Все науки. №3, 2023. Международный научный журнал
Қосымшада ыңғайлырақҚосымшаны жүктеуге арналған QRRuStore · Samsung Galaxy Store
Huawei AppGallery · Xiaomi GetApps

автордың кітабын онлайн тегін оқу  Все науки. №3, 2023. Международный научный журнал

Все науки. №3, 2023

Международный научный журнал

Шрифты предоставлены компанией «ПараТайп»


Авторы: Алиев Ибратжон Хатамович, Абдурахмонов Султонали Мукарамович, Одилов Санжар Садикжанович, Тойиров Нурмухаммад Султоналиевич, Обидов Фозилжон Орипович, Абдусалямова Тоира


Главный редактор Ибратжон Хатамович Алиев

Иллюстратор Ибратжон Хатамович Алиев

Иллюстратор Оббозжон Хокимович Кулдашов

Иллюстратор Султонали Мукарамович Абдурахмонов

Дизайнер обложки Ибратжон Хатамович Алиев

Дизайнер обложки Раънохон Мукарамовна Алиева

И. О. Научного руководителя Султонали Мукарамович Абдурахмонов

Экономический руководитель Фаррух Муроджонович Шарофутдинов

Экономический консультант Ботирали Рустамович Жалолов

Корректор Гульноза Мухтаровна Собирова

Корректор Абдурасул Абдусолиевич Эргашев





12+

Оглавление

ФИЗИКО-МАТЕМАТИЧЕСКИЕ НАУКИ

ВАЖНОСТЬ ДИФФЕРЕНЦИАЛЬНЫХ УРАВНЕНИЙ ПРИ ИЗУЧЕНИИ ОБЩИХ ЗАКОНОМЕРНОСТЕЙ И ПРОСТЕЙШИЕ СЛУЧАИ ПРЕОБРАЗОВАНИЯ

Алиев Ибратжон Хатамович

Студент 2 курса факультета математики-информатики Ферганского государственного университета

Ферганский государственный университет, Фергана, Узбекистан

Аннотация. Изучение окружающего мира непосредственно сводит к необходимости ведения тех или иных прогнозов, которые сводятся уже к важности установления для них основных законов мироздания, которые можно наблюдать в ходе изучения тех или иных явлений. При этом часто использование физических законов, возможные для описания с использованием не только обычных уравнений, но и дифференциальных уравнений, первого и вторых порядков, в том числе и большого количества уравнений в частных производных, довольно часто используемых при этом исследовании и понимании.

Ключевые слова: дифференциальные уравнений в частных производных, обыкновенные дифференциальные уравнения, математическое моделирование, аналогия, закономерности.

Annotation. The study of the surrounding world directly reduces to the need to make certain forecasts, which are already reduced to the importance of establishing for them the basic laws of the universe, which can be observed during the study of certain phenomena. At the same time, there is often the use of physical laws that are possible to describe using not only ordinary equations, but also differential equations of the first and second orders, including a large number of partial differential equations, quite often used in this study and understanding.

Keywords: partial differential equations, ordinary differential equations, mathematical modeling, analogy, regularities.

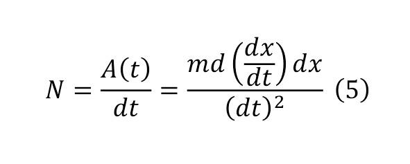
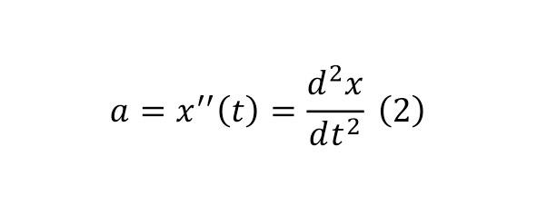
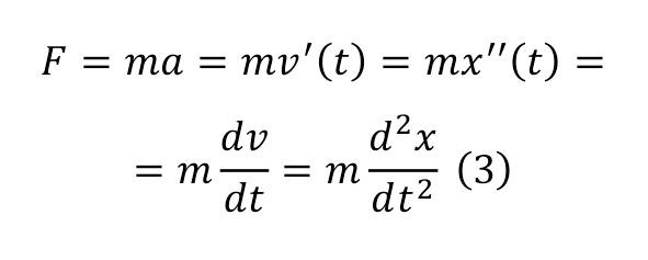
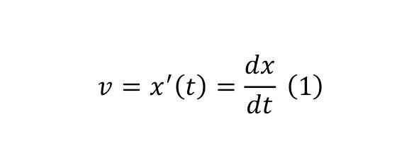
Приходя к изучению законов мира в физической науке чаще всего выделялись те или иные законы, первоначальными среди которых являются именно механические закономерности, созданные Ньютоном и разработанные в математическом плане с его же стороны, наряду с другими учёными, среди коих ярко выделяется фигура Лейбница. Для примера настоящего утверждения можно привести дифференциальные формы основных уравнений движения (1), которые в свою очередь сводятся до определённых значений в формулах ускорения (2), силы (3), работы (4), мощности (5) и прочих.

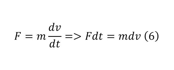
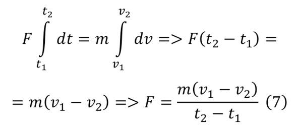
Настоящие моменты понимания могут чаще всего рассматриваться именно в дифференциальных формах значения, по той причине, что они могут быть численно определены благодаря вводу некоторых преобразований, а именно благодаря преобразованию (6) и взятию определённого интеграла с установлением определённых границ (7).

Подобные направленности развиты не только в механическом плане, но и в других разделах физики, ярким тому примером может случить электростатика, электродинамика, магнитостатика, магнето-динамика и прочие. Для доказательства этого достаточно лишь упомянуть, что само понятие силы тока является производным по времени заряда, а напряжение — производное по заряду работы.

Настоящее утверждение можно привести для большого числа самых различных пониманий, но важен тот факт, что подобный подход в отличие от классического математического регулирования, становиться единственным при необходимости описания гравитационных характеристик пространства в масштабах всего пространства. Примером подобного рода явлений, где использование производных и соответственно дифференциальных уравнений становится известная квантовая физика.

Однако, в масштабе явлений, где классический математический аппарат уже не может выполнять свои функции, важными являются не сколько обычные классические производные, сводимые к обыкновенным дифференциальным уравнениям, если, конечно, не учитывать простейшие случае, ярким примером для коих можно привести преодоление потенциальной ямы частицы или описание её движения, либо другие подобные тривиальные случаи, интересными являются в большей мере лишь уравнения в частных производных.

Использованная литература

1. Потрягин Л. С. Обыкновенные дифференциальные уравнения. — М.: Наука, 1974.

2. Тихонов А. Н., Самарский А. А. Уравнения математической физики. — М.: Наука, 1972.

3. Тихонов А. Н., Васильева А. Б., Свешников А. Г. Дифференциальные уравнения. — 4-е изд. — Фзиматлит, 2005.

4. Умнов А. Е., Умнов Е. А. Основы теории дифференциальных уравнений. — Изд. 2-е. — 2007. — 240 с.

5. Чарльз Генри Эдвардс, Дэвид Э. Пенни. Дифференциальные уравнения и проблема собственных значений: моделирование и вычисление с помощью Mathematica, Maple и MATLAB = Differential Equations and Boundary Value Problems: Computing and Modeling. — 3-е изд. — М.: «Вильямс», 2007.

6. Эльсгольц Л. Э. Дифференциальные уравнения и вариационное исчисление. — М.: Наука, 1969.

НЕКОТОРЫЕ ОПЕРАЦИИ И ЧАСТНЫЕ СЛУЧАИ МАТЕМАТИЧЕСКОГО АНАЛИЗА В ИНГЕНЦИАЛЬНОМ МНОЖЕСТВЕ

Алиев Ибратжон Хатамович

Студент 2 курса факультета математики-информатики Ферганского государственного университета

Ферганский государственный университет, Фергана, Узбекистан

Аннотация. Важность определения и преобразования ингенциальных чисел и настоящего множества с каждым днём становится всё более очевидном, особенно с входом данного понятия в математическую физику, но и как чисто математический объект они представляют не малый интерес, хотя при этом имеют и практическое применение. В настоящей работе, описаны методы проведения некоторых алгебраических операций с ними, в том числе с использованием формулы Эйлера и интеграллами.

Ключевые слова: ингенциальные числа, математический анализ, алгебраические операции, формула Эйлера, интегрирование, производные.

Annotation. The importance of defining and converting exponential numbers and a real set is becoming more and more obvious every day, especially with the entry of this concept into mathematical physics, but as a purely mathematical object they are of no small interest, although they also have practical applications. In this paper, methods of performing some algebraic operations with them are described, including using Euler’s formula and integrals.

Keywords: inertial numbers, mathematical analysis, algebraic operations, Euler formula, integration, derivatives.

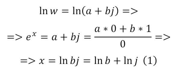
Сам процесс логарифмирования ингенциального числа общего вида, можно видеть в (1).

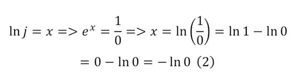
Таким образом, при логарифмировании, образуются 2 части самого выражения — действительная, как натуральный логарифм от коэффициента ингенциальной части и логарифм от ингенциальной единицы, которая определяется в (2).

То есть имеется в этом случае возникает вопрос, в какую степень необходимо возвести число Эйлера, чтобы она выдало ингенциальную единицу. Ответ довольно прост — это отрицательный логарифм от нуля (2) из этого следует, что логарифм от ингенциального числа составляет (3).

Также интересно решение уравнения Эйлера с ингенциальной единицей, а после и с общим видом ингенциального числа, что и описывалось далее, приняв выражения как неизвестные. И для этого изначально можно исходить из разложений Тейлора (4—6).

...

Ұқсас кітаптар