автордың кітабын онлайн тегін оқу Энциклопедия финансового риск-менеджмента
Все права защищены. Данная электронная книга предназначена исключительно для частного использования в личных (некоммерческих) целях. Электронная книга, ее части, фрагменты и элементы, включая текст, изображения и иное, не подлежат копированию и любому другому использованию без разрешения правообладателя. В частности, запрещено такое использование, в результате которого электронная книга, ее часть, фрагмент или элемент станут доступными ограниченному или неопределенному кругу лиц, в том числе посредством сети интернет, независимо от того, будет предоставляться доступ за плату или безвозмездно.
Копирование, воспроизведение и иное использование электронной книги, ее частей, фрагментов и элементов, выходящее за пределы частного использования в личных (некоммерческих) целях, без согласия правообладателя является незаконным и влечет уголовную, административную и гражданскую ответственность.
К читателям
Управление финансовыми рисками как самостоятельная дисциплина существует в нашей стране относительно недавно, а первые специализированные компании и профессиональные издания появились менее десяти лет назад. Тем не менее вопросы управления рисками решаются в разных отраслях на протяжении десятилетий и принятые в этой сфере подходы многократно применялись на практике. Кроме того, в финансовом риск-менеджменте, как и во всех вопросах, связанных с финансами, огромную, даже определяющую, роль играет зарубежный опыт. Поэтому тема, затронутая в энциклопедии, опирается на подходы и принципы, которые во многом уже являются классическими.
Управление финансовыми рисками можно условно разделить на несколько крупных разделов, относящихся к разным областям деятельности предприятия или частного инвестора. Во-первых, это риски, ожидающие инвестора или заемщика на финансовых рынках: рыночные и кредитные риски, риски определенных инвестиционных инструментов и в управлении портфелем. Во-вторых, это риски предприятия, связанные с его деятельностью: операционные, рыночные, экономические. И наконец, в-третьих, это специфические риски кредитных учреждений, требующие особого подхода.
Каждому из этих рисков в энциклопедии отведено несколько разделов, где они рассматриваются с разных позиций и где акцентируется внимание на отдельных аспектах анализа и управления риском. Еще один, вводный, раздел рассматривает общие основы финансовой математики, теории вероятности и статистики — аналитических инструментов, повсеместно применяющихся в управлении рисками. С учетом такой структуры, может быть, удобнее читать не всю книгу от начала до конца, а ее отдельные разделы — по мере возникновения потребности в аналитических техниках и подходах.
Как правило, управление рисками требуется тогда, когда вопросы ежедневного управления и выбора стратегических целей уже решены и создана среда для более тонких подходов. Это стоит принимать во внимание и во время чтения данной книги. Каждый раздел управления рисками потребует от читателя не только понимания сути возникающих в изучаемой области угроз, но и значительных навыков и опыта применения более простых, базовых методов анализа и управления финансовыми вложениями, доходами и затратами. Возвращайтесь к энциклопедии через год или через три — и вы обнаружите в ней все больше новых идей, полезных в работе.
Дмитрий Рябых,
генеральный директор ООО «Альт-Инвест»
Предисловие
С проблемами управления финансовыми рисками финансовые институты сталкиваются с давних пор, и этими вопросами занимались специалисты различных бизнес-подразделений. Например, банки — при кредитовании или управлении ликвидностью, инвестиционные компании — при управлении портфелем, клиринговые организации — при обслуживании биржи— организатора торгов производными инструментами, страховые компании — практически постоянно и т.д. В страховании этими вопросами традиционно занимались актуарии. Для остальных финансовых институтов риск-менеджмент выделился в самостоятельное направление, необходимое для ведения бизнеса, сравнительно недавно, в начале 1990-х гг. Ранее, в середине 1980-х, крупные инвестиционные банки начали создавать подразделения по управлению рисками на уровне derivatives desk, т.е. отделов, занимающихся операциями с производными финансовыми инструментами. Это явилось результатом возрастания сложности этих инструментов наряду с серией крахов, связанных с непониманием рисков, присущих производным, хотя сами инструменты были созданы в первую очередь для целей управления рисками.
С начала 1990-х гг. можно говорить о риск-менеджменте как о вполне сложившейся новой финансовой индустрии. Факторами, способствующими повышению роли риск-менеджмента, стали глобализация финансовых рынков, рост международной конкуренции, увеличение волатильности рынков и возрастание интенсивности дефолтов. Важную роль сыграли усилия регуляторов по поддержанию системной безопасности, в первую очередь разработанное в 1988 г. Базельским комитетом Соглашение о достаточности капитала для банков, осуществляющих международные операции. В 1996 г. появилось важное дополнение, касающееся рыночных рисков, а в 2004 г. принято новое Соглашение, касающееся управления кредитными и операционными рисками, надзора и рыночной дисциплины.
Риск-менеджмент сегодня осуществляется на уровне всей компании, охватывает все стороны финансовой деятельности и выступает как стратегический инструмент оптимизации использования капитала с учетом риска, причем уже не только в финансовых институтах, но и в крупных нефинансовых корпорациях с интенсивными денежными потоками. Качество риск-менеджмента считается одним из важнейших компонентов корпоративного управления и оказывает непосредственное влияние на рыночную стоимость компании, а рейтинговые агентства, такие как Standard & Poor’s и Мооdy’s, учитывают это при определении кредитного рейтинга. Сложились стандарты индустрии, такие как показатели VaR (Value-at-Risk) или RAROC (Risk-Adjusted Return on Capital). Одним из убедительных свидетельств успеха индустрии риск-менеджмента является возрастание количества программных продуктов по риск-менеджменту и рост их продаж.
Развитие риск-менеджмента, в свою очередь, стимулировало создание во второй половине 1990-х гг. производных финансовых инструментов нового типа, так называемых кредитных производных. Их появление было невозможно, пока не были разработаны эффективные модели оценки кредитных рисков — продукт деятельности подразделений по риск-менеджменту. Основное назначение этих производных — управление кредитными рисками, отсюда и название (ранее производные позволяли управлять только рыночными рисками). Широкое распространение на практике получила секьюритизация как способ изменения профиля кредитных рисков.
Возникли международные профессиональные организации риск-менеджеров — GARP[1], PRMIA[2], созданы сертификационные программы с регулярными экзаменами, разработан профессиональный кодекс этики. Сегодня риск-менеджер — престижная и высокооплачиваемая профессия, требующая хорошего экономического мышления, аналитических способностей, понимания особенностей функционирования финансовых институтов, знания финансовых рынков и финансовых инструментов, хорошего владения математическим аппаратом.
В России первые подразделения по управлению рисками стали создаваться в крупных банках в 1996-1997 гг. Некоторые банки, которые сумели поставить риск-менеджмент в своей компании на должном уровне, извлекли из этого вполне реальную пользу — сумели выжить в жестких условиях кризиса 1998 г.
После кризиса риск-менеджменту стало уделяться серьезное внимание. Сегодня риск-менеджеры работают не только в крупных и средних банках, в крупных инвестиционных и страховых компаниях, но и в крупных корпорациях (таких как Аэрофлот, «Норильский никель»). Ряд банков внедрили в практику современные технологии риск-менеджмента.
В последнее время стал набирать обороты рынок производных финансовых инструментов, в частности на бирже РТС успешно торгуются фьючерсы и опционы на фьючерсы на наиболее ликвидные акции российских эмитентов и фондовые индексы. Дальнейшее развитие рынка производных финансовых инструментов, в особенности внебиржевого рынка, сдерживается недостаточной нормативной базой, приводящей к значительным юридическим рискам. Поэтому в настоящее время в Государственной думе рассматриваются возможные поправки в законодательство и законопроект о рынке производных финансовых инструментов.
Появление внебиржевого рынка производных финансовых инструментов, наиболее гибкого и эффективного средства управления рисками, крайне необходимо российской банковской системе для того, чтобы обеспечить конкурентоспособность по сравнению с западными банками в условиях либерализации рынка и интеграции в международную финансовую систему. Это также будет выдвигать повышенные требования к квалификации риск-менеджеров и финансовых инженеров.
Быстрыми темпами в России развивается потребительское кредитование, кредитные карты, ипотечное кредитование, создаются кредитные бюро. Это ставит перед риск-менеджерами и финансовыми инженерами новые задачи, например создание эффективных систем скоринга, использование секьюритизации для целей рефинансирования и управления кредитным риском.
С начала 2002 г. функционирует российское отделение международной профессиональной ассоциации риск-менеджеров PRMIA, основные направления деятельности которого — способствовать обмену опытом, разработке стандартов, а также сертификации и обучению. Под эгидой PRMIA постоянно действует научно-практический семинар[3], который собирает как практиков, так и представителей академических кругов, студентов и аспирантов. При поддержке российского отделения PRMIA проводятся международные конференции по управлению рисками[4].
Ряд российских учебных заведений готовят риск-менеджеров и проводят курсы повышения квалификации, в том числе Государственный университет управления, РЭА им. Г. В. Плеханова, Академия народного хозяйства при Правительстве РФ, Финансовая академия при Правительстве РФ, Государственный университет — Высшая школа экономики. Поскольку требования к квалификации риск-менеджеров постоянно растут, то растет и потребность в обучении и сертификации. Некоторые российские риск-менеджеры уже успешно сдали экзамены на сертификаты GARP или PRMIA.
В связи с этим очевидна необходимость пособия для риск-менеджеров на русском языке, которое бы достаточно широко охватило разные стороны практической деятельности и соответствующей теории. Предлагаемая читателю книга и является первой в таком жанре. Книга появилась во многом благодаря самоотверженным усилиям Алексея Лобанова, который взял на себя нелегкий труд по ее редактированию.
Обучить риск-менеджера — дело непростое. Для риск-менеджеров, например, полезны углубленные знания по теории вероятностей, математической статистике, теории случайных процессов, исследованию операций. Желательно владеть основами банковского дела, страхования, инвестиционного анализа, корпоративных финансов, анализа финансовой отчетности, налогообложения и т.д. Поэтому претендовать на полное покрытие всей тематики, связанной с управлением рисками, книга не может (вряд ли это вообще возможно). Тем не менее она будет, безусловно, полезна как практикам, так и тем, кто обучается риск-менеджменту, в том числе тем, кто готовится к сдаче сертификационных экзаменов.
С. Н. Смирнов,
директор российского отделения PRMIA,
заведующий кафедрой управления рисками и страхования
Государственного университета — Высшей школы экономики
[4] Информация о конференциях (включая материалы докладов прошедших мероприятий) размещена на сайте http://www.riskconference.ru.
[1] Global Association of Risk Professionals — Международная ассоциация профессионалов по управлению рисками, создана в 1996 г. Более подробную информацию см. на сайте http://www.garp.com.
[3] Информацию о семинаре можно найти на сайте http://www.riskmanager.ru; для участия в нем или выступления с докладом не обязательно быть членом PRMIA, приглашаются все желающие.
[2] Professional Risk Managers’ International Association — международная профессиональная ассоциация риск-менеджеров, создана в 2002 г. Более подробную информацию см. на сайте http://www.prmia.org.
Введение
Эта книга впервые увидела свет спустя ровно 30 лет с того момента, который многими в мире признается в качестве отправной точки в истории развития финансового риск-менеджмента как самостоятельного направления практической деятельности и раздела финансовой теории. В 1973 г. почти одновременно произошли три важнейших события, во многом определившие «финансовую картину мира» на десятилетия вперед: переход к системе свободно плавающих курсов основных мировых валют в результате отмены Бреттон-Вудских соглашений, начало работы Чикагской биржи опционов, ставшей первым в мире регулярным рынком опционных контрактов, и опубликование Блэком, Шоулзом и Мертоном своей знаменитой модели ценообразования европейских опционов. Не будет сильным преувеличением сказать, что если первое из этих событий «породило» рыночные риски в глобальном масштабе, то второе — вооружило участников рынка действенными инструментами управления рисками путем хеджирования, а третье — дало ключ к пониманию этих рисков и их научно обоснованной количественной оценке.
Но это было только начало. В последнее десятилетие XX в. финансовому риск-менеджменту было суждено испытать бурный расцвет, сравнимый с наиболее плодотворными периодами в развитии фундаментальных наук. Верным признаком такого расцвета может служить лавинообразный рост числа публикаций по данной тематике в последние годы. Новизна, высокая сложность и творческий характер задач, связанных с количественной оценкой и управлением рисками, стали одним из факторов прихода в эту сферу большого числа специалистов в области точных наук. Арсенал риск-менеджеров радикально преобразился за счет появления таких новых понятий, методик и инструментов, как показатель value-at-risk и стресс-тестирование, модели RiskMetrics и CreditMetrics, экономический капитал и RAROC, экзотические опционы и кредитные производные, секьюритизация и «Базель II». Многие из этих терминов стали нарицательными и прочно вошли в лексикон участников финансового рынка, регулирующих органов и средств массовой информации. Одновременно возникла насущная потребность в освещении этой «новой реальности» в научной и учебной литературе. Все эти современные подходы и технологии финансового риск-менеджмента и являются предметом рассмотрения в данной книге.
Прежде чем перейти к изложению конкретных подходов и принципов риск-менеджмента, необходимо хотя бы вкратце остановиться на том, какой смысл вкладывается в финансовой сфере в понятие риска, как на практике классифицируют его многочисленные источники и проявления и какие существуют способы управления риском и его последствиями.
Понятие риска. Основные виды рисков в финансовой сфере
Процесс принятия решений в экономике на всех уровнях управления происходит в условиях постоянно присутствующей неопределенности состояния внешней и внутренней среды, которая обусловливает частичную или полную неопределенность конечных результатов деятельности. В экономике под неопределенностью (uncertainty) понимается неполнота или неточность информации об условиях хозяйственной деятельности, в том числе о связанных с ней затратах и полученных результатах. Причинами неопределенности являются три основных фактора: незнание, случайность и противодействие. В частности, неопределенность объясняется тем, что экономические проблемы сводятся, в сущности, к задачам выбора из некоторого числа альтернатив, при этом экономические агенты — организации и индивиды — не располагают полным знанием ситуации для выработки оптимального решения, а также не имеют вычислительных средств достаточной мощности для адекватного учета всей доступной им информации.
В современной экономической теории в качестве «индикатора», или «двойника», неопределенности выступает категория риска. Основное различие между риском и неопределенностью заключается в том, известны ли принимающему решения субъекту количественные вероятности наступления определенных событий. Если риск характерен для производственноэкономических систем с массовыми, повторяющимися событиями, то неопределенность существует, как правило, в тех случаях, когда вероятности последствий приходится определять субъективно из-за отсутствия статистических данных за предшествующие периоды. Такой подход к интерпретации категорий риска и неопределенности принят в неокейнсианском направлении экономической науки, в то время как неоклассическая школа считает эти понятия тождественными.
В количественном отношении неопределенность подразумевает возможность отклонения результата от ожидаемого, или среднего, значения как в меньшую, так и в большую сторону. Такая неопределенность носит название «спекулятивной», в отличие от «чистой» неопределенности, предполагающей только возможность негативных отклонений конечного результата деятельности. В литературе понятие риска может соответствовать как спекулятивной неопределенности и включать положительные и отрицательные исходы (например, в отношении операций на финансовых рынках), так и чистой неопределенности (в этом смысле риск трактуется в страховом деле). В финансовом риск-менеджменте под риском (risk)[5] преимущественно понимается возможность потери части своих активов, недополучения доходов или появления дополнительных расходов в результате осуществления предпринимательской деятельности, что соответствует понятию чистой неопределенности.
В отличие от неопределенности как таковой, риск является измеримой величиной; его количественной мерой служит вероятность неблагоприятного исхода. В более узком смысле экономический риск определяется как измеримая вероятность недополучения прибыли либо снижения стоимости финансовых активов, компании в целом и т.д.[6] Однако не для всех видов риска, которым подвержены экономические агенты, можно одинаковым образом определить вероятность, в том смысле, в каком она обычно вводится для рыночного риска. Ввиду этого для единообразного определения риска прибегают к более многозначному понятию возможности (chance), которого мы и будем придерживаться ниже.
На практике наибольшее внимание уделяется не вероятности неблагоприятного исхода как таковой, а стоимостной оценке подверженности риску (exposure)[7], которая может выражаться с помощью таких показателей, как максимальная сумма, которую можно потерять в результате изменения конкретного фактора риска, средняя величина убытков по данному виду операций за выбранный период времени, стандартное отклонение прибылей/убытков, максимальный размер потерь за определенный период времени с заданной вероятностью и т.д. Очевидно, что подверженность риску можно рассматривать как функцию от двух параметров: вероятности наступления негативного события и масштаба возможного ущерба, т.е. чувствительности портфеля (организации) к последствиям этого события.
Проблема управления рисками существует в любом секторе экономики — от сельского хозяйства и промышленности до торговли и финансов, что и объясняет ее постоянную актуальность. Поскольку все отрасли экономики связаны в единый механизм благодаря финансовой сфере, именно характерным для нее рискам и посвящена эта книга.
К настоящему времени в финансовой теории еще не разработано общепринятой и одновременно исчерпывающей классификации рисков. Это связано с тем, что на практике существует очень большое число различных проявлений риска, при этом в силу традиции один и тот же вид риска может обозначаться разными терминами. Кроме того, зачастую оказывается весьма сложным разграничить отдельные виды риска, например портфельный и рыночный.
Тем не менее определенный отраслевой консенсус в отношении основных типов или классов риска, которым подвержены финансовые посредники, все же достигнут. Важную роль в формировании общего взгляда на типологию финансовых рисков сыграл выход в свет в 1996 г. «Общепринятых принципов управления риском»[8], разработанных компанией Coopers & Lybrand. В соответствии с признанной ныне стандартной классификацией, главными угрозами для благополучия финансового института[9] являются рыночные, кредитные и операционные риски, риски ликвидности и риски события.
Рыночный риск (market risk) — возможность потерь в результате колебаний процентных ставок, курсов валют, цен акций и товарных контрактов. Разновидностями рыночного риска являются, в частности, валютный и процентный риски.
Хотя валютный и процентный риски имеют общую экономическую природу с другими формами рыночного риска, они в ряде классификаций рассматриваются обособленно в связи с их особой важностью для всех хозяйствующих субъектов, особенно для банковского сектора.
Валютный риск (currency risk) определяется как возможность потерь в связи с изменением курса одной иностранной валюты по отношению к другой, в том числе национальной, валюте при проведении кредитных и внешнеэкономических операций, а также при инвестировании средств за рубежом. Помимо чисто экономической составляющей, понятие валютного риска объединяет в себе и риски другой природы — трансляционный риск (риск перевода) и операционный валютный риск.
Соответственно, процентный риск (interest rate risk) — это возможность потерь в результате изменения процентных ставок. Для кредитных учреждений одним из проявлений процентного риска может являться сокращение процентной маржи между ставками, выплачиваемыми по привлеченным средствам, и ставками по предоставленным кредитам. Другим примером процентного риска может служить риск реинвестирования средств при неустойчивых процентных ставках.
Кредитный риск (credit risk), или риск контрагента (counterparty risk), — возможность потерь в результате неспособности контрагентов (заемщиков) исполнять свои обязательства, в частности обязательства по выплате процентов и основной суммы долга в соответствии со сроками и условиями кредитного договора. К кредитному риску относят риск дефолта и риск потерь от изменения кредитного спреда.
Несмотря на внешнюю схожесть определений, кредитный риск, в отличие от риска рыночного, по своей природе является асимметричным. Это означает, что потенциальный выигрыш при операциях кредитования ограничен относительно небольшой положительной доходностью (очевидно, что ни один заемщик не заплатит банку больше того, что предусмотрено кредитным договором), зато потенциальный убыток банка может колебаться в гораздо более широком диапазоне: от нуля до более 100% суммы размещенных средств (в наихудшем случае потери могут превысить номинальный размер ссуды за счет судебных издержек на востребование задолженности, недополученной прибыли, а также возможных штрафов и пеней, уплачиваемых кредитором при просрочке или невозможности возврата привлеченных для кредитования средств).
Кроме того, существует еще ряд рисков, которые не являются специфическими только для финансовой сферы, но значимость которых тем не менее трудно переоценить. К ним относятся:
• риск ликвидности (liquidity risk): а) риск рыночной ликвидности (market liquidity risk) — возможность потерь, вызванных невозможностью купить или продать актив в нужном количестве за достаточно короткий период времени по среднерыночной цене; б) риск балансовой ликвидности (funding liquidity risk) — возможность возникновения дефицита наличных средств или иных высоколиквидных активов для выполнения обязательств перед контрагентами;
• операционный риск (operational risk) — возможность потерь вследствие технических ошибок при проведении операций, умышленных и неумышленных действий персонала, аварийных ситуаций, сбоев аппаратуры, несанкционированного доступа к информационным системам и т.д. К операционным рискам часто относят и убытки, обусловленные неадекватностью используемых методов и моделей оценки и управления рисками;
• риск (бизнес-)события ([business] event risk) — возможность возникновения непредвиденных потерь вследствие форс-мажорных обстоятельств, изменений законодательства, действий государственных органов и т.д. К рискам события обычно относят юридические, бухгалтерские и налоговые риски, риск репутации, риск действий регулирующих органов и др.
Следует отметить, что последние два вида риска наиболее трудно поддаются формализации и количественной оценке. Отчасти это объясняется тем, что операционные риски и риски событий во многом обусловлены так называемым человеческим фактором.
Перечисленные риски будут иметь разную значимость для разных организаций. Так, например, в банковском деле наибольшие потери происходят вследствие кредитных и рыночных рисков, а для клиринговых организаций на передний план выходят операционные риски и риски контрагента. Наконец, предприятия промышленности, торговли и сферы услуг (за исключением финансовых) будут подвержены также и специфическим рискам, обусловленным их отраслевой принадлежностью и особенностями производственного процесса. Эти риски, обычно называемые техногенными или производственными, находятся за рамками данной книги.
Способы управления рисками
Основными способами снижения рисков в экономике независимо от отраслевой специфики являются страхование, резервирование (самострахование), хеджирование, распределение, диверсификация, минимизация (управление активами и пассивами) и избежание (отказ от связанной с риском операции)[10].
Перечисленные способы различаются в первую очередь по своей экономической сущности, состоящей в передаче риска третьему лицу (при страховании, хеджировании и распределении) либо в оставлении его на собственном удержании (при резервировании, диверсификации или минимизации путем управления активами и пассивами). Другим критерием классификации может служить объект управления, в качестве которого выступает вероятность наступления или подверженность риску (при хеджировании, распределении, диверсификации и управлении активами и пассивами) или чистый ущерб вследствие проявления риска (при резервировании и страховании). В рыночной экономике решения об уровне риске предприятия принимают его владельцы и управляющие, а усилия государства направлены в основном на минимизацию последствий реализации принятого риска.
По аналогии с анализом и синтезом можно провести различие между декомпозицией и агрегированием риска[11]. Под декомпозицией риска (risk disaggregation) понимается разложение риска, рыночная стоимость которого не может быть определена непосредственно, на отдельные компоненты, стоимость которых, по крайней мере некоторых из них, можно оценить по рыночным данным. Декомпозицию риска можно определить как аналитическую оценку стоимости не торгуемых на рынке инструментов на основе наблюдаемых рыночных цен других инструментов с целью их правильного ценообразования. Примером декомпозиции может служить представление опциона пут через опцион колл плюс позицию по базисному активу. Агрегирование риска (risk aggregation), напротив, предполагает создание портфеля, корреляция между элементами которого меньше единицы, что позволяет снизить риск путем его диверсификации. Примерами агрегирования риска являются расчет показателя VaR и стресс-тестирование на уровне портфеля. Агрегирование и декомпозицию риска не следует рассматривать как взаимоисключающие способы, поскольку агрегирование тоже опирается на рыночные оценки риска, без которых невозможно получить объективные оценки вероятностей и корреляций между проявлениями рисков, необходимых для реализации портфельного подхода.
В банковском деле резервирование — это один из основных способов управления совокупным риском, который не может быть передан страховщику или гаранту (посредством страхования или гарантирования) либо участникам финансового рынка (путем хеджирования производными инструментами). С целью компенсации ожидаемых потерь банки формируют собственные средства — капитал, а также обязательные резервы на возможные потери по ссудам и прочим активам, относимые на расходы банка (фактически это означает перенос риска на клиента посредством включения в цену услуги, например кредита). Минимальные требования к достаточности капитала лежат в основе государственного регулирования рисков банковской системы.
Страхование, как и резервирование, не ставит своей целью уменьшение вероятности проявления или подверженности риску, а нацелено преимущественно на возмещение материального ущерба от его проявления[12]. Для страхования подходят массовые виды риска, вероятности проявления которых известны с высокой степенью точности и не сильно коррелированы между собой. Из рассмотренных выше видов риска в наибольшей степени этим требованиям удовлетворяют некоторые операционные и кредитные риски.
Хеджирование представляет собой способ защиты от возможных потерь путем заключения уравновешивающей сделки (переноса риска изменения цены с одного лица на другое). Хеджирование предназначено для снижения возможных потерь вложений вследствие рыночного риска, реже кредитного риска и риска событий. Как и страхование, хеджирование требует отвлечения дополнительных ресурсов (например, уплаты опционной премии или внесения маржи).
Совершенное хеджирование предполагает полное исключение возможности получения какой-либо прибыли или убытка по данной позиции за счет открытия противоположной, или компенсирующей, позиции. Подобная «двойная гарантия» как от прибылей, так и от убытков отличает совершенное хеджирование от классического страхования. Хеджирование рыночных рисков осуществляется путем проведения операций с производными финансовыми инструментами — форвардами, фьючерсами, опционами и свопами. В последние годы появились инструменты хеджирования кредитных рисков и рисков события, к которым относятся, например, кредитные свопы и производные на погоду.
Снижение риска может быть достигнуто также путем его распределения между участниками сделки (включение риска в стоимость продукции и услуг, предоставление гарантий или поручительств, залог имущества, система взаимных штрафных санкций). Распределение риска подразумевает решения по расширению (сужению) числа потенциальных инвесторов или участников проекта.
Диверсификация — один из способов уменьшения совокупной подверженности риску путем распределения вложений и/или обязательств. Наиболее часто под диверсификацией понимается размещение финансовых средств в более чем один вид активов, цены или доходности которых слабо коррелированы между собой. Другой формой диверсификации является привлечение средств из различных, слабо зависящих друг от друга источников. Сущность диверсификации состоит в снижении максимально возможных потерь за одно событие, но при этом возрастает количество видов риска, которые необходимо контролировать, что влечет за собой рост транзакционных издержек. Диверсификация — это один из наиболее популярных механизмов снижения рыночных и кредитных рисков при формировании портфелей финансовых активов, банковских ссуд или пассивов. Следует помнить, что диверсификация позволяет уменьшить только несистематический риск (риск, связанный с конкретным инструментом), в то время как систематические риски, общие для всех рассматриваемых инструментов (например, риск циклического спада экономики), не могут быть уменьшены путем изменения структуры портфеля.
Минимизация преследует цель тщательной балансировки активов и обязательств, с тем чтобы свести к минимуму колебания чистой стоимости портфеля. Теоретически в этом случае не возникает необходимости в отвлечении ресурсов на формирование резерва или открытие компенсирующей позиции. Управление активами и пассивами направлено на избежание чрезмерного риска путем динамического регулирования основных параметров портфеля. Иными словами, этот метод нацелен на регулирование подверженности риску в процессе самой деятельности, в отличие от хеджирования, основанного на упреждающей нейтрализации риска. Управление активами и пассивами наиболее широко применяется в банковской практике для контроля за рыночными, главным образом валютными и процентными рисками.
Все перечисленные выше способы управления риском составляют арсенал финансового риск-менеджера, с помощью которых решается главная задача — обеспечение выживаемости компании в условиях конкуренции, повышение рыночной стоимости на уровне отдельного предприятия и поддержание стабильности функционирования финансовой системы на уровне отдельных стран и мировой экономики в целом.
О книге
Изначальный замысел книги состоял в том, чтобы создать на русском языке пособие учебного и справочного характера, в котором были бы систематизированно изложены подходы и методы количественной оценки и управления важнейшими видами финансовых рисков на уровне современных международных стандартов, выработанных профессиональными объединениями риск-менеджеров, такими как GARP и PRMIA. Это обусловило структуру книги, большинство глав которой ориентированы на соответствующие разделы программы квалификационного экзамена Financial Risk Manager (FRM®). Однако в процессе работы над книгой возникла логическая необходимость выйти за рамки первоначальных планов. Так, в нее были включены самостоятельные главы, посвященные рискам рыночной ликвидности, прогнозированию макроэкономических рисков и методам оптимизации портфелей активов и пассивов. Хотя эта книга не претендует на освещение всех аспектов современного финансового риск-менеджмента, по объему рассматриваемого материала данное издание не имеет аналогов в России.
Реализация проекта такого масштаба стала возможной только благодаря объединенным усилиям специалистов в различных областях финансового риск-менеджмента. Авторский коллектив включает ведущих представителей профессионального сообщества риск-менеджеров, стоявших у истоков развития в России этого нового направления деятельности.
Отличительной особенностью книги является то, что авторами предпринята попытка дать стандартную терминологию финансового риск-менеджмента на русском языке, учитывающую те реалии, которые сложились за последние годы. Во всех случаях параллельно с русскими эквивалентами в книге приведены и оригинальные термины на английском языке. В большинстве глав авторы стремились не только изложить необходимый минимум учебного материала, но и сопроводить его подробным указателем литературы по соответствующей тематике. Это может оказаться полезным для тех, кто желал бы более глубоко ознакомиться с интересующими аспектами риск-менеджмента.
Многообразие затронутых тем и широта их охвата вызвали немалые трудности в работе над книгой, но авторы искренне надеются, что полезность этой книги для специалистов-практиков будет возрастать по мере развития в России культуры риск-менеджмента.
Книга ориентирована в первую очередь на профессионалов, непосредственно занимающихся оценкой и управлением рисками в банковском секторе, в инвестиционных компаниях и фондах, страховых компаниях, на предприятиях реального сектора экономики. Однако она будет полезна всем читателям, желающим получить представление о финансовом риск-менеджменте или повысить свою квалификацию в этой области, в том числе преподавателям, студентам старших курсов и аспирантам экономических факультетов вузов. Пособие может использоваться в качестве учебного и справочного пособия при подготовке к сдаче международных профессиональных экзаменов по финансовому риск-менеджменту, таких как FRM® и PRM®.
Книга состоит из 11 глав, посвященных различным аспектам финансового риск-менеджмента. Многие из рассмотренных в ней тем впервые систематизированно излагаются на русском языке.
Первая глава книги, написанная В. Е. Барбаумовым, представляет собой краткий обзор математических методов, составляющих аппарат современного риск-менеджмента, в объеме, необходимом для понимания последующих глав. В главе излагаются базовые понятия и представления финансовой математики, теории вероятностей и математической статистики, включая стоимость денег во времени, доходность и волатильность, методы ценообразования облигаций и модели эволюции процентных ставок, важнейшие виды вероятностных распределений и случайных процессов, элементы регрессионного анализа и метод Монте-Карло, а также краткий обзор основных результатов математической теории рекордов (экстремальных значений), применяемых в финансовом риск-менеджменте. Теоретический материал главы богато иллюстрирован примерами, позволяющими лучше овладеть навыками финансовых вычислений.
Предметом рассмотрения второй главы являются производные финансовые инструменты: форвардные, фьючерсные и опционные контракты на различные активы, а также процентные и валютные свопы и облигации со встроенными опционами. В. Е. Барбаумов приводит их характеристики, модели ценообразования, включая известную модель Блэка-Шоулза, и основные спекулятивные и хеджирующие стратегии применения этих инструментов. Как и в предыдущей главе, изложение необходимых теоретических знаний сопровождается разбором многочисленных расчетных примеров.
В третьей главе представлен целостный взгляд на систему оценки и управления рыночными рисками. М. А. Рогов последовательно развивает различные по уровню сложности подходы к измерению рыночного риска: от простейших балансовых показателей и коэффициентов чувствительности производных инструментов до показателя value-at-risk (VaR) и так называемых когерентных мер риска. В главе дан сравнительный анализ различных методов расчета показателя VaR. Все важнейшие понятия рассмотрены на примерах, большинство из которых основано на реальных ценовых данных с российского финансового рынка. В приложении к главе содержатся рекомендации по построению системы управления рисками в российских корпорациях.
Одной из важных, но при этом и весьма сложных проблем, возникающих при оценке рыночного риска, является учет факторов ликвидности. Особенно остро эта проблема стоит на «развивающихся рынках», отличающихся малой глубиной и высокой волатильностью, к числу которых относится и Россия. Следует отметить, что эта тема весьма скупо освещена в мировой литературе, так как долгое время считалось, что этот вид риска не поддается количественной оценке. Однако к концу 1990-х гг. были предложены первые подходы к измерению ликвидности финансовых рынков и ее отражению в моделях расчета VaR. Данной теме посвящена четвертая глава книги, написанная Д. Ф. Щукиным. В ней подробно рассмотрены характеристики ликвидности рынка, предложенные Комитетом по глобальной финансовой системе при Банке международных расчетов, а также оригинальный подход к количественной оценке риска рыночной ликвидности, проиллюстрированный на примере российского рынка акций.
Кредитный риск общепризнан основным видом риска, с которым сталкиваются в своей деятельности финансовые институты. Этот риск подробно анализируется Н. Ю. Ситниковой в пятой главе. В первой части главы рассмотрен традиционный подход к анализу кредитоспособности заемщиков. Вторая часть представляет собой детальный экскурс в современные методы количественной оценки риска дефолта в разрезе его составляющих: вероятности дефолта, подверженности риску и уровня возмещения потерь. Основное внимание в этой части уделяется моделям оценки кредитного риска, ставшим отраслевыми стандартами, включая Z-модель Альтмана, модель ZETA и модель ожидаемой вероятности дефолта (EDF), разработанную компанией KMV. Ее дополняет сравнительный анализ современных моделей оценки кредитного риска портфеля: CreditMetrics, Credit Portfolio View, CreditRisk+ и Moody’s KMV Portfolio Manager. В третьей части главы дан обзор основных способов управления кредитными рисками. Отдельные разделы главы посвящены страновому риску и основным видам кредитных производных инструментов.
Значимость операционных рисков в последние годы существенно возросла как вследствие целого ряда громких случаев потерь, причиной которых стали именно эти риски (в том числе и в России), так и из-за повышенного внимания, которое уделяет им финансовое сообщество, в частности Базельский комитет по банковскому надзору. В шестой главе П. В. Бурков представил широкий обзор методов идентификации и управления операционными рисками, делая особый акцент на рисках, связанных с использованием информационных систем. Отдельный раздел посвящен новейшим подходам Базельского комитета к расчету размера капитала, резервируемого против операционных рисков. Эти альтернативные подходы уже применяются банками развитых стран начиная с 2007 г. после выступления в силу Нового базельского соглашения по капиталу и вызывают значительный интерес у отечественных кредитных организаций. В приложениях к главе дана оригинальная авторская классификация операционных рисков, возникающих в деятельности инвестиционной компании, а также стандартная классификация операционных потерь, предложенная в Новом базельском соглашении по капиталу.
Грамотное управление финансовыми рисками в современных условиях невозможно без базовых знаний о юридических, бухгалтерских и налоговых аспектах заключаемых сделок. Они являются предметом рассмотрения в седьмой главе применительно к операциям с производными инструментами на международных рынках капитала. Основное внимание в этой главе С. Н. Тихомиров уделяет внебиржевым сделкам своп, для снижения рисков которых Международной ассоциацией по свопам и производным (ISDA) была разработана стандартная документация. Хотя в России срочный рынок находится пока еще в зачаточном состоянии, эти вопросы будут становиться все более актуальными по мере совершенствования законодательной базы, повышения ликвидности рынка и перехода его участников на Международные стандарты финансовой отчетности (МСФО).
Восьмая глава, написанная канд. экон. наук А. А. Лобановым, представляет собой попытку систематизированного изложения современных представлений об интегрированной оценке и управлении основными видами рисков на уровне всего предприятия: от организационных аспектов до оценки результатов деятельности с учетом риска, стресс-тестирования, управления модельным риском и торговыми лимитами. Для этого потребовалось предпринять краткий экскурс в историю финансового риск-менеджмента, а также рассмотреть факторы, вызывавшие к жизни новую парадигму управления рисками в масштабе предприятия.
В главе подробно проанализированы такие популярные показатели экономического эффекта и эффективности с учетом риска, как EVA и RAROC, а также возможности их использования в практике корпоративного управления. Центральное место в главе занимают методы расчета так называемого экономического капитала. Автору удалось свести воедино различные трактовки этого понятия и дать сравнительный анализ методов размещения капитала по подразделениям и видам деятельности. В самостоятельных разделах рассмотрены способы оценки портфеля на устойчивость к рыночным кризисам (стресс-тестирование), а также источники и способы снижения такого специфического феномена риск-менеджмента, как риск неадекватности применяемых моделей. В конце главы рассмотрены различные способы контроля за трейдерами, при этом особое внимание уделено методам расчета VaR-лимитов и современным подходам к управлению торговыми лимитами. Изложение основных теоретических концепций подкреплено целым рядом практических примеров.
В девятой главе, посвященной регулированию банковских рисков, A. А. Лобанов и С. В. Замковой подробно излагают различные нормативные подходы к расчету достаточности банковского капитала и страхования вкладов как двух основополагающих механизмов поддержания стабильности банковских систем. В ней последовательно рассматриваются подходы Базельского комитета по банковскому надзору к оценке кредитного и рыночного рисков активов: стандартный подход и подход на основе внутренних моделей банков, а также обсуждаются преимущества и недостатки подхода на основе предварительных обязательств, предложенного экономистами ФРС США. Сегодняшний день государственного регулирования банковских рисков представлен в главе обзором основных положений Нового базельского соглашения по капиталу 2004 г. (модифицированного стандартного подхода и подхода на основе внутренних рейтингов к оценке кредитного риска, функциям банковского надзора и требований к раскрытию информации по рискам). В главе также анализируются базовые принципы страхования банковских вкладов и приводятся рекомендации по построению систем гарантирования вкладов, вытекающие из теоретических работ и практического опыта различных стран.
Логическим развитием современного риск-менеджмента является применение концепций и методов, разработанных и успешно применяемых на уровне предприятия, к прогнозированию и контролю за системными рисками на макроэкономическом уровне. Эти риски рассматриваются С. В. Замковым и B. К. Шпрингелем в десятой главе книги, при этом основное внимание авторы уделили моделям прогнозирования банковских и финансовых кризисов.
Портфельный подход проходит красной нитью через большинство методик риск-менеджмента, и ему посвящена последняя, одиннадцатая глава книги, написанная Д. Ю. Голембиовским. В ней читатель найдет обзор методов оптимизации портфелей финансовых инструментов, в том числе описание современных моделей управления активами и пассивами.
Значительная часть материала этой книги была апробирована авторами на курсе по подготовке к сдаче международного экзамена FRM®, разработанном Исследовательской группой «РЭА — Риск-Менеджмент» при поддержке Фонда Евразия, который проводится регулярно с 2000 г.
Редакторы искренне благодарны всем авторам книги, инвестировавшим в ее создание свое время и интеллектуальный капитал. Глубокую признательность редакторы выражают С. Н. Смирнову за сделанные им ценные замечания, способствовавшие улучшению структуры и качества материала, а также О. К. Васильевой за помощь в процессе подготовки книги к печати. Отдельную благодарность редакторы приносят А. М. Ильину, выступившему в качестве инициатора данного проекта, М. Е. Савиной и А. А. Фоминову за их неиссякаемое терпение и понимание всех сложностей, связанных с созданием этой книги.
Изменения во втором издании
Во втором, исправленном и дополненном издании книги улучшения были внесены практически во все главы, при этом материал глав II, VIII, IX и X был существенно расширен. Так, в главе II более подробно освещены арбитражные и неарбитражные модели эволюции процентной ставки и методы ценообразования инструментов, производных от процентной ставки, в частности опционов на купонные облигации. В главе V приведена полная классификация событий, приводящих к операционным потерям, которая была предложена Базельским комитетом по банковскому надзору в Новом соглашении по капиталу. Глава VIII дополнена материалами по организационным аспектам риск-менеджмента, в том числе по построению «карты рисков»; также в ней приведены рекомендации Базельского комитета по проведению стресс-тестирования в рамках подхода на основе внутренних рейтингов. В главу IX добавлен раздел, посвященный рискам страхования банковских вкладов. Глава X расширена за счет включения нового раздела, посвященного анализу макроэкономических рисков как причин банковского кризиса в России в 1998 г.
Изменения в четвертом издании
В четвертом, исправленном и дополненном издании в главу I включены определения медианы и моды вероятностных распределений, характеристики биномиального распределения, распределения Пуассона, бета- и гамма-распределений, двумерного нормального распределения. Глава также дополнена разделом, посвященным теории экстремальных значений. В главе II приведена краткая характеристика соглашений о форвардной процентной ставке (FRA). В главу VIII включены новые комментарии к методу RAROC и его модификациям, описания актуальных сценариев для проведения стресс-тестирования, а также раздел, посвященный методам контроля за трейдерами и управлению торговыми лимитами. В главе IX полностью переработан и дополнен обзор Нового соглашения по капиталу 2004 г. («Базеля II»), выполненный на основе последней редакции этого соглашения от ноября 2006 г. Кроме того, существенно обновлена библиография глав VIII и IX.
Редакторы и авторы выражают благодарность всем читателям, приславшим свои отзывы и замечания к текстам предыдущих изданий книги.
А. А. Лобанов, А. В. Чугунов
Исследовательская группа «РЭА — Риск-Менеджмент»
[5] Сведения об этимологии слова «риск» см. в книге: Рогов М.А. Риск-менеджмент. — М.: Финансы и статистика, 2001.
[7] Термины risk management и exposure management часто используются как синонимы. См.: Gastineau G. L., Kritzman M. P. Dictionary of financial risk management. — N.Y.: Frank Fabozzi Associates, 1996.
[6] Downes J., Goodman J. E. Dictionary of finance and investment terms. 4th ed. — N.Y.: Barron’s, 1995.
[9] Следует отметить, что под финансовыми рисками в литературе зачастую понимаются не только те риски, которые имеют собственно финансовую природу (рыночный, кредитный риски и риск ликвидности), но и все те риски, которые возникают в деятельности организаций — финансовых посредников.
[8] Generally accepted risk principles. — United Kingdom: Coopers & Lybrand, 1996.
[12] Страхование рисков обычно предполагает проведение предупредительных мероприятий по снижению вероятности наступления страховых событий, которые, однако, далеко не всегда достигают желаемой цели.
[11] Allen S. Financial risk management: A practitioner’s guide to managing market and credit risk. — Hoboken, N.J.: John Wiley & Sons, Inc., 2003.
[10] См. также табл. 8.2.
I. Количественный анализ
В. Е. Барбаумов
1.1. Введение
Научно обоснованное управление финансовыми рисками невозможно без соответствующей методики измерения этих рисков. Существующие методы измерения финансовых рисков в основном опираются на современную теорию финансовых инструментов с фиксированными доходами, теорию вероятностей, математическую статистику и теорию случайных процессов. Именно эти вопросы составляют основное содержание первой главы настоящей книги.
В частности, при изучении финансовых инструментов с фиксированными доходами вводятся многие фундаментальные понятия теории финансов: будущая и приведенная стоимости инвестиций, внутренняя доходность облигаций, временная структура процентных ставок, кривая рыночных доходностей, дюрация и выпуклость портфелей облигаций. Все эти понятия широко используются как при измерении финансовых рисков, так и при построении стратегий хеджирования этих рисков.
После небольшого обзора основных положений теории вероятностей рассматриваются важнейшие статистические методы оценки различных финансовых показателей, используемых в риск-анализе.
В заключительной части главы вводятся основополагающие понятия теории случайных процессов: сечения и траектории, математическое ожидание и дисперсия, процесс случайного блуждания, биномиальная модель, винеровский случайный процесс, стохастические дифференциальные уравнения. Подробно исследуется процесс геометрического броуновского движения, который играет ключевую роль в оценке производных финансовых инструментов.
1.2. Будущая стоимость денежного потока
Предположим, что денежная сумма Р инвестирована на Т лет под годовую процентную ставку r(m) при начислении процентов m раз в год. Тогда будущая стоимость (future value) инвестиции может быть найдена следующим образом:
Если же денежная сумма Р инвестирована под годовую процентную ставку
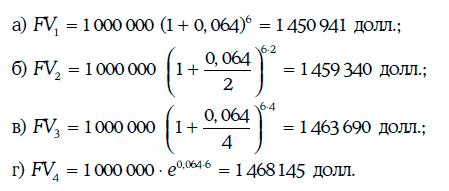
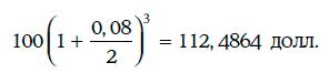
Пример 1.1. Денежная сумма в 1 млн долл. инвестирована на 6 лет под годовую процентную ставку 6,4%. Определим будущую стоимость инвестиции, если проценты начисляются: а) один раз в год; б) дважды в год; в) ежеквартально; г) непрерывно:
Очевидно, что будущая стоимость инвестиции возрастает при:
а) увеличении срока;
б) возрастании годовой процентной ставки;
в) росте частоты начисления процентов.
Годовые процентные ставки называют эквивалентными, если при инвестировании любой суммы Р под эти ставки на один и тот же срок совпадают будущие стоимости.
В частности, годовые процентные ставки r(m) и r(n) при начислении процентов m и n раз соответственно оказываются эквивалентными тогда и только тогда, когда
Годовая процентная ставка
Пример 1.2. Банк предлагает по депозитам годовую процентную ставку в 8% при начислении процентов один раз в год. Какую годовую процентную ставку можно требовать при начислении процентов: а) дважды в год; б) ежеквартально; в) непрерывно?
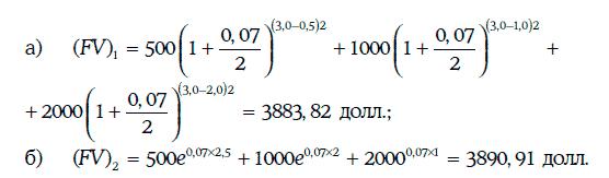
Предположим теперь, что инвестору обещают через t1, t2, ..., tn лет денежные суммы Pt1, Pt2, ..., Ptn соответственно. Если инвестор предполагает инвестировать все поступающие денежные суммы под одну и ту же годовую процентную ставку, то через Т лет будущая стоимость денежного потока будет равна:
Какова будущая стоимость денежного потока через 3 года, если инвестор предполагает инвестировать поступающие денежные суммы под 7% при начислении процентов: а) дважды в год; б) непрерывно?
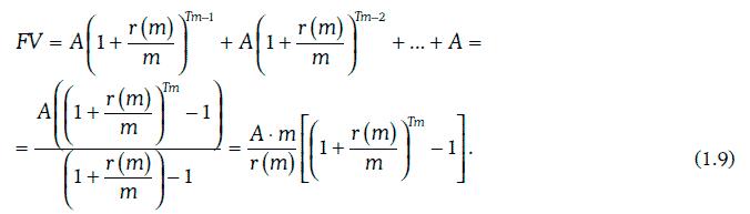
Если одну и ту же денежную сумму выплачивают (или получают) периодически в течение ряда лет, то соответствующий денежный поток называют рентой[13] (annuity). Промежуток времени между двумя соседними платежами — это рентный период. Ренту называют обыкновенной (ordinary annuity), если первый рентный платеж приходится в точности на конец одного рентного периода.
Рассмотрим обыкновенную ренту размером А сроком на Т лет, рентный период которой составляет
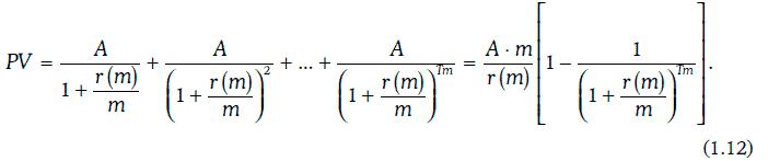
Если предположить, что все рентные платежи будут инвестироваться под одну и ту же годовую процентную ставку r(m) при начислении процентов m раз в год, то будущая стоимость обыкновенной ренты через Т лет может быть определена следующим образом:
Так как
то
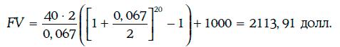
Пример 1.4. Менеджер покупает облигацию, по которой выплачиваются проценты в размере 40 долл. каждые полгода в течение 10 лет и номинальная стоимость в 1000 долл. в конце десятого года. Определим будущую стоимость инвестиции через 10 лет, если все платежи реинвестируются под 6,7%, а первый процентный платеж производится через 6 месяцев.
Денежный поток, определяемый облигацией, представляет собой обыкновенную ренту, в которой А = 40 долл., m = 2, Т = 10 лет, и выплату 1000 долл. в конце десятого года. Отсюда
1.3. Приведенная стоимость денежного потока
Денежную сумму, которую необходимо инвестировать сегодня, чтобы через определенное время получить данную будущую стоимость, называют приведенной стоимостью (present value).
Имеет место следующее равенство:
где
РV — приведенная стоимость инвестиции;
FV — будущая стоимость;
Т — срок инвестиции;
r(m) — процентная ставка при начислении процентов m раз в год.
Процентную ставку r(m), используемую для определения приведенной стоимости инвестиции, называют ставкой дисконтирования (discount rate). Если ставка дисконтирования определяется при непрерывном начислении процентов, то формула (1.10) принимает вид:
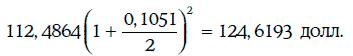
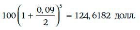
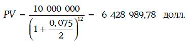
Пример 1.5. Менеджер пенсионного фонда должен через 6 лет выплатить 10 млн долл. В данный момент менеджер имеет возможность инвестировать любую сумму под 7,5% при начислении процентов дважды в год. Сколько должен инвестировать менеджер пенсионного фонда, чтобы выполнить свое обязательство?
Приведенная стоимость 10 млн долл. может быть найдена по формуле (1.10):
Следовательно, менеджер должен инвестировать 6 428 989,78 долл., чтобы через 6 лет получить 10 млн долл.
Из равенства (1.10) следует, что при прочих равных условиях:
1) чем больше ставка дисконтирования, тем меньше приведенная стоимость, и наоборот;
2) чем меньше срок инвестиции, тем больше приведенная стоимость, и наоборот.
Приведенная стоимость потока денежных платежей определяется в виде суммы приведенных стоимостей платежей, образующих этот денежный поток.
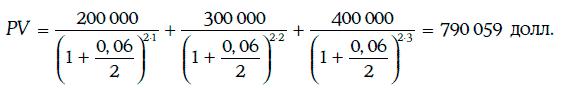
Пример 1.6. Финансовый директор компании знает, что ему предстоит произвести следующие платежи:
Какую денежную сумму необходимо инвестировать сегодня, чтобы обеспечить выполнение обязательств, если процентная ставка равна 6% при начислении процентов дважды в год?
Достаточно определить приведенную стоимость данного потока платежей:
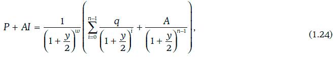
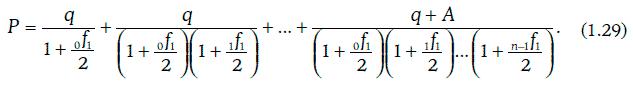
Если денежный поток представляет собой обыкновенную ренту, по которой т раз в год в течение Т лет выплачивается одна и та же денежная сумма А, то приведенная стоимость такой ренты может быть найдена следующим образом:
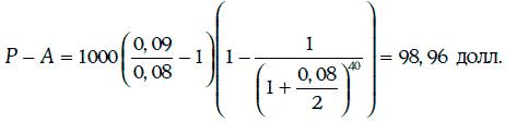
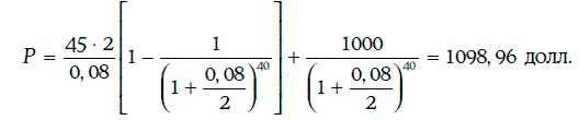
Пример 1.7. Банк согласился предоставить 30-летний ипотечный кредит в размере 100 000 долл. По условиям ипотечного кредитования ежемесячные платежи заемщика должны быть одинаковыми. Годовая процентная ставка, требуемая банком, равна 12%. Какова величина ежемесячного платежа заемщика?
Величина ежемесячного платежа заемщика определяется из условия, что приведенная стоимость потока платежей заемщика должна составить 100 000 долл. Значит,
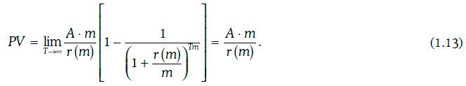
Обыкновенную ренту называют бессрочной[14] (perpetual annuity), если поток рентных платежей не ограничен по времени. Приведенная стоимость бессрочной ренты, по которой m раз в год выплачивается сумма А, может быть найдена следующим образом:
1.4. Внутренняя доходность финансовых инструментов
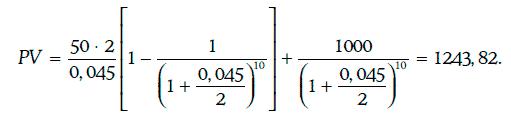
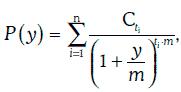
Внутренней доходностью (internal rate of return — IRR) финансового инструмента называют процентную ставку, при которой приведенная стоимость потока платежей по данному финансовому инструменту совпадает с его рыночной ценой.
Пример 1.8. Финансовый инструмент продается по цене 1243,82 долл., и по нему каждые 6 месяцев выплачивается по 50 долл. в течение 5 лет и еще 1000 долл. в конце пятого года. Покажем, что внутренняя доходность данного финансового инструмента при начислении процентов дважды в год составляет 4,5%.
Приведенная стоимость денежного потока по данному финансовому инструменту определяется следующим образом:
где r(2) — годовая процентная ставка при начислении процентов дважды в год.
При r(2) = 0,045 имеем
Так как приведенная стоимость денежного потока, определяемого финансовым инструментом, совпала с его рыночной ценой, то внутренняя доходность этого инструмента действительно равна 4,5%.
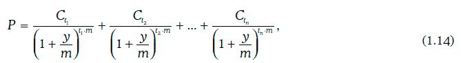
Рассмотрим финансовый инструмент со следующим потоком платежей:
Внутренняя доходность рассматриваемого финансового инструмента при начислении процентов m раз в год является решением уравнения:
где Р — рыночная цена финансового инструмента.
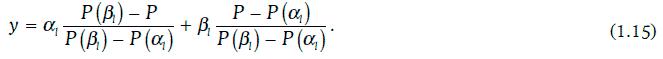
Функция
Для решения уравнения (1.14) можно использовать метод проб и ошибок. Вначале найдем простым подбором числа α1 и β1 так, чтобы P(α1) > Р, а P(β1) < Р (рис. 1.2). Тогда искомая внутренняя доходность будет находиться между α1 и β1, т.е. у ∈ (α1, β1). Промежуток (α1, β1) разделим на 10 равных частей. И, вычисляя значение функции Р(у) в точках деления, найдем числа α2 и β2 так, чтобы:
Тогда у ∈ (α2, β2). Повторяя данную процедуру несколько раз, можно найти достаточно малый промежуток (α1, β1), на котором находится искомая внутренняя доходность. В этом случае искомую внутреннюю доходность можно определить на основе линейной интерполяции:
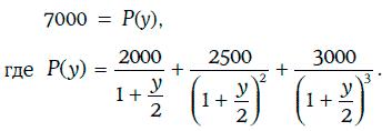
Определим внутреннюю доходность финансового инструмента при начислении процентов дважды в год, если рыночная цена финансового инструмента равна 7000 долл.
Чтобы определить искомую внутреннюю доходность, достаточно решить уравнение:
Так как
то полагаем α1 = 0,06, β1 = 0,07. Промежуток (α1, β1) разделим на 10 равных частей:
Заметим, что P(0,066) = 7000,5057 > 7000; P(0,067) = 6993,3546 < 7000. Значит, можно считать, что α2 = 0,066, а β2 = 0,067.
Используя линейную интерполяцию, получим, что
Так как Р(0,06607) = 7000,005, то искомая внутренняя доходность составляет 6,607%.
Если по данному финансовому инструменту приходится только один платеж, то его внутренняя доходность при начислении процентов m раз в год может быть найдена по формуле:
где С — размер платежа по финансовому инструменту;
Р — рыночная цена финансового инструмента;
Т — срок платежа по финансовому инструменту.
1.5. Котируемая цена купонных облигаций
Купонной облигацией (coupon bond) называют финансовый инструмент, по которому периодически выплачиваются купонные проценты вплоть до погашения и номинальная стоимость в момент его погашения.
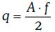
Отношение суммы купонных платежей за год к номинальной стоимости облигации называют купонной ставкой облигации (coupon rate).
Если f — купонная ставка облигации, то размер одного купонного платежа может быть найден по формуле:
где q — размер купонного платежа;
А — номинальная стоимость облигации;
m — количество купонных выплат за год.
Пример 1.10. Дана 9%-ная купонная облигация с полугодовыми купонами и номинальной стоимостью 1000 долл. Определим поток платежей по облигации, когда до ее погашения остается 2,25 года.
В данном случае f = 0,09, А = 1000 долл., m = 2. Значит,
и поток платежей по облигации имеет вид:
Цена купонной облигации должна совпадать с приведенной стоимостью потока платежей, обещаемых по этой облигации. Чтобы определить приведенную стоимость потока платежей, необходимо знать ставку дисконтирования, которая в данном случае является требуемой доходностью (required yield).
Требуемая доходность для данной купонной облигации устанавливается на основе исследования внутренних доходностей финансовых инструментов, сравнимых с данной купонной облигацией. При этом учитываются такие факторы, как кредитный рейтинг эмитентов, ликвидность финансовых инструментов и т.д.
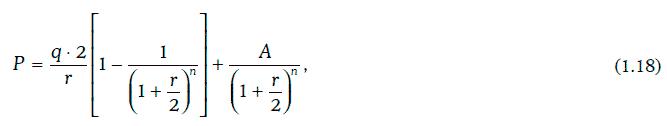
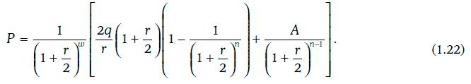
Котируемая цена (clean price) купонных облигаций определяется в моменты времени, когда происходят выплаты очередных купонных платежей. Котируемая цена купонной облигации с полугодовыми купонами может быть найдена по формуле:
где P — котируемая цена облигаций;
r — требуемая доходность;
А — номинальная стоимость облигации;
n — количество купонных платежей, остающихся до погашения облигации.
Пример 1.11. Найдем цену 9%-ной купонной облигации, номинальной стоимостью 1000 долл., когда до ее погашения остается 20 лет, а требуемая доходность составляет 8%.
В данном случае A = 1000 долл., f = 0,09,
Котируемую цену облигации можно найти по формуле (1.18):
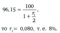
Говорят, что купонная облигация продается по номиналу (par value), если ее котируемая цена совпадает с номинальной стоимостью. Купонная облигация продается по номиналу тогда и только тогда, когда купонная ставка облигации равна требуемой доходности.
Облигация продается с премией (at a premium), если ее котируемая цена выше номинальной стоимости. Купонная облигация продается с премией тогда и только тогда, когда купонная ставка выше требуемой доходности. Размер премии для облигаций с полугодовыми купонами составляет:
Говорят, что купонная облигация продается с дисконтом (at a discount), если ее котируемая цена ниже номинала. Облигация продается с дисконтом тогда и только тогда, когда купонная ставка облигации меньше требуемой доходности. Размер дисконта можно найти следующим образом:
Пример 1.12. Облигация из примера 1.11 продается с премией, так как ее купонная ставка f = 0,09 выше требуемой доходности r = 0,08. Размер премии можно определить по формуле (1.19):
Если с течением времени требуемая доходность не изменяется, то чем ближе дата погашения облигации, тем меньше размер премии (дисконта).
Зависимость котируемой цены облигации от количества купонных платежей, остающихся до погашения облигации, показана на рис. 1.3.
Котировкой облигации называют отношение
где Р — котируемая цена облигации;
А — номинальная стоимость облигации.
Зная котировку облигации и ее номинальную стоимость, можно найти котируемую цену облигации.
Пример 1.13. Если котировка облигации номинальной стоимостью 5000 долл. равна
1.6. Цена купонных облигаций
Рассмотрим некоторую облигацию с полугодовыми купонами. Будем считать, что требуемая доходность известна и равна r.
Если расчетная дата приходится на дату купонного платежа, то цена облигации считается равной ее котируемой цене и может быть найдена по формуле (1.18). Если же расчетная дата находится между датами купонных платежей, то цена облигации определяется следующим образом:
где Р — цена облигации;
q — полугодовой купонный платеж;
А — номинальная стоимость облигации;
n — число купонных платежей, остающихся до погашения облигации;
w — отношение числа дней от расчетной даты до очередного купонного платежа к числу дней в купонном периоде.
Формулу (1.21) можно записать и в ином виде:
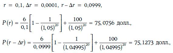
Пример 1.14. Дана 10%-ная облигация с полугодовыми купонами номиналом 100 долл., погашаемая 1 марта 2003 г. Определим, какова была цена этой облигации 17 июля 1997 г. при требуемой доходности в 7%.
В данном случае А = 100 долл., q = 5 долл., r = 0,07, n = 12.
При расчете фактического числа дней между двумя датами принято учитывать только одну из этих дат. Тогда число дней между 1 марта и 1 сентября 1997 г. — 184, а между 17 июля и 1 сентября 1997 г. — 46. Значит,
По формуле (1.22) найдем, что
Замечание. В примере 1.14 мы определяли число дней между двумя датами по календарю. Так принято, в частности, на рынке казначейских облигаций США. Этот стандарт расчета числа дней обозначают Actual/Actual. На других рынках облигаций могут использоваться и другие стандарты. Например, стандарт 30/360, когда число дней в любом месяце считается равным 30, а число дней в году — 360.
Пример 1.15. Определим цену облигаций из примера 1.14, если на рынке действует стандарт 30/360.
При стандарте 30/360 число дней между 1 марта и 1 сентября считается равным 180, а между 17 июля и 1 сентября — 44. Тогда
В этом случае цена облигации находится следующим образом:
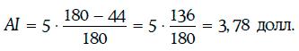
Если покупка облигации производится на бирже, то покупатель обязан уплатить котируемую цену облигации и накопленные проценты (accrued interest), которые рассчитываются следующим образом:
где q — полугодовой купонный платеж;
N1 — число дней от последнего купонного платежа до расчетной даты;
N — число дней в купонном периоде.
Сумму котируемой цены облигации и накопленных процентов называют «грязной» ценой (dirty price).
Пример 1.16. Определим величину накопленных процентов для облигации из примера 1.14.
При использовании стандарта Actual/Actual имеем:
а при стандарте 30/360:
1.7. Оценка доходности облигаций
На рынках облигаций используются различные меры доходности облигаций.
1.7.1. Текущая доходность
Текущей доходностью (currentyield) купонной облигации принято считать отношение суммы купонных платежей за год к рыночной цене облигации.
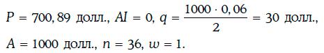
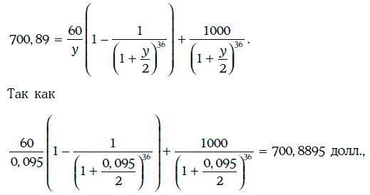
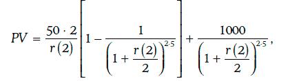
Пример 1.17. Определим текущую доходность 6%-ной облигации с полугодовыми купонами номиналом 1000 долл., продающейся по цене 700,89 долл., когда до ее погашения остается 18 лет.
1.7.2. Доходность к погашению
Доходность к погашению (yield to maturity) облигации с полугодовыми купонами является решением уравнения:
где Р — котируемая цена облигации;
AI — накопленные проценты на расчетную дату;
q — полугодовой купонный платеж;
А — номинальная стоимость облигации;
n — число купонных платежей, остающихся до погашения облигации;
w — отношение числа дней между расчетной датой и очередным купонным платежом к числу дней в купонном периоде.
Пример 1.18. Найдем доходность к погашению облигации из примера 1.17.
В данном случае
Следовательно, доходность к погашению удовлетворяет уравнению:
то доходность к погашению облигации равна 9,50%.
Нетрудно убедиться, что имеют место следующие утверждения:
1) если купонная облигация продается по номиналу, то купонная ставка равна текущей доходности облигации и ее доходности к погашению;
2) если купонная облигация продается с премией, то ее купонная ставка больше текущей доходности, которая, в свою очередь, больше доходности к погашению;
3) если же купонная облигация продается с дисконтом, то ее купонная ставка меньше текущей доходности, которая, в свою очередь, меньше доходности к погашению (см. примеры 1.17 и 1.18).
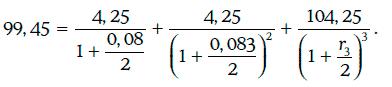
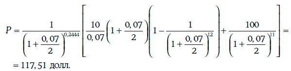
1.7.3. Доходность к отзыву
Во многих случаях при эмиссии облигаций оговаривается право эмитента выкупить всю эмиссию или некоторую ее часть до установленной даты погашения облигаций. Такие облигации принято называть отзывными (callable bonds). Для отзывных облигаций заранее устанавливается специальный график отзыва, показывающим цены отзыва в зависимости от времени, прошедшего после даты эмиссии; обычно через определенное время после эмиссии цена отзыва устанавливается выше номинала облигации, а затем она постепенно снижается до номинала.
Доходность к отзыву (yield to call) при условии, что расчетная дата приходится на дату купонного платежа, является решением уравнения следующего вида:
где Р — котируемая цена облигации с полугодовыми купонами;
q — полугодовой купонный платеж;
n* — число купонных платежей, остающихся до рассматриваемой даты отзыва;
А* — цена отзыва в соответствующий момент времени.
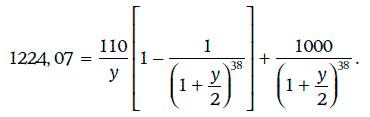
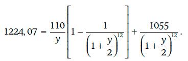
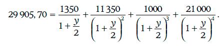
Пример 1.19. Дана 11%-ная облигация с полугодовыми купонами номиналом 1000 долл. и сроком погашения 19 лет, продающаяся по цене 1224,07 долл. Определим доходность облигации: а) к погашению; б) к отзыву через 6 лет по цене 1055 долл.; в) к отзыву через 10 лет по номиналу.
Доходность к погашению данной облигации должна удовлетворять следующему уравнению:
Решив уравнение, получим, что у = 0,0858. Таким образом, доходность к погашению составляет 8,58%.
Доходность к отзыву через 6 лет является решением уравнения
Откуда у = 0,0710, т.е. 7,10%.
Наконец, доходность к отзыву по номиналу равна 7,74%, так как должна удовлетворять уравнению
1.7.4. Доходность к продаже
В некоторых случаях по условиям эмиссии держатель облигации имеет право продать облигацию эмитенту по заранее установленной цене, зависящей от времени, прошедшего с момента эмиссии. Такие облигации называют продаваемыми (putable bonds)[15]. Для продаваемых облигаций можно определить доходность к продаже (yield to put)[16] по аналогии с тем, как находится доходность к отзыву для отзывных облигаций.
Если же облигация одновременно является отзывной и продаваемой, то можно рассмотреть доходность до всех предполагаемых дат отзыва и доходность ко всем предполагаемым датам продажи. Наименьшая из всех таких доходностей называется доходностью к «наихудшему» (yield to worst).
1.7.5. Маржа дисконтирования
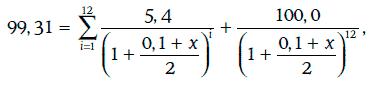
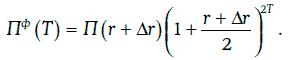
Мера доходности, называемая маржей дисконтирования (discounted margin), применяется только к облигациям с плавающей купонной ставкой (floating-rate securities). В простейшем случае плавающая купонная ставка определяется в установленные моменты времени по формуле:
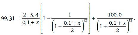
Маржей дисконтирования называют надбавку к ставке-ориентиру, которую держатель облигации ожидает получить за все время существования облигации, если ставка-ориентир не будет отклоняться от своего текущего уровня.
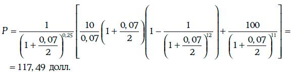
Пример 1.20. Дана 6-летняя облигация с плавающей купонной ставкой номиналом 100 долл. Купонная ставка больше ставки-ориентира на 80 базисных пунктов и определяется каждые 6 месяцев. Определим маржу дисконтирования, если цена облигации 99,31 долл., а текущее значение ставки-ориентира — 10%.
При определении маржи дисконтирования считается, что ставка-ориентир не меняется с течением времени. Значит, в этом случае полугодовой купонный платеж составит:
Маржа дисконтирования должна удовлетворять следующему уравнению:
которое можно переписать в виде:
Решив уравнение, получим, что х = 0,0096. Таким образом, маржа дисконтирования составляет 96 базисных пунктов.
1.8. Оценка доходности портфелей облигаций
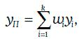
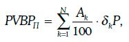
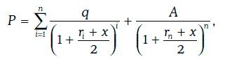
Для оценки доходности портфелей облигаций чаще всего используются следующие две меры доходности: средневзвешенная доходность и внутренняя доходность.
1.8.1. Средневзвешенная доходность портфеля облигаций
Средневзвешенная доходность портфеля облигаций (weighted average portfolio yield) определяется по формуле:
где k — число облигаций в портфеле;
yi — доходность i-й облигации, i = 1, 2, …, k;
wi — отношение рыночной стоимости i-й облигации к рыночной стоимости всего портфеля, i = 1, 2, …, k.
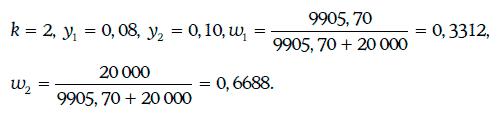
Пример 1.21. Портфель состоит из двух облигаций с полугодовыми купонами, параметры которых указаны в таблице:
Определим средневзвешенную доходность портфеля облигаций. В данном случае
Следовательно, средневзвешенная доходность портфеля равна
yП = 0,3312 • 0,08 + 0,6688 • 0,10 = 0,0934, т.е. 9,34%.
1.8.2. Внутренняя доходность портфеля облигаций
Внутренней доходностью портфеля облигаций (portfolio internal rate of return) является процентная ставка, при которой приведенная стоимость потока платежей от портфеля совпадает с рыночной стоимостью этого портфеля. Следовательно, чтобы определить внутреннюю доходность портфеля облигаций, предварительно необходимо найти поток платежей по данному портфелю.
Пример 1.22. Найдем внутреннюю доходность портфеля облигаций из примера 1.21.
Поток платежей по рассматриваемому портфелю имеет следующий вид:
Следовательно, внутренняя доходность портфеля облигаций должна удовлетворять уравнению:
Значит, у = 0,0959.
Таким образом, внутренняя доходность портфеля облигаций составляет 9,59%.
1.9. Кривые рыночных доходностей
Рассмотрим некоторую купонную облигацию. Каждый отдельный купонный платеж и каждую выплату номинальной стоимости можно интерпретировать как облигацию с нулевым купоном при соответствующем сроке до погашения. В этом случае саму облигацию можно рассматривать как портфель облигаций с нулевыми купонами.
Так как купонная облигация и портфель соответствующих облигаций с нулевыми купонами характеризуются одинаковыми потоками платежей, то должны совпадать и их цены. Следовательно, зная внутренние доходности облигаций с нулевыми купонами, можно найти цену купонной облигации.
Набор внутренних доходностей облигаций с нулевыми купонами, выпущенных эмитентами одного и того же кредитного рейтинга, называют временной структурой процентных ставок (term structure of interest rates).
Графическое изображение временной структуры процентных ставок принято называть кривой (рыночных) доходностей (yield curve, zero coupon curve).
Кривая доходностей может изменяться с течением времени. На рис. 1.4-1.7 показаны примеры кривых рыночных доходностей.
Кривую рыночных доходностей для казначейских (государственных) облигаций называют кривой спот-ставок (spot curve).
Если известна кривая спот-ставок, то можно определить цену любой купонной казначейской облигации.
Например, котируемая цена казначейских облигаций с полугодовыми купонами может быть найдена по следующей формуле:
где Р — котируемая цена облигации;
А — номинальная стоимость облигации;
n — число купонных платежей, остающихся до погашения облигации;
ri — спот-ставка на i полугодовых периодов, i = 1, 2, ..., n.
Пример 1.23. Дана 8%-ная казначейская облигация с полугодовыми купонами номиналом 100 долл. Определим цену этой облигации, когда до ее погашения остается 2 года, а спот-ставки на 0,5, 1,0, 1,5 и 2 года соответственно равны 6, 6,5, 6,8 и 7%.
Согласно формуле (1.26), имеем:
Чтобы построить кривую спот-ставок, необходимо знать рыночные цены облигаций с нулевыми купонами при различных сроках до погашения. Однако обычно облигации с нулевыми купонами выпускаются лишь при небольших сроках до погашения. В таком случае кривую спот-ставок можно смоделировать на основе цен купонных облигаций с разными сроками до погашения.
Пример 1.24. На рынке имеются казначейские облигации с полугодовыми купонами номиналом 100 долл. со следующими данными:
Выясним, как можно построить кривую спот-ставок в данной ситуации.
1. 6-месячную спот-ставку можно найти с помощью первой облигации. Так как должно выполняться равенство
2. Спот-ставку на год можно определить по второй облигации из нашего списка:
3. Спот-ставку на 1,5 года будем искать с помощью третьей облигации, зная уже найденные спот-ставки r1 и r2.
Так как цена облигации должна совпадать с приведенной стоимостью потока платежей от этой облигации, то
Следовательно, r3 = 0,0893.
4. Спот-ставку r4 найдем с помощью линейной интерполяции:
Тогда должно выполняться следующее равенство:
т.е. мы имеем уравнение с одним неизвестным. Решив это уравнение методом проб и ошибок, получим, что r5 = 0,0948. Тогда
В данном случае кривая спот-ставок имеет нормальный вид (рис. 1.8).
В развитых финансовых системах государственные облигации считаются безрисковыми, а все остальные облигации принято с ними сравнивать. Для сравнения облигаций, выпущенных негосударственными эмитентами, с государственными облигациями можно использовать показатель, называемый спредом нулевой волатильности.
Спредом нулевой волатильности (zero-volatility spread) называют такую надбавку к спот-ставкам, при которой приведенная стоимость потока платежей от облигации совпадает с ее рыночной ценой.
Спред нулевой волатильности удовлетворяет следующему уравнению:
где Р — котируемая цена облигации с полугодовыми купонами;
q — полугодовой купонный платеж;
А — номинальная стоимость облигации;
n — число купонных платежей, остающихся до погашения облигации;
ri — спот-ставка на i полугодовых периодов, i = 1, 2, …, n.
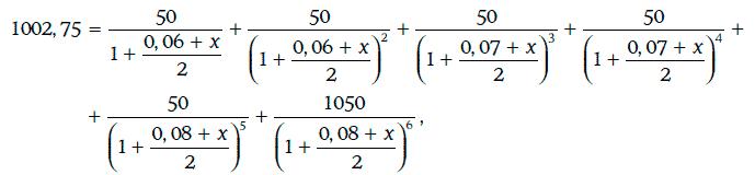
Пример 1.25. Дана 10%-ная корпоративная облигация с полугодовыми купонами номиналом 1000 долл., когда до ее погашения остается 3 года. Определим спред нулевой волатильности, если облигация продается за 1002,75 долл., а спот-ставки на 0,5, 1, 1,5, 2, 2,5 и 3 года соответственно равны 6, 6, 7, 7, 8 и 8%.
Решив уравнение
найдем, что х = 0,02. Таким образом, в данном случае спред нулевой волатильности составляет 200 базисных пунктов.
Замечание. Для сравнения краткосрочных облигаций можно использовать разницу между доходностями к погашению. Однако для долгосрочных облигаций спред нулевой волатильности дает более точную оценку.
1.10. Предполагаемые форвардные ставки
Если известна кривая рыночных доходностей, можно найти предполагаемые форвардные ставки.
Предполагаемая форвардная ставка (implied forward rate) через n полугодовых периодов на t периодов вперед определяется следующей формулой:
где nft — предполагаемая форвардная ставка через n полугодовых периодов на t полугодовых периодов;
rn+t — внутренняя доходность облигации с нулевым купоном, погашаемой через n + t полугодовых периодов;
rn — внутренняя доходность облигации с нулевым купоном, погашаемой через n полугодовых периодов.
Чтобы выяснить смысл предполагаемых форвардных ставок, рассмотрим две стратегии.
Стратегия 1. Денежную сумму Q инвестируем на n + t полугодовых периодов под ставку rn + t (это означает, что на сумму Q закупаются облигации с нулевыми купонами, погашаемые через n + t полугодовых периодов).
Стратегия 2. Денежную сумму Q инвестируем на n полугодовых периодов под ставку rn, а затем накопленную сумму реинвестируем еще на t полугодовых периодов под ставку zt.
Данные стратегии дадут один и тот же конечный результат тогда и только тогда, когда zt = nft.
Таким образом, предполагаемая форвардная ставка nft — это такая ставка, которую может себе обеспечить инвестор на t полугодовых периодов в будущем, оперируя на рынке облигаций с нулевыми купонами.
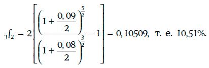
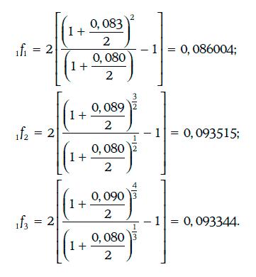
Пример 1.26. Рыночные доходности на 3 и 5 полугодовых периодов соответственно равны 8 и 9%.
Предполагаемая форвардная ставка через 1,5 года на один год вперед может быть найдена следующим образом:
Если 100 долл. инвестировать на 2,5 года под ставку 9%, то через 2,5 года получим
Если же 100 долл. инвестировать на 1,5 года под ставку 8%, а затем накопленную сумму
реинвестировать под предполагаемую форвардную ставку 10,51% еще на один год, то получим
Таким образом, обе рассмотренные стратегии дают один и тот же результат (небольшое расхождение объясняется погрешностями при расчетах).
Графическое изображение предполагаемых форвардных ставок nft при t = 1, 2, 3, ... называют кривой форвардных ставок (forward rate curve) через n полугодовых периодов.
Можно доказать, что если кривая форвардных ставок является возрастающей (убывающей), то и кривая рыночных доходностей возрастает (убывает). Однако при возрастающей кривой рыночных доходностей кривая форвардных ставок не обязательно будет возрастающей.
Пример 1.27. На данный момент времени известны следующие рыночные доходности:
Таким образом, кривая рыночных доходностей возрастает. По определению предполагаемых форвардных ставок имеем:
Следовательно, кривая форвардных ставок не является возрастающей (1f2 > 1f3).
Если известны предполагаемые форвардные ставки, то можно определить и рыночные доходности:
Так как среднее геометрическое положительных чисел не больше среднего арифметического этих чисел, то
C помощью предполагаемых форвардных ставок можно найти котируемую цену облигации с полугодовыми купонами:
1.11. Относительное изменение цены купонной облигации
На данный момент времени цена купонной облигации зависит только от требуемой доходности. При этом чем выше требуемая доходность, тем ниже цена облигации, и, наоборот, чем ниже требуемая доходность, тем выше цена.
Обозначим через Р(r) цену купонной облигации при требуемой доходности, равной r. Если Δr — некоторое положительное число, то величину
назовем относительным ростом, а величину
относительным снижением цены облигации.
Относительное изменение цены купонной облигации является важным показателем рискованности этой облигации.
Основные утверждения
1. При одном и том же изменении требуемой доходности относительный рост цены купонной облигации всегда больше относительного снижения (рис. 1.9).
Пример 1.28. Дана 8%-ная купонная облигация с полугодовыми купонами, до погашения которой остается 15 лет, когда требуемая доходность равна 10%, а цена облигации — 84,6275 долл.
Относительный рост и относительное снижение цены облигации при различных изменениях требуемой доходности приведены в таблице:
Замечание. При достаточно малых изменениях требуемой доходности относительный рост цены облигации практически совпадает с относительным снижением.
2. Чем выше купонная ставка облигации, тем меньше относительное изменение цены купонной облигации.
Пример 1.29. Даны 5-летние облигации с полугодовыми купонами при требуемой доходности r = 10%, купонные ставки которых равны 0, 8 и 12%. Относительный рост и относительное снижение цен облигаций при изменении требуемой доходности на 10 базисных пунктов приведены в таблице:
Следствие. Среди облигаций с одним и тем же сроком до погашения, выпущенных данным эмитентом, наиболее рискованными являются облигации с нулевым купоном.
3. Чем выше требуемая доходность при прочих равных условиях, тем ниже относительное изменение цены купонной облигации.
Пример 1.30. Дана 8%-ная купонная облигация с полугодовыми купонами, до погашения которой остается 15 лет, когда требуемая доходность равна 12%, а цена облигации равна 72,4703 долл.
Относительный рост и относительное снижение цены облигации при различных изменениях требуемой доходности, приведенные в таблице, сравним с аналогичными показателями для облигации из примера 1.28:
4. Чем меньше времени остается до погашения облигации, тем меньше относительное изменение цены облигации (за исключением долгосрочных облигаций, продающихся с дисконтом).
Пример 1.31. Рассмотрим 4%-ную облигацию с полугодовыми купонами при разных сроках погашения, если требуемая доходность равна 10%, а изменение требуемой доходности составляет 50 базисных пунктов.
Все расчеты приведены в таблице:
Следствие. Если ожидается падение процентных ставок на рынке, то следует держать долгосрочные облигации, а если ожидается рост процентных ставок, то краткосрочные.
1.12. Цена базисного пункта
Для оценки рискованности облигаций используется показатель, называемый ценой базисного пункта.
Ценой базисного пункта (price value of a basis point — PVBP) называют изменение цены облигации номиналом 100 долл. при уменьшении требуемой доходности на один базисный пункт.
Таким образом, цена базисного пункта определяется следующей формулой:
где δP — цена базисного пункта облигации;
Р(r) — цена облигации номиналом 100 долл. при требуемой доходности, равной r;
Р(r - Δr) — цена облигации при требуемой доходности, равной r - Δr;
Δr = 0,0001.
Замечание
1. Изменение цены облигации номиналом 100 долл. при увеличении требуемой доходности на 1 базисный пункт практически совпадает с ценой базисного пункта этой облигации.
2. Изменение цены облигации номиналом 100 долл. при уменьшении (увеличении) требуемой доходности на х базисных пунктов при х ≤ 10 приблизительно равно произведению цены базисного пункта на число х.
Пример 1.32. Рассмотрим 6%-ную облигацию с полугодовыми купонами, когда до погашения остается 10 лет, а требуемая доходность равна 10%.
В данном случае
и по формуле (1.30) цена базисного пункта
Следовательно, изменение цены облигации при увеличении требуемой доходности на 8 базисных пунктов должно приблизительно равняться:
Точное значение этого изменения может быть найдено следующим образом:
Нетрудно проверить, что имеет место следующее утверждение: чем выше требуемая доходность для данной облигации, тем ниже цена базисного пункта (рис. 1.10).
Пример 1.33. Рассмотрим облигацию из примера 1.32 при требуемой доходности 6%. В этом случае цена базисного пункта
превышает цену базисного пункта из примера 1.32.
Цена базисного пункта для портфеля облигаций находится по формуле:
где Ak — номинальная стоимость облигации k-го вида
δkP — цена базисного пункта облигации k-го вида при номинале 100 долл.;
N — число облигаций в портфеле.
1.13. Дюрация финансовых инструментов
Рассмотрим финансовый инструмент со следующим потоком платежей:
Если требуемая доходность при начислении процентов дважды в год равна r, то дюрацией Маколея (Macaulay duration) данного финансового инструмента называется величина
Модифицированная дюрация (modified duration) финансового инструмента определяется равенством
где D — дюрация Маколея,
r — требуемая доходность при начислении процентов дважды в год.
Имеет место следующее равенство:
т.е. производная цены финансового инструмента по требуемой доходности равна произведению модифицированной дюрации этого инструмента на его цену с обратным знаком.
Основное свойство дюрации — при малых изменениях требуемой доходности имеет место равенство
Геометрическая иллюстрация равенства (1.34) приведена на рис. 1.11.
Расчет дюрации финансового инструмента при требуемой доходности 10% приведен в таблице:
Таким образом, дюрация Маколея финансового инструмента равна 2,155 года.
Тогда модифицированная дюрация находится следующим образом:
Если требуемая доходность увеличится на 10 базисных пунктов, то
т.е. цена финансового инструмента упадет на 0,2%.
Если же требуемая доходность мгновенно упадет на 200 базисных пунктов, то цена финансового инструмента вырастет приблизительно на 4,104%, так как
Точные значения относительного изменения цены финансового инструмента в этих двух случаях соответственно равны -0,002049 и 0,04222.
Дюрацию обыкновенной ренты с полугодовыми платежами можно найти по формуле:
где r — требуемая доходность (при начислении процентов дважды в год);
n — число платежей ренты.
В частности, дюрация бессрочной ренты определяется равенством
Дюрация Маколея облигации с полугодовыми купонами, когда до ее погашения остается в точности п полугодовых периодов, может быть найдена по формуле
где r — требуемая доходность при начислении процентов дважды в год;
f — купонная ставка облигации;
H — отношение приведенной стоимости ренты из купонных платежей к цене облигации.
Пример 1.35. Дана 7%-ная облигация с полугодовыми купонами, когда до ее погашения остается 20 лет, а требуемая доходность — 10%.
В данном случае r = 0,1, f = 0,07, n = 40, q = 3,50 долл.
Приведенная стоимость ренты из полугодовых купонных платежей может быть найдена следующим образом:
Для расчета модифицированной дюрации любого финансового инструмента с заданным потоком платежей можно использовать следующую приближенную формулу:
Пример 1.36. Рассмотрим облигацию из примера 1.35. Точное значение модифицированной дюрации этой облигации 9,18023 года. Найдем модифицированную дюрацию с помощью приближенной формулы (1.38) при Δу = 20 базисных пунктов.
Основные утверждения о дюрации Маколея для купонных облигаций с полугодовыми купонами, когда до очередного купонного платежа остается 6 месяцев:
1. Дюрация любой купонной облигации не превышает срока до ее погашения, а дюрация облигации с нулевым купоном всегда совпадает со сроком до ее погашения.
2. Если купонная ставка облигации отлична от нуля, то чем больше требуемая доходность, тем меньше дюрация.
3. Если до погашения облигации остается более одного купонного периода, то чем выше купонная ставка при неизменной требуемой доходности, тем меньше дюрация.
4. Чем меньше времени остается до погашения облигации при прочих неизменных факторах, тем меньше дюрация (за исключением долгосрочных облигаций, продающихся с дисконтом).
1.14. Модифицированная дюрация портфеля облигаций
Модифицированной дюрацией портфеля облигаций называют взвешенную по стоимости сумму модифицированных дюраций облигаций, входящих в этот портфель, т.е.
Основное свойство модифицированной дюрации портфеля облигаций: если требуемые доходности всех облигаций портфеля изменяются на одну и ту же достаточно малую величину, имеет место следующее приближенное равенство:
Пример 1.37. Рассмотрим портфель, состоящий из трех облигаций с полугодовыми купонами при требуемой доходности 10% со следующими данными:
В данном случае начальная стоимость портфеля П = 9 609 961 долл. Тогда
Следовательно, модифицированная дюрация портфеля облигаций составляет
Если требуемые доходности мгновенно увеличатся на 60 базисных пунктов, то
т.е. цена портфеля упадет на 3,88%.
Точное изменение цены портфеля равно -0,0376, т.е. -3,76%.
Говорят, что инвестор занимает длинную позицию (long position) на рынке облигаций, если он купил некоторую облигацию на этом рынке.
Если же инвестор взял облигацию взаймы у дилера и продал ее на рынке, то говорят, что на рынке облигаций он занимает короткую позицию (short position). Инвестор, занимающий короткую позицию, обязан в определенный момент времени в будущем вернуть облигацию дилеру и выплатить компенсацию за недополученные купонные платежи. Рассмотрим на примере, как определить модифицированную дюрацию портфеля, состоящего из длинных и коротких позиций на рынке облигаций.
Пример 1.38. Портфель состоит из двух позиций: длинной позиции в размере 100 млн долл. по двухлетней облигации ценой 101 долл. с модифицированной дюрацией 1,7 и короткой позиции в размере 50 млн долл. по 5-летней облигации ценой 99 долл. с модифицированной дюрацией 4,1. Определим модифицированную дюрацию этого портфеля.
Исходная стоимость портфеля может быть найдена следующим образом:
1.15. Приложения дюрации
1.15.1. Обмен облигаций
Предположим, что инвестор рассматривает вопрос об обмене облигации Х стоимостью VX с модифицированной дюрацией
Выясним, каким должен быть номинал облигации Y, чтобы обмен облигации Х на облигацию Y не увеличивал подверженность инвестора процентному риску.
Если требуемая доходность облигации Х изменится на величину Δr, то соответствующее изменение стоимости этой облигации определяется равенством
Можно предположить, что на основе статистических исследований установлено, что при изменении требуемой доходности облигации Х на величину Δr требуемая доходность облигации Y изменяется на величину βΔr.
Тогда соответствующее изменение стоимости облигации Y можно найти по формуле:
где Ay — номинал облигации Y.
Обмен облигаций не будет увеличивать подверженность процентному риску, если при любом Δr
Равенство (1.43) показывает, каким должен быть номинал облигации Y, чтобы при обмене облигации Х на облигацию Y не увеличивался процентный риск.
Пример 1.39. Инвестор рассматривает вопрос об обмене облигации Х стоимостью 8 млн долл. на облигацию Y при цене PY = 96 долл. Модифицированные дюрации облигаций Х и Y равны 5 и 4 соответственно, а коэффициент β равен 1,6.
Чтобы при обмене не менялась подверженность процентному риску, номинал облигации Y должен удовлетворять равенству:
Таким образом, искомый номинал облигаций Y должен равняться 6 510 417.
1.15.2. Иммунизация портфеля облигаций
Предположим, что в данный (нулевой) момент времени инвестор владеет портфелем облигаций, который он собирается продать через Т лет.
Если в данный момент времени все рыночные доходности одинаковы, т.е. кривая доходности имеет ровный вид, то будущая стоимость инвестиций ПА(Т) через Т лет определяется следующим образом:
где r — рыночная доходность,
П(r) — стоимость портфеля при рыночной доходности, равной r.
Будущую стоимость ПА(Т) будем называть целевой накопленной стоимостью портфеля облигаций.
Однако если между данным моментом времени и первым процентным платежом рыночные доходности изменяются на одну и ту же величину Δr, а в дальнейшем уже меняться не будут, то будущая стоимость инвестиции Пф(Т) через Т лет удовлетворяет равенству
Будущую стоимость Пф(Т) будем называть фактической накопленной стоимостью портфеля облигаций.
Фактическая накопленная стоимость портфеля облигаций может оказаться выше или ниже целевой накопленной стоимости этого портфеля. Однако если временной горизонт инвестора Т совпадает с дюрацией Маколея портфеля облигаций, то фактическая накопленная стоимость портфеля никогда не будет меньше его целевой накопленной стоимости.
Пример 1.40. Рассмотрим портфель из двух облигаций с полугодовыми купонами, когда все рыночные доходности равны 6%. Основные данные об облигациях портфеля приведены ниже в таблице:
Дюрация Маколея данного портфеля облигаций находится следующим образом:
Целевая накопленная стоимость портфеля через 4,053 года будет равна:
В таблице указаны фактические накопленные стоимости через 4,053 года при различных изменениях рыночных доходностей:
Стратегия иммунизации портфеля облигаций рассчитана на защиту портфеля облигаций от процентного риска. Эта стратегия предполагает следующие действия. В начальный момент времени формируется портфель облигаций так, чтобы дюрация Маколея этого портфеля совпадала с временным горизонтом инвестора. С годами портфель периодически пересматривается так, чтобы каждый раз дюрация Маколея совпадала с временным горизонтом инвестора.
1.16. Выпуклость финансовых инструментов
Рассмотрим финансовый инструмент со следующим потоком платежей:
Если требуемая доходность при начислении процентов дважды в год равна r, то выпуклостью (convexity) данного финансового инструмента называют число
Имеет место следующее равенство:
т.е. производная второго порядка цены финансового инструмента по требуемой доходности равна произведению выпуклости этого финансового инструмента на его цену.
Основное свойство выпуклости
При малых изменениях требуемой доходности имеет место следующее приближенное равенство:
Равенство (1.45) можно переписать в следующем виде:
Геометрический смысл этого равенства проиллюстрирован рис. 1.12.
Пример 1.41. Финансовый инструмент характеризуется следующим потоком платежей:
Расчет выпуклости данного финансового инструмента при требуемой доходности 10% приведен в таблице:
Модифицированная дюрация финансового инструмента
Если требуемая доходность в начальный момент времени увеличится на 50 базисных пунктов, то цена финансового инструмента упадет приблизительно на 1,0188%, так как
Заметим, что относительное изменение цены финансового инструмента, найденное приближенно, без учета выпуклости, равно -0,01026, а точное значение этого изменения равно -0,010189.
Если же требуемая доходность в начальный момент времени упадет на 200 базисных пунктов, то цена финансового инструмента вырастет приблизительно на 4,219%, так как
в то время как относительное изменение цены инструмента, найденное приближенно, без учета выпуклости, равно 0,04104, а точное значение этого изменения равно 0,04222.
Основные утверждения о выпуклости финансовых инструментов
1. Произведение начальной цены финансового инструмента на его модифицированную дюрацию называют долларовой дюрацией (dollar duration) этого инструмента. Производная долларовой дюрации финансового инструмента по требуемой доходности равна произведению выпуклости этого финансового инструмента на его цену с обратным знаком, т.е.
Это означает, что выпуклость финансового инструмента является мерой скорости изменения долларовой дюрации этого инструмента.
2. При уменьшении требуемой доходности растут модифицированная дюрация и выпуклость финансового инструмента, причем
3. Если финансовый инструмент имеет одинаковые модифицированные дюрации, то при достаточно малом изменении требуемой доходности у финансового инструмента с большей выпуклостью относительный рост цены больше, а относительное снижение цены — меньше. Это означает, что при одной и той же модифицированной дюрации для инвесторов более привлекателен финансовый инструмент с большей выпуклостью.
4. При заданных требуемой доходности и сроке до погашения купонной облигации: чем меньше купонная ставка, тем больше выпуклость.
Для оценки выпуклости любого финансового инструмента можно использовать следующую приближенную формулу:
Пример 1.42. Рассмотрим 7%-ную облигацию с полугодовыми купонами, когда до ее погашения остается 3 года, а требуемая доходность равна 10%.
Оценим выпуклость данной облигации с помощью приближенной формулы (1.47), считая, что номинал облигации равен 100 долл. Изменение требуемой доходности выберем в 20 базисных пунктов (Δу = 0,002). Тогда
Расчет точного значения выпуклости данной облигации приведен в таблице:
Значит,
Таким образом, приближенная формула (1.47) дает достаточно хорошую оценку выпуклости облигации.
1.17. Выпуклость портфеля облигаций
Выпуклостью портфеля облигаций называют взвешенную по стоимости сумму выпуклостей облигаций, из которых составлен этот портфель, т.е. по определению
Основное свойство выпуклости
Если требуемые доходности облигаций портфеля изменяются на одну и ту же величину, то имеет место следующее приближенное равенство:
Заметим, что равенство (1.49) соблюдается тем точнее, чем меньше Δr (по абсолютной величине).
На основе равенства (1.49) можно сделать следующий вывод о роли выпуклости портфеля облигаций как меры процентного риска: если портфели облигаций имеют одну и ту же модифицированную дюрацию, то у портфеля с большей выпуклостью относительный рост цены больше, а относительное снижение цены — меньше.
Однако это утверждение справедливо лишь в том случае, когда требуемые доходности облигаций портфеля изменяются на одну и ту же величину.
Пример 1.43 [5]. Даны три облигации с полугодовыми купонами, основные показатели которых приведены в таблице:
Из данных облигаций сформируем два портфеля: портфель А (50,2% — облигация Х и 49,8% — облигация Y), портфель В (облигация Z).
Модифицированная дюрация и выпуклость портфеля А находятся следующим образом:
Таким образом, дюрации портфелей А и В одинаковы, а выпуклость портфеля А выше выпуклости портфеля В.
Относительные изменения стоимостей портфелей А и В при различных изменениях требуемых доходностей облиг
...