Все науки. №8, 2024. Международный научный журнал
Қосымшада ыңғайлырақҚосымшаны жүктеуге арналған QRRuStore · Samsung Galaxy Store
Huawei AppGallery · Xiaomi GetApps

автордың кітабын онлайн тегін оқу  Все науки. №8, 2024. Международный научный журнал

Все науки. №8, 2024

Международный научный журнал

Шрифты предоставлены компанией «ПараТайп»


Авторы: Алиев Ибратжон Хатамович, Холматов Эркинжон Солиевич, Рузибаев Навруз Бунёдович, Исломов Дониёрбек, Абдурахмонов Султонали Мукарамович, Эргашев С. Ф, Рустамов У. C., Сайитов Шавкат Самиддинович, Баратов Миродилжон Хомуджонович, Хакимов Равшан Тулкунович, Акрамхoджаев Бори Тохтаходжаевич, Ergasheva Mavluda Zulqandar qizi, Ergashev Humoyun Samad o’g’li, Ахророва Рузихон Умоновна, Умарова Гульноза Масхариддиновна


Главный редактор Ибратжон Хатамович Алиев

Редактор Миродилжон Хомуджонович Баратов

Иллюстратор Султонали Мукарамович Абдурахмонов

Иллюстратор Фарходжон Анваржонович Иброхимов

Дизайнер обложки Раънохон Мукарамовна Алиева

Дизайнер обложки Ибратжон Хатамович Алиев

Дизайнер обложки Фарходжон Анваржонович Иброхимов

И.О.Научного руководителя Султонали Мукарамович Абдурамонов

Экономический руководитель Ботирали Рустамович Жалолов

Корректор Гулноза Мухтаровна Собирова

Корректор Дилноза Орзикуловна Норбоева





12+

Оглавление

ФИЗИКО-МАТЕМАТИЧЕСКИЕ НАУКИ

МЕТОДЫ СОЗДАНИЯ ЭЛЕКТРОМАГНИТНОЙ ЦЕПИ

УДК: 51—77

Алиев Ибратжон Хатамович1, Холматов Эркинжон Солиевич2

1НИИ «ФРЯР», ElectronLaboratoryLLC, 151100, Республика Узбекистан, Ферганская обл., г. Маргилан

2Ферганский Политехнический Институт, 150100, Республика Узбекистан, Ферганская обл., г. Фергана

Аннотация: Современные результаты статистических исследований в области индустриализации наглядно демонстрируют активно увеличивающиеся показатели потребностей для создания электромагнитов высокой мощности, что подразумевает под собой создание теоретической и практической базы, анализирующая поставленный вопрос.

Ключевые слова: магнитное поле, электромагнетизм, электрическое поле, волновая оптика, диэлектрик

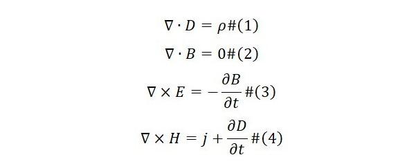
На данный момент уже создано большое количество электромагнитов, их разновидностей, при том, что принцип действия и все явления, связанные с ними, активно объясняют имеющиеся законы по физике электромагнетизма и модели Максвелла. Но при этом направления применений не перестают увеличиваться в своём количестве, что влечёт за собой необходимость создания из имеющихся законов в форме дифференциальных уравнений (1—4), новых моделей непосредственного формирования.

Однако, предварительно, важно описать сам процесс действия электромагнита, стадию генерацию с его стороны электромагнитного поля, с учётом, что электромагнит имеет проводящую обмотку и определённые сердечник из диэлектрика, магнетика, проводника или любого иного вещества, возможного к изучению [1—2; 4]. На момент, когда по проводу начинает течь ток, в силу образования на концах обмотки разности потенциалов, которые создают общее электрическое поле, заставляющее двигаться заряды в проводящей обмотке, каждый из зарядов в силу своего движения изменяет электрическое поле, по причине наличия у каждого из зарядов собственного поля, генерирующий вихревое магнитное поле.

Поскольку, численность зарядов достаточно велика, то линии магнитного поля накладываются друг на друга, переходя в масштаб проводника, благодаря чему общее наложение приводит к созданию вихревого магнитного поля вокруг каждого витка обмотки [3]. Оно в свою очередь накладывается в целом, формируя целенаправленное магнитное поле внутри сердечника — самое сильное.

В случае, когда сердечник является диэлектриком или газом — воздух, то магнитное поле доходит до своей предельной величины и больше не увеличивается, создавая общие крупные линии магнитного поля. Однако, если имеется определённый сердечник, то магнитное поле входит в него, создавая движение зарядов в проводящем материале сердечника, в силу чего появляется, собственно, перпендикулярное и вихревое линиям магнитного поля электрическое поле. Этот эффект создаёт переменную в пространственном расположении разность потенциалов, вызывающая движение зарядов, следовательно, и появление тока — токов Фуко. По этой причине создание раздельных пластин сердечника более целесообразно, для того чтобы токи Фуко разделялись и не нагревали сердечник [4—5; 7]. Однако, в результате такой манипуляции создаётся магнитопровод, способный не только увеличивать силу магнитного поля, но и направлять его по своей линии, в силу этого, конечно с потерями в пути, магнитное поле может доходить до необходимых областей [6—7].

Заключением системы может быть наличие дополнительного металлического сердечника, либо же раздвоение, удвоение и т.д., вплоть до полной организации магнитной системы, где между элементами может создаваться магнитное поле. При этом каждая из частей цепи может поддаваться общему контакту, увеличивать друг друга и влиять друг на друга, результирующим образом представляясь как один сложный электромагнит, с возможными вариациями сердечника.

Использованная литература

1. Алешкевич, В. А. Университетский курс общей физики. Электромагнетизм / В. А. Алешкевич. — М.: Физматлит, 2014. — 404 c.

2. Алешкевич, В. А. Электромагнетизм. Университетский курс общей физики / В. А. Алешкевич. — М.: Физматлит, 2014. — 404 c.

3. Бондарев, Б. В. Курс общей физики. В 3 кн. Кн. 2. Электромагнетизм. Волновая оптика. Квантовая физика / Б. В. Бондарев. — М.: Высшая школа, 2005. — 438 c.

4. Бондарев, Б. В. Курс общей физики. В 3-х т. Т. 2. Электромагнетизм. Оптика. Квантовая физика: Учебник для бакалавров / Б. В. Бондарев. — М.: Юрайт, 2013. — 441 c.

5. Бондарев, Б. В. Курс общей физики. В 3 кн. Кн. 2: Электромагнетизм, оптика, квантовая физика: Учебник / Б. В. Бондарев, Н. П. Калашников, Г. Г. Спирин. — Люберцы: Юрайт, 2015. — 441 c.

6. Бурмакин, А. Л. Электромагнетизм космических тел и его влияние на движение объектов в пространстве: Экскурс в проблему / А. Л. Бурмакин. — М.: КД Либроком, 2010. — 120 c.

7. Григорьев, В. И. Электромагнетизм космических тел / В. И. Григорьев. — М.: Физматлит, 2004. — 112 c.

ЛИТОСФЕРА И СОВРЕМЕННЫЕ ПРОБЛЕМЫ ЗАГРЯЗНЕНИЯ РУД

УДК: 528.288

Рузибаев Навруз Бунёд угли

Студент 4 курса факультета систем компьютерного проектирования Ферганского Политехнического Института

Аннотация: Технологии развиваются геологических и познания планеты, где и появилась человеческая цивилизация развивается и совершенствуется с каждым днём, давая возможности на пути ещё более глубокого погружения на большие глубины.

Ключевые слова: Мезосфера, гранитный слой, астеносфера, генераци, гацбургит

Разумеется, самыми большими общеизвестными исследованиями на этом пути были работы по созданию Кольской сверхглубокой скважины, которая достигала глубины порядка 12 266 метров, при этом даже не проходя всю мантию насквозь. Сегодня исследования в теоретическом и физико-математическом плане продолжаются, о чём говорят нынешние результаты в этом ключе.

Давай определение понятию литосферы, предполагается, что это твёрдая оболочка планеты земной группы, либо спутника в широком ключе, но чаще всего под этим понятием следует определение именно коры земной поверхности планеты Земля. Она состоит из верхней коры и верхней части мантии, проходя до астеносферы, где скорости сейсмических волн начинают уменьшаться, говоря о том, что пластинчатые породы переходят в иное состояние. Здесь стоит сделать оговорку о структуре планеты. Так, по своей структуре, она разделяется по общим гравитационным и физико-химическим свойствам, откуда и получается состояние современной классификационной системы на следующие части:

1. Литосферу — твёрдую оболочку планеты;

2. Астеносферу — слой в верхней мантии планеты, которая более пластична, нежели средние слои и также даёт возможность блокам литосферы в принципе двигаться по ней, наряду с обеспечением изостатического равновесия каждого из блоков;

3. Мезосферу — часть мантии, которая находиться под астеносферой, откуда и получает также наименование нижней мантии;

4. Внешнего ядра — специальный жидкий стой толщиной порядка 2 266 километров, состоя в основном из железа и никеля, при этом рас расположенное выше внутренней части ядра, верхняя граница коего начинается на глубине 2 890 км под поверхности Земли;

5. Внутреннего ядра — самую глубокую геосферу Земли, которая имеет радиус около 1 220 км, что практически составляет 70% от радиуса Луны, кроме того, давая возможности для предположений о том, что она состоит в основном из жидких расплавленных металлов, при этом определяя свою температуру на поверхности равной 5400 градусов Цельсия или 5 700 Кельвинов.

Структура литосферы подразделяется на определённые подвижные части — складчатые пояса, а также на относительно прочих стабильные платформы, не подверженные частым движением. Каждый из таких блоков имея название литосферных плит оказывают движение по относительно пластинчатой астеносфере, о которой было сказано выше. Изучение этих движений литосферных плит посвящена целое разделение геологической науки — тектоника плит.

Но если говорить о большей структуре непосредственно самого грунта, то здесь нужно указать различность грунта и типа коры под континентами и под океанами различается. Чаще всего это осадочные, гранитные и базальтовые слои, имеющие общую «мощность» (в геологическом исследовании и понимании, протяжённость выражается через мощность) до 80 километров в максимуме.

Всё дело в том, что земная кора под океанами претерпевала на протяжении своего формирования большое количества этапов плавления, откуда и образовывались океанические коры, обедневшие легкоплавкими редкими элементами, состоя в преимуществе из дунитов и гацбургитов. При этом вся толща в разы более меньше — 5—10 км, но при этом сам гранитный слой попросту отсутствует.

Таким образом, изучая общую структуру, а также разделение на отдельные составляющие земной коры, можно обратить внимание на частичное увеличение посредством использования и активации большого количества индустрий, созданные человеком генерацию новых типов руд, в том числе радиоактивного типа, которые также обратно отправляются в земную поверхность. Как известно, большое количество природных физико-химических процессов в макро-масштабе позволяют существовать биологической жизни, обеспечивая стабильные условия для проживания, но к большому сожалению, человек не учитывает эту проблематику, создавая огромное количество новых физико-химических процессов, приводящие к самым настоящим экологическим катастрофам не только в атмосфере, гидросфере и прочих делениях природной составляющей планеты, но также в грунте Земли, в её литосфере.

Благо, человек ещё пока не обрёл возможности нагружать внутренние слои, однако, стоит надеяться, что когда такая возможность будет организована, все используемые технологии будут учитывать в себе способы обеспечения полноценной экологической безопасности, к рассмотрению моделей коих и направлено настоящее исследование.

Использованная литература

1. Алисон А., Палмер Д. Геология / Пер. с англ. языка. — М.: Мир, 1984. — 568 с.

2. Гаврилов В. П. Общая и историческая геология и геология СССР. — М.: Недра, 1989. — 485 с.

3. Горшков Г. П., Якушова А. Ф. Общая геология. — М.:Изд. МГУ, 1962, 1974. — 592 с.

4. Гудымович С. С. Геоморфология и четвертичная геология. — Томск: Изд-во ТПУ, 2001. — 202 с.

5. Добровольский В. В. Геология. — М.:Гуманит. изд. центр Владос, 2001. — 320 с.: ил.

О ВОЗМОЖНОСТИ ИНТЕРПРЕТИРОВАНИЯ ЭФФЕКТА ЭЛЕКТРОМАГНЕТИЗМА С ТОЧКИ ЗРЕНИЯ ЭФФЕКТОВ ТЕОРИИ ОТНОСИТЕЛЬНОСТИ

UDK: 51—35

1Алиев Ибратжон Хатамович, 2Холматов Эркинжон Солиевич

1НИИ «ФРЯР», ElectronLaboratoryLLC, 151100, Республика Узбекистан, Ферганская обл., г. Маргилан

2Ферганский политехнический институт, 150100, Республика Узбекистан, Ферганская обл., г. Фергана

Явление электромагнитной индукции, открытый Фарадеем при помощи эмпирического метода, в последующем нашедший объяснение посредством уравнений Максвелла являлся одним из важных для понимания явлений с различных точек зрения. Однако, уместно заметить, что теория электромагнетизма была основана в XIX веке при активном применении в роли центральной теории классической физики — теорий Ньютона, которые позже для скоростей приближенных к скорости света были объяснены посредством теории относительности. Образование новой теории привело к открытию новых возможностей объяснения различных явлений, эмпирически определяемые, но при этом невозможные к объяснению со стороны теории Ньютона, к числу которых относиться явление электромагнетизма.

Для понимания необходимо представить следующую систему. Пусть имеется некоторый проводник, находящийся в вакууме, по которому течёт электрический ток. Поскольку проводник находиться в вакууме, а величина тока и напряжения не велики, невозможно наблюдение термоэлектронной и автоэлектронной эмиссии. В результате этого можно констатировать, что проводник является нейтральным — число электронов, в том числе передвигающихся свободных электронов при направлении постоянного тока и их колебании в случае использования переменного тока остаётся неизменным относительно числа ионов. Также, согласно теории Ньютона, расстояние между зарядами остаётся неизменным, поскольку каждый из них обладает сравнительно постоянной скоростью.

Если в систему ввести извне заряд вне проводника, то при протекании тока и статичном положении заряда никакого совместного взаимодействия наблюдаться не будет. Однако, в случае начала движения заряда, в одном направлении с зарядами в проводнике, заряд и проводник будут отталкиваться друг от друга. Теория электромагнетизма, объясняет это явление посредством образования однонаправленных токов, отталкивающиеся между собой, но как объясняет это явление теория Ньютона?

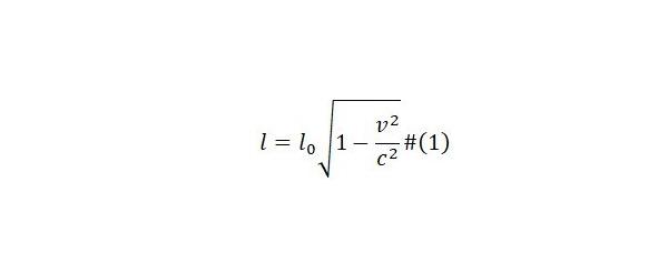
Примечательным является факт возможности описания подобного явления посредством теории относительности [1, 2]. По той причине, что при увеличении скорости объекта его длина уменьшается (1), а ионы относительно движущихся свободных электронов при постоянном токе и таких же скоростных колебаниях в случае переменного тока изменяются, то на единицу расстояния проводника приходиться различное число ионов и электронов, что создаёт разность зарядов.

Относительно протонов, которые покоятся, электроны сжимаются, как и расстояния между ними, благодаря чему формируется количественная разность при наличии постоянной величины заряда у каждой из частиц, кратная элементарному заряду. При наблюдении с точки зрения электронов, таким же образом представляется уже всё окружающее пространство и поэтому взаимодействие со стационарным внешним зарядом не происходит [2—3].

На момент, когда внешний заряд начинает движение, где активно наблюдается разность зарядов на единицу длины проводника, заряды начинают взаимодействовать в силу того, что он также уменьшает своё расстояние. Описанный наблюдаемый эффект, представленный в форме отталкивающихся зарядов и однонаправленных токов, где посредством уменьшения зарядов также объясняется совместное взаимодействие между ионами и движущимися электронами, может представляется посредством теории относительности, что вводит новую лепту в современные тенденции описательных способностей теорий [1; 4].

Важно констатировать тот момент, что демонстрация взаимодействия двух токов, в том числе в лице электромагнитной индукции, посредством теории относительности становиться достаточно заметным из-за высокой концентрации частиц на единицу объёма проводника. А также, с точки зрения применения возможность использования постулатов и выводов теории относительности в том числе в рамках теории электромагнетизма делают её более универсальной, позволяющей оперировать с различными параметрами, также в макромире и в случае явлений, где производиться исследование объектов со скоростями более приближенными к скорости света.

Развитие описательных способностей различных теорий, исходя из сказанного вновь подтверждается актуальностью исследований в области настоящего исследования, с поиском иных возможностей развития различного рода теорий, в том числе теории относительности, преобразовывая её и при возможности формируя детали Теории Всего.

Использованная литература

1. Ацюковский, В. А. Критический анализ основ теории относительности / В. А. Ацюковский. — М.: Петит, 1996. — 839 c.

2. Вильф, Ф.Ж Логическая структура частной теории относительности / Ф.Ж Вильф. — Москва: СИНТЕГ, 2001. — 327 c.

3. Горбацевич, А. К. Квантовая механика в общей теории относительности / А. К. Горбацевич. — М.: Едиториал УРСС, 2003. — 160 c.

4. Гоффман, Б. Корни теории относительности / Б. Гоффман. — М.: Знание, 1987. — 256 c.

АНАЛИЗ ВЗАИМОДЕЙСТВИЯ НЕУПРУГОГО РАССЕЯНИЯ ПРИ ВОЗДЕЙСТВИИ КОСМИЧЕСКИМ ИЗЛУЧЕНИЕМ ОТНОСИТЕЛЬНО ПОТОКА АЛЬФА-ЧАСТИЦ НА СОЛНЕЧНЫЕ ПАНЕЛИ С КРИСТАЛЛИЧЕСКИМ КРЕМНИЕМ

UDK: 531/534

Дониёрбек Д. Исломов1, Ибратжон Х. Алиев2, Султонали М. Абдурахмонов3

1Докторант, Andijan Machine-Building Institute, 170019, Uzbekistan, Andijan 2General Director Electron Laboratory LLC, Director SRI «PRNR», 151100, Margilan, 150100, Uzbekistan; alievibratzon12@gmail.com https://orcid.org/0009-0000-4094-6704 3PhD, associate prof., Fergana Politechnic Institute, Fergana, 150100, Uzbekistan, https://orcid.org/0000-0003-1234-8218

Annotatsiya. Maqolada Rezerfordning tarqalish simulyatsiyasini hisobga olgan holda elastik bo’lmagan tarqalish hodisasi, kristalli kremniy bilan quyosh plastinkasining ustun alfa zarralari bilan kosmik nurlanish ta’sirining reaktsiyasi tahlil qilindi. Tahlil jarayoni davomida energiya momenti uchuvchi nurning empirik aniqlangan energiya qiymatlarini hisobga olgan holda ko’rib chiqiladi. Tadqiqot yakunida natijalar sarhisob qilinadi va amalga oshirilgan ish natijalari shaklida taqdim etiladi.

Kalit so’zlar: Ruterford tarqalishi, elastik bo’lmagan tarqalish, nur, kosmik nurlanish, alfa zarrasi.

Актуальность. В статье проанализировано явление неупругого рассеяния с учёт

...