Все науки. №2, 2024. Международный научный журнал
Қосымшада ыңғайлырақҚосымшаны жүктеуге арналған QRRuStore · Samsung Galaxy Store
Huawei AppGallery · Xiaomi GetApps

автордың кітабын онлайн тегін оқу  Все науки. №2, 2024. Международный научный журнал

Все науки. №2, 2024

Международный научный журнал

Шрифты предоставлены компанией «ПараТайп»


Авторы: Алиев Ибратжон Хатамович, Юсупова Анора Каримовна, Xolmatova Nilufarxon Jahongirovna, Кулдашов Голибжон Оббозжонович, Абдурахмонов Султонали Мукарамович, Кулдашов Оббозжон Хокимович, Ibrohimova Adolatxon Adhamjonovna, Рахимова Муштарий Тимуровна, Эргашев Р., Вавилова Екатерина Александровна, G’anieva Sohibaxon, Азамов Валижон


Главный редактор Ибратжон Хатамович Алиев

Редактор Миродилжон Хомуджонович Баратов

Иллюстратор Султонали Мукарамович Абдурахмонов

Иллюстратор Оббозжон Хокимович Кулдашев

Дизайнер обложки Раънохон Мукарамовна Алиева

Научный директор Боходир Хошимович Каримов

Экономический руководитель Ботирали Рустамович Жалолов

Технический директор Султонали Мукарамович Абдурахмонов

Модератор Фарходжон Анваржонович Иброхимов





12+

Оглавление

ФИЗИКО-МАТЕМАТИЧЕСКИЕ НАУКИ

ОТРИЦАТЕЛЬНО-БИНОМИНАЛЬНОЕ РАСПРЕДЕЛЕНИЕ И ЕГО ПРИМЕНЕНИЕ В ЖИЗНИ

УДК: 530.1

Юсупова Анора Каримовна

Доктор физико-математических наук, профессор

Ферганский государственный университет, 150100, Республика Узбекистан, Ферганская обл., г. Фергана

Аннотация. В работе приведено основные понятие и общая формула отрицательно-биномиального распределение, продемонстрированы формула коэффициент асимметрии и доказательства распределенном на отрицательно-биномиальном распределении. Приведено сферы, где используется отрицательно-биномиальное распределение и примеры решенные с помощью этого распределения.

Ключевые слова: распределение Паскаля, испытание Бернулли, коэффициент асимметрии, центральный момент третьего порядка, среднеквадратичное отклонение, скошенность.

Abstrackt. The work presents the basic concept and general formula of the negative binomial distribution, demonstrates the formula for the skewness coefficient and evidence of distribution on the negative binomial distribution. The areas where the negative binomial distribution is used and examples solved using this distribution are given.

Key words: Pascal distribution, Bernoulli test, asymmetry coefficient, third-order central moment, standard deviation, skewness.

Annotatsiya. ish manfiy binomial taqsimotning asosiy tushunchasi va umumiy formulasini beradi, assimetriya koeffitsienti formulasini va manfiy binomial taqsimot bo’yicha taqsimotni isbotlaydi. Manfiy binomial taqsimot qo’llaniladigan sohalar va bu taqsimot yordamida hal qilingan misollar keltirilgan

Kalit so’zlar: Paskal taqsimoti, Bernulli testi, assimetriya koeffitsienti, uchinchi tartibli markaziy moment, standart og’ish, egrilik.

Введение

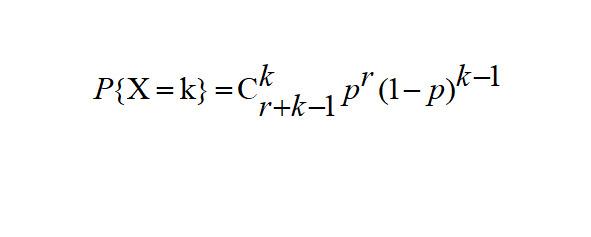
Отрицательное биномиальное распределение, также называемое распределением Паскаля — это распределение дискретной случайной величины, равной числу произошедших неудач в последовательности испытаний Бернулли с вероятностью успеха , проводимых до -го успеха.

Испытание Бернулли — это эксперимент с двумя возможными исходами — «успех» или «неудача» — и вероятность успеха одинакова при каждом проведении эксперимента.

Примером испытания Бернулли является подбрасывание монеты. Монета может приземлиться только с двух сторон (мы можем назвать орел «успехом», а решку «неудачей»), а вероятность успеха при каждом броске равна 0,5, если предположить, что монета честная. Если случайная величина Х подчиняется отрицательному биномиальному распределению, то вероятность испытать k неудач, прежде чем испытать успехов, можно найти по следующей формуле:

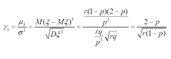
КОЭФФИЦИЕТ АСИММЕТРИИ

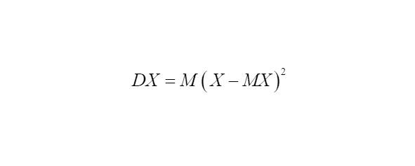
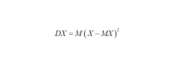
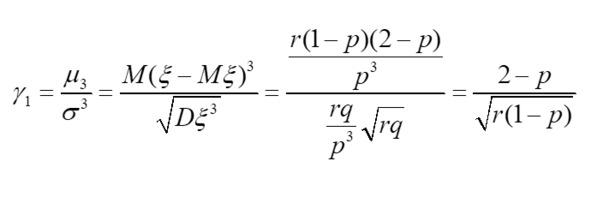
Коэффициент асимметрии — это числовая характеристика случайной величины, равная отношению центрального момента третьего порядка к кубу среднеквадратического отклонения.

Коэффициент асимметрии характеризует скошенность распределения по отношению к математическому ожиданию. Асимметрия положительна, если «длинная часть» кривой распределения расположена справа от математического ожидания; асимметрия отрицательна, если «длинная часть» кривой расположена слева от математического ожидания.

Коэффициент асимметрии распределения случайной величины x определяется формулой:

где

— третий центральный момент случайной величины x;

— среднеквадратичное отклонение случайной величины x;

— дисперсия или второй центральный момент случайной величины;

Если плотность распределения симметрична, то

Если левый хвост распределения тяжелее, то

Если правый хвост распределения тяжелее, то

.

На рисунке показаны две кривые распределения: I и II. Кривая I имеет положительную (правостороннюю) асимметрию, а кривая II — отрицательную (левостороннюю).

Кроме вышеописанного коэффициента, для характеристики асимметрии рассчитывают также показатель асимметрии Пирсона:

коэффициент асимметрии Пирсона характеризует асимметрию только в центральной части распределения, поэтому более распространенным и более точным является коэффициент асимметрии, рассчитанный на основе центрального момента третьего порядка.

ПРИМЕНЕНИЕ ОТРИЦАТЕЛЬНО-БИНОМИАЛЬНОГО РАСПРЕДЕЛЕНИЯ

Отрицательно биномиальное распределение широко используется в различных областях для моделирования случайных событий. Вот несколько примеров использования отрицательно биномиального распределения:

1. Маркетинг и реклама:

Предположим, что компания запускает рекламную кампанию и хочет оценить вероятность того, что клиент кликнет по рекламе до того, как совершит покупку. Отрицательно-биномиальное распределение может быть использовано для моделирования количества кликов до первой успешной покупки.

2. Производство и качество:

В производственной сфере отрицательно биномиальное распределение может быть применено для оценки количества бракованных изделий до достижения определенного числа рабочих изделий. Это помогает предсказать вероятность производственных сбоев.

3.Медицина и здравоохранение:

В медицинских исследованиях отрицательно-биномиальное распределение может использоваться для анализа количества лечебных процедур, которые пациент должен пройти до достижения определенного уровня выздоровления.

4. Финансы и страхование:

В финансовой сфере отрицательно биномиальное распределение может быть применено для прогнозирования количества страховых случаев до возникновения определенного количества убытков.

5. Техническое обслуживание и ремонт:

В сфере технического обслуживания и ремонта отрицательно биномиальное распределение может быть применено для оценки количества обслуживаний или ремонтов, которые требуются до возникновения определенного количества отказов или поломок.

6. Транспорт и логистика:

В логистике и транспортной отрасли отрицательно биномиальное распределение может использоваться для прогнозирования количества перевозок или доставок, которые могут быть выполнены до возникновения определенного числа задержек или неполадок.

7. Образование и наука:

В образовании и научных исследованиях отрицательно биномиальное распределение может быть применено для анализа количества экспериментов или учебных занятий, которые необходимо провести до достижения определенного уровня понимания или результатов.

8. Социология и психология:

В социологических и психологических исследованиях отрицательно биномиальное распределение может использоваться для моделирования количества повторений определенного поведенческого шаблона или реакции до достижения определенного результата.

Отрицательно биномиальное распределение имеет широкий спектр применений в различных областях и может быть полезным инструментом для анализа случайных событий и вероятностей.

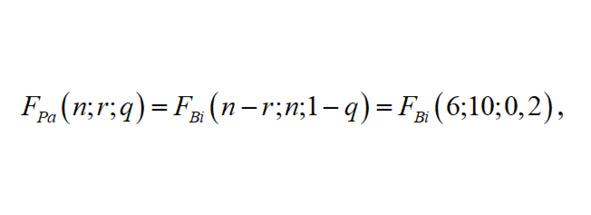
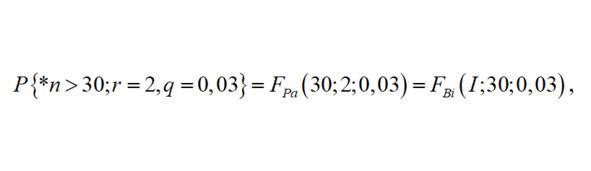
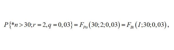
Пример 1. Невосстанавливаемая система, работающая циклически, состоит из трех одинаковых по надежности ЭМ: двух основных и одного резервного, автоматически замещающего любой из отказавших основных ЭМ. Вероятность отказа ЭМ на цикле равна q = 0,03. Определить вероятность того, что система проработает 17 безотказно не менее 30-ти циклов, если резервное устройство не нагружено (не включено) и в этом состоянии не отказывает.

Решение.

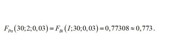
Как следует из условия задачи, число циклов до отказа системы, равное числу циклов до второго по порядку отказа ЭМ в системе (r = 2) есть случайная величина *n, распределенная по закону Паскаля. Вероятность безотказной работы системы за 30 циклов равна

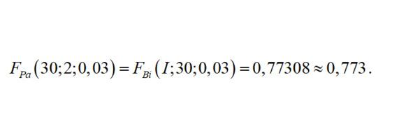
если воспользоваться уравнением связи с Биномиальным распределением. Окончательно из Таблицы при n = 30, q = 0,03 и r = 1, получим

Таким образом, примерно в 77 случаях из 100 такая система проработает безотказно не менее 30 циклов.

Пример 2. Спутник сканирует заданную акваторию океана за 4 оборота вокруг Земли. Если на каком-либо витке из-за различных помех происходит искажение текущего результата, то оно обнаруживается, и сканирование, выполненное на этом витке, повторяется заново. Найти вероятность того, что всё сканирование будет завершено не более чем за 10 витков, если вероятность искажения результата на одном витке составляет 0,2.

Решение

Для решения задачи удобно поменять местами события А — искажение результата сканирования на витке — на противоположное, тогда числу r будет соответствовать число успешно завершенных витков с вероятностью неискажения q = 0,8. С учетом этого замечания и связи с биномиальным распределением искомая вероятность решения задачи не более чем за n = 10 витков запишется в виде:

откуда из Таблицы при r = 6, n = 10 и q = 0,2 получим

то есть примерно в одном случае из тысячи в заданных условиях сканирование не завершится за 10 оборотов спутника вокруг Земли.

Заключение

В работе была сформулирована и доказана формула коэффициент асимметрии распределенном на отрицательно-биномиальным распределении. Была приведено примеры и сферы применение этой распределении.

ИСПОЛЬЗОВАННЫЕ ЛИТЕРАТУРЫ

1. Баврин И. И. Теория вероятностей и математическая статистика / И.И.Баврин. — М.: Высш. шк., 2005. — 160 с:

2. Гмурман В. Е. Руководство к решению задач по теории вероятностей и математической статистике /В. Е. Гмурман. — М., Высш. шк., 2004.- 404 с.

3. Гмурман, Владимир Ефимович. Теория вероятностей и математическая статистика: учебное пособие для вузов /В. Е. Гмурман.-Изд. 12-е, перераб.-М.:Высшая школа,2009.-478с.

4. Гнеденко Б. В. Курс теории вероятностей: Учебник / Б. В. Гнеденко. — Изд. 8-е, испр. и доп. — М.: Едиториал УРСС, 2005. — 448 с.

5. Кремер Н. Ш. Теория вероятностей и математическая статистика: Учебник для вузов / Н. Ш. Кремер. — М.: ЮНИТИ-ДАНА, 2004. — 573 с.

6. Максимов Ю. Д. Вероятностные разделы математики / Ю. Д. Максимов. — Изд.: Иван Федоров, 2001. — 592 с.

АЛГОРИТМ КОМПЛЕКСНОГО АНАЛИЗА РЕЗОНАНСНЫХ ЯДЕРНЫХ РЕАКЦИЙ

УДК: 531.6

Алиев Ибратжон Хатамович

Генеральный директор OOO «Electron Laboratory», Президент Научной школы «Электрон», студент 3 курса факультета математики-информатики Ферганского государственного университета
OOO «ElectronLaboratory», Научная школа «Электрон», город Маргилан, Ферганская область, Республика Узбекистан

Аннотация. В работе рассматривается математический анализ ядерной реакции с бомбардирующими элементарными частицами с высокими и низкими кинетическими энергиями в классическом виде и резонансном состоянии ядерной реакции. В начале приводиться общее уравнение ядерной реакции, после чего осуществляется энергетический анализ с последующим анализом эффективности исследуемой реакции. Следующим этапом анализа реакций является процесс определения эффективности поставленной ядерной реакции с вычислением ядерного эффективного сечения, процента вхождения тока в ядерную реакцию, а также результирующие токи продукта. Теоретическое исследование, в частности, сводилось к моделированию ускорителя заряженных частиц с высокой монохромотичностью, что позволяло анализировать резонансные ядерные реакции. В заключении перечисляются основные выводы, отображающие результаты математического исследования резонансной ядерной реакции.

Ключевые слова: резонансные ядерные реакции, экзо-энергетические ядерные реакции, эндо-энергетические ядерные реакции, Кулоновский барьер, ядерное эффективное сечение.

Abstract. The paper considers the mathematical analysis of a nuclear reaction with bombarding elementary particles with high and low kinetic energies in the classical form and the resonance state of a nuclear reaction. At the beginning, the general equation of a nuclear reaction is given, after which an energy analysis is carried out with subsequent analysis of the efficiency of the reaction under study. The next stage of the reaction analysis is the process of determining the efficiency of the nuclear reaction with the calculation of the nuclear effective cross section, the percentage of current entering the nuclear reaction, as well as the resulting product currents. The theoretical study, in particular, was reduced to modeling a charged particle accelerator with high monochromaticity, which made it possible to analyze resonant nuclear reactions. The conclusion lists the main findings that reflect the results of the mathematical study of the resonant nuclear reaction.

Keywords: resonant nuclear reactions, exo-energetic nuclear reactions, endo-energetic nuclear reactions, Coulomb barrier, nuclear effective cross section.

Annotatsiya. Maqolada klassik shaklda yuqori va past kinetik energiyaga ega elementar zarrachalarni bombardimon qilish bilan yadro reaksiyasining matematik tahlili va yadro reaksiyasining rezonans holati ko‘rib chiqiladi. Boshida yadro reaksiyasining umumiy tenglamasi beriladi, undan so‘ng energiya tahlili o‘tkaziladi, so‘ngra o‘rganilayotgan reaksiyaning samaradorligi tahlil qilinadi. Reaksiya tahlilining navbatdagi bosqichi — yadro effektli kesimini, yadro reaksiyasiga kiradigan tokning foizini, shuningdek, hosil bo’lgan mahsulot oqimlarini hisoblash bilan berilgan yadro reaktsiyasining samaradorligini aniqlash jarayoni. Nazariy tadqiqot, xususan, yuqori monoxromatiklik bilan zaryadlangan zarracha tezlatgichini modellashtirishga qisqartirildi, bu rezonansli yadro reaktsiyalarini tahlil qilish imkonini berdi. Xulosa qilib, rezonansli yadro reaktsiyasini matematik o’rganish natijalarini aks ettiruvchi asosiy xulosalar keltirilgan.

Tayanch iboralar: rezonansli yadro reaksiyalari, ekzoenergetik yadro reaksiyalari, endoenergetik yadro reaksiyalari, Kulon to’sig’i, yadro effektli kesma.

Введение

Как известно, в ядерной физике и физике элементарных частиц теоретически и экспериментально изучены ядерные реакции, образованные под воздействием бомбардировки заряженных частиц с различными кинетическими энергиями []. Но в этих исследованиях сами процессы изучены раздельно. В этих работах, изучен процесс бомбардировки ядер-мишеней мало энергетическими и высокоэнергетическими заряженными частицами, на различных типах ускорителей — от линейных ускорителей и циклотронов до синхрофазотронов. В проведённых исследовательских работах основное внимание направлено на экспериментальный аспект исследования, а теоретический анализ достаточно не пров

...