Все науки. №8, 2023. Международный научный журнал
Қосымшада ыңғайлырақҚосымшаны жүктеуге арналған QRRuStore · Samsung Galaxy Store
Huawei AppGallery · Xiaomi GetApps

автордың кітабын онлайн тегін оқу  Все науки. №8, 2023. Международный научный журнал

Все науки. №8, 2023

Международный научный журнал

Шрифты предоставлены компанией «ПараТайп»


Авторы: Алиев Ибратжон Хатамович, Максудов Асатулла Урманович, Умаралиев Нурмамат, Хакимов Муроджон Фозилович, Абдурахмонов Султонали Мукарамович, Сайитов Шавкат Самиддинович, Абдуллаев Жамолитдин Солижонович, Мавлянов Аминжон, Жамолиддинов Жавохир Икболжонович, Султонов Шухрат Давлатович, Дадажонов Тулан


Главный редактор Ибратжон Хатамович Алиев

Иллюстратор Ибратжон Хатамович Алиев

Иллюстратор Султонали Мукарамович Абдурахмонов

Иллюстратор Оббозжон Хокимович Кулдашов

Дизайнер обложки Ибратжон Хатамович Алиев

Дизайнер обложки Раънохон Мукарамовна Алиева

И. О. Научного руководителя Султонали Мукарамович Абдурахмонов

Экономический руководитель Фаррух Муроджонович Шарофутдинов

Корректор Гульноза Мухтаровна Собирова





12+

Оглавление

ФИЗИКО-МАТЕМАТИЧЕСКИЕ НАУКИ

О КРАТКОМ АНАЛИЗЕ НА ОПРЕДЕЛЁННОМ ПРОМЕЖУТКЕ ГИПОТЕЗЫ КОЛЛАТЦА

Алиев Ибратжон Хатамович

Студент 3 курса факультета математики-информатики Ферганского Государственного Университета

Ферганский Государственный Университет, Фергана, Узбекистан

Аннотация. Современные исследования в области математики, в том числе теории чисел развиваются достаточно активно, однако, среди большого количества самых различных математических моделей, описывающие различные явления природы существуют и те, которые находятся в ряду не решённых математических задач. К ним сегодня можно отнести так называемую гипотезу Коллатца, описанию на границах коих и направлена настоящая работа.

Ключевые слова: математика, исследование, физико-математическое моделирование, теория чисел, функция.

Annotation. Modern research in the field of mathematics, including number theory, is developing quite actively, however, among a large number of very different mathematical models describing various natural phenomena, there are also those that are among the unsolved mathematical problems. Today we can refer to them the so-called Collatz hypothesis, the description of which is directed at the boundaries of this work.

Keywords: mathematics, research, physical and mathematical modeling, number theory, function.

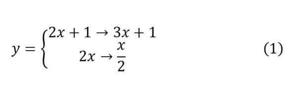
Сама гипотеза Коллатца является одной из самых простых не решённых задач, известные на сегодняшний день. Она представляет собой утверждение, что пусть берётся некоторое натуральное число и если оно не чётное, то оно умножается на 3 и после прибавляется единица или точнее выполняется функция 3x+1, если же число чётное, то оно делиться пополам. Таким образом, получается разделённые вид функции гипотезы Коллатца (1).

Далее, полученный результат в (1) может повториться. Так, настоящую модель можно определить для числа 7, которое является не чётным и выполняется первая функция, получается 22 — чётное число. Теперь выполняется вторая функция и получается 11 и т. д. В целом, этот ряд выглядит следующим образом (2).

Теперь можно выбрать другое число, к примеру 9 (3), 8 (4) или 6 (5).

Во всех случаях можно наблюдать одну и ту же закономерность, что в конце концов получается цикл 4, 2, 1, который и будет повторяться каждый раз до бесконечности. И идея гипотезы Коллатца заключается в том, чтобы доказать, что все натуральные числа приведут к настоящему циклу. Но примечательным является то, что диаграмма такой модели имеет интересную хаотичную схему со своими точками максимума и минимума. Именно анализу изменения графиков функции гипотезы Коллатца посвящена настоящая научная работа.

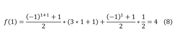
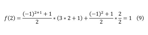
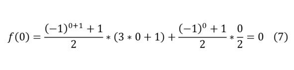
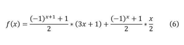
Изначально, стоит записать модель функции (1) в общем виде (6).

Так, можно подставить некоторые числа получая подходящие значения для чётных и не чётных чисел (8—9), однако, перед исследованием стоит заметить, что исключением является число ноль, которое заключает единственный отличающийся от циклов всех натуральных чисел цикл, состоящий из 2 элементов (7).

Для общего же ряда функции, получаем представление (10).

Итак, изначально стоит обратить внимание на анализ проводиться с использованием 110 этапов повторного оперирования и на этом промежутке отчётливо видны первоначальные пики на графике анализа натуральных чисел в промежутке от 1 до 10 (Граф. 1).

График 1. Функции для промежутка [1; 10] для 110 элементов

В данном случае можно будет наблюдать, что с увеличением чисел можно наблюдать отдельные пики, количество которых начинает с каждым разом возрастать, становясь хаотичным. Некоторые значения уже в своём начале могут принимать большие показатели функции, доходя до малого количества этапов, с каждым разом всё больше и больше приходя к повторному циклу, что видно на продолжении правой части каждой из функций. Далее анализ графика продолжается в следующем промежутке от 10 до 20 можно наблюдать увеличение высоты пиков функции, хотя плотность расположения каждой из функции также растёт. Более отчётливо это видно, при рассмотрении продолжения функции в правой части — на фоне циклов, где корреляция становиться всё более очевидной (Граф. 2).

График 2. Функции для промежутка [10; 20] для 110 элементов

При продолжении анализа можно обратить внимание на интересный подход в том, что после 20 функции изменяются и уровень наложения каждой одной на другую с каждым разом начинает всё больше и больше возрастать, приводя к тому, что уже при анализе числе от 17 до 27 уровень корреляции становиться максимальным. Это можно также наглядно проследить на Графике 3, где хоть какая-то разность наблюдается только в начале графиков, а уже ближе к увеличению количества операций, все функции всё больше объединяются, приводя в результате сначала к малым возрастающим пикая, которые словно чередуются в увеличении и уменьшении. Далее эта тенденция увеличивается на одном большом возрастании, после чего идут более малые, но всё же возрастающие пики, приходя к двух максимальным большим пикам, завершаясь только заключительными пиками, опять возвращаясь к форме цикла, которая на общем фоне больше подобна прямой. В этом случае, стоит обратить ещё внимание на то. Что рост графика относительно центральных пиков происходит более плавно, нежели спад, что на удивление достаточно хорошо описывает приме

...