Все науки. №11, 2023. Международный научный журнал
Қосымшада ыңғайлырақҚосымшаны жүктеуге арналған QRRuStore · Samsung Galaxy Store
Huawei AppGallery · Xiaomi GetApps

автордың кітабын онлайн тегін оқу  Все науки. №11, 2023. Международный научный журнал

Все науки. №11, 2023

Международный научный журнал

Шрифты предоставлены компанией «ПараТайп»


Авторы: Алиев Ибратжон Хатамович, Хомидов Баҳодиржон Содиқжонович, Обидов Фозил Орипович, Базаров Хайрулло Хайитбаевич, Тожиев Рустамжон Расулжонович, Шермуҳаммадов Баҳодиржон Шермуҳаммадович, Саломов Ўктамжон Раҳимович, Фармонова Гулнора Комиловна, Шермуҳаммадов Беҳруз Баҳодирович, Алимова Наргиза Одиловна, Собирова Наргиза Нумонжоновна


Редактор Ибратжон Хатамович Алиев

Иллюстратор Ибратжон Хатамович Алиев

Дизайнер обложки Раънохон Мукарамовна Алиева

Иллюстратор Оббозжон Хокимович Кулдашев

И.О.Научного руководителя Султонали Мукарамович Абдурахмонов

Экономический руководитель Ботирали Рустамович Жалолов

Корректор Гулноза Мухтаровна Собирова

Корректор Дилноза Орзикуловна Норбоева

Модератор Миродилжон Хомуджонович Баратов





12+

Оглавление

ФИЗИКО-МАТЕМАТИЧЕСКИЕ НАУКИ

THE ALGORITHM OF COMPLEX ANALYSIS OF RESONANT NUCLEAR REACTIONS

УДК 539.17.013

Aliyev Ibratjon Xatamovich

Electron Laboratory LLC, Electron Scientific School, Margilan city, Ferghana region, Republic of Uzbekistan
Abduraxmonov Sultonali Mukaramovich

Fergana Polytechnic Institute, Fergana city, Fergana region, Republic of Uzbekistan

ABSTRACT

The paper considers the mathematical analysis of a nuclear reaction with bombarding elementary particles with high and low kinetic energies in the classical form and in the resonant state of a nuclear reaction. At the beginning, the general equation of the nuclear reaction is given, after which an energy analysis is carried out, followed by an analysis of the effectiveness of the reaction under study. The next stage of reaction analysis is the process of determining the effectiveness of the delivered nuclear reaction with the calculation of the nuclear effective cross section, the percentage of current entering the nuclear reaction, as well as the resulting product currents. Theoretical research, in particular, was limited to modeling a charged particle accelerator with high monochromaticity, which made it possible to analyze resonant nuclear reactions. In conclusion, the main conclusions are listed, reflecting the results of a mathematical study of a resonant nuclear reaction.

KEYWORDS

Resonant nuclear reactions, exa-energetic nuclear reactions, endo-energetic nuclear reactions, Coulomb barrier, nuclear effective cross section.

INTRODUCTION

As is known, nuclear reactions formed under the influence of bombardment of charged particles with various kinetic energies have been theoretically and experimentally studied in nuclear physics and elementary particle physics [1—6, 8—9]. But in these studies, the processes themselves are studied separately. In these works, the process of bombarding target nuclei with low-energy and high–energy charged particles on various types of accelerators — from linear accelerators and cyclotrons to synchrophasotrons — has been studied. In the research works carried out, the main attention is focused on the experimental aspect of the study, and the theoretical analysis has not been carried out sufficiently. Therefore, conducting research on nuclear reactions of bombardment of charged particles with different kinetic energies with the conclusion of their effectiveness is relevant.

It is important to note that until now there has not been a single comprehensive model for the analysis of nuclear reactions, which also made it possible to determine a new type of nuclear reactions — resonant nuclear reactions, except for the existing classical exo-energy and endo-energy type reactions, thermonuclear reactions and decay reactions. Hence the need to mathematically determine the resonant state of nuclear reactions on a type of accelerators with high monochromaticity.

MATERIALS AND METHODS

To study the above processes, various theoretical approaches to the analysis and solution of multidimensional physical and mathematical expressions have been selected. The objects of the study were nuclear reactions taking place after bombardment by charged particles of target nuclei with high and low kinetic energies in a classical form, in a resonant state.

RESEARCH

First, we can consider some types of nuclear reactions: reactions with one nucleus and a directed particle, or with two directed particles. Each of these reactions, in turn, is divided into exa-energetic, that is, reactions with a positive reaction yield and endo-energetic, that is, with a negative reaction yield. There are also decay reactions for heavy nuclei. It is also worth agreeing that each of these reactions is considered on the scale of atomic nuclei, since for smaller elementary particles or larger atomic and molecular measures, other special types of reactions take place with lines of interaction between each of the reaction components.

However, in practice, collision reactions on a stationary target of directed particles are most common, which led to a large number of results, however, there are cases when the result of such a collision became nuclei, in turn, disintegrating into component parts. Or, a similar result was observed in a collider collision, that is, when one beam became a target relative to the second and the second became a target relative to the first. This factor led to the fact that these reactions with particle bombardment were also subdivided into instantaneous and composite reactions in addition to the exa-energy and endo-energy types. The thing is that this is determined already from the energy of directed particles, and if it is comparatively large for a particular reaction, along with other constituent moments, from which the time of the reaction itself is determined, then it can pass instantly, forming reaction products, then directed particles literally knock out parts of the products of the nuclear reaction from the composite core [7—10].

For compound reactions, there is an algorithm by which the target merges for a certain time with a directed particle, after which it begins to disintegrate, starting a new formation without taking into account previous impulses. In this case, the decay reaction is included in the reaction of directed particles alone, from which it can be concluded that these two types of nuclear reactions are inextricably linked. But now it is worth moving on to a complete analysis of a definitely given reaction, with appropriate conditions, namely, the reaction (1) itself, its main channel, the masses of all the components of this reaction — Ma, MA, MB, Mb and the kinetic energy of the directed particle Eka1 before the nuclear reaction and the nuclear barrier.

Initially, the purpose of such an analysis is to determine all the necessary aspects and properties of a given nuclear reaction. It should be taken into account that the reaction has not yet begun and it is necessary first to determine the Coulomb barrier (2) of the target particle to which the charge particle is directed.

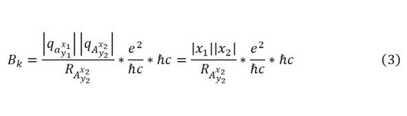
It is worth saying that most often in formula (2) two constants are used to replace the elementary charge, this is a fine structure constant equal to 1/137 and the product of the reduced Planck constant multiplied by the speed of light measured in MeV equal to 197.3 MeV [10—12]. These units boil down to the fact that equality (3) is true and clearly a simplification of the entire expression.

The radius of the core can be chosen as a constant, but the ratio (4) is most often used.

Expression (4) is calculated in fermi, equal to a femtometer or 10—15 m. Now, when the kinetic energy and the Coulomb barrier have been determined, as well as the particle has already passed through it, having spent a certain part of its energy and entered the reaction, having overcome a distance of 10—15 from the nucleus — the radius of the Coulomb barrier, it is possible to determine the value of the new kinetic energy (5), indicating some note that the initial kinetic energy indicated here is determined after the passage of a particle through the atomic structure of a particular material, which includes the target nucleus, however, such an algorithm most often refers to the atomic, molecular scale and spending on these phenomena are not so significant, most often appearing in the form of some kind of scattering on the present material.

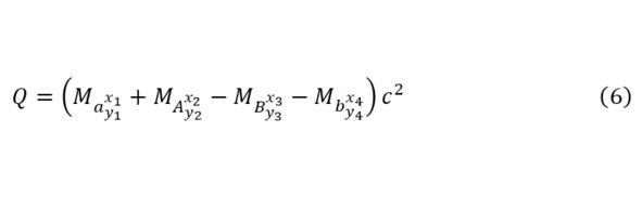
Further, after these expressions, first of all it is necessary to determine the type of nuclear reaction — calculate the energy yield of the nuclear reaction (6).

A simpler calculation of the present expression can be provided due to the fact that the mass of each of the components of a nuclear reaction is calculated in atomic units of mass and after performing elementary arithmetic operations is multiplied by the square of the speed of light, also represented in MeV, which for 1 a. u. m. is equal to 931.5 MeV. As a result, a positive or negative output of the nuclear reaction is obtained, from which it is possible to determine the exa- or endo-energy of the nuclear reaction.

It was stated above that a particle can expend a certain amount of energy, which will be spent not only on Coulomb, but also on other barriers. In order to determine their approximate sum, the concept of the energy threshold of nuclear reactions (7) is used.

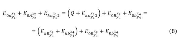
In this case, all the necessary indicators are known and give the general state of the reaction. Further, it is desirable to present the general energy equation of such a nuclear reaction (8), after which it is possible to proceed to the determination of the kinetic energy of the results of a nuclear reaction.

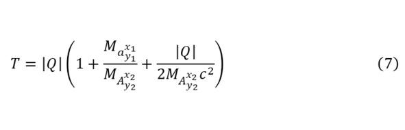
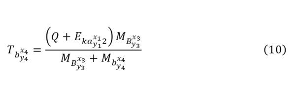
In order to determine the kinetic energy of the nuclear reaction products, it should be noted that each of the particles receives an initial energy additional balance equal to the sum of the reaction output and the second kinetic energy of the directed particle after the Coulomb barrier, in an inversely proportional to its own mass ratio (9—10).

The representation of these expressions becomes more pronounced already for three reaction products. Most often, in this case, a moment is obtained when the particles are divided into two groups — light and heavy groups. For the above reasons, the light group receives most of the total energy and such an algorithm is stored in the appropriate way.

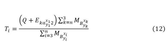
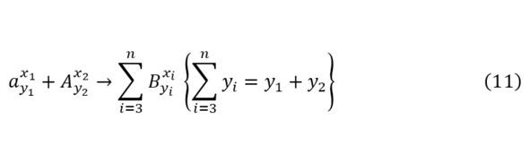
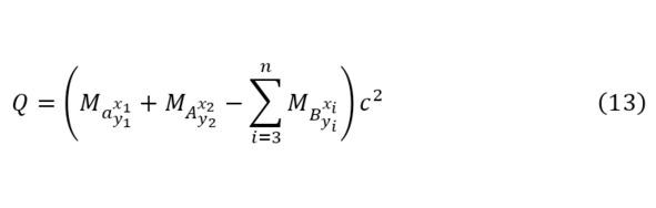
So, if the amount of the outgoing particle tends to a certain large number (11), then their energies will be distributed in an inversely proportional manner to their mass (12), taking into account the yield of the reaction (13) for such (11).

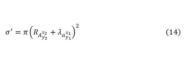
After the kinetic energy of each of the reaction results is determined, it becomes necessary to define such a concept as the nuclear effective cross section of a nuclear reaction (14).

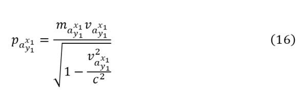
This concept finds its origin in quantum physics, according to the laws of which, even if a particle does not fall into the physical corpuscular area of the nucleus, it can be captured by it as a result of its low velocity, due to which the de Broglie wave of the directed beam grows (15).

In this case, according to the theory of relativity, (16) is used to calculate the momentum of a directed particle, taking into account the fact that the nuclear effective cross section, as well as all the functions following it, are determined on a time scale after the beam overcomes the Coulomb barrier, from where both the momentum and the velocities are taken directly second, given the factor that due to an increase in the nuclear effective cross-section, for a short time, the nuclear forces together with the Coulomb barrier increase in size.

Where the velocity of the directed particle from the kinetic energy is calculated by deducing through (17).

...