Все науки. №7, 2023. Международный научный журнал
Қосымшада ыңғайлырақҚосымшаны жүктеуге арналған QRRuStore · Samsung Galaxy Store
Huawei AppGallery · Xiaomi GetApps

автордың кітабын онлайн тегін оқу  Все науки. №7, 2023. Международный научный журнал

Все науки. №7, 2023

Международный научный журнал

Шрифты предоставлены компанией «ПараТайп»


Авторы: Алиев Ибратжон Хатамович, Мавлонов Пахлавон Иброхимович, Кадырберганов Фозил Кудратович, Сайитов Шавкатжон Самиддинович, Сайдалиев Сардорбек Шавкатович, Мамасодиков Юсуфжон, Абдулазизов Санжар Салижонович, Рузибаев Навруз Бунёдович


Главный редактор Ибратжон Хатамович Алиев

Иллюстратор Ибратжон Хатамович Алиев

Илюстратор Султонали Мукарамович Абдурахмонов

Иллюстратор Оббозжон Хокимович Кулдашов

Дизайнер обложки Ибратжон Хатамович Алиев

Дизайнер обложки Раънохон Мукарамовна Алиева

И. О. Научного руководителя Султонали Мукарамович Абдурахмонов

Экономический руководитель Фаррух Муроджонович Шарофутдинов

Корректор Гульноза Мухтаровна Собирова

Корректор Абдурасул Абдусолиевич Эргашев





12+

Оглавление

ФИЗИКО-МАТЕМАТИЧЕСКИЕ НАУКИ

АКТУАЛЬНОСТЬ И НЕОБХОДИМОСТЬ СОВРЕМЕННОГО ПРОЕКТИРОВАНИЯ ТЕХНОЛОГИЙ НА ОСНОВЕ НЕЙТРОННЫХ ЯДЕРНЫХ РЕАКЦИЙ С ПОВЫШЕННОЙ ТОЧНОСТЬЮ МОНОХРОМОТИЧНОСТИ ПРИ ПРОВЕДЕНИИ НА СПЕЦИАЛЬНОЙ УСКОРИТЕЛЬНОЙ ТЕХНИКЕ

УДК 539.17

Алиев Ибратжон Хатамович

Генеральный директор OOO «Electron Laboratory», Президент Научной школы «Электрон» при OOO «Electron Laboratory»

OOO «Electron Laboratory», Научная школа «Электрон», Маргилан, Узбекистан

Аннотация. Наличие самых различных задач требующие своего скоропостижного решения в масштабах планеты, государства, областей и городов не является секретом на сегодняшний день, благодаря чему вопрос о нахождении новых решений в энергетической области также является весьма актуальным вопросом. Стоит сказать, что большое количество исследований проводимые в данном направлений по самым различным отраслям с целью поиска привели к достаточно интересным результатам, в лице которых стало возможно нахождение не только физики резонансных ядерных реакций, но и совершенно новой физики нейтронных реакций. А также стоит указать, что улучшение большого количества аспектов современной энергетики сводиться к получению различного рода аспектов наряду с проведением исследованием в области физики атомного ядра и элементарных частиц, а также к тому, что проводиться различного рода эксперименты с использованием ускорительной техники. Наряду с вышеуказанным стоит указать, что подобные работы производятся достаточно активно и дают определённые результаты, что говорит о большой актуальности проведения исследований в данной области, а также, в частности, в области ново созданной нейтронной физики.

Ключевые слова: наука, нейтронные ядерные реакции, физика резонансных ядерных реакций, ядерная физика, ядерные реакции, энергетика, технологическое проявление, нейтронная физика, нейтронные реакции, исследования, ускорительная техника, нейтрон.

Annotation. The existence of a wide variety of tasks that require their sudden solution on the scale of the planet, the state, regions and cities is not a secret today, so the question of finding new solutions in the energy field is also a very topical issue. It is worth saying that a large number of studies conducted in this direction in various industries for the purpose of searching led to quite interesting results, in the face of which it became possible to find not only the physics of resonant nuclear reactions, but also a completely new physics of neutron reactions. And it is also worth pointing out that the improvement of a large number of aspects of modern energy is reduced to obtaining various aspects along with conducting research in the field of atomic nucleus and elementary particle physics, as well as to conducting various kinds of experiments using accelerator technology. Along with the above, it is worth pointing out that such work is being carried out quite actively and gives certain results, which indicates the great relevance of research in this area, as well as, in particular, in the field of newly created neutron physics.

Keywords: science, neutron nuclear reactions, physics of resonant nuclear reactions, nuclear physics, nuclear reactions, power engineering, technological manifestation, neutron physics, neutron reactions, research, accelerator technology, neutron.


Существует большое количество самых различных способов генерации электрической энергии, путём использования тепловой, ветряной, солнечной энергии, что уже сравнительно являются более популярными в обществе за долгое время их использования. Есть также и экзотические способы добычи этой энергии, примером коих может быть использование энергии молнии, волн или землетрясений, не стоит забывать и о ядерной энергии, которая как казалось стоит особняком. Однако, этой области, как может казаться вероятнее всего даст довольно интересные и многообещающие результаты. Доказательством этого утверждения уже служит недавно созданная физика резонансных ядерных реакций, основанная на принципе доведения до состояния определённого резонанса самой реакции, что следует из наименования, а если говорить несколько подробнее, то в данном случае у пучка увеличивается степень монохромотизации с кулоновским барьером ядра, что приводит к увеличению ядерного эффективного сечения для всей проводимой реакции, как и процента входящих во взаимодействие частиц пучка для той или иной экзо-энергетической реакции.

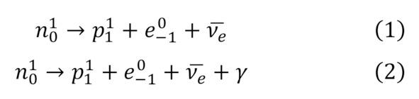
Но сегодня, кроме вышеперечисленных, по крайней мере в теоретическом ключе становиться развивающейся концепция нейтронной энергетики, основанная на довольно простом, как может показаться явлении — распаде нейтрона. Сам нейтрон — это массивная частица, входящая в состав всех атомных ядер в определённом количестве. Когда эта частица находиться в свободном состоянии, она способна распадаться в одном из двух линий распада (1—2), каждые 80 секунд.

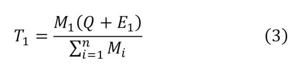
При этом стоит сказать, что первая линия распада на 98,2% более вероятностна, нежели вторая, вероятность которой определяется в зависимости от всей остальной части. Кинетическую энергию каждой из продуктов реакции распада можно определить благодаря использованию (3), где указывается обратно-пропорциональное распределение по энергиям относительно каждого из масс.

Следуя за распадом, можно проследить из проявляемой закономерности, что большее количество всей энергии, получаемая из ядерной реакции, переходит более лёгким частицам. Однако, этот процесс как видно является частным рассмотрением определённого некоторого случая, приобретающий более масштабный характер при верхнем рассмотрении.

Как известно, атомное ядро состоит из протонов и нейтронов, но сейчас большой интерес представляют именно нейтроны, если исходить из настоящего метода реакции, получившие своё название от латинского neuter — ни тот, ни другой. Это, по сути, тяжёлая элементарная частица, не имеющая электрический заряд или точнее равная (-0,2±0,8) *10—27 элементарного электрического заряда, имеют сравнительно большую массу в 939,57 МэВ или 1,00866 атомных единиц массы, а такж

...

Ұқсас кітаптар