучшем случае около 4 млрд лет.
Солнце, согревающее нас ныне, однажды исчерпает запасы топлива и уничтожит все внутренние планеты: Меркурий, Венеру, Землю и Марс. Они обуглятся, как спичечные головки. На этой неизбежной стадии эволюции звезды, когда Солнце станет красным гигантом, на нашей планете не останется ничего, что было нами создано, изучено или постигнуто, и от нас останутся только те радиоволны и прочее электромагнитное излучение, которое мы распространяем во все стороны с начала 1930-х гг. Если мы не найдем способа стабилизировать коллапсирующее Солнце, все наши технические, художественные, научные и культурные творения — в сущности, вообще все, что есть на Земле, — будут уничтожены. Поэтому оставаться здесь нельзя. Необходим глобальный план выхода за пределы этой планеты.
Ни один глобальный план невозможно реализовать без средств, которые обеспечивают глобальную координацию и
