автордың кітабын онлайн тегін оқу Обнаружение вариантов вредоносных программ на основе чувствительных системных вызовов с использованием многослойных нейронных сетей
Обнаружение вариантов вредоносных программ на основе чувствительных системных вызовов с использованием многослойных нейронных сетей
Оглавление
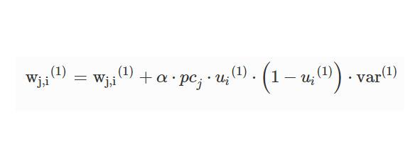
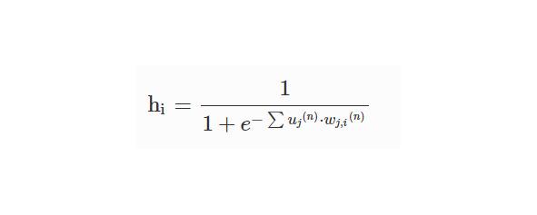
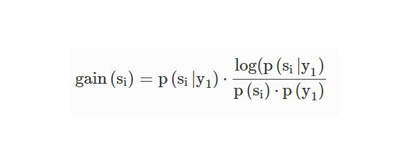
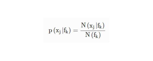
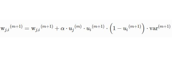
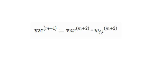
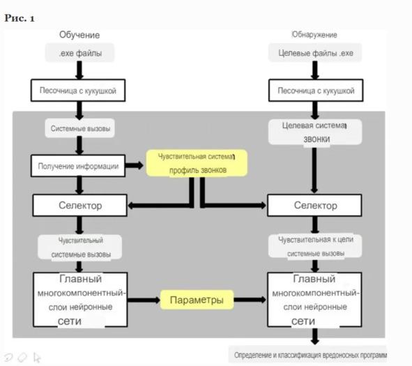
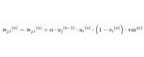
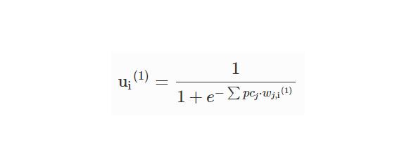
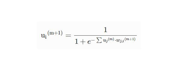
Обнаружение вредоносных программ стало чувствительным к задачам, поскольку их угрозы распространяются от компьютерных систем до систем Интернета вещей. Современные варианты вредоносных программ, как правило, оснащены сложными упаковщиками, которые позволяют им обходить современные системы обнаружения, основанные на машинном обучении. Для обнаружения упакованных вариантов вредоносных программ можно использовать методы распаковки и динамический анализ вредоносных программ. Однако методы распаковки не всегда могут быть полезны, поскольку существуют некоторые упаковщики, такие как частные упаковщики, которые трудно распаковать. Хотя динамический анализ вредоносных программ может получить информацию о поведении исполняемых файлов, поведение упаковщиков при распаковке добавляет шумную информацию к реальному поведению исполняемых файлов, что плохо сказывается на точности. Чтобы преодолеть эти проблемы, в этой книге я предлагаю новый метод, который сначала извлекает серию системных вызовов, чувствительных к вредоносному поведению, затем использует анализ главных компонентов для извлечения функций этих чувствительных системных вызовов и, наконец, использует многоуровневые нейронные сети для классификации функций вариантов вредоносных программ и законных. Теоретический анализ и результаты экспериментов в реальной жизни показывают, что моя методика обнаружения упакованных вариантов вредоносных программ сопоставима с современными методами с точки зрения точности. мой подход позволяет достичь более 95,6% точности обнаружения и 0,048 с затрат времени на классификацию.
