автордың кітабын онлайн тегін оқу Управление персоналом в образовательных учреждениях
В.И. Бережной, Г.Г. Суспицына, В.А. Астафьев
Управление персоналом в образовательных учреждениях
Учебное пособие
Информация о книге
УДК 331.1(075.8)
ББК 65.290-2я73
Б48
Авторы:
Бережной В. И., доктор экономических наук, профессор, академик Российской академии естественных наук, академик Международной академии педагогического образования;
Суспицына Г. Г., кандидат экономических наук, доцент, доцент кафедры экономико-управленческих и правовых дисциплин Российского государственного гуманитарного университета (филиал в г. Георгиевске);
Астафьев В. А., преподаватель Северо-Кавказского института дополнительного образования.
Рецензенты:
Лобейко Ю. А., профессор, доктор педагогических наук, профессор кафедры педагогики и образовательных технологий ФГАОУ ВПО «Северо-Кавказский федеральный университет»;
Гладилин А. В., профессор кафедры экономической теории и мировой экономики ФГАОУ ВПО «Северо-Кавказский федеральный университет».
В пособии изложены и иллюстрированы примерами методы управления образовательными учреждениями. Рассматриваются методические подходы к разработке проектных технологий управления персоналом.
Учебное пособие подготовлено в соответствии с Федеральным государственным образовательным стандартом высшего профессионального образования по направлению 38.03.02 «Менеджмент», квалификация (степень) «бакалавр».
Для преподавателей, аспирантов, студентов экономических специальностей, менеджеров и специалистов в области управления организациями.
УДК 331.1(075.8)
ББК 65.290-2я73
© Бережной В. И., Суспицина Г. Г., Астафьев В. А., 2017
© ООО «Проспект», 2017
Предисловие
Система профессионального образования в нашей стране в последние пять лет претерпела значительные изменения. Сформированы и претворяются в жизнь новые подходы к реализации образовательных программ в частности и обучения в целом. Институты меняют формат образования, развиваются и расширяются практикоориентированные инструменты. Модернизируется система обучения, а с ней и подходы к управлению в образовательных организациях.
Настоящее учебное пособие представляет собой комплекс необходимого инструментария для будущих бакалавров и магистров, посвятивших себя управлению в образовательных системах. Построение и изложение материала направлено на формирование исследовательских навыков в сфере управления персоналом образовательной организации. Предлагаемые методы несут в себе элементы системного анализа и позволяют будущим специалистам самостоятельно выстраивать варианты анализа и интерпретации данных, даже в ситуациях с высокой долей неопределенности. Содержание и структура учебного пособия выстроены таким образом, чтобы обучающиеся могли как применить представленные технологии исследования управления персоналом образовательной организации, так и на их базе формировать свои, преломляя показанный опыт под конкретные задачи.
В настоящем издании приведены примеры и аналитические выкладки по совершенно новым управленческим технологиям в образовании. Это проектные методы управления, командная работа и педагогическое проектирование. Авторы надеются на изменение представлений о современном управлении в образовательных организациях и повышении эффективности работы самих будущих менеджеров и педагогов.
В конце каждого раздела учебного пособия помещены тесты, практические и ситуационные задания, которые помогут слушателям осуществлять самостоятельный контроль полученных знаний.
Глава 1.
Особенности управленческой деятельности в образовательной сфере
1.1. Понятие и содержание управленческой деятельности в образовательных учреждениях
Среди всего многообразия проблем теории и практики управления персоналом образовательной организации главное место, безусловно, принадлежит комплексу вопросов, связанных с содержанием управленческой деятельности, с индивидуальной деятельностью руководителя образовательной организации.
Во-первых, деятельность руководителя образовательной организации объективно и неразрывно связана со всеми аспектами функционирования образовательной организации. Следовательно, проблема управленческой деятельности в образовательных организациях также органично вплетена во все иные управленческие и организационные проблемы и вне их не может быть адекватно решена.
Во-вторых, проблема управленческой деятельности в образовательных организациях принадлежит к категории междисциплинарных научных проблем, т.е. является предметом исследования в целом комплексе дисциплин. В качестве таковой она и разрабатывалась, но при этом явно доминировали внепсихологические ее аспекты: организационный, инженерный, социологический, экономический, социотехнический и др.
В-третьих, изучение управленческой деятельности в образовательных организациях наиболее затруднительно в научном плане, поскольку здесь предметом исследования является такая трудноуловимая, «неосязаемая» сфера, как психическая реальность. Закономерно поэтому, что в гораздо большей степени, чем она, раскрыты и изучены внешние проявления управленческой деятельности в образовательных организациях, а не ее внутреннее содержание.
Выделяют три уровня управления персоналом образовательной организации: высший, функциональный и нижний (табл. 1.1).
Таблица 1.1
Уровни управления в образовательной организации1
|
Уровень управления |
Субъект управления |
Направление деятельности |
| Высший |
Руководство образовательной организации. |
Определение стратегии и приоритетов в работе с персоналом. Утверждение положений, программ, инструкций и других методических материалов по работе с персоналом. |
| Средний функциональный |
Службы управления персоналом (отдел кадров, учебный центр, группа психологов и др.) |
Разработка кадровых процедур и методического обеспечения работы с педагогическим персоналом. Организация работы с педагогическим персоналом. |
| Нижний |
Руководители структурных подразделений. |
Оперативная работа с педагогическим персоналом. |
Результативное управление педагогическим персоналом может быть обеспечено лишь в результате совместного функционирования субъектов всех трех уровней управления. Рассмотрим взаимосвязь функций управления и функций управления персоналом образовательной организации (рис.1.1).
Рисунок 1.1. Функции управления персоналом образовательной организации
Во-первых, нужно четко определить, сколько педагогов, какой квалификации (уровень образования и стаж работы), каких направлений подготовки необходимо для реализации целей образовательной организации.
При этом целесообразно определить не только оптимальный количественный состав педагогических работников образовательной организации, но и сформулировать требования в уровню их человеческого и трудового потенциала, необходимого для эффективной работы2. Для этого нужно проанализировать содержание труда, применяемые технологии и т.д. Следовательно, наряду с общей функцией управления – планированием работы существует специальная функция планирования педагогического персонала образовательной организации. Таким образом, в рамках функционального блока по управлению персоналом образовательной организации, связанного с определением потребности в педагогических работниках решаются задачи выбора методов расчета, планирования количественной и качественной потребности.
Во-вторых, субъекты управления должны сформировать персонал образовательной организации в соответствии с подготовленными планами, т.е. найти на рынке труда и привлечь в образовательную организацию нужных специалистов. Следовательно, второй специальной функцией управления персоналом образовательной организации является, подбор, отбор и наем педагогических работников. В рамках функционального блока по управлению персоналом, связанного с наймом персонала решаются задачи организации собеседования, оценки, отбора и приема; профессиональной ориентации; управления занятостью.
В-третьих, субъекты управления обязаны рационально использовать педагогический персонал. Для этого необходимо не только четко определить каждому работнику образовательной организации сферу приложения его труда, должностные обязанности, права и ответственность, но и разработать адаптационные программы по скорейшему приспособлению педагога к требованиям образовательной организации. В соответствии с изменением стратегии развития образовательной организации и развитием трудового потенциала самого педагогического работника необходимо перераспределить персонал, т.е. управлять его профессионально-квалификационным продвижением и должностными перемещениями. Следовательно, наряду с общей функцией управления – организацией работы – существуют специальные функции службы управления персоналом (СУП): адаптация педагогов, их профессионально-квалификационное продвижение, управление карьерой.
В-четвертых, нужно развивать педагогический персонал, т.е. увеличивать его трудовой потенциал путем подготовки, переподготовки и повышения квалификации педагогов. В подсистеме развития педагогических работников обязательными являются функции: деловой оценки педагогов, рационализации и изобретательства.
Учтя специфические особенности объекта управления, необходимо сформировать у педагогов внутреннюю потребность реализации своего трудового потенциала, т.е. мотивацию. С этой целью следует разрабатывать формы стимулирования и оплаты труда, социальной и психологической поддержки педагогов.
Служба управления персоналом образовательной организации является функциональным подразделением, так как по своей сути непосредственно избегает в основной деятельности, но обеспечивает нормальное функционирование всей образовательной организации.
В таблице 1.2 приведены типичные элементы системы управления персоналом образовательной организации.
Таблица 1.2
Основные типичные элементы и задачи системы управления персоналом образовательной организации3
|
Функции |
Содержание задач в функциональном блоке |
| Определение потребности в персонале |
Планирование качественной потребности в педагогических работниках. Выбор методов расчета количественной потребности в педагогических работниках. Планирование количественной потребности в педагогических работниках. |
| Обеспечение персоналом |
Получение и анализ маркетинговой (в области персонала) информации. Разработка и использование инструментария обеспечения потребности в педагогических работниках. Отбор педагогических работников, их деловая оценка. |
| Развитие персонала |
Планирование и реализация карьеры. Организация и проведение обучения. |
| Использование персонала |
Определение содержания и плодов труда на рабочих местах. Производственная социализация. Введение педагогических работников, его адаптация к трудовой деятельности. Упорядочение рабочих мест. Обеспечение безопасности труда. Высвобождение педагогических работников. |
| Мотивация результатов труда и поведение персонала |
Управление содержанием и процессом мотивации трудового поведения. Управление конфликтами. Использование монетарных побудительных систем. Применение немонетарных побудительных систем: групповая организация и социальные коммуникации, стиль и методы руководства, регулирование рабочего места. |
| Правовое и информационное обеспечение процесса управления персоналом |
Правовое регулирование трудовых взаимоотношений. Учет и статистика педагогических работников. Информирование коллектива и внешних организаций по кадровым вопросам. Разработка кадровой политики. |
Элементы службы управления персоналом определяют ее организационную структуру4.
Управленческая деятельности в образовательной организации во многом определяется тем, как руководитель образовательной организации, педагогические работники обладают методикой педагогического анализа, насколько полно могут быть ими изучены обнаруженные факты, раскрыты наиболее типичные зависимости. Непрофессионально или несвоевременно проведенное исследование в деятельности руководителя образовательной организации приводит к расплывчатости, неконкретности, на стадии формирования целей и выработки задач, а иногда и к голословности принимаемых управленческих решений. Неосведомленность об истинном положении дел в ученическом или педагогическом коллективе в процессе регулирования и корректировки педагогического процесса, основывает сложности в определении правильной системы взаимоотношений.
Процесс управления каждой педагогической системой подразумевает постановку целей (целеполагание) и принятие решений (планирование). Необходимостью непрерывного движения, развития педагогической системы, диктуется необходимость планирования учебно-воспитательной работы и совершенствования целеполагания. Конечно, достаточно сложно с исчерпывающей верностью определить, когда сформируется у воспитуемого то или другое необходимое качество, произойдет то или иное изменение в межличностных отношениях, но прогнозировать существенные обстоятельства, периоды становления как личности так и коллектива позволяет планирование. Именно планирование образовывает непредвзятую обстановку, при которой возможно предельное и многостороннее созревание личности – раскрытие ее творческого потенциала.
Деятельность педагогическая целенаправленна. Цели и задачи, решаемые педагогическими работниками, при этом имеют социальную значимость, потому что отображают общие цели и задачи, стоящие перед современным обществом. Стержнем плана выступает цель педагогической деятельности, таким образом, полное осмысление цели обязано пронизывать всю деятельность, как педагогического работника, так и учеников.
Цель управленческой деятельности – это основа, определяющая содержание, формы, методы и общее направление работы. При разработке «дерева» целей, в управлении педагогическими системами особенности целеполагания заключены в том, что недостаточно владеть информацией лишь об объективных требованиях общества5. Немаловажно уметь соотносить общую цель управленческой деятельности с индивидуально-психологическими и возрастными особенностями обучающихся, когда педагогические цели олицетворяют требования, предъявляемые обществом человеку. При построении «дерева» целей управления необходимо декомпозировать общую «генеральную» цель, т.е. «генеральную» цель изобразить в виде ряда конкретных частных целей. Таким образом, за счет выполнения составляющих частных целей генеральной цели осуществляется достижение общей.
В управленческой деятельности опора на осознанное установление целей не только руководителем образовательной организации, но и педагогами и обучающимися подчеркивает факт того, что всякий участник педагогического процесса выступает обладателем не только обусловленных прав, обязанностей, но и мерой ответственности.
Подобное понимание целеполагания дает возможность приступить к комплексно-целевому планированию, дающему возможность разрабатывать комплексные целевые программы, устремленные к достижению генеральной цели. Комплексная целевая программа представляет собой не упрощенную модель плана работы образовательной организации, она выступает как необходимая его часть. Из плана работы образовательной организации вычленяют наиболее 3–4 значительные проблемы и детально прорабатывают их администрация и коллектив образовательной организации.
В данной целевой программе обязательно должно быть краткое описание состояния проблемы и определено ее место в общем плане образовательной организации, должна быть указана генеральная цель, система задач; приведены показатели достижения целей, установлены сроки и определены исполнители, представлено информационное обеспечение процесса решения управленческих задач, установлен контроль за ходом осуществления программы, намечена корректировка выполнения программы, приведен итоговый анализ.
В динамике цель функционирования педагогической системы усложняется, тем самым отображая и сложность деятельности, устремленной на ее достижение6. В управлении образовательной организацией планирование выступает, как принятие управленческого решения на базе соотношения запрограммированной цели с данными педагогического анализа исследуемого явления. Управленческие решения рассчитаны могут быть на отдаленную перспективу, устремлены на решение текущих оперативных дел. На этом основании выделяют годовые, текущие, перспективные планы работы образовательной организации.
Разработка планов работы образовательной организации осуществляется с учетом требований, обеспечивающих непрерывность, конкретность и реальность их выполнения. Это, прежде всего, следование требованиям целевой направленности. В данном случае под целенаправленностью понимается определенная целевая установка по учету прошлого опыта деятельности образовательной организации, развивающего и углубляющего основные направления деятельности и педагогического и ученического коллективов. Это постановка частных целей и в работе педагогов, и классных руководителей(кураторов), и общественных организаций. Главное требование – перспективность планирования, когда педагогами и учащимися цели деятельности принимаются как:
1. Цели эмоционально окрашенные, понятные, близкие, желанные;
2. Стратегия, планируемая на достаточно длительный период, но реально осознаваемая.
В числе предъявляемых к планированию требований выделяют и такое требование, как комплексность. Указанное требование обозначает, что в процессе разработки плана предлагается применение различных форм, методов, средств, видов деятельности в их взаимосвязи и единстве. Следование требованиям объективности основано имеющихся знаниях об объективных условиях деятельности образовательной организации, ее местонахождения, экономических, материальных условий, окружающей социальной и природной среды, потенциала педагогического и ученического (студенческого) коллективов.
Исследование опыта работы образовательных организаций указывает также и на такой факт, когда планирование рассматривают как доминирующую функцию в управлении образовательной организацией. Стремления руководителя образовательной организации в этом случае в основном сконцентрированы на том, чтобы разработать план работы, в организационном отношении его не обеспечив. Вследствие этого достаточно хорошо спланированная деятельность в итоге так и остается нереализованной, поскольку в движение не приведены все остальные функции управления. Так, не получив своего развития, в данном случае управленческий цикл угасает – в итоге поставленная цель не достигается.
Три основных вида планов разрабатываются в практике работы образовательных организаций: перспективный, годовой и текущий7.
Как правило, перспективный план разрабатывается на пять лет на основании глубокого исследования деятельности образовательной организации за ряд последних лет.
Пример 1.1. Перспективный план работы образовательной организации может иметь следующую структуру:
1. Основные задачи образовательной организации на срок планирования.
2. Развитие по годам контингента учащихся (студентов), возможное количество классов (групп), направлений подготовки.
3. Потребность в педагогических работниках.
4. Возможность внедрения педагогических инноваций.
5. Повышение квалификации педагогических работников.
6. Развитие материально-технической базы образовательной организации.
7. Учебно-методическое оснащение образовательной организации (пополнение наглядных пособий, библиотечного фонда, оформление кабинетов и обновление оборудования и др.).
8. Социальная защита педагогических работников и учащихся, улучшение условий их труда и отдыха и быта.
Весь учебный год, включая летние каникулы охватывает годовой план образовательной организации.
Перспективный план работы образовательной организации реализовывается в течение всего текущего учебного года и осуществляется в несколько этапов. Руководитель образовательной организации и его заместители на первом этапе изучают новые нормативные и инструктивные документы, теоретические и методические материалы в целом по проблемам образования и в частности планирования. Под непосредственным руководством руководителя образовательной организации На втором этапе формируется инициативная группа по вопросам разработки и корректировке структуры проекта плана, устанавливаются источники и формы сбора необходимой информации. Получаемая информация анализируется на третьем этапе. На данном этапе заслушивают отчеты о работе руководителей подразделений образовательной организации и членов комиссии, выявляют причины возникших трудностей и намечают пути их ликвидации в перспективе. На четвертом этапе подготавливается и обсуждается проект плана. План работы образовательной организации утверждается на первом ее заседании совета в новом учебном году.
Текущий план образовательной организации является конкретизацией общего годового плана, составляется он на учебную четверть (семестр). Наличие основных видов планов, таким образом, дает возможность скоординировать деятельность коллективов: педагогического, ученического и родительского. По отношению к планам работы педагогов и классных руководителей (кураторов) эти планы являются стратегическими.
Пример 1.2. Приведем один из возможных вариантов стратегического плана образовательной организации:
1. Краткий анализ итогов деятельности образовательной организации за прошедший учебный год и задачи организации на новый учебный год.
2. Деятельность педагогического коллектива по выполнению всеобуча.
В данном разделе плана уточняют границы микрорайона в котором расположена образовательная организация. Уточняется количество учащихся, обучающихся в данной образовательной организации, и исследуются перспективы роста контингента учащихся. Планируется ряд мероприятий на направленных исполнение положений закона РФ «Об образовании» о гарантиях на получение образования; оказание материальной помощи детям – сиротам.
3. Работа педагогического коллектива направленная на повышение качества учебно-воспитательного процесса.
Это наиболее объемная, развернутая часть плана, которая охватывает различные стороны деятельности как педагогов, так и учащихся. Прежде всего это касается обеспечения качества знаний, навыков и умений, применения современных форм организации образовательного процесса, активных методов обучения. Работа образовательной организации, направленная на организацию и внеклассной и внеурочной работы, по воспитанию базовой культуры личности учащихся в ее всевозможных проявлениях. Работа образовательной организации по вырабатыванию ученического самоуправления, по поддержке в соответствии с «Конвенцией ООН о правах ребенка» детских общественных организаций.
4. Совместная деятельность образовательной организации, общественности, семьи, трудовых коллективов по воспитанию обучающихся.
Деятельность образовательной организации по увеличению педагогической культуры родителей. Содержание этой деятельности устремлено на утверждение роли образовательной организации как центра организующего совместную работу с семьей и общественностью. В эту деятельность входит работа с советом образовательной организации и родительским коллективом, проведение педагогических конференций, педагогических лекториев, для родителей – дней открытых дверей, занятий в университете, привлечение к воспитательной работе с учащимися родителей в качестве руководителей студий, секций, кружков, организация дифференцированной, индивидуальной работы с родителями.
5. Работа с педагогическим коллективом.
Проведение аттестации педагогических работников, применение средств информатики и ЭВТ в оценке степени профессиональной подготовки, деятельность педагогического коллектива образовательной организации над общей научно-методической проблемой, проведение конференций, семинаров, заседаний методических и педагогических советов, педагогических чтений. Осуществление деятельности образовательной организации с учетом передового педагогического опыта. Оценка и формирование инновационной среды.
6. Упрочение учебной и материальной базы образовательной организации.
В данной части плана планируется в течение года проведение инвентаризации материальных ценностей образовательной организации, учебных пособий. Программа переоборудования и оформления учебных кабинетов. Упрочение материальной базы для занятий техническим творчеством туризмом, спортом. Укомплектование библиотечного фонда. Программа капитального и текущего ремонта.
7. Система внутреннего контроля.
8. Организационно-педагогические мероприятия.
В данной части плана указывают тематику заседаний педагогического совета, совета образовательной организации, производственных совещаний. Распределяют обязанности между администрацией образовательной организации, определяют единый режим ее работы, разрабатывают график дежурства по образовательной организации, распределяют учебную нагрузку, заведование кабинетами, классное руководство, и др.
Осуществление в едином управленческом цикле функции планирования увеличивает эффективность работы образовательной организации.
Функция образовательной организации обращена на исполнение принятых решений, которые выполняют конкретные люди: педагогические кадры, учащиеся, представители общественности, родители. Важное место в структуре организаторской деятельности руководителя образовательной организации принадлежит мотивации предстоящей деятельности, формированию убежденности в необходимости исполнения данного поручения, инструктированию, обеспечению единства действий ученического (студенческого) и педагогического коллективов, оказанию непосредственной помощи в ходе выполнения работы, выборе наиболее адекватных форм стимулирования педагогической деятельности8. Деятельность руководителя образовательной организации содержит и такое необходимое действие, как оценку процесса выполнения и плодов конкретного дела.
Организаторская деятельность руководителя образовательной организации также обращена на формирование сплоченного педагогического коллектива. На первом плане в этой работе – личностные качества руководителя, его общая и педагогическая культура, профессионализм, заинтересованность в работе образовательной организации, учащихся и педагогов, умении устанавливать цели и задачи и добиваться их решения.
Умение рационально распределять свое время и время своих подчиненных является одним из показателей организаторской культуры руководителя образовательной организации. Немаловажно, что кроме административных функций руководитель образовательной организации осуществляет и педагогическую деятельность, оставаясь преподавателем (учителем) какого-либо предмета. Административная работа занимает основное время руководителя образовательной организации. Однако его педагогическая деятельность обязана быть примером для других педагогов, руководитель только в этом случае может быть педагогом своих педагогов. Данное условие требует значимых затрат времени на подготовку к урокам (лекциям), изучение новой педагогической литературы. Основа научной организации труда руководителя образовательной организации, педагога – умение рационально использовать время. Это важно иметь в виду при существующей в настоящее время фактической перегрузке как администрации образовательной организации, так и педагогов.
К числу основных организационных форм управленческой деятельности прежде всего относят совет и педагогический совет образовательной организации, совещания при руководителе и совещания при заместителях руководителя образовательной организации, заседания комиссий, методические семинары, оперативные совещания, заседания учкома и др.
Педагогический совет образовательной организации формируется в соответствии с «Временным положением о государственных общеобразовательных учебных заведениях Российской Федерации». Уставом образовательной организации определяются состав, структура и содержание деятельности педагогического совета. Руководит деятельностью педагогического совета председатель, он избирается педагогическим коллективом. Деятельность педагогического совета и совета образовательной организации друг друга не дублируют, а друг друга дополняют. Педагогический совет призван выносить решения, по организации учебно-воспитательного процесса, определению методов его совершенствования. Работа педагогического совета сосредоточена на решении таких задач как9:
– оценка, обсуждение и отбор учебных планов, программ, учебных пособий, учебников, отвечающих требованиям государственных образовательных стандартов, и внедрение новых форм и методов учебного и воспитательного процессов, установление способов их осуществления;
– обсуждение деятельности коллектива образовательной организации по выполнению текущих, перспективных годовых планов, качества учебной воспитательной работы;
– организации деятельности по повышению квалификации педагогических работников, по созданию в педагогическом коллективе инновационной среды, развитию творческой активности, исследованию, обобщению и внедрение в педагогический процесс передового педагогического опыта;
– проведение с учетом мнения педагогов, учащихся, родителей, аттестации педагогов, ходатайство о присвоении педагогам категорий, разрядов, званий перед органами управления образования, внесение предложений по усовершенствованию технологии аттестации;
– рассмотрение и утверждение кандидатур педагогических работников на курсы повышения квалификации, в аспирантуру, стажировку, представление лучших педагогов к разнообразным формам материального и морального поощрения;
– установление главных направлений сотрудничества с учебными введениями и научно-исследовательскими организациями, государственными и общественными организациями, творческими союзами, организация опытно-экспериментальной работы, формирование методических центров и служб в структуре образовательной организации.
Проведению педагогических советов могут предшествовать опросы, анкетирование, конкурсы, контрольные работы, смотры, и т.д. На заседания педагогических советов выносят основные проблемы в деятельности образовательной организации. Так же в образовательных организациях используют такую организационную форму, как совещания при руководителе образовательной организации. Для преподавателей и администрации они являются обязательными, но на них могут быть приглашены и другие педагогические работники. Обсуждаемые вопросы связаны непосредственно с организацией учебно-воспитательного процесса – успеваемости, организации внеурочной деятельности, соблюдения правил поведения, может анализироваться деятельность отдельных педагогов, выполнение ими требований стандартов образования, деятельность педагогов направленная на развитие творческой активности учащихся и др. Руководителем образовательной организации определяется периодичность проведения данных совещаний. В плане работы образовательной организации отражается время проведения подобных совещаний.
Необходимой формой организации образовательного процесса в образовательной организации являются оперативные информационные совещания. Совещания могут проводиться только для педагогов, или только для учащихся, или одновременно для тех и других. Содержание их определяется реальной ситуацией. К данной форме управленческой деятельности относят также посещение уроков и внеклассных мероприятий, занятий творческих клубов, вечеров, художественных студий, спортивных соревнований, и др., встречи с представителями общественности, родителями, трудовым коллективом.
Результативной формой участия учащихся в управлении образовательной организацией выступает их участие в деятельности выборного органа – ученического (студенческого) комитета.
Внутренний контроль управлении образовательной организацией. Значение контроля в управлении современной образовательной организацией особенно усиливается в связи с предоставлением образовательной организации значительных полномочий в оценке качества обучения и воспитания обучающихся. Инспекторские функции в образовании с реорганизацией управленческих структур возложены на руководителя и его заместителей. В то же время конечные итоги управленческой деятельности руководителей образовательной организации, стали предметом контроля со стороны высших инспекторских служб органов управления образованием.
Управленческая деятельность в образовательной организации по своему содержанию выступает как реализация определенных управленческих функций, таких как планирование, прогнозирование, мотивирование, принятие решений, контроля и др. Любой управленческой деятельности присуща система этих функций, вне зависимости от конкретного ее вида, хотя уровень их выраженности может быть различным. Вследствие этого одной из основных характеристик управленческих функций является ее инвариантная система.
К основным функциональным элементам управления в педагогическом коллективе относятся:
Планирование
Целеполагание
Мотивация
Организация
Контроль и анализ.
1.2. Анализ организационных систем управления
Педагогический коллектив является очень тонким инструментом, значит его специфика делает специфическим и управление им.
На организационную структуру образовательной организации влияет ряд факторов. В первую очередь таким фактором является характер профессионально-педагогических задач, которые решают члены педагогического коллектива10. Целостность всего педагогического процесса, неразрывная связь обучения, воспитания и развития объединяют деятельность педагогов, кураторов, классных руководителей, родителей и общественности.
Выполняя профессиональные функции, каждый педагог согласует свои действия с другими участниками педагогического процесса – педагогами, учениками, администрацией. Следовательно, объективная своевременная информация о состоянии дел в образовательной организации и упрочивает организационную структуру всего педагогического коллектива и, несомненно, объединяет его членов. Другими словами, необходимым условием сплоченности педагогического коллектива является целевое единство, подчинение частных задач достижению общей цели педагогической деятельности.
Также организационная структура педагогического коллектива зависит от индивидуально-психологических и социально-демографических особенностей его членов. Высокая степень однородности педагогического коллектива по возрасту, образованию и уровню квалификации выступает основой для установления деловых межличностных отношений его членов.
Но, как правило, педагогические коллективы достаточно разнородны по своему составу. Каждый год педагогические ряды пополняются молодыми специалистами. Опытные педагоги уходят на заслуженный отдых. Кроме того, любой коллектив подвержен обыкновенной текучке кадров. Ведь человеческий фактор со сменой места жительства и семейными обстоятельствами никто не отменял. Все это вместе является реальной основой возникновения неформальных групп различной направленности. И руководителю образовательной организации при организации и управлении педагогическим коллективом необходимо это учитывать. На стабильности коллектива отражаются внутриколлективные отношения, именно стабильность педагогического коллектива устанавливает характер взаимоотношений его членов.
Организационная структура педагогического коллектива зависит и от того, насколько принадлежность к нему удовлетворяет потребности и интересы всех его членов. Удовлетворенность педагогов своим коллективом характеризует престиж всего педагогического коллектива, наличие в нем друзей и единомышленников, осознание собственной значимости в коллективе, общий морально-психологический климат, а также многолетние традиции коллектива.
И, наконец, численность педагогического коллектива оказывает влияние на его организационную структуру. В малочисленных педагогических коллективах связи между членами данного коллектива достаточно прочные и устойчивые. По мере увеличения членов коллектива отношения между ними приобретают более официальный характер. В педагогическом коллективе численностью более 30 человек возникают разнообразные неформальные группы, объединенные по различным признакам.
Характер руководства педагогическим коллективом напрямую определяется его численностью. В малочисленных коллективах отношения между педагогами стабильны. Педагоги хорошо знают друг друга. Часто собираются вместе в неформальной обстановке. Однако в таких коллективах довольно ограничены возможности для взаимного обогащения и профессионального общения. Сложная структура взаимоотношений складывается в больших педагогических коллективах. Они более динамичны, часто конфликтны, но в этом случае появляется большая вероятность зарождения ярких и неординарных личностей, творческих педагогов, способных на прогрессивное движение всего образовательного процесса учреждения.
На развитие организационной структуры педагогического коллектива влияют следующие факторы: характер профессионально-педагогических задач, решаемых членами коллектива; социально-демографические и индивидуально-психологические особенности членов коллектива; насколько принадлежность к педагогическому коллективу удовлетворяет потребностям и интересам его членов и, безусловно, численность самого педагогического коллектива.
Любой коллектив имеет как формальную (открытую, официальную) структуру, так и структуру неформальную, скрытую от глаз.
Выделяют следующие особенности педагогического коллектива, которые необходимо учитывать при управлении: специфика профессиональной деятельности; многопрофильность деятельности всего педагогического коллектива; коллективный характер труда и коллективная ответственность за результаты педагогической деятельности; отсутствие временных рамок выполнения различных видов педагогического труда, а также преимущественно женский состав педагогического коллектива11.
Структура образовательной организации закрепляет горизонтальное и вертикальное разделение труда, расстановку и взаимосвязь персонала и, следовательно, возможности его успешной деятельности12.
При построении образовательной организации задача руководителя состоит в том, чтобы выбрать ту структуру, которая более всего отвечает целям и задачам образовательной организации, а также воздействующим на нее факторам. Наилучшая структура – это та, которая позволит образовательной организации эффективно взаимодействовать с внешней средой, продуктивно и целесообразно распределять и направлять усилия всего педагогического коллектива и, таким образом, достигать своих целей с высокой эффективностью.
Под структурой образовательной организации обычно понимают организацию связей и отношений между подсистемами и элементами системы, а также состав этих подсистем и элементов, каждому из которых соответствует определенная функция13. Свойства структуры образовательной организации во многом определяют ее поведение. Главной характеристикой качества структуры любой экономической системы является сбалансированность, пропорциональность ее частей (подсистем). Итак, структура образовательной организации – это фиксированные взаимосвязи, которые существуют между подразделениями и работниками образовательной организации. Структура любой организации состоит из функциональных единиц: управлений, отделов, секторов и т.д.
В теории организации и теории управления чаще используется понятие организационной структуры управления (ОСУ). Организационная структура управления строится с учетом требований наиболее эффективного управления системой. ОСУ образовательной организации направлена прежде всего на установление четких взаимосвязей между отдельными ее подразделениями, распределение между ними прав и ответственности. Наилучшая структура – структура, позволяющая взаимодействовать с внешней средой, реагировать на ее изменения, распределять и направлять внутренние ресурсы и усилия своих сотрудников на достижение целей. Организационная структура образовательной организации постоянно видоизменяется, совершенствуется в соответствии с меняющимися условиями функционирования системы.
Организационная структура управления – одно из ключевых понятий менеджмента, тесно связанное с целями, функциями, распределением полномочий между менеджерами14. В рамках организационной структуры управления протекает весь управленческий процесс (движение потоков информации, ресурсов, идей, принятие управленческих решений), в котором участвуют менеджеры всех уровней.
Организационная структура управления (ОСУ) – это упорядоченная совокупность устойчиво взаимосвязанных элементов, обеспечивающих функционирование и развитие организации как единого целого.
В любой организации могут быть выделены несколько структур в зависимости от того, о связях какого типа идет речь: связи между основными элементами, через которые проходят финансовые потоки, дадут нам финансовую структуру; связи между функциональными штабами – функциональную; можно говорить о структуре кадров, производства и т.д.
Современный тип иерархической структуры управления имеет много разновидностей. Приведем краткую характеристику основных организационных структур.
Линейная структура управления (рис. 1.2) является наиболее приемлемой лишь для простых форм организаций. Отличительная черта: прямое воздействие на все элементы организации и сосредоточение в одних руках всех функций руководства. Структура хорошо работает в небольших организациях при высоком профессионализме и авторитете руководителя.
Рисунок 1.2. Линейная структура управления
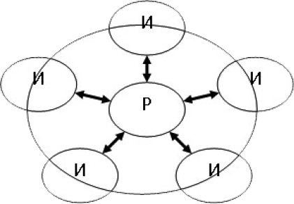
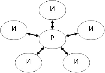
В небольших организациях с четким распределением функциональных обязанностей получили также распространение структуры в виде кольца, звезды и колеса (рис. 1.3–1.5)15.
Линейно-функциональная структура управления (рис. 1.6) основана на так называемом «шахтном» принципе построения и специализации управленческого процесса в зависимости от обязанностей, возложенных на заместителей руководителя – функциональных руководителей. К их числу относятся: директор, заместители директора, руководители информационного отдела и т.д.
Рисунок 1.3. Линейная структура управления: кольцо16
Рисунок 1.4. Линейная структура управления: звезда
Рисунок 1.5. Линейная структура управления: колесо
Рисунок 1.6. Линейно-функциональная структура управления
Матричная структура управления (рис. 1.7)17 представляет собой ре-шетчатую организацию, построенную на принципе двойного подчинения исполнителей: с одной стороны, непосредственному руководителю функциональной службы, которая предоставляет персонал и техническую помощь руководителю проекта, с другой – руководителю проекта (целевой программы), который наделен необходимыми
Рисунок 1.7. Матричная структура управления
полномочиями для осуществления процесса управления в соответствии с запланированными сроками, ресурсами и качеством.
Матричная схема применяется при сложном, наукоемком предоставлении знаний. Программно-целевая структура управления предусматривает создание специальных органов управления краткосрочными и долгосрочными программами. Она ориентирована на обеспечение всей полноты линейных полномочий в рамках реализуемых программ.
Проектная структура управления формируется при разработке организацией проектов, под которыми понимаются любые процессы целенаправленных изменений в системе управления или в организации в целом18. Управление проектом включает определение его целей, формирование структуры, планирование и организацию работ, координацию действий исполнителей. Одной из форм проектного управления является формирование специального подразделения – проектной команды, работающей на временной основе.
Функционально-объектная структура управления предусматривает выделение в функциональных подразделениях наиболее квалифицированных педагогов, которые в дополнение к их функциональным обязанностям назначаются руководителями конкретных работ или объектов в данном подразделении19. Внутри подразделения эти специалисты являются старшими при выполнении порученной работы не только в рамках постоянно закрепленных за ними функций, но и по всем другим вопросам.
Разновидностью иерархического типа организации управления является весьма сложная и разветвленная структура, получившая название дивизиональной структуры управления (от английского слова division – отделение)20.
Пример 1.3. Проанализируем организационную структуру МКДОО № 1 в рамках реализации образовательных программ, что собственно и представляет собой управление проектом, то есть в нашем случае рядом образовательных программ. При проведении анализа будем исходить из существующих реалий, сложившихся в управлении в МКДОО № 1:
формально – заведующий управляет организацией и непосредственно администрацией и проектами – в действительности руководитель непосредственно руководит педагогами/воспитателями;
...