автордың кітабын онлайн тегін оқу Электроника асослари. Ўқув қўлланма
Боходир Хошимович Каримов
Тожибой Мирзамахмудович Мирзамахмудов
Электроника асослари
Ўқув қўлланма
Шрифты предоставлены компанией «ПараТайп»
Редактор Салим Мадрахимович Отажонов
Иллюстратор Боходир Хошимович Каримов
Дизайнер обложки Ибратжон Хатамович Алиев
Корректор Ибратжон Хатамович Алиев
Рецензент, физико-математика фанлари доктори, Фарғона Давлат Университети физика-техника факультети профессора Салим Мадрахимович Отажонов
© Боходир Хошимович Каримов, 2023
© Тожибой Мирзамахмудович Мирзамахмудов, 2023
© Боходир Хошимович Каримов, иллюстрации, 2023
© Ибратжон Хатамович Алиев, дизайн обложки, 2023
Электроника асослари ўқув қўлланмасида ярим ўтказгичлар ва ярим ўтказгичли асбоблар — диодлар, транзисторлар, пьезоэлементлар ва шу кабиларнинг физик асослари, тузилиши, схемалардаги шартли белгиси, ишлаш принципи, қўлланиши хақида маълумот берилган. Ўқув қўлланма талабалар, электроника бўйича мутаҳассислар, IT фанлари мутаҳассислари ва радио ҳаваскордарга мўлжанланган.
ISBN 978-5-0056-3165-7
Создано в интеллектуальной издательской системе Ridero
Оглавление
Кириш
Электроника фани университет ва техника олий ўқув юртларининг «Технологикй таълим», «Физика» «Асбобсозлик», «Электроника ва микроэлектроника» йўналишидаги ўқиётган бакалавр талабалари учун асосий курс хисобланади.
«Электроника асослари» ўқув қўлланмасида етарли даражада расмлар, графиклар, жадваллар ва маълумотномалар берилган.
ПФ-60-сон — 28.01.2022.
2022—2026 йилларга мўлжалланган янги Ўзбекистоннинг тараққиёт стратегияси тўғрисида адолатли ижтимоий сиёсат юритиш, инсон капиталини ривожлантириш масаласига давлат сиёсати даражасига кўтарилган. Тараққиёт стратегиясининг асосий масалаларидан бири бўлиб, ҳамма сохаларида, жумладан, электроника, хисоблаш техникаси, радиотехника, робототехника ва информатикада сохада рақобатбардош кадрларни таёрлашдан иборат.
Шу муносабат билан электрониканинг замонавий элемент базасини кўз олдига келтирувчи, электрон асбобларининг тугун ва схемаларидаги барча қисмидан ўтаётган жараёнларни ўқувчига тушунтирувчи, юкори даражали мутахассис педагог кадрлар ва мухандис кадрлар тайёрлашга талаблар ортиб бормокда. «Олий ва ўрта махсус таълим Низоми» да келажак ўкитувчи, тарбиячилар, мухандисларга энг замонавий билим ва яхши тайёргарлик бериш керак деб, таъкидлаб ўтилган.
Университет ва техника олий юртларида «Электроника асослари курси», «Радиоэлектроника», «Радиоэлектрон қурилмалар ишлаб чикариш технологияси», «Радиоэлектроникадан амалий машғулот», «Микропроцессор техникаси» ва бошқа фанлар қатори асосий талабага политехник тайёргарликни беради.
Якин келажакда физик, технологик, биологик, химик ва кибернетикизланишларни комплекс қўллаб, электроникада катта муваффакиятларга эришилишни педагоглари назарда тутиш керак.
Электроника ўзининг ривожланиш жараёни ва РЭА нинг қиёфасига катта таъсир килиб, замонавий саноат ва қишлоқ хўжалиги, илмий текшириш ва медицинада; маиший хизмат ва транспортда, ўқитиш усулубларни такомиллаштириш ва алоқа воситаси хамда инсон фаолиятининг ҳамма сохаларида принципиал янги асбобяратиш имконини беради. Биз қуйида замонавий электроника ривожланишнинг айрим сохаларни келтирамиз.
МИКРОЭЛЕКТРОНИКА. Қурилмаларнинг истемол энер гиясини камайтириш ва ишлашда ишончлиликни орттиришда, минитюризация килиш, хозирги замон микроэлектроникасини ривожланишдаги асосий тенденцияси, бўлиб катта (БИС) ва ўта катта (СБИС) интеграл микросхемаларни яратилиши электрон тугунлар ва дискрет радиодеталлар блокини алмаштириш имконини беради. Схемаларни кейинги миниатюризацияси электроника, хисоблаш курилмаси ва магнит ёзувчи курилмаларининг такомиллашишига, олдиндан берилган функцияли янги асбоблар яратилишига революцион таъсир кўрсатади. Шуни айтиш керакки, хозирги технологияда битта ярим ўтказгичли кристаллда миллионтагача радиодеталлар бўлган БИС лар яратиш мумкин.
ОПТОЭЛЕКТРОНИКА. Хозирги замон оптоэлектриникада катта сиғимли, тез ишловчи, юқори халақитлардан мухофаза қилинган толалар оптикаси линияларини яратишда фундаментал изланишлар олиб борилмоқда. Бундай линия орқали бир вактнинг ўзида 10000 гача телефон алоқалар, 10 каналгача булган юқори аниқликда рангли телевидения сигналларини жўнатиш мумкин. Оптоэлектроникада ёруғлик нурларининг фазо бўйича модуляция принципи қўлланилади. Бу асосда қуйидаги вакуумсиз электрон «қурилмалар» яратилади: оптоэлектрон кучайтиргичлар, мантиқий элементлар, ясси экранли рангли телевидение, жуда катта информацион табло ва х. з. Хозирда оптоэлектрон хотираловчи (оптик хотираловчи) дисклар яратилди хамда такомиллаштириш бўйича янгидан-янги изланишлар олиб борилмоқда.
КРИОГЕН ЭЛЕКТРОНИКА. Паст (криоген) температурадаги ходисалардан фойдаланилади, яхни бунда металл ва қотишмаларнинг ўта ўтказувчанлиги, изоляторларнинг диэлектрик киритувчанлигини электр майдон ва бошқаларга боғлиқлиги тушунилади. Бундай ходисалардан криоген триггерлар, ўта кенг полосали квант кучайтиргичлари, электр сигналларининг линия тутқичлари ва х.з асбоблар яратишда фойдаланилади. Шуни айтиб ўтиш керакки, криоген асосида мантиқий ва хотираловчи функцияларни бажарувчи БИС ларни хам яратиш мумкин. Электрон асбоб ўрнатилган бўлиб, унинг ёрдамида миллиард ёруғлик йили масофасидаги космик фазосини ўрганиш имконини беради.
МАГНИТ ЭЛЕКТРОНИКА. Бу жуда кичик тўйинган магнитланувчан материалларни вужудга келиши, унинг асосида юпқа плёнкали магнит қурилмалар ишлаб чиқарилишига, магнит плёнкалар, коммутацион қурилма, магнит ярим ўтказгичлар ва х.з ни яратилишига олиб келди. Унча катта бўлмаган магнит ярим ўтказгичли кристаллда мантиқий элементлар, коммутацияловчи қурилмалар ва хотираловчи элементларни хар-хил кўринишларини хосил қилувчи бир неча минг схемалар жойлаштириш мумкин. Бу кристалларда ҳосил қилинган қурилмалар 3*106 бит/с тезликда информацияга ишлов бера олади, хотираси эса бир сантиметр квадратга 105 ли ёзув зичлиги тўғри келади.
БИОЭЛЕКТРОНИКА. Электрониканинг ривожланишидаги яна бир йўналиш бўлиб, тирик организмнинг таркиби ва хаёт фаолиятини, (шу жумладан инсонни) тахлил қилишда, асаб системасини ўрганиш, хар-хил жинсли буғланиш (химиявий майдон), магнит майдони, инсон танаси ва х.з.ни радионурланиш каби муаммоларини ўз ичига олади. Электро радиокардиограмма (ЭКГ) дан фарқли ўлароқ юрак ишлаши сигналини аниқроқ ўлчовчи магнитокардиограмма асбобини яратиш мумкин. Инфарқизил (миокард) дан кейин юрак пайларидаги ўлган қисмларни магнит майдонли квант ўлчовчи асбоби қайд қилади. Кам халакитли радиопрёмниклар ёрдамида инсон танаси ичидаги температурани радионурланиш ёрдамида аниклаш мумкин. Бундай асбоб ёрдамида хроник апендицит, ўпкаларни шабадалаши ва х.з. ни диагноз қилиш мумкин. Инсон иссиқлик нурини ўлчаб жуда қизиқ информацияларни олиши мумкин. Бу био информацияларёрдамида томирлар холати, организмдаги шабадалаш жараёни ва х.з. лар хақида фикр юритиш мумкин. Бу айникса болалар педиатриясида катта ахамиятга чунки, сабаби улар ўзининг касалликлари хакида махлумот бера олмайдилар.
АКУСТОЭЛЕКТРОНИКА. Электрониканинг бу йўналиши акустик ва пхезоэлектрик эффектларни электр майдони билан таъсирлашишига асосланган. Пхезоэлектрик ўзгартиргичлар, масалан, улpтратовуш линияларда электр сигналлари таъсирида акустик сигналлар хосил қилади ва аксинча. Барчамизки Маълумки, электромагнит ва акустик тўлқинларининг тарқалиш тезлиги ўзаро бир-биридан кескин фарқ қилади, шунга асосланиб эса вақт бўйича сигналларни силжиши ва ушланиб қолишини хосил қилиш мумкин. Пъезооэлектрик ярим ўтказгичлар электр майдони акустик тулқинларга хам таъсир килади. Бу эса телерадио қурилмаларнинг сигналларини ўлчаш имконини беради. Хозирги вақтда мусиқани юқори сифатда қайта эшиттирувчи қурилмалар яратилган.
КВАНТ ЭЛЕКТРОНИКАСИ. Кристалл атомида когерент нурларнинг тарқалиши, яъни мажбурий (индуцирланган) ходисадан фойдаланиб ўта юқори частотали электромагнит тебранишларни хосил қилиш ва кучайтириш усулларини ўрганади. Хозирги вақтда юқори қувватли, бир томонга юқори даража йўналтирилган, кўриш диапозони спекторида тўлқинлар тарқатувчи микро тўлқинли квант генераторлари (лазерлар) яратилган. Бизнинг мамлакатда квант электроникасига асосланган ўта юқори сиғимли, тола — оптик линияли алоқалар, хар-хил технологик қурилмалар, табобат асбоблари, аниқ геодезик механизмлар, атмосферани экологик холатини билувчи асбоблар, ўрганувчи автоматлар ва бошқалар яратилган.
ХЕМОТРОНИКА. Электрониканинг электрохимия билан ривожланишидаги бир йўналиши. Хемотроника паст частотали электрохимиявий ўзгартиргичлар яратади. Хозирги вақтда бир қатор хемотрон асбоблари яратилган: ион тўғрилагич, ўта паст частотали кучайтиргич, электро-химиявий ўзгартиргич. Келажакда суюқлик асосида бошқарилувчи система биоинформацион ўзгартиргич яратилади.
Электрониканинг эришилган ютуқлари унинг чексиз имконидан фойдаланишнинг бошланғич қадами холос. Келажакда ташқи таъсир шароитини ўзгаришга адектив реакция берувчи, сунoий интелектга эга бўлган ва сенсор система асосида жихозланган роботлар билан таoминлаш масаласи қўйилган.
Инсон фаолиятининг хар-хил сохасида электрониканинг қўлланиши узлуксиз кенгаймоқда, чуқурлашмоқда ва дифференциаллашиб бормоқда.
Хозирги замон электроникаси фан ва техникада олдинги ўринни эгаллаб, илмий-техниканинг ривожлантиришда катта ахамиятга эга.
1-БОБ. МАЙДОНДА ЭЛЕКТРОНЛАР ХАРАКАТИ
1 боб электронларнинг бир жинсли, бир жинсли бўлмаган электр майдондаги харакати ва бир жинсли бўлмаган магнит майдоннидаги харакатлари кўриб ўтилган.
1.1. ЭЛЕКТРОНЛАРНИНГ БИР ЖИНСЛИ ЭЛЕКТР МАЙДОНДАГИ ХАРАКАТИ
Электрон асбобларда электронларни электр майдони таъсирида харакатланиши асосий жараёнлардан хисобланади. Электронларни вакуумда харакатланиши оддий ҳамда ярим ўтказгич ёки газ разрядли асбобларида харакатланиши эса мураккаб жараён бўлади.
Бир жинсли электр майдонида электрон харакатини бошқа электронлар билан таъсири йўқ деб караш керак. Хақиқатда эса электронлар орасида ўзаро итаришиш кучи ҳам мавжуд. Электр майдони кўп холларда бир жинсли бўлмасдан мураккаб характерга эга ва у электрониканинг асосларидан бирини ташкил этади.
Маълумки, электрон заряди е=1,6*10—19 Клга тенг бўлиб, массаси m=9,1*10—31 кг. Назарий хисоблашлардан электрон тезлиги с=299 792 458 м/с бўлганда, массаси чексиз ортади.
Оддий электровакуум асбобларида электроннинг тезлиги 0,1 м/с ни ташкил этади, массасини эса доимий деб хисоблаш мумкин.
Электроннинг тезланувчи электр майдонидаги харакат
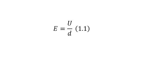
Икки электрод анод ва катод орасидаги электр майдон куч чизиқларини (кучланганлик чизиқлари) 1.1-расмда кўрсатилганидек тасвирлайлик.
Агар электродлар орасидаги потенциаллар айирмаси U, улар орасидаги масофани d десак, майдон кучланганлигини, деб ёзиш мумкин:
Бир жинсли майдон учун Е ўзгармас катталик. Катоддан чиққан электрон кинетик энергия W0 ва бошланғич тезлик v0 бўлган тезланувчан электр майдонига кирсин.
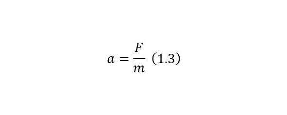
Майдон кучланганлиги мусбат бирлик зарядга таъсир этувчи кучга тенг бўлади. Шунинг учун битта электронга таъсир этувчи куч бўлади:
F куч E вектор катталигига қарама-қарши йўналгани учун минус ишораси қўйилган.
F куч таъсирида электрон тезланиш олади ва унинг ифодаси куйидагича бўлади:
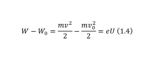
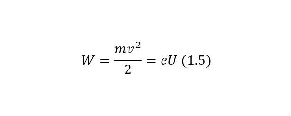
Электрод томон харакатланаётган электрон харакат охирида энг катта v тезлик ва W кинетик энергияга эришади. Шундай қилиб, тезлатувчи майдонда электроннинг кинетик энергияси ортади. Бу энергия ортишини W–W0 сифатида кўрсатиш мумкин. Энергиянинг сақланиш қонунига асосан қуйидагини ёзиш мумкин.
Агар электронни бошланғич тезлиги нолга тенг бўлса, бўлади:
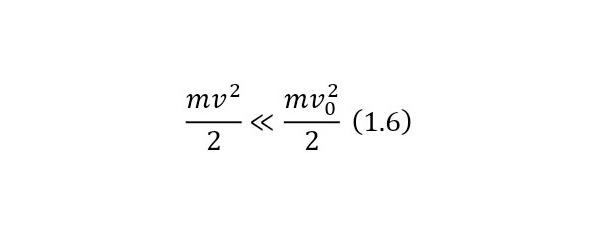
Элекроннинг бошланғич тезлиги v0 <<v бўлганда, қуйидаги тенглама бўйича аниқланади:
Агар U=1 Вольт десак электрон энергияси бир бирлик энергияга тенг булиб, у электрон — Вольт (эВ) деб аталади. Юқоридаги ифода (1.4) дан
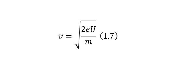
e ва m ларни ўрнига қўйиб
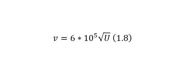
дан электороннинг тезлигини топиш мумкин.
Шундай қилиб тезлатувчи майдонда электроннинг харакати потенциаллар фарқига боғлик экан. Электроннинг бошлангич энергиясини элеткрон — Вольтда қуйидагича
ёзиш мумкин. Потенцаиллар айирмаси U=1 Вольтда, тезлиги v=6*105 м/с ва U=100 Вольт бўлганда эса v=6*106 м/с бўлади.
Электроннинг электродлар орасида масофа d=3*10—3 м ва кучланиши 100 Вольт бўлганда учиш вақти 10—8 с ни ташкил қилади.
Электр майдони бир жинсли бўлмагани учун электроннинг харакати м
Ұқсас кітаптар
- Басты
- Боходир Каримов
- Электроника асослари. Ўқув қўлланма
- Тегін фрагмент
